





![]()






*Customary for Seller to Pay
TypeofFinancing
RealEstateAgentCommissions
Reconveyance/ReleaseFees
PrepaymentPenalties(IfApplicable)
Owner'sTitleInsurance
EscrowFee
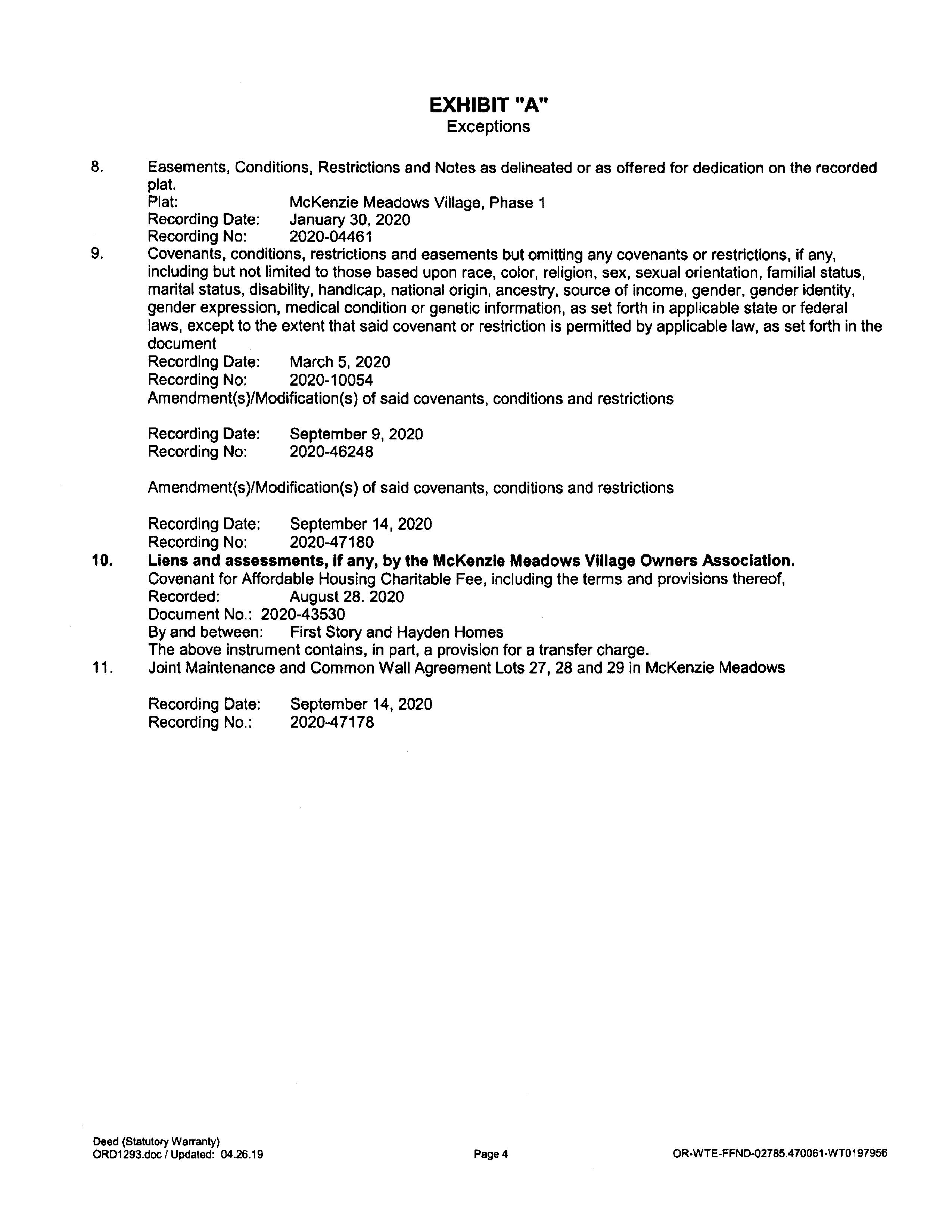
TaxProrations
LienSearch(ifapplicable)
Mortgages&Encumbrances
AnyPropertyTaxDue
Buyer'sLenderFees(variesbylender)
*Customary for Buyer to Pay
TypeofFinancing
AppraisalFee
LoanOriginationFee/Discount
CreditFee
MortgageInsurance(ifapplicable)
ReserveSetUpFee(ifapllicable)
FireInsurance1year(homeownerspolicy)
Floodinsurance(ifapplicable)
FloodandTaxCertifications
PrepaidInterest
HomeOwnersAssociationFees(ifapplicable)
VAFundingFee
RecordingFee
TaxProration
EscrowFee
LendersTitleInsurance
* Items listed are intended to represent only what may be customarily charged and may not reflect actual charges at closing. Consult with your real estate professional or title company representtaive for actual charges specific to your transaction.
Seller to pay full escrow fee (includes buyer escrow fee)




This week the median list price for Sisters, OR 97759 is $899,000 with the market action index hovering around 31. This is an increase over last month's market action index of 30 Inventory has increased to 83.
This answers “How’s the Market?” by comparing rate of sales versus inventory.
Median List Price
Price of New Listings $764,475
Square Foot $447
Days on Market 96
While the Market Action Index shows some strengthening in the last few weeks, prices have not seemed to move from their plateau. Should the upward trend in sales relative to inventory continue, expect prices to resume an upward climb in tandem with the MAI.
Slight Seller's Advantage
Each segment below represents approximately 25% of the market ordered by price.
Again this week we see prices in this zip code remain roughly at the level they’ve been for several weeks. Since we’re significantly below the top of the market, look for a persistent up-shift in the Market Action Index before we see prices move from these levels.
In the quartile market segments, we see the upper end of the market in this zip code showing weakness. While there is enough demand in the low end (Quartiles 3 and 4) to keep prices flat, unless there is a persistent up-shift in the Market Action Index, the entire market may resume a down trend soon.
The market plateau is seen across the price and value. The price per square foot and median list price have both been reasonably stagnant. Watch the Market Action Index for persistent changes as a leading indicator before the market moves from these levels.
Inventory has been climbing lately. Note that rising inventory alone does not signal a weakening market. Look to the Market Action Index and Days on Market trends to gauge whether buyer interest is keeping up with available supply.
While the Market Action Index shows some strengthening in the last few weeks, prices have not seemed to move from their plateau. Should the upward trend in sales relative to inventory continue, expect prices to resume an upward climb in tandem with the MAI.
Three of the four quartiles of this zip code are in the Seller’s Market zone with relatively low amounts of inventory given the current levels of demand. It’s not uncommon that the premium segment of the market takes longer to sell than the rest of the group.
The properties have been on the market for an average of 98 days. Half of the listings have come newly on the market in the past 46 or so days. Watch the 90-day DOM trend for signals of a changing market.
It is not uncommon for the higher priced homes in an area to take longer to sell than those in the lower quartiles.

AreaProfiled:McKenzieMeadowsVillagePh1
ReportDate: 07/18/2024
SalesDates: 06/04/2020-12/20/2023
NumberofParcels:48
WaterfrontParcels:0
AverageSalePricebyYear:06/04/2020-07/18/2024

*40sale(s)areincludedinthegraph
SalesStatisticsbyYear:06/04/2020-07/18/2024
ParcelswithViews:0
*40sale(s)areincludedinthetable

*40parcel(s)areincludedinthecalculation
**8parcel(s)withnosaledateareexcluded fromthecalculation


SUBJECTPROPERTY
280826 DeschutesCounty
ADDRESS 1831WHillAve Sisters,OR97759
OWNER Lane,MichelleI
DATE 07/18/2024
PREPAREDBY DanettaRider danettar@deschutestitle.com


Parcel#:280826
TaxLot:151005CB05517
Owner:Lane,MichelleI
CoOwner:
Site:1831WHillAve
SistersOR97759
Mail:1831WHillAve
SistersOR97759
LandUse:101-Residential-Improved(typicalofclass)
StdLandUse:RSFR-SingleFamilyResidence
Legal:MCKENZIEMEADOWSVILLAGEPHASE1Lot:29
Twn/Rng/Sec:T:15SR:10ES:05Q:SWQQ:NW
ASSESSMENT&TAXINFORMATION
MarketTotal:$365,640.00
MarketLand:$201,000.00
MarketImpr:$164,640.00
AssessmentYear:2023
AssessedTotal:$131,250.00
Exemption:
Taxes:$2,174.59
LevyCode:6-001
LevyRate:165682
SaleDate:11/16/2020
SaleAmount:$300,61100
Document#:2020-69622
DeedType:Deed
LoanAmount:
Lender:
LoanType:
InterestType:
TitleCo:
PROPERTYCHARACTERISTICS
YearBuilt:2020
EffYearBuilt:
Bedrooms:3
Bathrooms:2 #ofStories:1
TotalSqFt:1,058SqFt
Floor1SqFt:1,058SqFt
Floor2SqFt:
BasementSqFt:
Lotsize:0.08Acres(3,485SqFt)
GarageSqFt:503SqFt
GarageType:
AC:
Pool:
HeatSource: Fireplace:
BldgCondition: Neighborhood: Lot:29
Block:
Plat/Subdiv:McKenzieMeadowsVillagePh01
Zoning:CityOfSisters-MFR-Multi-FamilyResidential SchoolDist:6-Sisters
Census:2019-000501
Recreation:
SentryDynamics,Inc anditscustomersmakenorepresentations,warrantiesorconditions,expressorimplied,astotheaccuracyorcompletenessofinformationcontainedinthisreport

Report Date: 7/18/2024 10:22:57 AM
The information and maps presented in this report are provided for your convenience. Every reasonable effort has been made to assure the accuracy of the data and associated maps. Deschutes County makes no warranty, representation or guarantee as to the content, sequence, accuracy, timeliness or completeness of any of the data provided herein. Deschutes County explicitly disclaims any representations and warranties, including, without limitation, the implied warranties of merchantability and fitness for a particular purpose. Deschutes County shall assume no liability for any errors, omissions, or inaccuracies in the information provided regardless of how caused. Deschutes County assumes no liability for any decisions made or actions taken or not taken by the user of this information or data furnished hereunder.
Review of digital records maintained by the Deschutes County Assessor’s Office, Tax Office, Finance Office, and the Community Development Department indicates that there are no special tax, assessment or property development related notations associated with this account. However, independent verification of the presence of other Deschutes County tax, assessment, development, and additional property related considerations is recommended. Confirmation is commonly provided by title companies, real estate agents, developers, engineering and surveying firms, and other parties who are involved in property transactions or property development. In addition, County departments may be contacted directly to discuss the information.

