8721 Merlin Dr Redmond - Homebook

Page 1


This week the median list price for Redmond, OR 97756 is $608,902 with the market action index hovering around 37. This is about the same as last month's market action index of 37 Inventory has increased to 190

Market Action Index

This answers “How’s the Market?” by comparing rate of sales versus inventory

Real-Time Market Profile

Price of New Listings

Slight Seller's Advantage

Market Narrative

Home sales continue to outstrip supply and the Market Action Index has been moving higher for several weeks This is a Seller’s market so watch for upward pricing pressure in the near future if the trend continues

Market Segments

Slight Seller's Advantage

Each segment below represents approximately 25% of the market ordered by price

Median List Price

Again this week we see prices in this zip code remain roughly at the level they’ve been for several weeks. Since we’re significantly below the top of the market, look for a persistent up-shift in the Market Action Index before we see prices move from these levels.

Segments

In the quartile market segments, we see prices in this zip code have settled at a price plateau across the board. Prices in all four quartiles are basically mixed. Look for a persistent shift (up or down) in the Market Action Index before prices move from these current levels.

Price Per Square Foot

The market plateau is seen across the price and value. The price per square foot and median list price have both been reasonably stagnant. Watch the Market Action Index for persistent changes as a leading indicator before the market moves from these levels.

Inventory has been falling in recent weeks. Note that declining inventory alone does not signal a strengthening market. Look to the Market Action Index and Days on Market trends to gauge whether buyer interest is changing with the available supply.

Market Action Index

Home sales continue to outstrip supply and the Market Action Index has been moving higher for several weeks. This is a Seller’s market so watch for upward pricing pressure in the near future if the trend continues.

Market Action Segments

Not surprisingly, all segments in this zip code are showing high levels of demand. Watch the quartiles for changes before the whole market changes. Often one end of the market (e.g. the highend) will weaken before the rest of the market and signal a slowdown for the whole group.

Median Days on Market (DOM)

The properties have been on the market for an average of 125 days. Half of the listings have come newly on the market in the past 86 or so days. Watch the 90-day DOM trend for signals of a changing market.

Segments

It is not uncommon for the higher priced homes in an area to take longer to sell than those in the lower quartiles.

AreaProfiled:EagleCrestIIPh1

ReportDate: 04/11/2025

SalesDates: 03/03/1994-02/20/2025

NumberofParcels:73

WaterfrontParcels:0

AverageSalePricebyYear:01/01/2017-04/11/2025

*28sale(s)areincludedinthegraph

SalesStatisticsbyYear:01/01/2017-04/11/2025

*28sale(s)areincludedinthetable

**1sale(s)withnosalepriceorbuildingsqftareexcludedfromthetable

OwnerOccupancy

ParcelswithViews:0

LengthofResidence

AverageLengthofResidence

*63parcel(s)areincludedinthecalculation

**10parcel(s)withnosaledateareexcluded fromthecalculation

AgeofHomes

AverageAgeofHome

AssessedValues

Property Profile Taxes Deed

PropertyProfileSummary

SUBJECTPROPERTY

190181 DeschutesCounty

ADDRESS

8721MerlinDr Redmond,OR97756

OWNER

Merritt,KerryD Merritt,ValerieS

DATE 04/11/2025

PREPAREDBY KimMcCanna kmccanna@deschutestitle.com

DESCHUTESCOUNTYPROPERTYPROFILEINFORMATION

Parcel#:190181

TaxLot:151215D001200

Owner:Merritt,KerryD

CoOwner:Merritt,ValerieS

Site:8721MerlinDr RedmondOR97756

Mail:25090SEHoffmeisterRd DamascusOR97089

LandUse:808-Recreation

StdLandUse:8002-Commercial-VacantLand

Legal:EAGLECRESTII-PHASEILot:42

Twn/Rng/Sec:T:15SR:12ES:15Q:SEQQ:

ASSESSMENT&TAXINFORMATION

MarketTotal:$263,070.00

MarketLand:$263,070.00

MarketImpr:

AssessmentYear:2024

AssessedTotal:$78,950.00

Exemption:

Taxes:$1,314.51

LevyCode:2-004

LevyRate:166500

SALE&LOANINFORMATION

SaleDate:07/24/2015

SaleAmount:$135,00000

Document#:30238

DeedType:WarrantyDeed

LoanAmount:

Lender:

LoanType:

InterestType:

TitleCo:MULTIPLE

PROPERTYCHARACTERISTICS

YearBuilt: EffYearBuilt: Bedrooms: Bathrooms: #ofStories: TotalSqFt: Floor1SqFt: Floor2SqFt: BasementSqFt: Lotsize:0.49Acres(21,344SqFt)

GarageSqFt: GarageType: AC:

Pool:

HeatSource: Fireplace:

BldgCondition: Neighborhood: Lot:42

Block: Plat/Subdiv:EagleCrest02Ph01

Zoning:DeschutesCounty-EFUSC-Efu-Sisters/Cloverdale Subzone

SchoolDist:2J-Redmond

Census:1013-000603

Recreation:EagleCrestResort

SentryDynamics,Inc anditscustomersmakenorepresentations,warrantiesorconditions,expressorimplied,astotheaccuracyorcompletenessofinformationcontainedinthisreport

Deschutes County Property Information

Report Date: 4/11/2025 2:54:14 PM

The information and maps presented in this report are provided for your convenience. Every reasonable effort has been made to assure the accuracy of the data and associated maps. Deschutes County makes no warranty, representation or guarantee as to the content, sequence, accuracy, timeliness or completeness of any of the data provided herein. Deschutes County explicitly disclaims any representations and warranties, including, without limitation, the implied warranties of merchantability and fitness for a particular purpose. Deschutes County shall assume no liability for any errors, omissions, or inaccuracies in the information provided regardless of how caused. Deschutes County assumes no liability for any decisions made or actions taken or not taken by the user of this information or data furnished hereunder.

Subdivision:

Warnings, Notations, and Special Assessments

Review of digital records maintained by the Deschutes County Assessor’s Office, Tax Office, Finance Office, and the Community Development Department indicates that there are no special tax, assessment or property development related notations associated with this account. However, independent verification of the presence of other Deschutes County tax, assessment, development, and additional property related considerations is recommended. Confirmation is commonly provided by title companies, real estate agents, developers, engineering and surveying firms, and other parties who are involved in property transactions or property development. In addition, County departments may be contacted directly to discuss the information.

Tax Payment History

STATEMENT OF TAX ACCOUNT DESCHUTES

8721 MERLIN DR REDMOND SITUS ADDRESS:

Full Payment with 3% Discount Discount is lost after due date and interest may apply PAYMENT OPTIONS: * Online * By Mail to Deschutes County Tax, PO Box 7559 Bend OR 97708-7559 * Drop Box

Please include this coupon with payment. Please do not staple, paper clip or tape your payment.

