Mathematics\' Ring Theory Involving Prime Rings, and Destructing Generalized Derivative Identities

Page 1

10 X October 2022 https://doi.org/10.22214/ijraset.2022.47062

ISSN: 2321 9653; IC Value: 45.98; SJ Impact Factor: 7.538

Volume 10 Issue X Oct 2022 Available at www.ijraset.com

Mathematics' Ring Theory Involving Prime Rings, and Destructing Generalized Derivative Identities on the Left

Mrs. Shubhi Agrawal1, Dr. Jyotsna Chandel2

1, 2Research Scholar, Associate Professor, Departrment of Mathematics, D.S. College

Abstract: Using the study of extended derivations on prime rings, we show in this paper that if anything fulfills an identity, it must have a certain form. This exemplifies the special contribution we've made to the field of prime ring research. It is a commutative ring, addition is commutative, operations are associative and distributive, and identities and inverses involving addition and multiplication hold. In this proof, we assume that R is a prime ring, U is the Utumi ring of quotient of R, C = Z(U) is an extensive centric of R, L is a non-central lounge idyllic of R, and 0 ≠ a ∈ R exists. The existence of R derivation of generalized F fulfilling the condition a (F ( )± F( ) ) = 0 for every u ∈ L requires to hold.

Keywords: Prime ring, Utumi quotient ring. Generalized derivation, Ring Theory, Left Generalized

I. INTRODUCTION

Learning about additive mappings is crucial if you want to make progress in ring theory. For this purpose, we will use the definition of derivations as a collection of mappings that add up to 1. Using the study of extended derivations on prime rings, we show in this dissertation that if anything fulfills an identity, it must have a certain form. This exemplifies the special contribution we've made to the field of prime ring research. When we eliminate the additively of F and relax the constraints on d, we arrive at a multiplicative (generalized) derivation. It's OK if d isn't an additive or derived function. This is so because the concept of extended derivation only makes sense if F is additive. The framework of multiplicative (generalized) derivation is also used to investigate a number of identities in semiprime rings. In this context, "one ring" may be represented by the letter R, whereas "R" can be written as "d." Addition map in R's vector space, and then we may claim that d is an example of a reverse derivation on R. When R is commutative, the inverse of a derivation is the same as the original. Herstein originally demonstrated this backwards derivation in 1957. Finally, a multiplicative (generalized) reverse derivation is provided after examining the ring structure and mapping behavior. In 1957, for the data that Posner relies on, please go here. Several writers have examined the Marxist ideology that discourages individuality. This is because F is a mapping defined on a ring with a non zero characteristic. In particular, we have considered the scenario in which ring F be a comprehensive derivation of ring R, where R be a prime ring. We also derive the left annihilator of identity using multilinear polynomials in prime rings. Posner's theorem is well known for its ability to concentrate derivations on prime rings, and it has been the subject of recent efforts to generalize it. When order 2 derivations on commutators disappear, they have fascinating repercussions In conclusion, we extract several important conclusions from our investigation of the left annihilator of identity on Banach algebra. The presence of multiplicative inverses and the commutatively of multiplication are not necessary in rings, a further extension of fields in algebra. For this reason, we may define a ring as a set that admits two binary operations, addition and multiplication that are equivalent to their integer equivalents. Indices, complex numbers, polynomials, square matrices, functions, and power series are all instances of ring members that are not numbers. Numerical rings may include any number, including reals, complexes, and integers. In mathematics, a ring is an abelian group with the action of addition. Additionally to addition, ring theory also provides the multiplicatively identical associative multiplication, distributive multiplication, and commutative multiplication. When referring to the more generic structure that does not need this last criterion, some writers spell "rng" without the initial "I.”. The minimal set of operations that may be applied to a ring is called its additive group. The additive group is expected to be abelian, which may be inferred from the ring's axioms as part of the specification. The proof cannot be used with a random number generator, since it needs the value 1. For random number generators, the axiom of commutatively of addition is derived from the previous assumptions and only applies to parts that are products, such as ab + cd = cd + ab Others, however, expand the meaning of "ring" to include general topologies where associative multiplication is not required. Many modern authors, however, do use "ring" in the sense that will be discussed in a moment.

