61235 Ward Rd Bend - Homebook

Page 1


This week the median list price for Bend, OR 97702 is $769,900 with the market action index hovering around 33. This is an increase over last month's market action index of 32 Inventory has decreased to 295

Market Action Index

This answers “How’s the Market?” by comparing rate of sales versus inventory

Real-Time Market Profile

Price of New Listings

Slight Seller's Advantage

Market Narrative

While the Market Action Index shows some strengthening in the last few weeks, prices have not seemed to move from their plateau. Should the upward trend in sales relative to inventory continue, expect prices to resume an upward climb in tandem with the MAI

Market Segments

Slight Seller's Advantage

Each segment below represents approximately 25% of the market ordered by price

Median List Price

Again this week we see prices in this zip code remain roughly at the level they’ve been for several weeks. Since we’re significantly below the top of the market, look for a persistent up-shift in the Market Action Index before we see prices move from these levels.

Segments

In the quartile market segments, we see prices in this zip code have settled at a price plateau across the board. Prices in all four quartiles are basically mixed. Look for a persistent shift (up or down) in the Market Action Index before prices move from these current levels.

Price Per Square Foot

The market plateau is seen across the price and value. The price per square foot and median list price have both been reasonably stagnant. Watch the Market Action Index for persistent changes as a leading indicator before the market moves from these levels. 7-Day

Inventory has been climbing lately. Note that rising inventory alone does not signal a weakening market. Look to the Market Action Index and Days on Market trends to gauge whether buyer interest is keeping up with available supply.

Market Action Index

While the Market Action Index shows some strengthening in the last few weeks, prices have not seemed to move from their plateau. Should the upward trend in sales relative to inventory continue, expect prices to resume an upward climb in tandem with the MAI.

Market Action Segments

Not surprisingly, all segments in this zip code are showing high levels of demand. Watch the quartiles for changes before the whole market changes. Often one end of the market (e.g. the highend) will weaken before the rest of the market and signal a slowdown for the whole group.

Median Days on Market (DOM)

The properties have been on the market for an average of 86 days. Half of the listings have come newly on the market in the past 63 or so days. Watch the 90-day DOM trend for signals of a changing market.

Segments

It is not uncommon for the higher priced homes in an area to take longer to sell than those in the lower quartiles.

Property Profile Taxes Deed

Property Profile Summary

SUBJECT PROPERTY

112083 Deschutes County

ADDRESS 61235 Ward Rd Bend, OR 97702

OWNER

Muckelrath, Ralph F Et Al

DATE 09/11/2025

PREPARED BY Tami Burkhart tamib@deschutestle com

Parcel#: 112083

TaxLot: 181212D000600

DESCHUTESCOUNTYPROPERTYPROFILEINFORMATION

Owner: Muckelrath,RalphFEtAl

CoOwner:

Site: 61235WardRd

BendOR97702

Mail: POBox8489

BendOR97708

LandUse: 401-Tract-Improved(typicalofclass)

StdLandUse: 1001-SingleFamilyResidential

Legal:

Twn/Rng/Sec: T:18SR:12ES:12Q:SEQQ:SE

ASSESSMENT&TAXINFORMATION

MarketTotal: $1,182,130.00

MarketLand: $514,270.00

MarketImpr: $667,860.00

AssessmentYear: 2024

AssessedTotal: $460,910.00

Exemption:

Taxes: $6,351.19

LevyCode: 1-003

LevyRate: 147611

SALE&LOANINFORMATION

SaleDate: 05/19/2015

SaleAmount:

Document#: 2015-18677

DeedType: BARGAIN&SALE

LoanAmount:

Lender:

LoanType:

InterestType:

TitleCo:

PROPERTYCHARACTERISTICS

YearBuilt: 1990

EffYearBuilt:

Bedrooms: 3

Bathrooms: 2

#ofStories: 2

TotalSqFt: 2,720SqFt

Floor1SqFt: 1,360SqFt

Floor2SqFt: 1,360SqFt

BasementSqFt:

Lotsize: 970Acres(422,532SqFt)

GarageSqFt: 720SqFt

GarageType:

AC:

Pool:

HeatSource: Forcedairunit

Fireplace: 1

BldgCondition: Average

Neighborhood:

Lot:

Block:

Plat/Subdiv:

Zoning: Deschutes-MUA10-MultipleUseAgricultural SchoolDist: 1-Bend-LaPineAdministrative

Census: 1021-001901

Recreation:

Deschutes County Property Information

Report Date: 9/11/2025 1:33:14 PM

The information and maps presented in this report are provided for your convenience. Every reasonable effort has been made to assure the accuracy of the data and associated maps. Deschutes County makes no warranty, representation or guarantee as to the content, sequence, accuracy, timeliness or completeness of any of the data provided herein. Deschutes County explicitly disclaims any representations and warranties, including, without limitation, the implied warranties of merchantability and fitness for a particular purpose. Deschutes County shall assume no liability for any errors, omissions, or inaccuracies in the information provided regardless of how caused. Deschutes County assumes no liability for any decisions made or actions taken or not taken by the user of this information or data furnished hereunder.

Summary

RALPH F ET AL PO BOX 8489 BEND, OR 97708

Subdivision:

Warnings, Notations, and Special Assessments

Assessor's Office Notations

VETERANS EXEMPTION (1 -DISABLED/SURVIVING SPOUSE) APPLIED

Review of digital records maintained by the Deschutes County Assessor’s Office, Tax Office, Finance Office, and the Community Development Department indicates that there are County tax, assessment, or property development related notations associated with this account and that have been identified above. Independent verification of the presence of additional Deschutes County tax, assessment, development, and other property related considerations is recommended. Confirmation is commonly provided by title companies, real estate agents, developers, engineering and surveying firms, and other parties who are involved in property transactions or property development. In addition, County departments may be contacted directly to discuss the information.

History

Tax Payment History

Sales History

Land Characteristics

Related Accounts

Related accounts apply to a property that may be on one map and tax lot but due to billing have more than one account. This occurs when a property is in multiple tax code areas. In other cases there may be business personal property or a manufactured home on this property that is not in the same ownership as the land.

No Related Accounts found.

Service Providers Please contact districts to confirm.

DISTRICT BEND - LA PINE SCHOOL DISTRICT (541) 355-1000 520 NW WALL ST, BEND, OR 97703 ELEMENTARY SCHOOL ATTENDANCE AREA SILVER RAIL ELEMENTARY SCHOOL (541) 355-2900 61530 STONE CREEK LANE, BEND, OR 97702 MIDDLE SCHOOL ATTENDANCE AREA HIGH DESERT MIDDLE SCHOOL (541) 355-7200 61000 DIAMONDBACK LN, BEND, OR 97702

HIGH SCHOOL ATTENDANCE AREA CALDERA HIGH SCHOOL (541) 355-5000 60925 SE 15th Street, BEND, OR 97702

EDUCATION SERVICE TAX DISTRICT HIGH DESERT EDUCATION SERVICE DISTRICT (541) 693-5600 145 SE SALMON AVE, REDMOND, OR 97756

COLLEGE TAX DISTRICT CENTRAL OREGON COMMUNITY COLLEGE (541) 383-7700 2600 NW COLLEGE WAY, BEND, OR 97703

LIBRARY DISTRICT DESCHUTES PUBLIC LIBRARY (541) 617-7050 601 NW WALL ST, BEND, OR 97703

WATER SERVICE PROVIDER AVION WATER COMPANY (541) 382-5342 60813 PARRELL RD, BEND, OR 97702

IRRIGATION DISTRICT ARNOLD IRRIGATION DISTRICT (541) 382-7664 19604 BUCK CANYON RD, BEND, OR 97702

GARBAGE & RECYCLING SERVICE CASCADE DISPOSAL (541) 382-6660 1300 SE WILSON AVE, BEND, OR 97702

Development Summary

Planning Jursidiction:

Reserve Area: Urban Growth Boundary: Deschutes County No No

County Development Details Wetland

Ground Snow Load: 36 #/sq. ft.

Deschutes County Permits

Permit Detail

Inspections

08/27/2010 JKH FINALED BY SI4514

SYS GC Permit expired by system 02/10/1992 DEB CONTINUED FROM PROGRESS INSP. EXTERIOR SIDING APPROX 50% COMPLETED. NON OF EXTERIOR ENTRYWAYS OR DECKS STARTED. 02/10/1992 DEB PROGRESS OK. DRYWALL COMPLETED AND COVERED WITHOUT INSP. INTERIOR FLOORING AND WOOD WORK IN PROCESS. EXTERIOR SIDING APPROX 5O4

01/10/1991 JLS INSUL.APP.

01/03/1991 JLS FRAME APP. 10/29/1990 JLS NOT READY,OWNER JUST HAD QUESTIONS

06/14/1990 RRN UNDERSLAB HEATING AND INSUL. APPR.

