Digital Ticketing Scheme with Attribute-Based Credentials that Protects Privacy

Page 1

10 IX September 2022 https://doi.org/10.22214/ijraset.2022.46721

ISSN:

Digital Ticketing Scheme with Attribute-Based Credentials that Protects Privacy

Archana Y Affiliation VTU, MCA, CMR Institute of Technology, Bangalore, India

Abstract: In order to comply with access policies, clients requesting administrations are usually required to disclose personal information, such as age, phone number, and location. The usage of e-tagging, who grants restricted access to tourist sites or transit administrations provided customers comply with requirements linked to their age, handicap, or other defined over ascribes, makes this sensitive data available. We suggest a security saving electronic ticket layout based on trait based certificates to safeguard clients' security. The value of our approach is that a client's credentials are verified by an impartial third party, allowing us to reassure a vendor that a client's credits are sizable. The following commitments are part of the plan: (1) Ticket sellers offer a wide variety of tickets that customers can buy without paying any money. Delivering their precise characteristics; (2) two tickets of a similar client can't be connected; A ticket cannot be handed to another customer, and it cannot be used twice. The peculiarity of our strategy is that it gives customers the power to persuade ticket brokers that their characteristics fit the ticket approaches and to purchase exclusive digital tickets undercover. This is a procedure is toward establishing an effective digital tagging strategy. Client security necessities in transport administrations. The security of our plan is demonstrated and diminished to a notable intricacy supposition. The plan is likewise executed and its presentation is experimentally assessed.

Record Terms: Anonymity, characteristics on based certifications, security upgraded confirmation, electronic ticket

I. INTRODUCTION

According to the adaptability and also versatility, digital ticket (digital ticket) frameworks will be in the subject of extensive investigation from both industry [1], [2], and scholarly examination networks [3], [4], [5]. Because tickets may be saved on a mobile device and paper expenses are reduced, digital tickets are appealing to both transportation administrators and customers. Due to the possibility to link numerous digital ticket exchanges to a single client rather than Unknown paper tickets could reveal private information, such as working habits, likely workplaces, etc. Clients' concerns about security offers are growing, especially in view of recently released General Data Protection Regulation (GDPR) [6]. One route to cope with this is in a way mystery confirmation that will be available customer to security with nothing out disclosing their proofs. This strategy has been employed successfully in many situations to protect a client's security. [8] standardly explained the mystery design for digital ticketing plans, combining enforceability, Unsinkability and the non disavowal were promised, however the developers only offered a very small amount of evidence. Rupp et al [12]'s security preserving pre instalments of discounts plans featured customer and transport authority protection, and also standardized their security models, but the security validation of their strategy was still important. The ability to provide alternative tickets according on a customer's requirements.

II. LITERATURE REVIEW

In their study of several digital ticket frameworks, Mut Puigserver et al. [4] compiled the many practical needs (such as expiration date, compactness, flexibility, and so on) and security requirements (e.g., trustworthiness, validation, decency, non over spending, namelessness, adaptability, unsinkability, and so on.). The various digital ticketing systems include transferable digital tickets [5], [7], non transferrable digital tickets [3], and [13], many times utilized digital tickets [3], and [4], and single utilization of digital tickets [3], of [5], of [7], and [14]. Approach that is done gives namelessness, non traceability, non overspending, flexibility, and is classified as a single use, non transferable ticket. We are currently comparing our plan to various other plans. Blind marks [15], bunch marks [16], mysterious qualifications [17], and pen names [18] were used in these plans to protect client security. Blind Signature digital Ticket Schemes A client can get a mark on a message in a visually impaired signature conspire without the underwriter knowing the substance. Based on Chaum's [15] visually impaired signature plot, Fan and Lei [19] said a digital tickets framework to supporting in the every citizen could support in multiple decisions with a single ticket. Melody and Korba [9] proposed a digital ticket strategy in order to give non disavowal in pay tv setups and safeguard customers' security.

