Satellite Image Processing Using Radiometric Resolution & Spectral Resolution

Page 1

https://doi.org/10.22214/ijraset.2023.49300

11 III
2023
March

ISSN: 2321-9653; IC Value: 45.98; SJ Impact Factor: 7.538

Volume 11 Issue III Mar 2023- Available at www.ijraset.com

Satellite Image Processing Using Radiometric Resolution & Spectral Resolution

Abstract: This paper presents a detailed comparison of various image processing techniques for analysing satellite images. The satellite images are large in size, acquired from long distances and are affected by noise and other environmental conditions. Hence it is necessary to process them so that they can be used by the researchers for analysis.

Spectral resolution basically is to measure changes in things that impact our environments like water quality or vegetation etc. Satellite images are widely used in many real time applications such as in agriculture land detection, navigation and in geographical information systems. In this paper, a review of spectral resolution requirements for urban mapping evaluated how spectral resolution of high-spatial resolution optical remote sensing data influences detailed mapping of urban land cover. A comprehensive regional spectral library and low altitude data from the Airborne Visible/Infrared Imaging Spectrometer (AVIRIS) were used to characterize the spectral properties of urban land cover.

In this paper, a review of some popular machine learning based image processing techniques is presented. Also a detailed comparison of various techniques is performed. Limitations in each image processing method are also described. In addition to reviewing different methods, different metrics for performance evaluation in each of the image processing areas is studied.

Keywords: Satellite Image Processing, Image Processing, Radiometric Resolution, Spatial Resolution, Spectrum Resolution, Temporal Resolution, Machine Learning, Deep Learning, Classifier Spectral Resolution, Convolutional Neural Network(CNN).

I. INTRODUCTION

Satellite Image Processing is an important field in research and development and consists of the images of earth and satellites taken by the means of artificial satellites. But while taking images of Earth and various objects in space, the images are widely affected due to various environmental conditions and noise. Images are taken from a very long range, therefore also playing a major factor in not being able to acquire clear images.

We will be using various different algorithms in-order to perform image processing and identifying the images captured by the satellites.

In broader terms we can say that the Satellite Image Processing is a kind of remote sensing which works on pixel resolutions to collect coherent information about the earth surface. Due to Satellite Imaging, predicting weather conditions, or development of any natural calamity has become very easy.

Satellite Image Processing not only collects information about Earth but also collects images of deep space objects, making it possible for the humans’ to research and understand about deep space objects.

The goals of this paper is to understand various methods involved in Satellite Image Processing, to understand and perform Radiometric Resolution & Spectral Resolution on Satellite Images, to learn about how images acquired from satellites are cleaned and used for various analysis, & to be able to Develop Understanding of Earth’s Surface and its terrain.

II. LITERATURE SURVEY

1) In this paper talks about introducing a new method called Mixed Radiometric Normalization (MRN) method, which is being used to eliminate Radiometric Differences in Image Mosaicking. The authors have proposed an approach that combines both absolute and relative radiometric normalization methods. To perform this experiment, ZY-3, GF-1, and GF-2 data have been used, and has been observed that the proposed model satisfactorily eliminates Radiometric Differences in Image Mosaicking.

2) The 2nd paper, propsed by Kunbo Liu, Tao ke, Pengjie Tao, et. al., is based on a Comp. Radiometric Normalization Method for multi-temporal High Resolution Satellite Images (HRSI) using Radiometric Block Adjustment. Here, the authors have considered 4 groups of different HRSI Dataset to validate the performance of the method proposed.

International Journal for Research in Applied Science & Engineering Technology (IJRASET)
112 ©IJRASET: All Rights are Reserved | SJ Impact Factor 7.538 | ISRA Journal Impact Factor 7.894 |

ISSN: 2321-9653; IC Value: 45.98; SJ Impact Factor: 7.538

Volume 11 Issue III Mar 2023- Available at www.ijraset.com

The authors of this paper proposed 2 steps from the methodology:

First, Selecting Radiometric Tie Points (RTPs) using IR-MAD.

Second, Conducting IRRA on the selected RTPs for Radiometric Normalization.