05/30/1990 JLS FOOTING/SETBACKS APPR. TO BUILDERS LINES. RRN 05/08/1990 IRP R-3 2720, $ 122,400.00

Building Permit Details

Permit Number:

247-B28367

GUDGEL STEVEN S Permit Name: OWNER Contractor:

04/25/1990 Application Date: 05/15/1990 Issue Date: 02/10/1992 Final Date:

Finaled Status:

Residential Building Class: New Construction Class of Work: GARAGE Building Use: 720 Square Feet: 0 Bedrooms: 1 Stories: N On Sewer: $7,920 Permit Valuation:

Inspections

Date Init. Comments

02/10/1992 DEB GARAGE FINAL APPR.

01/03/1991 JLS FRAME APP.

05/30/1990 JLS FTG./SETBACKS APPR. TO BUILDERS LINES. RRN

05/08/1990 IRP M-1 720 @ 11 = $ 7920.00

Electrical Permit Details

Permit Number:

247-E9128

GUDGEL STEVEN S

Permit Name: WATER WHEEL ELECTRIC Contractor:

Residential Building Class: New Construction Class of Work:

Service Description: RESIDENCE WIRING 2000 SQ FT AND LARGER(1)

Inspections

Date Init. Comments

08/27/2010 JKH FINALED BY SI4515

08/14/1992 SYS Permit expired by system

05/15/1990 Application Date: 05/15/1990 Issue Date: 08/27/2010 Final Date:

Building Use: 28365 Linked Permit:

Finaled Status:

01/10/1991 JJD ROUGH COVER APPROVED BY CER 12/12/1990 CFD CANCELLED BY OWNER 11/28/1990 CFD GARAGE COVER AND SERVICE - HOUSE SERVICE ONLY 06/11/1990 GCA NOT READY

Electrical Permit Details

Permit Number:

247-E8705

GUDGEL STEVEN S Permit Name: OWNER Contractor: 04/20/1990 Application Date: 04/20/1990 Issue Date: 05/02/1990 Final Date: Finaled Status:

Residential Building Class: New Construction Class of Work:

Service Description: TEMPORARY CONSTRUCTION SERVICE(1)

Inspections

Date Init. Comments

05/02/1990 GCA TEMPORARY FINALED 05/01/1990 CFD RES. FOR 5/2/90

Feasibility Permit Details

Permit Number:

247-FS11259

GUDGEL STEVEN S Permit Name:

Building Use: Linked Permit:

04/02/1990 Application Date: 04/02/1990 Issue Date:

Finaled Status:

Final Date:

04/17/1990

Residential Building Class: PROPOSED RESIDENCE

Building Use: Site Evaluation Class of Work: Standard System Service Code:

Approved System Type Code:

Approved System Type:

Inspections

No inspection records found.

247-LR9056-PL

Permit Number: STEVEN GUDGEL Permit Name:

Land Use Permit Details 03/19/1990

03/16/1990 Submit Date: Application Complete Date:

Finaled Status:

GUDGEL STEVEN S Owner:

Request: LOT OF RECORD No

Conservation Easement Required:

Conservation Easement Recording Number:

Conservation Easement Description:

Conservation Easement Comments:

Mechanical Permit Details

247-M3747 Permit Number:

GUDGEL STEVEN S Permit Name: OWNER Contractor:

Residential Building Class: New Construction Class of Work:

Building Use: Linked Permit:

Service Description: ISSUANCE FEE (1) DOMESTIC TYPE INCINERATOR AND WOOD STOVE (1)

Inspections

No inspection records found.

Plumbing Permit Details

247-P3464 Permit Number:

GUDGEL STEVEN S Permit Name: KNIGHT MECHANICAL Contractor:

05/15/1990 Application Date: 05/15/1990 Issue Date: 08/27/2010 Final Date:

Finaled Status:

05/15/1990 Application Date: 05/15/1990 Issue Date: 08/27/2010 Final Date: Finaled Status:

Residential Building Class: New Construction Class of Work: 28365 Linked Permit:

Service Description:

SINK - KITCHEN,BAR,LAUNDRY (1) LAVATORY - BATHROOMS ONLY (4) TUB SHOWER COMBOS (1) SEPERATE SHOWERS & SEPERATE TUBS (2) WATER CLOSETS (3)

Inspections

Date Init. Comments

08/27/2010 JKH FINALED BY SI4517

08/14/1992 SYS Permit expired by system 12/05/1990 JJR GC Reinspection fee of 15.00 paid.

11/27/1990 RVS NOT READY. INSP. BY TTT..

11/20/1990 RVS WANTED UNDER FLOOR PLG. INSP. ON 2OND FLOOR ONLY.

06/18/1990 JDB WATER AND SEWER APP.

06/11/1990 JDB UNDERSLAB PLBG APP.

06/11/1990 JDB WENT OVER SYSTEM DESIGN WITH OWNER,

Septic Permit Details

247-S28598

Permit Number: GUDGEL STEVEN S

Permit Name:

Contractor:

OWNER

Residential Building Class: New System Class of Work: PROPOSED RESIDENCE

Building Use:

Linked Feasibility Permit:

Inspections

No inspection records found.

Special Inspection Details

Issue Date:

Inspection Date:

Final Date:

Final Date:

04/25/1990 Application Date: 04/30/1990 Issue Date: 06/07/1990

Building Class: Service Codes and Descriptions

08/23/2010

Residential SPS: SPECIAL BUILDING INSPECTION/MIN.FEE

08/27/2010 08/27/2010

Special Inspection Details

Building Class: Service Codes and Descriptions

Issue Date:

Inspection Date:

Final Date:

Residential SPE: SPECIAL ELECTRICAL INSPECTION/MIN.FEE

08/23/2010 08/27/2010

08/27/2010

Special Inspection Details

Building Class: Service Codes and Descriptions

Issue Date:

Inspection Date:

Final Date:

Residential SPM: MECHANICAL SPECIAL INSPECTION/MIN.FEE

08/23/2010 08/27/2010 08/27/2010

Special Inspection Details

Building Class: Service Codes and Descriptions

Issue Date:

Inspection Date:

Final Date:

Residential SPP: PLUMBING SPECIAL INSPECTION/MIN.FEE

08/23/2010 08/27/2010 08/27/2010

Assessor's Office Supplemental Information

Legal Description:

Property Class:

Maintenance Area:

Study Area:

Neighborhood:

Subdivision: Lot: Block:

000 25 3 401 -- TRACT

STATEMENT OF TAX ACCOUNT

RALPH F ET AL PO BOX 8489 BEND OR 97708

Full Payment with 3% Discount Discount is lost after due date and interest may apply PAYMENT OPTIONS:

Online * By Mail to Deschutes County Tax, PO Box 7559 Bend OR 97708-7559 * Drop Box located

Please include this coupon with payment. Please do not staple, paper clip or tape your payment.