Related accounts apply to a property that may be on one map and tax lot but due to billing have more than one account. This occurs when a property is in multiple tax code areas. In other cases there may be business personal property or a manufactured home on this property that is not in the same ownership as the land.
No Related Accounts found.
Permit Number:
Permit Name:
Contractor:
HAYDEN HOMES LLC
HAYDEN HOMES LLC
04/06/2020 Application Date: 07/29/2020 Issue Date: 12/14/2020 Final Date:
Finaled Status:
Building Use: 1058 Square Feet: Bedrooms: 1 Stories: On Sewer: $153,616 Permit Valuation:
Residential Building Class: New - Townhouse Class of Work: LOT 29 - A 1058 SQ Ft single family dwelling with attached 482 Sq Ft garage.
Date Init. Comments
12/14/2020 Brando n 1999 Final Building**- corrections complete
Final inspection ok pending submittal of final paperwork to CDD and payment of any remaining fees. Insulation certificate verified. -- Insp Completed : Approved
12/14/2020 Brando n 2999 Final Mechanical**Corrections complete -- Insp Completed : Approved
12/14/2020 Brando n 3999 Final Plumbing**Corrections complete -- Insp Completed : Approved
12/14/2020 Brando n 3999 Final Plumbing**Duplicate -- Insp Cancelled : Cancelled
12/10/2020 Todd 1999 Final Building**See corrections for other trades.
Final inspection ok pending submittal of final paperwork to CDD and payment of any remaining fees. Insulation certificate verified and moisture content letter verified. -- Insp Cancelled : Denied
12/10/2020 Todd 2999 Final Mechanical**Install Ballard. -- Insp Cancelled : Denied
12/10/2020 Todd 3999 Final Plumbing**Finish grout throughout. -- Insp Cancelled : Denied
12/10/2020 Todd 4999 Final Electrical -- Insp Completed : Approved
12/03/2020 Carol 1996 Final Inspection - Planning -- Insp Completed : Approved
12/03/2020 Troy 6799 Final Site Development Inspection**Public Works staff walked project site with Hayden Homes' project manager on December 3, 2020 to confirm all development requirements or conditions of approval have been implemented. Used previously agreed to conditions of approval as checklist. Signed & dated check list in Planning Department's master file for project. -- Insp Completed : Approved
11/09/2020 Todd 1520 Interior Shearwall -- Insp Completed : Approved
11/04/2020 Todd 1430 Insulation Wall -- Insp Completed : Approved
11/04/2020 Todd 1460 Insulation**Baffles and batts where needed. Check Bib at final. -- Insp Cancelled : Partial
11/02/2020 David 1260 Framing -- Insp Completed : Approved
11/02/2020 David 2300 Rough Mechanical -- Insp Completed : Approved
11/02/2020 David 3500 Rough Plumbing -- Insp Completed : Approved
11/02/2020 David 4500 Rough Electrical**Signed permit sticker -- Insp Completed : Approved
11/02/2020 David 4550 Limited Energy -- Insp Completed : Approved
10/28/2020 Todd 1530 Exterior Shearwall -- Insp Completed : Approved
10/22/2020 Todd 4220 Electrical Service -- Insp Completed : Approved
10/21/2020 Todd 4220 Electrical Service -- Insp Cancelled : Not Ready
10/02/2020 Todd 1220 Underfloor Framing/Post and Beam -- Insp Completed : Approved
10/01/2020 Todd 3170 Underfloor Plumbing**Add additional support to dwv. -- Insp Cancelled : Denied
09/01/2020 Todd 3200 Sanitary Sewer -- Insp Completed : Approved
09/01/2020 Todd 3300 Water Service -- Insp Completed : Approved
08/27/2020 Todd 1110 Footing**UFER OK. Setbacks per contractor pins. -- Insp Completed : Approved
08/27/2020 Todd 1120 Foundation -- Insp Completed : Approved
David 4220 Electrical Service -- Insp Scheduled : Scheduled
Assessor's Office Supplemental Information
LANE, MICHELLE I 1831 W HILL AVE SISTERS OR 97759
151005-CB-05517
ADDRESS:
1831 W HILL AVE SISTERS
$2,109.35
This is your copy and not a bill if your mortgage company is responsible for paying your taxes. This statement was sent to: Nationstar Mtg LLC DBA Mr. Cooper
Please include this coupon with payment. Please do not staple, paper

Roa d Map








ParcelID:280826
TaxAccount#:151005CB05517
1831WHillAve, SistersOR97759
Thismap/platisbeingfurnishedasanaidinlocatingtheherein describedlandinrelationtoadjoiningstreets,naturalboundariesand otherland,andisnotasurveyofthelanddepictedExcepttotheextent apolicyoftitleinsuranceisexpresslymodifiedbyendorsement,ifany, thecompanydoesnotinsuredimensions,distances,locationof easements,acreageorothermattersshownthereon


ParcelID:280826
TaxAccount#:151005CB05517
1831WHillAve, SistersOR97759
Thismap/platisbeingfurnishedasanaidinlocatingtheherein describedlandinrelationtoadjoiningstreets,naturalboundariesand otherland,andisnotasurveyofthelanddepictedExcepttotheextent apolicyoftitleinsuranceisexpresslymodifiedbyendorsement,ifany, thecompanydoesnotinsuredimensions,distances,locationof easements,acreageorothermattersshownthereon

CC&R’s Hard Copy Available Upon Request Or Click the Hyperlink on the next page to view Electronically
Copies
or Click on hyperlink below to view CC&R’s
https://issuu.com/infodeschutestitle/docs/mckenzie_meadows_village_ph_1_cc_r_s?fr=sMDNi

















Mcken zie Mead ows Villag e, Phase 4
Mcken zie Me ado ws Villag e, Phase 3
Mcken zie Me ado ws Villag e, Phase 1
Mckinn ey Butte Ran ch

Mcken zie Me ado ws Villag e, Phase 2



ParcelID:280826
TaxAccount#:151005CB05517
1831WHillAve, SistersOR97759
Thismap/platisbeingfurnishedasanaidinlocatingtheherein describedlandinrelationtoadjoiningstreets,naturalboundariesand otherland,andisnotasurveyofthelanddepictedExcepttotheextent apolicyoftitleinsuranceisexpresslymodifiedbyendorsement,ifany, thecompanydoesnotinsuredimensions,distances,locationof easements,acreageorothermattersshownthereon



Deschutes
Police Dept. (Non-Emergency) ........................ 541.388.0170
Post
Redmond Library .............................................. 541.312.1050
Redmond
Hugh Hartman ................................................... 541.923.8900
John Tuck ........................................................... 541.923.4884
M.A. Lynch ......................................................... 541.923.4876
Sage .................................................................... 541.316.2830 Terrebonne


SubjectParcel
SiteAddress 1831WHillAve SistersOR97759
Parcel 280826
SchoolDistrict 6Sisters
AssignedPrimarySchool SistersElementarySchool
AssignedMiddleSchool SistersMiddleSchool
AssignedHighSchool SistersHighSchool
PrimarySchool
SistersChristianAcademy
SistersElementarySchool
SchoolMap

School#1
SchoolDistrict
DistFromSubject020miles
School SistersChristianAcademy SiteAddress 1307WMcKinneyButteRd City Sisters Zip 97759
Type 1-RegularElementaryorSecondary Students 48
Charter Magnet
Title1Elig Title1
Free/Reduced Lunch FTETeachers Count
Student/Teacher Ratio
GradeLevels Prekindergarten-8thgrade
Male Female
Hispanic 0 White 30
Black 0 Am Indian 0
Asian/PacificIsl. 0
School#2
SchoolDistrict SistersSD6
DistFromSubject020miles
School SistersMiddleSchool SiteAddress 15200McKenzieHwy City Sisters Zip 97759
Type 1-Regularschool Students 354
Charter No Magnet
Title1Elig 2-No Title1 6-NotaTitleIschool
Free/Reduced Lunch 105 FTETeachers Count 2325
Student/Teacher Ratio 1523
GradeLevels 5thGrade-8thGrade
Male 177 Female 176 Hispanic 30 White 296
Black 4 Am.Indian 3
Asian/PacificIsl 0
School#3
SchoolDistrict SistersSD6
DistFromSubject020miles
School SistersHighSchool SiteAddress 1700WMcKinneyButteRd City Sisters Zip 97759
Type 1-Regularschool Students 399
Charter No Magnet
Title1Elig 2-No Title1 6-NotaTitleIschool
Free/Reduced Lunch 96 FTETeachers Count 2716
Student/Teacher Ratio 1469
GradeLevels 9thGrade-12thGrade
Male 205 Female 192 Hispanic 53 White 322
Black 1 Am.Indian 4
Asian/PacificIsl. 6
School#4
SchoolDistrict SistersSD6
School SistersElementarySchool
DistFromSubject154miles
SiteAddress 611ECascade City Sisters Zip 97759
Type 1-Regularschool Students 398
Charter No Magnet
Title1Elig 1-Yes
Free/Reduced Lunch 115
Student/Teacher Ratio 1552
Male 200
Title1 5-TitleIschoolwideschool
FTETeachers Count 2564
GradeLevels Kindergarten-4thGrade
3 Am Indian 7
Asian/PacificIsl. 2

Students We Serve

PRINCIPAL: Joan Warburg | GRADES: K-4 | 611 E Cascade, Sisters 97759 | 541-549-8981
Students
2021-22

Progress
Year-to-year progress in English language arts and mathematics.
Data not available in 2021-22
Students
Students meeting state grade-level expectations.

School Goals
Sisters Elementary School has three goals that align with the school district strategic goals. Every student is: · known and connected to adults, peers and resources to develop emotional self-regulation and a foundation of resilience.
· on a purposeful path to graduation and is taking an active role in their academic achievement, goal setting and character development.
· empowered to discover their passions and strengths through exceptional programs, community partnerships and inclusive practices.
The Oregon Department of Education is partnering with school districts and local communities to ensure a 90% ontime, four year graduation rate by 2025. To progress toward this goal, the state will prioritize efforts to improve attendance, provide a well-rounded education, invest in implementing culturally responsive practices, and promote continuous improvement to close opportunity and achievement gaps for historically and currently underserved students.
Our school strives to ensure all students and their parents feel welcome to our school. We have routines and procedures in place that encourage parents to be a part of the educational process for their students while still maintaining a safe and secure building. We have bilingual staff in our office and building who collaborate to support our Spanish speaking families. As a Leader in Me school (a program with the highest CASEL ratings), Socio Emotional Learning (SEL) is a priority, and we provide daily instruction and reinforcement in helping our students learn to be accepting and welcoming to all.








To ensure a safe and secure learning environment for all students, our school implements a PBIS plan aligned to Leader in Me and a safety plan. Our administration, counselor, teachers and school staff work with parents and students on a case-by-case basis to address conflict between students and to provide counseling and instruction in positive peer relationships. Our counselor and teachers provide regular, systematic Socio Emotional Learning (SEL) instruction that includes the topics of bullying and harassment. We have begun our Leader in Me journey this year, a program (with the highest CASEL rating) as a vehicle to increase our efficacy in ensuring that all of our students belong. Students who display positive choices are recognized for their efforts.
It is the goal of Sisters Elementary School to develop each child to their fullest potential. To accomplish this goal we provide each student with the opportunity to explore multiple disciplines that help them discover and understand their unique interests and abilities. We partner with community organizations to provide activities within the STEAM umbrella in addition to regularly offered music, physical education, STEM, art and Socio Emotional Learning (SEL). This year we will begin regularly offering in-school club opportunities for our students to help them pursue their interests and passions.
We value our parents as collaborators and partners. We have an active SPTC (Sisters Parent Teacher Community) that hosts a variety of well-attended curriculum nights throughout the year to engage families with the school. Additionally they sponsor three service projects offering our students ways to give back to their community. Annually our students showcase their art to our community, and every student participates in grade level and school-wide musical performances.
Sister School District in conjunction with community partners also hosts Latinx Family nights, where parent voices are elevated and valued.
We value our parents as collaborators and partners. We have an active SPTC (Sisters Parent Teacher Community) that hosts a variety of well-attended curriculum nights throughout the year to engage families with the school. Additionally they sponsor three service projects offering our students ways to give back to their community. Annually our students showcase their art to our community, and every student participates in grade level and school-wide musical performances.
Sister School District in conjunction with community partners also hosts Latinx Family nights, where parent voices are elevated and valued.

Students We Serve

PRINCIPAL: Alison Haney | GRADES: 5-8 | 15200 McKenzie Hwy, Sisters 97759 | 541-549-2099
Students
Year-to-year


School Goals
We are focused on creating a sense of belonging for every student, inspiring our students to create meaningful life pathways, and preparing our students for college and career readiness.
Students
Students
The Oregon Department of Education is partnering with school districts and local communities to ensure a 90% ontime, four year graduation rate by 2025. To progress toward this goal, the state will prioritize efforts to improve attendance, provide a well-rounded education, invest in implementing culturally responsive practices, and promote continuous improvement to close opportunity and achievement gaps for historically and currently underserved students.
Students’ sense of security comes through well-executed safety plans and the scaffolding of supports put in place for open communication and student wellness. Students, parents and families are welcomed in a variety of ways at Sisters Middle School.