3) The paper proposes a Hybrid Canonical Correlational Analysis with hybrid regression model, that will help tackle problems of high computation and storage cost that were caused due to highly sized Kernel Matrices and Non-Linear Regression. Landsat-7 and Landsat-8 Satellite images were used as to check the working of the proposed model

4) METRIC processing algorithm has been proposed by the authors of this paper on “Sensitivity of evapotranspiration retrievals from the METRIC processing algorithm to improved radiometric resolution of Landsat 8 thermal data and to calibration bias in Landsat 7 and 8 surface temperature” in order to improve the Radiometric Resolution achieved by thermal images from Landsat–8. METRIC stands from Mapping Evapotranspiration at high Resolution using Internalized Calibration. The result of this paper depicts that there was no change in accuracy of METRIC and LST models.

5) The 5th research paper that we reviewed, talks about re-introducing existing methods and models like Pseudo-Invariant Features (PIF’s), Simple Regressions (SR), No Change Scattergrams (NC), and Histogram Matching (HM); and these models and methods have been applied to IKONOS & Quick Bird multi-spectral Images and perform normalization on their Radiometric Difference. To overcome problems of Band Difference, and to achieve more accurate results, some improvements have been introduced in the existing models. The results of the paper have been used to perform visual and Statistical Analysis.

6) An effective and automatic method based on Gaussian Mixture Model (GMM) has been proposed here. The proposed method talks about using two main steps; firstly, acquiring invariant pixels from analysing different images by GMM. And Secondly, using the obtained pixels to model relationship between multi-temporal images. To evaluate the proposed methodology, Quickbird, IKONOS, Super-View-1, & Worldview datasets were thoroughly analysed. The results show that the propose model has considerably improved the radiometric variation of the images obtained from the obtained datasets.

The authors of the paper have proposed a Relative Radiometric Normalization (RRN) method to perform radiometric normalization on multi-temporal images. The authors have performed this experiment in order to remove the outliers as well as find better linear transformation between reference images. Fig:2 & Fig:3 show the architecture of the proposed methodologies.

As Proposed by the authors, there are two main steps following these architectural methods:

Journal
)
International
for Research in Applied Science & Engineering Technology (IJRASET
113 ©IJRASET: All Rights are Reserved | SJ Impact Factor 7.538 | ISRA Journal Impact Factor 7.894 |
Fig: 1 – Iterartive Reweighted Radiometric Adjustment

International Journal for Research in Applied Science & Engineering Technology (IJRASET)

ISSN: 2321-9653; IC Value: 45.98; SJ Impact Factor: 7.538

Volume 11 Issue III Mar 2023- Available at www.ijraset.com

First, collecting in variant pixels from subject and reference images using GMM model. Second, these pixels are used in the RRN model to check its effectiveness in terms of time-saving and accuracy while determining the Radiometric Control Set Samples (RCSS).

7) Anju Asokan, J. Anitha, Monica Ciobanu, Andrei Gabor, Antoanela Naaji, and D. Jude Hemanth, “Image Processing Techniques for Analysis of Satellite Images for Classification of Historical Maps”, June 2020. This author has mentioned historical mapping due to the rapid change and expansion of society. Changes to historical maps include alterations to city/state borders, vegetation zones, bodies of water, etc. The majority of change detection in these locations is performed using satellite pictures. Therefore, substantial understanding of satellite image processing is required for applications involving the classification of historical maps. This paper provides a comprehensive examination of the benefits and drawbacks of numerous satellite image processing techniques. Although multiple computational approaches are available, the performance of the various satellite image processing applications varies by method. Certain comparative evaluations are also conducted to demonstrate the viability of several approaches. This effort will aid in the identification of inventive solutions for the various issues involved with satellite image processing applications.

