3628 SW Obsidian Place Redmond - Homebook

Page 1

Deschutes County Title has provided this information as a courtesy and assumes no liability for the accuracy of the data and does not warranty the fitness of this product for any particular purpose. 3628 SW Obsidian Place|Redmond|Oregon|97756 Bend 397 SW Upper Terrace Dr Bend, Oregon 97702 Office: 541.389.2120 Fax: 541.389.2180 Redmond 845 SW Veterans Way Redmond, Oregon 97756 Office: 541.527.1274 Fax: 541.527.1281 La Pine 51515 Huntington Rd La Pine, Oregon 97739 Office: 541.876.6990 Fax: 541.876.2740 St Helens 240 South First Street St. Helens, Oregon 97051 Office: 503.397.2587 Fax: 503.366.1708 HOMEBOOK www.deschutestitle.com

for

ConventionalFHA VA ● ● ● ● ● ● ● ● ● ● ● ● ● ● ● ● ● ● ● ● ● ● ● ● ● ● ● ● ● ● ● ● ● ● ● ● ● ConventionalFHA VA ● ● ● ● ● ● ● ● ● ● ● ● ● ● ● ● ● ● ● ● ● ● ● ● ● ● ● ● ● ● ● ● ● ● ● ● ● ● ● ● ● ● ● ● ● Seller to pay full escrow fee (includes buyer escrow fee) GUIDE TO CLOSING COSTS Buyer'sLenderFees(variesbylender) * Items listed are intended to represent only what may be customarily charged and may not reflect actual charges at closing. Consult with your real estate professional or title company representtaive for actual charges specific to your transaction. AppraisalFee LoanOriginationFee/Discount CreditFee MortgageInsurance(ifapplicable) ReserveSetUpFee(ifapllicable) FireInsurance1year(homeownerspolicy) Floodinsurance(ifapplicable) FloodandTaxCertifications PrepaidInterest HomeOwnersAssociationFees(ifapplicable) VAFundingFee TaxProration EscrowFee RecordingFee LendersTitleInsurance TypeofFinancing TypeofFinancing *Customary
Seller to Pay *Customary for Buyer to Pay Cash (no loan) Cash (no loan) RealEstateAgentCommissions Reconveyance/ReleaseFees PrepaymentPenalties(IfApplicable) Owner'sTitleInsurance EscrowFee TaxProrations LienSearch(ifapplicable) Mortgages&Encumbrances AnyPropertyTaxDue

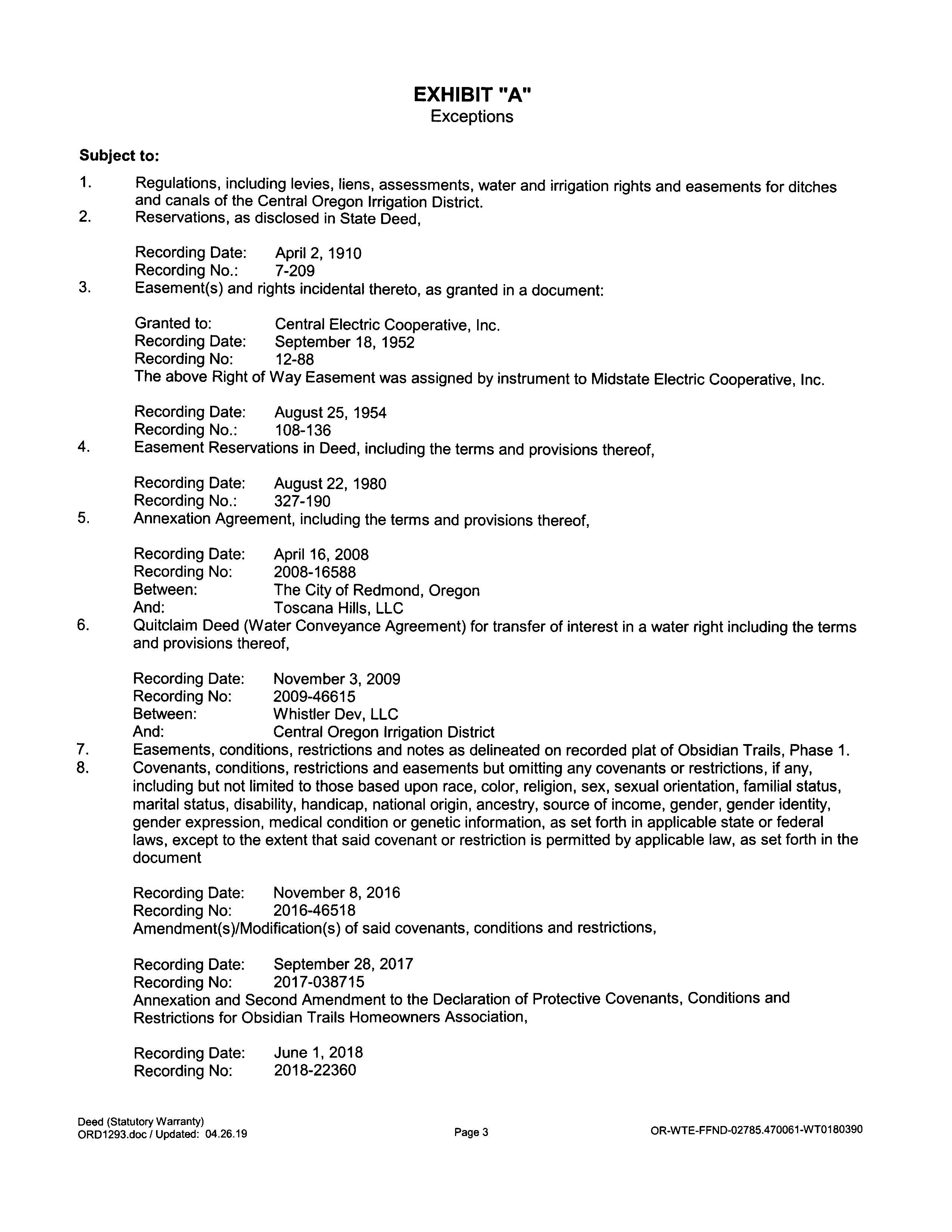
Property Profile Taxes Deed

PropertyProfileSummary

SUBJECTPROPERTY

Redmond,OR97756

OWNER Sapp,Kory Sapp,Alexis

PREPAREDBY DanettaRider

279354 DeschutesCounty ADDRESS 3628SWObsidianPl
DATE 10/24/2022
danettar@deschutestitle.com

Deschutes Title Market Report Redmond, OR 97756

REPORT FOR 10/24/2022

Single-Family Homes

Presented by Kevin White 541-389-2120

kwhite@titlemanagement.org www.deschutestitle.com

This week the median list price for

OR 97756 is $575,820 with the market action index hovering around 42 This is an increase over last month's market action index of

Inventory has decreased to

Market Action Index

This answers

Real-Time Market Profile

Median List

Price of

Square Foot

Days

Days on

Decreased

Slight Seller's Advantage

the Market Action Index shows some strengthening in the last few weeks, prices have settled in a bit of a plateau.

are currently in a Seller’s market so prices will likely resume their climb should this trend persist

Segments

Slight Seller's Advantage

Single-Family Homes Redmond, OR 97756
Price $575,820 Median
New Listings $654,900 Per
$333 Average
on Market 73 Median
Market 49 Price
47% Price Increased 3% Relisted 6% Inventory 166 Median Rent $2,400 Market Action 42
Deschutes Title Market Report deschutestitle.com
Redmond,
39
166
“How’s the Market?” by comparing rate of sales versus inventory Buyer's Market Seller's Market 0 10 20 30 40 50 60 70 80 90 100 Tod a yLastMonth 42
While
We
Market
Each segment below represents approximately 25% of the market ordered by price. Median Price Sq. Ft. Lot Size Beds Bath Age New Absorbed DOM $875,000 2,517 0 5 1 acre 3 2 5 19 12 2 84 $639,950 1,892 6,500 8,000 sqft 3 2 5 15 8 2 70 $525,000 1,698 6,500 8,000 sqft 3 2 16 10 7 52 $429,900 1,408 4,500 6,500 sqft 3 2 22 4 5 28 2 of 6 Mon Oct 24 2022 Powered by Altos Research, Inc | www altos re | Copyright © 2022 Altos Research, Inc

Median List Price

We continue to see prices in this zip code bouncing around this plateau. Look for a persistent upshift in the Market Action Index before we see prices move from these levels.

7-Day Average 90-Day Average

Segments

In the quartile market segments, we see prices in this zip code have generally settled at a plateau, although Quartile 1 has been trending a bit downward in recent weeks. We'll need to see a persistent shift in the Market Action Index before we see prices across the board move from these levels.

Single-Family Homes Redmond, OR 97756 Deschutes Title Market Report deschutestitle.com
Nov 2019 Mar 2020 Jul 2020 Nov 2020 Mar 2021 Jul 2021 Nov 2021 Mar 2022 Jul 2022 Oct 2022 $300K $400K $500K $600K $700K $800K $900K
Top 90-Day Upper 90-Day Lower 90-Day Bottom 90-Day Nov 2019 Mar 2020 Jul 2020 Nov 2020 Mar 2021 Jul 2021 Nov 2021 Mar 2022 Jul 2022 Oct 2022 $1.0M $0 $250K $500K $750K $1.3M 3 of 6 Mon Oct 24 2022 Powered by Altos Research, Inc | www altos re | Copyright © 2022 Altos Research, Inc

Price Per Square Foot

The market plateau is seen across the price and value. The price per square foot and median list price have both been reasonably stagnant. Watch the Market Action Index for persistent changes as a leading indicator before the market moves from these levels.

7-Day Average 90-Day Average

Inventory

Inventory has been climbing lately. Note that rising inventory alone does not signal a weakening market. Look to the Market Action Index and Days on Market trends to gauge whether buyer interest is keeping up with available supply.

7-Day Average 90-Day Average

Single-Family Homes Redmond, OR 97756 Deschutes Title Market Report deschutestitle.com
Nov 2019 Mar 2020 Jul 2020 Nov 2020 Mar 2021 Jul 2021 Nov 2021 Mar 2022 Jul 2022 Oct 2022 $200 $250 $300 $350 $400
Nov 2019 Mar 2020 Jul 2020 Nov 2020 Mar 2021 Jul 2021 Nov 2021 Mar 2022 Jul 2022 Oct 2022 0 50 100 150 200 250 300 4 of 6 Mon Oct 24 2022 Powered by Altos Research, Inc | www altos re | Copyright © 2022 Altos Research, Inc

Market Action Index

While the Market Action Index shows some strengthening in the last few weeks, prices have settled in a bit of a plateau. We are currently in a Seller’s market so prices will likely resume their climb should this trend persist.

7-Day Average 90-Day Average

Market Action Segments

Not surprisingly, all segments in this zip code are showing high levels of demand. Watch the quartiles for changes before the whole market changes. Often one end of the market (e.g. the highend) will weaken before the rest of the market and signal a slowdown for the whole group.

Top 90-Day Upper 90-Day Lower 90-Day Bottom 90-Day

Single-Family Homes Redmond, OR 97756 Deschutes Title Market Report deschutestitle.com
Nov 2019 Mar 2020 Jul 2020 Nov 2020 Mar 2021 Jul 2021 Nov 2021 Mar 2022 Jul 2022 Oct 2022 20 40 60 80 100 120
Nov 2019 Mar 2020 Jul 2020 Nov 2020 Mar 2021 Jul 2021 Nov 2021 Mar 2022 Jul 2022 Oct 2022 20 40 60 80 100 120 5 of 6 Mon Oct 24 2022 Powered by Altos Research, Inc | www altos re | Copyright © 2022 Altos Research, Inc

Median Days on Market (DOM)

The properties have been on the market for an average of 64 days. Half of the listings have come newly on the market in the past 40 or so days. Watch the 90-day DOM trend for signals of a changing market.

7-Day Average 90-Day Average

Segments

It is not uncommon for the higher priced homes in an area to take longer to sell than those in the lower quartiles.

