Study of Solar PV Module Using Incremental Conductance MPPT with Boost Converter and Sepic Converter

Page 1

10 XI November 2022 https://doi.org/10.22214/ijraset.2022.47227

ISSN: 2321 9653; IC Value: 45.98; SJ Impact Factor: 7.538

Volume 10 Issue XI Nov 2022 Available at www.ijraset.com

Study of Solar PV Module Using Incremental Conductance MPPT with BoostConverter and Sepic Converter

Shivendra Saurabh1, Priyesh Pandey2, Ajay Shekhar Pandey3

1Research Scholar, 3Professor, Department of Electrical Engineering, KNIT Sultanpur 2Assistant Professor, Department of Electrical Engineering, IET Ayodhya

Abstract: In this study, the maximum power point is tracked precisely and quickly using an MPPT technique based on incremental conductance (INC). Based on the PV voltage and current, the Incremental Conductance (INC) technique searches for the precise MPP. PV-based power generation systems use the MPPT algorithm and two separate DC-DC converters to increase the output voltage. Using the MATLAB simulink system, the proposed algorithm's operation is simulated. At the conclusion of this work, conclusions were reached after comparing the algorithm's performance when using Boost Converter and SEPIC Converter.

Keywords: Renewable Energy, Photovoltaic Module, Maximum Power Point Tracking, Incremental Conductance Method, Direct Current, Boost and Sepic Converter

I. INTRODUCTION

When conventional methods of power generation are impractical, renewable energy sources have gained popularity as an alternative electrical energy source. The negative consequences that these conventional sources have on our ecosystem are another reason why renewable sources, particularly solar and wind, are becoming more and more popular. These are widely accessible on Earth and have a significant potential to meet our expanding energy needs without harming the environment. These are also useful for rural locations or areas that are not serviced by our grid system. These renewable resources now play a significant role in the advancement of civilisation.

Renewable energy sources like solar energy are not constant during the day, the month, or the year. Even the solar panels' efficiency is not very impressive. Therefore, regardless of the environmental circumstances, it is vital to operate these systems at their maximum power point to make it more effective and impressive. With these systems, it is accomplished by utilising Maximum Power Point Tracking (MPPT) approaches. The maximum power point tracking (MPPT) method boosts a solar PV system's solar energy efficiency. The work in [1] focuses on a review of solar systems, converters, and MPPT control methods with power generation. Review of efficient photovoltaic implementation with an emphasis on semiconductor characteristics and overall solar system design. In an alternate architecture proposed by [2], non isolated per panel dc dc converters are connected in series to form a high voltage string that is connected to a condensed dc ac inverter. Possible cascadable dc dc converters include buck, boost, buck boost, and Cuk converters. The purpose of the article [3] is to construct an MPPT to charge a 12 volt battery by using a (TBP 1275) 74 watt PV panel. The presentation of a method for effectively obtaining the greatest output power from a solar panel under a variety of meteorological situations [4]. The technology is based on coupling a SEPIC dc dc converter with pulse width modulation. The MPPT algorithm is used in PV based power generating systems used in [10] coupled with two separate DC DC converters to increase the output voltage. Simulating the suggested algorithm's operation with a MATLAB system generator verifies its effectiveness [7]. The algorithm's performance with the boost converter is verified and contrasted with SEPIC and conclusion were drawn. In [11], the indirect and direct techniques of MPPT algorithms are addressed. Additionally, each MPPT algorithm's benefits and drawbacks are discussed. Using the Perturb and Observe technique, simulations of PV modules were also performed. In the study of [12], describe a simple and precise approach for modelling solar arrays. Using data from the datasheet, the approach is used to determine the array model's parameters. The authors of this paper provide a practical and easy to understand method for modelling and simulating solar arrays for power electronics designers and researchers. The maximum power point tracker (MPPT) with incremental conductance (INC) approach is presented, along with the installation of two distinct boost converter topologies. It is decided to use conventional and conventional interleaved boost converters [14].

International Journal for Research in Applied Science & Engineering
(IJRASET)
Technology
30 ©IJRASET: All Rights are Reserved | SJ Impact Factor 7.538 | ISRA Journal Impact Factor 7.894 |

ISSN: 2321 9653; IC Value: 45.98; SJ Impact Factor: 7.538

Volume 10 Issue XI Nov 2022 Available at www.ijraset.com

The remainder of the paper is organised as follows:

The theory of the photovoltaic energy conversion system is described in Section II, together with its fundamental principles, modelling and illustrative formulae. Maximum Power Point Tracking (MPPT) theory, MPPT requirements, and MPPT types are covered in Section III, the flowchart of the incremental conductance MPPT is discussed. The theory of DC DC converters is presented in Section IV along with a brief explanation of the various mode of operations. Section V describes the modelling, which includes a PV system model employing incremental conductance MPPT and a Boost Converter, SEPIC converter and their combined model. The output waveform of the PV system is shown in Section VI using the Incremental Conductance MPPT with Boost converter & SEPIC converter, and their combined model, the results are tabulated. The conclusions and future scope are discussed in Section VII.

II. PHOTOVOLTAIC ENERGY CONVERSION SYSTEM

On the basis of the photoelectric effect, which asserts that when photons or sunlight strike a metal surface, an electron flow occurs, the photovoltaic energy system operates. Solar energy is mostly used to power photovoltaic energy systems. It has PV modules or arrays that transform solar irradiation, which is solar energy into electricity. To match the voltage with the electrical appliances that are provided by this system, the dc dc converter modifies the voltage level. Depending on the necessary and available voltage levels, this DC DC converter may be either buck, boost, or buck boost. The PV modules' maximum power is drawn from them via the maximum power point tracking system. When there is a power excess, the battery is charged, and when there is a power deficit, the energy stored in the battery is discharged into the load using a bi directional converter that can deliver current in both directions.