114 ©IJRASET: All Rights are Reserved | SJ Impact Factor 7.538 | ISRA Journal Impact Factor 7.894 |
Fig:2 Relative Radiometric Normalization (RRN) Method Architecture Fig:3 – GMM Method Architecture

ISSN: 2321-9653; IC Value: 45.98; SJ Impact Factor: 7.538

Volume 11 Issue III Mar 2023- Available at www.ijraset.com

8) Akib javed, Qimin Cheng, Hao peng, Orhan Altan, Yan Li, Iffat Ara, Enamul Huq, Yeamin Ali, and Nayyer saleem's "Review of spectral indices for urban remote sensing" publication date November 2020. Urban spectral indices have made great achievements in urban land use and land cover studies during the past two decades through mapping, estimation, change detection, time-series analysis, urban dynamics, monitoring, etc. Using spectral indices for remote sensing, information extraction is unsupervised, objective, quick, scalable, and quantitative. This article will aid the reader in understanding the uses of urban spectral indices, the selection of indices based on accessible spectral bands, as well as their benefits and drawbacks.

9) Nikita Khanduri, Suhaib Akhtar, Swati Vashisht, and Shubhi gupta "An Enhancement to Satellite Image Processing Resolution," published: July2020..In this publication, the author discusses image processing. Image processing is the process of performing beneficial operations on a photograph in order to obtain an enhanced image or to extract useful data from it. It is a sort of signal processing in which the input is an image and the output is likely an image or characteristics/highlights associated with that image. The Digital Image Processing of Satellite data primarily consists of image rectification and restoration, enhancements and information extractions, and image modification. It is a preparation of Satellite data for Geometrical and Radiometric Associations. Enhancement of the material in order to successfully illustrate the information resulting in Visual Elucidation. Data Extraction is used to create topical guides based on Digital grouping.

10) Martin Herold, Meg Gardner, Brian Hadley, and Dar Roberts. “The spectral dimension in urban land cover mapping using highresolution optical remote sensing data” Publication date: 2004. This study studies the spectral dimension of urban materials using extensive field spectral measurements, hyperspectral AVIRIS, and simulated IKONOS and LANDSAT TM data at a spatial resolution of 4 metres. The results reveal that the spectral features of urban land cover types are exceedingly complicated and diversified.

Journal
)
International
for Research in Applied Science & Engineering Technology (IJRASET
115 ©IJRASET: All Rights are Reserved | SJ Impact Factor 7.538 | ISRA Journal Impact Factor 7.894 |
Fig 4: Image Fusion Block Diagram Fig 5: CNN Algorithm steps/ Architecture

A. Convolution Neural Network (CNN)

ISSN: 2321-9653; IC Value: 45.98; SJ Impact Factor: 7.538

Volume 11 Issue III Mar 2023- Available at www.ijraset.com

III. ALGORITMIC SURVEY

We have used Convolutional Neural Network or CNN for our project. A Convolutional Neural Network (CNN/ ConvNet) is a Deep Learning Algorithm that is mostly used for image processing. The pre-processing required in CNN is very less as compare to other Deep Learning Algorithms.

Any CNN model has 4 important layers –

 Convolution Layer: It is the first layer in a CNN model. It has several filters that are used to perform convolution operations on an image. Here every image is considered as a matrix of pixel values.

 ReLU Layer: It stands of Rectifier Layer Unit. This layer is responsible for performing element wise operations, by setting –ve values to 0.

 Pooling Layer: In this layer, filters are applied in order to identify edges, bodies, corners, etc. It is a down-sampling operation that reduces the dimensionality of the feature map.

 Fully Connected Layer: The final layer in the CNN model, a fully connected layer is nothing but an Artificial Neural Network where every nodes of one layer are connected to every node of the next layer.

1) Mathematical Model of CNN

CNN is a very simple model to understand theoretically, but there is maths involved behind the working of its each step –

 Convolution Step: Convolution is a process where we take small matrix and transform it based on our values after passing over an input image. Its feature map values are calculated from the following formula –

Here, h = Kernel, f = Input Image, m & n = Rows and Columns of resultant matrix.

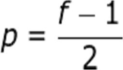
2) Padding Step: Padding is used to enlarge or shrink our image size, to desired size. This is done to ensure the image size of our input image is same as our output image. Padding should meet the following formula

Here, p = Padding, f = Filter dimensions.