Please select payment option

Payment Due One-Third Payment (No Discount) Next Payment Due

Payment Due November 15, 2024

address change form on reverse) Full Payment (3% Discount) Two-Thirds Payment (2% Discount)

Please make checks payable to Deschutes County Tax Collector

Roa d Map Map an d Tax l ot: 151 21 5D 001200

AerialMap

ParcelID:190181

TaxAccount#:151215D001200

8721MerlinDr, RedmondOR97756

Thismap/platisbeingfurnishedasanaidinlocatingtheherein describedlandinrelationtoadjoiningstreets,naturalboundariesand otherland,andisnotasurveyofthelanddepictedExcepttotheextent apolicyoftitleinsuranceisexpresslymodifiedbyendorsement,ifany, thecompanydoesnotinsuredimensions,distances,locationof easements,acreageorothermattersshownthereon

AssessorMap

ParcelID:190181

TaxAccount#:151215D001200

8721MerlinDr, RedmondOR97756

Thismap/platisbeingfurnishedasanaidinlocatingtheherein describedlandinrelationtoadjoiningstreets,naturalboundariesand otherland,andisnotasurveyofthelanddepictedExcepttotheextent apolicyoftitleinsuranceisexpresslymodifiedbyendorsement,ifany, thecompanydoesnotinsuredimensions,distances,locationof easements,acreageorothermattersshownthereon

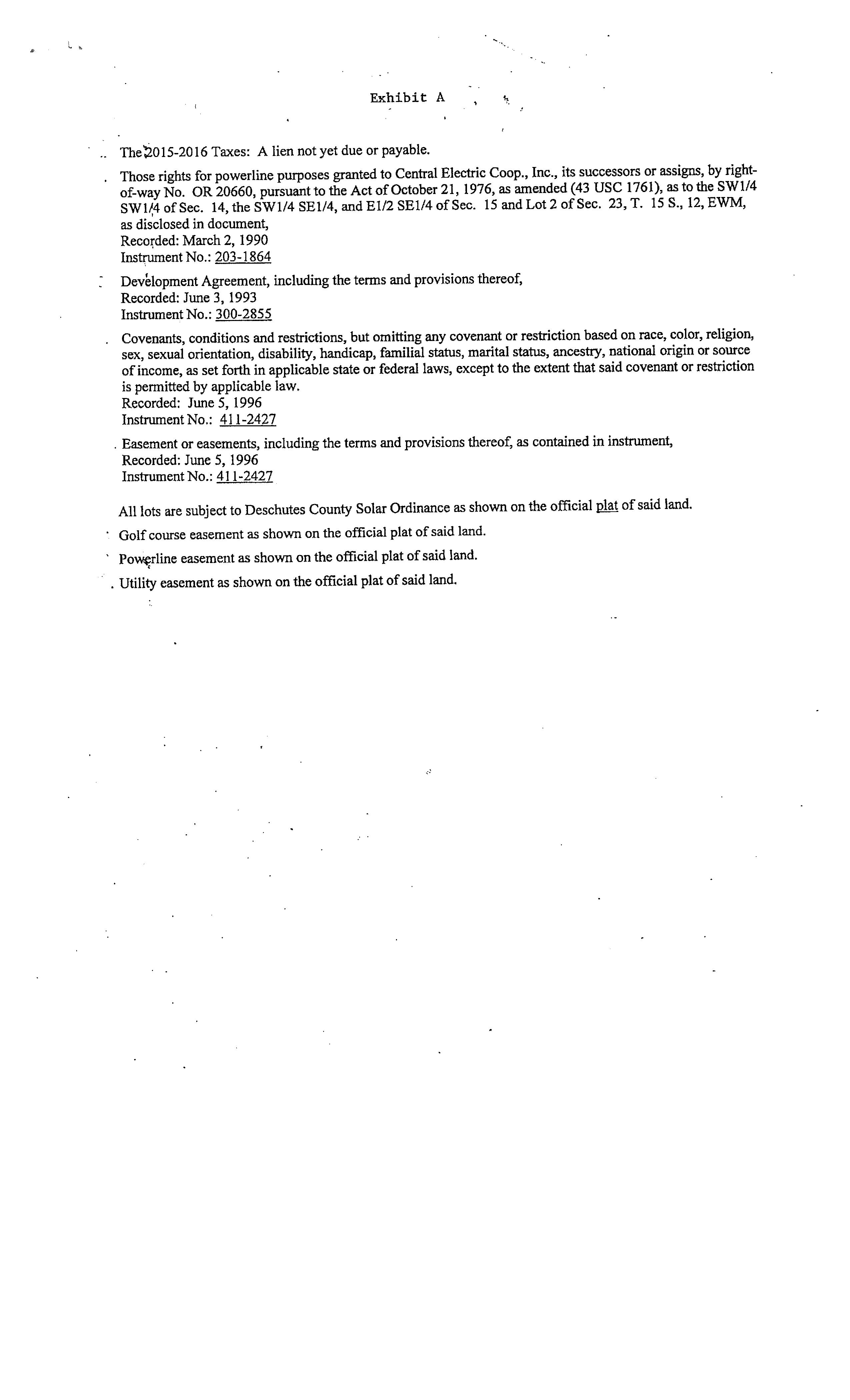
Covenants, Conditions and Restrictions

CC&R’s Hard Copy Available Upon Request Or Click the Hyperlink on the next page to view Electronically

Click on hyperlink below to view CC&R’s & Plat Map

https://issuu.com/infodeschutestitle/docs/eagle_crest_ii_ph_i_cc_r_s?fr=xKAE9_zMzMw

Note: Until a full Title search has been done, there may be updated CC&R’s.

Property Maps

Sw alley Irrigation Dist (DRIC)

Central O rego n Irrigation District

Redmon d RFP D
Station #402
Redmon d RFP D Station #403
St Charles Medical Cen ter - Red mo nd
Redmon d RFP D Station #401
Redmon d RFP D Station #404
Redmon d Police Department
Deschu tes
Count y Sh eriff - Terreb onn e

Tillicum Park/Chase Ranch

Borden Beck Wildlife Preserve

Peter Skene Ogden State Scenic Viewpoint

Smith Rock State Park Diamond Bar Ranch Park Quince Park

Hathaway Park

Cline Falls State Scenic Viewpoint

Tetherow Crossing Tetherow Park RAPRD Activity Center

Stack Park

Redmond-Bend Juniper State Scenic Corridor

Firemans Pond Hayden Park Baker Park

Quartz Park

Valleyview Park Umatilla Sports Complex

The Greens Trail Centennial Park Plaza

State Park Property

ParcelID:190181

TaxAccount#:151215D001200

8721MerlinDr, RedmondOR97756

Thismap/platisbeingfurnishedasanaidinlocatingtheherein describedlandinrelationtoadjoiningstreets,naturalboundariesand otherland,andisnotasurveyofthelanddepictedExcepttotheextent apolicyoftitleinsuranceisexpresslymodifiedbyendorsement,ifany, thecompanydoesnotinsuredimensions,distances,locationof easements,acreageorothermattersshownthereon

FloodMap

ParcelID:190181

TaxAccount#:151215D001200

8721MerlinDr, RedmondOR97756

Thismap/platisbeingfurnishedasanaidinlocatingtheherein describedlandinrelationtoadjoiningstreets,naturalboundariesand otherland,andisnotasurveyofthelanddepictedExcepttotheextent apolicyoftitleinsuranceisexpresslymodifiedbyendorsement,ifany, thecompanydoesnotinsuredimensions,distances,locationof easements,acreageorothermattersshownthereon

