The Case Study of Isothermal Adsorption of Phenol, O-cresol on Natural Charcoal’s and Applications

Page 1

10 XII December 2022 https://doi.org/10.22214/ijraset.2022.48281

ISSN: 2321-9653; IC Value: 45.98; SJ Impact Factor: 7.538 Volume 10 Issue XII Dec 2022- Available at www.ijraset.com

The Case Study of Isothermal Adsorption of Phenol, O-cresol on Natural Charcoal’s and Applications

Ravibabu Ambadas Tayade1 , Miss. Aparajita Chandrabhan Kanojiya2

1, 2

Abstract: This Activated carbon (AC) was synthesized using inexpensive Coconut shell and Coconut coir’s by a simple and efficient method. The adsorption experiments were well incorporated on the AC surface by the reactions of Aromatic chemical (o-cresol and phenol) at low temperatures. The complete formation and distribution nanoparticles on the surface of AC have been analysed and explained by different analytical techniques such as TG-DTA, NTA, UV-VISIBLE, DRS, FTIR, XRD. Further, the adsorption property was investigated through adsorption kinetics, adsorption isotherms, and thermodynamics parameters. The maximum adsorption capacity (Q max) of adsorbent was displayed at Coconut shell charcoal rather than coconut coir’s charcoal for both aromatic compounds. The application of the Coconut shell charcoal and coconut coir’s have made to adsorption study of Mithi river and Industrial water inlet collected from industry. The importance and role of the AC were examined by a comparative adsorption study of the previous work done. The adsorption studies confirmed that adsorption of adsorbates takes place via the formation of hydrogen bonding, π-π interactions and metal coordination between adsorbent and pollutants. Overall results suggested that AC-Coconut shell and Coconut coir’s is a prominent adsorbent for efficient removal of pollutant from polluted water.

Keywords: Activated charcoal, Coconut shell charcoal, Coconut coir’s charcoal, Aromatic compound, Adsorption Isotherms, Characteristics.

I. INTRODUCTION

A major problem in the development of suitable treatment technologies for pollutants is the large number of compounds to be taken into consideration consisting essentially of infinite combination of these substances which may be found in any given water stream. Activated charcoal is charcoal that has been treated with oxygen at very high temperatures to make it more porous. This treatment changes its internal structure, reducing the size of its pores and increasing its surface area. So much additional surface area is created during the activation process that 50 grams of activated charcoal (which is about the weight of 20 U.S. pennies) has 17.5 times more surface area than a full-size football field, according to a 2016 study in the British Journal of Clinical Pharmacology. The charcoal’s porous texture has a negative electrical charge, which causes it to attract Positively charged molecules, such as toxins and gases. When liquids or gases pass through this activated charcoal, they bind to it through a process known as adsorption. Activated charcoal may help filter water by removing contaminants, suspended solids, and microorganisms like bacteria - all without affecting the water’s pH or taste. Adsorption is a reversible reaction; at a given solute concentration. Adsorbates can attach themselves onto surfaces in two ways. In physisorption (physical adsorption), there is a weak van der Waals attraction of the adsorbates to the surface. During the process of physisorption, the chemical identity of the adsorbate remains intact. Physisorption is a spontaneous process (∆G & lt; 0), since ∆S is negative, so ∆H be exothermic. In chemisorption (chemical adsorption), the adsorbates stick to the solid by the formation of a chemical bond with the surface. This interaction is much stronger than physisorption and in general, chemisorption has more stringent requirements for the compatibility of adsorbate and surface than physisorption [1-4].

II. MATERIALSANDMETHODS

A. Materials

All the chemicals used were of the analytical grade (AR) and with of highest purity. Coconut shell activated charcoal powdered, Coconut coir’s activated charcoal powdered,5-6 stoppered reagent bottles, thermostat, burette, 4 pipettes, measuring flask, 4 funnels, 4 burettes (50 ml), filtering papers, rubber stoppers, 4 titrimetric conical flasks, 0.1M NaOH, Phenol, o-cresol, Oxalic acid, Sodium Hydroxide, phenolphthalein.