International Journal for Research in Applied Science & Engineering Technology (IJRASET)
2321 9653; IC Value: 45.98; SJ Impact Factor: 7.538 Volume 10 Issue IX Sep 2022 Available at www.ijraset.com 741©IJRASET: All Rights are Reserved | SJ Impact Factor 7.538 | ISRA Journal Impact Factor 7.894 |

International Journal for

in Applied Science & Engineering Technology (IJRASET)

ISSN: 2321 9653; IC Value: 45.98; SJ Impact Factor: 7.538 Volume 10 Issue IX Sep 2022 Available at www.ijraset.com

Based on Chaum's visually challenged signature technique [15], Quercia and Hailes [20] offered a digital ticket scheme for device exchanges that could create together limited provide and limited less use age digital tickets. Based on Chaum's [22] and Boneh aliconic .'s plot [23], Rupp et alprovided discount protection for prospective payments. Their strategy entailed combining discounts to save on security while employing Boneh et alvisually .'s challenged marks to create trip permission tokens. In order to secure client security, Milutinovice et al. [3] said an digital ticket conspiracy that together will simply be a unseen signature plot said by Abe et al. [24], the mystery sharing responsibility plot proposed by Pedersen [25], and the unknown qualifying conspire proposed by Camenisch et al. [26]. There are a lot of plans that can give ticket primarily a process and safeguard client security, except unlike our plan, they do not offer de anonymization after the fact. Without displaying his interest in the gathering, the gathering's leader might convey the true underwriter's personality. The gathering mark conspiracy [28] was utilised by Nakanishi et al. [27] in their proposed digital coupon (digital coupon) method to offer secrecy and unsinkability. In the scheduled admission assortment (AFC) architecture that Vives Guasch [29] suggested, the Boneh et al. The gathering mark plot was employed to create reversible obscurity and unsinkability. Contrary to our idea, these plans do not provide secure preserving attribute based tagging. Instead, they can perform secrecy, de namelessness, ticket non traceability, and ticket non transferability. No conventional security models or security verifications were introduced, despite the fact that Gudymenko in [10] addressed client security, variously payed digital tickets in his digital ticketed conspiracy, and employed bunch marks to do digital tickets unsinkable.

Schemes for Anonymous Credentials in digital Tickets A client can show a verifier that she has earned a certification in an unidentifiable certification scheme without providing any further data. Heydt Benjamin et al [7]'s use of e money, intermediary re encryption schemes, and strange qualifications improve the personal and private of their customer transit digital ticket process

Modified by Arfaoui et al. [8] Boneh et almark .'s work together to do away with the necessity for

III. METHODOLOGY

Digital Ticket Schemes with No Name Use a codename when working with different organisations so that your work is secret and maybe unsinkable. In their widely useful e ticket system, Fujimura and Nakajima [33] suggested utilising pen names to maintain anonymity. A pseudonym that could be used on sophisticated devices was suggested by Jorns et al. [36] and then utilised to safeguard clients' security in e ticket systems. A method for producing pseudonymous tickets using the Personalities included in security certificate authority certified authentication character keys (AIKs) was put forth by Kuntze and Schmidt[37] (PCA). A lightweight digital ticket plot using nom de plumes was postulated by Vives Guasch et al. [38] that also tended to excludability (i.e., a specialist co op can't mistakenly blame a customer for had been overspent her digital ticket, and the client can prove that she actively approved the digital ticket never utilizing it) and re usability (that is a digital ticketing could be utilized a so many no of the times). Pen identities if utilized Kerschbaum and many others. The use of aliases to enable client exchange primarily a process was examined by [11] as they looked into the security saving billing issue in digital ticket plotting Digital ticketed produced by verity Devices other digital ticket plans are planned around specific devices, for example, individual confided in gadget (PTD) [39], dependable stage chapter (TPM) [37], flexible hand the sets [40], etc.

Research
742©IJRASET: All Rights are Reserved | SJ Impact Factor 7.538 | ISRA Journal Impact Factor 7.894 |
Table 1 The Evaluation of Our Scheme in Relation to Related Schemes

International Journal for Research in Applied Science & Engineering Technology (IJRASET)

ISSN: 2321 9653; IC Value: 45.98; SJ Impact Factor: 7.538

Volume 10 Issue IX Sep 2022 Available at www.ijraset.com

These plans, unlike ours, require the use of embedded systems, do not enable de anonymization after a subsequent purchase, and do not offer quality based tagging that protects security. We compare our plan to analogous plans in Table 1 in terms of unsinkability, non transferability, recognition of twice spend, de anonymization, trait based tagging, and security validation, showing that security was not taken account by the plans' developers. Dual of specified of attribute based encryption (ABE), which can be utilized to safely safeguard private information then carry out fine of grained access handle, have been released by the European Telecommunications Standards Institute (ETSI) (ETSI) [41, 42]. To ensure that only clients whose credits match along in the cipher text may decoded a message and also see it, a texted is scrambled using a variety of characteristics in an ABE plot. Offline access restriction is supported by ABE, according to [42]. In contrast, a client can verify through an online verifier under our plan. Additionally, a granted creden