A. Modelling Of Photovoltaic System

It is a non linear device and can be represented as a current source in parallel with diode as shown in the Fig. 2.1 The practical PV cell model includes the connection of series and parallel internal resistance, namely SR and p R which is expressed as the following equation [15]: Fig.2.1

International Journal for Research
Applied
)
in
Science & Engineering Technology (IJRASET
31 ©IJRASET: All Rights are Reserved | SJ Impact Factor 7.538 | ISRA Journal Impact Factor 7.894 |
The electrical
circuit of a PV cell pvdsh IIII 
pvdshIIII 
The Diode current is given by exp1 S do t VRI II Va        (2.3) s sh sh VIR I R  
By equation (2.1), (2.2), (2.3) and (2.4) ** exp1 * ss pvo tp VRIVIR III VaR       (2.5) The light generated current of the photovoltaic cell depends linearly on the solar irradiation and is also influenced by the temperature according to the following equation
equivalent
(2.1)
(2.2)
(2.4)

ISSN: 2321 9653; IC Value: 45.98; SJ Impact Factor: 7.538 Volume 10 Issue XI Nov 2022 Available at www.ijraset.com

G IIKTT G  (2.6) The diode saturation current o I and its dependence on the temperature may be expressed by 3 * 11 **exp * g n ors n

, [()]*pvscnin n

qE T II TakTT          (2.7) The reverse saturation current is given by , , exp1 *

I I V Va

scn rs ocn t

      

From equation (2.7) and (2.8) we can calculate the saturation current o I easily. The photovoltaic model described in the previous section can be improved if equation (4) is replaced by: , ,

IKT I VKT Va

scni o ocnv t

(2.8)

* * exp1 *

        

(2.9)

This modification aims to match the open circuit voltages of the model with the experimental data for a very large range of temperatures. where, I = The photovoltaic output current V = The photovoltaic output voltage V = * kT q = The thermal voltage of array q = The electron charge ( 19 1.60217646 eC ) k = The Boltzmann constant ( 231 1.3806503 eJK ) T = The temperature of the p n junction in the unit of Kelvin a = The diode ideality constant=1.2 pv I = light generated current produced by a photovoltaic cell which has a linear relationship with the solar irradiance and temperature , pvn I = light generated current at the nominal condition which are 25o C and 2 100Wm T = n TT T = actual temperature in unit Kelvin n T = nominal temperature in unit Kelvin G = solar irradiation by the PV surface n G = is the nominal solar irradiation iK = temperature coefficient of short circuit current v K = temperature coefficient of open circuit voltage , scn I = short circuit current under the nominal condition

International Journal for Research
)
in Applied Science & Engineering Technology (IJRASET
32 ©IJRASET: All Rights are Reserved | SJ Impact Factor 7.538 | ISRA Journal
|
Impact Factor 7.894

ISSN: 2321 9653; IC Value: 45.98; SJ Impact Factor: 7.538 Volume 10 Issue XI Nov 2022 Available at www.ijraset.com

V = open circuit voltage under the nominal condition

,

o I = The diode saturation current

rs I = The Reverse saturation current

A PV module is created by connecting many PV cells either in series, parallel, or as a grid (both series and parallel) because a single PV cell generates a relatively low voltage (about 0.4V). When a greater voltage is required, PV cells are connected in series, and when a high current is required by the load, they are connected in parallel [16]. In most PV modules, there are 36 or 76 cells. A module's efficiency is lower than that of a PV cell because part of the incoming radiation is reflected by the glass cover and frame. I V characteristics and P V characteristics of the PV module are given below.

Fig2.2. I V & P V Characteristics of PV cell

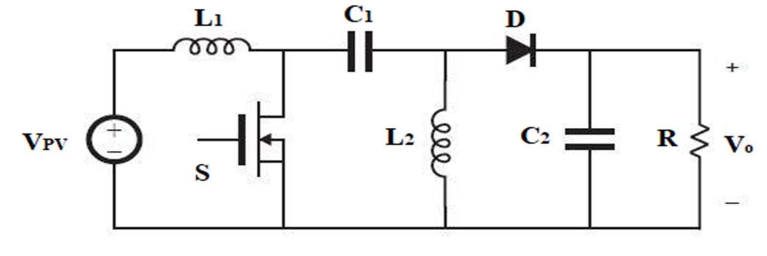
III. BOOST & SEPIC CONVERTER

Without a DC DC converter like a Boost, Buck, Buck Boost, Zeta, Sepic, or Cuk Converter, no PV system can function. Only through converters can the maximum power recorded by any maximum power point tracking systems be sent to the linked loads. The key task while putting out a maximum power point tracker is to select and develop a highlyeffective converter that will serve as the MPPT's primary component. For the PV module to work at its best, the DC DC converter should be chosen depending on the required output voltage from the MPPT. The tracking of the maximum power point is fundamentally a load matching issue. To adjust the input resistance of the panel to match the load resistance by adjusting the duty cycle, a DC to DC converter is needed. The circuit layouts of each of the aforementioned converters vary, including the number, location, and orientation of switching and storing devices. There are various types of dc dc converters that can be used to transform the level of thevoltage as per the supply availabilityand load requirement. In this paper namely Boost Converter and Sepic Converter are used and their performance are compared.

A. Boost Converter

The boost converter's main purpose is to raise the voltage. Fig. 3.1 depicts the boost converter's circuit configuration.

Fig. 3.1 Circuit Diagram of Boost Converter

During the ON period of the switching element, the inductor's current starts to increase and it begins to store energy. It is said that the circuit is charging. The inductor's reserve energy begins draining into the load and the supply while it is in the OFF position [17]. The inductor time constant affects the output voltage level, which is greater than the input voltage level. The switching device's duty ratio and source side voltage are compared to determine the load side voltage.

International Journal for Research in Applied Science
)
& Engineering Technology (IJRASET
33 ©IJRASET: All Rights are Reserved | SJ Impact Factor 7.538 | ISRA Journal Impact Factor 7.894 |
ocn

1) Operating Modes Of Boost Converters

The operation ofBoost Converter can be classified in two modes:

a) Mode I Operation of Boost Converters:

ISSN: 2321 9653; IC Value: 45.98; SJ Impact Factor: 7.538 Volume 10 Issue XI Nov 2022 Available at www.ijraset.com

Fig. 3.2 Mode I of Boost Converter

When the switch is closed, the source voltage charges the inductor, which then stores the energy. Although the inductor current grows exponentially in this mode, we'll assume for the sake of simplicity that it charges and discharges in a linear fashion [18]. Since the diode prevents current from flowing, the load current, which is provided by the discharge of the capacitor, remains constant.

b) Mode II Operation of Boost Converters:

Fig. 3.3 Mode II of Boost Converter

In mode II, the switch opens, short circuiting the diode as a result. Through opposing polarities, the inductor's stored energy is released, which charges the capacitor [19]. The output voltage is the result of adding VS and VL while the load current stays constant.

