Diesters Compound Intramolecular Condensation and Its Applications

Page 1

10 IX September 2022 https://doi.org/10.22214/ijraset.2022.46597

ISSN: 2321 9653; IC Value: 45.98; SJ Impact Factor: 7.538 Volume 10 Issue IX Sep 2022 Available at www.ijraset.com

Diesters Compound Intramolecular Condensation and Its Applications

Richa Khare1, Divyakshi Agarwal2, Monika Kamboj3 , Smriti4 , Rishab Singh5 1, 2, 3, 4, 5Amity School Of Applied Sciences, Amity University, Lucknow Uttar Pradesh, Amity University, Lucknow Uttar Pradesh

Abstract: Diesters are important synthetic tools for many biologically active compounds. Dieckmann condensation is an important organic reaction. This reaction is generally used in the formation of larger molecules and form new carbon carbon bond. Condensation reaction is important for the formation of biological molecules. Dieckmann condensation reaction is named after a German chemist Walter Dieckmann. Dieckmann condensation reaction is intramolecular organic reactions of diesters with base and give β keto esters. Dieckmann condensation is equivalent to intramolecular claisen condensation reaction. In this project we will discuss about the mechanism and applications of dieckmann condensation.

Keywords: Diesters compound, condensation, glycosylation, Nylon66 and elimination.

I. INTRODUCTION

A. What is condensation reaction?

Condensation reaction is a term generally used when the new carbon carbon bond is formed during the formation of a larger molecule by the combination of two or more molecules. During the reaction, small molecule such as water or methanol eliminate or lose.

The condensation reactions are important for the creation of carbohydrates and proteins which are important biological molecules.[1]

Example in figure 1

Factor

International Journal for Research in Applied Science & Engineering Technology (IJRASET)
233©IJRASET: All Rights are Reserved | SJ Impact Factor 7.538 | ISRA Journal Impact
7.894 |
Figure 1

International Journal for Research in Applied Science & Engineering Technology (IJRASET)

ISSN: 2321 9653; IC Value: 45.98; SJ Impact Factor: 7.538 Volume 10 Issue IX Sep 2022 Available at www.ijraset.com

II. APPLICATIONS OF CONDENSATION REACTION:

1) This reaction involves the production of many polymers.[2]

2) Condensation reaction occurs in biosynthetic reaction and formation of fatty acids occurs. Fatty acids is a long chain of amino acids bonded with peptide bonds.

3) Condensation reaction have some medical importance also. It occurs in ribosomes and are responsible for the biosynthesis of amino acids.[3]

4) Condensation reaction is used in the formation of macromolecules in the body which is a crucial large molecules such as carbohydrates, proteins and lipids.

A. Types of Condensation reaction:

There are two types of condensation reactions

1) Intermolecular condensation reaction

2) Intramolecular condensation reaction

Intramolecular condensation reaction occurs in same molecules between various parts. Example Dieckmann condensation. In dieckmann condensation, one molecule of ester in the presence of base gives beta ketoester.

Intermolecular condensation occurs in different molecules. Example Claisen condensation. In Claisen condensation , two molecules of esters or one molecule of ester and one molecule of carbonyl compound reacts and gives beta ketoesters.

III. EXAMPLES

A. Nylon

It is a man made synthetic polymer. Nylon 66 is the most important condensation polymer which is obtained by the reaction of adipic acid and hexamethylenediamine.[4]. Figure 2.

B. DACRON

It is a synthetic polyester and its chemical name is Polyethene Terephthalate (PET). It is the product of terephthalic acid and ethylene glycol.

Condensation polymers are environment friendly and are more easily biodegradable than other addition polymers.[5]

C. Polypeptide And Polynucleotide Synthesis

DNA and RNA are made by polynucleotide bond. During the condensation reaction forms a blue water molecule. Polypeptide molecules can condense by amino acids.