International Journal for Research in Applied Science & Engineering Technology (IJRASET)
1718 ©IJRASET: All Rights are Reserved | SJ Impact Factor 7.538 | ISRA Journal Impact Factor 7.894 |
Physical Chemistry Department The Institute of science, Dr. Homi Bhabha State University, Mumbai-400 032, Maharashtra, India

ISSN: 2321-9653; IC Value: 45.98; SJ Impact Factor: 7.538 Volume 10 Issue XII Dec 2022- Available at www.ijraset.com

B. Methods

1) Preparation of Natural Charcoal: Coconut Shell-CS, Coconut Coir’s-CC

a) Pre-treatment: 

CS and CC weighted about 193.47gm and 14.739 gm respectively.  Three washing treatment to CS and CC with minimum distilled water  Took desired quantity of CS, CC with minimum distilled water for heating/boiling for 30 min and 10 min respectively  Dried naturally for 1 hr 30 min under sunlight.

b) Carbonation: Table 1: Carbonation Of CS At 4000C And Carbonation Of CC At 2500C For 1hr 30 Min And 1hr Respectively

Sr.No. Material Weight of Raw Material in gm Weight of Carbonated Charcoal in gm Weight loss in gm

1. CS 9.669 7.126 2.543

2. CC 4.599 2.815 1.784

2) Preparation of Stock Solution of Phenol in water: Approximately 0.1 M solution of phenol was prepared by dissolving 4.5429 ml of purified phenol in freshly boiled and called distilled water and diluting to 500 ml in volumetric flask.

3) Preparation of Stock Solution of o-cresol in water: Approximately 0.1 M solution of o-cresol was prepared by dissolving 5.6076 ml of purified phenol in freshly boiled and called distilled water and diluting to 500 ml in volumetric flask.

4) Preparation of Phenolphthalein indicator: Weigh 0.05 g Phenolphthalein add 50 ml 95% ethanol (9.5ml ethanol + 0.5ml distilled water) and add 50 ml distilled water to get Solution of Phenolphthalein indicator.

International Journal for Research in Applied
)
Science & Engineering Technology (IJRASET
1719 ©IJRASET: All Rights are Reserved | SJ Impact Factor 7.538 | ISRA Journal Impact
7.894 |
Factor
Fig 1 Coconut Shell Charcoal Powder and Coconut Coir’s Charcoal Powder

ISSN: 2321-9653; IC Value: 45.98; SJ Impact Factor: 7.538 Volume 10 Issue XII Dec 2022- Available at www.ijraset.com

III. EXPERIMENTAL

A. Standardization of NaOH

Prepare 250 cm3 approximately 0.1M Sodium hydroxide (0.45g) solution and 100 cm3 0.05M oxalic acid(1g) solution.

B. Prepare Aqueous Solution Of Phenol/O-Cresol Into Numbered Flasks Following The Scheme Given In The Table

Table 2: Total Volume Of Each Solution Is 50 Ml. Use Flasks Fitted With Stoppers. Flask no. V(Phenol) or (o-cresol) [cm3] V (distilled water) [cm3] 1 20 0 2 15 5 3 10 10 4 5 15

C. Procedure

1) Weigh out accurately about 2g finely ground activated charcoal in each of the thoroughly cleaned and dried bottles, numbered as 1to 4.

2) Prepare 500 ml approximately 0.1M Phenol/o-cresol solution by taking distilled water and diluting it to 500cm3 in a volumetric flask.

3) By means of burettes, add 20, 15,10, 5 cm3 of the acid solution and 0, 5, 10,15 of distilled water in bottle no.s 1,2,3,4 respectively.

4) Shake the bottles vigorously and leave them in a thermostat at the desired temperature for about one hour.

5) Titrate standard oxalic acid solution with sodium hydroxide solution and find the exact concentration of the latter.

6) Then titrate phenol by using phenolphthalein indicator with standardised NaOH, and determine the exact concentration of the solution.