International Journal for Research in Applied Science
Engineering
)
&
Technology (IJRASET
627 ©IJRASET: All Rights are Reserved | SJ Impact Factor 7.538 | ISRA Journal Impact Factor 7.894 |
Aligarh, Dr Bhimrao Ambedkar University, Agra

ISSN: 2321 9653; IC Value: 45.98; SJ Impact Factor: 7.538 Volume 10 Issue X Oct 2022 Available at www.ijraset.com

For example, a ring is a special kind of set having two operations (typically addition and multiplication) and various other properties. The ring has the following properties: it is a commutative ring, addition is commutative, operations are associative and distributive, and identities and inverses involving addition and multiplication hold. Algebraic number theory and geometrical concepts provide the theoretical foundation for ring theory. The study of rings has its roots in the study of polynomial rings and in the research of integer generalizations and extensions. Fermat was one of the first to employ this kind of ring, namely the Gaussian integers, when he proved his famous two square theorem. It is possible to use these rings to solve a wide variety of number theoretic and algebraic issues. Numerous applications of rings may be found in other areas of mathematics as well, including topology and analysis.

An associative ring R with prime elements and a centre Z(R) has a quotient U denoted by Utumi. The letter C represents the expanded centroid of the letter R, much as the central dot of the letter U does. (see out the references we included). What this means is that for each pair x, y in the ∈ R, this holds true. Using the function R, a more relaxed approach to building the additive mapping F is possible.

This is true due to the fact that the variables in both sets of equations are identical. If F is an additive mapping on S, then it must meet the following condition to be a Jordan homomorphism on S: Each time x ∈ S is added to F(x), F(x)2 is equal to F(x). Check out the recommended reading list for further information. For each u ∈ L, it was shown that if d is a homomorphism or anti homomorphism from the obvious next question is what would happen if a more generalised derivation were used instead.

The letter R serves as a connecting symbol for these two rings. If and merely if d = 0 or L is a middle in R, after that F operates on L as a homomorphism or anti homomorphism, respectively. To put it another way, this is a prerequisite.

For simplicity, let's assume that char R ≠2 is the solution to the equation specifying the position of the centre Z of the prime ring R, and that R contains at least one nonzero Lie ideal.

II. THE FOLLOWING ARE THE KEY FINDINGS OF THIS STUDY

A. Theorem 1.1.

Let an equal to 0≠ ∈ , we get the next notation. Theorem 1.1 states that a ring R is major if and only if the ring of its quotients is also prime U, is the ring of Utumi. If R admit a generalised origin F fulfilling the criterion a(F( ) ±F( ) ) = 0, then for any u ∈ L, we may infer that one or both of the next statement are correct.

1) To hand survive a b ∈ U like to F(x) = bx where ab = 0 meant for every x ∈ R.

2) used for every x ∈ R, F(x) = ∓x;

3) the value of char (R) is two, which is within the allowable range for s4;

4) For any x ∈ R, there is some value b ∈ U such to F(x) = bx if and only if char (R) ≠ 2.

B. Theorem 1.2.

Assuming R is of quality greater than 2, Such formulations are attainable rider and merely if R is a non commutative major ring with a property other than 2 with its Utumi ring of quotient U, C = Z(U) the extensive centric of R, F a generalized beginning on R and 0 ≠ a ∈ R.

1) If the formula a(F( )± F( )F( ) evaluates to zero for all x and y in the range R, then there exists a value of b ∈ U like to F(x) = bx or F(x) = ∓x for all x ∈ R with ab = 0.

2) At hand exists a value of b in region U such to F(x) = bx for all values of x ∈ R, and likewise if the equation a(F( )± F( )F( ) equals zero used for every x and y ∈ R.

The following consideration will be helpful in elucidating the crucial outcomes.

1) Remark

According to Lee's definition, Any additive mapping F: I→ U satisfying the following condition is said to be a generalized derivation, F(xy) = F(x)y + xd(y) holds for all x, y ∈ I, Lee added his thoughts on the idea of derivation as follows to provide a more in depth explanation: More importantly, Lee demonstrated that any generalized U. derivation may be extended in a way that is specific to that derivation type. As a consequence, we will assume without further proof that all generic derivations of R are defined on all of U. It's possible that you'll find evidence of Lee's participation here. That's only one example of Lee's many important contributions to analysis in mathematics. The assertion above holds for all dense left ideals of R. It seems that Lee has never made something quite that spectacular before.