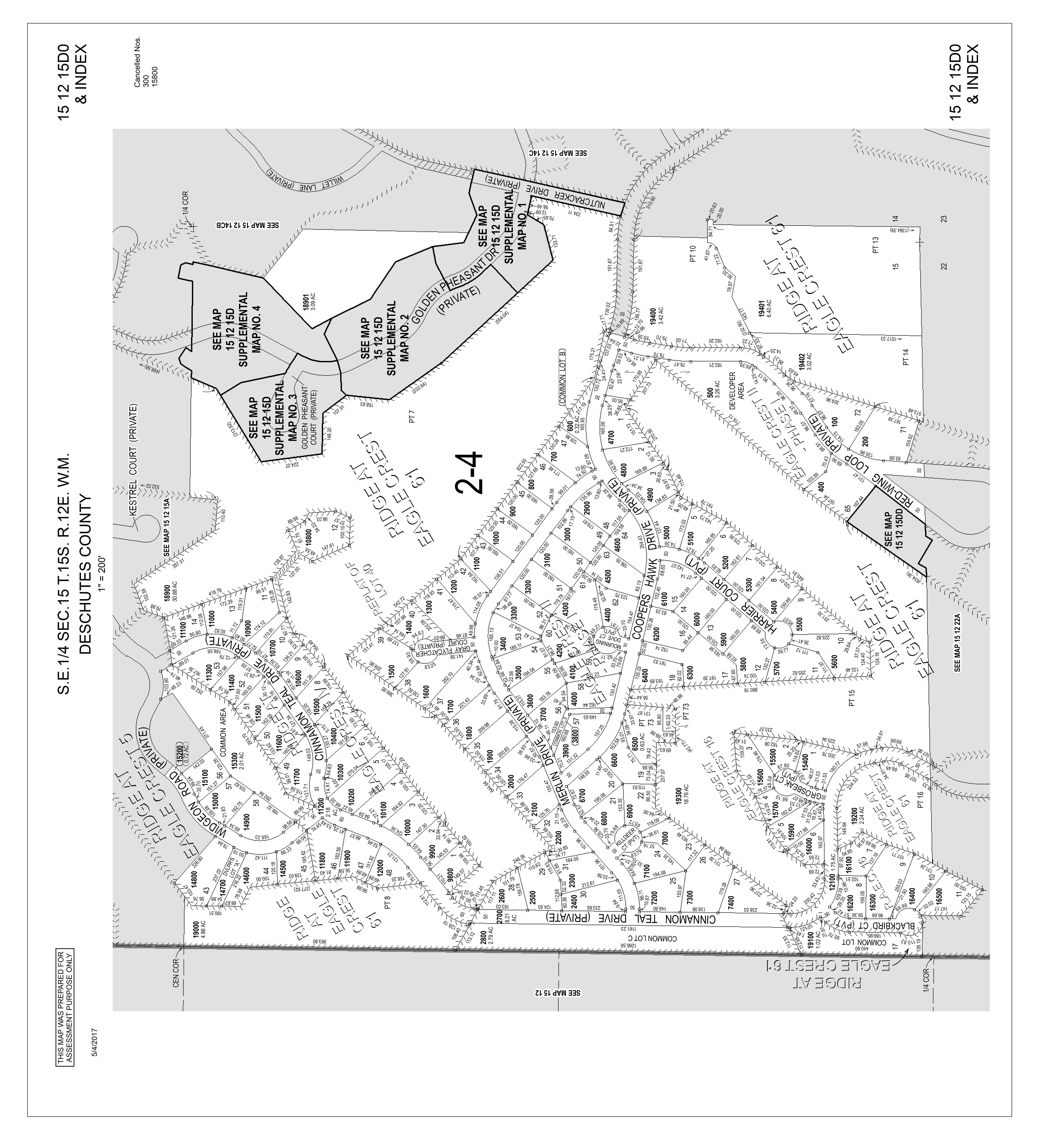
SubdivisionMap

ParcelID:190181

TaxAccount#:151215D001200

8721MerlinDr, RedmondOR97756

Thismap/platisbeingfurnishedasanaidinlocatingtheherein describedlandinrelationtoadjoiningstreets,naturalboundariesand otherland,andisnotasurveyofthelanddepictedExcepttotheextent apolicyoftitleinsuranceisexpresslymodifiedbyendorsement,ifany, thecompanydoesnotinsuredimensions,distances,locationof easements,acreageorothermattersshownthereon

SoilMap

ParcelID:190181

TaxAccount#:151215D001200

8721MerlinDr, RedmondOR97756

Thismap/platisbeingfurnishedasanaidinlocatingtheherein describedlandinrelationtoadjoiningstreets,naturalboundariesand otherland,andisnotasurveyofthelanddepictedExcepttotheextent apolicyoftitleinsuranceisexpresslymodifiedbyendorsement,ifany, thecompanydoesnotinsuredimensions,distances,locationof easements,acreageorothermattersshownthereon

StreetMap

ParcelID:190181

TaxAccount#:151215D001200

8721MerlinDr, RedmondOR97756

Thismap/platisbeingfurnishedasanaidinlocatingtheherein describedlandinrelationtoadjoiningstreets,naturalboundariesand otherland,andisnotasurveyofthelanddepictedExcepttotheextent apolicyoftitleinsuranceisexpresslymodifiedbyendorsement,ifany, thecompanydoesnotinsuredimensions,distances,locationof easements,acreageorothermattersshownthereon

ZoningMap

ParcelID:190181

TaxAccount#:151215D001200

8721MerlinDr, RedmondOR97756

Thismap/platisbeingfurnishedasanaidinlocatingtheherein describedlandinrelationtoadjoiningstreets,naturalboundariesand otherland,andisnotasurveyofthelanddepictedExcepttotheextent apolicyoftitleinsuranceisexpresslymodifiedbyendorsement,ifany, thecompanydoesnotinsuredimensions,distances,locationof easements,acreageorothermattersshownthereon

Community Services

Community Resource Guide

Deschutes

Community Resource Guide

BendRedmond

Police Dept. (Non-Emergency) ........................ 541.388.0170

Post

Redmond Library .............................................. 541.312.1050

Redmond

Hugh Hartman ................................................... 541.923.8900

John Tuck ........................................................... 541.923.4884

M.A. Lynch ......................................................... 541.923.4876

Sage .................................................................... 541.316.2830 Terrebonne

Sunriver and La Pine

Prineville

School Report

SchoolReport

DeschutesCounty

SubjectParcel

SiteAddress 8721MerlinDr RedmondOR97756

Parcel 190181

SchoolDistrict 2JRedmond

AssignedPrimarySchool TumaloCommunitySchool

AssignedMiddleSchool ObsidianMiddleSchool

AssignedHighSchool RidgeviewHighSchool

TumaloCommunitySchool

SchoolMap

School#1

SchoolDistrict RedmondSD2J

DistFromSubject364miles

School RidgeviewHighSchool SiteAddress 4555SWElkhornRd City Redmond Zip 97756

Type 1-Regularschool Students 870

Charter No Magnet

Title1Elig 2-No

Free/Reduced Lunch 310

Student/Teacher Ratio 2088

Male 454

School#2

SchoolDistrict RedmondSD2J

Title1 6-NotaTitleIschool

FTETeachers Count 4166

GradeLevels 9thGrade-12thGrade

Female 412

DistFromSubject465miles

School ObsidianMiddleSchool SiteAddress 1335SWObsidianAve City Redmond Zip 97756

Type 1-Regularschool Students 591

Charter No Magnet

Title1Elig 2-No

Free/Reduced Lunch 282

Student/Teacher Ratio 2049

Title1 6-NotaTitleIschool

FTETeachers Count 2884

GradeLevels 6thGrade-8thGrade

Male 304 Female 286

School#3

SchoolDistrict RedmondSD2J

DistFromSubject846miles

School TumaloCommunitySchool SiteAddress 198352ndSt City Bend Zip 97701

Type 1-Regularschool Students 265

Charter No Magnet

Title1Elig 2-No

Free/Reduced Lunch 102

Student/Teacher Ratio 1610

Male 147

Title1 6-NotaTitleIschool

FTETeachers Count 1646

GradeLevels Kindergarten-5thGrade

Female 118

Students We Serve

OREGON AT-A-GLANCE SCHOOL PROFILE

Tumalo Community School

PRINCIPAL: Sam Platt | GRADES: K-5 | 19835 2nd St, Bend 97701 | 541-382-2853

2023-24

REGULAR ATTENDERS

Students

MATHEMATICS

School Goals

· Build strong relationships with students and families.