B. SEPIC Converter

One kind of non isolated DC DC converter is the single ended primary inductance converter (SEPIC). It produces an output voltage that is positively controlled and matches the input voltage [23]. The SEPIC converter is comparable to the Buck Boost converter, but it differs in that it transfers energy between the capacitor and inductor in order to convert between different voltages [5]. Fig.3.4 displays the SEPIC Converter's circuit diagram.

Fig. 3.4 Circuit Diagram of SEPIC Converter

International Journal
)
for Research in Applied Science & Engineering Technology (IJRASET
34 ©IJRASET: All Rights are Reserved | SJ Impact Factor 7.538 | ISRA Journal Impact Factor 7.894 |
Vs Vo L Vs C R Vo

ISSN: 2321 9653; IC Value: 45.98; SJ Impact Factor: 7.538

Volume 10 Issue XI Nov 2022 Available at www.ijraset.com

1) Operating Modes Of SEPIC Converters

The operation ofSEPIC Converter can be explained by replacing the inductor with an isolating transformer, and can be classified in two modes:

a) Mode I Operation of SEPIC Converters:

Fig. 3.5 Mode I of SEPIC Converter

The energy from the source is stored in inductor L1 and the capacitor when the switch is switched on. L2 receives energy from capacitor C1 to L2. The voltage of capacitor C1 is regarded as constant. The IL1 and IL2 currents both grow linearly [13]. The diode D1 is kept blocked in this mode, while the capacitor C2 powers the load.

b) Mode II Operation of SEPIC Converters:

Fig. 3.5 Mode II of SEPIC Converter

When the switch is off and diode D1 is switched on, the stored energy in the inductor is transferred to the load. The linear decline of the currents IL1 and IL2. The voltage across the switch is VPV+V0

IV. MAXIMUM POWER POINT TRACKING TECHNIQUE

A PV system's maximum power point may be tracked using the maximum power point tracing (MPPT) system, an electronic control system. The movement of the modules changes direction and makes them face directly toward the sun without using a single mechanical component. The MPPT control system is an entirely electronic device that, by changing the electrical working point of the modules, may produce the maximum permissible power. By automatically determining the voltage (Vmpp) or current (Impp) at which a PV array should operate in order to achieve the maximum power point (MPP) under a particular temperature and irradiation by giving pulses to the converter through PWM to make the PV system operate more efficiently, MPPT is a power electronics configuration that enables the P V module to supply maximum power to the load.

A PV cell has low conversion efficiency and nonlinear properties that alter with temperature and light exposure. Generally, the Maximum Power Point (MPP), at which the entire PV system functions with highest efficiency and generates its maximum output power, is the single location on the V I or P V curve [8],[9]. Although the MPP's position is unknown, it can be found using search algorithms or calculating models. The PV system operating point is kept at its MPP using Maximum Power Point Tracking (MPPT) approaches.

In On line methods of MPPT, also known as model free methods, usually the instantaneous values of the PV output voltage or current or power are used to generate the control signals. Extremum seeking control method (ESC) and Incremental Conductance method (INC) used in this research.

International Journal for Research in Applied Science
)
& Engineering Technology (IJRASET
35 ©IJRASET: All Rights are Reserved | SJ Impact Factor 7.538 | ISRA Journal Impact Factor 7.894 | L1
Vpv
C1
L2 C2 Vo

ISSN: 2321 9653; IC Value: 45.98; SJ Impact Factor: 7.538 Volume 10 Issue XI Nov 2022 Available at www.ijraset.com

A. Incremental Conductance (IC) method

This MPPT method targets the slope of I V characteristic of the PV system to track the MPP of the system [19 21]. This MPPT method is based on the principle that the slope of the power curve of the PV system at the MPP is zero, positive when the output power is less than MPP and negative when the output power is greater than the MPP [22]. The maximum output power can be expressed in Eq. (4.1) as,

(4.1) It can be evaluated by differentiating the output power of the PV system with respect to PV voltage and equating it to zero, as expressed in Eq. (4.2) & (4.3) as,

(4.2)

(4.3) Hence, by evaluating the derivative, it can be tested whether the PV system is operating at or away from MPP [20]. Three derivative conditions are expressed in Eq. (4.4) as,

(4.4) Main steps of this MPPT method are depicted with the help of a flowchart shown in Fig.4.2 as, In this method the MPP tracking speed can be increased by adjusting the increment or decrement size of Vstep but it will cause the system to oscillate around the MPP. Main advantage of this MPPT method is that it can serve as an effective solution for rapidly changing environmental conditions. Its main drawback is that its implementation is complex [24]. Start Measure V(n) and I(n) Calculate dV= V(n)-V(n-1) dI= I(n)-I(n-1)

Fig.4.1. Flowchart of IC MPPT method

International Journal for Research in Applied Science
)
& Engineering Technology (IJRASET
36 ©IJRASET: All Rights are Reserved | SJ Impact Factor 7.538 | ISRA Journal Impact Factor 7.894 |

MPP MPP I dII
  
0 0
0
dVVV
dVVV dPII
                
Decrease
Increase
Increase
Y N N
Y
MPPMPPMPP PVI
0 dPdI IV dVdV
dVVV
of
rightof dPII atMPP
dPII leftMPP
MPP dVVV

dV=0 dI/dV = -I/V
module V
module V Decrease module V
module V Return N dI = 0 dI/dV > -I/V dI > 0
N N Y Y
Y V(n-1) = V(n) I(n-1) = I(n)

ISSN: 2321 9653; IC Value: 45.98; SJ Impact Factor: 7.538 Volume 10 Issue XI Nov 2022 Available at www.ijraset.com

V. MODELLING AND SIMULATION

This paper presents a study on Photovoltaic EnergyConversion system using Incremental Conductance MPPT which is organized in three phases. In first phase, Incremental Conductance is implemented with Boost Converter to feed a constant load, in second phase, the proposed MPPT is implemented with SEPIC Converter to feed the same load and finally in third phase, a combined model having both the converters, i.e. Boost and SEPIC with Incremental Conductance MPPT is implemented to compare their performance across the same load. All these models are tested under constant environment conditions, i.e. different Temperatures and different Irradiation. A Boost Converter is a single stage converter which only step up the voltage level but SEPIC Converter is a two stage converter which first increases and then decreases the voltage level to produce more accurate results. A simple block diagram representation of PV energy conversion system with MPPT and DC Converters feeding a load is shown in Fig.5.1.