Top 90-Day Upper 90-Day Lower 90-Day Bottom 90-Day

Single-Family Homes Redmond, OR 97756 Deschutes Title Market Report deschutestitle.com
Nov 2019 Mar 2020 Jul 2020 Nov 2020 Mar 2021 Jul 2021 Nov 2021 Mar 2022 Jul 2022 Oct 2022 0 25 50 75 100 125
Nov 2019 Mar 2020 Jul 2020 Nov 2020 Mar 2021 Jul 2021 Nov 2021 Mar 2022 Jul 2022 Oct 2022 0 50 100 150 200 6 of 6 Mon Oct 24 2022 Powered by Altos Research, Inc | www altos re | Copyright © 2022 Altos Research, Inc

AreaProfiled:ObsidianTrailsAllPhases

ReportDate: 10/24/2022

SalesDates: 05/19/2016 09/13/2022

NumberofParcels:166

WaterfrontParcels:0

AverageSalePricebyYear:05/19/2016 10/24/2022

ParcelswithViews:0

LengthofResidence

AverageLengthofResidence 2yr(s)

Ownership Length # %of Homes

0 2Years 41 24%

2 4Years 81 49%

4 6Years 42 25%

6 10Years 1 0%

10+Years 0 0%

*94sale(s)are included inthe graph

**71sale(s)withno sale price are excluded fromthe graph

SalesStatisticsbyYear:05/19/2016 10/24/2022

Year # SalesPrice/SqFtPrice/FinSqFt % Turnover AvgSale Price MinSale Price MaxSale Price

2017

$168 $168

$169 $169

$186 $186

$187 $210

$267 $267

$298 $298

*94sale(s)are included inthe table

sale price orbuilding sqftare

OwnerOccupancy

$251,387 $206,990 $289,990

$290,860 $222,889 $324,709

$289,311 $257,785 $327,832

$314,361 $256,607 $428,000

$448,887 $365,000 $560,000

$410,363 $1 $500,000

fromthe table

*165parcel(s)are included inthe calculation

**1parcel(s)withno sale date are excluded fromthe calculation

AgeofHomes

AverageAgeofHome 3yr(s)

YearBuilt # %ofHomes

<5Years 141 85% 5 10Years 41 25% 10+Years 24 14%

AssessedValues

$250k 143 86%

$500k 0 0%

$750k 1 1%

$15M 0 0%

0 0%

14
8
2018 21
13
2019 19
11
2020 17
10
2021 15
9
2022 8
5
**71sale(s)withno
excluded
OwnerMail # %of Homes OwnerOccupied 85 51% InStateNon Owner Occ 78 47% OutofState 3 2%
AverageValues $158,476 Year Assessment # %of Homes $1k
$251k
$501k
$751k
$1.5M+
Informationis deemed reliable butnotguaranteed.Powered bygeoAdvantage.

DESCHUTESCOUNTYPROPERTYPROFILEINFORMATION

Parcel#:279354

TaxLot:151319AA03413

Owner:Sapp,Kory

CoOwner:Sapp,Alexis Site:3628SWObsidianPl RedmondOR97756

Mail:3628SWObsidianPl RedmondOR97756

LandUse:101 Residential Improved(typicalofclass)

StdLandUse:RSFR SingleFamilyResidence

Legal:OBSIDIANTRAILSPHASE4Lot:104

Twn/Rng/Sec:T:15SR:13ES:19Q:NEQQ:NE

ASSESSMENT&TAXINFORMATION

MarketTotal:$296,450.00

MarketLand:$107,500.00

MarketImpr:$188,950.00

AssessmentYear:2021

AssessedTotal:$158,820.00

Exemption: Taxes:$2,939.42

LevyCode:2001

LevyRate:18.5078

SALE&LOANINFORMATION

SaleDate:02/04/2020

SaleAmount:$282,00900

Document#:5192

DeedType:Deed LoanAmount:$288,49500

Lender:GUILDMTGCO

LoanType:VA

InterestType: TitleCo:WESTERNTITLE&ESCROWCO

PROPERTYCHARACTERISTICS

YearBuilt:2019

EffYearBuilt: Bedrooms:3 Bathrooms:2

#ofStories:1

TotalSqFt:1,235SqFt

Floor1SqFt:1,235SqFt

Floor2SqFt: BasementSqFt: Lotsize:0.11Acres(4,792SqFt) GarageSqFt:487SqFt

GarageType: AC: Pool: HeatSource: Fireplace:1

BldgCondition: Neighborhood:002 Lot:104 Block: Plat/Subdiv:ObsidianTrailsPh04 Zoning:R5 HighDensityResidential(R5) SchoolDist:2J RedmondSchoolDistrict Census:4041 001001

Recreation:

SentryDynamics,Inc anditscustomersmakenorepresentations,warrantiesorconditions,expressorimplied,astotheaccuracyorcompletenessofinformationcontainedinthis report

Deschutes County Property Information

The information and maps presented in this report are provided for your convenience. Every reasonable effort has been made to assure the accuracy of the data and associated maps. Deschutes County makes no warranty, representation or guarantee as to the content, sequence, accuracy, timeliness or completeness of any of the data provided herein. Deschutes County explicitly disclaims any representations and warranties, including, without limitation, the implied warranties of merchantability and fitness for a particular purpose. Deschutes County shall assume no liability for any errors, omissions, or inaccuracies in the information provided regardless of how caused. Deschutes County assumes no liability for any decisions made or actions taken or not taken by the user of this information or data furnished hereunder.

Account Summary

SAPP,

Warnings, Notations, and Special Assessments

s Office, Tax Office, Finance Office, and the Community Development Department indicates that there are no special tax, assessment or property development related notations associated with this account. However, independent verification of the presence of other Deschutes County tax, assessment, development, and additional property related considerations is recommended. Confirmation is commonly provided by title companies, real estate agents, developers, engineering and surveying firms, and other parties who are involved in property transactions or property development. In addition, County departments may be contacted directly to discuss the information.

of digital records maintained by the Deschutes County Assessor

Report Date: 10/24/2022 11:56:51 AM
KORY & ALEXIS 3628 SW OBSIDIAN PL REDMOND, OR 97756 Account Information Ownership Mailing Address: Map and Taxlot: Account: Situs Address: Mailing Name: Tax Status: 151319AA03413 279354 3628 SW OBSIDIAN PL, REDMOND, OR 97756 SAPP, KORY & ALEXIS Assessable OBSIDIAN TRAILS PHASE 4 Assessor Acres: Property Taxes Assessment Tax Code Area: Current Tax Year: 2001 $3,133.90 0.11 Valuation $128,500 $309,650 Land Structures Total $438,150 Real Market Values as of Jan. 1, 2022 $163,580 $163,580 Maximum Assessed Assessed Value Veterans Exemption Current Assessed Values:
Property Class: 101 -- RESIDENTIAL
Subdivision: Block: 104Lot: Review
Disclaimer 2019 - 2020 2020 - 2021 2021 - 2022 2022 - 2023 Real Market Value - Land $13,950 $86,000 $107,500 $128,500 Real Market Value - Structures $0 $153,930 $188,950 $309,650 Total Real Market Value $13,950 $239,930 $296,450 $438,150 Maximum Assessed Value $7,260 $129,330 $158,820 $163,580 Total Assessed Value $7,260 $129,330 $158,820 $163,580 Veterans Exemption $0 $0 $0 $0 Valuation History All values are as of January 1 of each year. Tax year is July 1st through June 30th of each year. Deschutes County Property Information Report, page 1

Year Date Due Transaction Type

Date As Of Date

Amount Received Tax Due Discount Amount

Charged Refund Interest 2022 11-15-2022 IMPOSED 10-12-2022 11-15-2022 $0.00 $3,133.90 $0.00 $0.00 $0.00 Total: $3,133.90

2021 11-15-2021 PAYMENT 11-08-2021 11-08-2021 $2,851.24 ($2,939.42) $88.18 $0.00 $0.00 2021 11-15-2021 IMPOSED 10-11-2021 11-15-2021 $0.00 $2,939.42 $0.00 $0.00 $0.00 Total: $0.00 2020 11-15-2020 PAYMENT 11-13-2020 11-13-2020 $2,283.33 ($2,353.95) $70.62 $0.00 $0.00 2020 11-15-2020 IMPOSED 10-09-2020 11-15-2020 $0.00 $2,353.95 $0.00 $0.00 $0.00

Total: $0.00

Transaction
Interest
Tax Payment History Sale Date Seller Buyer Sale Amount Sale Type Recording Instrument 01/31/2020 HAYDEN HOMES LLC SAPP, KORY & ALEXIS $282,009 30-UNCONFIRMED SALE 2020-5192 Sales History Structures Stat Class/Description Improvement Description Code Area Year Built Total Sq Ft 131 - RESIDENCE: One story 2001 2019 1,235 Floor Description Comp % Sq Ft First Floor 100 1,235 Living Dining Kitchen Nook Great Family Bed Full Bath Half Bath Bonus Utility Den Other 0 1 1 0 1 0 3 2 0 0 1 0 0 Rooms Floor Description Comp % Sq Ft Deschutes County Property Information Report, page 2 (For Report Disclaimer see page 1)

Land Characteristics

Ownership

Related Accounts

Related accounts apply to a property that may be on one map and tax lot but due to billing have more than one account. This occurs when a property is in multiple tax code areas. In other cases there may be business personal property or a manufactured home on this property that is not in the same ownership as the land.

Category Name Phone Address

COUNTY SERVICES DESCHUTES COUNTY (541) 388-6570 1300 NW WALL ST, BEND, OR 97703

FIRE DISTRICT REDMOND FIRE AND RESCUE (541) 504-5000 341 NW DOGWOOD AVE, REDMOND, OR 97756

SCHOOL DISTRICT REDMOND SCHOOL DISTRICT (541) 923-5437 145 SE SALMON AVE, REDMOND, OR 97756

ELEMENTARY SCHOOL ATTENDANCE AREA VERN PATRICK ELEMENTARY SCHOOL(541) 923-4830 3001 SW OBSIDIAN AVE, REDMOND, OR 97756

MIDDLE SCHOOL ATTENDANCE AREA OBSIDIAN MIDDLE SCHOOL (541) 923-4900 1335 SW OBSIDIAN, REDMOND, OR 97756

HIGH SCHOOL ATTENDANCE AREA

RIDGEVIEW HIGH SCHOOL (541) 504-3600 4555 SW ELKHORN AVE, REDMOND, OR 97756

EDUCATION SERVICE TAX DISTRICT HIGH DESERT EDUCATION SERVICE DISTRICT (541) 693-5600 145 SE SALMON AVE, REDMOND, OR 97756

COLLEGE TAX DISTRICT

PARK & RECREATION DISTRICT

CENTRAL OREGON COMMUNITY COLLEGE (541) 383-7700 2600 NW COLLEGE WAY, BEND, OR 97703

REDMOND AREA PARK & RECREATION DISTRICT (541) 548-7275 465 SW RIMROCK DR, REDMOND, OR 97756

LIBRARY DISTRICT DESCHUTES PUBLIC LIBRARY (541) 617-7050 601 NW WALL ST, BEND, OR 97703

WATER SERVICE PROVIDER REDMOND WATER DEPARTMENT (541) 504-2000 423 E ANTLER AVE #100, REDMOND, OR 97756

LIVESTOCK DISTRICT

IRRIGATION DISTRICT

DESCHUTES COUNTY LIVESTOCK DISTRICT NUMBER 6 (541) 388-6623 1300 NW WALL ST, BEND, OR 97703

CENTRAL OREGON IRRIGATION DISTRICT (541) 548-6047 1055 SW LAKE CT, REDMOND, OR 97756

GARBAGE & RECYCLING SERVICE HIGH COUNTRY DISPOSAL (541) 548-4984 1090 NE HEMLOCK AVE, REDMOND, OR 97756

Garage-Attached-Low Cost 100 487 Class 3 Heat/Roof 1,235 Class 3 Inventory 1 Improvement Inventory Accessory Description Sq Ft Quantity Class 3 Accessory Typical 1
Land Description Acres Land Classification Urban Lot 0.11
Name Type Name Ownership Type Ownership Percentage OWNER SAPP, KORY OWNER 100.00% OWNER SAPP, ALEXIS OWNER 100.00% No Related Accounts found.
Service Providers Please contact districts to confirm. Jurisdiction City Zoning Description Redmond R5 HIGH DENSITY RESIDENTIAL - REDMOND UGB City of Redmond Permits Permit ID Permit Type Applicant Application Date Status 711-19-001765DWL Building HAYDEN HOMES LLC 09/17/2019 Finaled Development Summary Planning Jursidiction: Urban Reserve Area: Urban Growth Boundary: Redmond No Redmond Deschutes County Property Information Report, page 3 (For Report Disclaimer see page 1)

STATEMENT OF TAX ACCOUNT

DESCHUTES COUNTY TAX COLLECTOR DESCHUTES SERVICES BUILDING BEND OR 97703 (541) 388-6540

SAPP, KORY & ALEXIS 3628 SW OBSIDIAN PL REDMOND OR 97756

279354Tax Account # Account Status Roll Type Situs Address

A Real 3628 SW OBSIDIAN PL REDMOND OR 97756

Tax Summary

Lender Name Loan Number Property ID Interest To

CLG - Guild Mortgage Company

2001 Oct 24, 2022

Tax Year Tax Type Total Due Current Due Interest Due Discount Available Original Due Due Date