International Journal for Research in Applied
Science & Engineering Technology (IJRASET)
628 ©IJRASET: All Rights are Reserved | SJ Impact Factor 7.538 | ISRA Journal Impact Factor 7.894 |

ISSN: 2321 9653; IC Value: 45.98; SJ Impact Factor: 7.538 Volume 10 Issue X Oct 2022 Available at www.ijraset.com

2) The Most Important Results and Their Proof

Our starting point will be these lemmas:

3) Lemma

Let R arise in for a noncumulative ring of primes with an comprehensive centre C as well as b, c 2 R. Don't forget so as to 0 ≠ a∈ R, and so as to this holds true in such a way that

for all x, y 2 R. afterwards one of the next hold:

Proof. Assume that R satisfy the GPI

Using Theorem 2, we can show that U satisfies this generalised polynomial identity (GPI). Here are two more scenarios to analyse:

a) Case I. U fails to fulfil any non trivial conditions of GPI. Suppose T = U C. The at no cost C algebra for no commuting indeterminate x as well as y is denoted by Cx, y, which is the product of U and Cx, y. Thus

nil constituent in T = U C C{x, y}. Let c /2 C. Then {1, c} is C independent. next on or after over

This is meaningless in T, equal to zero. Given that c is half of C, which is a contradiction in terms. We may reason from this that c ∈ C Then, the individual's name is shortened to signifies that there is no value in set T. yet once more, stipulation b + c ∉ C is true, next a(b + c)[x, y]2 = 0, and thus a(b+c) is always equal to 0. It can be shown that b+c=0 or 1 in T if a(b+c)(b+c1)[x, y]2 = 0. Implying b+c = 0 or b+c = 1. When b+c = 0, then a(b + c) = 0, which is our conclusion (1). When b + c = 1, then b = 1 c∈ C, which is our finish(2)

Proof of Theorem 1.1.

For every one u ∈ L. If the value of char(R) is two and R satisfy the requirements of S4 , then we have arrived at our conclusion. Therefore, we are going to assume that either the value of char (R), in R is ≠2 or that R does not meet s4. to hand is a nonzero idyllic I of R to may be defined in such a way that [I, I] L. This is possible states that L is a noncentral. As a result, it may be assumed that I am satisfied with the differential identity.

International Journal
Research
)
for
in Applied Science & Engineering Technology (IJRASET
629 ©IJRASET: All Rights are Reserved | SJ Impact Factor 7.538 | ISRA Journal Impact Factor 7.894 |

ISSN: 2321 9653; IC Value: 45.98; SJ Impact Factor: 7.538 Volume 10 Issue X Oct 2022 Available at www.ijraset.com

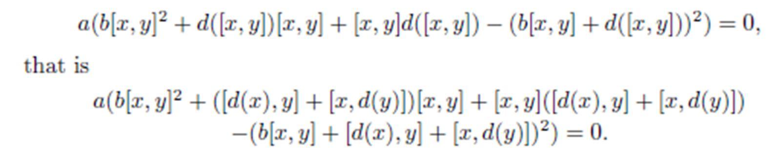
then F(x) = bx+d(x), where b as well as d are derivations on top of U. This is due to the fact that F generalises R. Integer identifiers I, R, and U may all be used to satisfy differential identity constraints without sacrificing generality. the proofs : That is For every x, y ∈ U. at this time by Lemma, single of the after that holds: b) Case 2. presume that d is not within cause of U. U satisfies which is

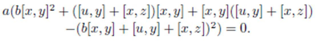
According to Lemma, this yields the nonsensical conclusion q ∈ C. Substituting F with F in the preceding result demonstrates that the formula a(F( ) + F( ) = 0. This holds true for all values of u ∈ L.

In the event that R is a major ring, then its centroid C may be defined as a stretched C. L may be thought of as a representation for the non central Lie supreme of R. Let 0 ≠ a ∈ R. This suggests that it is obvious that

)
International Journal for Research in Applied Science & Engineering Technology (IJRASET
630 ©IJRASET: All Rights are Reserved | SJ Impact Factor 7.538 | ISRA Journal Impact Factor 7.894 |

ISSN: 2321 9653; IC Value: 45.98; SJ Impact Factor: 7.538

Volume 10 Issue X Oct 2022 Available at www.ijraset.com

Proof of Theorem 1.2. We begin by taking a look at the particular case where there exists an x and y value inside R such that a(F( ) F( )F( )) = 0. Then, the following inference may be made:

If either G1 Z(R) = 2 or char (R) = 2, then R is a solution to the s4 equation, unless G1 contain a no mid Lie ideal L1 of R. G1⊆ Z proves that, for each x ∈ R, ∈ Z(R) is true (R). Given this context, it is common knowledge that R must be commutative, hence the fact that it is not would constitute a contradiction. The case when G1 has a noncentral Lie ideal for R is of interest because char (R) ≠ 2. For each non zero ideal I1 in R, the sequence [I1, I1] ⊆ L1 may be built.