Please select payment option

Payment

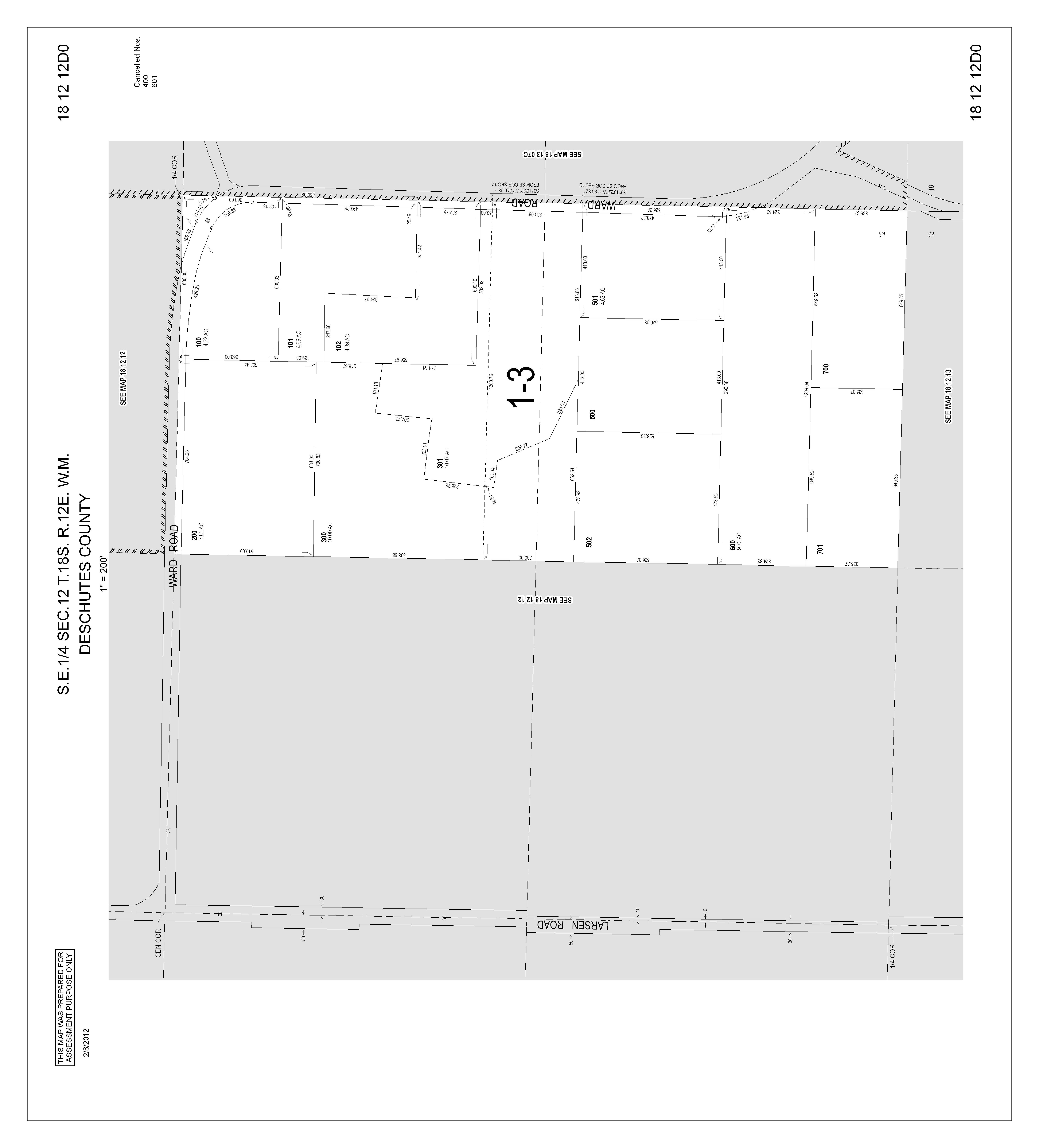
Roa d Map

TaxAccount #: 181212D000600

61235 Ward Rd, Bend OR 97702

This map/plat is being furnished as an aid in locating the herein described land in relation to adjoining streets, natural boundaries and other land, and is not a survey of the land depicted Except to the extent a policy of title insurance is expressly modified by endorsement, if any, the company does not insure dimensions, distances, location of easements, acreage or other matters shown thereon

Parcel ID: 112083

Assessor Map

Parcel ID: 112083

TaxAccount #: 181212D000600

61235 Ward Rd, Bend OR 97702

This map/plat is being furnished as an aid in locating the herein described land in relation to adjoining streets, natural boundaries and other land, and is not a survey of the land depicted Except to the extent a policy of title insurance is expressly modified by endorsement, if any, the company does not insure dimensions, distances, location of easements, acreage or other matters shown thereon

Covenants, Conditions and Restrictions

No CC&R’s for this property

Property Maps

Sawyer Uplands Park

Empire Crossing Park

Magill's Conservation Easement

Riverview Park

Pilot Butte Canal Natural Area

Canal ROW Park

Stover Park

Magill's Landing Natural Area

Brandis Square Park

Old B end Gym

Al Moody Park

Pilot Butte Neighborhood Park

Pine Nursery Park

Eagle Park

Big Sky Park & Sports Complex

Mountain View Park

Jaycee Park

Bend Park & Recreation

District Office Pilot Butte State Park

Blakely Park

Litchfield Park Site

Gardenside Park

Hansen Park Larkspur Trail

Larkspur Park

Stone Creek Park

Foxborough Park

Sun Meadow Park

Parrell Road Park Site

Ridgewater Natural Area

Alpenglow Community Park

High Desert Park Site

Eastgate Natural Area

Subdivision Map

Parcel ID: 112083

TaxAccount #: 181212D000600

61235 Ward Rd, Bend OR 97702

This map/plat is being furnished as an aid in locating the herein described land in relation to adjoining streets, natural boundaries and other land, and is not a survey of the land depicted Except to the extent a policy of title insurance is expressly modified by endorsement, if any, the company does not insure dimensions, distances, location of easements, acreage or other matters shown thereon

TaxAccount #: 181212D000600

61235 Ward Rd, Bend OR 97702

This map/plat is being furnished as an aid in locating the herein described land in relation to adjoining streets, natural boundaries and other land, and is not a survey of the land depicted Except to the extent a policy of title insurance is expressly modified by endorsement, if any, the company does not insure dimensions, distances, location of easements, acreage or other matters shown thereon

Parcel ID: 112083

TaxAccount #: 181212D000600

61235 Ward Rd, Bend OR 97702

This map/plat is being furnished as an aid in locating the herein described land in relation to adjoining streets, natural boundaries and other land, and is not a survey of the land depicted Except to the extent a policy of title insurance is expressly modified by endorsement, if any, the company does not insure dimensions, distances, location of easements, acreage or other matters shown thereon

Parcel ID: 112083

Parcel ID: 112083

TaxAccount #: 181212D000600

61235 Ward Rd, Bend OR 97702

This map/plat is being furnished as an aid in locating the herein described land in relation to adjoining streets, natural boundaries and other land, and is not a survey of the land depicted Except to the extent a policy of title insurance is expressly modified by endorsement, if any, the company does not insure dimensions, distances, location of easements, acreage or other matters shown thereon

Soil Map

Parcel ID: 112083

TaxAccount #: 181212D000600

61235 Ward Rd, Bend OR 97702

This map/plat is being furnished as an aid in locating the herein described land in relation to adjoining streets, natural boundaries and other land, and is not a survey of the land depicted Except to the extent a policy of title insurance is expressly modified by endorsement, if any, the company does not insure dimensions, distances, location of easements, acreage or other matters shown thereon

Parcel ID: 112083

TaxAccount #: 181212D000600

61235 Ward Rd, Bend OR 97702

This map/plat is being furnished as an aid in locating the herein described land in relation to adjoining streets, natural boundaries and other land, and is not a survey of the land depicted Except to the extent a policy of title insurance is expressly modified by endorsement, if any, the company does not insure dimensions, distances, location of easements, acreage or other matters shown thereon

Community Services

Community Resource Guide

Deschutes

Community Resource Guide

BendRedmond

Police Dept. (Non-Emergency) ........................ 541.388.0170

Post

Redmond Library .............................................. 541.312.1050

Redmond

Hugh Hartman ................................................... 541.923.8900

John Tuck ........................................................... 541.923.4884

M.A. Lynch ......................................................... 541.923.4876

Sage .................................................................... 541.316.2830 Terrebonne

Sunriver and La Pine

Prineville

School Report

School Report

Subject Parcel

SiteAddress 61235 Ward Rd Bend OR 97702

Parcel 112083

School District 1 Bend-La PineAdministrative

Assigned Primary School Silver Rail Elementary School

Assigned Middle School High Desert Middle School

Assigned High School Caldera High School

Primary School

Rail Elementary School

School Map

Deschutes County

School #1

School District Bend-LaPineAdministrative SD 1

School High Desert Middle School

Dist From Subject 1 87 miles

SiteAddress 61000 Diamondback Ln City Bend Zip 97702

Type 1-Regular school

Students 693

Charter No Magnet

Title 1 Elig 2-No

Free/Reduced Lunch 295

Student/Teacher Ratio 22 84

Male 335

School #2

School District Bend-LaPineAdministrative SD 1

School Caldera High School

Title 1 6-Not aTitle I school

FTE Teachers Count 30 34

Grade Levels 6th Grade - 8th Grade

Female 358

Dist From Subject 3 13 miles

SiteAddress 60925 SE 15th St

City Bend Zip 97702

Type 1-Regular school Students 1247

Charter No Magnet

Title 1 Elig 2-No Title 1 6-Not aTitle I school

Free/Reduced Lunch 538 FTE Teachers Count 7 67

Student/Teacher Ratio 162 58

Grade Levels 9th Grade - 12th Grade

Male 653 Female 587

School #3

School District Bend-LaPineAdministrative SD 1

School Silver Rail Elementary School

Dist From Subject 3 50 miles

SiteAddress 61530 SE Stone Creek St

City Bend Zip 97702

Type 1-Regular school

Students 438

Charter No Magnet

Title 1 Elig 1-Yes

Free/Reduced Lunch 147

Student/Teacher Ratio 17 52

Male 238

Title 1 5-Title I schoolwide school

FTE Teachers Count 25 00

Grade Levels Kindergarten - 5th Grade

Female 200

Students We Serve

OREGON AT-A-GLANCE SCHOOL PROFILE

Silver Rail Elementary School

PRINCIPAL: Lybe Hawkins | GRADES: K-5 | 61530 SE Stone Creek St, Bend 97702 | 541-355-2900

CLASS SIZE

REGULAR ATTENDERS

Students

2023-24

School Goals

Our promise is for every student to be known by name, strength and need; and to graduate ready for college, career and citizenship. Our focus is on people, starting with our teachers and school staff and extending to students, families and community partners. We ask teachers, school leaders and staff to hold our students to high expectations, to model those standards in their own behavior and to provide all students the support they need to succeed.

MATHEMATICS

State Goals

The Oregon Department of Education is collaborating with school districts and communities across the state to achieve a 90% ontime graduation rate by 2027. Grounded in the pillars of Academic Excellence, Belonging and Wellness, and Reimagined Accountability, ODE prioritizes evidence-based practices to boost early literacy, attendance, and student engagement. We are committed to closing opportunity and achievement gaps for marginalized students and securing long-term success for all of Oregon’s learners by investing in culturally responsive practices, fostering inclusive environments and always driving for continuous improvement.