2022 ADVALOREM

$3,039.88 $3,133.90 $0.00 $94.02 $3,133.90 Nov 15, 2022

2021 ADVALOREM $0.00 $0.00 $0.00 $0.00 $2,939.42 Nov 15, 2021

2020 ADVALOREM $0.00 $0.00 $0.00 $0.00 $2,353.95 Nov 15, 2020

2019 ADVALOREM $0.00 $0.00 $0.00 $0.00 $130.14 Nov 15, 2019

$3,039.88 $3,133.90 $0.00 $94.02Total

24-Oct-2022
Deschutes County Property Information Report, page 4 (For Report Disclaimer see page 1)

SITUS ADDRESS:

VALUES: REAL MARKET (RMV)

STRUCTURES

RMV

SW OBSIDIAN PL REDMOND

YEAR THIS YEAR 107,500 188,950 296,450

TAX BY DISTRICT

SCHOOL DISTRICT #2J 762.18

HIGH DESERT ESD 14.64

C O C C 94.11

EDUCATION TOTAL: 870.93

DESCHUTES COUNTY 184.80

COUNTY LIBRARY 83.44

COUNTYWIDE LAW ENFORCEMENT 159.28

COUNTY EXTENSION/4H 3.42 9-1-1 54.88

CITY OF REDMOND 668.89

REDMOND DWNTWN URBAN RENEWAL 156.86

REDMOND SOUTH 97 URBAN RENEWAL 27.32

REDMOND FIRE & RESCUE LOCAL OPTION 44.17

REDMOND FIRE & RESCUE 266.08

REDMOND AREA PARK & REC DISTRICT 56.39

GENERAL GOVT TOTAL: 1,705.53

COUNTY LIBRARY BOND 55.19

CITY OF REDMOND BOND 2022 118.30

SCHOOL #2J BOND 2021 38.15

SCHOOL #2J BOND 2004 122.72

SCHOOL #2J BOND 2008 210.53

C O C C BOND 12.55

MAXIMUM ASSESSED VALUE

TOTAL ASSESSED VALUE

EXEMPTION NET TAXABLE:

TOTAL PROPERTY

BONDS - OTHER TOTAL: 557.44

163,580158,820

163,580

128,500 309,650 438,150 158,820

158,820 2,939.42

Company

163,580 3,133.90

Full Payment with 3% Discount

Discount is lost after due date and interest may apply PAYMENT OPTIONS:

* Online

www.deschutes.org/tax

* By Mail to Deschutes County Tax, PO Box 7559 Bend OR 97708-7559

* Drop Box located at 1300 NW Wall Street, Bend or 411 SW 9th Street, Redmond

dial.deschutes.org

* In Person 1300 NW Wall Street, Ste 203, Bend (2nd Floor)

Payment Due November 15, 2022

OBSIDIAN

ACCOUNT: 279354

(Mailing

THIS IS NOT A BILL IF LENDER IS SCHEDULED TO PAY 3628
MAP: 101CLASS:151319-AA-03413CODE: 2001
LAND
TOTAL
VETERAN'S
TAX: LAST
0
0
This is your copy and not a bill if your mortgage company is responsible for paying your taxes. This statement was sent to: Guild Mortgage
TAX QUESTIONS ASSESSMENT QUESTIONS (541) 388-6540 (541) 388-6508 $3,039.88 No Additional Payment Due 05/15/23 02/15/23 $1,044.64 $2,047.48 $3,039.88 Change my Mailing Address SAPP, KORY & ALEXIS 3628 SW
PL REDMOND OR 97756 Deschutes County Tax Collector PO Box 7559 Bend OR 97708-7559 09100002793540000104464000020474800003039885
SAPP, KORY & ALEXIS 3628 SW OBSIDIAN PL REDMOND OR 97756 Please include this coupon with payment. Please do not staple, paper clip or tape your payment. TAX ACCOUNT: 279354 Please select payment option PROPERTY DESCRIPTION OBSIDIAN TRAILS PHASE 4 104LEGAL: REAL PROPERTY TAX STATEMENT JULY 1, 2022 TO JUNE 30, 2023 DESCHUTES COUNTY, OREGON - 1300 NW WALL ST STE 203, BEND, OR 97703
TAX
address change form on reverse) Full Payment (3% Discount) Two-Thirds Payment (2% Discount) Next Payment Due One-Third Payment (No Discount) Next Payment Due
For Property Information:
Deschutes County Property Information Report, page 5 (For Report Disclaimer see page 1)
Deschutes County Property Information Report, page 6 (For Report Disclaimer see page 1)

De sc hu t es Cou nt y P rop er t y I nf orm at i on - Di al

Roa d Map

De sc h u te s C o u n ty GIS
Map and Ta x l ot: 151 31 9A A 03413 Deschutes County Property Information Report, page 7 (For Report Disclaimer see page 1)
AerialMap ParcelID:279354 TaxAccount#:151319AA03413 3628SWObsidianPl, RedmondOR97756 Thismap/plat isbeingfurnishedasanaidinlocatingtheherein describedlandinrelationtoadjoiningstreets,natural boundariesandotherland,andisnot asurveyoftheland depicted Except totheextent apolicyoftitleinsuranceis expresslymodifiedbyendorsement,ifany,thecompanydoes not insuredimensions,distances,locationofeasements, acreageorothermattersshownthereon
AssessorMap ParcelID:279354 TaxAccount#:151319AA03413 3628SWObsidianPl, RedmondOR97756 Thismap/plat isbeingfurnishedasanaidinlocatingtheherein describedlandinrelationtoadjoiningstreets,natural boundariesandotherland,andisnot asurveyoftheland depicted Except totheextent apolicyoftitleinsuranceis expresslymodifiedbyendorsement,ifany,thecompanydoes not insuredimensions,distances,locationofeasements, acreageorothermattersshownthereon

Covenants, Conditions and Restrictions

Clink the Hyperlink on the next page to view Electronically

CC&R Hard CopiesAvailable upon Request

or

Click on hyperlink below to view CC&R’s https://issuu.com/info deschutestitle/docs/obsidian_trails_ph_4_cc_r_s

Property Maps

S w 3 7 t h S t S w 3 6 t h W a y S w 3 7 t h S t S w 3 6 t h L o o p Sw Pumice Pl Sw Obsidian P l Sw Obsidian Ave Sw Pumice Ave Aeri al Map 36 28 SW OBSIDIAN P L BEND LA PIN E SISTERS REDMOND SUNR IVER ¬ « 20¬ « 97 ¬ 126 ¬ 20 ¬ 20 ¬ « 97 Map Data is deemed reliable but not guaranteed Deschutes County Tit e accepts no respons bility for accuracy 0 125 6250 2 5 FeetI 151319-AA-03413
Redmond UGB Urban Grow th Boundary Map 36 28 SW OBSIDIAN P L BEND LA PIN E SISTERS REDMOND SUNR IVER ¬ « 20¬ « 97 ¬ 126 ¬ 20 ¬ 20 ¬ « 97 Map Data is deemed reliable but not guaranteed Deschutes County Tit e accepts no respons bility for accuracy 0 3,700 17,400 ,850 FeetI 151319-AA-03413
Sw alley Irrigation Dist (DRIC) Central O rego n Irrigation District Irrigati on D istri ct Map 36 28 SW OBSIDIAN P L BEND LA PIN E SISTERS REDMOND SUNR IVER ¬ « 20¬ « 97 ¬ 126 ¬ 20 ¬ 20 ¬ « 97 Map Data is deemed reliable but not guaranteed Deschutes County Tit e accepts no respons bility for accuracy 0 3,700 17,400 ,850 FeetI 151319-AA-03413
Redmon d RFP D Station #403 St Charles Medical Cen ter Red mo nd Redmon d RFP D Station R#401 edmon d RFP D Station #404 Redmon d Police Department Emergenc y Servic es M ap 36 28 SW OBSIDIAN P L BEND LA PIN E SISTERS REDMOND SUNR IVER ¬ « 20¬ « 97 ¬ 126 ¬ 20 ¬ 20 ¬ « 97 Map Data is deemed reliable but not guaranteed Deschutes County Tit e accepts no respons bility for accuracy 0 4,100 28,200 ,050 FeetI 151319-AA-03413
Rai lroad Map 36 28 SW OBSIDIAN P L BEND LA PIN E SISTERS REDMOND SUNR IVER ¬ « 20¬ « 97 ¬ 126 ¬ 20 ¬ 20 ¬ « 97 Map Data is deemed reliable but not guaranteed Deschutes County Tit e accepts no respons bility for accuracy 0 2,300 14,600 ,150 FeetI 151319-AA-03413
B-7-4-1 B-7-3-1 C 5 4 B-7-5 B50 B31b C-2-2 C19 C-14-3 C 3 C-15 1 C 15 1a B 47 C-1-5 B-31 a C 15 1b C-14-2 C-5-6-1 C 14 1 C1 1 3 C-14-1-1 C-1-14 C 1 13a B5 1 C-2 1 B 5 4 2 B-5-4 C 161 B-5 2 B-7-3 B 7 3 0 1a Pb 2: B 3 Pb 2: C 5 5 B 7 6 P b 2 : C 1 8 B 7 2 B-7-3-0-1b Pb 2: C Lat C 2 1 Pb2:C-1 C 10 C-7 C 5 6 C-1 B-3 Pb 2: C 14 2 BLat B-9 C 5 3 B54-2a Pb 2: B3 C1 B-3 Pb2: C 6 Pb2:C-2-1 P b 2 : C14 Pb 2: C 13 BCLat 5 B Lat Waste B-7 Pb 2: C 5 C Lat Water Course M ap 36 28 SW OBSIDIAN P L BEND LA PIN E SISTERS REDMOND SUNR IVER ¬ « 20¬ « 97 ¬ 126 ¬ 20 ¬ 20 ¬ « 97 Map Data is deemed reliable but not guaranteed Deschutes County Tit e accepts no respons bility for accuracy 0 1,200 62,400 00 FeetI 151319-AA-03413
Cline Falls State Scenic Viewpoint Cascade Swim Center RAPRD Activity Center Diamond Bar Ranch Park Dry Canyon Trail Quince Park Fairhaven Park Kiwanis Field Sam Johnson Park Skate Park Bowlby Park Quartz Park Firemans Pond Hayden Park Baker Park Valleyview Park Umatilla Sports Complex Canyon Rim Park Kalama Park Stack Park The Greens Trail Centennial Park Plaza Weigand Family Dog Park Homestead Park Hathaway Park Centennial Park Redmond-Bend Juniper State Scenic Corridor Parks M ap 36 28 SW OBSIDIAN P L BEND LA PIN E SISTERS REDMOND SUNR IVER ¬ « 20¬ « 97 ¬ 126 ¬ 20 ¬ 20 ¬ « 97 Map Data is deemed reliable but not guaranteed Deschutes County Tit e accepts no respons bility for accuracy 0 3,250 16,500 ,625 FeetI 151319-AA-03413
Missin g Lin k Family Golf Cen ter Eag le Crest Resort Cour se Eag le Crest Ridg e Cours e The Gre ens At Redmo nd Juniper Golf Co urse Jack Nicklaus Sign ature Cou rse At Pron gho rn Eag le Crest Challen ge Cours e Pro ng hor n Golf Club Tom F azio Cours e At Pro ng hor n Golf Course Map 36 28 SW OBSIDIAN P L BEND LA PIN E SISTERS REDMOND SUNR IVER ¬ « 20¬ « 97 ¬ 126 ¬ 20 ¬ 20 ¬ « 97 Map Data is deemed reliable but not guaranteed Deschutes County Tit e accepts no respons bility for accuracy 0 8,000 416,000 ,000 FeetI 151319-AA-03413
S w 3 7 t h S t Sw Pumice Stone Ave Sw Pumice Stone Ave S w 3 6 t h L o o p S w 3 6 t h W a y S w 3 7 t h S t Sw Pumice Pl Sw Obsidian Pl Sw Obsidian Ave Sw Pumice Ave S w 3 5 t h S t Obsidian Mead ows Hayden Villag e Ph ase Iii Hayden Villag e Ph ase V Obsidian Trails Ph ase 1 Obsidian Trails Ph ase 2 Obsidian Trails, Ph ase 3 Crossing s At M etolius Ph ase 2 Obsidian Trails, Ph ase 4 Obsidian Trails, Ph ase 5 Crossing s At Metolius, Ph ase 4 Lavaw ood 711 -2 0-0 00163-su b Subdi vis ions Map 36 28 SW OBSIDIAN P L BEND LA PIN E SISTERS REDMOND SUNR IVER ¬ « 20¬ « 97 ¬ 126 ¬ 20 ¬ 20 ¬ « 97 Map Data is deemed reliable but not guaranteed Deschutes County Tit e accepts no respons bility for accuracy 0 160 8320 0 FeetI 151319-AA-03413
ZoningMap ParcelID:279354 TaxAccount#:151319AA03413 3628SWObsidianPl, RedmondOR97756 Thismap/plat isbeingfurnishedasanaidinlocatingtheherein describedlandinrelationtoadjoiningstreets,natural boundariesandotherland,andisnot asurveyoftheland depicted Except totheextent apolicyoftitleinsuranceis expresslymodifiedbyendorsement,ifany,thecompanydoes not insuredimensions,distances,locationofeasements, acreageorothermattersshownthereon