7) Filter the solutions of each of the bottles through different small dry filter papers, and collect the filtrates in properly labelled flasks.

8) Reject first 5-10 cm3 of the filtrate in each case.

9) Take an aliquot of each filtrate (5 cm3 from the first and 2nd ,10cm3 from 3rd and 4th and titrate with standardised solution.

10) Calculate the equilibrium concentration of the phenol/o-cresol in each bottle.

11) Tabulate your observation n results.

Bottle no. Amount of Charcoal in gm (m)

Table 3: Titration For Coconut Shell Charcoal: Phenol

Initial conc.of phenol solution mol/dm-3 (Co)

Vol.of filtrate taken (V)

Vol.of 0.1M NaOH added

Equilibrium conc. Of acid in mol dm-3 (Ce)

Phenol adsorbed x g

x/m Logx/m Log Ce

1 2 0.1 5 0.4 4 0.5236 0.2618 -0.5820 0.6020

2 2 0.1 5 0.6 6 0.8054 0.4027 -0.3950 0.7781

3 2 0.1 10 0.4 2 0.514 0.257 -0.5900 0.3010 4 2 0.1 10 0.1 0.5 0.288 0.144 -0.84160.3010

International Journal
Research
)
for
in Applied Science & Engineering Technology (IJRASET
1720 ©IJRASET: All Rights are Reserved | SJ Impact Factor 7.538 | ISRA Journal Impact Factor 7.894 |

International

for Research in Applied Science & Engineering Technology (IJRASET

ISSN: 2321-9653; IC Value: 45.98; SJ Impact Factor: 7.538 Volume 10 Issue XII Dec 2022- Available at www.ijraset.com

Calculate the actual concentration of Phenol after adsorption (Ce) in the flask no.1-4, respectively equation: Ce = Xi o CT/ V [mol dm-3 ]

Where, Xio - is the volume of the titrant before adsorption (NaOH)- 50cm3 CT – is the volume of the titrant (NaOH) V – is the volume of the analyte from tab

Fig 2 : Plot X/M Values Versus Corresponding Ce Values As Abscissae

In order to test the validity of Freundlich adsorption isotherm, plot log x/m values as ordinate against log Ce values as abscissae. The slope and the intercept of the plot will give 1/n and log K respectively;

Fig 3: plot log x/m values as ordinate against log Ce values as abscissae. Hence n and K can be calculated.

Journal
)
1721 ©IJRASET: All Rights are Reserved | SJ
7.538 | ISRA Journal
7.894 |
Impact Factor
Impact Factor

Bottle no. Amount of Charcoal in gm (m)

Science & Engineering Technology (IJRASET

ISSN: 2321-9653; IC Value: 45.98; SJ Impact Factor: 7.538 Volume 10 Issue XII Dec 2022- Available at www.ijraset.com

Table 4: Titration For Coconut Shell Charcoal: O-Cresol

Initial conc.of ocresol solution mol/dm-3 (Co)

Vol.of filtrate taken (V)

Vol.of 0.1M NaOH added

Equilibrium conc. Of acid in mol dm-3 (Ce)

o-cresol adsorbed x g

x/m Logx/m Log Ce 1 2 0.1 5 1 10 0.2878 0.1439 -0.8419 1 2 2 0.1 5 0.6 6 0.35 0.175 -0.7569 0.7781 3 2 0.1 10 0.8 4 0.3894 0.1947 -07106 0.6020 4 2 0.1 10 0.4 2 0.3298 0.1649 -0.7827 0.3010

Bottle no. Amount of Charcoal in gm (m)

Initial conc.of phenol solution mol/dm-3 (Co)

Table 5: Titration For Coconut Coir’s Charcoal: Phenol

Vol.of filtrate taken (V)

Vol.of 0.1M NaOH added

Equilibrium conc. Of acid in mol dm-3 (Ce)

o-cresol adsorbed x g

x/m Logx/m Log Ce

1 2 0.1 5 1 10 0.2062 0.1031 -0.9867 1 2 2 0.1 5 1.2 12 0.4172 0.2086 0.6806 0.0791 3 2 0.1 10 1.8 9 0.3016 0.1506 -0.8221 0.9542 4 2 0.1 10 1.2 6 0.235 0.1175 -0.9299 0.7781