Safe & Welcoming Environment

Bend-La Pine Schools is committed to creating a safe and welcoming environment for all students. Our strategic priorities include

· Maximizing safety for students, staff, and the community.

· Ensuring physically and psychologically safe, secure and orderly learning environments.

· Building upon our foundation of prevention, intervention, emotional health and crisis preparedness.

Our Staff (rounded FTE)

OREGON AT-A-GLANCE SCHOOL PROFILE

Silver Rail Elementary School

Outcomes

REGULAR ATTENDERS

ENGLISH LANGUAGE ARTS

About Our School

BULLYING, HARASSMENT, AND SAFETY POLICIES

Bend-La Pine Schools is committed to creating a safe and welcoming environment for all students. Our strategic priorities include

· Maximizing safety for students, staff, and the community.

· Ensuring physically and psychologically safe, secure and orderly learning environments.

· Building upon our foundation of prevention, intervention, emotional health and crisis preparedness.

EXTRACURRICULAR ACTIVITIES

Bend-La Pine Schools values extracurricular activities, including interscholastic sports, academic clubs, service clubs and more. To learn more about the activities offered at our school, connect with our staff or visit our school website for details.

PARENT ENGAGEMENT

We ask parents and families to partner with us in giving children the support they need to succeed at school. We ask community partners to consider committing more time and expertise. We offer numerous ways for interested families and community members to connect with our schools — through volunteering, attending school activities and events and much more.

COMMUNITY ENGAGEMENT

We offer numerous ways for interested community members and businesses to connect with our schools. We partner with local businesses and community agencies to provide students with learning opportunities. Contact our schools to learn more about ways to connect.

Students We Serve

OREGON AT-A-GLANCE SCHOOL PROFILE

High Desert Middle School

PRINCIPAL: Jessica Reilly | GRADES: 6-8 | 61000 Diamondback Ln, Bend 97702 | 541-355-7200

CLASS SIZE

REGULAR ATTENDERS

Students

2023-24

School Goals

Our promise is for every student to be known by name, strength and need; and to graduate ready for college, career and citizenship. Our focus is on people, starting with our teachers and school staff and extending to students, families and community partners. We ask teachers, school leaders and staff to hold our students to high expectations, to model those standards in their own behavior and to provide all students the support they need to succeed.

MATHEMATICS

State Goals

The Oregon Department of Education is collaborating with school districts and communities across the state to achieve a 90% ontime graduation rate by 2027. Grounded in the pillars of Academic Excellence, Belonging and Wellness, and Reimagined Accountability, ODE prioritizes evidence-based practices to boost early literacy, attendance, and student engagement. We are committed to closing opportunity and achievement gaps for marginalized students and securing long-term success for all of Oregon’s learners by investing in culturally responsive practices, fostering inclusive environments and always driving for continuous improvement.

Safe & Welcoming Environment

Bend-La Pine Schools is committed to creating a safe and welcoming environment for all students. Our strategic priorities include

· Maximizing safety for students, staff, and the community.

· Ensuring physically and psychologically safe, secure and orderly learning environments.

· Building upon our foundation of prevention, intervention, emotional health and crisis preparedness.

Our Staff (rounded FTE)

OREGON AT-A-GLANCE SCHOOL PROFILE

High Desert Middle School

Outcomes

REGULAR ATTENDERS

ENGLISH LANGUAGE ARTS

MATHEMATICS

About Our School

BULLYING, HARASSMENT, AND SAFETY POLICIES

Bend-La Pine Schools is committed to creating a safe and welcoming environment for all students. Our strategic priorities include

· Maximizing safety for students, staff, and the community.

· Ensuring physically and psychologically safe, secure and orderly learning environments.

· Building upon our foundation of prevention, intervention, emotional health and crisis preparedness.

EXTRACURRICULAR ACTIVITIES

Bend-La Pine Schools values extracurricular activities, including interscholastic sports, academic clubs, service clubs and more. To learn more about the activities offered at our school, connect with our staff or visit our school website for details.

PARENT ENGAGEMENT

We ask parents and families to partner with us in giving children the support they need to succeed at school. We ask community partners to consider committing more time and expertise. We offer numerous ways for interested families and community members to connect with our schools — through volunteering, attending school activities and events and much more.

COMMUNITY ENGAGEMENT

We offer numerous ways for interested community members and businesses to connect with our schools. We partner with local businesses and community agencies to provide students with learning opportunities. Contact our schools to learn more about ways to connect.

Students We Serve

OREGON AT-A-GLANCE SCHOOL PROFILE

Caldera High School

PRINCIPAL: Chris Boyd | GRADES: 9-12 | 60925 SE 15th ST, Bend 97702 | 541-355-5000

REGULAR ATTENDERS

Students

2023-24

Students earning a diploma within four years. Cohort includes students who were first-time ninth graders in 2019-20 graduating in 2022-23

FIVE-YEAR COMPLETION

Students earning a high school diploma or GED within five years. Cohort Includes students who were firsttime ninth graders in 2018-19 finishing in 2022-23

COLLEGE GOING

Students enrolling in a two or four year college within 12 months of completing high school in 202122. Data from the National Student Clearinghouse.

School Goals

Our promise is for every student to be known by name, strength and need; and to graduate ready for college, career and citizenship. Our focus is on people, starting with our teachers and school staff and extending to students, families and community partners. We ask teachers, school leaders and staff to hold our students to high expectations, to model those standards in their own behavior and to provide all students the support they need to succeed.

State Goals

The Oregon Department of Education is collaborating with school districts and communities across the state to achieve a 90% ontime graduation rate by 2027. Grounded in the pillars of Academic Excellence, Belonging and Wellness, and Reimagined Accountability, ODE prioritizes evidence-based practices to boost early literacy, attendance, and student engagement. We are committed to closing opportunity and achievement gaps for marginalized students and securing long-term success for all of Oregon’s learners by investing in culturally responsive practices, fostering inclusive environments and always driving for continuous improvement.

Safe & Welcoming Environment

Bend-La Pine Schools is committed to creating a safe and welcoming environment for all students. Our strategic priorities include

· Maximizing safety for students, staff, and the community.

· Ensuring physically and psychologically safe, secure and orderly learning environments.

· Building upon our foundation of prevention, intervention, emotional health and crisis preparedness.

Our Staff (rounded FTE)

OREGON AT-A-GLANCE SCHOOL PROFILE

Caldera High School

Outcomes

REGULAR ATTENDERS

ON-TRACK TO GRADUATE

<10

<10

<10

<10

<10

<10

About Our School

ADVANCED COURSEWORK

Bend-La Pine Schools offer a range of advanced coursework and opportunities for students. These include, but are not limited to, Advanced Placement courses, International Baccalaureate programs of study, dual credit courses (in which students can obtain college credit in school) and much more. Contact counseling offices to learn more about potential options.

CAREER & TECHNICAL EDUCATION

Bend-La Pine Schools’ cutting-edge rigorous and relevant Career and Technical Education courses prepare students for a wide range of high-wage, high-skill, highdemand careers. More than 2,300 Bend-La Pine Schools’ students enrolled in CTE courses last year, with high schools offering more than 148 CTE courses. Students have the opportunity to explore a variety of CTE options including agri-sciences, business, culinary, engineering, forestry, future energy and power, graphic design and manufacturing technologies.

EXTRACURRICULAR ACTIVITIES

Bend-La Pine Schools values extracurricular activities, including interscholastic sports, academic clubs, service clubs and more. To learn more about the activities offered at our school, connect with our staff or visit our school website for details.

PARENT & COMMUNITY ENGAGEMENT

We ask parents and families to partner with us in giving children the support they need to succeed at school. We ask community partners to consider committing more time and expertise. We offer numerous ways for interested families and community members to connect with our schools — through volunteering, attending school activities and events and much more.

