Acct 108595 - Code Enforcements

Page 1


DIVISION

John Griley

From: Kosmas, Tom [Tom.Kosmas@christenson. com]

Sent: Thursday, March 20, 2008 6:52 AM

To: John Griley

Subject: RE: Property

Attachments: 100_ 1008.JPG; 100_ 1010.JPG

100_ 1008. JPG ( 400100_ 1010. JPG ( 629 KB) KB) John,

I posted the vehicles and left a note asking them to vacate the property. They called me back yesterday and I told them that they had to clean up and leave asap. They are supposed to be off of the property by the end of the month. I am going to check on them this weekend.

Tom Kosmas 503- 998- 3456

From: John Griley [ mailto: John_ Griley@co. deschutes. or. us]

Sent: Fri 3/ 7/ 2008 12: 52 PM

To: Kosmas, Tom

Subject: Property

Tom,

The map you requested is still at my desk along with 72 hour vehicle removal information.

I have not been approached by anyone saying that arrangements for payment have been made.

Please advise whether you still want this map. ( Again, payment can be made by calling 388- 6574).

The next review date for the case on your property is March 25, 2008. By that date, I anticipate significant progress in correction of the violation. Ultimate progress for case resolution will require 1) cease in occupancy of RV unit, ( 2) termination of illegal waste disposal, ( 3) removal of all solid waste materials including unlicensed or inoperable vehicles, and non- current trailers, canopy, and/ or RV' s.

John Griley

Code Enforcement Technician

Community Development Department Deschutes County 541) 617- 4708

7;; / i4' La-5

3 .C.76 s: A/ 14SE f222?

MICHAEL P. LONGO, P.C.

GRESHAM CORPORATE CENTER I

MICHAEL P. LONGO cb. ;' = SUITE 275

ATTORNEY AT LAW 1550 N.W. EASTMAN PARKWAY

0= ADMITTED OREGON & WASHINGTON- - GRESHAM, OREGON 97030

Via Facsimile to: 541- 385- 1764

Original by Surface Mail

Tim Grundeman

Deschutes County Community Development 117 NW Lafayette Avenue Bend. OR 97701

Re.: Update on Progress of Code Compliance

Dear Mr. Grundeman:

Telephone: ( 503) 669-3406

Facsimile: ( 503) 669- 3466

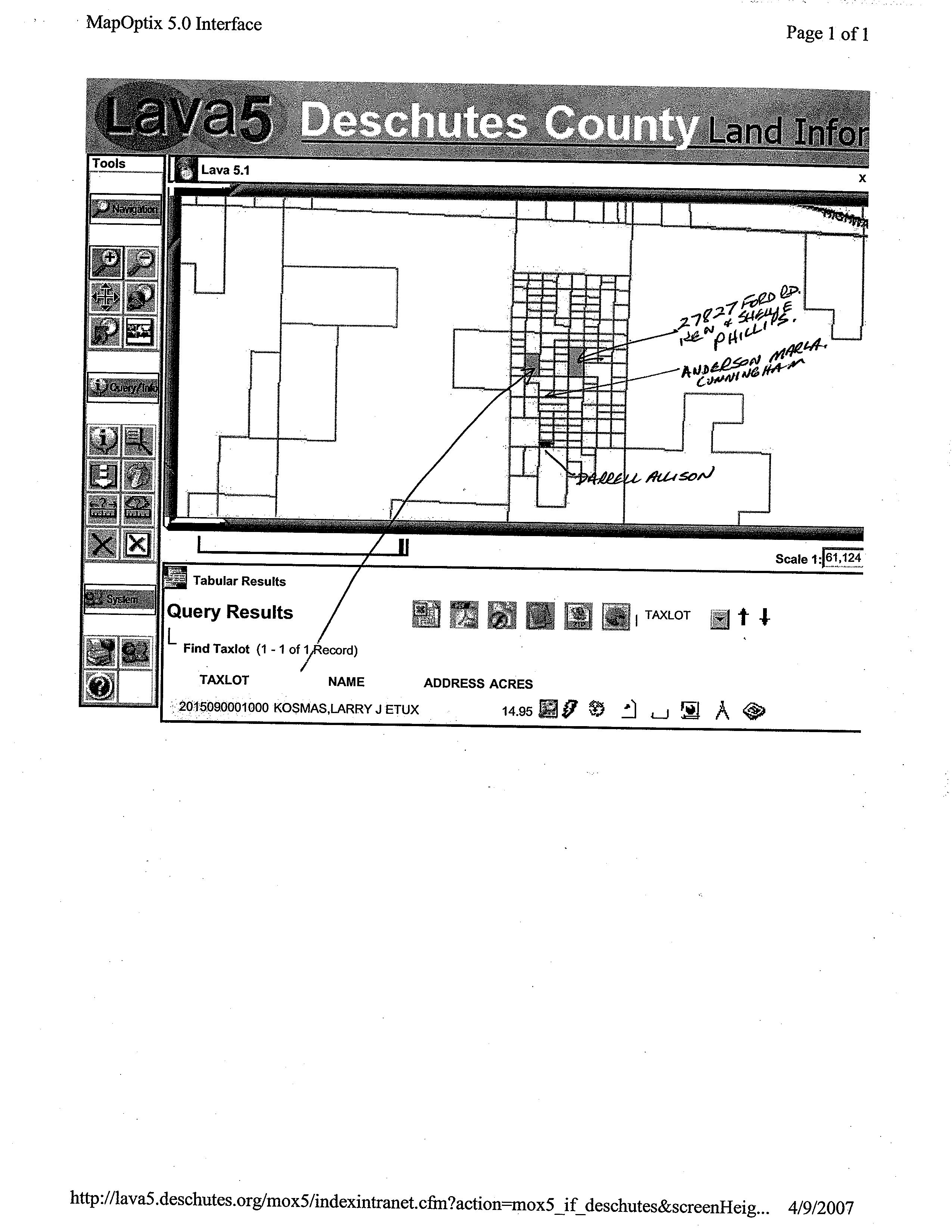
As you know, this office represents Larry J. Kosmas of Portland, Oregon. You recently informed our client that he is allegedly in violation of County Code sections 18. 116. 095, 13. 08. 050 & 13. 36.010. The property in questions is known as Tax Lot: 2015.090001.000 ( Millican).