Factor

Factor 7.894 |

234©IJRASET: All Rights are Reserved | SJ Impact
7.538 | ISRA Journal Impact
Figure 2

& Engineering Technology (IJRASET

ISSN: 2321 9653; IC Value: 45.98; SJ Impact Factor: 7.538 Volume 10 Issue IX Sep 2022 Available at www.ijraset.com

D. Glycosylation

Glycosylation occurs when a molecule of glycosyl group reacts with functional group of another molecule. An oligosaccharide called glycan is formed during this condensation reaction which binds with nitrogen atom of protein and produce water molecule

IV. CLAISEN CONDENSATION REACTION

1) Claisen condensation is the reaction in which new carbon carbon bond formation occurs.

2) This reaction is named after Rainer Ludwig Claisen.

3) It is the intermolecular reaction occurs in presence of strong base between two esters or one ester with another carbonyl compound.

4) This reaction results in the formation of beta ketoester or beta diketone respectively in the presence of strong base.

5) This reaction is published or introduced in 1887 by Rainer Ludwig Claisen.[6]. Figure 3.

V. IMPORTANT POINTS

1) The use of sodium amide or sodium hydride instead of sodium ethoxide , will increase the yield.

2) The stabilization of the compound is only possible when the donor have two alpha protons or hydrogens are present and they must be reactive.

3) This reaction is done stoichiometrically i.e. amount of base used in the reaction is stoichiometric. It is because the removal of the double alpha proton or hydrogen thermodynamically drives the endergonic reaction otherwise.

A. Mechanism Of The Reaction

Factor

International Journal for Research in Applied Science
)
235©IJRASET: All Rights are Reserved | SJ Impact Factor 7.538 | ISRA Journal Impact
7.894 |
Figure 3
Figure 4

B. Explanation Of The Mechanism

Journal for Research in Applied Science & Engineering Technology (IJRASET)

ISSN: 2321 9653; IC Value: 45.98; SJ Impact Factor: 7.538

Volume 10 Issue IX Sep 2022 Available at www.ijraset.com

1) Alpha proton or hydrogen is must for the initiation of the reaction. the H+ ion removed from the alkyl group present in the ester and forms enolate ion.

2) Enolate ion is the intermediate ion of the reaction. This enolate ion then reacts with another ester or carbonyl group.

3) 2alpha protons or hydrogen are required for the stabilization of the compound that comes from the donor atom.

4) In this step, another proton will leave the compound on reaction with ethylene oxide ion which acts as a strong base in the reaction (pH11 or more).

5) The product form then react with H3O+ ion which also act as base and then form the desired product i.e. beta diketone.

VI. MODIFICATION OF CLAISEN CONDENSATION

Claisen condensation results in the formation of beta ketoesters. This reaction is modified by changing the reactants or by further proceeding the reaction.[7]. Figure 5.

This Claisen transformation is done in the presence of NaBH4 by partial reduction. Figure 6.

Factor

International
236©IJRASET: All Rights are Reserved | SJ Impact Factor 7.538 | ISRA Journal Impact
7.894 |
Figure 5
Figure 6

International Journal for Research in Applied Science & Engineering Technology (IJRASET)

ISSN: 2321 9653; IC Value: 45.98; SJ Impact Factor: 7.538

Volume 10 Issue IX Sep 2022 Available at www.ijraset.com

This Claisen transformation is done in the presence of LiAlH4 by complete reduction. Figure 7.

Figure 7

This Claisen transformation is done in the presence of NaOC2H5 and R” X. This reaction is known as Enolate ion alkylation. Figure 8.

Figure 8

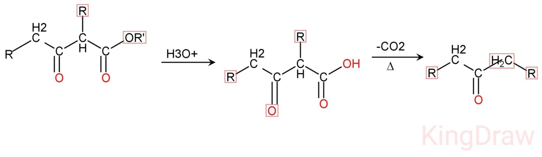
This Claisen transformation is done in the presence of base i.e. H3O+. Further heat the reaction and then beta ketoacid is obtained. This process is known as Decarboxylation reaction.