Places to Go & Things to Do

Food Trucks/Carts

https://www.visitbend.com/food-drink/restaurants/food-carts/

https://www.google.com/search?q=food+carts+near+me&rlz=1C1GCEU_enUS874US875&oq=food+ca rts+&aqs=chrome.2.69i57j0i512j0i457i512j0i402j46i175i199i512l2j0i512l4.9132j0j15&sourceid=chrom e&ie=UTF-8

https://www.menupix.com/oregon/cn/158/370037/Food-Trucks-Prineville

https://www.google.com/search?q=food+trucks+in+sisters+oregon&rlz=1C1GCEU_enUS874US875&ei =nMxVYpS4Ns2dkPIPufeDoAg&oq=food+trucks+in+Sisters&gs_lcp=Cgdnd3Mtd2l6EAEYADIFCAAQgAQ yBQgAEIYDMgUIABCGAzoLCC4QgAQQxwEQrwE6BggAEBYQHkoECEEYAEoECEYYAFAAWPcKYNAiaABw AXgAgAHRAYgBugmSAQUwLjYuMZgBAKABAcABAQ&sclient=gws-wiz

https://www.google.com/search?q=food+trucks+in+madras&rlz=1C1GCEU_enUS874US875&ei=nMxV YpS4Ns2dkPIPufeDoAg&ved=0ahUKEwiU9pOLm4_3AhXNDkQIHbn7AIQQ4dUDCA8&uact=5&oq=food +trucks+in+madras&gs_lcp=Cgdnd3Mtd2l6EAMyBggAEBYQHjIFCAAQhgMyBQgAEIYDOgcIABBHELADO goIABBHELADEMkDOggIABCABBDJAzoFCAAQkgM6BQgAEIAEOgsILhCABBDHARCvAUoECEEYAEoECEYY AFDeEliMGmDVHGgBcAF4AIABrQGIAZoHkgEDMC42mAEAoAEByAEHwAEB&sclient=gws-wiz https://www.google.com/search?q=food+trucks+in+culver+oregon&rlz=1C1GCEU_enUS874US875&ei =bM1VYqjDC_bTkPIP_Zuj2AY&ved=0ahUKEwioqYDum4_3AhX2KUQIHf3NCGsQ4dUDCA8&uact=5&oq =food+trucks+in+culver+oregon&gs_lcp=Cgdnd3Mtd2l6EAMyBQghEKsCOgoIABBHELADEMkDOgcIABB HELADOgYIABAWEB46BQgAEIYDOgUIIRCgAUoECEEYAEoECEYYAFD2BljNDmCFEGgBcAF4AIABswGIAcQ JkgEDMC43mAEAoAEByAEEwAEB&sclient=gws-wiz

https://pdx.eater.com/maps/best-restaurants-bend-oregon-guide

Central Oregon Healthy Food

https://www.visitbend.com/food-drink/restaurants/vegan-vegetarian-gluten-free/

https://www.google.com/search?q=healthy+eats+in+central+oregon&rlz=1C1GCEU_enUS874US875& ei=Vs5VYo6xJp_TkPIPjIqV4AI&ved=0ahUKEwiOtOXdnI_3AhWfKUQIHQxFBSwQ4dUDCA8&uact=5&oq =healthy+eats+in+central+oregon&gs_lcp=Cgdnd3Mtd2l6EAM6BggAEAcQHjoICAAQBxAFEB46BQgAEI YDSgQIQRgASgQIRhgAUABYjyhg6D5oAnABeAGAAe8DiAHND5IBCjIuMTAuMS4wLjGYAQCgAQHAAQE &sclient=gws-wiz

Kid Friendly Attractions

https://forgetsomeday.com/things-to-do-in-bend-oregon-with-kids/ https://www.cascadiakids.com/things-do-kids-bend-oregon/

https://oldmilldistrict.com/things-to-do-with-kids/

https://www.visitbend.com/things-to-do/activities/kid-family-friendly-activities/

Farmers Markets in Central Oregon

https://visitcentraloregon.com/dining/food/farmers-market/

https://www.localharvest.org/prineville-or/farmers-markets

https://hdffa.org/its-farmers-market-season/

https://redmondoregonfarmersmarket.com/

https://www.sistersfarmersmarket.com/

https://www.localharvest.org/redmond-or/farmers-markets

https://www.madrassaturdaymarket.com/

Central Oregon Breweries

https://www.visitbend.com/food-drink/restaurants/brewery-pub/

https://www.google.com/search?q=breweries+in+central+oregon&rlz=1C1GCEU_enUS874US875&oq =&aqs=chrome.0.69i59i450l8.68566434j0j15&sourceid=chrome&ie=UTF-8

https://visitcentraloregon.com/dining/drinks/breweries/redmond/ https://beermebend.com/bend-oregon-brewery-locations/

https://www.google.com/search?q=prineville+breweries&rlz=1C1CHBD_enUS1025US1025&oq=prine ville+breweries&aqs=chrome..69i57j0i22i30j0i390i650.4688j0j7&sourceid=chrome&ie=UTF-8

https://www.google.com/search?q=breweries+in+madras+oregon&rlz=1C1CHBD_enUS1025US1025& oq=breweries+in+madras+oregon&aqs=chrome..69i57.6398j0j4&sourceid=chrome&ie=UTF-8

Private Schools in Central Oregon

https://www.niche.com/k12/search/best-private-schools/c/deschutes-county-or/ https://movingtobend.com/relocation-blog/2021/a-guide-to-public-and-private-schools-in-bendoregon/

https://www.countyoffice.org/bend-or-private-schools/

Central Oregon Winter Activities

https://www.visitbend.com/things-to-do/activities/winter-fun/

https://visitcentraloregon.com/things-to-do/activities/winter/

https://www.google.com/search?q=winter+activities+central+oregon&rlz=1C1CHBD_enUS1025US102 5&oq=winter+activities+central+oregon&aqs=chrome..69i57j0i22i30l2j0i390i650l3j69i60l2.14288j0j4 &sourceid=chrome&ie=UTF-8

Central Oregon Trivia and Bingo Nights

https://www.riversplacebend.com/games

https://beermebend.com/bend-oregon-brewery-locations/

https://www.bendsource.com/bend/bingo-with-bren-supporting-saving-grace/Event?oid=16320982

https://www.visitbend.com/food-drink/astro-lounge/

https://theyardfoodpark.com/events/

https://www.silvermoonbrewing.com/events

https://www.bendsource.com/bend/tuesday-night-trivia-in-redmond/Event?oid=18829261

Calendar of Events for Central Oregon

https://visitcentraloregon.com/calendar-of-events

https://www.bendsource.com/bend/EventSearch?v=g#grid

https://www.visitbend.com/event-calendar/

Economic Development for Central Oregon

BEND OVERVIEW

Ranked #4 in the Milken Institute’s 2025 Best Performing Small Cities Report, it hosts Bend Venture Conference (BVC), the largest angel investment conference in the Pacific Northwest. Tourism is a vital component of the local economy, with visitors drawn to world-class skiing, hiking, fly fishing, and mountain biking, supporting a robust hos pitality and service sector. Bend’s vibrant craft beer scene is a key economic factor, with its breweries earning national recognition.

Bend has been recognized as one of the best mountain towns to v isit in America, drawing in many new residents from the 4.5 million annual visitors who wis h to make it their home. Along with its stunning views and family-friendly recreational activi ties, Bend offers a vibrant mix of arts and cultural experiences, quality healthcare, a growing education system, and ample economic opportunities for those looking to build a life there.

Higher education plays a pivotal role in Bend’s economic landscape. The town boasts a creative startup environment and a burgeoning tech industry, making it an appealing destination for entrepreneurs and professionals alike.

ECONOMIC DIVERSITY

Bend’s thriving and diverse economy makes it an ideal place to enjoy a fulfilling career without sacrificing quality of life. It blends big-city opportunities with the advantages and accessibility of a smaller community. Key industries fueling Bend’s growth include bioscience, aviation, specialty food production, craft brewing, technology, outdoor gear and apparel, and advanced manufacturing. The city benefits from a strong and expanding

education sector, with institutions like Oregon State University-Cascades, Central Oregon Community College and Leading Edge Aviation Flight School playing a crucial role in developing a skilled workforce. Bend continues to outpace both larger and smaller metropolitan areas in Oregon when it comes to year-overyear wage growth, making it an increasingly attractive destination for professionals and entrepreneurs alike.

COMMUNITY & BUSINESS ASSETS

GEOGRAPHIC ACCESSIBILITY

An expanding regional airport provides convenient daily direct flights to 12 destinations, enhancing connectivity for both business and leisure travelers. To meet the region’s rising demand, the Redmond Municipal Airport is set to begin a major terminal expansion in the summer of 2025. Bend’s location at the intersection of key state highways allows for easy and scenic drives to the Willamette Valley, the Oregon Coast, Portland, Boise and Seattle. Within the city, Bend’s well-planned road system prioritizes traffic flow and safety, utilizing an extensive network of roundabouts to reduce congestion and keep traffic moving efficiently. Bend is investing millions in capital improvement projects, as well as expanding bicycle and pedestrian routes, ensuring the city’s infrastructure supports continued growth without increasing commute times.

DOG TOWN, U.S.A.

Bend, Oregon, is a paradise for dogs and their owners, offering endless outdoor adventures and a dog-friendly community. With eight off-leash dog parks, over 50 miles of trails in town and access to the Deschutes River, pups can run, swim and explore to their heart’s content. Crowned Dog Town USA by Dog Fancy magazine, many local businesses, breweries and restaurants welcome four-legged friends, often providing water bowls and treats. Bend’s mild climate and outdoor lifestyle make it easy to include dogs in everyday activities.

TOP U.S. CITY FOR BEER DRINKERS

Central Oregon boasts a vibrant craft beverage scene, with breweries and cideries of all sizes contributing to its reputation. Deschutes Brewery and AVID Cider Co. lead the way in national distribution. Nearly onethird of Oregon’s largest 30 breweries by volume are located in Central Oregon, and Bend consistently ranks among the top U.S. cities for beer enthusiasts. The city also holds a top position nationally for craft breweries per capita. Residents and visitors enjoy annual beer and cider festivals celebrating local producers.