On April 19th, 2007 we spoke via telephone regarding your complaints. You were informed that our client recently discovered people have been living on his land without his permission for an undisclosed amount of time.. The occupants later agreed to use the land subject to the provisions of a Letter Agreement dated March 15th, 2007. That agreement requires the occupants of the land to " comply with all laws, ordinances and regulations relating to the possession, use or maintenance of the land." ( See § 2, document previously provided). Until your letter, our client was unaware that these occupants, David and Mickey Heisler, were using the land in such a way as to violate the County Code.

On Monday, April 30th, 2007, our client' s son Thomas Kosmas personally delivered the enclosed Notice to Comply with Letter Agreement/County Code or Vacate within 10 Days. The Notice states in pertinent part, " Ifyou are unable or unwilling to bring your occupancy into compliance with applicable law and cure your breach of the Letter Agreement governing your occupancy, then you must remove all personal property and vacate the premises by 11: 59 p.m. on May 12, 2007." Mr. Heisler signed the Notice to indicate his receipt thereof and further stated to Mr. Kosmas' son that he would seek compliance.

Please keep our office and Mr. Kosmas up to date on any compliance attempts initiated by Mr. Heisler. If he fails in his attempts to comply with the demands set forth in your letter, please contact us immediately. Ifyou do not hear from him, then we request

that you schedule a drive-by ofthe property some time after May 13th and inform us whether further action is needed to bring the property into compliance with the County Code. This may entail evicting the occupants and/ or additional clean- up.

We appreciate your patience in this matter and I want to reassure you that our client intends to do whatever is necessary to comply with the County Code and other applicable law. Feel free to contact me at any time to discuss this matter. I can always be reached at 503- 320- 3899.

Enclosure

cc: Client with a copy to:

David and Mickey Heisler

27737 Ford Rd. Bend, OR 97701

PAGE 2 OF 2

ichael P. ey for Larr go J. Kosrnas

MICHAEL P. LONGO, P.C.

GRESHAM CORPORATE CENTER I

MICHAEL P. LONGO cp SUITE 275 ATTORNEY AT LAW

1550 N.W. EASTMAN PARKWAY

gyp= ADMITTED OREGON & WASHINGTON GRESHAM, OREGON 97030

Monday, April 30, 2007

David and Mickey Heisler

Tax Lot 201509- 00- 01000

Deschutes County, Oregon 97701

Re.: Notice to Comply with Letter Agreement/ County Code or Vacate within 10 Days

Dear David and Mickey Heisler:

As you know, this office represents Larry J. Kosmas of Portland, Oregon. Mr. Kosmas owns the land on which you are living in Deschutes County, Oregon. Our client was recently served with a certified letter (copy enclosed) from Deschutes County Code Enforcement alleging your occupancy and use of the land is in violation of three sections of the County Code.

Deschutes County Code Enforcement Technician Tim Grundeman stated in bis letter, "[ t]hese violations are as follows: ( 1) living in recreational vehicles on land zoned EFU ( exclusive farm use), ( 2) non -permitted on-site sewage disposal system and ( 3) accumulation of solid waste. This circumstance violates County Code sections 18. 116. 095, 13. 08. 050 & 13. 36.010." I have enclosed a copy of Mr. Grundeman' s letter dated April 13, 2007 along with the attachments so that you can see the full text and applicable County Code citations.

The notice of a violation of Deschutes County land use laws and ordinances has forced our client to demand that you remedy the actions that are in violation of applicable county laws and the Letter Agreement or vacate the property and remove all your belongings within Ten ( 10) Days. Since the county has alleged these violations, they will be the party with whom you will need to seek approval of compliance: If you are unable or unwilling to bring your occupancy into compliance with applicable law and cure your breach of the Letter Agreement governing your occupancy, then you must remove all personal property and vacate the premises by 11: 59 p.m. on May 12, 2007.

The pertinent sections of the Letter Agreement you signed on March 29, 2007 are as follows:

Section 2: Occupants shall use the Land in a careful and proper manner and shall comply with all laws, ordinances, and regulations relating to the

possession, use, or maintenance of the Land. Furthermore, Occupants shall maintain the Land in a safe, clean and sanitary condition.

Section 4: Occupants agree to assume all liability for, and to hold Owner harmless from, all damages, costs, and fees in the defense thereof, caused by the negligence or willful act of Occupants or Occupants' invitees or guests, in or upon any part of the Land.

Section 7: Occupants agree that if they remain in possession of said Land after the day they were to vacate pursuant to any notice, they will pay a daily rental fee of $45. 00 for each day thereafter. Owner may give the-Occupants Forty- five ( 45) days notice to vacate, without cause, at any time. Owner may give Occupants Ten ( 10) day' s notice to comply with any of the terms of the Agreement or vacate the Land.

Section 8: Occupants covenant and agree that in case Owner shall be made a party to any litigation commenced by or against Occupants, Occupants shall and will pay all costs and attorneys fees, including those on appeal, incurred by or imposed upon Owner by or in connection with such litigation.

You may contact me at any time to discuss your intentions or make arrangements to vacate the property, however, the timelines set forth in this notice will be strictly enforced. TIME IS OF THE ESSENCE.

THE SERVICE OF THIS NOTICE DOES NOT EFFECT AND IS NOT EFFECTED BY ANY OTHER NOTICE( S) SERVED UPON YOU.

lael Ingo

Att• - y for Lar Ingo Kosmas

Hand Delivered By:

Tom KOSIVIAS

DATE & TIME

DATE& TIME

MICHAEL P. LONG0 «' ATTORNEY AT LAW

m ADrvrr rED OREGON & WASWiNGTON

MICHAEL P. LONGO, P.C.

GRESHAM CORPORATE CENTER I SUITE 275 1550 N.W. EASTMAN PARKWAY GRESHAM, OREGON 97030

TELECOPIER COVE12 ETTI'ER IF YOU HAVE ANY TRANSMISSION PROBLEMS, PLEASE CALL KATHY OR BETTY AT (503) 669- 3406. SEND REPLY FACSIMILES TO ( 503) 669- 3466.