A. Simulation Parameters

Fig. 5.1 Block diagram of PV System using MPPT technique

Table 5.1 Parameters of 200 watt PV Panel(at G=1000 W/m2 and T=250C) Parameters Variable Value

Maximum Power Pmax 200 W Voltage at Pmax Vmax 26.3 V Current at Pmax Imax 7.61 A Short circuit Current Isc 8.21 A Open circuit voltage Voc 32.9 V

Temperature coefficientof open circuit voltage Kv 0.123V /K

Temperaturecoefficientof short circuit current Ki 0.0032A/K

The Boost converter is set to operate at the switching frequency of 5 kHz, an inductor of 50mH and the capacitor of 2 mF [15]. The SEPIC converter is set to operate at the switching frequency of 50 kHz, two inductors Land L0, where L=L0= 5 mH and two capacitors C and C1 , where C= 2 mF and C1= 1.5mF [3]. Both the systems were simulated to feed a purely resistive load of 100 Ω.

International Journal for Research in Applied Science
)
& Engineering Technology (IJRASET
37 ©IJRASET: All Rights are Reserved | SJ Impact Factor 7.538 | ISRA Journal Impact
7.894 |
Factor

ISSN: 2321 9653; IC Value: 45.98; SJ Impact Factor: 7.538 Volume 10 Issue XI Nov 2022 Available at www.ijraset.com

Fig. 5.2 P V characteristics curve of photovoltaic Panel at G=1000 W/m2 and T=250C

Fig. 5.3 I V characteristics of a photovoltaic panel at G=1000 W/m2 and T=250

B. Simulation Model

The Simulation of PV System is done as follows:

1) PV system with Incremental Conductance MPPT with Boost Converter

2) PV system with Incremental Conductance MPPT with SepicConverter

3) A combined PV system with Incremental Conductance with both Converters

All the above systems are simulated under constant conditions i.e. constant environmentalconditions (constant values of Irradiance and Temperature). The systems are simulated for a duration of 1 sec.

a) Simulation Model of PV system with Incremental Conductance MPPT with BoostConverter technique

Fig. 5.4 PV system with INC MPPT technique with Boost Converter developed inMATLAB/Simulink

International Journal
)
for Research in Applied Science & Engineering Technology (IJRASET
38 ©IJRASET: All Rights are Reserved | SJ Impact Factor 7.538 | ISRA Journal Impact
7.894 |
Factor

Journal for Research in Applied Science & Engineering Technology (IJRASET)

ISSN: 2321 9653; IC Value: 45.98; SJ Impact Factor: 7.538 Volume 10 Issue XI Nov 2022 Available at www.ijraset.com

b) Simulation Model of PV system with Incremental Conductance MPPT with SepicConverter technique

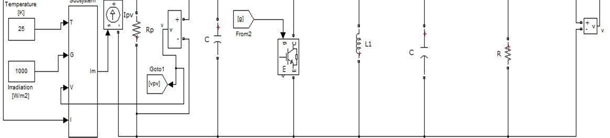
Fig. 5.5 PV system with INC MPPT technique with SEPIC Converter developed in MATLAB/Simulink

c) Simulation Model of PV system with Incremental Conductance MPPT with Boost andSepic Converter technique

Fig. 5.6 PV system with INC MPPT technique with Boost and Sepic Converter developed in MATLAB/Simulink

VI. RESULTS & DISCUSSION

A. Results Of PV System Using Incremental Conductance MPPTWith Boost Converter Under Different Conditions

Condition: 1 Output at G=1000 W/m2 and T=250C

Fig.6.1 Boost Converter output at G=1000 W/m2 and T=250C

Factor 7.894 |

International
39 ©IJRASET: All Rights are Reserved |
SJ Impact Factor 7.538 | ISRA Journal Impact

for Research in Applied Science & Engineering Technology (IJRASET

ISSN: 2321 9653; IC Value: 45.98; SJ Impact Factor: 7.538

Volume 10 Issue XI Nov 2022 Available at www.ijraset.com

Condition: 2 Output at G=1000 W/m2 and T=300

Fig.6.2 Boost Converter output at G=1000 W/m2 and T=300C

Condition: 3 Output at G=1000 W/m2 and T=400C

Fig.6.3 Boost Converter output at G=1000 W/m2 and T=400C

Condition: 4 Output at G=800 W/m2 and T=250C

Fig.6.4 Boost Converter output at G=800 W/m2 and T=250C

Condition: 5 Output at G=800 W/m2 and T=300C

Fig.6.5 Boost Converter output at G=800 W/m2 and T=300C

International Journal
)
40 ©IJRASET: All Rights are Reserved | SJ
| ISRA
|
Impact Factor 7.538
Journal Impact Factor 7.894

International Journal for Research in Applied Science & Engineering Technology (IJRASET)

ISSN: 2321 9653; IC Value: 45.98; SJ Impact Factor: 7.538

Volume 10 Issue XI Nov 2022 Available at www.ijraset.com

Condition: 6 Output at G=800 W/m2 and T=400C

Fig.6.6 Boost Converter output at G=800 W/m2 and T=400C

Condition: 7 Output at G=600 W/m2 and T=250C

Fig.6.7 Boost Converter output at G=600 W/m2 and T=250C

Condition: 8 Output at G=600 W/m2 and T=300C

Fig.6.8 Boost Converter output at G=600 W/m2 and T=300C

41 ©IJRASET:
are Reserved |
All Rights
SJ Impact Factor 7.538 | ISRA Journal Impact Factor 7.894 |

Condition: 9 Output at G=600 W/m2 and T=400C

ISSN: 2321 9653; IC Value: 45.98; SJ Impact Factor: 7.538 Volume 10 Issue XI Nov 2022 Available at www.ijraset.com