Bottle no. Amount of Charcoal in gm (m)

Table 6: Titration For Coconut Coir’s Charcoal: O-Cresol

Initial conc.of ocresol solution mol/dm-3 (Co)

Vol.of filtrate taken (V)

Vol.of 0.1M NaOH added

Equilibrium conc. Of acid in mol dm-3 (Ce)

o-cresol adsorbed x g

x/m Logx/m Log Ce 1 2 0.1 5 0.8 8 0.0816 0.0408 -1.3893 0.9030 2 2 0.1 5 1.6 16 0.2416 0.1208 -0.9179 1.2041 3 2 0.1 10 1.6 8 0.238 0.119 -0.9244 0.9030 4 2 0.1 10 1.2 6 0.2212 0.1106 -0.9562 0.7781

International Journal
Research in
for
Applied
)
1722 ©IJRASET: All Rights are Reserved | SJ
7.538 | ISRA Journal
|
Impact Factor
Impact Factor 7.894

Technology (IJRASET

ISSN: 2321-9653; IC Value: 45.98; SJ Impact Factor: 7.538 Volume 10 Issue XII Dec 2022- Available at www.ijraset.com

IV. RESULTSANDDISCUSSIONS

Activated carbon (AC) was synthesized using inexpensive of Coconut shell and Coconut coir’s by a simple and efficient method with very high adsorption capacity. The adsorption experiments were well incorporated on the AC surface via the reactions of Aromatic chemical (o-cresol and phenol) at low temperatures. The complete formation and distribution nanoparticles on the surface of AC have been analysed and explained via different analytical techniques such as TG-DTA, NTA, UV-VISIBLE, DRS, FTIR, XRD. Further, the adsorption property was investigated through adsorption kinetics, adsorption isotherms, and thermodynamics parameters. The maximum adsorption capacity (Q max) of adsorbent was displayed at Coconut shell charcoal rather than coconut coir’s charcoal for aromatic compounds - phenol and o-cresol. The application of the Coconut shell charcoal and coconut coir’s have made to adsorption study of Mithi river and Industrial water inlet collected from National Peroxide Ltd. Hydrogen peroxide production industry. Moreover, the importance and role of the AC were examined by a comparative adsorption study of the previous work done.

A. TG-DTA (Thermogravimetry Differential Thermal Analysis)

1) TG-DTA of the Activated charcoal: The TG-DTA of the Activated charcoal is shown in the fig. which brought from market for study.

Fig.4 TG-DTA of Activated Charcoal

2) Coconut shell TG: Indicates that the sample of coconut shell charcoal is formed at 4000C. Due to this result a suitable temperature range for calcination was obtained, at 4000C. DTA Curve endothermic peak about 100 0C which is due to the carbonation of the coconut shell sample.

Fig.5 TG-DTA of Coconut Shell

)
International Journal for Research in Applied Science & Engineering
1723 ©IJRASET: All Rights are Reserved | SJ Impact
7.538 | ISRA Journal Impact
7.894 |
Factor
Factor

& Engineering Technology (IJRASET)

ISSN: 2321-9653; IC Value: 45.98; SJ Impact Factor: 7.538 Volume 10 Issue XII Dec 2022- Available at www.ijraset.com

3) Coconut coir’s TG: It indicates that the sample of coconut coir’s charcoal is formed at 2000C. Due to this result a suitable temperature range for calcination was obtained, at 2000C. DTA curve endothermic peak below 100 0C which is due to the carbonation of the coconut coir’s sample.