KOSMAS

DALE: May 3, 2007 NUMBER OF PAGES ( including this cover letter): 5

RE: LARRY J. KOSMAS

CODE VIOLATIONS: C07102, C07103, C07104

TO: TIM GRUNDEMAN,, DESCHUTES CTY. CODE ENFORCEMENT

FAX: 541- 3854 764

COMPANY: DESCHUTES COUNTY COMMUNITY DEVELOPMENT

CONEWENTIA. LUIY NOTICE

THIS FACSIMILE TRANSMISSION ( AND/ OR DOCUMENTS ACCOMPANYING IT) MAY CONTAIN CONFIDENTIAL INFORMATION BELONGING TO THE SENDER. THE INFORMATION IS INTENDED ONLY FOR TIIE USE OF THE INDIVIDUAL OR ENTITY NAMED ABOVE. IF YOU ARE NOT THE INTENDED RECIPIENT, YOU ARE HEREBY NOTIFIED THAT ANY DISCLOSURE, COPYING, DISTRIBUTION OR THE TAKING OF ANY ACTION IN RELIANCE ON THE CONTENTS OF THIS INFORMATION IS STRICTLY PROHIBITED. IF YOU HAVE RECEIVED THIS TRANSMISSION IN ERROR, PLEASE IMMEDIATELY NOTIFY US BY TELEPHONE TO ARRANGE FOR RETURN OF THE DOCUMENTS.

MICHAEL P. LONGO, P.C.

GRES1.IAM CORPORATE CENTER 1

MICHAEL P. LONGO m SUITE 275

ATTORNEY AT LAW

1550 N. W. EASTMAN PARKWAY

Cp- ADMITTED ORECKOV & WASI-:RNGTON GRESi-[ AM, OREGON 97030

May 3, 2007

Telephone: ( 503) 669-3406

Facsimile: ( 503.) 6693466

Via Facsimile to: 54I- 385- 1764

Original by Surface Mail

Tim Grundeman

Deschutes County Community Development 117 NW Lafayette Avenue Bend, OR 97701

Re.: Update on Progress of Code Compliance

Dear Mr. Grundeman:

As you know, this office represents Larry J. Kosnaas ofPortland.,Oregon, You recently informed our client that he is allegedly in violation of County Code sections 18. 116.095_,13. 08. 050 & 13. 36.010. The property in questions is known as Tax Lot: 2015090001000 ( Millican.).

On April 19th, 2007 we spoke via telephone regarding your complaints. You' were informed that our client recently discovered people have been living on his land without hi.s permission for an undisclosed amount of time. The occupants later agreed to use the land subject to the provisions of a Letter Agreement dated March 15"', 2007. That agreement requires the occupants of the land to " comply with all laws, ordinances and regulations relating to the possession, use or maintenance ofthe land." ( See § 2, document previously provided.). Until your letter, our client was unaware that these occupants, David and Mickey Heisler, were using the land in such a way as to violate the County Code,

On Monday, April 30th 2007, our client' s son Thomas Kosmas personally delivered the enclosed Notice to Comply with Letter Agreemen /Cou.nty Code or Vacate within 10 Days. The Notice states in pertinent part, " if you are unable or unwilling to bring your occupancy into compliance with applicable law and cure your breach of the Letter Agreement governing your occupancy, then you rnu.st remove all personal property and vacate the premises by 11: 59 p.m. on.May 12, 2007." Mr. Heisler signed the Notice to indicate his receipt thereof and further stated to Mr. Kosmas' son. that he would seek compliance.

Please keep our office and Mr. Kosmas up to date on any compliance attempts initiated by Mr, Heisler.,If he fai..ls in his attempts to comply with.the demands set forth in your letter, please contact us immediately. if you clo not:hear from him, then we request

that you schedule a drive-by of the property some time after May 13t an.d inform us whether further action is needed to bring the property into compliance with the County Code. This may entail evicting the occupants and/ or additional clean- up.

We appreciate your patience in this matter and 1 want to reassure you that our client intends to do whatever is necessary to comply with the County Code and other applicable law. Feel free to contact me at any time to discuss this matter. I can always be reached at 503- 320- 3899.

Enclosure

cc: Client with a copy to:

David and Mickey Heisler

27737 Ford Rd. Bend, OR 97701

M ( J-IAa P. l..ONGO cl ATTORNEY AT 1: iW ar..1ari r , (At

MICHAEL P. LONGO, P. C.

David and Mickey Heisler fax Lot 201509- 00- 01000

Deschutes County, Oregon 97701

Monday, April 30, 2007

GRESHAM CORPORATE CENTER I St,JiT G 275Telephone: 4i 1550 N,W. EASTMAN PARKWAY Facsimile. ( 50 h69 , 4ci+ i< GRESHAM, OREGON 97030/

Re,: Notice to Comply with Letter Agreement/County Code or Vacate within 10 Days

Deer David and Mickey Heisler:

As you know, this office represents Larry J. Kosmas of Portland, Oregon. M.r. Kosmas owns the lanes on.which you are living in Deschutes County, Oregon. Our client was recently served with a certified Letter( copy enclosed) from Deschutes County Code Enforcement alleging your occupancy and use of the land is in violation ofthree sections orthe County Code.

Deschutes County Cocic Enforcement Technician Tim Grundeman stated in his letter, " Ft.) hesc violations are as follows: ( 1) living in recreational vehicles on land zoned EFU (exclusive farm use), ( 2) non -permitted on-site sewage disposal system and ( 3) accumulation of solid waste. This circumstance violates County Code sections 15. 1 1. 6. 095, 1 3. 04. 050 & 13. 36. 01. 0," I have enclosed a copy of Mr. Gru.nde.man' s letter dated April 13, 2007 along with the attachments so that you can see the full text and applicable County Code citations.

The notice of a violation of.Deschutes County land use laws and ordinances has forced our client to demand that you remedy the actions that are in violation of applicable county laws and the Letter Agreement or vacate the property and remove all your belongings within Ten ( 10) Days. Since the county has alleged these violations, thcy will be the party with whom you will need to seek approval ofcompliance. ifyou are unable or unwilling to bring your occupancy into compliance with applicable law andcute your breach of the Letter Agreement governing your occupancy, then you must remove all personal property and vacate the premises by 11: 59 p.m. on May 12, 2007.