Teachers
Educational assistants 1
Counselors/ Psychologists
Our school has honed in on school safety by renovating the school to better ensure student safety within and around our school. Safety plan protocols and practices at SMS go above and beyond the required regulations.
Sisters Middle School offers a variety of opportunities for students to explore areas of interest to aid in providing a wellrounded, cultured education. Sports programming including Cross Country, Volleyball, Football, Basketball, Wrestling, and Track are offered and co-curricular programs such as Guitar club, Fiddle Club, Art Club, Afterschool Homework Support, Sisters Outdoor Leadership Experience, Earth Community & Self Club, Leadership, Battle of the Books, Club, Outdoor School, GSA (Gay Straight Alliance), and Anime Club are just to name a few of our extracurricular offerings.
Sisters Middle School strives to involve all parents in their child’s learning. Our parents are coming back into our school to volunteer in a myriad of ways to support all developmental areas during and after the school day.
Community engagement is the essence of Sisters School District. High leverage collaborations between the middle school and community have been in place for many years. Organizations such as the Sisters Folk Festival, Seed-to-Table, Roundhouse Foundation, and Sisters Educational Foundation among others have partnered with our schools to enrich the offerings and experiences our school provides.

Students We

PRINCIPAL: Joe Hosang | GRADES: 9-12 | 1700 W McKinney Butte Rd, Sisters 97759 | 541-549-4045
Students
Students

Students
Students earning a high school diploma or GED within five years. Cohort Includes students who were firsttime ninth graders in 2016-17 finishing in 2020-21
Students enrolling in a two or four year college within 16 months of completing high school in 201920. Data from the National Student Clearinghouse.

Sisters High School is determined to ensure all students graduate and we are striving for the ambitious goal that when students begin with us as freshman, 100% will graduate. We will accomplish this by improving our attendance, implementing bi-weekly grade level teacher meetings, ensure all teachers utilize critical reading and writing strategies and inquiry based instruction as well as ensuring 95% of our current freshman are on track to graduate by August 2021.
The Oregon Department of Education is partnering with school districts and local communities to ensure a 90% ontime, four year graduation rate by 2025. To progress toward this goal, the state will prioritize efforts to improve attendance, provide a well-rounded education, invest in implementing culturally responsive practices, and promote continuous improvement to close opportunity and achievement gaps for historically and currently underserved students.
Our mission is to provide a caring community built on strong relationships, that sets and achieves high standards where learning is positive and engaging for all. Everything we do is built on relationships and building a community where we take care of each other in school and out of school.








Our school offers various AP courses. Highlights Include: Biology, US History, Art, Chinese, Calculus, English Literature
We also offer dual-enrollment courses through two community colleges. Highlights include: Math 111 & 112, Writing 121, Health Occupations, Engineering and Design
Sisters High School has three amazing CTE Programs of Study, Culinary Arts, Health Services and Engineering Technologies with a learning area of Industrial and Engineering Systems. We are also developing our Flight Science program to become a full program of study as defined by Oregon Department of Education
We offer a wide range of co-curricular activities that foster the development of lifelong values of teamwork, leadership, dedication, sportsmanship, goal setting, maintaining composure, poise, developing a strong work, balancing busy schedules, and living a healthy lifestyle, which will ultimately assist our students in becoming contributing members of the community. Beyond wins and losses, the primary goal of our co-curricular activities is to build character.
Our community is very close and supportive of the students and instructional staff. We have many strong community partnerships that catapult our programs. Our educational community strives to ensure that every student is known, and taught, as an individual in order to enhance the learning environment. We are a community that embraces and values science and the arts. Our community and our partnerships are instrumental in the success of our programs: Americana, outdoor experiential education flight science, the luthier program, engineering, culinary arts, health careers, and so many more.










































At the heart of the Oregon Cascades lies the Three Sisters Wilderness, named for three 10,000-foot volcanic peaks that loom over the forested slopes below. The Three Sisters Loop traces portions of three National Scenic Byways – McKenzie Pass – Santiam to the north, Cascade Lakes on the eastern slope, and West Cascades facing the sunset – for some stunning scenery and incredible habitat diversity at nearly 50 prime birding sites. Eleven species of woodpeckers nest between Santiam and McKenzie Passes, including Lewis’s, White-headed, and Black-backed, plus all three western sapsuckers. Cache Mountain and the Meadow Lake Basin host Blue and Ruffed Grouse and nesting Vaux’s Swift. The Cascade Lakes Highway features Sparks Lake, with its stunning views of South Sister, plus breeding Savannah Sparrow and Western Meadowlark (Oregon’s state bird) in the meadow. Further south, the marshes of Hosmer Lake set the scene for Yellow-headed Blackbird and American Bittern. The Newberry Volcanic National Monument east of the Deschutes River showcases the most recent volcanic activity in the Oregon Cascades as well as the Gray-crowned Rosy-Finches of Paulina Peak.
Waterfalls and river birds abound on the Three Sisters loop with Sahalie and Koosah Falls on the Upper McKenzie River home to American Dipper, Winter Wren, and Harlequin Duck. Salt Creek Falls to the south is well known as the only nesting site in Oregon for the enigmatic Black Swift.
Oregon State Parks. From Redmond, at the N Hwy 97/W 126 junction; L on W Hwy 126 (Highland Avenue, towards Sisters); 4.2 mi to signed L into park driveway; 0.4 mi down hill to parking area.
Riparian habitat in Deschutes River Canyon with sagebrush and rimrock upland and juniper/pine mix along river; residentCanyonWren,AmericanDipper, Golden Eagle, Prairie Falcon, and Song Sparrow; excellent mix of songbirds in spring and fall migration; concentration
of wintering sparrows and finches; trail leads upstream from parking area.
Sponsor: National Fish and Wildlife Foundation
68.
Deschutes NF, Sisters RD. From downtown Sisters, S on Elm St; changes to FR 16 at city limits; 14.3 mi to meadow; 15.4 mi to Three Creek Lake; in midsummer, FR 370 below lake leads 13.8 mi to Todd Lake. 4WD AND DRY WEATHER ONLY.
Glacial alpine lake surrounded by subalpine forest with wet meadow below; nesting Williamson’s Sapsucker, Black-backed Woodpecker, Hammond’s Flycatcher, Western Tanager, MacGillivray’s Warbler; many amphibians and highest location in Oregon for migrating Solitary Sandpiper; easy 1.1-mi trail from inlet on N side of lake leads to Little Three Creek Lake; difficult 2.7-mi trail leads to summit of Tam McArthur Rim.
Deschutes NF, Sisters RD. From Sisters, S on Elm St; changes to FR 16 at city limits; 7.6 mi to L on FR 550 into dispersed camping and parking area in small basin.
Hillside springs feed mixed conifer grove surrounded by ponderosa pine forest; excellent for resident Williamson’s and wintering Red-breasted Sapsuckers; resident forest songbirds include Red Crossbill, nuthatches, Mountain Chickadee, Brown Creeper, and Golden-crowned Kinglet; productive in migration and summer for forest thrushes, warblers, Cassin’s Vireo, and Western Tanager; FR 16 plowed in winter, but not FR 550.
Sponsor: National Forest Foundation

Deschutes NF, Sisters RD. Hwy 242 E from Sisters 4 mi to campground entrance on R; park in day use area. Two springs flow into small basin with
old-growth pine and aspen; area above campground contains small burn surrounded by pine/manzanita habitat; resident White-headed Woodpecker plus six addítional woodpecker species; resident Pygmy Nuthatch, Cassin’s Finch, Red Crossbill; nesting Dusky and Olive-sided Flycatchers; Fox Sparrow and Green-tailed Towhee in manzanita.
Sponsor: Deschutes National Forest
71. Trout Creek Swamp
Deschutes NF, Sisters RD. From Sisters, 5.7 mi on Hwy 242 to FR 1018; L towards Whispering Pines campground 4.3 mi to FR 1520; L 0.1 mi to parking across from campground; canyon hillside begins 1 mi below swamp on FR 1520.
Wet meadow surrounded by mature mixed conifer forest; manzanita scrub on Trout Creek Canyon hillside below swamp; unique for westside crossover species, including Chestnut-backed Chickadee and Pacific-slope Flycatcher; nesting Ruffed Grouse, Pileated Woodpecker, Lincoln’s Sparrow, Williamson’s Sapsucker, and Hermit and Townsend’s Warblers (plus possible hybrids); canyon hosts nesting warblers and sparrows.
Sponsor: Leupold & Stevens, Inc.
72. Dee Wright Observatory
Willamette NF, McKenzie River. From Sisters, Hwy 242 E 10.9 mi. From Hwy 126 near Belknap Springs, Hwy 242 W 25.4 mi; park at McKenzie Pass. Accessible trail to stone observatory surroundedbylavaflowswithpanoramic views of Cascade peaks; easy to difficult trail winds through lava to Belknap Crater; excellent viewing of forest species including Clark’s Nutcracker, Red Crossbill, and possible Northern Goshawk; rare White-winged Crossbill and Pine Grosbeak; House and Rock Wrens in lava fields; excellent for migrating raptors; accessible in summer only, not recommended for travel trailers.
Sponsor: Leupold & Stevens, Inc.
73. Lava Camp Lake
Deschutes NF, Sisters RD. From downtown Sisters, Hwy 242 E 10.3 mi; from Hwy 126 near Belknap Springs, Hwy 242 W 26 mi (0.6 mi E of Dee Wright Observatory); 0.6 mi down FR 900 to lakeshore.
Mixed conifer forest on Cascade Crest adjacent to expansive lava flow; forest nesting species include Three-toed Woodpecker, Gray Jay, Red and Whitewinged Crossbill, Blue Grouse, and Clark’s Nutcracker; adjacent to Pacific Crest Trailhead and Three Sisters Wilderness;moderate1.3-mihiketoDeeWright Observatory;moderate5.8-milooptrailto Scott Pass and Matthieu Lakes.