Table 2 Notation

1) In Bilinearity: In all of g 2 G 1, and h 2 G 2 the process will be done in the way of the prime process the x,y and x;y 2 Zp, eðgx; hyþ¼eðgy; hxþ¼eðg; hþxy;

2) In Non degeneration: In all of g 2 G 1 and the h 2 G 2, eðg;hþ6¼ 1t is then could personality component in the G t;

3) In Computability: In all of g 2 G 1 also and the h 2 G 2, There is an effective calculation together register eðg;hþ. Arranged coupling into the three types: Type I: G 1 14 and G 2; Type II: G 1 614 G2 and that there is a useful mapped available. c: G1! G1; Type III G 1 614 of G 2 but this not reliable route centre G 1 and the G 2. The approach, which a used to produce the mark below, is based on Type I matching. Case where G1 14 G2, e is referred to as a one by to one bilinear guide. Allow BG1'!e;p;G;Gt a symmetric bilinear gathering starting that generates a bilinear group from a security boundary 1'. ;p; G; Gt a pressing need p and e : GG! G t.

743©IJRASET: All Rights are Reserved | SJ Impact Factor 7.538 | ISRA Journal Impact Factor 7.894 |

Technology (IJRASET

ISSN: 2321 9653; IC Value: 45.98; SJ Impact Factor: 7.538

Volume 10 Issue IX Sep 2022 Available at www.ijraset.com

Fig 1 The example of our plan

The four components of our method are focal point CA, the client U, the digital ticket seller S, and the digital ticket verifier V in U and the S are confirmed by CA, who bestows on them mysterious credentials. With the digital ticket agreements, S sign in with the CA, receives unidentified certifications from the CA, and offers passes to U. U registers with a CA, receives unidentified certifications from the CA, buys digital tickets from the S, and shows ownership of passes to V. V approves the digital tickets given by a U and determines will a digital ticket has been dual spend. Figure 1 shows how our policy's different pieces interact with one another. These are the official definitions of these are the connections of acronyms: 1'!MSK; params; setup PCA enters a security boundary 1', and the expert mystery key MSK, customer boundary attributes, and general arrangement of ticket policies are returned. P. Military service. Calculation comprises of the accompanying dual sub calculations: S's enlistment S Registration and U's rollment U Registration.

S Registration SIDS; SKS;PKS; prams $ CAMSK; PKS; params! s S; IDS; PKS in S performs the key age calculation KG1'! SKS; and PKS to provide customer secrete key pair SKS; and PKS, then enables his character IDS, secrete customer key pair SKS; PK S, and the customer in the boundaries params to generate a qualification sS. C A enters his mystery key MSK, of S's customer key of PKS, customer key providing boundary parameters, then this will returns IDS; PKS.

 U Registration UIDU; A U; S K U; P K U; prams$ CAMSK; AU; SKU; PKU; params !sU; IDU; PK U. U performs the key age calculation KG1'!

A. TicketIssuing

ðUðSKU; PKU; AU; sU; PsU; P; VP; Serv; paramsÞ$SðSKS; PKS; PsU; P;Price; VP; Serv paramsþþ! ðTicketU;ðPsU;ServiceÞÞ. This calculation centre U and S is obvious. U data sources secrete customer key pairðSKU;PKUÞ, his credits AU, his certification sU, a pen name, the ticket strategies P, a legitimate period VP, the chose administrations Ser v and the customer boundaries params, and yields a digital ticket digital Ticketing U. S inputs his secrete customer in key and coupling ðSKS; PKSÞ the pen name, the seating configurations P, the price of the ticket, and the legal time VP, the chose administrations Ser v the customer boundaries params , and yields ðPsU;ServÞ.

1) TicketValidating: ðUðSKU;PsU;TicketU;VP;Serv;paramsÞ $ VðVP;Serv;paramsÞÞ!ð0=1;ðServ; TransTÞÞ. An intelligent calculation executed among U also and V. U information sources his secrete customer key digital pair ðSKU; PKUÞ, his digital ticket digital Ticketing U, substantial period V in P, the chose administrations Serv and the customer boundaries attributes, and yields one in the event that Ticket U is legitimate; in any case it yields 0 to demonstrate a disappointment. V sources of info the substantial V P, the chose administrations Serv a customer in boundaries, and yields ðServ; TransTÞ.