· Strong Focus on student performance at grade level or above in reading.

· Share expertise. Our staff will support each other's professional growth.

· Increase student growth and achievement.

· Promote positive mindsets with our staff, students and parents.

· Educate the whole child through rigorous and engaging lessons, K-5 outdoor educational experiences and technology along with social & emotional guidance.

· Continue our focus on strong attendance rates.

State Goals

The Oregon Department of Education is collaborating with school districts and communities across the state to achieve a 90% ontime graduation rate by 2027. Grounded in the pillars of Academic Excellence, Belonging and Wellness, and Reimagined Accountability, ODE prioritizes evidence-based practices to boost early literacy, attendance, and student engagement. We are committed to closing opportunity and achievement gaps for marginalized students and securing long-term success for all of Oregon’s learners by investing in culturally responsive practices, fostering inclusive environments and always driving for continuous improvement.

Safe & Welcoming Environment

Our priority is that all RSD students and families experience a safe, welcoming and inclusive school environment. All students are entitled to academic success regardless of background or family circumstances; each student will be provided support to ensure success. We are committed to sustaining an inclusive and culturally responsive school culture for all students, families and staff. We ensure safe schools through prevention, intervention, behavioralemotional health and crisis preparedness.

Our Staff (rounded FTE)

OREGON AT-A-GLANCE SCHOOL PROFILE

Tumalo Community School

Outcomes

REGULAR ATTENDERS

ENGLISH LANGUAGE ARTS

About Our School

BULLYING, HARASSMENT, AND SAFETY POLICIES

RSD considers the safety of children our greatest priority. Everyone is welcome in school and we recognize the diversity and worth of all. We ensure physically and psychologically safe, secure and orderly learning environments. Elementary schools use the Positive Behavior Intervention Support system to provide proactive instruction and student need-based tiered supports. Full-time counselors provide whole group, small group and individual support for bullying prevention. RSD uses SafeOregon to report unsafe behavior and follows all policies outlined in our Rights & Responsibilities Handbook.

EXTRACURRICULAR ACTIVITIES

· After School Enrichment Clubs

· Outdoor School for all 4th-5th grade students (2 day, 1 night)

· 3rd-5th grade Battle of the Books (OBOB) participating school.

· Storyline culminations for Kinder-1st grade

· Pre-K Program for 4-year-olds

· Ropes Course for all 4th-5th grade students

· Field trips at every grade level

· Comprehensive music program including two concerts.

PARENT ENGAGEMENT

· Established Parent-Teacher-Committee (PTC)

· Jogathon

· Read-a-thon

· ParentSquare

· Parent conferences

· Open House for Pre-K - 5th grade students and families

· Storyline Culminations: K/1 grade

· Kindergarten Literacy Night

· Title IA Parent Activities

· Character Assemblies

· Monthly Newsletters

· Family Movie Night

· Fall Festival

· Donuts with Grown-ups

COMMUNITY ENGAGEMENT

Our school values partnerships with local businesses and community organizations to improve opportunities for our students.

· Grandparents & Special Friends Day

· Donuts with Grown-ups

· Alfalfa Community Dinner

· Boots & Bling Auction

· 5th grade Wax Museum

· Guest speakers: US Forest Service, Bend

Fire & Rescue, Sisters Rotary, Redmond

Park & Rec, High Desert Museum

· Veterans in the classroom

· Children's Forest of Central Oregon

· Authors Visits

Students We Serve

OREGON AT-A-GLANCE SCHOOL PROFILE

Obsidian Middle School

PRINCIPAL: Evan Grant | GRADES: 6-8 | 1335 SW Obsidian Ave, Redmond 97756 | 541-923-4900

CLASS SIZE

REGULAR ATTENDERS

Students

2023-24

School Goals

Obsidian's goal is to ensure all students transition as high school-ready and life-ready citizens through rigorous instruction focusing on engagement for all students. We strive for all students to leave our school meeting 9th grade on track metrics. We focus on skills like: including organization, prioritization, time management, decision making, and motivation. These vital skills span all careers and post-high school learning pathways. We strive for classrooms where everyone does everything.

MATHEMATICS

State Goals

The Oregon Department of Education is collaborating with school districts and communities across the state to achieve a 90% ontime graduation rate by 2027. Grounded in the pillars of Academic Excellence, Belonging and Wellness, and Reimagined Accountability, ODE prioritizes evidence-based practices to boost early literacy, attendance, and student engagement. We are committed to closing opportunity and achievement gaps for marginalized students and securing long-term success for all of Oregon’s learners by investing in culturally responsive practices, fostering inclusive environments and always driving for continuous improvement.

Safe & Welcoming Environment

Our priority is that all RSD students and families experience a safe, welcoming and inclusive school environment. All students are entitled to academic success regardless of background or family circumstances; each student will be provided support to ensure success. We are committed to sustaining an inclusive and culturally responsive school culture for all students, families and staff. We ensure safe schools through prevention, intervention, behavioralemotional health and crisis preparedness.

Our Staff (rounded FTE)

OREGON AT-A-GLANCE SCHOOL PROFILE

Obsidian Middle School

Outcomes

REGULAR ATTENDERS

ENGLISH LANGUAGE ARTS

About Our School

BULLYING, HARASSMENT, AND SAFETY POLICIES

RSD considers the safety of children our greatest priority. Everyone is welcome in school and we recognize the diversity and worth of all. We ensure physically and psychologically safe, secure and orderly learning environments. Secondary schools provide proactive instruction and student need-based tiered supports. It is our goal to create a respectful and welcoming school culture where students thrive. Full-time counselors and deans provide support for bullying prevention. RSD uses SafeOregon to report unsafe behavior and follows all policies outlined in our Rights & Responsibilities Handbook.

EXTRACURRICULAR ACTIVITIES

Obsidian offers a comprehensive music program. Band/Choir students have an opportunity to attend multiple festivals as well as host concerts periodically. Obsidian embraces student passions in regards to student-generated clubs and activities. Our students compete in interscholastic sports throughout the school year. These include volleyball, football, cross country, boys and girls basketball, wrestling, soccer and track. In addition our student leaders serve in a variety of ways outside of the classroom including community, athletic, and social events.

PARENT ENGAGEMENT

We believe that family partnerships are essential to growing lifelong successful learners and citizens. Therefore, OMS hosts a number of family-centered events every year in response to requests from the community. OMS believes in using family voice and feedback to improve the quality of our services. At OMS, parents-guardians are encouraged to volunteer both during the school day and at evening events. In addition to whole school community events, we host parent conferences twice a year focused on individual support and partnership in support of our students.

COMMUNITY ENGAGEMENT

Obsidian seeks opportunities throughout the year to engage with our community, including: partnering with local agencies to improve the quality of services to students and families, engaging community organizations in meaningful growthcentered dialogue, and inviting dozens of local professionals into the school to speak with students. We value giving back to our community and host a winter gift drive; our student leadership group has adopted a local road to caretake, and we host and write letters to local Veteran's learning about, and thanking them for their service.

