Queuing Theory to Reduce Waiting Time in Automatic Teller Machine (ATM)

Page 1

10 XI November 2022

ISSN: 2321 9653; IC Value: 45.98; SJ Impact Factor: 7.538

Volume 10 Issue XI Nov 2022 Available at www.ijraset.com

Queuing Theory to Reduce Waiting Time in Automatic TellerMachine (ATM)

Nethra. V1 , T. Priyadharshini2

1M.SC Mathematics, Department of Mathematics, Dr SNS Rajalakshmi College of Arts and Science. Coimbatore,Tamilnadu, India

2Assistant Professor, Department of Mathematics, Dr SNS Rajalakshmi College of Arts and Science, Coimbatore,Tamilnadu , India

Abstract: In order to receive the requested service, which may be processed or supplied one at a time, consumers or people frequently queue up. Bank ATMS wouldn’t lose clients as a result of lengthy queue waits. When we apply M/M/S model (i.e., MULTI SERVER QUEUING MODEL) we can reduce the waiting time in queue line. To implement this method the bank should places two ATM in each branch. This essay demonstrates how this issue was resolved using the queuing theory. Getting the data from a city’s bank ATM. Next we determine the frequency of arrival, level of service, rate of utilization, and duration of waiting queue as well as the typical clientele.

Keywords: Queuing System, Characteristics Of Queuing System, Arrival Pattern, Mean Arrival Rate (Λ), Service Pattern, Mean Service Rate (µ), Number Of Servers, Queuing Discipline, Multi Server Queuing Model, (M/M/C): (∞ /Fcfs), Formulas For Multi Server Queuing Model, Results And Discussion

I. INTRODUCTION

The mathematical study of waiting lines, or queues, is known as queuing theory. The study of queues deals with measuring the phenomenon of waiting lines using representative measures of performances, such as average queue length , average waiting time in queue and average facility utilization. A queuing model is constructed so that queue lengths and waiting time can be predicted. Queuing theory is generally considered a branchof operations research because the results are often used when making business decisions about the resources needed to provide a service. This methodology is applicable in the field of Business, Industries, Government, Transportation, Restaurants, and Library etc. Queues arise when the short term demand for service exceeds the capacity. The Mathematical analysis of queues and waiting times in stochastic systems is called Modeling theory or Queuing theory.

II. MATERIALS AND METHODS

A. Structures and Classifiaction of Queuing Theory

B. Queuing System

The mechanism of queuing process is very simple. Customers arrive at a service counter and are attended to by one or more of the servers. As soon as customer is served it departs from the system. Thus a queuing system can be described as consisting of customers arriving for service, waiting for services it is not immediate and leaving the system after being served.

International Journal for Research in Applied Science & Engineering Technology (IJRASET)
1426 ©IJRASET: All Rights are Reserved | SJ Impact Factor 7.538 | ISRA Journal Impact Factor 7.894 |

ISSN: 2321 9653; IC Value: 45.98; SJ Impact Factor: 7.538

Volume 10 Issue XI Nov 2022 Available at www.ijraset.com

The general framework of a queuing system is shown in below:

1) Characteristics Of Queuing System

In designing a good queuing system, it is necessary to have a good information about the model. Thecharacteristic listed below would provide sufficient information, Arrival pattern Server pattern Number of serversQueuing discipline

2) Arrival Pattern

This is the manner in which arrivals occur, indicted by the inter arrival time between any two consecutive arrivals.For our stochastic modelling framework, the inter arrival time may vary and may be described by a specific probabilitydistribution that best describes the arrival pattern observed.

3) Mean Arrival Rate (λ)

The mean arrival rate in a waiting line situation is defined as the expected number of arrivals occurring in a lengthunity. We define λ to be the arrivalrate, which willhave units of arrivals per hour

4) Service Pattern

This is the manner in which the service is rendered and is specified by the time taken to complete a service. Similar to the arrival pattern, distribution of the service time must be specified under stochastic modelling considerations.

5) Mean Service Rate (µ)

Themean service rate is defined as the expected number of services completed in a timeinterval of length unity We define µ to be the servicerate is the expected number of customers that can be served by one of the serversper unit time

6) Number of Servers

Thenumber of servers that are being utilize should be specified and in the manner. Theywork as a parallel serversor a series server has to be specified

7) Queuing Discipline

Themost common queue disciplines are: First in first out(FIFO)First in last out (FILO) Served in random order(SIRO)Priorityscheduling Processor sharing

International Journal
Research
)
for
in Applied Science & Engineering Technology (IJRASET
1427 ©IJRASET: All Rights are Reserved | SJ Impact Factor 7.538 | ISRA Journal Impact Factor 7.894 |

ISSN: 2321 9653; IC Value: 45.98; SJ Impact Factor: 7.538 Volume 10 Issue XI Nov 2022 Available at www.ijraset.com

C.