Willamette NF, McKenzie River RD. On Hwy 242, 15 mi E of junction with Hwy 126 or 5 mi W of Dee Wright Observatory; park at Benson Trailhead, adjacent to Scott Lake. Trail connects two lakes with diverse habitats; at Scott Lake, Bufflehead have nested; Spotted Sandpiper nests along lake edge; Lincoln’s Sparrow in wetland; Tree Swallow in dead trees; breeding Pine Siskin, Hermit Thrush, Clark’s Nutcracker, and Evening Grosbeak in forest; Hand Lake has grasslands, old lava flow, conifer forest, and wet meadow; fall montane shorebird migration stopover; unusual species include Semipalmated Sandpiper, Western, Least and Baird’s Sandpipers; White-winged Crossbill and Three-toed Woodpecker.
Deschutes Basin Land Trust. From Hwy 126, 2.8 mi E of Sisters; N on Camp Polk Rd 3.2 mi to signed driveway on R. From Sisters, Locust St/Camp Polk Rd N 3 mi to R at Camp Polk Rd; 0.5 mi to driveway on L; park in designated lot near interpretive sign.
Hindman Springs Unit; spring-fed marsh, ponds, upland and forest habitats; short easy trail open to public; wide diversity of birds in all seasons, including rails, snipe, raptors, sparrows, and warblers; historic site with oldest structure in Deschutes County.
Sponsor: Paradise Birding
Deschutes Basin Land Trust. From Sisters, Locust St/Camp Polk Rd; N 2.8 mi to Indian Ford Rd; park along road and enter at unlocked gate.
Riparian, wetland, and grassland surrounded by pine forest; wide variety of warblers in spring migration; Calliope Hummingbird and Northern Goshawk nest annually; Blue Jay has wintered; hiking allowed on E side of creek only.
Sponsor: American Bird Conservancy
77. Calliope Crossing
Deschutes NF, Sisters RD. From Sisters, Locust St/Camp Polk Rd; N 2.8 mi to Indian Ford Rd; L (N) 2.1 mi to Pine St; L 0.1 mi across creek to junction with FR 900; park along road to R. Dense riparian habitat adjacent to dry ponderosa pine forest; named for nesting Calliope Hummingbird; regular nesting American Redstart, Williamson’s Sapsucker, Cassin’s Vireo, and Northern Goshawk; excellent songbird diversity in all seasons; noted for rarities in migration; pine forest hosts nesting Gray Flycatcher and resident Pinyon Jay and Northern Pygmy-Owl; trails on both sides of Indian Ford Creek 1-mi upstream and 0.5-mi downstream.
Sponsor: Oregon Field Ornithologists
78. Indian Ford Campground
Deschutes NF, Sisters RD. From Sisters, Hwy 20/126; NW 5.5 mi to R on Indian Ford Rd; R immediately into campground; day use parking; campground gated in winter.
Mature ponderosa pine forest bisected by Indian Ford Creek and riparian habitat; resident White-headed Woodpecker, Northern Pygmy-Owl, Pygmy Nuthatch; nesting Dusky Flycatcher, Green-tailed Towhee, and Cassin’s Vireo; excellent for wintering sparrows and migrating songbirds; trail leads 0.8-mi downstream from campground to edge of private property.
79. Gobbler’s Knob & Glaze Meadow
Deschutes NF, Sisters RD. From Hwy 20/126 NW of Sisters; L (W) on FR 300 (across Hwy, opposite Indian Ford Rd) 0.6 mi down hill and park near gate at historic corral.
Wet meadow surrounded by pine and mixed conifer forest; adjacent swamp, riparian, and manzanita habitats; meadow and ponds host nesting snipe, waterfowl, rails, bluebirds, and swallows; White-headed Woodpecker, Northern Goshawk, and nuthatches resident in forest with nesting Cassin’s Vireo and Williamson’s Sapsucker; riparian habitat invites Red-naped Sapsucker, warblers, flycatchers, and rare Red-eyed Vireo; Gobbler’s Knob hosts nesting Fox Sparrow, Orangecrowned Warbler, Green-tailed Towhee, and Cassin’s Finch; excellent ski-in for wintering sparrows.
Sponsor: American Bird Conservancy
80. Cinder Beach at Suttle Lake
Deschutes NF, Sisters RD. From Sisters,13.3 mi NW on Hwy 20/126 to FR 2070 (well-signed); L 0.2 mi. to R over bridge; follow signs to Cinder Beach day use parking.
Beach formed as terminal moraine for glacier that carved Suttle Lake; superb, old-growth mixed conifer forest with open water viewing; resident species include Golden-crowned
Kinglet, Brown Creeper, Williamson’s Sapsucker, Pileated Woodpecker, Bald Eagle, American Dipper, and eastern limit of Chestnut-backed Chickadee in Cascades; lake hosts concentrations of migrating and wintering waterbirds, including Hooded and Common Merganser, Barrow’s and Common Goldeneye, Western and Clark’s Grebe, Common Loon, and Surf Scoter; nesting species include Spotted Sandpiper, MacGillivray’s Warbler, and Western Tanager; easy 3.2-mile trail around lake.
81. Link Creek Mouth at Suttle Lake
Deschutes NF, Sisters RD. From Sisters,13.3 mi NW on Hwy 20/126 to FR 2070 (well-signed); L 2.6 mi to day use parking at boat launch.
Long glacial lake surrounded by mixed conifer forest with riparian and marsh habitats at upper and lower ends; 3.2mi trail around lake; 0.5-mi trail to Scout Lake begins across road from W end of campground; resident Bald Eagle, Pileated Woodpecker, Chestnut-backed Chickadee, Pine Siskin, Gray Jay; nesting Osprey, Barrow’s Goldeneye; excellent spot for scoters, loons, and grebes, in migration and winter.
82. Meadow Lake Basin
Deschutes NF, Sisters RD. From Sisters,16.9 mi NW on Hwy 20/126 to Corbett Sno-Park; from Santiam Pass, 3.5 mi E to Sno-Park; 3.1 mi on FR 2076 to junction with FR 800; park along road.
Small basin with 9 primary lakes that drain into Link Creek (see site 81 description); mixed conifer forest with network of marshes, bogs, and riparian habitats; W and E species including Willow Flycatcher, Hooded Merganser, Ring-necked Duck, Bufflehead, Red-breasted and Williamson’s Sapsucker, MacGillivray’s Warbler, Northern Pygmy-Owl, and Lincoln’s Sparrow; snow machine and ATV use in season; best birded on foot.
83. Cache Mountain
Deschutes NF, Sisters RD. From Sisters,16.9 mi NW on Hwy 20/126 to Corbett Sno-Park; from Santiam Pass, 3.5 mi E to Sno-Park; 3.1 mi on FR 2076 to L on FR 800; 0.9 mi to top of hill; park in circle.
Unique old-growth Douglas-fir and mixed conifer forest with small pond and multiple rivulets draining mountainside; resident Ruffed Grouse, Pileated Woodpecker, Spotted Owl, Gray and Steller’s Jays, Clark’s Nutcracker, and Chestnut-backed Chickadee; nesting Red-breasted Sapsucker, Vaux’s Swift, Hermit Thrush, Evening Grosbeak, MacGillivray’s Warbler, and Olive-sided Flycatcher.
Sponsor: Nancy Fraser
84. Big Lake & Hoodoo Area
WillametteNF,McKenzieRiverRD. From Hwy 20 5.5 mi E of Santiam Junction or 0.7 mi W of Santiam Pass; S at sign for Hoodoo Ski Area and Big Lake Rd; at 0.8 mi L fork for 2 mi to Big Lake Campground; in winter, or for access to Hayrick Butte,parkatRayBensonSno-Parkwhere road branches.
Paved road leads to campground on deep water lake with scenic views of Mt. Washington; easy walking; lodgepole pine forest with shrubby regrowth and rocky cliffs; Three-toed Woodpecker in burn; shrubs and small conifers at base of Hayrick Butte host nesting Fox Sparrow, Chipping Sparrow, and Dusky Flycatcher; Mountain Bluebird and American Kestrel in open area on way to Big Lake Campground; Mountain Chickadee in campground.
Sponsor: Leupold & Stevens, Inc.
85. Fish Lake Interpretive Site
Willamette NF, McKenzie River RD. On Hwy 126; 1.5 mi S of junction with Hwy 20; W side of hwy.
Deepwater lake and smaller potholes in volcanic terrain; mature conifer forest; alder thickets and cottonwoods along lake edges; manzanita thickets in open areas; nesting birds include Bald Eagle, Osprey, Barrow’s Goldeneye, Common Merganser, Pileated Woodpecker,
Common Nighthawk, Townsend’s Solitaire, and American Dipper; cottonwoods host warblers and Cedar Waxwing; loons, scaup and scoters may appear on lake in fall. Viewpoint overlooking the lake/meadow.

