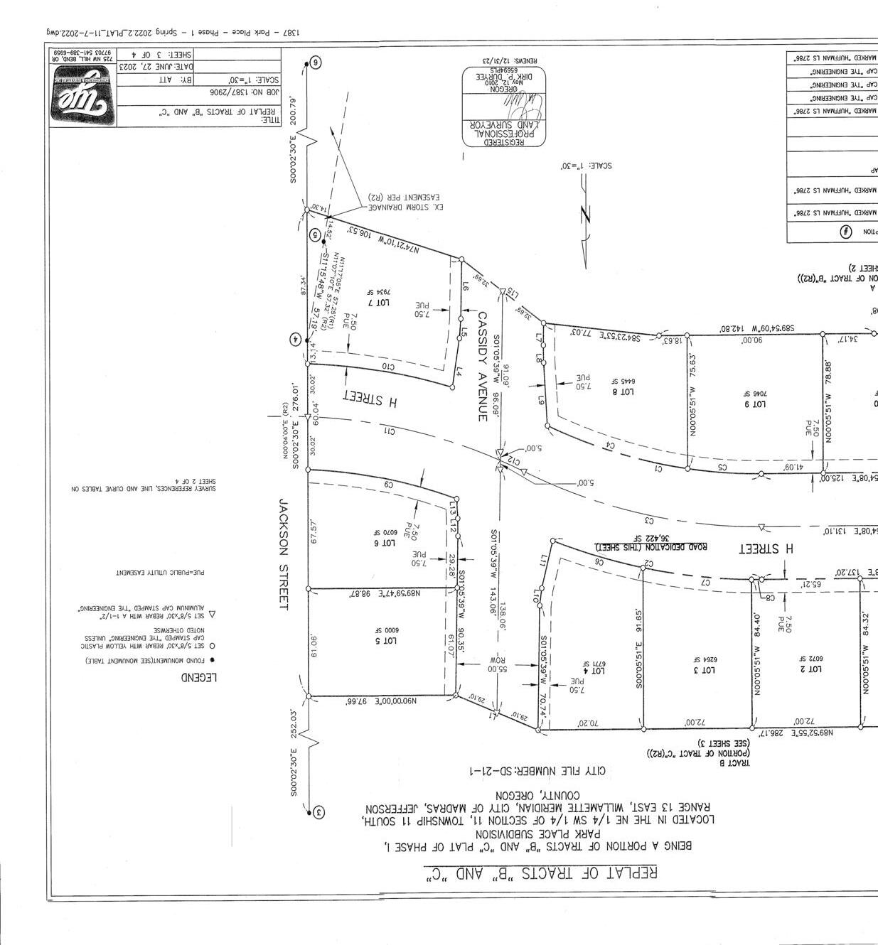
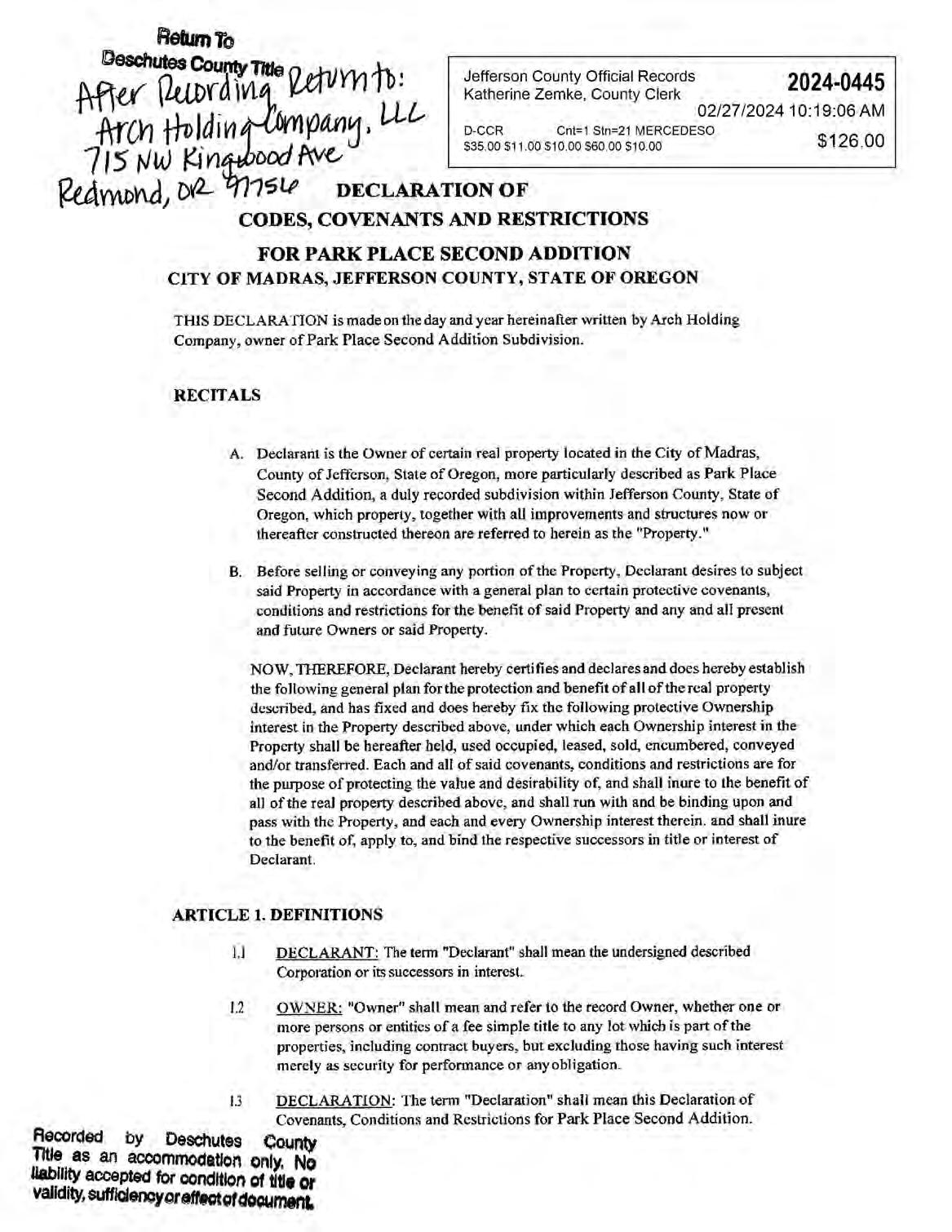
Skip to main content

Park Place - Replat of Tracts B & C - CC&R's

Page 1


Turn static files into dynamic content formats.

Create a flipbook