3) Dimension of Output Matrix: The dimensions of the output matrix - taking into account padding and stride - can be calculated using the following formula –

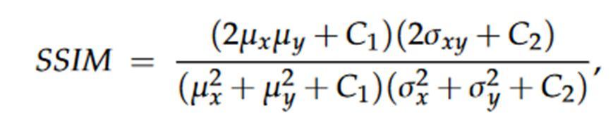
B. Peak Signal to Noise Ratio (PSNR)

Peak Signal to Noise Ratio (PSNR), Mean Square Error (MSE), Feature Similarity Index (FSIM)and Structural Similarity Index (SSIM). PSNR finds the quality of the final image.

Here, MSE is the Mean Square Error.

Journal
International
for Research in Applied Science & Engineering Technology (IJRASET)
116 ©IJRASET: All Rights are Reserved | SJ Impact Factor 7.538 | ISRA Journal Impact Factor 7.894 |

ISSN: 2321-9653; IC Value: 45.98; SJ Impact Factor: 7.538

Volume 11 Issue III Mar 2023- Available at www.ijraset.com

Here I(i,j) is the original image and I′(i,j) represents the thresholded image. PSNR and MSE are mainly used to analyze the quality of compressed and reconstructed image. SSIM measures the structural similarity between the source and final image while FSIM measures the feature similarity between the source and final image. There are two features that can be viewed in FSIM. They are Phase congruency and Gradient magnitude. Phase congruency (PC) is a dimensionless quantity which is significant in local structure map and is a primary feature in FSIM. PC is contrast invariant with no effect of contrast information on human visual system. Gradient magnitude (GM) is another important feature in FSIM. PC and GM are complementary to one another in describing the image local quality.

Here, x represents the whole image, SL(x) denotes the similarity in the two images and PCm is the phase congruency map. SSIM is calculated using Equation.

Here, μx and μy represents the sample means of x and y, respectively; σx and σy give the sample variances of x and y, respectively; and σxy describes the sample correlation coefficient between x and y and x and y are local windows in the input images.

C. Precision Measurement

Precision is a measure of the number of positive class predictions that actually belong to the positive class. For an imbalanced classification problem having two classes, precision is the ratio of the number of true positives to the total number of true positives and false positives. For an imbalanced classification problem with multiple classes, precision is computed as the ratio of the sum of true positives across all classes to the sum of true positives and false positives across all classes. In an imbalanced classification, the distribution of data across the known class is biased.

F-measure is a parameter which decides the image accuracy.

The Bhattacharyya distance is a sum where the first part represents the mean difference component and the second part the covariance difference component.

They were used to assess the spectral separability of different land cover types and to select and evaluate important spectral bands for urban land cover mapping. The image processing and analysis was performed using a freeware program “MultiSpec”, designed for the processing and analysis of hyperspectral remote sensing datasets.

Journal
in
Science
)
International
for Research
Applied
& Engineering Technology (IJRASET
117 ©IJRASET: All Rights are Reserved | SJ Impact Factor 7.538 | ISRA Journal Impact Factor 7.894 |

International Journal for Research in Applied Science & Engineering Technology (IJRASET)

ISSN: 2321-9653; IC Value: 45.98; SJ Impact Factor: 7.538

Volume 11 Issue III Mar 2023- Available at www.ijraset.com

IV. COMPARITIVE STUDIES

These spectral meter used in satellite for improvised and quality image of the earth, some of the satellite mostly used :

1) Landsat 7 ETM+ Satellite Sensor (15m): The Landsat 7 ETM+ satellite sensor was successfully launched from the Vandenburg Air Force Base on April 15, 1999. Landsat 7 satellite is equipped with Enhanced Thematic Mapper Plus (ETM+), the successor of TM. The observation bands are essentially the same seven bands as TM, and the newly added anchromatic band 8, with a high resolution of 15-meters was added.

2) ASTER Satellite Sensor (15m): ASTER is a 15-meter, 14 band multispectral resolution instrument. It can be used for land cover and change detection, calibration, validation, and land surface studies.