Community Services

--

Schools Report

SchoolReport

SubjectParcel

PrimarySchool

MiddleSchool

DeschutesCounty ReportDetail

HighSchool

OtherSchool

SiteAddress 3628SW ObsidianPl RedmondOR97756 Parcel 279354 SchoolDistrict 2JRedmondSchoolDistrict AssignedPrimary School VERNPATRICKELEMENTARY SCHOOL AssignedMiddle School OBSIDIANMIDDLESCHOOL AssignedHighSchoolRIDGEVIEW HIGHSCHOOL
QueryDistanceFromParcel 1miles SchoolsInQuery 3
VernPatrickElementary School
ObsidianMiddleSchool
RidgeviewHighSchool
SchoolMap

SchoolDistrict RedmondSD2J

DistFrom Subject 0.44miles

School VERNPATRICKELEMENTARYSCHOOL SiteAddress 3001SW Obsidian City Redmond Zip 97756

Type 1 Regularschool Students 306 Charter No Magnet

Title1Elig 1 Yes Title1 5 TitleIschoolwideschool

Free/Reduced Lunch 186 FTETeachers Count 2038

Student/Teacher Ratio 15 GradeLevels Kindergarten 5thGrade

Male 164 Female 142

Hispanic 72 White 214 Black 2 Am.Indian 1

Asian/PacificIsl.2

School#2

SchoolDistrict RedmondSD2J DistFrom Subject 146miles

School

OBSIDIANMIDDLESCHOOL SiteAddress 1335SW ObsidianAve City Redmond Zip 97756

Type 1 Regularschool Students 637 Charter No Magnet

Title1Elig 2 No Title1 6 NotaTitleIschool

Free/Reduced Lunch 297 FTETeachers Count 30.4

Student/Teacher Ratio 21 GradeLevels 6thGrade 8thGrade

Male 316 Female 321

Hispanic 156 White 454 Black 2 Am.Indian 1 Asian/PacificIsl.3

School#3

SchoolDistrict RedmondSD2J DistFrom Subject 1.77miles

School RIDGEVIEW HIGHSCHOOL SiteAddress 4555SW ElkhornRd City Redmond Zip 97756

Type 1 Regularschool Students 963 Charter No Magnet

Title1Elig 2 No Title1 6 NotaTitleIschool

Free/Reduced Lunch 339 FTETeachers Count 4061

Student/Teacher Ratio 237 GradeLevels 9thGrade 12thGrade

Male 476 Female 485

Hispanic 225 White 681 Black 7 Am.Indian 3 Asian/PacificIsl.4

School#1

DEMOGRAPHICS

Vern Patrick Elementary School

School Environment

CLASS SIZE

Median

Academic Success

ENGLISH LANGUAGE ARTS

Students meeting state grade-level expectations.

REGULAR ATTENDERS

Students who attended more than 90% of their enrolled school days.

Academic Progress

INDIVIDUAL STUDENT PROGRESS

Year-to-year progress in English language arts and mathematics.

School Goals

· 3rd grade students will make progress in Language Arts as measured by Common Assessments.

· 5th grade students will make progress in Math as measured by Common Assessments.

· Our most at risk students will make progress towards closing the achievement gap.

· We will work to increase attendance and track at-risk students and support them with interventions.

· We will create a positive climate by instilling/enhancing character traits and essential rules supporting positive social relationships.

MATHEMATICS

Students meeting state grade-level expectations.

Data not available in 2021-22

State Goals

The Oregon Department of Education is partnering with school districts and local communities to ensure a 90% ontime, four year graduation rate by 2025. To progress toward this goal, the state will prioritize efforts to improve attendance, provide a well-rounded education, invest in implementing culturally responsive practices, and promote continuous improvement to close opportunity and achievement gaps for historically and currently underserved students.

SCIENCE

Students meeting state grade-level expectations.

Safe & Welcoming Environment

It is our priority that all RSD students and families feel safe, welcome and included. Our students are entitled to academic success regardless of background or family circumstances, and each student will be provided the necessary support to ensure success. We are committed to sustaining an inclusive and culturally responsive school culture/climate for all students, families and staff. We ensure safe schools through prevention, intervention, behavioral-emotional health and crisis preparedness.

OREGON AT-A-GLANCE SCHOOL PROFILE 2021-22
PRINCIPAL: Jennifer Hesse | GRADES: K-5 | 3001 SW Obsidian, Redmond 97756 | 541-923-4830 Students We Serve Student Enrollment 355
American Indian/Alaska Native Students 0% Teachers 0% Asian Students 1% Teachers 0% Black/African American Students <1% Teachers 0% Hispanic/Latino Students 26% Teachers 4% Multiracial Students 4% Teachers 4% Native Hawaiian/Pacific Islander Students 0% Teachers 0% White Students 69% Teachers 92% Ever English Learners 10% Languages Spoken 4 Students with Disabilities 13% Required Childhood Vaccinations 95% Free/ Reduced Price Lunch >95% *<10 students or data unavailable
class size. 21 Oregon average 22
80% Oregon average 64%
41% Oregon average 44%
35% Oregon average 36%
38% Oregon average 31%
School Website: patrick.redmondschools.org Eligibility for Free/Reduced Price Lunch expanded in 2020-21, for more information please visit: www.oregon.gov/ode/schools-and-districts/reportcards/reportcards/Pages/Accountability-Measures.aspx

Vern Patrick Elementary School

REGULAR ATTENDERS

ENGLISH LANGUAGE ARTS

MATHEMATICS

About Our School

BULLYING, HARASSMENT, AND SAFETY POLICIES

RSD considers the safety of children our greatest priority. Everyone is welcome in school and we recognize the diversity and worth of all. We ensure physically and psychologically safe, secure and orderly learning environments. Elementary schools use the Positive Behavior-Intervention Support system to provide proactive instruction and student need-based tiered supports. Full-time counselors provide whole and small group and individual support for bullying prevention. RSD uses SafeOregon to report unsafe behavior and follows all policies outlined in our Rights & Responsibilities Handbook.

EXTRACURRICULAR ACTIVITIES

· Makerspace student innovation opportunities

· Media/Research, P.E., Movement, Library, Computer Lab, Art workshops in classrooms, and nutrition

· School Store with student job opportunities

· Extra Movement and track clubs

· Run/Walk Club

· Connections with Commute Options

· Connections with OSU nutrition

· Before and After School Care

· Study Hall offered daily

· Girls on the Run Club

· After school clubs (variety - art, ukulele, music, chess, crafting,etc.)

PARENT ENGAGEMENT

· Monthly All Pro Dad breakfast

· PTC - (Parent-Teacher-Committee)

· Holiday programs & events

· 3 Family Nights w/education focus

· 5th grade Promotion Celebration

· Monthly Celebrations - Character Traits & Attendance

· Grade Level academic events

· Mother's Day Tea

· Spring Picnic/Celebration

· Panther Cub Dash

· Spring Bazaar

· Monthly Family Events

· Parent Curriculum Events

· End of Year Field Day Celebration

COMMUNITY ENGAGEMENT

Our school values partnerships with local businesses and organizations to improve opportunities for our students.

Our partners include:

· Friends of the Children

· Local Universities (OSU, COCC, Grand Canyon

· Neighboring Retirement Community

· Commute Options

· Local High Schools

· Champions Before/After School Program

· Various Deschutes County Service Agencies

· Deschutes County Sheriff

· Redmond Police

· Several community churches

· Redmond Realtors Association

www.oregon.gov/ode/schools-and-districts/reportcards/reportcards/Pages/Accountability-Measures.aspx

OREGON AT-A-GLANCE SCHOOL PROFILE CONTINUED 2021-22
Our Staff (rounded FTE) 22 Teachers 9 Educational assistants 2 Counselors/ Psychologists Average teacher retention rate 88% % of licensed teachers with more than 3 years of experience 79% Same principal in the last 3 years Yes Outcomes
American Indian/Alaska Native <10 students or data unavailable Asian <10 students or data unavailable Black/African American <10 students or data unavailable Hispanic/Latino 80% Multiracial 62% Native Hawaiian/Pacific Islander <10 students or data unavailable White 81% Free/Reduced Price Lunch 80% Ever English Learner 68% Students with Disabilities 75% Migrant <10 students or data unavailable Homeless <10 students or data unavailable Students in Foster Care <10 students or data unavailable Talented and Gifted <10 students or data unavailable Female 80% Male 79% Non-Binary <10 students or data unavailable
<10 students or data unavailable <10 students or data unavailable <10 students or data unavailable 29% 30% <10 students or data unavailable 48% 41% 22% 21% <10 students or data unavailable <10 students or data unavailable <10 students or data unavailable <10 students or data unavailable 45% 38% <10 students or data unavailable
<10 students or data unavailable <10 students or data unavailable <10 students or data unavailable 29% 50% <10 students or data unavailable 35% 35% 22% 11% <10 students or data unavailable <10 students or data unavailable <10 students or data unavailable <10 students or data unavailable 31% 38% <10 students or data unavailable
Data are suppressed to protect confidential student information. For more information please visit:

DEMOGRAPHICS

Obsidian Middle School

School Environment

CLASS SIZE

Median

Academic Success

ENGLISH LANGUAGE ARTS

Students meeting state grade-level expectations.

REGULAR ATTENDERS

Students who attended more than 90% of their enrolled school days.

Academic Progress

INDIVIDUAL STUDENT PROGRESS

Year-to-year progress in English language arts and mathematics.

School Goals

Obsidian’s goal is to ensure all students commence from our school as high school-ready and life-ready citizens. This is achieved through rigorous instruction using AVID strategies and high-quality pedagogy. AVID stands for Advancement Via Individual Determination. We intentionally grow our middle schoolers’ executive functioning skills, including organization, prioritization, time management, decision making, and motivation. These vital skills span all careers and post-high school learning paths.

MATHEMATICS

Students meeting state grade-level expectations.

Data not available in 2021-22

State Goals

The Oregon Department of Education is partnering with school districts and local communities to ensure a 90% ontime, four year graduation rate by 2025. To progress toward this goal, the state will prioritize efforts to improve attendance, provide a well-rounded education, invest in implementing culturally responsive practices, and promote continuous improvement to close opportunity and achievement gaps for historically and currently underserved students.

SCIENCE

Students meeting state grade-level expectations.

Safe & Welcoming Environment

It is our priority that all RSD students and families feel safe, welcome and included. Our students are entitled to academic success regardless of background or family circumstances, and each student will be provided the necessary support to ensure success. We are committed to sustaining an inclusive and culturally responsive school culture/climate for all students, families and staff. We ensure safe schools through prevention, intervention, behavioral-emotional health and crisis preparedness.

OREGON AT-A-GLANCE SCHOOL PROFILE 2021-22
PRINCIPAL: Evan Grant | GRADES: 6-8 | 1335 SW Obsidian Ave, Redmond 97756 | 541-923-4900 Students We Serve Student Enrollment 593
American Indian/Alaska Native Students <1% Teachers 0% Asian Students <1% Teachers 0% Black/African American Students 1% Teachers 0% Hispanic/Latino Students 25% Teachers 3% Multiracial Students 5% Teachers 0% Native Hawaiian/Pacific Islander Students <1% Teachers 0% White Students 69% Teachers 97% Ever English Learners 15% Languages Spoken 4 Students with Disabilities 13% Required Childhood Vaccinations 95% Free/ Reduced Price Lunch >95% *<10 students or data unavailable
class size. 27 Oregon average 22
56% Oregon average 64%
47% Oregon average 44%
25% Oregon average 28%
36% Oregon average 28%
School Website: oms.redmondschools.org Eligibility for Free/Reduced Price Lunch expanded in 2020-21, for more information please visit: www.oregon.gov/ode/schools-and-districts/reportcards/reportcards/Pages/Accountability-Measures.aspx

Middle School

About Our School

REGULAR ATTENDERS

ENGLISH LANGUAGE ARTS

MATHEMATICS

BULLYING, HARASSMENT, AND SAFETY POLICIES

RSD considers the safety of children our greatest priority. Everyone is welcome in school and we recognize the diversity and worth of all. We ensure physically and psychologically safe, secure and orderly learning environments. Secondary schools provide proactive instruction and student need-based tiered supports. It is our goal to create a respectful and welcoming school culture for students to thrive in. Full-time counselors and deans provide support for bullying prevention. RSD uses SafeOregon to report unsafe behavior and follows all policies outlined in our Rights & Responsibilities Handbook.