2) Model Security: Although Universally of Composable (UC) security shapes [49] could gives robust personal matters, its most challenging create a system that can be proven to offer UC security. None of the current smart ticketing systems have, to our understanding, been shown in the UC security paradigm. The Reality of the trails. We first show how systems works in the case where the whole authority CA, S, U, V, and U are all truthful, as is the ticket buyer S. S, U, and V are under the control of real world opponent A, but CA is not. The entities that A controls are free to change their behaviour at any time from what is outlined below.

International Journal for Research in Applied Science & Engineering
)
744©IJRASET: All Rights are Reserved | SJ Impact Factor 7.538 | ISRA Journal Impact Factor 7.894 |

B. TicketIssuing

International Journal for Research in Applied Science & Engineering Technology (IJRASET)

ISSN: 2321 9653; IC Value: 45.98; SJ Impact Factor: 7.538

Volume 10 Issue IX Sep 2022 Available at www.ijraset.com

S. In this the U Enter the following information: here enters his digital secret public key pair SKU; PKU, and also the attributes AU, pseudonym Ps U, rules sU, valid period VP, company Serv, public, and parameter parameters. S receives the validperiod VP, serviceServ, public parameters params, his digital secret public key combination SKS; PKS, as input. Finally, in order to prove failure, U receives a TU or? Ticket. S provides the service Serv and pseudonym PsU for user U. If the digital ticket is successfully issued, U gives a small bit to E to let him or her know whether the ticket providing algorithm in the worked or not. Algorithm succeeded db 14 1or failed 14 0. When U receives a ticket validation for the message digital ticketing validates; T U; VP; Serv; from the E, he firstly the checks to see if he has the valid ticket TU. VP stands for time, and Serv stands for service. If so, U employs V to conduct out the digital Ticket Validating process; if not, U outputs? will signify that it does not possess the digital ticket TU. U has the ticket TU, he can establish if it is valid or invalid by using the secret customer key pair SKU; PKU, the digital ticket TU, the valid to be period of VP, the service Serv, and the system customer. V returns the service and the transcript Trans as outputs and takes the valid of period VP, the service is Serv, and the customer of parameters as inputs. Lastly, U returns success if b 14 1 is present; else, U returns failure. The central authority CA0, digital ticketing seller S0, customer U0, and digital ticketing verifier V0 all have the same rights in the ideal world experiment as theyhave in the real world experiment when theyget a message signalling double spend detection. Every communication between these parties needs go through a dependable third party in (TP). The actions of TP are following. For blank lists are kept by TP: a ticket agent rules list, a customer rule list, a digital ticket with list for every customer, and a digital ticket approving list.

IV. RESULTS

The part assesses the visual appeal of plan. The execution main basic code for the plan is made free at [56], and Fedora 27 running on a Dell Inspiron with Latitude E5270 computer with an Intel Core i7 6600U CPU, 1 TB SSD, and of 16 GB of RAM was used to estimate the plan's execution time. The execution makes advantage of additional cryptographic natives as well as bilinear guides specified over elliptic bends. The bilinear guides were implemented using the JPBC library [57], and the other cryptography anticipated by our strategy was implemented using bouncy castle [58]. It should be noted that the JPBC API [57] was performed using Java throughout. As you may recall from Section 2, our strategy calls for the use of a Type I is a not similar that in bilinear guide, e: GG! G t. The JPBC library in [57] offers triple distinct instances a symmetrical matching with the Type of A, A 1 and also E in pairings. Elliptic bend E: y 2 14 x3 x the countable field Fp yields pairings of type An and A1. The grouping G in in both instances is the grouping of elliptic bend focuses, EFp. Contrarily, the Type E (CM) method of creating elliptic that bends. DV 2 14 4p t2, the Diophantine condition, is the first condition. The subtleties of each stage are covered in [59]. For example, Type An is formed with r Bits 14 160 and q Bits 14 512, Type A1 is built with dual primes of size q Bits 14 512, and also Type E is launched with r Bits 14 160 and with q Bits 14 1024. In our execution, we launch the various pairings using the default bounds. It is noteworthy that Table 1 in [60] shows that the default of Type A matching of JPBC offers about the same level of security as 80 piece 1024 RSA style in security. This will be sufficient to provide a method for estimating how long something else will take. The hash capabilities H : f0;1g ! Zp and H0 : f0;1g ! G expected by our plan (see Fig. 2), we involved SHA256 for H and depend on the execution of "newElementFromHash()"methodintheJPBClibraryforH0.