86. McKenzie Wild and Scenic River Viewpoint
Willamette NF, McKenzie RD. On Hwy 126, 7.4 mi NE of McKenzie Ranger Station; between MP 15 and 16. Newly constructed viewpoint; resting site for Harlequin Duck; river hosts Belted Kingfisher and American Dipper; state flower, Oregon grape, grows in abundance.
Sponsor: Leupold & Stevens, Inc.
87. Delta Old-Growth Trail
WillametteNF,McKenzieRiverRD. From Hwy 126, 0.2 mi S on FR 19 (Aufderheide Forest Drive); W at campground entrance on S side of bridge over McKenzie River; 1 mi to nature trail in day-use area, W end of campground.
Low-elevation, old-growth conifer forest; willow and alder thickets along river; nature trail hosts Hermit Warbler, Swainson’s Thrush, Red-breasted Nuthatch, and Hutton’s Vireo; 5 species of woodpeckers create cavities for others such as Hooded Merganser, Wood Duck, Northern SpottedOwl, Northern Pygmy-Owl, Western Bluebird, Tree Swallow, House Wren, Chestnut-backed Chickadee, and Northern Flying Squirrel.
Sponsor: Willamette National Forest
88. Cougar Reservoir
U.S.ArmyCorpsofEngineers. From Hwy 126, 7 mi W of McKenzie Ranger Station; S on FR 19 (Aufderheide Forest Drive) 3 mi; parking at dam and Terwilliger Hot Springs 4.2 mi S; best access to riparian zone is above reservoir or at bridge crossing 2.5 mi below dam.
Deep, steep-sided reservoir; rocky canyon and riparian below dam, conifer forest on higher slopes; water tower SW of dam has large nesting colony of Cliff Swallows; many Violet-green and Northern Rough-winged Swallows; rocky cliffs and dam may yield Rock Wren and Canyon Wren; occasional Bald Eagle and Belted Kingfisher; parking area near Terwilliger Hot Springs good for viewing waterfowl such as Bufflehead, goldeneyes, and Common and Hooded Mergansers in fall.
Sponsor: U.S. Army Corps of Engineers, Portland District
89. South Fork
McKenzie River
Willamette NF, McKenzieRiverRD. From FR 19; 4.3 mi N of Box Canyon Guard Station; E on FR 1964 for 2 mi to FR 455; 0.2 mi to trailhead.
Two trails with different habitat accessed from one trailhead; trail 3327 accesses old-growth conifer forest; forest species include Winter Wren, Swainson’s Thrush, and Black-throated Gray Warbler; Northern Goshawknestnearby;trail3510goesabove Elk Creek drainage on south-facing slope; nesting Rufous Hummingbird; Harlequin Duck and American Dipper resident.
Sponsor: Wayfarer Resort
90. Wayfarer Resort
Privately Owned. From Hwy 126; 3 mi W of Vida; cross covered bridge and go 4 mi.
Park-like yard and riparian habitats; residential lowland species like Redwinged and Brewer’s Blackbird; Downy Woodpecker, Hutton’s and Warbling Vireo, and Western Scrub-Jay; also Red-breasted Sapsucker, Wood Duck, and Purple Finch; check in with owners when birding.
Sponsor: Wayfarer Resort
Willamette NF, McKenzie River and Middle Fork RDs. On FR 19; 26 mi S of Hwy 126 or 37 mi N of Hwy 58; trail 3567 to Skookum Meadows starts 2 mi SE of guard station along FR 19; 2 mi hike to meadow.
Box Canyon is a small meadow with willow and alder thickets, bordered by small spruce and pines set in mature conifer forest; adjacent to historic Box Canyon Guard Station and Landis Cabin; Great-gray Owl has occurred; Rufous Hummingbird in meadow; roadless area W of guard station hosts Spotted Owl; nearby Skookum Meadows trail leads to secluded wetland where Northern Waterthrush has occurred.
Willamette NF, McKenzie River RD. From Hwy 126, 2.2 mi W of McKenzie Ranger Station; S on FR 2638 (Horse Creek Rd) for 1.7 mi; R on FR 1993 just past Horse Camp Campground; paved, one-lane road 8.5 mi to Horsepasture trailhead.
Diverse area with variety of forested and open habitats along paved access road with pulloffs; 1.5 mi trail to top of mountain; good for migrating raptors, nesting Townsend’s Solitaire, Western Bluebird, and Dusky Flycatcher; great wildflower show in early July.
City of Oakridge. MP 34 on Hwy 58; 43 mi E of Eugene. Town habitats (lawns, trees, shrubs); trail along Salmon Creek at E end of town gives access to riparian thickets; nesting and migrating songbirds such as Yellow Warbler, Warbling Vireo, and Black-capped Chickadee; resident population of Western Scrub-Jay in town; Willamette River has hosted rare nesting Red-eyed Vireo and Yellowbreasted Chat.
Sponsor: Convention and Visitors Association of Lane Co.
U.S. Army Corps of Engineers. From E end of Oakridge; 1.2 mi SE on Hwy 58; S on Kitson Springs Rd for 0.5 mi; take first R on Diamond Drive; 0.5 mi to left-hand turnout for Hills Creek Powerhouse; park in marked spaces and walk past gate 500 yards downhill on paved road to wetland; dike is good viewpoint.
Ponds and wetland complex surrounded byconiferforestandsmallpatchesofoak woodland; Bald Eagles perch on dead trees;otherspeciesincludeGreenHeron, Northern Pygmy-Owl, Wilson’s and Black-throated Gray Warblers, Hutton’s Vireo, and Cooper’s Hawk; good western pond turtle and beaver populations.
Sponsor: U.S. Army Corps of Engineers, Portland District
95. Salt Creek Falls
Willamette NF, Middle Fork RD. On Hwy 58, 23 mi E of Oakridge, 5 mi W of Willamette Pass; FR 5893 about 0.5 mi to observation site.
Scenic waterfall in mature conifer forest; riparian thickets upstream of falls; Black Swift regular during summer at falls; Northern Waterthrush and American Redstart, rare species in W Oregon, upstream along creek; forest species include Hermit Warbler, MacGillivray’s Warbler, and Red Crossbill. Interpretive panel highlights Black Swift.
Sponsor: Leupold & Stevens, Inc.
96. Gold Lake
Willamette NF, Middle Fork RD. From Hwy 58, 0.5 mi W of Willamette Pass; opposite Gold Lake Sno-Park; N on FR 500 (Gold Lake Rd) 2 mi to lake and campground.
Small lake within mid-elevation conifer forest; extensive bog and riparian thickets; American Dipper in stream flowing out of lake; Three-toed Woodpecker in campground and W side of lake; occasional White-winged Crossbill; breeding Townsend’s Warblers; nature trail on W side of lake hosts unique plant communities and Pied-billed Grebe, Virginia Rail, and Sora; historical records of probable Solitary Sandpiper nesting.
Sponsor: National Forest Foundation
97. Waldo Lake
Willamette NF, Middle Fork RD. From Hwy 58, 2.5 mi W of Willamette Pass or 23 mi E of Oakridge; FR 5897 (Waldo Lake Rd) 13 mi to North Waldo Campground junction; L for 2 mi to campground.
Second deepest lake in Oregon; large lake thus difficult to see waterfowl; main attraction is high elevation forest birds associated with burned forest such as Three-toed and Black-backed Woodpeckers, Mountain Bluebird, and Townsend’s Solitaire; other species include Blue Grouse, Mountain Chickadee, and Rock Wren; Boreal Owl found in fall along Taylor Burn Rd (4WD) N of campground; White-winged Crossbill possible.
Deschutes NF, Crescent RD. From Hwy 58 at Willamette Pass, 0.4 mi SE to R on FR 5810; 2 mi to campground entrance on L; park in day use area. Englemann spruce and mixed conifer forest, with open water and riparian habitat; high concentration of Bald Eagles, especially in fall; mixture of W and E-side birds, including resident Blue Grouse, Pileated Woodpecker, Chestnut-backed Chickadee, and Redbreasted Sapsucker; nesting Western Tanager, Winter Wren, Hermit Thrush, and Hermit Warbler; easy nature trail along Trapper Creek and Odell Lake; nearby access to Diamond Peak Wilderness and Pacific Crest Trail.
Deschutes NF, Fort Rock RD. From 27th St in E Bend, 22.5 mi E on Hwy 20 to R on FR 2017, well-signed for Pine Mountain Observatory; continue 8.5 mi to observatory entrance on L; descend S side of mountain 4.6 mi on FR 2017 to R on FR 23; 34 mi to junction at Hwy 20 (3.9 mi E of FR 2017).
Ponderosa pine forest, with lower juniper belt, surrounded by sagebrush desert; south side of mountain features steep rimrock cliffs and shrub-covered hillsides; superb diversity of nesting birds from Brewer’s Sparrow, Sage Thrasher, and Loggerhead Shrike to
Green-tailed Towhee, Orange-crowned Warbler, Fox Sparrow, and Canyon Wren; pine forest hosts resident specialties such as Pygmy Nuthatch, MountainChickadee,andWhite-headed Woodpecker; juniper forest supports nesting Black-throated Gray Warbler and Pinyon Jay; excellent for migrating raptors, especially in fall; observatory offers summer evening astronomy programs; loop road passes near isolated desert springs and through burn before returning to hwy.
Oregon State Parks. From Bend, at Hwy 20/97 junction at N end of town; 3.5 mi N on Hwy 20 (towards Sisters) to L on O.B. Riley Rd; 1 mi to river crossing and R entrance to day use area of park. Riparian habitat on Deschutes River with mixed pine along river and park grounds; surrounded by juniper/ sagebrush upland with rimrock; excellent year-round birding, especially in migration; common migrant songbirds of region can be seen along river; resident birds include Mountain Chickadee, Pygmy Nuthatch, Song Sparrow, American Dipper, Belted Kingfisher, Black-billed Magpie, and Canyon Wren; easy trails lead 0.8-mi downstream on both sides of river and 0.5-mi upstream on E side.
Bend Metro Parks and Recreation District. From N Third St in Bend, W on O.B. Riley Rd; 0.5 mi to park entrance on W side of road. From Hwy
97 N, exit Empire Rd; L from off-ramp 0.4 mi; through light at 3rd Street to T at O.B. Riley Rd; L 0.1 mi to park entrance on R; parking not plowed in deep snow.
Riparian habitat with juniper and pine upland along Deschutes River; bridge across river to well-maintained trail that extends 2-mi downstream and 2-mi upstream; Wood Duck, Hooded Merganser S of bridge in winter; resident American Dipper; good for uncommon resident Anna’s Hummingbird; diversity of songbirds, especially in migration.
Sponsor: Wild Birds Unlimited, Bend
Oregon State Parks. From N of Bend, Hwy 97 S to Hwy 20 Exit (to Burns); 2.6 mi S on 3rd St to L on Greenwood Ave/Hwy 20 E; 0.7 mi to park entrance on L.
Small cinder butte near E edge of Bend with juniper/sagebrush habitat and cultivated trees at summit; excellent stopover for migrant songbirds, including Gray-crowned Rosy-Finch in late fall; resident species include Mountain Chickadee, Pygmy Nuthatch, and Western Scrub-Jay; steep trail climbs butte from lower parking area.
103. Shevlin Park
Bend Metro Parks and Recreation District. From Third St in Bend; W on Greenwood; changes to Newport Blvd. then Shevlin Rd; park entrance 4.5 mi from Third St, where Shevlin Road dips into Tumalo Creek canyon; L into parking area on S (upstream) side. Riparian habitat along Tumalo Creek

with mixed conifer, aspen and willow in canyon and pine/manzanita upland; burn on hill W of creek; easy to moderate multi-use trails; nesting species include Williamson’s Sapsucker, Lewis’s Woodpecker, White-headed Woodpeckers, Pygmy Owls, Fox and Vesper Sparrows, Green-tailed Towhee, Pine Siskin, and American Dipper; superb for migrant songbirds, especially warblers; 8.5-mi of hiking trails in park S of Shevlin Rd, including 2.5-mi trail to forest boundary continuing to Tumalo Falls.
Privately Owned. From Bend, 6 mi S on Hwy 97 to L into museum driveway. Superb natural and cultural history museum, with paved outdoor trails through ponderosa pine woods; wide variety of educational programs, including daily interpretive talks on raptors, with several live birds on display; outdoor habitat includes running trout stream and small ponds with typical resident bird species of ponderosa pine and streamside habitats; resident Mountain Chickadee, Pygmy Nuthatch, and White-headed Woodpecker.
Sponsor: Oregon Tourism Commission
105. Dillon to Benham Falls Trail
Deschutes NF, Bend RD. From Hwy 97 in Bend, exit Colorado St; 1.6 mi W to L on Century Dr. traffic circle; 5.2 mi S on Century Dr. (FR 46/OR 420) to FR 41; 2.7 mi S on FR 41 to 4120; L 0.8 mi to Dillon Falls campground. Scenic trail along Deschutes River.;