Fig.6.9 Boost Converter output at G=600 W/m2 and T=400C

Table 6.1 Boost Converter Results with INC MPPT under constant conditions Sr. No. T(oC) G(W/m2) I(A) V(V) P 1 25 1000 1.97 89.4 176.6 2 30 1000 1.89 85.7 162.4 3 40 1000 1.78 80.9 144.6 4 25 800 1.68 76.4 128.9 5 30 800 1.6 72.4 119.9 6 40 800 1.48 67.3 109.3 7 25 600 1.37 61.7 85.8 8 30 600 1.29 57.8 74.6 9 40 600 1.16 53.2 63.4

We can see from the above table that as the Temperature increases, output current, voltageand power keeps on decreasing. Similar pattern can be observed when the Irradiation decreases, i.e. decrease in output current, voltage and power. We can see that when the Temperature T= 250C and Irradiation G= 1000 W/m2 , then I=1.97 amp, V= 89.4 volt and P= 176.6 watt. But when T=300C with same G=1000 W/m2, then reading are I= 1.89 amp, V= 85.7 volt and P= 162.4 watts. So we can say that a considerable drop has occurred byincreasing the Temperature for the same Irradiation level. Similarly, we can see that when the Temperature T=250C and Irradiation G=800 W/m2, then I=1.68 amp, V=76.4 volt and P= 128.9 watts. So, here also a considerable drop has occurred just by decreasing the Irradiation from 1000 W/m2 to 800 W/m2 keeping same Temperature level.

Similar conclusions can be drawn for G= 600 W/m2 and for T= 400C. It can be easily concluded that the output power nearest to the maximum tracking power is attained only at the G=1000 W/m2 and T=250C.

B. Results Of PV System Using Incremental Conductance MPPTWith SEPIC Converter Under Different Conditions

Condition: 1 Output at G=1000 W/m2 and T=250C

Fig.6.10 Sepic Converter output at G=1000 W/m2 and T=250C

International Journal
Research
)
for
in Applied Science & Engineering Technology (IJRASET
42 ©IJRASET: All Rights are Reserved | SJ Impact
7.538 | ISRA Journal
|
Factor
Impact Factor 7.894

for Research in Applied Science & Engineering Technology (IJRASET

ISSN: 2321 9653; IC Value: 45.98; SJ Impact Factor: 7.538

Volume 10 Issue XI Nov 2022 Available at www.ijraset.com

Condition: 2 Output at G=1000 W/m2 and T=300C

Fig.6.11 Sepic Converter output at G=1000 W/m2 and T=300C

Condition: 3 Output at G=1000 W/m2 and T=400C

Fig.6.12 Sepic Converter output at G=1000 W/m2 and T=400C

Condition: 4 Output at G=800 W/m2 and T=250C

Fig.6.13 Sepic Converter output at G=800 W/m2 and T=250C

Condition: 5 Output at G=800 W/m2 and T=300C

Fig.6.14 Sepic Converter output at G=800 W/m2 and T=300C

International Journal
)
43 ©IJRASET: All Rights are Reserved | SJ
| ISRA
|
Impact Factor 7.538
Journal Impact Factor 7.894

for Research in Applied Science & Engineering Technology (IJRASET

ISSN: 2321 9653; IC Value: 45.98; SJ Impact Factor: 7.538

Volume 10 Issue XI Nov 2022 Available at www.ijraset.com

Condition: 6 Output at G=800 W/m2 and T=400C

Fig.6.15 Sepic Converter output at G=800 W/m2 and T=400C

Condition: 7 Output at G=600 W/m2 and T=250C

Fig.6.16 Sepic Converter output at G=600 W/m2 and T=250C

Condition: 8 Output at G=600 W/m2 and T=300C

Fig.6.17 Sepic Converter output at G=600 W/m2 and T=300C

Condition: 9 Output at G=600 W/m2 and T=400C

Fig.6.18 Sepic Converter output at G=600 W/m2 and T=400C

International Journal
)
44 ©IJRASET: All Rights are Reserved | SJ
| ISRA Journal
|
Impact Factor 7.538
Impact Factor 7.894

ISSN: 2321 9653; IC Value: 45.98; SJ Impact Factor: 7.538 Volume 10 Issue XI Nov 2022 Available at www.ijraset.com

Table 6.2 Sepic Converter Results with INC MPPT under constant conditions

Sr. No. T(oC) G(W/m2) I(A) V(V) P

1 25 1000 1.94 98.41 190.9

2 30 1000 1.88 95.78 180.9

3 40 1000 1.76 91.0 163.4

4 25 800 1.83 92.81 169.8

5 30 800 1.76 89.2 151.2

6 40 800 1.63 83.1 136.1

7 25 600 1.58 84.3 131.1 8 30 600 1.53 80.2 122.7

9 40 600 1.41 72.1 101.6

We can see from the above table that as Temperature increases, the output current, voltage and power starts decreasing. Similar pattern can be observed when Irradiation decreases, i.e. decrease in output current, voltage and power. We can see that when the Temperature T= 250C and Irradiation G= 1000 W/m2, then I= 1.94amp, V= 98.41 volt and P= 190.9 watt. But when T=300C with same G=1000 W/m2, then reading are I= 1.88 amp, V= 95.78 volt and P= 180.9 watts. So we can say that a considerable drop has occurred byincreasing theTemperature for the same Irradiation level. Similarly, we can see that when the Temperature T=250C and Irradiation G=800 W/m2, then I=1.83 amp, V=92.81 volt and P= 169.8 watts. So, here also a considerable drop has occurredjust by decreasing the Irradiation from 1000 W/m2 to 800 W/m2 keeping same Temperature level. Similar conclusions can be drawn for G= 600 W/m2 and for T= 400C. It can be easily concluded that the output power nearest to the maximum tracking power is attained only at the G=1000 W/m2 and T=250C. Also, if we carefully look into the graphs of output voltage, we will observe that the output voltage in Sepic converter has less oscillation in comparison to the Boost converter.