A. Timings

The impacts of the computing time given in the kinds of stages of conspiracy, which required more challenging calculations, are displayed in Table 3 (i.e., some type of approvals utilising bilinear guides or age of zero information confirmations). The times shown are the typical ones with more than 20 cycles. The most extreme reach stretch in this starts was 7, and it was recover by the span 120;23, followed by k 14 3, in the set up calculation shown in Fig. 2. Ten sets were utilised the most at one time. A reach verification's compute cost grows with k, according to calculations related to the age of P2 U, whereas a set enrolment confirmation requires a same number of calculations regardless of the size of the set. Since any useful reaches have a stretch length of at least 4, the figures shown under given a plausible bottom bound costs for range confirmations. Table 3 details the dates for the continuous implementation of our plan, which includes two short term strategies and four set approaches, all of which use the default launch of three possible even pairs offered by JPBC. The JPBC Type of A bend on Type I matching, digital ticketing distribution and approval take place, achieves the shortest execution.

2:2s and

Set enrolment confirmations can be computed significantly more quickly range evidences, computing cost is free of the size in of the set, where computing effort required for range confirmations grows linearly with k.

745©IJRASET: All Rights are Reserved | SJ Impact Factor 7.538 | ISRA Journal Impact Factor 7.894 |

ISSN: 2321 9653; IC Value: 45.98; SJ Impact Factor: 7.538 Volume 10 Issue IX Sep 2022 Available at www.ijraset.com

A good example will help illustrate the extra benefit of range proofs, which is that a younger person's age. Seen specified in nor a set rule (age 21215;25) or a range policy ("young customer"). Policymakers are free to select the kinds of rules they enact under our proposed system. Range policies might be more flexible to future policy changes even while set policies are more computationally efficient. Since the now present younger person range rule is based on age 21216; 22 and Alice is 23 years old, she is ineligible for a discount. Alice will be utilising her current age attribute of 23 to get a younger person offers if it is future can be modified to age 21216;25 because she now show age fits inside the revised range.

V. DISCUSSION

The formal organisation of our plan is discussed in this section. Our method uses components from the flow Au al signatures with an effective and efficient protocol plan [48], .'s Camenisch et alset proof .'s plan and peak proof plan [47], Pedersen's committed plan [25], and Au ale cash [54] .'s plans Specifically selected the Au et al sign. Technique, that enables users to receive signatures in committed blocks of arguments and show signature understanding in null knowledge. Is used to generate tickets for buyers and ticket sellers as well as to distribute login information. We extend the set the membership proved and peak proof approaches from Camenisch et al. [47] to demonstrate a customer's qualities. In our scheme, a reliable third party has also confirmed these characteristics. In our plan, the knowledge that a prove must prove is concealed using Pedersen's commitment scheme. Finally, we identify and de anonymised a double spend user using the technique developed by Au et al. [54].

Construction Problems a key to our design is to merge and alter the designs mentioned in [25], [47], [48], and [54] so that the finished scheme contains the three extra elements indicated below:

1) Users won't be allowed to purchase reduced priced tickets unless the attributes (such age, handicap, etc.) that they must demonstrate to a ticket vendor are verified by a reliable third party. To overcome this, a user's attributes are confirmed using Au et alsignature approach's [48].

2) Tickets must be non sinkable, non transferable, and set for double spend prevention. Our tickets are created as a result using anonymous credentials (unsinkability) that contain a user's personal data (non transferability). A serial number on each ticket can be used to track down double spenders.

3) Dual range rules and set of policies will be offered in order to offer a high level of flexibility when setting ticket policies. Then, customer can utilise there certified traits to demonstrate given the membership in various categories and make rules to get things like a younger persons offers, a regular flyer incentive, and a disability reduction.

A. High Level Summary

Two different types of policies range and set can affect the type of tickets in our e ticketing system. Age, the number of trips made, pay, and other characteristics may be included in range policies, whereas other characteristics such as location, occupation, and disabilities may be included in set policies. Setup. The initialization of the scheme is shown in Fig 2 The digital ticket price rules P is in set and also to P ¼

R 1; R N 1 ; S 1; S N

where the hold set rules are fS1;...;SN2g and the hold range policies are fR1;...;RN1g. The following secret keys are chosen by the CA. MSK 14x;y;m1;...;mN2, where the x is said to generate system user rules, y is said to generates tags indicating range rules, and mi is used to generate tags finding will be rules The C A then makes the customer variables, accessible. Include in ranged and set rule tags, the ticket price rule P, and the digital ticket price.