The pertinent sections of the Letter Agreement you signed on March 29, 2007 are ns f? lion:

vection 2: Occupants shall use the Land in a careful and proper mauler and shall comply with all la.ws, ordinances. and regulations relating to the

possession, use, or maintenance, of the .Land. Fu.rtheiiore, Occupants shall maintain. the Land in a same, clean and sanitary condition.

Section 4: Occupants agree to assume all liability for, and to hold. Owner harmless from, all damages, costs, and fees in the defense thereof, caused by the negligence or wiliful act of Occupants or Occupants' invitees or guests, in or upon any part of the Land.

Section 7: Occupants agree that if they remain in possession of said T..,and atter the day they were to vacate pursuant to any notice, they will pay a daily rental lee of $45.00 for each day thereafter. Owner may give the Occupants Forty -I.-lye ( 45) days notice to vacate, without cause, at any time. Owner may give Occupants Ten ( 10) day' s notice to comply with any of the terms of the Agreement or vacate the Land.

Section 8: Occupants covenant and agree that in case Owner shall be made a party to any litigation commenced by or against Occupants, Occupants shall and will pay all costs and attorneys fees, including those on appeal, incurred by 01' rn1OSed upon Owner by or in connection with such litigation,

You may contact me at any time to discuss your intentions or make an'an.gements to vacate the property, lu>wever, the timelines set forth in this notice will be strictly enforced. TIME IS OF THE ESSENCE.

THF, SERVICE OF THIS NOTICE DOES NOT EFFECT AND IS NOT EFFECTED BY ANY OTHER NOTTCE( S) SERVED UPON YOU. Hand Delivered By:

DATE & TIME DATE& TIME

To C0tilPLV WITH LF/ TTF,R AORFFMENT PAGE 2 0172

Complete items 1, 2;a,iu 3. Also complete item 4 if Restricted Delivery is desired. Print your name and address on the reverse so that we can return the card to you. Attach this card to the back ofthe mailpiece, or on the front if space permits.

1. Article Addressed to:

Larry J. Kosmas L=830 S. E. Reedway Portland, OR 97202

MICHAEL P. LONGO et)

ATTORNEY ATLAW

0= ADMITTED OREGON tet WASHNGTON

MICHAEL P. LONGO, P.C.

GRESHAM CORPORATE CENTER I

SUITE 275

W. EASTMAN PARKWA Y

GRESHAM, OREGON 97030

TELECO' JER COVER LETTER

Telephone: ( 503) 669- 3406

Facsimile: ( 503) 669- 3466

IF YOU HAVE ANY TRANSMISSION PROBLEMS, PLEASE CALL KATHY OR BETTY AT (503) 669- 3406. SEND REPLY FACSIMILES TO (503) 669-3466.

KOSMAS

DATE: April 19, 2007

NUMBER OF PAGES (including this cover letter): 5

RE: LARRY J. KOSMAS

CODE VIOLATIONS: C07102, C07103, C07104

TO: TIM GRUNDEMAN, DESCHUTES CTY. CODE ENFORCEMENT

FAX: 541- 3854764

COMPANY:

Dear Tim:

DESCHUTES COUNTY COMMUNITY DEVELOPMENT

Itwas apleasure speaking with youtwice today, Asyouknow,this officerepresents LarryJ. Kosrnas regarding the code violations cited above. We discussed and youhave made it clear that no one can be living onthe property nor creating waste as set forth in yourletter ofApri,i.13, 2007. It is ourclient'sintention to comply with your instructions and cure these code violations by evicting the occupants, David and.Mickey Heisler. Per yourrequest, enclosed is an unexecuted copy oftheLetter Agreement the Ieisler's later signed. We will keep you updated regarding the status ofour eviction efforts. It is always easiest to reach Inc at 503- 320-3599.

2ONFZDENTJAL TY NOTICE

THIS FACSIMILE TRANSMISSION ( AND/OR DOCUMENTS ACCOMPANYING IT) MAY CONTAIN CONFIDENTIAL.INFORMATION BELONGING TOTT-TT'SENDER, THE INFORMATION IsINTENDED ONLYFORTHEUSEOFTHEINDIVIDUALORENTITYNAMEDABOVE.IFYOU ARENOTTHEINTENDED RECIPIENT,YOUAREHEREBYNOTIFIED THATANYDISCLOSURE, COPYING, DISTRIBCITION OR THE TAKING OF ANY ACTION IN RELIANCE ON THE CONTENTS OF THIS INFORMATION IS STRICTLY PROHIBITED. TF YOU HAVE RECEIVED THIS TRANSMISSION IN ERROR, PLEASE IMMEDIATELY NOTIFY LIS BY TELEPHONE TO ARRANGE FOR RETURN OF THE DOCUMENTS.

MiCI' AE_L. P. LONGE) m ATTORNI? Y AT LAW-

CE) AD\. TTED OcGON: & WA.sr-IINGTON

MICHAEL P. LONGO, P.C.

CGRESHAM CORPORATE CENTER 1 SUITE 275

1. 550 N.W. EASTMAN PARKWAY GRESHAM, OREGON 97030

Thursday, March 1. 5, 2007

David and Mickey Heisler

Tax Lot 201509- 00- 01. 000

Deschutes County, Oregon 97701

Re.: Occupation of Land/ Letter Agreement

Dear David. and Mickey Heisler:

This office represents Larry J. Kosmas ofPortland, Oregon. Mr. K.osrnas owns the land on w.h.ich you are living in Deschutes County, Oregon. The purpose of this letter agreement (hereinafter " Agreement") is to memorialize the terms and conditions ofyour occupancy ofthe land..Mr. Kosmas i.s not, at this time, intending to evict or otherwise have youremoved from the property. His intentionis to co.tne to a.mutual understanding with you regarding your use and occupancy ofthe property. Ifthe parties-are unable to come to an agreement, legal eviction proceedings are inevitable. Please read and review the following and, ifyou are in a.greem.entwith the terms as written, sign and date this agreement in the space provided at the end of this letter.

Larry ,T. Kosrn.as ( hereinafter " Owner") and David Heisler and Mickey Heisler hereinafter collectively " Occu.pants"), with respect to all matters relating to Taff Lot 201509-00-01.000, Deschutes County, Oregon(hereinafter" the Land"), agree as follows:

I .