Students We Serve

OREGON AT-A-GLANCE SCHOOL PROFILE

Ridgeview High School

PRINCIPAL: Brian Crook | GRADES: 9-12 | 4555 SW Elkhorn Rd, Redmond 97756 | 541-504-3600

REGULAR ATTENDERS

Students

2023-24

Students earning a diploma within four years. Cohort includes

were first-time ninth graders in 2019-20 graduating in 2022-23

FIVE-YEAR COMPLETION

Students earning a high school diploma or GED within five years. Cohort Includes students who were firsttime ninth graders in 2018-19 finishing in 2022-23

COLLEGE GOING

Students enrolling in a two or four year college within 12 months of completing high school in 202122. Data from the National Student Clearinghouse.

School Goals

At RVHS our purpose is to prepare every student to be college, career and life-ready by closing the opportunity, expectation and belief gaps.

Priority areas for improvement for RVHS are 9th grade on-track, attendance and engaging instruction.

RVHS will increase the 9th grade on-track, daily attendance and provide continued professional development for staff on engaging instruction with emphasis on "checking for understanding".

State Goals

The Oregon Department of Education is collaborating with school districts and communities across the state to achieve a 90% ontime graduation rate by 2027. Grounded in the pillars of Academic Excellence, Belonging and Wellness, and Reimagined Accountability, ODE prioritizes evidence-based practices to boost early literacy, attendance, and student engagement. We are committed to closing opportunity and achievement gaps for marginalized students and securing long-term success for all of Oregon’s learners by investing in culturally responsive practices, fostering inclusive environments and always driving for continuous improvement.

Safe & Welcoming Environment

Our priority is that all RSD students and families experience a safe, welcoming and inclusive school environment. All students are entitled to academic success regardless of background or family circumstances; each student will be provided support to ensure success. We are committed to sustaining an inclusive and culturally responsive school culture for all students, families and staff. We ensure safe schools through prevention, intervention, behavioralemotional health and crisis preparedness.

Our Staff (rounded FTE)

OREGON AT-A-GLANCE SCHOOL PROFILE

Ridgeview High School

Outcomes

REGULAR ATTENDERS

TO GRADUATE

About Our School

ADVANCED COURSEWORK

Ridgeview High School currently offers the following Advanced Placement courses:

AP Language and Composition

AP Literature and Composition

AP United States History

AP Government

AP Calculus

AP Biology

AP Environmental Science

Additionally, Ridgeview High School has articulation agreements with Southern Oregon University and several community colleges to offer dual credit to students in advanced coursework.

CAREER & TECHNICAL EDUCATION

Ridgeview High School currently has approved CTE programs in the following areas:

- Engineering Technology

- Culinary

- Computer Programming

- Business Management

- TV Production

- Health Services

EXTRACURRICULAR ACTIVITIES

Ridgeview High School offers a variety of co-curricular and extracurricular opportunities for students:

Athletics

Fall: Cheerleading, Cross Country, Football, Soccer, and Volleyball

Winter: Cheerleading, Basketball, Swimming, and Wrestling

Spring: Baseball, Golf, Softball, Tennis, Track

PARENT & COMMUNITY ENGAGEMENT

Ridgeview High School partners with parents-guardians by hosting a variety of events and engagement opportunities. Our school also values partnerships with local businesses and community organizations to improve opportunities for our students. See our school website for a calendar of parent engagement events.

Places to Go & Things to Do

Food Trucks/Carts

https://www.visitbend.com/food-drink/restaurants/food-carts/

https://www.google.com/search?q=food+carts+near+me&rlz=1C1GCEU_enUS874US875&oq=food+ca rts+&aqs=chrome.2.69i57j0i512j0i457i512j0i402j46i175i199i512l2j0i512l4.9132j0j15&sourceid=chrom e&ie=UTF-8

https://www.menupix.com/oregon/cn/158/370037/Food-Trucks-Prineville

https://www.google.com/search?q=food+trucks+in+sisters+oregon&rlz=1C1GCEU_enUS874US875&ei =nMxVYpS4Ns2dkPIPufeDoAg&oq=food+trucks+in+Sisters&gs_lcp=Cgdnd3Mtd2l6EAEYADIFCAAQgAQ yBQgAEIYDMgUIABCGAzoLCC4QgAQQxwEQrwE6BggAEBYQHkoECEEYAEoECEYYAFAAWPcKYNAiaABw AXgAgAHRAYgBugmSAQUwLjYuMZgBAKABAcABAQ&sclient=gws-wiz

https://www.google.com/search?q=food+trucks+in+madras&rlz=1C1GCEU_enUS874US875&ei=nMxV YpS4Ns2dkPIPufeDoAg&ved=0ahUKEwiU9pOLm4_3AhXNDkQIHbn7AIQQ4dUDCA8&uact=5&oq=food +trucks+in+madras&gs_lcp=Cgdnd3Mtd2l6EAMyBggAEBYQHjIFCAAQhgMyBQgAEIYDOgcIABBHELADO goIABBHELADEMkDOggIABCABBDJAzoFCAAQkgM6BQgAEIAEOgsILhCABBDHARCvAUoECEEYAEoECEYY AFDeEliMGmDVHGgBcAF4AIABrQGIAZoHkgEDMC42mAEAoAEByAEHwAEB&sclient=gws-wiz https://www.google.com/search?q=food+trucks+in+culver+oregon&rlz=1C1GCEU_enUS874US875&ei =bM1VYqjDC_bTkPIP_Zuj2AY&ved=0ahUKEwioqYDum4_3AhX2KUQIHf3NCGsQ4dUDCA8&uact=5&oq =food+trucks+in+culver+oregon&gs_lcp=Cgdnd3Mtd2l6EAMyBQghEKsCOgoIABBHELADEMkDOgcIABB HELADOgYIABAWEB46BQgAEIYDOgUIIRCgAUoECEEYAEoECEYYAFD2BljNDmCFEGgBcAF4AIABswGIAcQ JkgEDMC43mAEAoAEByAEEwAEB&sclient=gws-wiz

https://pdx.eater.com/maps/best-restaurants-bend-oregon-guide

Central Oregon Healthy Food

https://www.visitbend.com/food-drink/restaurants/vegan-vegetarian-gluten-free/

https://www.google.com/search?q=healthy+eats+in+central+oregon&rlz=1C1GCEU_enUS874US875& ei=Vs5VYo6xJp_TkPIPjIqV4AI&ved=0ahUKEwiOtOXdnI_3AhWfKUQIHQxFBSwQ4dUDCA8&uact=5&oq =healthy+eats+in+central+oregon&gs_lcp=Cgdnd3Mtd2l6EAM6BggAEAcQHjoICAAQBxAFEB46BQgAEI YDSgQIQRgASgQIRhgAUABYjyhg6D5oAnABeAGAAe8DiAHND5IBCjIuMTAuMS4wLjGYAQCgAQHAAQE &sclient=gws-wiz

Kid Friendly Attractions

https://forgetsomeday.com/things-to-do-in-bend-oregon-with-kids/ https://www.cascadiakids.com/things-do-kids-bend-oregon/

https://oldmilldistrict.com/things-to-do-with-kids/

https://www.visitbend.com/things-to-do/activities/kid-family-friendly-activities/