International Journal for Research in Applied Science & Engineering Technology (IJRASET)
746©IJRASET: All Rights are Reserved | SJ Impact Factor 7.538 | ISRA Journal Impact Factor 7.894 | TABLE 4 Benchmark to the Results for Various Ranges and Set Sizes, (inms)

ISSN: 2321 9653; IC Value: 45.98; SJ Impact Factor: 7.538 Volume 10 Issue IX Sep 2022 Available at www.ijraset.com

Fig 2 Setup algorithm

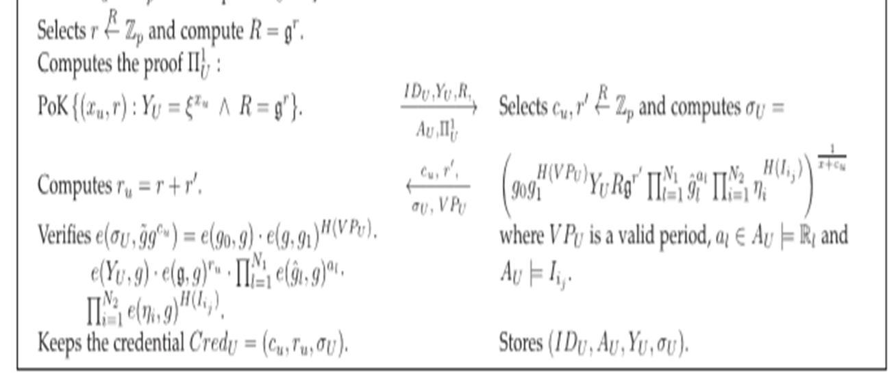
Figure 3 depicts the means associated with the enrolment cycle. The hiring of a vendor S anticipates that S will create the xs;YS public key pair in mystery. He sends YS and a proof of information P1 S to the CA to show that he is aware of the secret key xs. S validates himself to the CA via an out of band channel and provides proof that he has permission to operate as a vendor. The CA founds a qualification sS, which is been a BBS+ signature with that customer key YS and a validity of the period VPS for , if P1 S is authentic and the confirmation is successful. Then, after receiving these subtleties, S is informed that the CA has authorised the certification sS, indicating that the CA has acknowledged him as a dealer. Following a client's enrolment, a client In order to prove her client status, U produces the public key pair xu;YU and submits it together with a proof of information P1. xu is aware of the mystery key She also will share the CA a details of AU qualities (for example, age, calling, area, and so on) that allow her to obtain limited tickets. She verifies herself to the CA once more, this time via an out of band channel, and provides proof of the claimed qualities. If Q1 The CA shows a qualification sU, that is a B B S + signatures conspire containing the customer key Y U, its legitimacy time VPU, and the appropriate credits AU, if U will been had holds, the validation is success, and CA is delighted with its presented proof. U receives these on information back and uses them to verify that she is now a valid client of the framework and that the CA has accepted her credits.

Fig

algorithm.

International Journal for Research in Applied Science & Engineering Technology (IJRASET)
747©IJRASET: All Rights are Reserved | SJ Impact Factor 7.538 | ISRA Journal Impact Factor 7.894 |
3 Registration

ISSN: 2321 9653; IC Value: 45.98; SJ Impact Factor: 7.538 Volume 10 Issue IX Sep 2022 Available at www.ijraset.com

Fig 4 Algorithm for issuing tickets

The confirmation view S that CA as accepted her its a valid customer with the funds required to purchase the ticket linked to her specified ascribes. As soon as S, he makes a ticket TU has successfully approved the details of her confirmation. Using a BBS+ signature scheme that consists of the client's name, material reach and set arrangements required to the digital ticket, a chronic no, and allows for two way verification

Spend time learning about the digital ticket's price and valid time or term VPT. The digital ticketing cost and its valid time are kept in mind for the creation of the T U, it should be noted that are merely free passages text and will only be given when the cost and plausibility times are required to the application setting. For instance, when the authenticity time frame is crucial, S will check the client's accreditation legitimate times VPU and make sure that the digital ticketing legitimate time VPT is not later than VPUTU and all related details are then transmitted back to the client, who can use the data and the vendor YS's customer key to that which will verify with the accuracy of the data