Median Household Income: $77,302 (2024 estimates from Oregon Prospector)

The Bend Venture Conference has been run in Bend for twenty years and brings entrepreneurs and angel investors together. Efforts to foster new local businesses also include regular Central Oregon PubTalks - networking events for people interested in entrepreneurship. These longterm efforts have borne fruit, with Bend ranking No. 17 for young firm employment share.

- Most Dynamic Metros 2024, Heartland Forward

RESOURCES

• Carl Riccadonna , Oregon Office of Economic Analysis

• Beacon Appraisal Group, Beacon Report and Market Overview

• Compass Points Commercial and Industrial Market Report

• Central Oregon Economic Indicators (OED)

• Statewide Economic Data

• Redmond Airport Flight Statistics

• City of Bend Permit Center Portal

• Deschutes County Permits

AWARDS AND ACCOLADES

Central Oregon (Crook, Deschutes, and Jefferson counties) stands out as the region’s employment powerhouse, driving most of the employment growth seen in the East Cascades. The sub-region is projected to grow the fastest, with an 8.6% increase that will add nearly 9,900 new nonfarm jobs by 2033.

- 2023-2033 Industry Projections in the East Cascades, Oregon Employment Department

Bend is one of six small cities in the U.S. that ranked highest of all 1,334 cities for the most startups per capita.

- TheStreet, 2023

2023 Bend Industry Composition

Bend-Redmond’s robust labor market is a key factor in its continued success, with fiveyear job growth ranking 14th and five-year wage growth placing fifth in the U.S. among small cities. The region’s technology industry is flourishing, with significant contributions to Bend’s high-tech GDP from software publishing, which has risen an impressive 40% since 2018.

WELCOME TO CENTRAL OREGON

Where the commute is short and the views are endless Central Oregon spans the sweeping high desert plateau and rugged mountains of Deschutes, Crook and Jefferson Counties. Nestled midway between San Francisco and Seattle, the region continues to shine as one of America’s most dynamic small metropolitan markets.

A magnet for talent and investment

Attracted by both striking natural beauty and urban-grade amenities, people and companies are flocking here. Deschutes County led Oregon in new investment dollars in 2023 and 2024, according to SmartAsset data.

Work–life balance redefined

Strong economic momentum

Over the past decade, Central Oregon has seen some of the highest sustained GDP, employment and population growth in the nation. In 2025, the Milken Institute once again placed the Bend–Redmond metro area among the top five Best‑Performing Small Cities, highlighting its expanding high‑tech sector, exceptional job growth, strong wage gains, and a resilient economy that continues to attract diverse industries and talent.

Bend residents reflected a combination of relatively low unemployment (3.1%) and high income growth at 44.2% over three years. At the same time, work is accessible and flexible for many, with an average commute time of 16 minutes, while 26.9% work remotely.

SmartAsset, 2025

Here, people achieve what many only dream of: real balance. Commutes are measured in minutes, not hours, and outdoor adventures are practically your daily routine. It’s no surprise that employees report higher satisfaction, while companies operate more nimbly and innovatively.

A local footprint with global reach

Though dominated by small and mid-sized enterprises, Central Oregon’s brands are making waves worldwide, driven by bold startups, advanced manufacturers and a growing concentration of high-tech and outdoor recreation companies.

Central Oregon delivers an irresistible package: exceptional economic opportunity, a thriving entrepreneurial ecosystem, cutting-edge connectivity, and a lifestyle defined by proximity to nature. The region enjoys a high desert climate with abundant sunshine and mild, dry weather throughout the year. With less than 10.4 inches of precipitation annually, the area offers clear skies and ideal conditions for outdoor living.

CENTRAL OREGON OVERVIEW

GEOGRAPHIC ACCESSIBILITY

An expanding regional airport provides convenient daily direct flights to 11 destinations, enhancing connectivity for both business and leisure travelers. To meet the region’s rising demand, the Redmond Municipal Airport (RDM) is set to begin a major terminal expansion in the summer of 2025.

Central Oregon’s location at the intersection of key state highways allows for easy and scenic drives to the Willamette Valley, the Oregon Coast, Portland, Boise, and Seattle.

Regional Population: 260,425

(2024 estimates from PSU Population Research Center)

Regional Labor Force: 135,838 (2024 estimates from Oregon Prospector)

Median Household Income: $79,420

(2024 estimates from Oregon Prospector)

AVERAGE COMMUTE TIMES

The Central Oregon average commute time is 24 minutes each way, saving the average worker nearly one work week per year.

Source: Census.gov 2023

AIR

Source:Redmond Municipal Aiprot

Redmond Municipal Airport (RDM) provides commercial air service with an average of 30 daily outbound flights to Burbank, Dallas, Denver, Las Vegas, Los Angeles, Phoenix, Portland, Salt Lake City, San Diego, San Francisco, and Seattle via five carriers (Alaska, American, Breeze, Delta,and United).

RAIL

Burlington Northern Santa Fe (BNSF), Union Pacific (UPRR) and the City of Prineville Railway (COPR) provide direct connections for shipping to any market in the United States, Canada and Mexico.

FREIGHT

U.S. Highways 97 and 20 are two of the State’s major trucking routes, with access to major metro areas with connections to Interstate 5 and Interstate 84.

TRAVEL TIME & DISTANCE BY ROAD

TRAVEL TIME BY AIR

CENTRAL OREGON AMONG THE FASTEST GROWING REGIONS

The Bend Metropolitan Statistical Area (MSA), which includes Deschutes, Crook and Jefferson counties, grew by nearly 7% between the April 2020 Census and July 1, 2022, adding close to 17,000 residents according to U.S. Census Bureau data. This growth reflects the continued appeal of Central Oregon, with Crook County standing out as the fastest growing county in the state during that period.

Net migration remained strong in Deschutes County. In 2022, it saw a gain of 1,848 residents, based on IRS migration data. Of the 13,327 people who moved into the county, 5,598 came from other parts of Oregon, while 7,729 relocated from out of state. Oregon as a whole experienced a net loss of 6,896 residents during that same period, with most newcomers arriving from California (30,421) and Washington (19,487). Despite the statewide decline, the Bend metro area continues to grow steadily, fueled by both instate and out of state migration.

4.1 million visitors are drawn to Central Oregon each year for its outdoor recreation, vibrant communities and high quality of life. Tourism serves as a gateway to discovering the region’s livability and business potential. Between 2010 and 2024, Central Oregon’s population grew by nearly 30%, driven by inmigration and a thriving economy. In response, communities across the region are investing in infrastructure, housing and workforce development to support sustainable growth.

Central Oregon continues to attract skilled talent and entrepreneurs, reinforcing its reputation as a dynamic place to live, work and build a business.

“Central Oregon’s economic growth is stronger than the state and nation overall. The primary reason is the high quality of life that attracts new residents. Faster population growth means local businesses can hire and expand at a faster rate due to the influx of working-age migrants and the growing labor force.”

Josh Lehner, Economist Oregon Office of Economic Analysis

Source: Population Research Center, 2020-2024

ECONOMIC DIVERSITY

Central Oregon’s thriving and diverse economy makes it an ideal place to enjoy a fulfilling career. The Bend MSA offers a pro-business environment with incentives and supportive business finance options to encourage economic growth. Oregon allows corporate net operating losses to be carried forward for up to 15 years without a cap, which can meaningfully reduce business tax liability.

For businesses looking to relocate, Central Oregon has a reputation for welcoming new companies. The region offers a tight-knit community without sacrificing talent, education opportunities or quality healthcare. EDCO’s network can help businesses streamline decisions when choosing a new home.

A driving force for Central Oregon’s economic performance is a collaborative and inclusive entrepreneurial community. This is supported by the number of new business registrations, which have outpaced far larger cities.

The region is large enough to provide resources and access to capital that help new entrepreneurs get started, while still being small enough that those resources are interconnected to support businesses as they grow. Assets managed by EDCO include Central Oregon PubTalks and the largest Angel Conference in the Pacific Northwest, the Bend Venture Conference.

The Bend Venture Conference has been run in Bend for twenty years and brings entrepreneurs and angel investors together. Efforts to foster new local businesses also include regular Central Oregon PubTalks - networking events for people interested in entrepreneurship. These longterm efforts have borne fruit, with Bend ranking No. 17 for young firm employment share.

Most Dynamic Metros 2024, Heartland Forward

WORKFORCE DEVELOPMENT

Communities in Central Oregon are actively engaged in aligning workforce goals with economic development. Local education institutions and private sector employers continue to find innovative ways to improve skill attainment within the workforce. The area benefits from a strong and expanding education sector, with institutions like Oregon State University-Cascades , Central Oregon Community College , Hillsboro Aero Academy, and Leading Edge Aviation Flight School playing a crucial role in developing a skilled workforce.

OSU-Cascades offers over 27 degree programs and recently launched SnoPlanks Academy, a student lead and operated snowboard company that delivers career development to every student.