access to riparian, meadow and pine forest habitats; good for migrant songbirds; nesting Western Tanager, Dusky Flycatcher, Yellow-rumped Warbler, and Osprey; resident American Dipper, Belted Kingfisher, nuthatches, Clark’s Nutcracker, and Steller’s Jay; easy trail follows river upstream 3.5-mi past meadow and slough to Benham Falls.
Sponsor: Leupold & Stevens, Inc.
106. Sunriver Nature Center
Privately Owned. From Bend, 12 mi S on Hwy 97 to R on S Century Drive (FR 40, well-signed for Sunriver Resort); 1.5 mi to Sunriver entrance; 0.1 mi to map kiosk on R; pick up free map and follow signs to nature center. Small lake, ephemeral wetland, wet meadow, dry meadow, and riparian area surrounded by pine and some mixed conifer; resident birds include Mountain Chickadee, woodpeckers, Red-winged Blackbird, Northern Goshawk, Red-tailed Hawk, and Great Horned Owl; Rough-legged Hawk, Northern Harrier, good finch and sparrow concentrations in winter; short walk to river leads to riparian and open water habitats, productive in migration for warblers, flycatchers, and swallows; marshes host Marsh Wren and rails in nesting season; rarely Green Heron, Great Gray Owl, and Red-shouldered Hawk; staffed interpretive center and easy trails.
Watch the sun. At a given site, position yourself so the sun is shining at your back. This will help you avoid staring at confusing silhouettes and will allow you to better enjoy the full colors of the many of species that occur in the Cascades.
Deschutes NF, Bend RD. From Bend at S Hwy 97, exit Colorado Avenue; R (W) 0.5 mi to R on Broadway; 0.25 mi to L on Galveston; after 1 mi, Galveston changes to Skyliners Road (FR 4601); 9.7 mi on 4601 to sharp R across creek, then L on FR 4603; 2.4 mi to day use parking area below falls.
Riparian, burned forest, and some marsh habitat surrounded by ponderosa pine forest; resident Blue Grouse, Pygmy Nuthatch, Mountain Chickadee, Dark-eyed Junco, Red Crossbill, and American Dipper; nesting species include Nashville and MacGillivray’s Warblers, Williamson’s Sapsucker, and Western Tanager; many trails including difficult 3.3-mi hike to Swampy Lakes (site 108); cross-country ski trail to Shevlin Park (site 103).
Deschutes NF, Bend RD. From Hwy 97 in Bend, exit Colorado St; 1.6 mi W to Century Dr. traffic circle; 13.9 mi SW on Century Dr. (FR 46/OR 420) to signed parking area and trailhead on R (N) side of highway.
Unique 400-acre basin with numerous wet meadows and shallow lakes surrounded by pine and mixed conifer forest; resident species include Steller’s Jay, Mountain Chickadee, Red Crossbill, White-headed and rare Pileated Woodpecker; nesting species include Ruby-crowned Kinglet, Western Tanager, Spotted Sandpiper, and numerous flycatchers; moderate 2-mi hike to shelter; excellent cross-country skiing with Gray Jay and nuthatches.
Deschutes NF, Bend RD. From last Mt. Bachelor entrance, continue on Cascade Lakes Highway (FR46) 4.2 mi to signed L on gravel road; 1.6 mi to parking area.
Remnant glacial valley with open water, marsh, and grassland, surrounded by lodgepole pine forest; excellent for migrating waterfowl and raptors, including Red-shouldered Hawk and
Northern Goshawk; nesting Barrow’s Goldeneye, Bufflehead, Common Merganser, and Spotted Sandpiper, plus many forest songbirds; excellent non-motorized boating along miles of shoreline.
Deschutes NF, Bend RD. From last Mt. Bachelor entrance, 4.9 mi (past Sparks Lake boat launch entrance) to parking area on L.
Nesting Vesper and Savannah Sparrows, Tree Swallow, Mountain Bluebird, Western Meadowlark, and Say’s Phoebe; waterbird viewing on N end of lake.
111. Hosmer Lake
Deschutes NF, Bend RD. From Hwy 97 in Bend, exit Colorado St; 1.6 mi W to Century Dr. traffic circle; 32.9 mi S on Century Dr. (FR 46/OR 420) past Elk Lake to FR 4625; L 1.2 mi to parking at boat launch.
Shallow, marshy lake surrounded by lodgepole pine forest; nesting Hermit Warbler, Yellow-headed Blackbird, American Bittern, rails, Marsh Wren, Bufflehead and occasional Sandhill Crane; resident Bald Eagle and good resident woodpecker diversity, including Three-toedWoodpeckerandWilliamson’s Sapsucker; superb for canoe or kayak birding; no motorized craft allowed on lake.
112. Cultus River Trail
Deschutes NF, Bend RD. From Cascades Lakes Hwy (FR 46) 6.4 mi S of Lava Lake; R on FR 4630; road crosses Cultus River after 50 yds; park along road.
Riparian habitat surrounded by lodgepole pine and mixed conifer forest; easy 0.5- mi trail leads to head of river as it emerges from base of Bench Mark Butte; nesting species include American Dipper, flycatchers, warblers, woodpeckers, and finches.
Sponsor: American Bird Conservancy
113. Crane Prairie Reservoir
Deschutes NF, Bend RD. From Cascades Lakes Hwy (FR 46) 6.4 mi S of Lava Lake to FR 40; L 2.9 mi to FR 4270; R 2 mi to junction with FR 4250; R (still on FR 4270) 1.25 mi to resort entrance.
Resort at NE corner of Crane Prairie Reservoir; open water habitat surrounded by lodgepole pine and mixed conifer forest; reservoir hosts high concentration of waterfowl, especially in spring migration; nesting Osprey, Bald Eagle, and Northern Goshawk; canoe trail along E shore provides excellent viewing of waterbirds.
Sponsor: National Fish and Wildlife Foundation
Quinn River
Campground at Crane Prairie
Deschutes NF, Bend RD. From Cascades Lakes Hwy (FR 46), campground entrance 3.5 mi S of junction with FR 40; park in day use area.
Multiple springs entering Crane Prairie Reservoir feed lakeshore wetlands surrounded by lodgepole pine forest; large Double-Crested Cormorant and Great Egret rookery; nesting Bald Eagle, Osprey, Bufflehead, Northern Goshawk, and owls, plus Black-backed and Three-toed Woodpeckers; boat launch and trail to Osprey Point.
Sponsor: National Forest Foundation
115. Round Mountain
Deschutes NF, Bend RD. Exit Hwy 97 S at Vandevert Rd; W 1 mi; L on Huntington Rd 1.1 mi to R at Fall River Rd (FR 42); 11 mi to R at FR 4250; 3.9 mi to L on FR 4255; after 0.1 mi L on FR 4256; 1 mi to parking at gate. Steep cinder cone covered with mixed conifer forest above pine forest below; resident Spotted Owl, Blue Grouse, Pileated and other woodpeckers; nesting Hermit Thrush, warblers, Cassin’s Vireo; wide trail leads 1.4-mi and climbs over 700 feet to lookout and panoramic views at summit.
Sponsor: Cascade Natural Gas
Deschutes NF, Bend RD. From La Pine on S Hwy 97, R (W) on FR 43; 11.1 mi to L on FR 42; 4.6 mi to L on FR 4260; 0.7 mi to R on FR 070; 0.5 mi to campground; FR 4260 continues 1.25 mi to Twin Lakes Resort and 1.1 mi further to lakeshore at Gull Point Campground. Deschutes River inflow to upper arm of Wickiup Reservoir; riparian habitat leading to open water surrounded by mixed conifer forest; river channel hosts nesting warblers and flycatchers; forest supports nesting Western Tanager and Olive-sided Flycatcher; lake invites an abundance of waterfowl; Sheep Bridge sees high concentration of Bald Eagle and Osprey; five falconspecies recorded in migration.
Deschutes NF, Bend RD. From La Pine on S Hwy 97, R (W) on FR 43; 10.6 mi to L on FR 4380; 3.5 mi to L on FR 4260 (Wickiup Dam); 2.3 mi to R into Wickiup Butte campground. Steep shoreline on massive reservoir backed by forested butte; riparian habitat below dam along Deschutes River; viewing anywhere from dam to campground excellent for diving birds, especially in winter and migration; regularly hosts high concentrations of Common Loon and up to five species of grebe; other migrant waterbirds include Greater White-fronted Goose, Tundra Swan, cormorants and gulls, plus some inland rarities such as Greater Scaup, Sabine’s Gull, Red-throated Loon, and Red-necked Grebe; often accessible in winter except after heavy snow.
Sponsor: National Forest Foundation
118. Round Swamp Campground
Deschutes NF, Bend RD. From La Pine on S Hwy 97, R (W) onto FR 43; 10.6 mi to L on FR 4380; 3.5 mi to L on FR 4260 (Wickiup Dam); 3.9 mi to R at junction with FR 44; 3.5 mi on FR 44 to R entrance at campground; FR 44 continues 5.9 mi to junction at FR 46 (Cascade Lakes Highway) near Davis Lake lava flow.
Southern arm of reservoir surrounded by pine and mixed conifer forest; shallow bay excellent for migrant shorebirds, especially in fall and dependent upon fluctuating water levels; high concentrations of common shorebirds, including both yellowlegs, Blackbellied Plover, and Least and Western Sandpipers; at very low water levels, shallower portions become grassland and attract Horned Lark, American Pipit,migratingYellow-rumpedWarbler and rare Lapland Longspur; resident forest species include Steller’s Jay, nuthatches, Mountain Chickadee, and up to six woodpecker species.
Deschutes NF, Crescent RD. From downtown Crescent on S Hwy 97, R (W) onto Crescent Cut-off (FR 61); 8.5 mi to R on FR 46 (Cascade Lakes Highway); 3.3 mi N to L on FR 4660; 3 mi to R on FR 4669; 1.7 mi to campground entrance; park in day use area; for loop road, return to FR 4660; R around W and N sides of lake to junction with FR 46; 10.3 mi N of S junction with FR 4660.
Large natural lake dammed by lava flow at N end; lake bordered by marsh, dry meadow and riparian habitat, surrounded by ponderosa and lodgepole pine forests; nesting Bald Eagle and Osprey; nesting waterbirds include Cinnamon Teal, Ring-necked Duck, rails, and Western and Eared Grebes; other nesting species include Western and Mountain Bluebirds, Yellowheaded Blackbird, and numerous flycatchers; fall migration excellent for waterbirds, with regular gulls, loons, grebes, and many waterfowl; numerous trails in area; loop road follows W side of lake for viewing various habitats.
Deschutes NF, Bend RD. Exit Hwy 97 S at Vandevert Rd; W 1 mi; L on Huntington Rd 1.1 mi to Fall River Rd (FR 42); R 10.1 mi to campground; park in day use area.
Crystal-clear spring-fed river with riparian habitat surrounded by mature
ponderosa pine forest; easy trail leads 0.8 mi to head of river; nesting Dusky Flycatcher, Western Wood-Pewee, Hermit Thrush, Spotted Towhee; resident Mountain Chickadee, nuthatches, Red Crossbill, and Steller’s Jay.

121.
Oregon State Parks. From La Pine, 7.9 mi N on Hwy 97 to L on State Park Rd; 4 mi to R at park entrance. Riparian habitat along Deschutes River at S end of park and Fall River at N end, surrounded by ponderosa pine forest; resident species include Red Crossbill, Mountain Chickadee, all three nuthatches, Brown Creeper, Whiteheaded Woodpecker, and all three accipiters; nesting species include flycatchers, Cassin’s Vireo, and Western Tanager in forest, and swallows, Warbling Vireo, Black-headed Grosbeak, Bullock’s Oriole, and Yellow Warbler along river; home to largest ponderosa pine in Oregon, at 162 feet and approx 500 years old.
Deschutes NF, Fort Rock RD. From Bend, 22.1 mi S on Hwy 97 to L on FR 21; 3 mi to L on FR 2120; 2.4 mi to L on 9736; campground across creek on L. Lodgepole pine forest on Paulina Creek; nesting Green-tailed Towhee, American Dipper, Common Nighthawk, Vesper Sparrow.
123. Paulina Lake Campground
Deschutes NF, Fort Rock RD. From Bend, 22.1 mi S on Hwy 97 to L on FR 21; 13.4 mi to L into campground. Lakeside wetland surrounded by lodgepole and subalpine forest; lake hosts concentration of diving ducks in migration; good for migrating gulls, terns, andCommonNighthawk;wetlandhosts nesting Red-winged Blackbird, Marsh Wren, Common Yellowthroat; FR 21 not plowed in winter.
Sponsor: Leupold & Stevens, Inc.
124. Paulina Peak
Deschutes NF, Fort Rock RD. From Bend, 22.1 mi S on Hwy 97 to L on FR 21; 13.4 mi to R on FR 500; 4.25 mi up very steep, rocky road to lookout at summit.
Premiere location for migrating raptors, especially in fall; nesting Gray-crowned Rosy-Finch, Violet-Green Swallow, and Rock Wren.
Sponsor: National Forest Foundation
125. Cinder Hill Campground, East Lake
Deschutes NF, Fort Rock RD. From Bend, 22.1 mi S on Hwy 97 to L on FR 21; 17.5 mi, past Paulina Lake to East Lake Resort; 0.8 mi on FR 700 to day use parking near campground.
Wetland on shore of large lake, surrounded by lodgepole pine and subalpine forest; resident forest species such as Red Crossbill, nuthatches, Mountain Chickadee, Steller’s Jay, Clark’s Nutcracker; nesting species include Bald Eagle, Osprey, Williamson’s Sapsucker, warblers, flycatchers, Pine Siskin, Cassin’s Finch, Green-tailed Towhee and Hermit Thrush.
Crescent Creek Mouth, Little Deschutes
Deschutes NF, Crescent RD. From La Pine, 12.1 mi S on Hwy 97 to R on FR 62; 0.5 mi to unsigned R at gravel rd; 0.3 mi to parking at end of road; to view
from N side of river, take FR 62 2.5 mi from Hwy 97; take first R after crossing Crescent Creek onto gravel rd; 2 mi to parking at end of road.
Excellent riparian habitat with dense willow, alder, and aspen bordered by mixed conifer and pine forest; one of few sites in Oregon for nesting Northern Waterthrush; nesting Yellow Warbler, WillowandOlive-sidedFlycatchers,and Black-headed Grosbeak; very good for migrating songbirds; hike up or downstream on both sides of river.
Sponsor: National Forest Foundation
Creek
Deschutes NF, Crescent RD. From downtown Crescent, R on Crescent Cut-off (FR 61) 8.3 mi to campground entrance; park in widest parking areas. Dense riparian habitat surrounded by lodgepole pine and mixed conifer forest; nesting Northern Waterthrush; other nesting songbirds include Hermit Thrush, MacGillivray’s Warbler, Chestnut-backed and Mountain Chickadees, and Olive-sided Flycatcher; trail follows creek up and downstream from campground.
Sponsor: U.S. Forest Service, Region 6
128. Bingham Park
Klamath County Parks. From downtown Crescent, at S Hwy 97, R (W) 0.5 mi on Crescent Cut-off (FR 61) to park entrance on R.
Dense riparian habitat surrounded by pine forest and grassland; excellent for nesting Northern Waterthrush, as well as Yellow Warbler, Willow Flycatcher, Common Yellowthroat, and Warbling Vireo; high concentration of migrating songbirds; resident Mountain Chickadee, Red-breasted Nuthatch, and Wood Duck, plus migrant Cinnamon and Green-winged Teal; bird in and around campground along Little Deschutes River and adjacent small ponds.









