The Land.is and shall atall times remain the sole property ofOwner, and Occupants shall have no right, title, or interest in the Land except as expressly set forth inthis Agreement. Occu.pants understand and agree that Owner is the sole owner ofthe Land andmake no claims to ownership, whether by agreement, adverse possession or other means.

Occupants shall usetheLand in acareful andproper-mannerandshall comply with a.11 laws, ordinances, and regulations relating to the possession, use, or maintenance ofthe Land. Furthermore, Occupants shall maintain the Land i.t-tasafe, clean and sanitary condition.

3. Occupants hereby assume all risk ofloss ofand damage to thetheirproperty on the Land from anycause. Occupants ateresponsible forobtaining an insurance policy to protect their own property ifthey want to and Occupants are hereby informed.that Owner isnotresponsible for insuring anyofOccupants' property.

9,

1 0.

4. Occupants agree to assume all liability for, and to hold Owner harmless from, all damages, costs, andfeesinthedefensethereof,causedbythenegligenceorwillfulact ofOccupants or Occupants' invitees orguests, in orupon anypartofthe Land. it is under-stood and agreed that Owner shall not be liable for any action or damage occasioned by Failure to furnish electricity, heat, refrigeration, water, or other services to the Land.

6. Without the prior written consent: of the Owner, Occupants shall not ( a) assign, transfer, pledge, or.hypothecate this Agreement, the Land orany part thereof,or any interest therein; ( b) sublet or lend the Land orany part thereof;or(c) permit the Land or anv part thereof to be used by anyone other than Occupants. Owner may assign their interest, or a part thereof, in this Agreement.

7. Occupants agree thatiftheyremaininpossession ofsaidLandafterthedaythey were to vacate pursuant:to any notice, they will pay adaily rental fee of$45.00 for each daythereafter. Owner maygivethe Occupants Forty-hive(45) days noticeto vacate, withoutcause, at anytime. Ownermaygive Occupants Ten.(10) day's notice to comply with any ofthe terms ofthe Agreement or vacate the La.ncl.

Occupants covenant and agree that in case Ovvner shall be made a party to any, litigation commenced byoragainst Occupants, Occupantsshalland willpayall costs and attorneys fees_,includingthoseonappeal.,incurred byorimposeduponOwner by or in connection with such litigation, In the event either party shall commence legal action to enforce any provision ofthis Agreement, including but not:limited to a suit for unlawful detainer, a suit for the recovery of rent, or a suit brought because of Occupants' breach ofany othercovenant herein contained, the court or arbitrator shall award to the prevailing party all reasonable attorneys fees and all costs incurred in connection therewith, including fees and costs on appeal,

Anywaiveror breachofcovenants hereincontained to bekept or performed bythe Ownershall notbedeemed orconsidered asacontinuing waiver,andshall notoperate to bar or prevent the Owner from declaring a forfeiture for any succeeding breach, either of the same condition or covenant Or otherwise,

Occupants and each ofthere shall bejointandseverally liable forany and all obligations and covenants undertaken pursuant tothis Agreement and any damages incurredbyOwnerortheLandasaresultoforoccut-r-ingduringtheiroccupancy.

11.

Ifany provision ofthis Agreement;isjudicially declared to beinvalid,, unenforceable Or void by a court ofcompetent jurisdiction, such decision shall not have theeffect ofinvalidating orvoidingtheremainderofthis Agreement, andthe part orparts ofthis Agreement so heldto be invalid. unenforceable or void shall be deemed to have been deleted fi-onh thisAgreement-and the remainder ofthis Agreement shall have the same force and effect as ifsuch part orparts had.never been included.

Finally, Occupants understand and agree that there are no understandings related to the Subject matter ofthis Agreement other than those set forth in this letter. It is deemed a contract made in Oregon and it:shall be construed and enforced according to the laws ofthe State ofOregon.. Any suit or action instituted by either party to enforce its terms or in the event ofbreach shall bebrought in the courts in the County of Multnomah, State ofOregon. No agreement or understanding which alters orextends the meaning ofthis Agreement shall be binding unless in'writing and signed by both pa.rti es.

1f the forgoing correctly reflects your understanding and agreement, please executer this Agreement by signing in the space-.~provided below.

DATE

DATE

DESCIIUTES COUNTY COMMUNITY DEVELOPMENT

April 13, 2007

1.. arry J. Kosmas

1 830 S. L-,Reedwav

Portand, OR 97202

RE: Deschutes County Code Violation - Ca.se > C07102, C07103 c` C07104 Taxfot_201 5090001 000 ( Millicart}

Dear, Property Owner

J' his letter is to inform you of alleged violations of the County Code associated with your property. ' 7hcse violations are as follows: ( 1) living in recreational vehicles on land zoned ETU ( exclusive farm use:), ( 2) non -permitted on- site sewage disposal system and ( 3) accumulation of solid waste. This circumstance violates County Code sections 18. 116.095, 1 3. 08. 050 13. 36. 010 ( see attached).

Since many violations occur because ofunfamiliarity with the county code, voluntary compliance is sought before 0 trthcr legal enforcement actions are taken. In the vast majority of cases, property owners correct the ; situation without the necessity for further action. The County believes that. voluntary compliance generally is less expensive for all patties and of a more satisfactory and lasting nature than involuntary compliance.

You are hereby requested to contact Tim Grundeman at ( 541- 385- 1707) within 15 days to discuss the details of your case including necessary earrcctive action. In certain cases, the corrective action may be obvious, Nevertheless_ you arc still asked to contact our of(' 1.c: e to confirm your compliance and establish timelines,

o your information, code enforcement cases arc initiated in several ways, including notification from County field personnel, other governmental agencies, and from private citizens. In each case, confirmation of the alleged violation is required prior to the mailing of this letter. For more information on the Code Enforcement program, please visit the Coln.: -/'s website al. http:// www/ co. deschutes. nr.us ( Community Development Department), or stop by our lobby, to review the Deschutes County Coco Enforcem.ent Policy and Procedures Manual.

You: cooperation 111 this matter is ? reatiy appreciated. We look forward to hearing from you.