Central Oregon Community College (COCC) has campuses in Bend, Prineville, Redmond, and Madras. Students can choose from over 25 Certificate and Associate options.

Central Oregon (Crook, Deschutes and Jefferson counties) stands out as the region’s employment powerhouse, driving most of the employment growth seen in the East Cascades. The sub-region is projected to grow the fastest, with an 8.6% increase that will add nearly 9,900 new nonfarm jobs by 2033.

2023 2033 Industry Projections in the East Cascades, Oregon Employment Department

HEALTHCARE

St. Charles Health System is the largest healthcare provider in the region, and is also the largest employer with over 5,100 employees across the tri ‑ county area. The hospital offers a network of more than 100 clinics and specialty practices throughout the community. St. Charles has been recognized with numerous quality awards including:

• Recognized as a top performing health system for quality and efficiency by Thomson Reuters

• The American Heart Association Stroke Gold Quality Achievement Award

• March of Dimes Leading Practice Award

UTILITIES

Most of Central Oregon has been newly built in the past two decades, making the region’s telecommunications infrastructure one of the Northwest’s most technologically advanced. Businesses and telecommuters benefit from reliable fast data speeds and upload times.

Source: State of Oregon Employment Department

EDCO works to attract companies from outside the region to relocate to or expand in Central Oregon. This includes offering confidential site selection assistance, providing local market insights, helping businesses navigate local regulations, and coordinating with city, state and county partners. EDCO connects prospects with available workforce and incentives as well as key community partners. The goal is to bring traded ‑ sector companies that generate new revenue and jobs to the region. By aligning business needs with local assets, EDCO helps companies find the right fit for long term success.

Oregon offers more incentive programs to traded-sector businesses than Washington or California. Even without taking those incentives into consideration, Oregon is still a more cost effective choice for doing business. Connect with EDCO for a detailed look at the available incentives, potential sites and business costs in Central Oregon.

Source: Tax Foundation 2025, US Energy Information Association (Average Industrial Price Natural Gas) 2025, US Energy Information Association (Electricity) 2021

Case Study: Holy Kakow – Scaling

Craft Food Production in Sisters

Founded in Portland in 2009, Holy Kakow has built a national and international reputation for its premium organic chocolate sauces and syrups, widely used by specialty coffee shops around the world. After nearly a decade of growing the company, Founder Wyatt Woods began exploring ways to relocate the business to better align with his family’s long‑term goals. The City of Sisters offered the lifestyle and community he was looking for, but moving an established food manufacturing operation presented significant logistical challenges.

Enter EDCO. Through direct support from its team, Holy Kakow received hands on assistance with site selection, navigating the permitting process, identifying potential incentives, and coordinating

local resources. EDCO helped secure a location in the Sisters Business Park that would allow Holy Kakow to expand its operations and meet growing demand.

The relocation was completed in the early months of the COVID 19 pandemic, a time when many businesses were scaling back. With the added space and the support of EDCO and the local business community, Holy Kakow more than doubled its workforce in just a few months.

Today, Holy Kakow is actively working on new product lines and is part of a growing cluster of craft food producers in Sisters, a supportive, entrepreneurial ecosystem that fosters innovation and sustainable growth.

“While our move to Central Oregon may have started for personal reasons, it has allowed us to do more with our business than we thought possible. It has allowed us to hire amazing employees – the available talent here in Central Oregon has proven to be of the highest caliber and chocked full of integrity. Sometimes you feel like you can get lost in a big city. In Sisters we have been able to be part of a growing and nurturing business community.”

Wyatt Woods, President and Owner, Holy Kakow

Through its Venture Catalyst program, EDCO supports early stage entrepreneurs and scalable startups. The organization provides mentorship, strategic planning guidance, advice on access to capital, and exposure to investor networks. Signature events, such as the Bend Venture Conference and PubTalk, are central in this effort. EDCO plays a key role in fostering a robust startup ecosystem in Central Oregon.

A driving force for our economic performance is a collaborative and inclusive entrepreneurial community. According to 2023 SmartAsset data, 28.96% of Deschutes County residents have small business incomes, and independent businesses generate about 13.02% of the income for the county.

Both Redmond and Bend made WalletHub’s 2025 Top 30 list for best small cities to start a business at #7 and #8 respectively, based on an index of criteria that included business environment, access to resources and business costs. They were the only two Oregon cities to make it in the top 500 of 1,334 small cities ranked in the index.

BEST SMALL CITIES FOR STARTING A BUSINESS

Bend is one of six small cities in the U.S. that ranked highest of all 1,334 cities for the most startups per capita.

TheStreet, 2023

Case Study: Luno –Expanding Outdoor Innovation in Central Oregon

Luno , founded by Pete Ducato in Santa Barbara, California, is redefining vehicle-based adventure with the first-ever inflatable car mattress built specifically for camping. As the company expanded, Pete began looking for a new home base that aligned with both his business goals and outdoor lifestyle. Central Oregon quickly rose to the top of the list, and EDCO helped make the transition possible.

connected Luno to key regional resources to help ease the move. Beyond logistics, EDCO delivered strategic value through mentorship and exposure.

Luno was invited to present at Central Oregon PubTalk, a high-visibility event for emerging companies. EDCO’s Venture Catalyst Director and team provided pitch coaching to help refine the company’s story and maximize its impact on stage. In addition, Pete received ongoing guidance from EDCO staff as he navigated the local business landscape and prepared for future growth.

Now headquartered in Bend, Luno is thriving in a region that embraces innovation, entrepreneurship and the outdoor industry. With EDCO’s ongoing support, Luno is positioned to keep scaling and expanding its impact in the outdoor recreation market.

From the start, EDCO provided hands ‑ on support through every stage of relocation. The team assisted with site selection, reviewed and negotiated lease terms and

EDCO plays a vital role in supporting the growth and success of companies across the region. For existing businesses looking to expand, EDCO provides tailored, hands on assistance to help them scale effectively and sustainably. This includes guiding companies through the permitting process, helping them recruit skilled talent, identifying and accessing local and state incentives, and securing suitable sites for expansion. With deep knowledge of the region and strong connections across both public and private sectors, EDCO streamlines the often complex steps that accompany business growth.

Beyond logistical support, EDCO serves as a long ‑ term strategic partner, committed to the sustained success of companies throughout Central Oregon. The EDCO team stays engaged well beyond the initial project, offering continued access to resources, networking

“Traded-sector businesses play a pivotal role in stimulating economic growth by infusing new capital into the local economy, ultimately creating a ripple effect that supports local governments, retail, service, and utility providers. As the backbone of Central Oregon’s economic stability, these employers have been instrumental in driving employment growth across the region.” - Jon Stark, CEO, EDCO

opportunities and industry insights that help businesses adapt to changing markets and conditions. Whether a company is entering new markets, adding new product lines or simply scaling up to meet demand, EDCO is there to ensure these businesses remain competitive and rooted in the region’s economic landscape. Through this ongoing collaboration, EDCO fosters a thriving business community that contributes to the resilience and diversity of the Central Oregon economy.

Case Study:

Serán Bioscience

– Powering HighGrowth Biotech in Bend

Serán Bioscience , a cutting edge pharmaceutical development and manufacturing company headquartered in Bend, has become one of the most active and fast ‑ growing players in Central Oregon’s biotech ecosystem. With multiple expansion projects across the region, Serán stands out as the company with one of the highest number of distinct growth initiatives supported by EDCO.

From permitting support to coordinating Enterprise Zone (Ezone) incentives for several new facilities, EDCO has worked closely with Serán’s leadership through every phase of their expansion. The collaboration has helped

the company continue building advanced infrastructure while maintaining momentum in a highly regulated, technical field.

In addition to development support, EDCO facilitated connections with key federal partners, including coordinating communication with the office of Oregon senators. This has helped Serán stay engaged with relevant policy conversations and federal opportunities.

Serán’s Founder and CEO, Dan Smithey, is also an active participant in EDCO’s Business Roundtable Group, an initiative that brings together CEOs from growing companies across the region to share insights, collaborate and strengthen the local business environment.

As Serán continues to grow, EDCO is currently working with the company to develop a customized workforce training program focused on technical and operator ‑ level roles, helping ensure that local talent is prepared to meet the demands of their high tech manufacturing.

FOUNDATIONS OF CENTRAL OREGON’S ECONOMY

ADVANCED MANUFACTURING

Central Oregon is home to a variety of businesses in advanced manufacturing, which produce essential products and play a crucial role in the supply chain for various original equipment manufacturers (OEMs) in industries such as aviation and aerospace, brewing and distilling, specialty food processing, and automotive. Local advancements include both additive and subtractive machining of metals and plastics, advanced welding and metal fabrication, specialty metals casting, and the development of specialized machinery and equipment. Notable employers in this industry include BASX, Epic Aircraft, JELD WEN Windows and Doors, and Keith Manufacturing

Aviation/Aeropspace

The production of light aircraft in Central Oregon spans back more than 30 years. Composite (carbon fiber) fabrication and innovation in aircraft are the region’s specialty, offering a cluster of world-class talent and capabilities. Some of the most successful flight training programs in the country are located in the area, with both fixed-wing and helicopter flight schools, including Leading Edge, Hillsboro Aero Academy and Central Oregon Community College, which serve the global industry.