Fig. 6 TG-DTA of Coconut Coir’s

B. NTA (Nanoparticle Tracking Analysis)

1) Coconut Shell Charcoal

Fig. 7 Particle Size / Surface Area Concentration

The Nanoparticle Tracking Analysis Was performed by using The ‘NanoSight NTA LM20’ instrument which uses a laser light source to illuminate nano-scale particles. Enhanced by a near-perfect black background, particles appear individually as pointscatterers, moving under Brownian motion. Polydisperse and multimodal systems are instantly recognizable and quantifiable, as are agglomerates and contaminants. The image analysis NTA software suite allows the user to automatically track and size nanoparticles on an individual basis. Results are displayed as a frequency size distribution graph and output to spreadsheet. Particle size distribution was studied using particle size analyzer. The sample was given pre-treatment before carrying out analysis. The pre-treatment involved sonicating the sample with minimum amount of distilled water in order to reduce the particle sizes for about 10 minutes. Fig.2.1 shows that the particle size distribution is from 0 to 97nm with maximum at 53nm. In the size distribution of nanoparticles, maximum particles are observed to be of size 53nm.

International Journal for Research in Applied Science
1724 ©IJRASET: All Rights are Reserved | SJ Impact
7.538 | ISRA Journal
7.894 |
Factor
Impact Factor

2) Coconut Coir’s Charcoal

ISSN: 2321-9653; IC Value: 45.98; SJ Impact Factor: 7.538 Volume 10 Issue XII Dec 2022- Available at www.ijraset.com

Fig.8 Particle Size / Concentration

Particle size distribution was studied using particle size analyzer. The sample was given pre-treatment before carrying out analysis. The pre-treatment involved sonicating the sample with minimum amount of distilled water in order to reduce the particle sizes for about 10 minutes. Fig.2.2 shows that the particle size distribution is from 0 to 150nm with maximum at 27nm. In the size distribution of nanoparticles , maximum particles are observed to be of size 27nm.

Table 7: NTA max. particle Size of charcoal Sample SR.NO SAMPLE SIZE (nm) 1

Coconut shell charcoal 53 2 Coconut coir’s charcoal 27

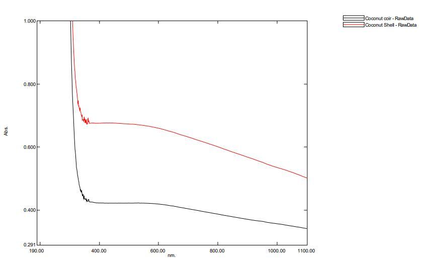
C. UV-Visible (Ultraviolet)

Fig.9 UV-Visible of Coconut Shell Charcoal and Coconut coir’s charcoal

International Journal
Research
)
for
in Applied Science & Engineering Technology (IJRASET
1725 ©IJRASET: All Rights are Reserved | SJ Impact Factor 7.538 | ISRA Journal Impact Factor 7.894 |

International

for Research in Applied Science & Engineering Technology (IJRASET)

ISSN: 2321-9653; IC Value: 45.98; SJ Impact Factor: 7.538 Volume 10 Issue XII Dec 2022- Available at www.ijraset.com

The wavelength of the absorption edge of the prepared sample was 500nm . Thus , the band gap energy estimated from absorption edge was about 2.48eV. This indicates that the charcoal sample has some ability to absorb Ultra-violet light.

D. DRS (Diffuse Reflectance Spectroscopy)

1) DRS of Coconut shell Charcoal: Fig 10 DRS of Coconut shell Charcoal

2) DRS of Coconut coir’s Charcoal:

Fig. 11 DRS of Coconut coir’s Charcoal

The Instrument used is UV-1900i Shimadzu UV-Visible Spectrophotometer. The range selected for study is 400nm to 1000 nm. The sample holder no.5 and 15 is used to hold the sample inside the instrument. There no such reflectance is absorbed as the black body. The charcoal of both Coconut shell and coconut coir’s do not show any reflectance.