Multi Server Queuing

Model(M/M/C): (∞ /FCFS)

Multi server queue has two or more services facility in parallel providing identical service. All the customers in the waiting line can be served by more than one station. The arrival time and the services time follows Poisson and exponential distribution. First, the queuing formulas for a multiple server queuing system will be presented. These formulas, like single server model formulas, have been developed on the assumption of a first come, first served queue discipline, Poisson arrivals, exponential service times, and an infinite calling population.

III. FORMULAS FORMULTI SERVERQUEUING MODEL

1) The probabilitythat all the servers areidle is 2) The probabilityof n customers in the queuing system is 3) The averagenumber of customers in thequeuing system is 4) The average timea customer spends in thequeuing system (waiting and being served) is 5) The averagenumber of customers in the queue is 6) The average timea customer spends in thequeue, waiting tobe served, is 7) The probabilitythat a customer arriving in the system must wait for service (i.e., theprobabilitythat all the serversare busy) is

International Journal
)
for Research in Applied Science & Engineering Technology (IJRASET
1428 ©IJRASET: All Rights are Reserved | SJ Impact
7.538 | ISRA Journal Impact
7.894 |
Factor
Factor

ISSN: 2321 9653; IC Value: 45.98; SJ Impact Factor: 7.538 Volume 10 Issue XI Nov 2022 Available at www.ijraset.com

IV. RESULTS AND DISCUSSION

The summary of data collected for a period of five working Days (Monday Friday) from8am 6pm is presented in Table 1

Table 1

Days Inter Arrival Time (MIN) Service Time for ATM 1 (MIN) Service Time for ATM 2 (MIN) Total Noof Customers

Monday 594 444 358 307 Tuesday 601 409 414 356 Wednesday 595 403 370 300 Thursday 596 407 381 289 Friday 599 454 451 365 Total 2985 2117 1974 1617

From Table 1, we obtain thefollowing:

1) Average Inter Arrival time for each Day = total inter arrival time for each day/total number of customers foreach day Hence, Average inter arrival time for Monday is 594/307 = 1.935 minutesAverage inter arrival time for Tuesday is 601/356 = 1.688 minutes Average inter arrival time for Wednesday is 595/300 = 1.983 minutes Average inter arrival time for Thursday is 596/289 = 1.062 minutes Average inter arrival time for Fridayis 599/365 = 1.641 minutes

2) The Average service time for each server is = total service time for each day/total number of customers for eachday Hence, (a) the average service time for ATM 1 is = total service time for each day/total number of customers foreach day Therefore, the average service time for Monday is 444/307 = 1.446 minutes Average service time for Tuesday is 409/356 = 1.149minutes

Average service time for Wednesday is 403/300 = 1.343 minutesAverage service time for Thursday is 407/289 = 1.408 minutes Average service time for Fridayis 454/65 = 1.244minutes (b) The average service time for ATM 2 is = total service time for each day/total number of customers for eachday Hence, theaverage service time for Mondayis 358/307 = 1.166 minutes Average service time for Tuesday is 414/356 = 1.63 minutes Average service time for Wednesday is 370/300 = 1.233 minutes Average service time for Thursday is 381/289 = 1.318 minutes Average service time for Fridayis 451/365 = 1.236 minutes

Table 2: Shows the Total, Average Inter arrival Time and Service Time with TotalNumber of Customers for thefive Working Days considered

Days Inter Arrival Time(MIN) Service TimeATM 1 (MIN) Service TimeATM 2 (MIN) TotalNumber ofCustomers

Total 594 444 358 Mon 307 Average 1.935 1.446 1.166 Total 601 409 414 Tue 356 Average 1.688 1.149 1.163 Total 595 403 370 Wed 300 Average 1.983 1.343 1.233 Total 596 407 381 Thur 289 Average 2.062 1.408 1.318 Total 599 454 451 Fri 365 Average 1.641 1.244 1.236

The Total 2 is presentation of the average inter arrival time of the customer in the system and the averageservice time for the two ATMs for the five Working Days considered.