International Journal for Research in Applied Science & Engineering Technology (IJRASET)
748©IJRASET: All Rights are Reserved | SJ Impact Factor 7.538 | ISRA Journal Impact Factor 7.894 |

ISSN: 2321 9653; IC Value: 45.98; SJ Impact Factor: 7.538 Volume 10 Issue IX Sep 2022 Available at www.ijraset.com

Fig 5 Algorithm for validating tickets

Show U that he has been approved by the CA The process is completed by creating a proof of information P2 S of the dealer's qualification sS. With the help of this confirmation, S will be able to buy the ticket despite giving false information because the CA has verified that she is a legitimate customer with assured credits. The client's nom de plume, the client's pertinent reach and set arrangements pertinent to the ticket, a chronic number to enable twofold verification, and a BBS+ signature plot are all included in the ticket TU that S creates using a BBS+ signature plot after S has right quality her confirmation. Location, digital ticketing cost, and ticket valid are all include in VPT spend. For instance, when the legitimacy time frame is significant, S will check the client's certification legitimate period VPU and make it sure that will be the digital ticket substantial time VPT is not later than VPU. The client receives TU together with any related subtleties, which they can use along with the dealer's customer key YS to validate the validity of the data. The inclusion of ticket fragments in our concept is significant in the process is because

Fig 6 Dual spend detection

International Journal for Research in Applied Science & Engineering Technology (IJRASET)
749©IJRASET: All Rights are Reserved | SJ Impact Factor 7.538 | ISRA Journal Impact Factor 7.894 |
Table 3 Benchmark of the Findings

International Journal for Research in Applied Science & Engineering Technology (IJRASET)

ISSN: 2321 9653; IC Value: 45.98; SJ Impact Factor: 7.538

Volume 10 Issue IX Sep 2022 Available at www.ijraset.com

VI. CONCLUSIONS

Many different plans have been put up to safeguard user privacy in e ticketing systems, but they are silent on attribute based ticketing. Similar to how characteristics can be parts of a set or fall within a range in privacy preserving attribute based credential schemes, this study suggests a scheme that allows for the usage of both sets and ranges. This scheme is defined in the paper all with its security model and personally proved. This plan's advantaged is that it offers decision makers the option to select the policies they want to pursue. Range policies may be able to handle future new policies, but set policies are more computationally efficient. Our system is currently not suited for portable devices like smart phones and tablets to the high cost and communication in overhead. The impact of dynamic policy updates on security worked symbol and proved will be examined in future work, along with changes to the implementation of the scheme to increase performance, such as pre computing is way to static attributes when able and utilising the C based PBC in of library [61], with an outsourcing of the computation in [62], and[63], verifiable to the outsourcing computation [64], and [65], also [66], and so on. Building a privacy preservation digital ticket system with a attribute based rules using the most an effective sort of coupling, the Type III coupling, is another unresolved topic and a promising field for future research.

VII. ACKNOWLEDGEMENT

I would like to thank all those who are involved in this endeavour for their kind cooperation for its successful completion. At the outset, I wish to express my sincere gratitude to all those people who have helped me to complete this paper in an efficient manner. I would like to thanks my family members for their warmness, support, encouragement, kindness and patience. I am really thankful to all my friends who always advised and motivated me throughout the course.

REFERENCES

[1] United Airlines, “Customer data privacy policy,” 2017. [Online]. Available: https://www.united.com/web/en US/content/privacy. aspx

[2] M. Milutinovic, K. Decroix, V. Naessens, and B. D. Decker, “Privacy preserving public transport ticketing system,” in Proc. IFIP Annu. Conf. Data Appl. Secur. Privacy, 2015, pp. 135 150.

[3] M. Mut Puigserver, M. M. Payeras Capell applied to transport,” Comput. Secur., vol. 31, no. 8, pp. 925 939, 2012.

[4] General Data Protection Regulation, 2016. [Online]. Available: https://eugdpr.org/

750©IJRASET: All Rights are Reserved | SJ Impact Factor 7.538 | ISRA Journal Impact Factor 7.894 |

Turn static files into dynamic content formats.

Create a flipbook
Issuu converts static files into: digital portfolios, online yearbooks, online catalogs, digital photo albums and more. Sign up and create your flipbook.