Journal
1726 ©IJRASET:
Reserved |
|
All Rights are
SJ Impact Factor 7.538
ISRA Journal Impact Factor 7.894 |

& Engineering Technology (IJRASET

ISSN: 2321-9653; IC Value: 45.98; SJ Impact Factor: 7.538 Volume 10 Issue XII Dec 2022- Available at www.ijraset.com

E. FTIR Spectroscopy (Fourier Transform Infrared)

1) FT-IR spectrum of Activated Charcoal: Fig. 12 FT-IR spectrum of Activated Charcoal

In fig.12 FT-IR spectrum of Activated Charcoal shows %T (percentage of transmission) on x-axis and cm-1 (wave-number) on yaxis. The spectrum shows 9 peaks, each having individual characteristics. A broad peak at 3780 cm-1 indicates presence of 0-H bond and peak at 2925 cm-1 indicates C-H bond, 2163 cm-1 corresponds to S-C=N. C=O Stretching having peak at 1742 cm-1. 1653 cm-1 indicates C=C bond, N-O stretching shows peak at 1560 cm-1. The peak at 1406 cm-1 is due to presence of S=O bonding and the peak at 997 cm-1 corresponds to C=C stretching.

2) FT-IR spectrum of Coconut Shell Charcoal: Fig. 13 FT-IR spectrum of Coconut Shell Charcoal

In fig.13 FT-IR spectrum of Activated Charcoal shows %T (percentage of transmission) on x-axis and cm-1 (wave-number) on yaxis. The spectrum shows 5peaks, each having individual characteristics. A broad peak at 3223cm-1 indicates presence of 0-H bond and peak at 2113 cm-1 indicates N=C=S bond, 1704 cm-1 corresponds to C=O. N-O stretching shows peak at 1588cm-1. Peak at 1217 cm-1 indicates C-N bond.

International Journal
Research
Applied
)
for
in
Science
1727 ©IJRASET: All Rights are Reserved | SJ Impact Factor 7.538 | ISRA Journal Impact Factor 7.894 |

& Engineering Technology (IJRASET

ISSN: 2321-9653; IC Value: 45.98; SJ Impact Factor: 7.538 Volume 10 Issue XII Dec 2022- Available at www.ijraset.com

3) FT-IR spectrum of Coconut Coir’s Charcoal:

Fig.14 FT-IR spectrum of Coconut Coir’s Charcoal

In fig.14 FT-IR spectrum of Activated Charcoal shows %T (percentage of transmission) on x-axis and cm-1 (wave-number) on yaxis. The spectrum shows 5peaks, each having individual characteristics. A broad peak at 3209 cm-1 indicates presence of 0-H bond and peak at 2112 cm-1 indicates N=C=S bond, 1707 cm-1 corresponds to C=O. N-O stretching shows peak at 1596 cm-1. Peak at 1196 cm-1 indicates C-O bond.

F. XRD Analysis (X Ray Diffraction)

1) XRD of Activated Charcoal:

Fig. 17 XRD of Activated Charcoal

International Journal
for Research in Applied Science
)
1728 ©IJRASET: All Rights are Reserved |
7.538 | ISRA
|
SJ Impact Factor
Journal Impact Factor 7.894

for

2) XRD of Activated Charcoal:

in Applied Science & Engineering Technology (IJRASET)

ISSN: 2321-9653; IC Value: 45.98; SJ Impact Factor: 7.538 Volume 10 Issue XII Dec 2022- Available at www.ijraset.com

Fig. 18 XRD of Coconut Shell Charcoal

3) XRD of Coconut Coir’s Charcoal:

Fig. 19 XRD of Coconut Coir’s Charcoal

The XRD of Activated charcoal, Coconut shell charcoal and coconut coir’s charcoal

The patterns were obtained over a 2θ range from 20◦ to 80◦ as shown in fig.19 The peaks were in close agreement with JCPDS card numbers 00-0560159 associated to activated charcoal The plane orientation of Activated charcoal was confirmed by the presence of characteristic peaks around 0 0 2), (1 0 0 ), (1 0 1) planes. There’s no such impressive report we get because the sample was amorphous.