EXTRACURRICULAR ACTIVITIES

Obsidian offers a comprehensive music program. Band/Choir students have an opportunity to attend multiple festivals as well as host concerts periodically. Obsidian embraces student passions in regards to student-generated clubs and activities. Our students compete in interscholastic sports throughout the school year. These include volleyball, football, cross country, boys and girls basketball, wrestling, soccer and track. In addition our student leaders serve in a variety of ways outside of the classroom including community, athletic, and social events.

PARENT ENGAGEMENT

Parents and families are the experts when it comes to their children. The role they play in supporting emotional, mental, physical, and academic growth can’t be overstated. We believe that family partnerships are essential to growing lifelong successful learners and citizens. Therefore, OMS hosts a number of family-centered events every year in response to requests from the community. OMS believes in using family voice and feedback to improve the quality of our services. At OMS parents are encouraged to volunteer both during the school day and at evening events.

COMMUNITY ENGAGEMENT

The community that comprises Redmond School District is deeply invested in building a strong economic and social outlook. Therefore, Obsidian seeks opportunities throughout the year to engage with our community. This includes: partnering with local agencies to improve the quality of services to students and families, engaging community organizations in meaningful growthcentered dialogue, industry-focused listening sessions, and inviting dozens of local professionals into the school to speak with students during career day.

www.oregon.gov/ode/schools-and-districts/reportcards/reportcards/Pages/Accountability-Measures.aspx

OREGON AT-A-GLANCE SCHOOL PROFILE CONTINUED 2021-22Obsidian
Our Staff (rounded FTE) 30 Teachers 7 Educational assistants 5 Counselors/ Psychologists Average teacher retention rate 83% % of licensed teachers with more than 3 years of experience 87% Same principal in the last 3 years No Outcomes
American Indian/Alaska Native <10 students or data unavailable Asian <10 students or data unavailable Black/African American <10 students or data unavailable Hispanic/Latino 51% Multiracial 67% Native Hawaiian/Pacific Islander <10 students or data unavailable White 57% Free/Reduced Price Lunch 56% Ever English Learner 59% Students with Disabilities 41% Migrant 57% Homeless 13% Students in Foster Care <10 students or data unavailable Talented and Gifted <10 students or data unavailable Female 58% Male 54% Non-Binary <10 students or data unavailable
<10 students or data unavailable <10 students or data unavailable <10 students or data unavailable 34% 54% <10 students or data unavailable 50% 47% 30% 5% 29% 15% <10 students or data unavailable <10 students or data unavailable 49% 44% <10 students or data unavailable
<10 students or data unavailable <10 students or data unavailable <10 students or data unavailable 13% 26% <10 students or data unavailable 29% 25% 10% 8% 11% <5% <10 students or data unavailable <10 students or data unavailable 22% 28% <10 students or data unavailable
Data are suppressed to protect confidential student information. For more information please visit:

DEMOGRAPHICS

Ridgeview High School

School Environment

CLASS SIZE

Median size

Academic Success

ON-TIME GRADUATION

Students earning a diploma within four years. Cohort includes students who were first-time ninth graders in 2017-18 graduating in 2020-21

REGULAR ATTENDERS

Students who attended more than 90% of their enrolled school days.

Academic Progress

ON-TRACK TO GRADUATE

Students earning one-quarter of graduation credits in their 9th grade year.

School Goals

Ridgeview High School’s purpose statement reads “Our purpose is to prepare every student to be College-Ready, Career-Ready and Life-Ready by closing the Opportunity, Expectation and Belief gaps.”

FIVE-YEAR COMPLETION

Students earning a high school diploma or GED within five years. Cohort Includes students who were firsttime ninth graders in 2016-17 finishing in 2020-21

COLLEGE GOING

Students enrolling in a two or four year college within 16 months of completing high school in 201920. Data from the National Student Clearinghouse.

State Goals

The Oregon Department of Education is partnering with school districts and local communities to ensure a 90% ontime, four year graduation rate by 2025. To progress toward this goal, the state will prioritize efforts to improve attendance, provide a well-rounded education, invest in implementing culturally responsive practices, and promote continuous improvement to close opportunity and achievement gaps for historically and currently underserved students.

Safe & Welcoming Environment

It is our priority that all RSD students and families feel safe, welcome and included. Our students are entitled to academic success regardless of background or family circumstances, and each student will be provided the necessary support to ensure success. We are committed to sustaining an inclusive and culturally responsive school culture/climate for all students, families and staff. We ensure safe schools through prevention, intervention, behavioral-emotional health and crisis preparedness.

OREGON AT-A-GLANCE SCHOOL PROFILE 2021-22
PRINCIPAL: Tony Vicknair | GRADES: 9-12 | 4555 SW Elkhorn Rd, Redmond 97756 | 541-504-3600 Students We Serve Student Enrollment 819
American Indian/Alaska Native Students <1% Teachers 0% Asian Students 1% Teachers 0% Black/African American Students 1% Teachers 0% Hispanic/Latino Students 25% Teachers 8% Multiracial Students 3% Teachers 0% Native Hawaiian/Pacific Islander Students <1% Teachers 0% White Students 69% Teachers 92% Ever English Learners 17% Languages Spoken 7 Students with Disabilities 12% Required Childhood Vaccinations 92% Free/ Reduced Price Lunch >95% *<10 students or data unavailable
of classes in core subjects. 23 Oregon average 22
54% Oregon average 64%
78% Oregon average 83%
83% Oregon average 81%
92% Oregon average 88%
49% Oregon average 56%
School Website: rvhs.redmondschools.org Eligibility for Free/Reduced Price Lunch expanded in 2020-21, for more information please visit: www.oregon.gov/ode/schools-and-districts/reportcards/reportcards/Pages/Accountability-Measures.aspx

Our School

REGULAR ATTENDERS

ON-TRACK TO GRADUATE

ON-TIME GRADUATION

ADVANCED COURSEWORK

Ridgeview High School currently offers the following Advanced Placement courses:

Language and Composition

and Composition

United States History

Government

CAREER & TECHNICAL EDUCATION

Ridgeview High School currently has approved CTE programs in the following areas:

EXTRACURRICULAR ACTIVITIES

Ridgeview High School offers a variety of co-curricular and extracurricular opportunities for students:

PARENT & COMMUNITY ENGAGEMENT

Science

Additionally, Ridgeview High School has articulation agreements with Southern Oregon University and several community colleges to offer dual credit to students in advanced coursework.

Engineering Technology Culinary Early Childhood Education Business Management TV Production Health Services

Athletics: Fall - Cheerleading, Cross Country, Football, Soccer, and Volleyball

Winter - Cheerleading, Basketball, Swimming, and Wrestling Spring - Baseball, Golf, Softball, Tennis, Track

Co-Curricular: FBLA Choir Band Drama/Theater

Student Activities and Clubs: ASB & Student Leadership Lacrosse Water Polo Nordic Skiing Equestrian Many more....

Ridgeview High School partners with parents by hosting a variety of events and engagement opportunities. Our school also values partnerships with local businesses and community organizations to improve opportunities for our students. See our school website for a calendar of parent engagement events.

www.oregon.gov/ode/schools-and-districts/reportcards/reportcards/Pages/Accountability-Measures.aspx

OREGON AT-A-GLANCE SCHOOL PROFILE CONTINUED 2021-22Ridgeview High School Our Staff (rounded FTE) 41 Teachers 6 Educational assistants 5 Counselors/ Psychologists Average teacher retention rate 86% % of licensed teachers with more than 3 years of experience 73% Same principal in the last 3 years Yes Outcomes
American Indian/Alaska Native <10 students or data unavailable Asian <10 students or data unavailable Black/African American <10 students or data unavailable Hispanic/Latino 43% Multiracial 74% Native Hawaiian/Pacific Islander <10 students or data unavailable White 57% Free/Reduced Price Lunch 54% Ever English Learner 47% Students with Disabilities 43% Migrant 29% Homeless 46% Students in Foster Care <10 students or data unavailable Talented and Gifted 72% Female 51% Male 57% Non-Binary <10 students or data unavailable
<10 students or data unavailable <10 students or data unavailable <10 students or data unavailable 68% <10 students or data unavailable <10 students or data unavailable 81% 78% 67% 45% <10 students or data unavailable <10 students or data unavailable <10 students or data unavailable <10 students or data unavailable 85% 72% <10 students or data unavailable
<10 students or data unavailable <10 students or data unavailable <10 students or data unavailable 71% 73% <10 students or data unavailable 87% 86% 65% 63% 64% 58% <10 students or data unavailable <10 students or data unavailable 86% 82% Coming in 2022-23 About
AP
AP Literature
AP
AP
AP Calculus AP Biology AP Computer
Data are suppressed to protect confidential student information. For more information please visit:

Places to Go & Things to Do

please

District. For

The

Trail are managed by

Trail System

administered by the Bend Visitors and Convention Bureau.

Funding for this map provided by a City of Bend grant

www.bendparksandrec.org.

Foundation to help build the river trail. For more information, see

DESCHUTES RIVER TRAILS SYSTEM

or donating time or money to the Bend Park and Recreation

Bend Metro Park and Recreation District Adopt a Trail Program

Consider helping to maintain a section of trail through the

ADOPT A TRAIL PROGRAM

No camping, smoking or

res.

WELCOME TO THE DESCHUTES RIVER TRAIL!

The Deschutes River Trail portion of the Bend Urban Trails System allows nearly uninterrupted access to the beautiful waterway that is the heart of the community. The trail system is divided into fi ve “reaches,” defined by landscape characteristics.

The Bend Park and Recreation District is at work building a fully connected river trail between Tumalo State Park and Meadow Camp. Once complete, the trail system will encompass nineteen miles of trails. This map shows existing trails open to the public.

AWBREY REACH

Visitors can access the River Trail at its northernmost point at Kirkaldy Court off of Putnam Rd. This section of the trail, constructed on top of the buried Tumalo irrigation canal, consists of soft-surface and unimproved surfaces, and includes a few moderate hills. Along the middle stretch of this reach, the river drops into a deep canyon but the trail stays high on the canyon wall, offering spectacular views of the river below and the Three Sisters in the distance. A steep climb up the Archie Briggs Canyon Trail connects to Mt. Washington Dr.

RIVER RUN REACH

This section, favored by many locals, is also built over the Tumalo canal and was the first section of river trail to open in 1989. The surface is both soft-surface and unimproved, and is wide and relatively flat. The trail runs between the river and a high canyon wall, and passes through the River’s Edge golf course and adjacent neighborhoods. There are several wetlands in this reach, inhabited by songbirds, trumpeter swans, otter and beaver. Osprey frequently nest and fish here.

PIONEER REACH

This reach passes through the oldest and most established sections of Bend. The trail isn’t always right on the river, but instead follows sidewalks through neighborhoods and downtown. It passes through beautiful Drake Park on Mirror Pond and ends in McKay Park. There are several footbridges along the way offering opportunities to cross the river.

OLD MILL REACH

Once the site of two large ponderosa pine lumber mills, today the Old Mill Reach is a mix of river parks, the Shops at the Old Mill, and areas yet to be developed. Three footbridges connect trail legs on either side of the river, providing convenient walking loops. On the east side, the trails are hard surface from the Old Mill District to the Bill Healy bridge. The trail on the west side offers a mix of hard and soft surfaces. Farewell Bend Park provides two developed boat landings for paddlers using the Deschutes River water trail. The east side trail passes through Farewell Bend Park, which also provides two developed boat landings for paddlers using the Deschutes River water trail.

SOUTH CANYON REACH

This reach has trail legs on both sides of the river, connected by a new footbridge approximately 1 1/2 miles upstream of the Farewell Bend Park bridge. The river flows fast here through a beautiful canyon, cascading over rocks and logs.

West side: This reach’s west-side leg is known as the Mt. Bachelor Village Trail. Here the soft surface trail is open to pedestrians, but cyclists are not allowed. An alternative cycling route connects from the Bill Healy Bridge to the Haul Road Trail along Century Drive.

East side: The east-side trail at the northern end of this reach is unimproved surface, narrow and rocky in places; the southern end is on the gravel ditch road which runs above the river and next to the COID siphon pipe. There are several connections to nearby neighborhoods along the way.

Do not litter. If you pack it in, please pack it out.

disposal bags and trash cans.

removed. Dog “rest stops” along the trails provide you with

Dogs must be on leash at all times and their waste properly

observe pedestrian-only trail sections.

Bicyclists are not allowed on all sections of the trails. Please

No motorized vehicles are allowed on the trails.

Stay on the trail. Please don’t trespass on private property.

safe and pleasant for all users:

USE REGULATIONS

SOUTH CANYON REACH

DESCHUTES RIVER FLOWS SOUTH TO NORTH

POINTS OF INTEREST ALONG THE DESCHUTES RIVER TRAIL

Included in the Oregon Cascade Birding Trail system, Sawyer Park offers the opportunity to spot a variety of birds.