Farmers Markets in Central Oregon

https://visitcentraloregon.com/dining/food/farmers-market/

https://www.localharvest.org/prineville-or/farmers-markets

https://hdffa.org/its-farmers-market-season/

https://redmondoregonfarmersmarket.com/

https://www.sistersfarmersmarket.com/

https://www.localharvest.org/redmond-or/farmers-markets

https://www.madrassaturdaymarket.com/

Central Oregon Breweries

https://www.visitbend.com/food-drink/restaurants/brewery-pub/

https://www.google.com/search?q=breweries+in+central+oregon&rlz=1C1GCEU_enUS874US875&oq =&aqs=chrome.0.69i59i450l8.68566434j0j15&sourceid=chrome&ie=UTF-8

https://visitcentraloregon.com/dining/drinks/breweries/redmond/ https://beermebend.com/bend-oregon-brewery-locations/

https://www.google.com/search?q=prineville+breweries&rlz=1C1CHBD_enUS1025US1025&oq=prine ville+breweries&aqs=chrome..69i57j0i22i30j0i390i650.4688j0j7&sourceid=chrome&ie=UTF-8

https://www.google.com/search?q=breweries+in+madras+oregon&rlz=1C1CHBD_enUS1025US1025& oq=breweries+in+madras+oregon&aqs=chrome..69i57.6398j0j4&sourceid=chrome&ie=UTF-8

Private Schools in Central Oregon

https://www.niche.com/k12/search/best-private-schools/c/deschutes-county-or/ https://movingtobend.com/relocation-blog/2021/a-guide-to-public-and-private-schools-in-bendoregon/

https://www.countyoffice.org/bend-or-private-schools/

Central Oregon Winter Activities

https://www.visitbend.com/things-to-do/activities/winter-fun/

https://visitcentraloregon.com/things-to-do/activities/winter/

https://www.google.com/search?q=winter+activities+central+oregon&rlz=1C1CHBD_enUS1025US102 5&oq=winter+activities+central+oregon&aqs=chrome..69i57j0i22i30l2j0i390i650l3j69i60l2.14288j0j4 &sourceid=chrome&ie=UTF-8

Central Oregon Trivia and Bingo Nights

https://www.riversplacebend.com/games

https://beermebend.com/bend-oregon-brewery-locations/

https://www.bendsource.com/bend/bingo-with-bren-supporting-saving-grace/Event?oid=16320982

https://www.visitbend.com/food-drink/astro-lounge/

https://theyardfoodpark.com/events/

https://www.silvermoonbrewing.com/events

https://www.bendsource.com/bend/tuesday-night-trivia-in-redmond/Event?oid=18829261

Calendar of Events for Central Oregon

https://visitcentraloregon.com/calendar-of-events

https://www.bendsource.com/bend/EventSearch?v=g#grid

https://www.visitbend.com/event-calendar/

Economic Development for Central Oregon

Table of Contents

Welcome to Central Oregon

Where the commute times are short and breathtaking views await you at every turn. The region features dramatic snow-capped mountain ranges and high desert plateaus within Deschutes, Crook and Jefferson counties.

Located halfway between San Francisco and Seattle, one of the hottest small metropolitan markets in the U.S. is Central Oregon. In the last decade the region has seen some of the highest sustained GDP growth, job growth and population growth. With these factors in mind, The Milken Institute has named the region the best small metropolitan in the nation four years in a row – an unprecedented feat no other location has ever received.

Central Oregon is pulling extraordinary talent and capital, fostering a diverse and highly entrepreneurial business ecosystem. Deschutes County received the most investment in Oregon in 2022, according to Smartasset. Lured by natural scenic beauty and big city amenities without big city costs or hassle, people are learning that having a true work-life balance

possible. Employees are

and companies are more innovative and capital-efficient. All in a region dominated by small to mid-sized firms that compete

and win.

Regional Population: 253,761

(2021 estimates from Portland State University)

Regional Labor Force: 123,953

(Seasonally adjusted total for 2021 from Oregon Employment Department)

Bend-Redmond MSA GDP Per Capita:

(2020 estimate from the Bureau of Economic Analysis)

*Bureau of Economic Analysis data is only available for the Bend-Redmond MSA

$54,390

Access to and from our region has never been easier with five national carriers flying up to 54 segments daily to nine international airports. Central Oregon is served by one of the most vibrant and successful regional airports in the country at Redmond (RDM).

Central Oregon has been among the fastest growing regions anywhere in the U.S.

In-migration has been the dominating factor in the region’s growth. With millions of visitors annually, Central Oregon continues to attract thousands of new residents from all over the country each year for it’s outdoor amenities, arts and culture opportunities, quality healthcare, and a growing education system.

POPULATION CHANGES FOR CENTRAL OREGON

Area

“Central Oregon’s economic growth is stronger than the state and nation overall. The primary reason is the high quality of life that attracts new residents. Faster population growth means local businesses can hire and expand at a faster rate due to the influx of working-age migrants and the growing labor force.”

NEW RESIDENTS, NEW IDEAS & NEW ENERGY

#1 TOP 10 COOLEST PLACES

TO GO IN THE NEXT 10 YEARS

With over 4.5 million visitors flocking to Central Oregon each year, it proves a great introduction to our region’s culture, lifestyle and a great first impression for businesses. Central Oregon and the Bend-Redmond MSA continually top the nation in population growth. In fact, Bend has been among the 15 fastest growing cities in the U.S. five of the last six years. While our population grows, so does our workforce. We’re cultivating a community that has consciously decided to live here and attracting new talent pools to serve the increasing demand for labor.

POPULATION TOTALS FOR CENTRAL OREGON

We guide employers outside the region through the relocation process as a resource for regional data, incentives, talent, site selection, and A-Z problem solving.

Business Cost Comparison

Oregon offers more incentive programs to traded-sector* businesses than Washington or California. Even without taking those incentives into consideration, Oregon is still a more cost-effective choice for doing business. Contact EDCO for a detailed look at the business costs in Central Oregon. *companies that sell their products or services outside the area, bringing new jobs and capital investment to the area

Electricity Rate (¢/kWh)

Natural Gas Rate ($/kcf)

& Local Sales Tax Rate

Sources: Tax Foundation 2022, US Energy Information Association (Natural Gas) 2021, US Energy Information Association (Electricity) 2021

“While our move to Central Oregon may have started for personal reasons, it has allowed us to do more with our business than we thought possible. It has allowed us to hire amazing employees – the available talent here in Central Oregon has proven to be of the highest caliber and chocked full of integrity. Sometimes you feel like you can get lost in a big city. In Sisters we have been able to be part of a growing and nurturing business community.” - Wyatt Woods, President and Owner, Holy Kakow

Case Study: Holy Kakow

Founded in Portland in 2009, Holy Kakow creates premium organic chocolate sauces and syrups that are used in coffee shops across the nation and globe. After running the business for nearly a decade, Founder Wyatt Woods decided a move to the City of Sisters would be beneficial for his family. The next step was to figure out how to move the successful business. After EDCO’s help with site selection, incentives, permitting, and more, Holy Kakow was able to move their operations into a new building in the Sisters Business Park. The relocation allowed them to scale for growth, even during the pandemic, expanding their employment from three to eight in the span of a couple months. Holy Kakow have their sights set on new product launches. With the backing of the community and the growing number of craft food businesses in Sisters, the company is surrounded by a strong business ecosystem to help them succeed.

RELOCATE & EXPAND

Get connected to our growing industry clusters that include: craft brewing/distilling, bioscience, outdoor products, technology, aerospace, and advanced manufacturing.