C. Results Of PV System Using Incremental Conductance MPPT With Boost And SEPIC Converter Under Different Conditions

Condition: 1 Output at G=1000 W/m2 and T=250C

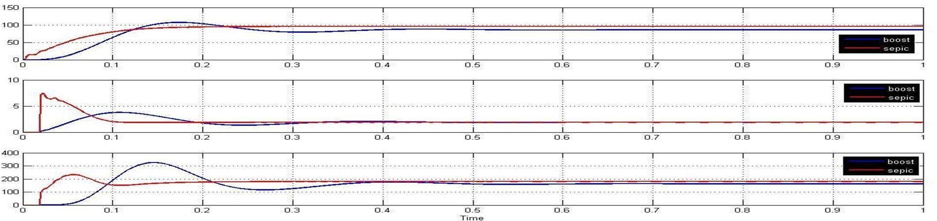
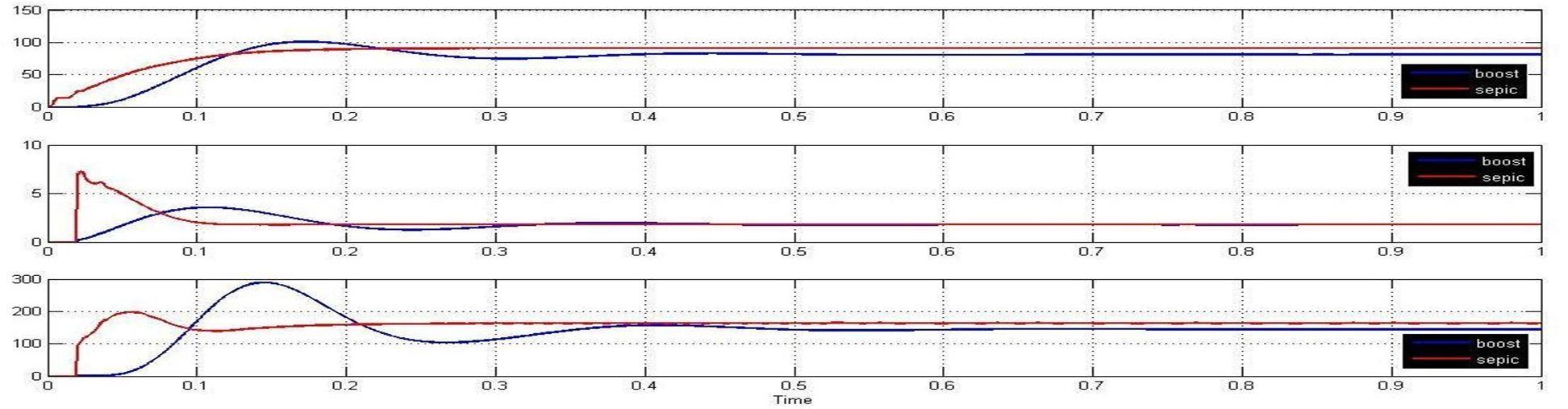
Fig.6.19 Combined output at G=1000 W/m2 and T=250C

Condition: 2 Output at G=1000 W/m2 and T=300C

Fig.6.20 Combined output at G=1000 W/m2 and T=300C

International Journal
Research
)
for
in Applied Science & Engineering Technology (IJRASET
45 ©IJRASET: All Rights are Reserved | SJ Impact Factor 7.538 | ISRA Journal Impact Factor 7.894 |

Condition: 3 Output at G=1000 W/m2 and T=400C

& Engineering Technology (IJRASET

ISSN: 2321 9653; IC Value: 45.98; SJ Impact Factor: 7.538

Volume 10 Issue XI Nov 2022 Available at www.ijraset.com

Fig.6.21 Combined output at G=1000 W/m2 and T=400C

Condition: 4 Output at G=800 W/m2 and T=250C

Fig.6.22 Combined output at G=800 W/m2 and T=250C

Condition: 5 Output at G=800 W/m2 and T=300C

Fig.6.23 Combined output at G=800 W/m2 and T=300C

Condition: 6 Output at G=800 W/m2 and T=400C

Fig.6.24 Combined output at G=800 W/m2 and T=400C

International Journal for Research in Applied Science
)
46 ©IJRASET: All Rights are Reserved | SJ
7.538 | ISRA Journal
|
Impact Factor
Impact Factor 7.894

International

for Research in Applied Science & Engineering Technology (IJRASET

ISSN: 2321 9653; IC Value: 45.98; SJ Impact Factor: 7.538 Volume 10 Issue XI Nov 2022 Available at www.ijraset.com

Condition: 7 Output at G=600 W/m2 and T=250C

Fig.6.25 Combined output at G=600 W/m2 and T=250C

Condition: 8 Output at G=600 W/m2 and T=300C

Fig.6.26 Combined output at G=600 W/m2 and T=300C

Condition: 9 Output at G=600 W/m2 and T=400C

Fig.6.27 Combined output at G=600 W/m2 and T=400C

D. Performance Comparison

In the above section, there were nine different conditions of Irradiation and Temperature considered with the PV system using Incremental Conductance MPPT first with Boost Converterand then with SEPIC Converter.

Journal
)
47 ©IJRASET: All Rights are Reserved | SJ
| ISRA
|
Impact Factor 7.538
Journal Impact Factor 7.894

ISSN: 2321 9653; IC Value: 45.98; SJ Impact Factor: 7.538 Volume 10 Issue XI Nov 2022 Available at www.ijraset.com

Table 6.3 Comparison Table under Constant Environmental conditions

Condition G(W/m2) T(0C)

INC MPPT technique with Converter

Converter Output % Power increased

I(A) V(V) P(w) w.r.t Boost Converter

25 Boost 1.97 89.4 176.6 8.0 Sepic 1.94 98.4 190.9 2 30 Boost 1.89 85.7 162.4 11 Sepic 1.88 95.7 180.9 3 40 Boost 1.78 80.9 144.6 13 Sepic 1.79 91.0 163.4 4 800

1 1000

25 Boost 1.68 76.4 128.9 29 Sepic 1.83 92.8 169.8 5 30 Boost 1.6 72.4 119.9 31 Sepic 1.76 89.2 151.2 6 40 Boost 1.48 67.3 109.2 33.4 Sepic 1.63 83.1 136.1 7 600

25 Boost 1.37 61.7 85.8 44.1 Sepic 1.58 84.3 131.1 8 30 Boost 1.29 57.8 74.6 52.1 Sepic 1.53 80.2 122.7 9 40 Boost 1.16 53.2 63.4 55.3 Sepic 1.41 72.1 101.6 We can observe from the above table that if either the Temperature of PV panel increases or the Irradiation of PV panel decreases, the output current, voltage and power will get decreased. When the Temperature increases from T= 250C to T=300C keeping the G=1000 W/m2, the output power from Boost converter decreases from P= 176.6 watt to P= 162.4 watt but the outputpower from Sepic converter decreases from 190.9 watt to P= 180.9 watt.