International Journal
Research
1729 ©IJRASET:
All Rights are Reserved | SJ Impact Factor 7.538 | ISRA Journal Impact Factor 7.894 |

ISSN: 2321-9653; IC Value: 45.98; SJ Impact Factor: 7.538 Volume 10 Issue XII Dec 2022- Available at www.ijraset.com

V. APPLICATIONS

Applications of AC are enormous. Activated carbon can be used for removal of poisonous heavy metal ions from aqueous solutions. Adsorption in this case is due to the surface complex formation between the metal ions and the acidic surface function group of AC. Adsorption is due to the surface complex formation between the metal ions and the acidic surface function group of AC. The removal efficiency is influenced by various factors, such as solution concentration, solution pH, ionic strength, nature of adsorbate, adsorbent modification procedure, Physical properties (surface area, porosity), and the chemical nature of AC For example lead, cadmium, mercuric ions all are very toxic and carcinogenic. Lead is also a cumulative metabolic poison, acting as a mutagen when adsorbed in excessive amounts. These ions can not be removed from water with classic physical or chemical treatments completely. In order to make it economical, fixed bed systems containing granular carbon could be used in tertiary treatment of wastewater. [5-14] The application of the Coconut shell charcoal and coconut coir’s have made to adsorption study of Mithi river and Industrial water inlet collected from industry.

Table 8 : Titration for Coconut Shell charcoal: Mithi river water

Bottle no. Amount of Charcoal in gm (m) Vol.of filtrate taken (V) Vol.of 0.1M NaOH added Chemical adsorbed x g

1 2 5 0.4 0.3428 2 2 5 0.4 1.2508 3 2 10 0.6 0.4872 4 2 10 1.8 0.4016

Table 9 : Titration for Coconut coir’s charcoal: Mithi river water

Bottle no. Amount of Charcoal in gm (m) Vol.of filtrate taken (V) Vol.of 0.1M NaOH added Chemical adsorbed x g 1 2 5 0.2 0.3424 2 2 5 0.3 0.4816 3 2 10 0.3 0.4716 4 2 10 1.6 0.388

Table 10 : Titration for Coconut Shell charcoal: Industrial water inlet Bottle no. Amount of Charcoal in gm (m) Vol. of filtrate taken (V)

Vol. of 0.1M NaOH added Chemical adsorbed x g 1 2 5 4.2 0.3424 2 2 5 3 0.2676 3 2 10 4.4 0.3024 4 2 10 4 0.3912

Table 11 : Titration for Coconut coir’s charcoal: Industrial water inlet Bottle no. Amount of Charcoal in gm (m) Vol.of filtrate taken (V) Vol.of 0.1M NaOH added Chemical adsorbed x g 1 2 5 1.8 0.2116 2 2 5 1.4 0.22 3 2 10 2 0.3724 4 2 10 1 0.3256

International Journal for Research in Applied
)
Science & Engineering Technology (IJRASET
1730 ©IJRASET: All Rights are Reserved | SJ Impact Factor 7.538 | ISRA Journal Impact Factor 7.894 |

ISSN: 2321-9653; IC Value: 45.98; SJ Impact Factor: 7.538 Volume 10 Issue XII Dec 2022- Available at www.ijraset.com

VI. CONCLUSIONS

Adsorption process is a powerful technique that can be used for efficient removal or uptake of pollutant materials from gas and liquid phases. Activated charcoal is one of the most important adsorbents that can be employed for these purposes. The use of AC is perhaps the best broad spectrum control technology available at present moment. It is also quite possible to increase the amount of adsorption of inorganics by impregnating the activated carbon with suitable chemicals. The selection of impregnating material should be so that it encourages the adsorption via usual chemical reactions (e.g. neutralization, redox, hydrolysis, precipitation and catalytic reactions). Among the many factors affecting sorption or removal of toxic materials from aqueous solutions, the pH effect is the most prominent especially in the case of inorganics, weak organic acid and bases which their dissociation is highly pH dependent.[15]

The adsorption studies confirmed that adsorption of adsorbates takes place via the formation of hydrogen bonding, π-π interactions and metal coordination between adsorbent and pollutants. Recyclability test and adsorption of pollutants in synthetic effluents illustrated the sustainability of AC-Coconut shell and Coconut coir’s adsorbent. Overall results suggested that AC-Coconut shell and Coconut coir’s is a prominent adsorbent for efficient removal of pollutants present in the polluted water.[16]

VII. ACKNOWLEDGMENT

The authors thank to The Director Institute of The Institute of Science, Dr. Homi Bhabha State University, Mumbai. Also thank to other faculty members of Botany, Zoology, Physics department, for their time-to-time suggestions to develop the project. We are also grateful to Master Builders Solution India Pvt. Ltd. Nerul.