We link you to tools to help your company including: connections to the local supply chain, talent acquisition, incentives, business finance, market intelligence, and more.

WHY CENTRAL OREGON?

Central Oregon offers a pro-business environment with several incentives and supportive business finance options to encourage economic growth. Oregon also allows corporate net operating losses to be carried forward for up to 15 years without a cap, which can meaningfully reduce your business’s tax liability.

We help you navigate the regional and local real estate market, infrastructure and permitting processes.

For businesses looking to relocate, Central Oregon has a reputation for welcoming new companies. The region offers a tightknit community without sacrificing talent, education opportunities, or quality healthcare. EDCO’s network can help your business streamline decisions when choosing a new home.

* EDIT TITLE

START

We mentor and advise scalable young companies from concept to exit on issues such as access to capital, critical expertise and business strategy.

“The support we’ve received from EDCO and other organizations has been tremendous and allowed us to grow and develop our network and further develop our business in a short time. Their proactive approach to assisting and encouraging entrepreneurship in this region has been paramount to some of the large strides we’ve taken this year.”

- Ryan Goodwin, Founder & Lead Designer Engineer, SherpTek

Case Study: SherpTek

SherpTek was among the first tenants to take occupancy in the redeveloped Woodgrain mill site, re-branded the “Prineville Campus,” where they design and manufacture modular truck bed systems and accessories to improve the functionality and adaptability of pickup trucks for day-to-day use and outdoor adventures.

SherpTek is an innovator in the automotive/outdoor industry. Their Founder and Lead Design Engineer, Ryan Goodwin, uses composite aerospace materials and construction methods to create a lightweight, yet super durable, precision-engineered product. SherpTek was one of Prineville’s first companies to pitch at EDCO’s Central Oregon PubTalk, an event that showcases local entrpreneurs. The company has been and continues to be supported by EDCO as well as many local and State partners in areas such as business financing, incentive utilization, internship coordination, staffing, network connections, scalability, and pitch coaching. Despite having just moved their start-up to Prineville earlier this year, SherpTek has ingrained itself into the entrepreneurial fabric of the region. They are already expanding their manufacturing facilities, hiring additional employees and training local high school students on their specialized processes.

A driving force for our economic performance is a collaborative and inclusive entrepreneurial community. This is supported via the number of new business registrations, which has outpaced far larger cities. In 2022, AdvisorSmith ranked Bend fifth for Top Midsize Cities where Americans Start the Most Businesses at 3.79 businesses started per 1,000 residents.

The region is large enough to provide resources and access to capital that help new entrepreneurs get started, while still being small enough that those resources are interconnected to support businesses as they grow. Unique to Central Oregon, given its size, are the numerous community resources and assets that are available. Assets managed by EDCO include monthly Central Oregon PubTalks, the Stable of Experts mentorship program and the largest Angel Conference in the PNW, the Bend Venture Conference.

BEST SMALL CITIES FOR STARTING A BUSINESS

Source: WalletHub, April 2022.

Both Redmond and Bend made WalletHub’s Top 30 list for best cities to start a business at #16 and #17 respectively, based on an index of criteria that included business environment, access to resources and business costs. They were the only two Oregon cities to make it in the top 350 of 1,334 small cities ranked in the index.

We partner with local traded-sector companies to help them grow and expand, offering them the very same incentives and assistance as relocation projects.

Case Study: Broken Top Brands GROW

“Our flagship manufacturing facility is located in Bend, nestled at the base of the Cascade Mountain Range, which also inspired the brand name. The views and outdoor amenities are unmatched, but the entrepreneurial and community support we have received from day one has been the driving factor in bringing our homegrown business sustainable success in Oregon and beyond. Our employees, customers and partners are what make Bend home and inspire continued growth.” - Affton Coffelt, Founder and CEO, Broken Top Brands

Broken Top Brands creates handmade, sustainable, eco-conscious candles and body products that have been featured in National media outlets such as BuzzFeed, Oprah Daily and HuffPost. Started in 2015 out of Founder Affton Coffelt’s kitchen in Bend as Broken Top Candle Co., the company has now blossomed to 19 employees and recently moved into an 18,000 SF manufacturing facility.

Broken Top Brands is currently selling an array of all natural, biodegadble and paraben-free lifestyle products in the USA, as well as Canada and parts of Europe. The brand’s market is primarily wholesale with an organically growing e-commerce presence. Customers can find their products in over 2,800 retail locations nationally and internationally, with Whole Foods being their largest account.

Broken Top Brands was attracted to starting a business in Central Oregon for its quality of life and supportive community. Due to it’s unique company culture and location, the business has had success retaining employees which has enabled its continued expansion. Although supply chain timelines and transportation costs have been challenges through the pandemic, Broken Top Brands has sustained steady growth and continues to partner with EDCO, 1% for the Planet, One Tree Planted, Opportunity Knocks, Bend Chamber, and Business Oregon to serve their loyal customer base.

- MILKEN INSTITUTE, 2022

Workforce Development #5 FOR 5-YEAR JOB GROWTH IN THE U.S.

Private sector employment grew by 47% in Central Oregon over the last 10 years, which is significantly faster than the statewide growth of around 20%. Employment in the private sector is projected to grow by 12% across the region between 2019 and 2029. -

Improving the Readiness and Employability of Central Oregon’s Future Workforce

Now in its fourth year, Youth CareerConnect (YCC) continues to connect employers and students with real work experience throughout Central Oregon. By supporting internships and experiential learning opportunities in the community, YCC has made it simpler for schools and employers to connect while fostering a work-ready labor force for years to come.

YCC Internship Coordinators host office hours at schools across the region to help students with professional goal setting, resume writing, interview skills, and internship placement for high school, college and alternative education students. Since its inception in 2017, YCC has built a rolodex

over 360 business partners and placed more than 493 students in meaningful internships. Personalization for both the business and the student is at the core of what YCC does, and why it continues to thrive. To get involved with Youth CareerConnect, visit: youthcareerconnect.org

Damon Runberg, Oregon Employment Department

DESCHUTES COUNTY #1

“Central Oregon enjoys a truly collaborative environment. Everyone is not only supportive of each other, but excited to see one another grow. We share the same trails, rivers and slopes and ultimately share a similar vision to help the region succeed.”

The combination of a collaborative culture, a supportive attitude among government and economic development partners, plus a location that attracts talent and investment all help Central Oregon compete nationally.

AIR

Redmond Municipal Airport (RDM; www.flyrdm.com ) provides commercial air service with an average of 27 daily outbound flights to Burbank, Denver, Los Angeles, Palm Springs, Phoenix, Salt Lake City, San Diego, San Francisco, and Seattle via five carriers (Alaska, American, Avelo, Delta, and United).

RAIL

Burlington Northern-Santa Fe (BNSF), Union Pacific (UPRR) and the City of Prineville Railway (COPR) provide direct connections for shipping to any market in the United States, Canada and Mexico.

FREIGHT

U.S. Highways 97 and 20 are two of the State’s major trucking routes, with access to major metro areas with connections to Interstate 5 (N-S) and Interstate 84 (E-W).

Average Commute Times

SanFranciscoLosAngeles Seattle Portland Denver Bend

The Central Oregon average commute time is 24 minutes each way, saving the average worker nearly one work week per year !