https://www.visitbend.com/food-drink/restaurants/food-carts/
https://www.google.com/search?q=food+carts+near+me&rlz=1C1GCEU_enUS874US875&oq=food+ca rts+&aqs=chrome.2.69i57j0i512j0i457i512j0i402j46i175i199i512l2j0i512l4.9132j0j15&sourceid=chrom e&ie=UTF-8
https://www.menupix.com/oregon/cn/158/370037/Food-Trucks-Prineville
https://www.google.com/search?q=food+trucks+in+sisters+oregon&rlz=1C1GCEU_enUS874US875&ei =nMxVYpS4Ns2dkPIPufeDoAg&oq=food+trucks+in+Sisters&gs_lcp=Cgdnd3Mtd2l6EAEYADIFCAAQgAQ yBQgAEIYDMgUIABCGAzoLCC4QgAQQxwEQrwE6BggAEBYQHkoECEEYAEoECEYYAFAAWPcKYNAiaABw AXgAgAHRAYgBugmSAQUwLjYuMZgBAKABAcABAQ&sclient=gws-wiz
https://www.google.com/search?q=food+trucks+in+madras&rlz=1C1GCEU_enUS874US875&ei=nMxV YpS4Ns2dkPIPufeDoAg&ved=0ahUKEwiU9pOLm4_3AhXNDkQIHbn7AIQQ4dUDCA8&uact=5&oq=food +trucks+in+madras&gs_lcp=Cgdnd3Mtd2l6EAMyBggAEBYQHjIFCAAQhgMyBQgAEIYDOgcIABBHELADO goIABBHELADEMkDOggIABCABBDJAzoFCAAQkgM6BQgAEIAEOgsILhCABBDHARCvAUoECEEYAEoECEYY AFDeEliMGmDVHGgBcAF4AIABrQGIAZoHkgEDMC42mAEAoAEByAEHwAEB&sclient=gws-wiz https://www.google.com/search?q=food+trucks+in+culver+oregon&rlz=1C1GCEU_enUS874US875&ei =bM1VYqjDC_bTkPIP_Zuj2AY&ved=0ahUKEwioqYDum4_3AhX2KUQIHf3NCGsQ4dUDCA8&uact=5&oq =food+trucks+in+culver+oregon&gs_lcp=Cgdnd3Mtd2l6EAMyBQghEKsCOgoIABBHELADEMkDOgcIABB HELADOgYIABAWEB46BQgAEIYDOgUIIRCgAUoECEEYAEoECEYYAFD2BljNDmCFEGgBcAF4AIABswGIAcQ JkgEDMC43mAEAoAEByAEEwAEB&sclient=gws-wiz
https://pdx.eater.com/maps/best-restaurants-bend-oregon-guide
https://www.visitbend.com/food-drink/restaurants/vegan-vegetarian-gluten-free/
https://www.google.com/search?q=healthy+eats+in+central+oregon&rlz=1C1GCEU_enUS874US875& ei=Vs5VYo6xJp_TkPIPjIqV4AI&ved=0ahUKEwiOtOXdnI_3AhWfKUQIHQxFBSwQ4dUDCA8&uact=5&oq =healthy+eats+in+central+oregon&gs_lcp=Cgdnd3Mtd2l6EAM6BggAEAcQHjoICAAQBxAFEB46BQgAEI YDSgQIQRgASgQIRhgAUABYjyhg6D5oAnABeAGAAe8DiAHND5IBCjIuMTAuMS4wLjGYAQCgAQHAAQE &sclient=gws-wiz
https://forgetsomeday.com/things-to-do-in-bend-oregon-with-kids/ https://www.cascadiakids.com/things-do-kids-bend-oregon/
https://oldmilldistrict.com/things-to-do-with-kids/
https://www.visitbend.com/things-to-do/activities/kid-family-friendly-activities/
https://visitcentraloregon.com/dining/food/farmers-market/
https://www.localharvest.org/prineville-or/farmers-markets
https://hdffa.org/its-farmers-market-season/
https://redmondoregonfarmersmarket.com/
https://www.sistersfarmersmarket.com/
https://www.localharvest.org/redmond-or/farmers-markets
https://www.madrassaturdaymarket.com/
https://www.visitbend.com/food-drink/restaurants/brewery-pub/
https://www.google.com/search?q=breweries+in+central+oregon&rlz=1C1GCEU_enUS874US875&oq =&aqs=chrome.0.69i59i450l8.68566434j0j15&sourceid=chrome&ie=UTF-8
https://visitcentraloregon.com/dining/drinks/breweries/redmond/ https://beermebend.com/bend-oregon-brewery-locations/
https://www.google.com/search?q=prineville+breweries&rlz=1C1CHBD_enUS1025US1025&oq=prine ville+breweries&aqs=chrome..69i57j0i22i30j0i390i650.4688j0j7&sourceid=chrome&ie=UTF-8
https://www.google.com/search?q=breweries+in+madras+oregon&rlz=1C1CHBD_enUS1025US1025& oq=breweries+in+madras+oregon&aqs=chrome..69i57.6398j0j4&sourceid=chrome&ie=UTF-8
https://www.niche.com/k12/search/best-private-schools/c/deschutes-county-or/ https://movingtobend.com/relocation-blog/2021/a-guide-to-public-and-private-schools-in-bendoregon/
https://www.countyoffice.org/bend-or-private-schools/
https://www.visitbend.com/things-to-do/activities/winter-fun/
https://visitcentraloregon.com/things-to-do/activities/winter/
https://www.google.com/search?q=winter+activities+central+oregon&rlz=1C1CHBD_enUS1025US102 5&oq=winter+activities+central+oregon&aqs=chrome..69i57j0i22i30l2j0i390i650l3j69i60l2.14288j0j4 &sourceid=chrome&ie=UTF-8
https://www.riversplacebend.com/games
https://beermebend.com/bend-oregon-brewery-locations/
https://www.bendsource.com/bend/bingo-with-bren-supporting-saving-grace/Event?oid=16320982
https://www.visitbend.com/food-drink/astro-lounge/
https://theyardfoodpark.com/events/
https://www.silvermoonbrewing.com/events
https://www.bendsource.com/bend/tuesday-night-trivia-in-redmond/Event?oid=18829261
https://visitcentraloregon.com/calendar-of-events
https://www.bendsource.com/bend/EventSearch?v=g#grid
https://www.visitbend.com/event-calendar/





Where the commute times are short and breathtaking views await you at every turn. The region features dramatic snow-capped mountain ranges and high desert plateaus within Deschutes, Crook and Jefferson counties.
Located halfway between San Francisco and Seattle, one of the hottest small metropolitan markets in the U.S. is Central Oregon. In the last decade the region has seen some of the highest sustained GDP growth, job growth and population growth. With these factors in mind, The Milken Institute has named the region the best small metropolitan in the nation four years in a row – an unprecedented feat no other location has ever received.
Central Oregon is pulling extraordinary talent and capital, fostering a diverse and highly entrepreneurial business ecosystem. Deschutes County received the most investment in Oregon in 2022, according to Smartasset. Lured by natural scenic beauty and big city amenities without big city costs or hassle, people are learning that having a true work-life balance
possible. Employees are
and companies are more innovative and capital-efficient. All in a region dominated by small to mid-sized firms that compete
and win.
Regional Population: 253,761
(2021 estimates from Portland State University)
Regional Labor Force: 123,953
(Seasonally adjusted total for 2021 from Oregon Employment Department)
(2020 estimate from the Bureau of Economic Analysis)
*Bureau of Economic Analysis data is only available for the Bend-Redmond MSA
$54,390

Access to and from our region has never been easier with five national carriers flying up to 54 segments daily to nine international airports. Central Oregon is served by one of the most vibrant and successful regional airports in the country at Redmond (RDM).

In-migration has been the dominating factor in the region’s growth. With millions of visitors annually, Central Oregon continues to attract thousands of new residents from all over the country each year for it’s outdoor amenities, arts and culture opportunities, quality healthcare, and a growing education system.
“Central Oregon’s economic growth is stronger than the state and nation overall. The primary reason is the high quality of life that attracts new residents. Faster population growth means local businesses can hire and expand at a faster rate due to the influx of working-age migrants and the growing labor force.”
Josh Lehner Economist, Oregon Office of Economic Analysis
With over 4.5 million visitors flocking to Central Oregon each year, it proves a great introduction to our region’s culture, lifestyle and a great first impression for businesses. Central Oregon and the Bend-Redmond MSA continually top the nation in population growth. In fact, Bend has been among the 15 fastest growing cities in the U.S. five of the last six years. While our population grows, so does our workforce. We’re cultivating a community that has consciously decided to live here and attracting new talent pools to serve the increasing demand for labor.

We guide employers outside the region through the relocation process as a resource for regional data, incentives, talent, site selection, and A-Z problem solving.
Oregon offers more incentive programs to traded-sector* businesses than Washington or California. Even without taking those incentives into consideration, Oregon is still a more cost-effective choice for doing business. Contact EDCO for a detailed look at the business costs in Central Oregon. *companies that sell their products or services outside the area, bringing new jobs and capital investment to the area
Electricity Rate (¢/kWh)
Natural Gas Rate ($/kcf)
& Local Sales Tax Rate




Sources: Tax Foundation 2022, US Energy Information Association (Natural Gas) 2021, US Energy Information Association (Electricity) 2021

“While our move to Central Oregon may have started for personal reasons, it has allowed us to do more with our business than we thought possible. It has allowed us to hire amazing employees – the available talent here in Central Oregon has proven to be of the highest caliber and chocked full of integrity. Sometimes you feel like you can get lost in a big city. In Sisters we have been able to be part of a growing and nurturing business community.” - Wyatt Woods, President and Owner, Holy Kakow

Founded in Portland in 2009, Holy Kakow creates premium organic chocolate sauces and syrups that are used in coffee shops across the nation and globe. After running the business for nearly a decade, Founder Wyatt Woods decided a move to the City of Sisters would be beneficial for his family. The next step was to figure out how to move the successful business. After EDCO’s help with site selection, incentives, permitting, and more, Holy Kakow was able to move their operations into a new building in the Sisters Business Park. The relocation allowed them to scale for growth, even during the pandemic, expanding their employment from three to eight in the span of a couple months. Holy Kakow have their sights set on new product launches. With the backing of the community and the growing number of craft food businesses in Sisters, the company is surrounded by a strong business ecosystem to help them succeed.
Get connected to our growing industry clusters that include: craft brewing/distilling, bioscience, outdoor products, technology, aerospace, and advanced manufacturing.
We link you to tools to help your company including: connections to the local supply chain, talent acquisition, incentives, business finance, market intelligence, and more.
Central Oregon offers a pro-business environment with several incentives and supportive business finance options to encourage economic growth. Oregon also allows corporate net operating losses to be carried forward for up to 15 years without a cap, which can meaningfully reduce your business’s tax liability.
We help you navigate the regional and local real estate market, infrastructure and permitting processes.

For businesses looking to relocate, Central Oregon has a reputation for welcoming new companies. The region offers a tightknit community without sacrificing talent, education opportunities, or quality healthcare. EDCO’s network can help your business streamline decisions when choosing a new home.
We mentor and advise scalable young companies from concept to exit on issues such as access to capital, critical expertise and business strategy.

“The support we’ve received from EDCO and other organizations has been tremendous and allowed us to grow and develop our network and further develop our business in a short time. Their proactive approach to assisting and encouraging entrepreneurship in this region has been paramount to some of the large strides we’ve taken this year.”
- Ryan Goodwin, Founder & Lead Designer Engineer, SherpTek
SherpTek was among the first tenants to take occupancy in the redeveloped Woodgrain mill site, re-branded the “Prineville Campus,” where they design and manufacture modular truck bed systems and accessories to improve the functionality and adaptability of pickup trucks for day-to-day use and outdoor adventures.