SinCCre: y,

Tim Grundeman

Deschutes County C: ode 1-.`. nforceincnl. 1 eelinician

(541)388-6575, Fax (541) 385-1764

CERTIFIED LETTER

April 13, 2007

Larry J. Kosmas

1830 S.E. Reedway Portland, OR 97202

RE: Deschutes County Code Violation - Case # C07102, C07103 & C07104 Taxlot:2015090001000 (Millican)

Dear, Property Owner

This letter is to inform you ofalleged violations ofthe County Code associated with your property. These violations are as follows: ( 1) living in recreational vehicles on land zoned EFU (exclusive farm use), ( 2) non -permitted on-site sewage disposal system and( 3) accumulation of solid waste. This circumstance violates County Code sections 18.116.095, 13. 08.050 & 13. 36. 010 ( see attached).

Since many violations occur because ofunfamiliarity with the county code, voluntary compliance is sought before further legal enforcement actions are taken. In the vast majority of cases, property owners correct the situation without the necessity for further action. The County believes that voluntary compliance generally is less expensive for all parties and of a more satisfactory and lasting nature than involuntary compliance.

You are hereby requested to contact Tim Grundeman at(541- 385- 1707) within 15 days to discuss the details ofyour case including necessary corrective action. In certain cases, the corrective action may be obvious. Nevertheless, you are still asked to contact our office to confirm your compliance and establish timelines.

For your information, code enforcement cases are initiated in several ways, including notification from County field personnel, other governmental agencies, and from private citizens. In each case, confirmation ofthe alleged violation is required prior to the mailing of this letter. For more information on the Code Enforcement program, please visit the County's website at http://www/co.deschutes.or.us( Community Development Department), or stop by our lobby, to review the Deschutes County Code Enforcement Policy and Procedures Manual.

Your cooperation in this matter is greatly appreciated. We look forward to hearing from you.

Sincerely,

LOCATION :

DESCHUTES COUNTY COMMUNITY DEVELOPMENT CODE ENFORCEMENT COMPLAINT * 14: 17: 21 13 APR 2007 COMPLAINT ID C07102

ZIP : 977

TAXMAP : 2015090001000

SERIAL: 108595 COMPLAINT: DCC 18. 116. 095 LIVING IN RECREATIONAL VEHICLES ON LAND ZONED EFU

AREA DEFENDANT

OWNER ADDRESS STAFF STATUS

VIOLATION TYPE: PERMITS LUAS ZONE KOSMAS KOSMAS, LARRY J 1830 SE REEDWAY

COMMENTS:

TIM 04/ 13/ 07

PHONE: DOB:

PHONE: CITY : PORTLAND ST/ ZIP: OR 97202

STATUS DATE

SUBMIT DATE TICKLE DATE

ARRAIGNMENT DATE . TENATIVE COURT DATE:

04/ 13/ 07

04/ 13/ 07

04/ 30/ 07 NOV MAILED --- SITE CHECKED & PHOTOS --- VIOLATION CONFIRMED --- ASSOCIATED CASES C07102, C07103, & C07104. USE C07102 AS MASTER CASE.

OTHER COMPLAINTS ON THIS PROPERTY:

ID SUBMITTED

C07103 04/ 13/ 07

Staff Date

TIM 04/ 13/ 07

C07104 04/ 13/ 07

Staff Date

TIM 04/ 13/ 07

COMPLAINT

DCC 13. 08. 050 NON - PERMITTED ON- SITE SEWAGE DISPOSAL SYSTEM Comment NOV MAILED --- SITE CHECKED & PHOTOS --- VIOLATION CONFIRMED --- ASSOCIATED CASES C07102, C07103 & C07104. USE CO7102 AS MASTER CASE.

DCC 13. 36. 010 ACCUMULATION OF SOLID WASTE

Comment NOV MAILED --- SITE CHECKED & PHOTOS --- VIOLATION CONFIRMED --- ASSOCIATED CASES C07102, C07103 & C07104

NO LAND USE ACTIONS ON THIS PROPERTY

NO AG EXEMPTION APPLICATIONS ON THIS PROPERTY NO GENERAL COMMENTS ON THIS PROPERTY NO RESEARCH COMMENTS ON THIS PROPERTY

Development Department

CODE ENFORCEMENT COMPLAINT FORM

Instructions: In order for your complaint to be accepted, you must fill in all questions completely and sign at the bottom ofthisform. It is important that you supply as much detail as possible. Ifyou have any questions, call code enforcement at (541) 385-1707.

Date: y- G' 1

Address of Violation( s): City: e,J Nearest Cross Street: Subdivision:

ARE THERE ANYKNOWN OR

If'yes, Identify Hazard in detail: Pte, S

The top portion ofthis side is required and must be completed.

Complainant: ( Your Name)

Name: F1DY2

Address: ;, p,

5g.e. Ptic,

City: 01 XState: Cjy? _ , Zip: Q( 77o 7 Day time phone #: ( -; 144 — O(4+ Co

Can violation be seen from the road? ( 2() Yes ( ) No Ifnot, what is the best inspection point?

Is the complainant a neighbor? ( Yes ( ) No

The complainant gives Code Pnforcement Officer permission to use their property for viewing violation: ( Yes ( ) No Ifnot, why:

Will you, the complainant, testify in court should the need arise? ( Yes ( ) No

Note: your complaint may not be accepted without you being available to testify.)

Ifyou have photos, or other related information, that can be used as evidence ofthis violation, please submit them with this application. The submitted documentation will not be returned and will become part of the complaint file.

By signing below, I hereby certify that all information submitted on and with this form, is true and ac urate to the bes ofmy knowledge.

COMPLAINANT

Thank you for assisting in making Deschutes County a better place to live.

Your Code Enforcement Staff FOR OFFICE USE ONLY

Mustangs

From: " Steve and Nona" < stenona@bendbroadband. com>

To: " Flora Steffan" < mustangs@outlawnet. com>

Sent: Wednesday, April 04, 2007 10:06 PM

Subject: Names and addresses Requested

Hi Flora,

The RV and Trailers behind(north and west ofRichard)the manufactured home that's for sale are ontax lot2015090001000. The information that we have is: Larry J. Kosmas, etux 1830 S E Reedway Portland, Or 97202

Phone: 503- 232- 0642

The tax lot number forthe people with horses is: 2015090003000. We do not have aname or address for them.