REFERENCES

[1] Atkins, P. “Physical Chemistry” 3rd ed.; Freeman: New York, 1978.

[2] Kadlec, O.; Varhanikova, A.; Zukal, A. Structure of pores of active carbons prepared by water-vapour and zinc-dichloride activation. Carbon, 1970, 8(3), 321331.

[3] Toles, C. A.; Marshall, W. E.; Johns, M. M., Surface functional groups on acid-activated nutshell carbons. Carbon, 1999, 37(8), 1207-1214.

[4] Laine, J.; Yunes, S., Effect of the preparation method on the pore size distribution of activated carbon from coconut shell, Carbon, 1992, 30(4), 601-60

[5] Gomez-Serrano, V. Macias-Garcia, A. Espinosa Mansilla, Adsorption of Hg2+, Cd2+ and Pb2+ from aqueous solution on heat-treated and sulphurised activated carbon, Water Res., 1998, 32(1), 1-4.

[6] Bansal, R.C.; Donet, J.B.; Stoeckli, F. Active Carbon, Marcel Dekker, New York, 1988.

[7] Suffet, I.H.; McGuire, M.J. Activated Carbon Adsorption of Organics from the Aqueous Phase, Ann Arbor Science, Michigan, 1980

[8] Kairvelu, K. Thamaraiselvi, K. Namazivayam, C. Removal of heavy metals from industrial wastewaters by adsorption onto activated carbon prepared from an agricultural solid waste. Bioresour. Technol., 2001, 76(1), 63-65.

[9] Ansari, R.; Sadegh, M. Application of Activated Carbon for Removal of Arsenic ions from aqueous solutions. E- Journal of chemistry, 2007, 4(1), 103-108.

[10] Newcombea, G.; Drikas, M.; Hayes, R. Influence of characterised natural organic material on activated carbon adsorption: II. Effect on pore volume distribution and adsorption of 2-methylisoborneol. Water Res., 1997, 31(5), 1065-1073.

[11] Lyman, W.J. Applicability of Carbon Adsorption to the Treatment of Hazardous Industrial Waste, Carbon Adsorption Handbook, Cheremisinoff, P.N.; Ellerbusch, F, Ann Arbor Science Publishers, Michigan, 1987.

[12] Nawar, S.S.; Doma, H.S. Removal of dyes from effluents using low-cost agricultural by-products, Sci. Total Environ., 1989, 79 (3), 271-279.

[13] Patterson, J.W. Industrial wastes reduction, Environ. Sci. Technol., 1989, 23(9), 1032-1038.

[14] Holden, M. J. Manufacture and uses of Activated Carbon, Effluent Water Treat. J.1982,22,27.

[15] A. Mohammad-Khah and R. Ansari* Department of Chemistry, Faculty of Science, University of Guilan, Rasht, Iran

[16] Arif Chowdhury Sunit Kumari Afaq Ahmad Khan M. Ravi Chandra Sahi Hussain. Department of Chemistry, Indian Institute of Technology Patna, Bihta, 801106,India.Version of Record 30 December 2020.

International Journal for Research in Applied
)
Science & Engineering Technology (IJRASET
1731 ©IJRASET: All Rights are Reserved | SJ Impact Factor 7.538 | ISRA Journal Impact Factor 7.894 |

Turn static files into dynamic content formats.

Create a flipbook
Issuu converts static files into: digital portfolios, online yearbooks, online catalogs, digital photo albums and more. Sign up and create your flipbook.
The Case Study of Isothermal Adsorption of Phenol, O-cresol on Natural Charcoal’s and Applications by IJRASET - Issuu