International Journal for Research in Applied Science
)
& Engineering Technology (IJRASET
1429 ©IJRASET: All Rights are Reserved | SJ Impact Factor 7.538 | ISRA Journal Impact Factor 7.894 |

ISSN: 2321 9653; IC Value: 45.98; SJ Impact Factor: 7.538

Volume 10 Issue XI Nov 2022 Available at www.ijraset.com

From theTable 2 we obtain,

The Total average service time for ATM 1 is = sum of average service for non Friday / 5 = 6.590/5 = 1.318minutes

The Total average service time for ATM 1 is = sum of average service for non Friday / 5 = 6.116/5 = 1.223minutes

Hence, The Average service Time for the system is =ATM 1 avg. service time + ATM 2 avg. servicetime / 2 =1.223 / 1.318 = 1.27 minutes

Hence, The Average service Time for the system is = sum of avg. inner arrival time (mon fri)/ 5 =9.309/5 = 1.86 minutes Hence, the Average inter arrival timeis 1.86minutesTheaverage service timeis 1.27minutes Then, the service rate and arrivalrate is calculated as;

Service rate 1 / average service time = 1/1.27 = 0.787 Customers per minute = 47.4 Customers per hour Arrival rate 1 /average arrival time =1/1.86 = 0.538 Customers per minute = 32.4 Customers per hour

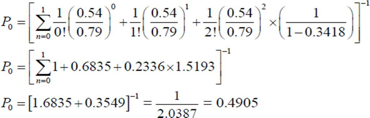
Using equation (7) weobtain =0.54/ 2 x 0.79 = 0.3418 or 34.18 % To calculate probabilityof no customer in the system, we use equation (1)

To obtain the expected number of customers waiting in thequeue, we use equation (3)

Lq 0.0904 Customers

To calculate expected number of customers in the system, we use equation (4)

L= 0.094+0.54/0.79 = 0.7740customers s

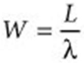
Using equation (5) weobtain expected waiting timein thequeue asW = 0.094/0.54=0.1680 minutes q

Using equation (6) weobtain expected waiting timein thesystem asWs = 0.1680+1/0.79 = 1.434 Minutes

Using equation (1) we obtain probabilityof n customers in the queuing system as where, Probability when n s i.e.n 2,n 0,1,2

International Journal
Research
)
for
in Applied Science & Engineering Technology (IJRASET
1430 ©IJRASET: All Rights are Reserved | SJ Impact Factor 7.538 | ISRA Journal Impact Factor 7.894 |

ISSN: 2321 9653; IC Value: 45.98; SJ Impact Factor: 7.538 Volume 10 Issue XI Nov 2022 Available at www.ijraset.com

The probability when n > 2 i.e.n = 3,4,5,...

The values from P0 to P12 is presented in Table 3

N Probability

Cumulative 0 0.4905 0.4905 1 0.1677 0.6582 2 0.02870 0.6869 3 0.004897 0.691797 4 0.0008368 0.6926338 5 0.0001430 0.6927768 6 0.00002444 0.69280124 7 0.000004177 0.692805417 8 0.0000007138 0.6928061308 9 0.0000001220 0.6928062528 10 0.00000002085 0.6928062736 11 0.000000003563 0.6928062772 12 0.0000000006089 0.6928062778

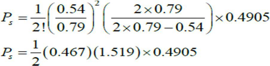
From the Table 3, it can be observed that as n increases the probability decreases. This means that probability ofhaving no customer in system is unlikely while the probability of having many customers in the system is also unlikely. The probabilitythat on arrival a customer has to wait for service is calculated using equation (8) thus

Ps 0.174

A. Busy Time of the System

To calculate the busy time of the machines we multiply the banking hours of the ATM machine used bythe utilization factor i.e.

BusyTime=Banking hours of ATMs s

Busy Time =10x0.3418= 3.418hours

International Journal
)
for Research in Applied Science & Engineering Technology (IJRASET
1431 ©IJRASET: All Rights are Reserved | SJ
7.538 | ISRA Journal
|
Impact Factor
Impact Factor 7.894

ISSN: 2321 9653; IC Value: 45.98; SJ Impact Factor: 7.538

Volume 10 Issue XI Nov 2022 Available at www.ijraset.com

B. Idle Time of the System

To calculate the idle time of the machine we subtract Busy time from Banking hours of the ATM i.e.Idle Time= Bankinghours of ATM Busytime (10)

Idle Time =10 3.418 = 6.582 hours

Table 4:The table below shows the values of the parameters& some queueformulae used Queue parameters &formulae Value

Arrival rate 0.54

Service rate 0.79

Utilization factor 0.3418

Expected number ofcustomers in system LS 0.7740

Average Length of queue Lq 0.0904

Expected waitingtimein thesystem Ws 1.4340

Expected waitingtimein queue Wq 0.1680

Prob ofzero customersin the system P0 0.4905

Probthat a customer must wait for service on arrival PS 0.1740

The number of customers recorded during the five working days considered is 1617persons with arrival rate of 0.54 customers per minute equivalent to 32.4customer per hour while the service rate is 0.79 customer per minutes also equivalent to 47.4 customers per hour. This shows that the service rate of the system is greater than the arrival rate, which implies that customers don’t have to queue up for so long to be served. Probability that theATMs are idle is 0.4905, which implies a probability of 49.05% idle time and 50.95% busy time of the ATMs and the traffic intensity is 0.3418 (34.18%). A customer spent a total time of 1.434 minutes in the system.