Similarly, when the Irradiation decreases from G= 1000 W/m2 to G=800 W/m2 keeping the Temperature T= 250C, the output power from Boost Converter decreases from P= 176.6 watt to P= 128.9 watt but the output power from Sepic Converter decreases from P= 190.9 watt to P=169.8 watt. So, in both the cases the drop in power is more in Boost converter in comparison to Sepic converter.

Similar conclusion can be drawn for the conditions when T= 400 C and G =600 W/m2. In this chapter, a PV system is simulated using Incremental Conductance MPPT with: Boost Converter and Sepic Converter. We have seen that the Incremental Conductance MPPT has increased the power of PV system and very efficiently tracked the maximum power available under different constant environment conditions.

We have seen that power that was tracked by INC MPPT with Sepic converter is more than the power tracked by INC MPPT with Boost converter. It can be also seen that when the Irradiation changes from 1000 W/m2 to 800 W/m2 to 600 W/m2, the drop of power in Boost converter is more than that in Sepic converter for the same conditions. It is not surprising as we know that a Boost Converter is a single stage process and a Sepic Converter is a two stage process. Due to this, Sepic converter gives more voltage stability which results in increased power with increased stability.

International Journal for Research in
)
Applied Science & Engineering Technology (IJRASET
48 ©IJRASET: All Rights are Reserved | SJ Impact Factor 7.538 | ISRA Journal
7.894 |
Impact Factor

ISSN: 2321 9653; IC Value: 45.98; SJ Impact Factor: 7.538 Volume 10 Issue XI Nov 2022 Available at www.ijraset.com

VII. CONCLUSION & FUTURE SCOPE

A. Conclusions

In this paper, a standalone PV system using Incremental Conductance (INC) MPPT method with two DC DC converters, i.e. Boost Converter and Sepic Converter feeding a constant purely resistive load, under different environment conditions is modeled. The whole system, i.e. PV panel, INC MPPT, Boost Converter and Sepic Converter is modeled on MATLAB/ Simulink system. Under different environment conditions, i.e. different Irradiation and Temperature levels, we have seen that the output voltage, current and power varies. When the Irradiation decreases, PV current, voltage and power decreases and also a decrease in all these parameters are observed when the Temperature levels are increased. Same Irradiation and Temperature levels are given to the PV system equipped with INC MPPT, first to the Boost Converter and then separately, to the Sepic Converter and then a combined system is used to show their performance. We have seen that the system having Sepic converter is producing more power in comparison to the system having Boost converter under different environment conditions. The different concluding remarks are as follows:

1) When T=250C and G=1000 W/m2 , the Boost converter output are I= 1.97 A,V=89.4V, P= 176.6 W and the Sepic converter output are I= 1.94 A, V= 98.41V, P=190.9 W, an increase of 8 % in output power in Sepic w.r.t Boost.

2) When T=300C and G=1000 W/m2 , the Boost converter output are I= 1.89 A,V=85.7V, P= 162.4 W and the Sepic converter output are I= 1.88 A, V= 95.7V, P=180.9 W, an increase of 11% in output power in Sepic w.r.t Boost.

3) When T=400C and G=1000 W/m2, the Boost converter output are I= 1.78 A, V= 80.9V, P= 144.6 W and Sepic converter output are I= 1.79 A, V= 91 V and P= 163.4W, an increase of 13% in output power in Sepic w.r.t Boost.

4) When T=250C and G=800 W/m2, the Boost converter output are I= 1.68 A, V= 76.4V, P= 128.9 W and Sepic converter output are I= 1.83 A, V= 92.8V, P= 169.8W, an increase of 29% in output power in Sepic w.r.t Boost.

5) When T=300C and G=800 W/m2, the Boost converter output are I= 1.6 A, V= 72.4V, P= 119.9W and Sepic converter output are I= 1.76A, V= 89.2V, P= 151.2W, an increase of 31% in output power in Sepic w.r.t Boost.

6) When T=400C and G=800 W/m2, the Boost converter output are I= 1.48A, V= 67.3V,P= 109.2W and Sepic converter output are I= 1.63A, V= 83.1V, P= 136.1W, an increase of 33.4% in output power in Sepic w.r.t Boost.

7) When T=250C and G=600 W/m2, the Boost converter output are I= 1.37A, V= 61.7V,P= 85.8W and Sepic converter output are I= 1.58A, V= 84.3V, P= 131.1W, an increase of 44.1% in output power in Sepic w.r.t Boost.

8) When T=300C and G=600 W/m2, the Boost converter output are I= 1.29A, V= 57.8V,P= 74.6W and Sepic converter output are I= 1.53A, V= 80.2V, P= 122.7W, an increase of 52.1% in output power in Sepic w.r.t Boost.

9) When T=400C and G=600 W/m2, the Boost converter output are I= 1.16A, V= 53.2V,P= 63.4W and Sepic converter output are I= 1.41A, V= 72.1V, P= 101.6W, an increase of 55.3% in output power in Sepic w.r.t Boost.

10) It is concluded that the drop in power is more with Boost converter in comparison to Sepic converter when the Irradiation are decreased and simultaneously Temperatures are increased.

11) In both the cases, power nearest to the maximum power were obtained only atG=1000 W/m2 and T=250C.

B. Future Scope

Renewable Energy, especially Solar Energy, from the last many years, has been an areaof interest and a lot of research has already been done and is still going on. The future scope of this research work can be identified as :

1) A grid connected PV system with the same setup of INC MPPT with Boost and SEPIC Converter.

2) A hybrid MPPT having Off line and On line methods can be implemented.

3) A hybrid energysystem having PV with Wind or Hydro or Diesel can be tested.

4) In the Simulink models, the Solar Irradiation and Temperatures can be given asvariable input instead of constant values

REFERENCES

[1] Puneet Kumar Chaudhary and Ranjan Maheshwari, “A Critical Review on Photovoltaic Base Maximum Power Generation System”, International Journal of Recent Technology and Engineering (IJRTE), ISSN:2277 3878, Vol.1, Issue 6, Jan 2013.