See you on Thursday/tomorrow.

Nona

p.s. Thanks for the pictures! They were great.

From: Sent:

To: Flora Steffan [mustangs@outlawnet.com]

Wednesday, April 04, 2007 11: 25 PM

Tim Grundeman

Subject: squatters

Hi there Tim,

Here are the names and info for two of the squatters out in the Millican Valley, North and East of Cunningham.

Horse people to the East of Cunningham on lot 2015090003000

Ken and Sheltie Phillips

CIO SS Ranch ( A) P.O. Box 9143 Bend, OR 97708

Site address: 27827 Ford Rd, Bend, OR 97702

he circle of RV's and trailers behind ( o an. . - is and Jenkins) North of Cunningham' s are on tax lot 2015090001000

Larry J. Kosmas, etux 1830 S E Reedway Portland, OR 97202 503) 232-0642

1 hope this helps you. Tonight when I received this information I filled out and signed two complaint forms on these people. I do not have a fax machine here at the ranch, but I can scan and send them to you ifthat is enough? Or, I can bring them with me to the dog hearing tomorrow night.

By the way, my attorney will be appearing with me at the court hearing.

Thank you for all of your help! I gave your name to my neighbor ( legal neighbor) Janet & Keith Nash. They have signed numerous complaints against the squatters, but nothing was ever done!!! They may be contacting you as well as signed new complaints.

What is your partner's name? I hope you both liked the cookies! :-) alwaz—

Situs Address: Mailing Address:

04/ 15/ 2008 15: 33: 09

DIVISION CE

SITUS

HOUSE#

STREET

CONTENT C07103

RECORD ID C07103

LOCATED

KOSMAS, LARRY J ETUX 1830 SE REEDWAY PORTLAND OR 97202

Assessor Property Description Lot: Block:

NOTICE: There is an unresolved Code Enforcement violation on this property.* Call Community Development Code Enforcement at 541- 385- 1707 for more info. *

Prop Cls: 500 MA: 3 VA: 33 NH: 000

Asmt Zone: EFU CDD Zone: WA ( WILDLIFE AREA COMBINING ZONE) EFUHR ( EXCLUSIVE FARM USE - HORSE RIDGE SUBZONE) LND: Land Values ***

Values shown below are as of the Assessment Date, January 1 of each year.

Community Development Department

CODE ENFORCEMENT COMPLAINT FORM

Instructions: In order for your complaint to be accepted, you must fill in all questions completely and sign at the bottom ofthisform. It is important that you supply as much detail as possible. Ifyou have any questions, call code enforcement at (541) 385-1707.

Date:

ARE THERE ANYKNOWN OR SUSPECTED HAZARDS AT THIS LOCATION? IE:

The top portion ofthis side is required and mustbe completed.

Complainant: ( Your Name)

Name: rin

Address: = f X (

City: iM State: Day time phone #:(- - 7:LH —04-11c0

Zip: cy770 r7

Can violation be seen from the road? ( 2.5 Yes ( ) No Ifnot, what is the best inspection point? //

Is the complainant a neighbor? ( No The complainant gives tl e Code orcement Officer permission to use their property for viewing violation: Yes ( ) No Ifnot, why:

Will you, the complainant, testify in court should the need arise? ( Yes ( ) No Note: your complaint may not be accepted without you being available to testify.)

Ifyou have photos, or other related information, that can be used as evidence ofthis violation, please submit them with this application. The submitted documentation will not be returned and will become part of the complaint file.

By signing below, I hereby certify that all information submitted on and with this form is true and ac urate to the bes, of my knowledge.

COMPLAINANT

DATE

Thank you for assisting in makingDeschutes County a better place to live.

Your Code Enforcement Staff

Subdivision: FOR OFFICE USE ONLY

Mustangs

From: " Steve and Nona" < stenona© bendbroadband. com>

To: " Flora Steffan" < mustangs© outlawnet. com>

Sent: Wednesday, April 04, 2007 10:06 PM

Subject: Names and addresses Requested

Hi Flora,

The RV and Trailers behind(north and west ofRichard)themanufactured home that's for sale are ontax lot 2015090001000. The information that we have is: Larry J. Kosmas, etux 1830 S E Reedway Portland, Or 97202

Phone: 503- 232- 0642

Thetaxlotnumberforthepeople withhorses is: 2015090003000. We do nothave aname oraddress for them.

See you on Thursday/tomorrow.

Nona p.s. Thanks for the pictures! They were great.

From: Flora Steffan [ mustangs@outlawnet. com]

Sent: Wednesday, April 04, 2007 11: 25 PM

To: Tim Grundeman

Subject: squatters

Hi there Tim,

Here are the names and info for two ofthe squatters out in the Millican Valley, North and East of Cunningham.

Horse people to the East of Cunningham on lot 2015090003000

Ken and Shellie Phillips

C/ O SS Ranch ( A) P.O. Box 9143 Bend, OR 97708

Site address: 27827 Ford Rd, Bend, OR 97702

he circle of RV's and trailers behind ( an 2015090001000

Larry J. Kosmas, etux 1830 S E Reedway Portland, OR 97202 503) 232-0642

is and Jenkins) North of Cunningham' s are on tax lot

I hope this helps you. Tonight when I received this information I filled out and signed two complaint forms on these people. I do not have a fax machine here at the ranch, but I can scan and send them to you ifthat is enough? Or, I can bring them with me to the dog hearing tomorrow night.

By the way, my attorney will be appearing with me at the court hearing.

Thank you for all of your help! I gave your name to my neighbor ( legal neighbor) Janet & Keith Nash. They have signed numerous complaints against the squatters, but nothing was ever done!!! They may be contacting you as well as signed new complaints.

What is your partner's name? I hope you both liked the cookies! :-)

alwaz—

Tabular Results Query Results

Find Taxlot ( 1- 1 of 1 ecord)

NAME

KOSMAS, LARRY J ETUX

http://1ava5.deschutes.org/mox5/ indexintranet. cfm?