The historic Radamacher House and Plaza overlook Mirror Pond and Drake Park, with the Three Sisters visible in the background. This site includes a sign interpreting Bend’s founding.

 Located across the foot bridge from Drake Park, Pageant Park was named in commemoration of the Bend Water Pageant, a favorite community event that ran from 1933-1965. An interpretive sign describes the event highlight, the launch of large lighted floats on Mirror Pond.

The Drake Park interpretive sign (located directly in front of the public restrooms) describes Bend’s early sense of community spirit.

 McKay Park is the site of the Oregon Trunk Railroad interpretive sign, which describes Bend’s early railroad history.

 Across the river from Farewell Bend Park is the new Riverbend Park, acquired in 2004 as community park space. The first phase of park development is planned for fall of 2005.

 Farewell Bend Park, Bend’s newest community river park, honors the history of the logging industry at this site with two interpretive signs. Two additional signs explain a riparian restoration project and other steps being made to care for the health of our river and its ecosystem. The park includes a playground and restrooms.

 The boardwalk here offers a view of Central Oregon Irrigation District’s Hydro site, where irrigation water is dropped back to the river through two turbines, generating electrical power. The public has access to this trail section thanks to an agreement with COID—please stay on the designated trail.

 Mt. Bachelor Village Resort, in partnership with Brooks Resources and the High Desert Museum, has provided a series of informative signs along this section of trail which describe the native habitat, foliage, and other points of interest.

At this point along the trail, visitors can see the COID irrigation diversion whichAt this po nt the rai , vis tors can see the COID rr gat on diversion wh ch sends river water into the canal system to support agricultural and power production needs. Fish are directed back to the river by an elaborate fish screen. Danger: This area is not open to the public.

� � � � � �������� ������� ��������� ������� �� � � � � � � � � � � � � � � � � � � �� � � � �� ����� � ���� ���� ������ � �� �� � �� � � � � � � � � � � � � O District Downtown Bend To USFS Deschutes River Trai s ��� ������ ������� ������ ����� ��� ������ �� ������ � �� � � � � �� � � � � ��� ������� �� ������� � �� �������� ��� � �� ����� � � � ����� ��� � ������ � �� � � � �� �� � ��� � �� �

Discover natural landscapes, wildlife, and scenic byways. Discover exceptional places to exercise, play, relax, or commute. Discover the Bend Urban Trails System. BEND URBAN TRAILS MAP ©2005 FOR FUN, FOR FRIENDS, FOR HEALTH, FOR LIFE! ™
MAP LEGEND �������������� �������� ��������� �������������� ����� ����������������������� ������������������ ������� ������������� ���������������� ����������� ������������������� ���������� � ������� � �������� �������� ����������� � ������������� ����������� �������� ����������� ������������ ������������ ���� ���������� ������  ������������
RIVER RUN REACH
TRAIL
P ea s e o o w t h es e s m p e g u d e n es t o k e e p t h e t ai e x p e e n c e
Bend Urban
and the Deschutes River
the Bend Metro Park & Recreation
questions or to report trail concerns
call the Park Services and Development Department of the Park & Recreation District at 388-5435.
Photo: Bob Woodward

Food Trucks/Carts

https://www.visitbend.com/food drink/restaurants/food carts/ https://www.google.com/search?q=food+carts+near+me&rlz=1C1GCEU_enUS874US875&oq=food+cart s+&aqs=chrome.2.69i57j0i512j0i457i512j0i402j46i175i199i512l2j0i512l4.9132j0j15&sourceid=chrome&i e=UTF 8

https://www.menupix.com/oregon/cn/158/370037/Food Trucks Prineville

https://www.google.com/search?q=food+trucks+in+sisters+oregon&rlz=1C1GCEU_enUS874US875&ei= nMxVYpS4Ns2dkPIPufeDoAg&oq=food+trucks+in+Sisters&gs_lcp=Cgdnd3Mtd2l6EAEYADIFCAAQgAQyB QgAEIYDMgUIABCGAzoLCC4QgAQQxwEQrwE6BggAEBYQHkoECEEYAEoECEYYAFAAWPcKYNAiaABwAXgA gAHRAYgBugmSAQUwLjYuMZgBAKABAcABAQ&sclient=gws wiz

https://www.google.com/search?q=food+trucks+in+madras&rlz=1C1GCEU_enUS874US875&ei=nMxVYp S4Ns2dkPIPufeDoAg&ved=0ahUKEwiU9pOLm4_3AhXNDkQIHbn7AIQQ4dUDCA8&uact=5&oq=food+truc ks+in+madras&gs_lcp=Cgdnd3Mtd2l6EAMyBggAEBYQHjIFCAAQhgMyBQgAEIYDOgcIABBHELADOgoIABB HELADEMkDOggIABCABBDJAzoFCAAQkgM6BQgAEIAEOgsILhCABBDHARCvAUoECEEYAEoECEYYAFDeEliM GmDVHGgBcAF4AIABrQGIAZoHkgEDMC42mAEAoAEByAEHwAEB&sclient=gws wiz

https://www.google.com/search?q=food+trucks+in+culver+oregon&rlz=1C1GCEU_enUS874US875&ei=b M1VYqjDC_bTkPIP_Zuj2AY&ved=0ahUKEwioqYDum4_3AhX2KUQIHf3NCGsQ4dUDCA8&uact=5&oq=foo d+trucks+in+culver+oregon&gs_lcp=Cgdnd3Mtd2l6EAMyBQghEKsCOgoIABBHELADEMkDOgcIABBHELAD OgYIABAWEB46BQgAEIYDOgUIIRCgAUoECEEYAEoECEYYAFD2BljNDmCFEGgBcAF4AIABswGIAcQJkgEDMC 43mAEAoAEByAEEwAEB&sclient=gws wiz

https://pdx.eater.com/maps/best restaurants bend oregon guide

Central Oregon Healthy Food

https://www.visitbend.com/food drink/restaurants/vegan vegetarian gluten free/ https://www.google.com/search?q=healthy+eats+in+central+oregon&rlz=1C1GCEU_enUS874US875&ei =Vs5VYo6xJp_TkPIPjIqV4AI&ved=0ahUKEwiOtOXdnI_3AhWfKUQIHQxFBSwQ4dUDCA8&uact=5&oq=heal thy+eats+in+central+oregon&gs_lcp=Cgdnd3Mtd2l6EAM6BggAEAcQHjoICAAQBxAFEB46BQgAEIYDSgQI QRgASgQIRhgAUABYjyhg6D5oAnABeAGAAe8DiAHND5IBCjIuMTAuMS4wLjGYAQCgAQHAAQE&sclient=g ws wiz

Kid Friendly Attractions

https://forgetsomeday.com/things to do in bend oregon with kids/

https://www.cascadiakids.com/things do kids bend oregon/ https://oldmilldistrict.com/things to do with kids/ https://www.visitbend.com/things to do/activities/kid family friendly activities/

Farmers Markets in Central Oregon

https://visitcentraloregon.com/dining/food/farmers market/ https://www.localharvest.org/prineville or/farmers markets

https://hdffa.org/its farmers market season/ https://redmondoregonfarmersmarket.com/ https://www.sistersfarmersmarket.com/ https://www.localharvest.org/redmond or/farmers markets

Central Oregon Breweries

https://northwestmicrobreweries.com/central oregon

https://www.google.com/search?q=breweries+in+central+oregon&rlz=1C1GCEU_enUS874US875&oq=& aqs=chrome.0.69i59i450l8.68566434j0j15&sourceid=chrome&ie=UTF 8

https://visitcentraloregon.com/dining/drinks/breweries/redmond/ https://beermebend.com/bend oregon brewery locations/

Private Schools in Central Oregon

https://www.niche.com/k12/search/best private schools/c/deschutes county or/ https://movingtobend.com/relocation blog/2021/a guide to public and private schools in bend oregon/

https://www.countyoffice.org/bend or private schools/

Central Oregon Winter Activities

https://www.visitbend.com/things to do/activities/winter fun/ https://visitcentraloregon.com/things to do/activities/winter/ https://www.google.com/search?q=central+oregon+breweries&rlz=1C1GCEU_enUS874US875&oq=cent ral+oregon+breweries&aqs=chrome..69i57j0i390j69i60l2.8009j0j15&sourceid=chrome&ie=UTF 8

Central Oregon Trivia and Bingo Nights

https://www.riversplacebend.com/games

https://beermebend.com/bend oregon brewery locations/ https://www.bendsource.com/bend/bingo-with-bren-supporting-saving-grace/Event?oid=16320982 https://www.visitbend.com/food drink/astro lounge/ https://theyardfoodpark.com/events/

Calendar of Events for Central Oregon

https://visitcentraloregon.com/calendar of events

Economic Development For Central Oregon

ECONOMIC DEVELOPMENT FOR CENTRAL OREGON EDCOINFO.COM #EDCOINFO @EDCOINFO 705 SW BONNETT WAY SUITE 1000 BEND, OR 97702 541.388.3236 2021 CENTRAL OREGON ECONOMIC PROFILE
Welcome to Central Oregon Table of Contents Where the commute times are short and breathtaking views await you at every turn. The region features dramatic snow-capped mountain ranges and high desert plateaus within Deschutes, Crook and Jefferson counties. Located halfway between San Francisco and Seattle, the hottest small metropolitan market in the U.S. is Central Oregon. In the last decade the region has seen some of the highest sustained GDP growth, job growth and population growth. With these factors in mind, The Milken Institute has named the region the best small metropolitan in the nation four years in a row – an unprecedented feat no other location has ever received. Central Oregon is pulling extraordinary talent and capital, fostering a diverse and highly entrepreneurial business ecosystem. Lured by natural scenic beauty and big city amenities (world-class health care, education, dining) without big city costs or hassle, people are learning that having a true work-life balance is possible. Employees are happier; companies are more innovative and capital-efficient. All in a region dominated by small to mid-sized firms that compete globally – and win. Welcome........................................................................................................ Central Oregon Overview................................................................................ Population..................................................................................................... Move.............................................................................................................. Relocate / Expand.......................................................................................... Start................................................................................................................ Entrepreneurial Support................................................................................. Grow............................................................................................................... Workforce...................................................................................................... Delivering What Is Expected......................................................................... Transportation............................................................................................... Services / Infrastructure................................................................................ Top Employers............................................................................................... Foundations of Central Oregon’s Economy................................................... Lifestyle......................................................................................................... About EDCO................................................................................................... 2 3 4 6 7 8 9 10 11 12 13 14 15 16 20 21 Page 2 - Economic Development for Central Oregon

OVERVIEW

Regional Population: 244,560

(2020 estimates from Portland State University)

Regional Labor Force: 116,665

(Seasonally adjusted total for Q4 2019 from Oregon Employment Department)

Bend-Redmond MSA GDP Per Capita: $46,903

(2017 estimate from the Bureau of Economic Analysis)

*Bureau of Economic Analysis data is only available for the Bend-Redmond MSA

Access to and from our region has never been easier with seven national carriers flying 54+ segments daily to 10 international airports. The best part?

Travel through the Redmond airport is a breeze.

CENTRAL OREGON
edcoinfo.com - Page 3

Central Oregon has been among the fastest growing regions anywhere in the U.S. In-migration has been the dominating factor in the region’s growth with thousands of new residents moving to the area from all over the country every year. At the same time, the region’s ability to attract young families has resulted in strong birth rates.

“Central Oregon’s ability to consistently attract new residents is one of the key reasons our labor force continues to expand year after year. The population growth in the Bend-Redmond MSA, alone, has far outpaced any other Oregon metro for the last eight years.”

Kale Donnelly Workforce Analyst, State of Oregon Employment Department
POPULATION Oregon Jefferson County 11.2% 10.8% 76.9% 64.5% Area POPULATION CHANGES FOR CENTRAL OREGON Percent Change 2010 - 2020 Net Migration % 2010 - 2019 Counties Deschutes County 24.8% 90.6% Crook County 11.5% 115.4% Source: Population Research Center, PSU 2020. Oregon Employment Department, 2019. Page 4 - Economic Development for Central Oregon
#2 FASTEST GROWING CITIES IN THE U.S. -WALLET HUB, 2020 Oregon 3,837,300 4,236,4003,421,399 4,013,845 4,268,055 Area 2010 20192000 2015 2020 Crook County 21,020 23,44019,184 21,085 23,440 Deschutes County 157,905 193,000115,367 170,740 197,015 Bend 76,740 91,38552,029 81,310 92,840 La Pine 1,660 1,9001,670 2,005 Redmond 26,225 30,60013,481 27,050 32,215 Sisters 2,040 2,985959 2,280 3,220 Unincorporated 51,240 66,13048,898 53,151 66,735 Jefferson County 21,750 23,84019,009 22,445 24,105 Tri-County Total Source: Population Research Center, PSU. 2000 & 2010 Census numbers are for April 1 of that year; 2015-2020 data are for July 1 of that year. 200,675 240,280153,560 214,270 244,560 Not incorporated NEW RESIDENTS, NEW IDEAS & NEW ENERGY POPULATION TOTALS FOR CENTRAL OREGON With over 4.5 million visitors flocking to Central Oregon each year, it proves a great introduction to our region’s culture, lifestyle and a great first impression for businesses. Central Oregon and the Bend-Redmond MSA continually top the nation in population growth. In fact Bend has been among the 15 fastest growing cities in the U.S. four of the last five years. While our population grows, so does our workforce. We’re cultivating a community that has consciously decided to live here and work towards making our region an even better place to live. 10.1% % Growth 2010-2020 10.3% 19.9% 17.3% 18.6% 36.6% 23.2% 9.8% 17.9% 17.2% edcoinfo.com - Page 5

Cost Comparison

Oregon offers more incentive programs to traded sector businesses (companies that sell products or services outside the area) than Washington and California combined. Even without taking those incentives into consideration, Oregon is still a more cost-effective choice for doing business. Contact EDCO for a detailed look at the business costs in Central Oregon.