Thus we have R such that

Then by Theorem 1.1, we get a) Assuming ab = 0, for any x in R, to hand exist b ∈ U such so as to F(x) = bx. b) Let F(x) = x for every x in R∈ c) around is b ∈ U such so as to F(x) = bx for every x ∈ R, then the property is present in R. Because R satisfies the polynomial identity, the solution to the equation a(b b )=0. is the polynomial M2(C), hence the equation R M2(C) holds true for every field C. Lemma states that whichever ab = 0 or b = 1, which we can verify by solving the system. Our evidence indicates that ab = 0 holds only if F(x) = bx for every x ∈ R. (1). We have come to the conclusion that if b = 1, then if x is an integer, F(x) = x for any x ∈ R. (2).

 Since F(x) = bx is solvable for all x ∈ R, and ab = 0, it follows that (1).

 F(x) = x for some constant x ∈ R.

Then by Theorem 1.1, we get  Since F(x) = bx is solvable for all x ∈ R, and ab = 0, it follows that (1).  Let F(x) = x for every x ∈ R  there is a b ∈ U such so as to F(x) = bx for every x ∈ R, then the property is present in R.

REFERENCES

[1] M. Bresar, On the Distance of the Composition of Two Derivations to be the Generalized Derivations, Glasgow Math. J., 33, (1991), 89 93.

[2] C. L. Chuang, GPIs Having Coefficients in Utumi Quotient Rings, Proc. Amer. Math. Soc., 103, (1988), 723 728.

[3] C. L. Chuang, The Additive Subgroup Generated by a Polynomial, Israel J. Math., 59(1), (1987), 98 106.

[4] V. De Filippis, N. ur Rehman, A. Z. Ansari, Lie Ideals and Generalized Derivations in Semiprime Rings, Iranian Journal of Mathematical Sciences and Informatics, 10(2), (2015), 45 54.

[5] C. Lanski, S. Montgomery, Lie Structure of Prime Rings of Characteristic 2, Pacific J. Math., 42(1), (1972), 117 136.

[6] T. K. Lee, Generalized Derivations of Left Faithful Rings, Comm. Algebra, 27(8), (1999), 4057 4073.

[7] T. K. Lee, Semiprime Rings with Differential Identities, Bull. Inst. Math. Acad. Sinica, 20(1), (1992), 27 38.

[8] W. S. Martindale III, Prime Rings Satistying a Generalized Polynomial Identity, J. Al gebra, 12, (1969), 576 584.

[9] Kuncham Syam Prasad, Kedukodi Babushri Srinivas, Panackal Harikrishnan and Bhavanari Satyanarayana, “Recent Developments in Nearrings with some applications,” Manipal Research Review, vol. 2, Issue 2, pp. 01 21, Oct. 2015.

International Journal
Research
)
for
in Applied Science & Engineering Technology (IJRASET
631 ©IJRASET: All Rights are Reserved | SJ Impact Factor 7.538 | ISRA Journal Impact Factor 7.894 |

Technology (IJRASET)

ISSN: 2321 9653; IC Value: 45.98; SJ Impact Factor: 7.538 Volume 10 Issue X Oct 2022 Available at www.ijraset.com

[10] Kyoo Hong Park and Yong Soo Jung, “Semiprime near rings with orthogonal derivations,” J.Korea soc. Math. Educ. Ser. B: Pure Appl. Math. vol.13, No.4, pp. 303 310, Dec. 2006.

[11] A. Laradji and A. B. Thaheem, “On dependent elements in semi prime rings,” Math. Jap. vol.47, pp.576 584, 1998.

[12] Matej Bresar, “Centralizing mappings on von Neumann algebras,” American Mathematical Society, Vol. 111, No. 2, pp. 501 510, Feb. 1991.

[13] G. Pilz, Near Rings, North Holland Amesterdam New York Oxford, 1983.

[14] Shaima’a B. Yass., “Generalized dependent elements of generalized reverse derivation on semiprime rings,” Engineering and Technology Journal, Vol. 36, Part B, No. 1, pp. 88 92, 2018.

[15] H. E. Bell and G. Mason, “On derivations in near rings Near rings and Near fields,” North Holland Mathematical studies, North Holland, Amsterdam, The Netherlands, vol. 137. pp. 31 35, 1987.

International Journal for Research in Applied Science & Engineering
632 ©IJRASET: All Rights are Reserved | SJ Impact Factor 7.538 | ISRA Journal Impact Factor 7.894 |

Turn static files into dynamic content formats.

Create a flipbook
Issuu converts static files into: digital portfolios, online yearbooks, online catalogs, digital photo albums and more. Sign up and create your flipbook.