Special Inspection Permits 0 special inspection permit(s) available N/ A for this tax lot

DIVISION

SITUS HOUSE#

STREET

CONTENT C07104

RECORD ID C07104

LOCATED IN DATE FILE Cover Sheet Identifier

CERTIFIED LETTER

April 13, 2007

1830 S. E. Reedway Portland, OR 97202

RE: Deschutes County Code Violation - Case # C07102, C07103 & C07104 Taxlot:2015090001000 ( Millican)

Dear, Property Owner

This letter is to inform you of alleged violations as follows: ( 1) living in recreational vehicles on disposal system and ( 3) accumulation of solid 13. 08. 050 & 13. 36.010 ( see attached).

of the County Code associated with your property. These violations are land zoned EFU ( exclusive farm use), ( 2) non -permitted on-site sewage waste. This circumstance violates County Code sections 18. 116.095,

Since many violations occur because ofunfamiliarity with the county code, voluntary compliance is sought before further legal enforcement actions are taken. In the vast majority of cases, property owners correct the situation without the necessityforfurther action. The Countybelieves that voluntarycompliance generally is less expensive forallparties and ofa more satisfactory and lasting nature than involuntary compliance.

YouareherebyrequestedtocontactTimGrundemanat(541-385-1707) within 15 daystodiscussthedetails ofyourcase including necessary corrective action. In certain cases, the corrective actionmay beobvious. Nevertheless, youare still askedto contact our office to confirm your compliance and establish timelines.

For your information, code enforcement cases are initiated in several ways, including notification from County field personnel, other governmental agencies, and fromprivate citizens. Ineach case, confirmation oftheallegedviolation is required prior to the mailing of this letter. For more information on the Code Enforcement program, please visit the County's website at http:// www/co.deschutes. or.us ( Community Development Department), or stop by our lobby, to review the Deschutes County Code Enforcement Policy and Procedures Manual.

Your cooperation in this matter is greatly appreciated. We look forward to hearing from you.

Sincerely,

KOSMAS, LARRY J ETUX 1830 SE REEDWAY PORTLAND OR 97202

Assessor Property Description Lot: Block:

NOTICE: There is an unresolved Code Enforcement violation on this property.* Call Community Development Code Enforcement at 541- 385- 1707 for more info. *

Prop Cls: 500 MA: 3 VA: 33 NH: 000

Asmt Zone: EFU CDD Zone: WA ( WILDLIFE AREA COMBINING ZONE) EFUHR ( EXCLUSIVE FARM USE - HORSE RIDGE SUBZONE) LND: Land Values ***

Values shown below are as of the Assessment Date, January 1 of each year.

2002 Balance Due

2000 Balance Due

CODE ENFORCEMENT COMPLAINT FORM

Instructions: In order for your complaint to be accepted, you must fill in all questions completely and sign at the bottom ofthisform. It is important that you supply as much detail as possible. If you have any questions, call code enforcement at ( 541) 385- 1707.

Date: Address of Violation( s): ^ 4( of ' Q6,15- 09 0 00 1 o © o

( JQev

f Complaint: ( be specific): R \1 is + '

( )

Identify Hazard in detail: Pri qi, 5

The top portion ofthis side is required and must be completed.

Complainant: ( Your Name)

Name: 1W P-61.11

Address: City: v o. Day time phone #: ( 1,1) 6x I( S3 L- 041C State:

Can violation be seen from the road? (, Yes ( ) No If not, what is the best inspection point?

Is the complainant a neighbor? ( Yes ( ) No

The complainant gives Code nforcement Officer permission to use their property for viewing violation: ( Yes ( ) No Ifnot, why:

Will you, the complainant, testify in court should the need arise? ( x}Yes ( ) No

Note: your complaint may not be accepted without you being available to testify.)

If you have photos, or other related information, that can be used as evidence of this violation, please submit them with this application. The submitted documentation will not be returned and will become part of the complaint file.

By signing below, I hereby certify that all information submitted on and with this form is true and ac urate to the bes, ofmy knowledge.

COMPLAINANT

DATE

Thank you for assisting in making Deschutes County a better place to live.

Your Code Enforcement Staff

Subdivision:

From: " Steve and Nona" < stenona@bendbroadband. com>

To: " Flora Steffan" < mustangs@outlawnet. com>

Sent: Wednesday, April 04, 2007 10:06 PM

Subject: Names and addresses Requested

Hi Flora,

The RV and Trailers behind (north and west ofRichard)the manufactured home that's for sale are on tax lot 2015090001000. The information that we have is: Larry J. Kosmas, etux 1830 S E Reedway Portland, Or 97202

Phone: 503- 232- 0642

The tax lot number for the people with horses is: 2015090003000. We do not have a name or address for them.

See you on Thursday/tomorrow.

Nona

p.s. Thanks for the pictures! They were great.

Tim Grundeman

From: Flora Steffan [ mustangs@outlawnet. com]

Sent: Wednesday, April 04, 2007 11: 25 PM

To: Tim Grundeman

Subject: squatters

Hi there Tim,

Here are the names and info for two of the squatters out in the Millican Valley, North and East of Cunningham.

Horse people to the East of Cunningham on lot 2015090003000 Ken and Shellie Philips

C/ O SS Ranch ( A) P. O. Box 9143 Bend, OR 97708

Site address: 27827 Ford Rd, Bend, OR 97702

he circle of RV's and trailers behind ' o an - of Richard Jenkins) North of Cunningham' s are on tax lot 2015090001000

Larry J. Kosmas, etux 1830 S E Reedway Portland, OR 97202 503) 232- 0642

I hope this helps you. Tonight when I received this information I filed out and signed two complaint forms on these people. I do not have a fax machine here at the ranch, but can scan and send them to you if that is enough? Or, can bring them with me to the dog hearing tomorrow night.

By the way, my attorney will be appearing with me at the court hearing.

Thank you for all of your help! I gave your name to my neighbor (legal neighbor) Janet & Keith Nash. They have signed numerous complaints against the squatters, but nothing was ever done!!! They may be contacting you as well as signed new complaints.

What is your partner' s name? I hope you both liked the cookies! :-) alwaz-

Flora

Tabular Results Query Results

Find Taxlot ( 1- 1 ofyrRecord)

lirP, SAMFM21
TAXLOT

Turn static files into dynamic content formats.

Create a flipbook
Issuu converts static files into: digital portfolios, online yearbooks, online catalogs, digital photo albums and more. Sign up and create your flipbook.