Source: Census.gov 2021

Travel Time & Distance by Car

Travel Time By Air

UTILITIES

Most of our region has been newly built in the past two decades, making Central Oregon’s telecommunications infrastructure one of the Northwest’s most technologically advanced. Businesses and telecommuters benefit from reliable fast data speeds and upload times.

EDUCATION

Central Oregon is well-recognized for its high level of education, with some of the best K-12 public schools in the nation. In 2021, the Bend-La Pine school district’s average SAT scores surpassed the national average by over 180 points. Additionally, our higher education opportunities abound. From Oregon State University-Cascades’ ongoing expansion, to Central Oregon Community College’s four campuses in the region, there are opportunities for all to obtain a quality education.

HEALTHCARE

St. Charles Health System is the largest healthcare provider in the region, and is also the largest employer with over 4,500 employees across the tri-county area. The hospital received HealthGrade’s 2021 Pulmonary Care Excellence Award™ and offers a network of more than 100 clinics and specialty practices throughout the community.

According to the Oregon Employment Department, 76% of Oregon establishments have between one and nine covered payroll employees and the average private establishment employs around 11 people.

Still, a number of large employers operate successfully here, tapping into Central Oregon’s ever-expanding workforce, the overall low cost of doing business and business-friendly local governments. This year, the top 50 private companies collectively employ nearly 21,000 Central Oregonians, or roughly 21.9% of the region’s current total employment.

ADVANCED MANUFACTURING

• More than 100 businesses in advanced manufacturing make their own products here in Central Oregon, as well as provide a critical role in the supply chain for other OEM in aviation/aerospace, brewing & distilling, specialty food processing, and automotive.

• Additive and subtractive machining of metals and plastics, advanced welding and metal fabrication, specialty metals casting, production printing and publishing, as well as specialized machinery and equipment continue to advance locally.

• The largest employers in this industry group include Precision Cast Parts (PCC) Schlosser, Keith Manufacturing and BasX Solutions.

AVIATION & AEROSPACE

• The production of light aircraft in Central Oregon spans back more than 30 years and over that time, 25 aircraft have moved through the process of conceptual design to flight.

• Composite (carbon fiber) fabrication and innovation aircraft are the region’s specialty offering a cluster of world-class talent and capabilities here.

• Some of the most successful flight training programs in the country are located in the region with both fixed-wing and helicopter flight schools that serve the global industry, including Leading Edge, Hillsboro Aero Academy and Central Oregon Community College.

FOUNDATIONS

BIOSCIENCE

• Producing everything from titanium implants to cutting edge drug research, our bioscience industry has been experiencing year-over-year double digit employment growth for nearly a decade.

• Quietly, Central Oregon’s bioscience industry has proven capable of attracting world class scientific and technical talent that has made companies here competitive on a global scale.

• Swiss-based pharmaceutical research and manufacturer Lonza is the largest bioscience company in the region, and among the largest in Oregon, with two campuses and additional operations scattered across the region.

BREWING & DISTILLING

• Central Oregon is home to breweries both large and small, with Deschutes Brewery’s production placing it in the top 10 largest craft breweries in the U.S.

• For Oregon, which has 312 craft breweries, nearly one-third of the largest 30 brewers by volume, are located in Central Oregon – testimony to the quality of product produced here.

• The region is also home to a dozen craft cideries and distilleries, two of which, Bendistillery and AVID Cider, are the second largest in the state in their respective sectors.

FOUNDATIONS OF CENTRAL OREGON’S ECONOMY

BUILDING PRODUCTS

• After 100+ years and considerable systemic change across the industry, the building products sector is still Central Oregon’s largest traded-sector employer.

• Businesses in this sector compete and win on a global scale, innovating and automating as global leaders in their respective sub-industries, including wood doors and windows, mouldings, cabinetry, furniture, and musical instruments.

• The region’s largest manufacturer and second largest private employer, Brightwood Corporation, is based in Madras, with operations in Redmond, Culver and Prineville. The company has been growing in Central Oregon for over a half century.

OUTDOOR GEAR & APPAREL

• Central Oregon is home to a diverse group of businesses in a variety of subsectors, including rock climbing, water sports, hydration, hiking, backpacking, recreational vehicles, road and mountain biking, outerwear, and software.

• The region is home to the Oregon Outdoor Alliance (OOA) and Oregon’s Office of Outdoor Recreation, both of which are dedicated to connecting and cultivating the industry.

• Bend Outdoor Worx is the country’s first dedicated startup accelerator for the industry and offers investment, exposure and access to vetted resources for outdoor innovators.

GREAT CITIES IN THE U.S. FOR OUTDOOR ADVENTURES - WASHINGTON POST, 2022

FOUNDATIONS OF CENTRAL OREGON’S ECONOMY

PROFESSIONAL SERVICES

• Professional services are incrasingly being exported out of the tri-county region including engineering, architecture, accounting, HR, recruitment, creative services, advertising, and publishing to name a few

• The creative, marketing and advertising sub-sectors of this industry are particularly strong in Central Oregon with firms being attracted to the region from as far away as Barcelona, Spain.

TECHNOLOGY

• Including software companies, electronics manufacturers, alternative energy and data centers, the region has over 130 tech companies employing nearly 3,000 people.

• Five dozen software companies call the region home, more often than not locating their headquarter operations here.

• Prineville is a growing data center hub and is home to Meta’s first and largest data center campus, a 4.5 million square foot complex. Central Oregon offers a unique advantage for data centers due to its available infrastructure, affordable industrial land, multiple telecom carriers, desert climate, and globally competitive tax incentives.

Located on the eastern slopes of the Cascade Range, where vast forests give way to the arid high desert, Central Oregon boasts year-round adventure and a rare mix of city amenities and world-famous outdoor recreation. The region offers the slower speed of a small town with access to toprated healthcare and infrastructure to support continued economic growth.

TOP 100 BEST PLACES TO LIVE IN AMERICA

-MONEY, 2019 & LIVABILITY, 2020

#2 MOST FITNESS FRIENDLY PLACE IN THE U.S.

-SMARTASSET, 2022

#10 BEST SMALL CITIES FOR BUSINESS

-U.S. CHAMBER OF COMMERCE, 2022

M T.

BACHELOR AMONG BEST SKI AREAS IN THE U.S. -AFAR, 2020

#10 BEST PERFORMING SMALL CITIES & #1 FOUR YEARS IN A ROW

-MILKEN INSTITUTE, 2022

30+ Golf Courses 31 Breweries & Counting Flourishing Arts & Culture Scene Miles and Miles of Trails

#4 BEST MOUNTAIN TOWNS IN AMERICA

-THRILLIST, 2021

300 Days of Sunshine

ABOUT EDCO

Founded in 1981, EDCO is a non-profit corporation supported by private and public members and stakeholders. Our mission is to create a balanced and diversified economy with a strong base of middle-class jobs in Central Oregon.

To do this, we focus on helping companies do the following:

MOVE. We guide employers outside the region through the relocation process as a resource for regional data, incentives, talent, site selection, and more.

START. We mentor and advise scalable young companies from concept to exit on issues such as access to capital, critical expertise and business strategy.

GROW. We partner with local traded-sector companies to help them grow and expand.

• Upcoming networking events, luncheons, conferences, and more

• EDCO Info Hub: current comprehensive data for Central Oregon

• Stable of Experts: a network of seasoned professionals with a passion for start-ups and small businesses

• Success stories from regional businesses

Turn static files into dynamic content formats.

Create a flipbook
Issuu converts static files into: digital portfolios, online yearbooks, online catalogs, digital photo albums and more. Sign up and create your flipbook.