3) GeoEye-1 Satellite Sensor (0.50m): GeoEye-1 is capable of acquiring image data at 0.50-meter panchromatic (B&W) and 1.84meter multispectral resolution. The satellite, which was launched at Vanderberg Air Force Base, California, provides a resolution of 0.46-meters

118 ©IJRASET: All Rights are Reserved | SJ Impact Factor 7.538 | ISRA Journal Impact Factor 7.894 |
Algorithm Comparison Score CNN Accuracy 95% Time Complexity O(n) Space Complexity GMM Accuracy 77-82% Time Complexity O(NKD3) Space Complexity KCCA Accuracy 88-92% Time Complexity O(N4) Space Complexity
Table 1: Comparitive Study of Existing Algorithms Table 2: Image Fusion Techniques

ISSN: 2321-9653; IC Value: 45.98; SJ Impact Factor: 7.538

Volume 11 Issue III Mar 2023- Available at www.ijraset.com

V. RESULTS OF EXISTING WORK

1) Satellite image processing is one of the most important computer techniques with applications in the military, agriculture, natural disaster prevention, identification of natural resources, etc. In this spectral resolution which identifies the band width fro wave length as for every system the spectral resolution is improved time after time th improvement like increase in the band width, precise pixel location, detecting color, improving pixel quality devices name as hyperspectrometer for multiband, mass spectrometer, NMR spectrometer and the optical spectrometer. The output of the system which are built were the most helpful for the society and to upcoming which are we going to face in the world and researcher and still improving this tech for betterment of the society.

2) Kunbo Liu, et. al., concluded that the proposed method of using IRRA method is both Robust as well as it is outperforming a couple of existing state-of-the-art methods, from qualitative and quantitative aspects. It has some major characterstics: 1) Independent of Master Images, 2) elimination of outliers, & 3) Optimal solution from a Global Point of view.

3) Lino Garda Denaro, Chao-Hung Lin, in their paper on Hybrid Canonical Correlation Analysis, the authors found that the storage cost of KCCA reduced from 114.3 GB to 5.6 GB, and also the computation cost is improved from it require 49hrs to 7.9sec for images of size 200x200. They also observed superiority of Hybrid Regression over simple Linear and Non-Linear Regression on basis of quantitative analysis on the PIFs.

4) Ayse Kilic, et. al., in their paper to perform evapotranspiration (ET) on Landsat 8 and Landsat 7 images, concluded that the ET produced by Landsat 8 is same as Landsat 7 images.

VI. APPLICATIONS

Satellite images provide a true picture of earth and its environment in real-time. The large constellation of remote sensing satellites orbiting the earth provides a comprehensive and periodic coverage of the earth, enabling myriad uses for the benefit of mankind. Below are a few applications of satellite image processing -

1) Providing a base map for reference

2) Landuse/ Landcover Mapping

3) Planning for disaster mitigation

4) Monitoring Climate Change

5) Application in Agriculture and Forestry.

6) Used in satellite sensor to measure specific wavelength of the electromagnetic spectrum.

7) Used in system two distinguish between object.

8) Used in spectrometers.

9) Used in photogrammetry.

VII. CONCLUSION

Therefore, we have studied Satellite Image Processing Using Radiometric Resolution. To execute our project, we used CNN or Convolutional Neural Network Model, therefore, giving us a very high accuracy rate.

We were also able to conclude that images obtained from Landsat-8 and Landsat-7 satellites are very descriptive and clear, and thus it was a useful dataset for our model. Also the Nasa’s Worldview dataset proved to be a very informative dataset.