Case Study: Holy Kakow

Founded in Portland in 2009, Holy Kakow creates premium organic chocolate sauces and syrups that are used in coffee shops across the nation and globe. After running the business for nearly a decade, founder Wyatt Woods decided a move to Sisters, Oregon would be beneficial for his family. The next step was to figure out how to move the successful business. After EDCO’s help with site selection, incentives, permitting, and more, Holy Kakow was able to move their operations into a new building in the Sisters Business Park. The relocation allowed them to scale for growth, even during the pandemic, expanding their employment from three to eight in the span of a couple months. Holy Kakow have their sights set on new product launches, and with the backing of the community and the growing number of craft food businesses in Sisters, they’re surrounded by a strong business ecosystem to help them succeed.

Business
MOVE We guide employers outside the region through the relocation process as a resource for regional data, incentives, talent, site selection, and A-Z problem solving. 6.14¢Avg. Electricity Rate (¢/kWh) NoneState & Local Sales Tax Rate $4.62Avg. Natural Gas Rate ($/kcf) #15State Business Tax Climate Index OR 14.42¢ 8.68% $7.64 #49 CA 5.13¢ 9.23% $6.86 #16 WA “While our move to Central Oregon may have started for personal reasons, it has allowed us to do more with our business than we thought possible. It has allowed us to hire amazing employees – the available talent here in Central Oregon has proven to be of the highest caliber and chocked full of integrity. Sometimes you feel like you can get lost in a big city. In Sisters we have been able to be part of a growing and nurturing business community.” - Wyatt Woods, President and Owner, Holy Kakow Sources: Tax Foundation 2021, US Energy Information Association (Natural Gas) April 2021, US Energy Information Association (Electricity) May 2020 Page 6 - Economic Development for Central Oregon

RELOCATE & EXPAND

Get connected to our growing industry clusters that include: Brewing, Bioscience, Outdoor Products, Technology, Automotive, Aerospace, and Advanced Manufacturing.

Our tools to help your company include: linking with the local supply chain, finding talent, incentives, business finance, and more.

WHY CENTRAL OREGON?

When compared against its neighbors to the north and south, Oregon’s overall business costs rank significantly lower. Average electricity rates, natural gas rates, state & local sales tax rates, and business tax climates in particular are significantly lower than the national average.

We help you navigate the regional and local real estate market, infrastructure and permitting processes.

For a relocating business, Central Oregon has a reputation for welcoming new companies without sacrificing workforce, talent, quality healthcare, transportation, or infrastructure.

EDCO’s resources and connections can help your business make the right decisions when choosing a new home.

edcoinfo.com - Page 7

“Central Oregon has an incredible entrepreneurial ecosystem, filled with self-starters and trailblazers. These companies are creating new opportunities with the help of multiple influential organizations. EDCO and the newly-formed food and beverage industry association, Cultivate Bend, support and guide the many product companies that call this region home.” -Paul Evers, CEO, Riff Cold Brewed

Case Study: Riff Cold Brewed

Riff Cold Brewed was born from a mission to produce the world’s most delicious cold brewed coffee. Serial entrepreneur Paul Evers (also behind Bend staple Crux Fermentation Project), along with a crew of other Central Oregonians, started Riff in late 2017. They opened a bottling and production facility in Redmond, along with the first-of-its-kind Cold Brew Taproom in Bend.

Riff is a great example of how economic development programs are poised to help companies grow. From the beginning, they worked with Redmond Economic Development (REDI) to utilize different tax in centive programs, while connecting with other community resources to help the company position itself to grow more efficiently. In October 2019, Riff presented and won funding at the Bend Venture Confer ence (BVC), the largest angel conference in the West.

With innovation at its core, Riff has taken the craft brewing expertise to create the next great variation in energy drinks. The funding they received from BVC allowed them to further develop their latest product, Alter Ego, a natural plant-based energy drink brewed from coffee’s little-known fruity pulp, cascara, a traditionally wasted biproduct of coffee.

* EDIT TITLE
We mentor and advise scalable young companies from concept to exit on issues such as access to capital, critical expertise and business strategy. START
Page 8 - Economic Development for Central Oregon

A driving force for our economic performance is a collaborative and inclusive entrepreneurial community. This is supported via the number of new business registrations, which has outpaced far larger cities. In 2019, AdvisorSmith ranked Bend fifth for Top Midsize Cities where Americans Start the Most Businesses at 3.79 business started per 1,000 residents.

The region is large enough to provide resources and access to capital that help new entrepreneurs get started, while still being small enough that those resources are interconnected to support businesses as they grow. Unique to Central Oregon, given its size, are the numerous community resources and assets that are available. Assets managed by EDCO include monthly Central Oregon PubTalks, the Stable of Experts (mentors) and the largest Angel Conference in the West, the Bend Venture Conference.

George,

Myers,

Source: Wallet Hub, April 2019.

Both Redmond and Bend made Wallet Hub’s Top 10 list for best cities to start a business at #4 and #9 respectively, based on an index of criterial that included business environment rank, access to resources rank and business costs rank. They were the only two Oregon cities to make the top 75 of 1,261 small cities ranked in the index.

ENTREPRENEURIAL SUPPORT St.
UT Bend, OR 194 1 2 3 4 9 351 8 92 3 5 30 Area BEST SMALL CITIES FOR STARTING A BUSINESS Access to Resources Rank National Rank Business Environment Rank Holland, MI 1 Fort
FL 13 Redmond, OR 88
edcoinfo.com - Page 9

GROW

“From our initial startup days through our expansion today, it is refreshing to work with organizations like EDCO, the Redmond Chamber and the City of Redmond. These groups have worked side by side with our team to get us where we are today and have been an asset to our growing business. They are prime examples of organizations focused on supporting sustainable business growth and helping develop a stronger community for years to come!”

Case Study: BASX Solutions

BASX Solutions is an industry leader in the design and manufacturing of high-efficiency data center cooling solu tions, cleanroom systems, custom HVAC solutions, and more. Headquartered in Redmond since 2014, BASX has customers across the U.S. and around the globe. They recently broke ground on a new 75,000 square foot building expansion, allowing the company to consolidate its operations while substantially increasing their manufacturing capacity.

The expansion will give BASX approximately 200,000 square feet of manufacturing space while bringing additional jobs to what is already one of the city’s largest employers, nearly doubling their employee count once their facili ties are operational and fully staffed.

Part of what drew BASX to Central Oregon in 2012 was the fact that Redmond stood out as a city that values and supports business and manufacturing operations. It became clear quickly that the City, Redmond Economic Devel opment, Inc., the Redmond Chamber, and other organizations work together collectively to support job growth. The ability for these entities to work together seamlessly lured BASX to the region and has spurred their expansion, allowing them to continue focusing on delivering their products to critical industries.

We partner with local traded-sector companies to help them grow and expand, offering them the very same incentives and assistance as relocation projects.
-Matt Tobolski, President and Founder, BASX Solutions
Page 10 - Economic Development for Central Oregon

FASTEST JOB GROWTH IN THE U.S. - FORBES, 2019

Private sector employment growth in the region was

over the last

Workforce Development

Improving the Readiness and Employability of Central Oregon’s Future Workforce

Now in its fourth year, Youth CareerConnect (YCC) continues to connect employers and students with real work experience throughout Central Oregon. By supporting internships and experiential learning opportunities in the community, YCC has made it simpler for schools and employers to connect while fostering a work-ready labor force for years to come.

higher than

to

by

YCC is equipped to support virtual internships with local companies now that remote learning and remote work are the new norm. High School, college and alternative education students can access virtual training and support, including resume building, interview preparation, guidance for professional work ethics, and more. Since its inception, YCC has built a rolodex of over 240 business partners and placed more than 290 students in meaningful internships. Personalization for both the business and the student is at the core of what YCC does, and why it continues to thrive. To get involved with Youth CareerConnect, visit: youthcareerconnect.org .

WORKFORCE
22%
Oregon’s average
10 years, and is projected
grow
12% through 2029. -
Damon Runberg, Oregon Employment Department,
2020
#2
Source: State of Oregon Employment Department, 2020 Oregon 13.1% U.S. MANUFACTURING EMPLOYMENT GROWTH (2010-2020) 5.6% Deschutes County 48.9% Redmond 87.1% edcoinfo.com - Page 11
The combination of a collaborative culture, a supportive attitude among government and economic development agencies, plus a location that attracts talent and investment all help Central Oregon compete nationally. “Bend enjoys a truly collaborative environment. Everyone is not only supportive of each other, but excited to see one another grow. We share the same trails, rivers and slopes and ultimately share a similar vision to help Bend succeed.”
Scott Allan GM, Hydro Flask
DESCHUTES COUNTY #1 COUNTY RECEIVING MOST INVESTMENT IN OREGON -SMARTASSET, 2020 Rank County New Building Permits (per 1,000 homes) Business Growth Federal Funding (per capita) GDP Growth (millions) Incoming Investment Index 1 3 5 2 4 7 Deschutes 23.1 Washington 12.5 Clackamas 10.2 Multnomah 20.3 Crook 11.9 Jefferson 11.1 Oregon Totals 7.1 13.3% $211 6.5% $340 6.1% $612 7.4% $539 7.3% $225 7.0% $192 3.3% $265 $1,556 66.48 $3,459 50.61 $2,664 47.33 $6,153 61.54 $116 48.26 $86 47.17 $779 Source: SmartAsset, 2020 INCOMING INVESTMENT BY COUNTY IN OREGON DELIVERING WHAT IS EXPECTED Page 12 - Economic Development for Central Oregon

Average Commute Times

AIR RAIL

Redmond Municipal Airport (RDM; www.flyrdm.com ) provides commercial air service with an average of 27 daily outbound flights to Denver, Los Angeles, Mesa, Phoenix, Portland, Salt Lake City, San Diego, San Francisco, San Jose, and Seattle via seven carriers (Alaska, Allegiant, American, Avelo, Boutique, Delta, and United). Burlington Northern-Santa Fe (BNSF), Union Pacific (UPRR) and the City of Prineville Railway (COPR) provide direct connections for shipping to any market in the United States, Canada and Mexico.

min

20 min 10 min 0 min

SanFranciscoLosAngeles

Seattle Portland Denver Bend

The Central Oregon average commute time is 24 minutes each way, saving the average worker over one work week per year !

Source: Census.gov 2019

Travel Time & Distance by Car

BEND, OR

PORTLAND, OR 153 miles 3 hours, 13 minutes

OLYMPIA, WA 269 miles 4 hours, 55 minutes

SEATTLE, WA 328 miles 5 hours, 45 minutes

MEDFORD, OR 173 miles 3 hours, 22 minutes

BOISE, ID 317 miles 5 hours, 19 minutes

SAN FRANCISCO, CA 491 miles 7 hours, 54 minutes

LOS ANGELES, CA 821 miles 12 hours, 39 minutes

Travel Time By Air

REDMOND, OR RDM

FREIGHT

U.S. Highways 97 and 20 are two of the state’s major trucking routes, with access to major metro areas with connections to Interstate 5 (N-S) and Interstate 84 (E-W).

PORTLAND, OR 30 min

SALT LAKE CITY, UT 1 hour, 30 minutes

BURBANK, CA 1 hour, 30 minutes

SAN JOSE, CA 1 hour, 30 minutes

SEATTLE, WA 1 hour, 10 minutes

SAN FRANCISCO, CA 1 hour, 10 minutes

LOS ANGELES, CA 2 hours

PHOENIX & MESA, AZ 2 hour, 30 minutesDENVER, CO 2 hours, 24 minutes

SAN DIEGO, CA 2 hours, 40 minutes

TRANSPORTATION 30
33.8 min 32 min 27.9 min 26.5 min 16.1 min 25.9 min
edcoinfo.com - Page 13

UTILITIES

Because most of our region has been built new in the past two decades, our telecommunications infrastructure is one of the Northwest’s most technologically advanced, meeting business and telecommuting requirements for capacity, redundancy and reliability.