V. CONCLUSION

The performance level of the Axis Bank ATM’s stand located in Saravanampatti has been effectively investigated using the M/M/S Queuing model. It was observed that the busy time of the machine is 3.418 Hours while the idle time is 6.582 hours in the 10 hours of banking time. The utilization factor is 0.3418 or 34.18%, thisimplies good service delivery by the machines therefore no urgent need for an additional ATMat thelocation.

VI. ACKNOWLEDGEMENT

Thank you to T. Priyadharshini, Assistant professor, Department of Mathematics, Dr SNS Rajalakshmi College ofArts and Science, Coimbatore, Tamilnadu, India.

REFERENCES

[1] [1][2]Department of Statistics, Federal University of Technology Akure Nigeria, "Queueing Modelling To Customer’s Management At An Automated Teller Machine (Atm)", Kupolusi, Joseph Ayodele & Arije, Moses, available through online jakupolusi@futa.edu.ng

[2] 1Department of Mathematics, Federal University of Technology Minna, Nigeria, 2Department of Mathematics, Federal University of Technology Minna, Nigeria, 3Department of Mathematical Science, Ibrahim Badamasi Babangida University Lapai, Nigeria, " An Investigation Of The Performance Levelof dy Of Stanbic Ibtc Bank Minna, Niger State, Nigeria", Lawal Adamu,1 Aborisade, I. F.,2 & AbdulkadirAbubakar3.

[3] Department of Business Administration and Management, Federal Polytechnic, Kaura Namoda, Nigeria, 2Department of Mathematics, Faculty of Science, Usmanu Danfodiyo University, Sokoto, Nigeria, 3Department of Business Administration, Faculty of Management Sciences, Usmanu Danfodiyo University, Sokoto, Nigeria, "Queuing Theory and ATM Service Optimization: Empirical Evidence from First Bank Plc, Kaura Namoda Branch, Zamfara State", Muhammad Sani Burodo1, *, Shamsuddeen Suleiman2, Yakubu Shaba3, ISSN: 2578 8302 (Print); ISSN: 2578 8310 (Online), available through online http://www.sciencepublishinggroup.com/j/ajomis

[4] 1,2,3Universitas Padjadjaran, Indonesia, " Technology of Auto Teller Machine Interface: Accessibility forBank Customer with Visual Impairments", Priyo Subekti1, Hanny Hafiar2, Yanti Setianti3, Journal of Physics: Conference Series 1783 (2021) 012024, available through online IP address 157.49.95.211

[5] Department of CSE, Jamia Hamdard, New Delhi, "Performance Comparison of MPLS and ATM Based Networks", Adnan Shakeel Ahmed, Md Omair Ahmad, ICIDSSD 2020

[6] 1Department of Mathematics, Amrita School of Arts and Science, Amrita Vishwa, VidyapeethamAmritapuri Campus, Kollam, Kerala, India, 2Assistant Professor, Department of Mathematics, Amrita School of Arts and Science, Amrita Vishwa Vidyapeetham, Amritapuri Campus, Kollam, Kerala, India, " Application of queuing theory to reduce waiting period at ATM using a stimulated approach" S Devi Soorya1, K S Sreelatha2, IOP Conf. Ser.: Mater. Sci. Eng. 1145 012041, available through onlineIP address 139.28.225.11

[7] 1 University of Algiers 3, (Algiers), 2 University of Algiers 3, (Algiers), " The Contribution of (ATM) system to improve the banking services Case study: Algerian National Bank(B.N.A) Ouargla agency", AzzeddineTemmar 1, AzzeddineMehammedi 2, ISSN: 2170 1938, EISSN: 2602 7313,

International Journal for Research in Applied
)
Science & Engineering Technology (IJRASET
1432 ©IJRASET: All Rights are Reserved | SJ Impact Factor 7.538 | ISRA Journal Impact Factor 7.894 |

Turn static files into dynamic content formats.

Create a flipbook
Issuu converts static files into: digital portfolios, online yearbooks, online catalogs, digital photo albums and more. Sign up and create your flipbook.