Building Products

After more than 100 years and considerable change across the industry, the building products sector remains Central Oregon’s largest traded sector employer. Businesses in this sector compete and win on a global scale, innovating and automating as leaders in their respective sub-industries, including wood doors and windows, mouldings, cabinetry, and furniture. The region’s largest manufacturer and second‑largest private employer, Brightwood Corporation, is based in Madras, with operations in Redmond, Culver and Prineville. The company has been growing in Central Oregon for over half a century.

HIGH TECHNOLOGY

Central Oregon’s high technology sector is broad and growing, encompassing software development, electronics manufacturing, data centers, and alternative energy. A large and growing number of tech companies now operate in the region, with a particularly strong presence in software. Many firms have established headquarters in Central Oregon, drawn by the region’s livability, talent pipeline and business-friendly environment.

Prineville has emerged as a data center hub, anchored by Meta’s first and largest data center campus, an expansive site comprising 11 buildings totaling approximately 4.6 million square feet. Central Oregon’s appeal for data infrastructure includes access to affordable industrial land, low utility costs, a dry climate ideal for cooling efficiency, and globally competitive tax incentives. With multiple telecom carriers and an expanding technology ecosystem, the region continues to attract investment and talent in high tech industries.

LIFESTYLE PRODUCTS

Brewing and Distilling

Central Oregon is home to a diverse brewing and distilling community, ranging from small craft breweries to some of the most well-known producers in the state. Bend, in particular, is recognized nationally for its high concentration of craft breweries and its active beer culture.

The region also supports a growing number of craft cideries and distilleries, totaling more than a dozen operations. Among them, AVID Cider stands out as Oregon’s second largest cider producer, earning statewide recognition. Crater Lake Spirits is a prominent distillery in the area and a key player in Oregon’s craft spirits market.

Together, these businesses contribute significantly to Central Oregon’s reputation as a leading hub for quality and innovation in craft beverages. Bend is often cited in national media as one of the top beer destinations in the U.S., contributing to the local economy and tourism.

Outdoor Gear and Apparel

Central Oregon’s outdoor gear and apparel sector reflects the region’s natural assets and active lifestyle, with businesses spanning sub-sectors like rock climbing, water sports, hydration, hiking, backpacking, outerwear, mountain and road biking, recreation vehicles, and even outdoor-focused software. This diversity has created a vibrant ecosystem of companies ranging from early-stage startups to established global brands.

The region plays a central role in shaping the outdoor industry statewide. It is home to the Oregon Outdoor Alliance (OOA) and Oregon’s Office of Outdoor Recreation—both of which foster industry collaboration, growth and advocacy. Bend Outdoor Worx, the nation’s first dedicated outdoor industry startup accelerator, offers early-stage companies access to capital, mentorship and exposure, helping turn bold ideas into market-ready products.

MANAGEMENT OF COMPANIES AND ADMIN

A growing number of firms that manage operations and deliver professional services to clients well beyond the region call Central Oregon home. This sector includes a wide range of specialties including engineering, architecture, accounting, human resources, recruitment, publishing, and administrative support, providing essential infrastructure for businesses across industries.

The region’s creative, marketing and advertising sub-sectors are particularly strong, supported by a deep talent pool and a culture of innovation. Companies headquartered in Central Oregon increasingly serve national and international clients, leveraging remote work trends and quality‑of‑life advantages to attract and retain skilled professionals in administrative and corporate management roles.

SCIENTIFIC

Central Oregon’s bioscience sector is a rapidly-expanding pillar of the regional economy, producing everything from titanium implants to cutting-edge drug research. The industry has sustained doubledigit year-over-year employment growth for nearly a decade, driven by innovation, advanced manufacturing and a strong pipeline of technical talent.

The region has become a magnet for world-class scientific and engineering professionals, helping local companies compete globally in pharmaceuticals, medical devices, diagnostics, and contract development and manufacturing. At the center of this growth is Lonza, a Swiss-based pharmaceutical and biologics company and the region’s largest bioscience employer. Originally founded as Bend Research, Lonza has completed several major expansions in Central Oregon, reinforcing its role as one of the state’s most significant players in drug development and delivery technologies.

2023 Bend MSA Industry Composition

Bend-Redmond’s robust labor market is a key factor in its continued success, with five-year job growth ranking 14th and five-year wage growth placing fifth among small cities. The region’s technology industry is flourishing, with significant contributions to Bend’s high-tech GDP from software publishing, which has risen an impressive 40.3% since 2018.

LIFESTYLE

Living in Central Oregon means embracing a lifestyle where outdoor adventure and small town charm go hand in hand. The region is a playground for nature lovers. There are more than 600 miles of trails for hiking, biking, offhighway vehicles (OHVs), and horseback riding. Two major ski areas, Mt. Bachelor and Hoodoo, offer everything from downhill skiing to snowshoeing and Nordic trails. With over 30 golf courses, the area attracts both casual players and pros looking to tee off against a stunning mountain backdrop.

Beyond the trails and slopes, Central Oregon is home to a thriving food and beverage scene. Bend alone boasts more than 30 craft breweries, alongside a growing number of distilleries and cideries. Restaurants reflect the area’s diversity, with options ranging from locally sourced fine dining to food trucks serving global flavors. The culinary culture is matched by a vibrant arts and entertainment scene. The Hayden Homes Amphitheater hosts major concerts throughout the summer. Local galleries, theaters and seasonal festivals add to the cultural richness of the region.

Life here strikes a balance between outdoor activities and community engagement. You can spend your morning fly fishing or trail running, then head downtown for an art walk or a live show. The communities in Deschutes, Crook and Jefferson counties are known for their friendly pace, innovative spirit and easy access to natural beauty. Whether you’re raising a family, growing a business or simply looking to make the most of each day, Central Oregon offers a lifestyle that is both active and deeply rewarding.

“Central Oregon enjoys a truly collaborative environment. Everyone is not only supportive of each other, but excited to see one another grow. We share the same trails, rivers and slopes and ultimately share a similar vision to help the region succeed.”

‑ Scott Allan, Interim CEO, Puffin Drinkwear

Economic Development for Central Oregon (EDCO) is a non-profit corporation supported by private and public members and stakeholders. Our mission is to create a diversified local economy and a strong base of middle-class jobs in Central Oregon.

EDCO connects businesses to Central Oregon’s growing industry clusters, including advanced manufacturing, bioscience, outdoor products, technology, natural foods, and consumer goods. The organization links companies to a wide range of resources, such as local supply chain connections, talent acquisition, incentives, business finance, market intelligence, and more. EDCO also supports companies in navigating the regional and local real estate market, as well as infrastructure and permitting processes.

2024/25 FISCAL YEAR RESULTS

EDCO Move projects for 2024/25 fiscal year resulted in four companies moving to the region, creating an anticipated 20 jobs and $8.4M in capital investment.

EDCO Start projects for the 2024/25 fiscal year resulted in 18 companies achieving significant milestones with EDCO’s support, such as securing financing (equity or debt), obtaining a grant, hiring key talent, completing incorporation, or achieving another measurable advancement. These efforts resulted in the anticipated creation of 62 jobs and $36.8M in equity investment.

EDCO Grow projects for 2024/25 fiscal year resulted in ten companies reaching milestones in growing their business, such as increasing staffing, scaling production, moving into a larger facility, or otherwise demonstrating measurable operational growth, adding an anticipated 180 jobs and $63.2M in capital investment.

EDCO’s RESULTS

RESOURCES

• Carl Riccadonna , Oregon Office of Economic Analysis

• Beacon Appraisal Group, Beacon Report and Market Overview

• Compass Points Commercial and Industrial Market Report

• Central Oregon Economic Indicators (OED)

• Statewide Economic Data

• Redmond Airport Flight Statistics

• Deschutes County Permits

• Crook County Permits

• Jefferson County Permits

• Upcoming networking events, luncheons, conferences, and more

• Current comprehensive data for Central Oregon

• Success stories from regional businesses

• Business news on EDCO’s blog

• Membership listings

• Business support and relocation resources

• Entrepreneurial and startup resources

• Community and professional development resources

EDCO PLATINUM MEMBERS:

Cascade Disposal

Cascade Natural Gas

Central Oregon Community College

City of Madras

City of Prineville

City of Sisters

CMIT Solutions

Crook County

First Interstate Bank

Jefferson County

Mid Oregon Credit Union

OSU-Cascades

Pacific Power

PacificSource

Schwabe, Williamson & Wyatt Sensiba

St. Charles Health System TDS Telecom

$1.76B Total

$14M

Total awarded to participating startups at the Bend Venture Conference, and growing.

Turn static files into dynamic content formats.

Create a flipbook
Issuu converts static files into: digital portfolios, online yearbooks, online catalogs, digital photo albums and more. Sign up and create your flipbook.