EDUCATION

Central Oregon is well-recognized for its high level of education, with some of the best K-12 public schools in the nation. In 2020, the Bend-La Pine school district’s average SAT scores surpassed the national average by over 130 points. Additionally, our higher education opportunities abound. From Oregon State University-Cascades ongoing expansion, to Central Oregon Community College’s four campuses in the region, there are opportunities for all to obtain a quality education.

HEALTHCARE

Top quality healthcare is one of Central Oregon’s crown jewels. St. Charles Health System is the largest healthcare provider in the region, and is also the largest employer with over 4,500 employees across the tri-county area. A network of more than 100 clinics and specialty practices further support the community.

SERVICES & INFRASTRUCTURE
Page 14 - Economic Development for Central Oregon
According to the Oregon Employment Department, 77% of Oregon establishments have nine or fewer employees and the average private establishment employs 11 people. Still, a number of large employers operate successfully here, tapping into Central Oregon’s ever-expanding workforce, the overall low cost of doing business and business-friendly local governments. This year, the top 50 private companies collectively employ nearly 21,000 Central Oregonians, or roughly 21.9% of the region’s current total employment. 2020 Central Oregon Industry Composition Private by Employment Trade, Transportation, & Utilities Education & Health Services Leisure & Hospitality Professional & Business Services Manufacturing Construction Financial Activities Other Services Information 4% 4% 2% Natural Resources & Mining CENTRAL OREGON RANKED #1 IN THE STATE FOR JOB GROWTH AT 41% - Oregon Employment Department, 2010-2019 TOP EMPLOYERS 1 9 T-17 5 T-13 21 7 15 T-23 T-31 27 35 T-23 33 29 T-37 T-42 45 48 2021 1 6 17 3 NC 21 NC 11 T-29 31 26 24 15 19 NC T-29 NC NL 42 2020 4,626 607 300 860 365 272 682 350 259 220 246 200 259 216 224 195 162 150 133 2021 St. Charles Health System regional 2021 Central Oregon Largest 50 Private Employers EmployeesRank Summit Medical Group regional BendBroadband/TDS Telecom Mt. Bachelor ibex Bi-Mart regional McDonald’s regional Facebook BasX Riverhouse on the Deschutes Medline ReNewal Endura Products Opportunity Foundation The Center (Ortho/Neuro Care) PCC Schlosser Keith Manufacturing Co. Deschutes Brewery Dutchie Quality Truss/Parr Lumber 4,536 587 300 1,072 NC 260 NC 350 225 220 230 236 310 274 NC 225 NC 100 137 2020 2 10 T-17 6 T-13 22 8 16 T-23 T-31 28 36 39 41 44 47 T-49 26 34 30 T-37 40 T-42 46 T-49 2 7 10 NC 14 20 NC 27 33 23 28 32 38 44 39 NC NC 18 NC 22 35 36 41 NC NL 1,093 438 300 751 365 270 669 317 259 220 230 198 190 173 155 145 132 250 210 221 195 174 162 149 132 Bright Wood Corporation regional Lonza, formerly Bend Research Eagle Crest, Aimbridge Hospitality Safeway regional PacificSource Pronghorn Resort Fred Meyer regional Rosendin Electric Inc. NeighborImpact regional Tetherow 10 Barrel Brewing Co. First Interstate Bank regional Sunriver Brewing Company Nosler Western Heavy Haul & SMAF Indian Head Casino Navis NL = Not Listed T = Tied NC = Not Collected Brasada Ranch Epic Air G5 Touchmark at Mt. Bachelor Village J Bar J Youth Services Ray’s Food Place regional Rebound Physical Therapy regional Laird Superfood 1,081 418 350 NC 318 270 NC 229 205 240 227 205 155 127 155 NC NC 280 NC 258 198 174 149 NC NL 3 11 19 4 9 12 1,000 378 294 Sunriver Resort Mosaic Medical regional Consumer Cellular 940 362 325 4 12 20 5 8 16 890 375 279 Les Schwab regional Black Butte Ranch High Lakes Health Care regional 907 369 304 21% 19% 16% 13% 9% 9% Source: State of Oregon Employment Department, 2020 2% edcoinfo.com - Page 15

ADVANCED MANUFACTURING

More than 100 businesses in advanced manufacturing make their own products here in Central Oregon as well as provide a critical role in the supply chain for other OEMs in aviation/aerospace, brewing & distilling, specialty food processing, and automotive.

• Additive and subtractive machining of metals and plastics, advanced welding and metal fabrication, specialty metals casting, production printing and publishing, as well as specialized machinery and equipment.

• The largest employers in this industry group include Precision Cast Parts (PCC) Schlosser, Keith Manufacturing and BasX Solutions.

AVIATION & AEROSPACE

The production of light aircraft in Central Oregon spans back more than 30 years and over that time, 25 aircraft have moved through the process of design on paper to flight.

Composite (carbon fiber) fabrication and innovation aircraft are the region’s specialty with world-class talent and capabilities clustered here.

Some of the most successful flight training programs in the country are located in the region with both fixed-wing and helicopter flight schools that serve the global industry.

FOUNDATIONS OF CENTRAL OREGON’S ECONOMY 109 29 Page 16 - Economic Development for Central Oregon

• Producing everything from titanium implants to cutting edge drug research, our bioscience industry has been experiencing year-over-year double digit employment growth for nearly a decade.

• Quietly, Central Oregon’s bioscience industry has proven capable of attracting worldclass scientific and technical talent that has made companies here competitive on a global scale.

• Swiss-based pharmaceutical research and manufacturer Lonza is the largest bioscience company in the region, and among the largest in Oregon, with two campuses and additional operations scattered across Bend.

BREWING & DISTILLING

• Central Oregon is home to breweries both large and small, with Deschutes Brewery’s production placing it in the top 10 largest craft breweries in the U.S.

• For Oregon, which has 312 craft breweries, nearly one-third of the largest 30 brewers by volume, are located in Central Oregon – testimony to the quality of product produced here.

• The region is also home to a dozen craft cideries and distillers, two of which Bendistillery and Avid Cider, are the second largest in the state.

BIOSCIENCE
#3 LEADING HOP PRODUCTION STATE -STATISTA, 2020 #3 BEST U.S. CITIES FOR BEER LOVERS -CRAFTBEER.COM, 2020 #3 BREWERIES PER CAPITA IN THE U.S. -C&R RESEARCH, 2019 FOUNDATIONS OF CENTRAL OREGON’S ECONOMY 27 37 edcoinfo.com - Page 17

BUILDING PRODUCTS

• After 100+ years and considerable structural change, the building products industry is still Central Oregon’s largest traded-sector employer.

• Businesses in this sector compete and win on a global scale, innovating and automating their way to becoming leaders in their respective sub-industries including manufacture of wood doors and windows, mouldings, cabinetry, furniture and musical instruments.

• The region’s largest manufacturer and second largest private employer, Brightwood Corporation, is based in Madras, but is now a truly regional employer with operations in Redmond, Culver and Prineville.

OUTDOOR GEAR & APPAREL

• Diverse group of businesses in a variety of subsectors including rock climbing, water sports, hydration, hiking and backpacking, recreational vehicles, outerwear, and software.

• The region is also home to the Oregon Outdoor Alliance (OOA) and Oregon’s Office of Outdoor Recreation, both which are dedicated to connecting and cultivating the industry.

• The country’s first dedicated startup accelerator for the industry, Bend Outdoor Worx, is located in Bend.

Oregon

FOUNDATIONS OF CENTRAL OREGON’S ECONOMY BEST MULTI-SPORT TOWN IN THE U.S. - OUTSIDE MAGAZINE, 2017 59 67 Page 18 - Economic Development for Central

PROFESSIONAL SERVICES

• More and more, professional services are exported out of the tri-county region including engineering, architecture, accounting, HR and recruitment, creative services, marketing, advertising, and publishing among others.

• The creative, marketing and advertising subsectors of this industry are particularly strong in Central Oregon with firms providing world-class services in a variety of industries.

• Including software companies, electronics manufacturers, alternative energy R&D and production, and data centers, the region has over 130 tech companies employing nearly 3,000 people.

• Five dozen software companies call the region home, more often than not locating their headquarter operations here.

• Prineville has a growing national data center hub, home to Facebook’s largest U.S. data center campus (4.6 million square feet and growing) and Apple across the street, due to the innovative infrastructure, affordable industrial land, multiple telecom carriers for redundancy, desert climate for optimal efficiency, and globally compeitive tax incentives.

TECHNOLOGY
FOUNDATIONS OF CENTRAL OREGON’S ECONOMY #5 FOR 5-YEAR HIGH TECH GDP GROWTH -MILKEN INSTITUTE, 2020 56 59 edcoinfo.com - Page 19

PERFORMING SMALL CITY FOUR

LIFESTYLE #1 BEST
YEARS IN A ROW! -MILKEN INSTITUTE, 2016, 2017, 2018 & 2019 #7 SMALL CITIES FOR BUSINESS AND CAREERS -FORBES, 2019 TOP 100 BEST PLACES TO LIVE IN AMERICA -MONEY, 2019 & LIVABILITY, 2020 #8 BEST PLACES TO LIVE IN THE U.S. -NEW YORK POST, 2016 M T. BACHELOR AMONG BEST SKI AREAS IN THE U.S. -AFAR, 2020 #3 MOST FITNESS FRIENDLY PLACE IN THE U.S. -SMARTASSET, 2021 Central Oregon is blessed with a rare mix of city amenities and restful isolation. It offers the slower speed of a small town with a medical community and infrastructure not normally seen in a region of its size. Additionally, Central Oregon residents maintain a work/life balance that is difficult to achieve elsewhere. 30 Golf Courses 32 Breweries & Counting Flourishing Arts & Culture Scene Miles and Miles of Trails 300 Days of Sunshine Page 20 - Economic Development for Central Oregon

in

AmeriTitle

Natural Gas Central Electric Cooperative Central Oregon Community College City of Bend City of La Pine City of

ABOUT EDCO Founded
1981, EDCO is a non-profit corporation supported by private and public members and stakeholders. Our mission is to create a balanced and diversified economy with a strong base of middle-class jobs in Central Oregon. To do this, we focus on helping companies do the following: MOVE. We guide employers outside the region through the relocation process as a resource for regional data, incentives, talent, site selection, and more. START. We mentor and advise scalable young companies from concept to exit on issues such as access to capital, critical expertise and business strategy. GROW. We partner with local traded-sector companies to help them grow and expand. Additional information available at EDCOINFO.COM • Upcoming networking events, luncheons, conferences, and more • EDCO Info Hub: current comprehensive data for Central Oregon • Stable of Experts: a network of seasoned professionals with a passion for start-ups and small businesses • Success stories from regional businesses • Business news on EDCO’s blog Fiscal Year Companies Jobs (New & Retained) New Capital Investment 2018 - 2019 2016 - 2017 2014 - 2015 2017 - 2018 2015 - 2016 2019 - 2020 Totals 23 44 35 28 36 39 205 240 776 594 240 266 401 2,517 $58.4 million $600.5 million $102.6 million $192.6 million $24.2 million $55.7 million $1.01 billion
BendTel Cascade
Madras City of Prineville City of Redmond City of Sisters Combined Communications Crook County Deschutes County First Interstate Bank Jefferson County Mid Oregon Credit Union OSU-Cascades Pacific Power PacificSource Health Plans Schwabe, Williamson & Wyatt SGA CPA’s St. Charles Health System U.S. Bank Velox Systems EDCO Platinum Members EDCO Contact Information Regional Office (Bend) CEO: Roger Lee Director: Don Myll 705 SW Bonnett Way, Ste. #1000 Bend, OR 97702 541.388.3236 Redmond Sr. Director: Jon Stark 411 SW 9th Street, Ste. #203 Redmond, OR 97756 541.923.5223 Prineville/Crook County Director: Kelsey Lucas 510 SE Lynn Blvd. Prineville, OR 97754 541.233.2015 Sisters Director: Caprielle Lewis 520 E Cascade Street Sisters, OR 97759 541.977.5683 Sunriver/La Pine Director: Patricia Lucas 16345 Sixth Street La Pine, OR 97739 541.536.1432 Public Contracts EDCO’S Funding Sources Private Members Earned Revenue Other 44% 33% 22% 2% EDCO’S RESULTS edcoinfo.com - Page 21
EDCOINFO.COM #EDCOINFO @EDCOINFO 705 SW BONNETT WAY SUITE 1000 BEND, OR 97702 541.388.3236

Turn static files into dynamic content formats.

Create a flipbook
Issuu converts static files into: digital portfolios, online yearbooks, online catalogs, digital photo albums and more. Sign up and create your flipbook.