SherpTek is an innovator in the automotive/outdoor industry. Their Founder and Lead Design Engineer, Ryan Goodwin, uses composite aerospace materials and construction methods to create a lightweight, yet super durable, precision-engineered product. SherpTek was one of Prineville’s first companies to pitch at EDCO’s Central Oregon PubTalk, an event that showcases local entrpreneurs. The company has been and continues to be supported by EDCO as well as many local and State partners in areas such as business financing, incentive utilization, internship coordination, staffing, network connections, scalability, and pitch coaching. Despite having just moved their start-up to Prineville earlier this year, SherpTek has ingrained itself into the entrepreneurial fabric of the region. They are already expanding their manufacturing facilities, hiring additional employees and training local high school students on their specialized processes.

A driving force for our economic performance is a collaborative and inclusive entrepreneurial community. This is supported via the number of new business registrations, which has outpaced far larger cities. In 2022, AdvisorSmith ranked Bend fifth for Top Midsize Cities where Americans Start the Most Businesses at 3.79 businesses started per 1,000 residents.
The region is large enough to provide resources and access to capital that help new entrepreneurs get started, while still being small enough that those resources are interconnected to support businesses as they grow. Unique to Central Oregon, given its size, are the numerous community resources and assets that are available. Assets managed by EDCO include monthly Central Oregon PubTalks, the Stable of Experts mentorship program and the largest Angel Conference in the PNW, the Bend Venture Conference.
Source: WalletHub, April 2022.

Both Redmond and Bend made WalletHub’s Top 30 list for best cities to start a business at #16 and #17 respectively, based on an index of criteria that included business environment, access to resources and business costs. They were the only two Oregon cities to make it in the top 350 of 1,334 small cities ranked in the index.
We partner with local traded-sector companies to help them grow and expand, offering them the very same incentives and assistance as relocation projects.

“Our flagship manufacturing facility is located in Bend, nestled at the base of the Cascade Mountain Range, which also inspired the brand name. The views and outdoor amenities are unmatched, but the entrepreneurial and community support we have received from day one has been the driving factor in bringing our homegrown business sustainable success in Oregon and beyond. Our employees, customers and partners are what make Bend home and inspire continued growth.” - Affton Coffelt, Founder and CEO, Broken Top Brands

Broken Top Brands creates handmade, sustainable, eco-conscious candles and body products that have been featured in National media outlets such as BuzzFeed, Oprah Daily and HuffPost. Started in 2015 out of Founder Affton Coffelt’s kitchen in Bend as Broken Top Candle Co., the company has now blossomed to 19 employees and recently moved into an 18,000 SF manufacturing facility.
Broken Top Brands is currently selling an array of all natural, biodegadble and paraben-free lifestyle products in the USA, as well as Canada and parts of Europe. The brand’s market is primarily wholesale with an organically growing e-commerce presence. Customers can find their products in over 2,800 retail locations nationally and internationally, with Whole Foods being their largest account.
Broken Top Brands was attracted to starting a business in Central Oregon for its quality of life and supportive community. Due to it’s unique company culture and location, the business has had success retaining employees which has enabled its continued expansion. Although supply chain timelines and transportation costs have been challenges through the pandemic, Broken Top Brands has sustained steady growth and continues to partner with EDCO, 1% for the Planet, One Tree Planted, Opportunity Knocks, Bend Chamber, and Business Oregon to serve their loyal customer base.
- MILKEN INSTITUTE, 2022
Private sector employment grew by 47% in Central Oregon over the last 10 years, which is significantly faster than the statewide growth of around 20%. Employment in the private sector is projected to grow by 12% across the region between 2019 and 2029. -

Now in its fourth year, Youth CareerConnect (YCC) continues to connect employers and students with real work experience throughout Central Oregon. By supporting internships and experiential learning opportunities in the community, YCC has made it simpler for schools and employers to connect while fostering a work-ready labor force for years to come.

YCC Internship Coordinators host office hours at schools across the region to help students with professional goal setting, resume writing, interview skills, and internship placement for high school, college and alternative education students. Since its inception in 2017, YCC has built a rolodex
over 360 business partners and placed more than 493 students in meaningful internships. Personalization for both the business and the student is at the core of what YCC does, and why it continues to thrive. To get involved with Youth CareerConnect, visit: youthcareerconnect.org

“Central Oregon enjoys a truly collaborative environment. Everyone is not only supportive of each other, but excited to see one another grow. We share the same trails, rivers and slopes and ultimately share a similar vision to help the region succeed.”
- Scott Allan , Former CEO and GM, Hydro Flask
The combination of a collaborative culture, a supportive attitude among government and economic development partners, plus a location that attracts talent and investment all help Central Oregon compete nationally.

Redmond Municipal Airport (RDM; www.flyrdm.com ) provides commercial air service with an average of 27 daily outbound flights to Burbank, Denver, Los Angeles, Palm Springs, Phoenix, Salt Lake City, San Diego, San Francisco, and Seattle via five carriers (Alaska, American, Avelo, Delta, and United).

Burlington Northern-Santa Fe (BNSF), Union Pacific (UPRR) and the City of Prineville Railway (COPR) provide direct connections for shipping to any market in the United States, Canada and Mexico.

U.S. Highways 97 and 20 are two of the State’s major trucking routes, with access to major metro areas with connections to Interstate 5 (N-S) and Interstate 84 (E-W).
SanFranciscoLosAngeles Seattle Portland Denver Bend
The Central Oregon average commute time is 24 minutes each way, saving the average worker nearly one work week per year !
Source: Census.gov 2021

Most of our region has been newly built in the past two decades, making Central Oregon’s telecommunications infrastructure one of the Northwest’s most technologically advanced. Businesses and telecommuters benefit from reliable fast data speeds and upload times.

Central Oregon is well-recognized for its high level of education, with some of the best K-12 public schools in the nation. In 2021, the Bend-La Pine school district’s average SAT scores surpassed the national average by over 180 points. Additionally, our higher education opportunities abound. From Oregon State University-Cascades’ ongoing expansion, to Central Oregon Community College’s four campuses in the region, there are opportunities for all to obtain a quality education.

St. Charles Health System is the largest healthcare provider in the region, and is also the largest employer with over 4,500 employees across the tri-county area. The hospital received HealthGrade’s 2021 Pulmonary Care Excellence Award™ and offers a network of more than 100 clinics and specialty practices throughout the community.

According to the Oregon Employment Department, 76% of Oregon establishments have between one and nine covered payroll employees and the average private establishment employs around 11 people.
Still, a number of large employers operate successfully here, tapping into Central Oregon’s ever-expanding workforce, the overall low cost of doing business and business-friendly local governments. This year, the top 50 private companies collectively employ nearly 21,000 Central Oregonians, or roughly 21.9% of the region’s current total employment.
• More than 100 businesses in advanced manufacturing make their own products here in Central Oregon, as well as provide a critical role in the supply chain for other OEM in aviation/aerospace, brewing & distilling, specialty food processing, and automotive.
• Additive and subtractive machining of metals and plastics, advanced welding and metal fabrication, specialty metals casting, production printing and publishing, as well as specialized machinery and equipment continue to advance locally.
• The largest employers in this industry group include Precision Cast Parts (PCC) Schlosser, Keith Manufacturing and BasX Solutions.






• The production of light aircraft in Central Oregon spans back more than 30 years and over that time, 25 aircraft have moved through the process of conceptual design to flight.
• Composite (carbon fiber) fabrication and innovation aircraft are the region’s specialty offering a cluster of world-class talent and capabilities here.
• Some of the most successful flight training programs in the country are located in the region with both fixed-wing and helicopter flight schools that serve the global industry, including Leading Edge, Hillsboro Aero Academy and Central Oregon Community College.









• Producing everything from titanium implants to cutting edge drug research, our bioscience industry has been experiencing year-over-year double digit employment growth for nearly a decade.
• Quietly, Central Oregon’s bioscience industry has proven capable of attracting world class scientific and technical talent that has made companies here competitive on a global scale.
• Swiss-based pharmaceutical research and manufacturer Lonza is the largest bioscience company in the region, and among the largest in Oregon, with two campuses and additional operations scattered across the region.






• Central Oregon is home to breweries both large and small, with Deschutes Brewery’s production placing it in the top 10 largest craft breweries in the U.S.
• For Oregon, which has 312 craft breweries, nearly one-third of the largest 30 brewers by volume, are located in Central Oregon – testimony to the quality of product produced here.
• The region is also home to a dozen craft cideries and distilleries, two of which, Bendistillery and AVID Cider, are the second largest in the state in their respective sectors.






• After 100+ years and considerable systemic change across the industry, the building products sector is still Central Oregon’s largest traded-sector employer.
• Businesses in this sector compete and win on a global scale, innovating and automating as global leaders in their respective sub-industries, including wood doors and windows, mouldings, cabinetry, furniture, and musical instruments.
• The region’s largest manufacturer and second largest private employer, Brightwood Corporation, is based in Madras, with operations in Redmond, Culver and Prineville. The company has been growing in Central Oregon for over a half century.








• Central Oregon is home to a diverse group of businesses in a variety of subsectors, including rock climbing, water sports, hydration, hiking, backpacking, recreational vehicles, road and mountain biking, outerwear, and software.
• The region is home to the Oregon Outdoor Alliance (OOA) and Oregon’s Office of Outdoor Recreation, both of which are dedicated to connecting and cultivating the industry.
• Bend Outdoor Worx is the country’s first dedicated startup accelerator for the industry and offers investment, exposure and access to vetted resources for outdoor innovators.






GREAT CITIES IN THE U.S. FOR OUTDOOR ADVENTURES - WASHINGTON POST, 2022
• Professional services are incrasingly being exported out of the tri-county region including engineering, architecture, accounting, HR, recruitment, creative services, advertising, and publishing to name a few
• The creative, marketing and advertising sub-sectors of this industry are particularly strong in Central Oregon with firms being attracted to the region from as far away as Barcelona, Spain.









• Including software companies, electronics manufacturers, alternative energy and data centers, the region has over 130 tech companies employing nearly 3,000 people.
• Five dozen software companies call the region home, more often than not locating their headquarter operations here.
• Prineville is a growing data center hub and is home to Meta’s first and largest data center campus, a 4.5 million square foot complex. Central Oregon offers a unique advantage for data centers due to its available infrastructure, affordable industrial land, multiple telecom carriers, desert climate, and globally competitive tax incentives.






Located on the eastern slopes of the Cascade Range, where vast forests give way to the arid high desert, Central Oregon boasts year-round adventure and a rare mix of city amenities and world-famous outdoor recreation. The region offers the slower speed of a small town with access to toprated healthcare and infrastructure to support continued economic growth.
-MONEY, 2019 & LIVABILITY, 2020

#2 MOST FITNESS FRIENDLY PLACE IN THE U.S.
-SMARTASSET, 2022
#10 BEST SMALL CITIES FOR BUSINESS
-U.S. CHAMBER OF COMMERCE, 2022
M T.
BACHELOR AMONG BEST SKI AREAS IN THE U.S. -AFAR, 2020
#10 BEST PERFORMING SMALL CITIES & #1 FOUR YEARS IN A ROW
-MILKEN INSTITUTE, 2022
30+ Golf Courses 31 Breweries & Counting Flourishing Arts & Culture Scene Miles and Miles of Trails




#4 BEST MOUNTAIN TOWNS IN AMERICA
-THRILLIST, 2021
300 Days of Sunshine

Founded in 1981, EDCO is a non-profit corporation supported by private and public members and stakeholders. Our mission is to create a balanced and diversified economy with a strong base of middle-class jobs in Central Oregon.
To do this, we focus on helping companies do the following:
MOVE. We guide employers outside the region through the relocation process as a resource for regional data, incentives, talent, site selection, and more.
START. We mentor and advise scalable young companies from concept to exit on issues such as access to capital, critical expertise and business strategy.
GROW. We partner with local traded-sector companies to help them grow and expand.
• Upcoming networking events, luncheons, conferences, and more
• EDCO Info Hub: current comprehensive data for Central Oregon
• Stable of Experts: a network of seasoned professionals with a passion for start-ups and small businesses
• Success stories from regional businesses