REFERENCES

[1] Yongjun Zhang, Lei Yu, Mingwei Sun, and Xinyu Zhu, “A Mixed Radiometric Normalization Method for Mosaicking of High-Resolution Satellite Imagery” IEEE Transactions on Geoscience and Remote Sensing, 2017

[2] Kunbo Liu, Tao ke, Pengjie Tao, Jianan He, Ke Xi, KAijun Yang, “Robust Radiometric Normalization of Multitemporal Satellite Images Via Block Adjustment Without Master Images” IEEE Journal of Selected Topics in Applied Earth Observations and Remote Sensing, 2020

[3] Lino Garda Denaro, Chao-Hung Lin, “Hybrid Canonical Correlation Analysis and Regression for Radiometric Normalization of Cross-Sensor Satellite Imagery”, IEEE Journal of Selected Topics in Applied Earth Observations and Remote Sensing, 2020

[4] Ayse Kilic, Richard Allen, Ricardo Trezza, Ian Ratcliffe, Baburao Kamble, Clarence Robison, Doruk Ozturk, “Sensitivity of evapotranspiration retrievals from the METRIC processing algorithm to improved radiometric resolution of Landsat 8 thermal data and to calibration bias in Landsat 7 and 8 surface temperature”, Remote Sensing of Environment, 2016

[5] Gang Hong, Y. Zhang, “A comparative study on radiometric normalization using high resolution satellite images”, International Journal of Remote Sensing, 2008

[6] Hamid Ghanbari, Saeid Homayouni, Pedram Ghamisi, Abdolreza Safari, “Radiometric Normalization of Multitemporal and Multisensor Remote Sensing Images Based on a Gaussian Mixture Model and Error Ellipse”, IEEE Journal of Selected Topics in Applied Earth Observations and Remote Sensing, 2018.

Journal
International
for Research in Applied Science & Engineering Technology (IJRASET)
119 ©IJRASET: All Rights are Reserved | SJ Impact Factor 7.538 | ISRA Journal Impact Factor 7.894 |

International Journal for Research in Applied Science & Engineering Technology (IJRASET)

ISSN: 2321-9653; IC Value: 45.98; SJ Impact Factor: 7.538

Volume 11 Issue III Mar 2023- Available at www.ijraset.com

[7] Hao Cui, Guo Zhang, Tao-Yang Wang, Xin Li, Ji Qi, "Combined Model Color-Correction Method Utilizing External Low-Frequency Reference Signals for Large-Scale Optical Satellite Image Mosaics", IEEE Transactions on Geoscience and Remote Sensing, vol.59,2021.

[8] Xinghua Li, Ruitao Feng, Xiaobin Guan, Huanfeng Shen, Liangpei Zhang, "Remote Sensing Image Mosaicking: Achievements and Challenges", IEEE Geoscience and Remote Sensing Magazine, vol.7, 2019.

[9] Jiayuan Li, Qingwu Hu, Mingyao Ai, "Optimal Illumination and Color Consistency for Optical Remote-Sensing Image Mosaicking", IEEE Geoscience and Remote Sensing Letters, vol.14, 2017.

[10] Anju Asokan, J. Anitha, Monica Ciobanu, Andrei Gabor, Antoanela Naaji, and D. Jude Hemanth, “Image Processing Techniques for Analysis of Satellite Images for Classification of Historical Maps”, June 2020.

[11] Akib javed, Qimin Cheng, Hao peng, Orhan Altan, Yan Li, Iffat Ara, Enamul Huq, Yeamin Ali, and Nayyer saleem's "Review of spectral indices for urban remote sensing" publication date November 2020.

[12] Nikita Khanduri, Suhaib Akhtar, Swati Vashisht, and Shubhi gupta "An Enhancement to Satellite Image Processing Resolution," published: July 2020.

[13] Martin Herold, Meg Gardner, Brian Hadley, and Dar Roberts. “The spectral dimension in urban land cover mapping using high-resolution optical remote sensing data” Publication date: 2004.

[14] Kunhao Yuan , Xu Zhuang, Gerald Schaefer, Jianxin Feng , Lin Guan, and Hui Fan “Deep-Learning-Based Multispectral Satellite Image Segmentation for Water Body Detection” published: may 2021.

120 ©IJRASET: All Rights are Reserved | SJ Impact Factor 7.538 | ISRA Journal Impact Factor 7.894 |

Turn static files into dynamic content formats.

Create a flipbook
Issuu converts static files into: digital portfolios, online yearbooks, online catalogs, digital photo albums and more. Sign up and create your flipbook.
Satellite Image Processing Using Radiometric Resolution & Spectral Resolution by IJRASET - Issuu