[2] Geoffrey R. Walker and Paul C. Sernia, “ Cascaded DC DC Converter Connection of Photovoltaic Module”, IEEE Transactions on Power Electronics, Vol. 19, No. 4, July 2004.

[3] Mr. R. B. Darla, “Development of Maximum Power Point Tracker for PV Panels Using SEPIC Converter”, 978 1 4244 1628 8/07/$25.00 ©2007 IEEE.

[4] Oscar López Lapeña, Maria Teresa Penella and Manel Gasulla, “A New MPPT Method for Low Power Solar Energy Harvesting”, IEEE Transactions on Industrial Electronics, Vol. 57, No. 9, September 2010.

[5] Weidong Xiao, William G. Dunford, Patrick R. Palmer, Antoine Capel, “Regulation of Photovoltaic Voltage”, IEEE Transactions On Industrial Electronics, Vol. 54, No. 3, June2007.

International Journal for Research in Applied Science
)
& Engineering Technology (IJRASET
49 ©IJRASET: All Rights are Reserved | SJ Impact Factor 7.538 | ISRA Journal Impact Factor 7.894 |

ISSN: 2321 9653; IC Value: 45.98; SJ Impact Factor: 7.538 Volume 10 Issue XI Nov 2022 Available at www.ijraset.com

[6] Ministry of New and Renewable Energy (MNRE), “Renewable Energy in India: Growth and Targets”.

[7] Bidyadhar Subudhi and Raseswari Pradhan, “A Comparative study on Maximum Power Point Tracking Techniques for Photovoltaic Power Systems”, IEEE Transactions On Sustainable Energy, Vol.4, No.1, January2013.

[8] Luxy Xavier and Veena Wilson, “ Tracking of Maximum Power Point Using Direct Control Algorithm with a DC DC Converter and a BLDC Motor for Domestic Applications”, International Journal of Engineering and Innovative Technology (IJEIT) Volume 4, Issue 10, April 2015.

[9] Ali Reza Reisi , Mohammad Hassan Moradi , Shahriar Jamas, “Classification and comparison of maximum power point tracking techniques for photovoltaic system: A review”, Renewable and Sustainable Energy Reviews.

[10] hul Pazhampilly, S. Saravanan and N. Ramesh Babu, “Incremental Conductance BasedMPPT For PV System Using Boost and Sepic Converter”, ARPN Journal of Engineering and Applied Sciences, Vol. 10, No. 7, April 2015.

[11] Mei Shan Ngan and Chee Wei Tan, “A Study of Maximum Power Point TrackingAlgorithms for Stand alone Photovoltaic System”, 2011 IEEE Applied Power ElectronicsColloqulum (IAPEC).

[12] Kok Soon Tey and Saad Mekhilef, “ Modified Incremental Conductance Algorithm for Photovoltaic System under Partial hading Conditions and Load Variations”, IEEE Transactions On Industrial Electronics, Vol. 61, No. 10, October 2014.

[13] Saravanan, N. Ramesh Babu, Vivek Siwach and Gaurav Kumar, “Design and Analysis of MPPT Based PV System Using Boost and Sepic Converter”, International Journal of Applied Engineering Research, ISSN 0973 4562 Vol. 10 No.30 (2015).

[14] Marcelo Gradella Villalva, Jonas Rafael Gazoli, Ernesto Ruppert Filho, “Modeling and Circuit Based Simulation of Photovoltaic Arrays”, 978 1 4244 3370 4/09/$25.00 © 2009IEEE.

[15] S. Zahra Mirbagheri, Saad Mekhilef, S. Mohsen Mirhassani, “MPPT with Inc.Condmethod using conventional interleaved boost converter”, Published by Elsevier Ltd.,2013.

[16] Trishan Esram and Patrick L. Chapman, “Comparison of Photovoltaic Array Maximum Power Point Tracking Techniques”, IEEE Transactions on Energy Conversion, Vol. 22, No. 2, June 2007.

[17] Hamad, M.S, Fahmy, A.M, and Abdel Geliel, M, “Power Quality Improvement of a Single Phase Grid Connected PV system with Fuzzy MPPT Controller”, 978 1 4799 0224 8/13/$31.00 ©2013 IEEE.

[18] Vaddi Ramesh, P Anjappa, P.Dhanamjaya, “Simulation and Implementation of Incremental Conductance MPPT with Direct Control Method using Boost Converter”, International Journal of Engineering Science and Innovative Technology (IJESIT) Vol.2, Issue.6, November 2013.

[19] Zhou Xuesong, Song Daichun, Ma Youjie, Cheng Deshu, “The Simulation and Design for MPPT of PV system based on Incremental Conductance method”, 2010 WASE International Conference on Information Engineering.

[20] Govardhan Rathore, Mahesh Gorawar, P.P.Revankar, P.G. Tiwari, “Matlab based Comparative Studies on Selected MPPT Algorithms for SPV System”, IJRET:International Journal of Research in Engineering and Technology eISSN: 2319 1163 | pISSN: 2321 7308.

[21] Zeeshan Nazir Ahmad, Abdul Kashif Janjua and Akif Zia Khan, “Cost Effective Maximum Power Point Tracking of Photovoltaic Cell”, 978 1 4799 8713 9/15 $31.00©2015 IEEE.

[22] Mohammed A. Elgendy, Bashar and David J. Atkinson, “Assessment of the Incremental Conductance Maximum Power Point Tracking Algorithm”, IEEE Transactions on Sustainable Energy, Vol.4. No.1, January2015.

[23] Weidong Xiao, Nathan Ozog and William G. Dunford, “Topology Study of Photovoltaic Interface for Maximum Power Point Tracking”, IEEE Transactions On Industrial Electronics, Vol. 54, No. 3, June 2014.

[24] A. Safari and S. Mekhilef, “Incremental Conductance MPPT method for PV Systems”,978 1 4244 9789 8/11/$26 ©2011 IEEE

International Journal
Research
for
in Applied Science & Engineering Technology (IJRASET)
50 ©IJRASET: All Rights are Reserved | SJ Impact Factor 7.538 | ISRA Journal Impact Factor 7.894 |

Turn static files into dynamic content formats.

Create a flipbook
Issuu converts static files into: digital portfolios, online yearbooks, online catalogs, digital photo albums and more. Sign up and create your flipbook.