A. Applications

1) This reaction results in the formation of beta ketoesters which is used in the synthesis of the compounds of medical and industrial importance.

2) The products synthesized by beta ketoesters, resulting products used as photographic chemicals and pharmaceutical drugs.

3) Used in the synthesis of pyrazolones and their antimicrobial and cytotoxicity. Pyrazolones used in industrial preparations of many useful materials like thermal stable polymers, herbicides, dyes, liquid crystals.

4) In medical importance, it is used in the identification of Human pancreatic adenocarcinoma, Human colon cancer, lead molecules.[8]

 Note

Generally, Claisen condensation results in the formation of beta ketoesters but isopentyl acetate (banana)and benzyl acetate (jasmine) does not gives the same product i.e. beta ketoesters.

But these reactions are not said to be unsuccessful because CH3O is the leaving group that clouds the outcome. So, the production of beta ketoesters depends upon the structure and of the reactant and the availability of carbon atom.

It is not always necessary that beta ketoesters is the only resultant product forms from the Claisen condensation reaction.

Rights are Reserved | SJ Impact Factor 7.538 | ISRA Journal Impact Factor 7.894 |

237©IJRASET: All

& Engineering Technology (IJRASET

ISSN: 2321 9653; IC Value: 45.98; SJ Impact Factor: 7.538

Volume 10 Issue IX Sep 2022 Available at www.ijraset.com

Dieckmann Condensation Reaction

Dieckmann condensation is a reaction named after a German chemist WALTER DIECKMMANN (1869 1925).[9][10][11]

This is an intramolecular organic reaction of diesters. Diester reacts with base and gives beta ketoesters. Dieckmann condensation reaction is equivalent intermolecular reaction i.e. Claisen condensation.[12][13]

1) Reaction Type

Intramolecular reaction, ring formation reaction.

If 1,6 diesters 5 member ring formed.

If 1,7 diesters 6 member ring formed.

2) Some Points

Usually, effective base is sodium alkoxide in alcoholic solvent.

The problem arises during the reaction because the base reacts as a “nucleophile”.[14] This alcoholic solution avoids problems caused by transestrification (conversion of one ester to another) or hydrolysis.

Esters are good electrophiles and enolates are good nucleophile.

The 2H atoms that are adjacent to 2carbonyl groups are called Active Methylenes and these H atoms are e withdrawing.

C. Reaction Mechanism

As shown in Figure 10.

International Journal for Research in Applied Science
)
238©IJRASET: All Rights are Reserved | SJ Impact Factor 7.538 | ISRA Journal Impact Factor 7.894 | B.
Figure 9
Figure 10

D. Explanation Of Mechanism

Journal for Research in Applied Science & Engineering Technology (IJRASET)

ISSN: 2321 9653; IC Value: 45.98; SJ Impact Factor: 7.538 Volume 10 Issue IX Sep 2022 Available at www.ijraset.com

1) Diesters with base i.e. alkoxide ion will deprotonate the esters and remove ROH.

2) The enol form of diesters shows conjugation due to resonance effect. Due to conjugation, the negative charge on oxygen rotates on whole compound and cyclisation occurs.

3) Removal of alkoxide ion by heating the compound.

4) Again the compound reacts with alkoxide ion (base) and deprotonation occurs.

5) The obtained compound on reaction with H+ gives the desired product i.e. beta ketoester. To isolate the final product i.e. cyclic beta ketoester Acid workup is required.[15]

E. Modification Of Dieckmann Condensation Reaction

1) Dieckmann condensation reaction generally results in the formation of cyclic beta ketoester.

2) This reaction is modified and on further hydrolysis and Decarboxylation, transformed into cyclic ketones. This reaction also called DIECKAMNN RING CLOSURE. [16]

3) This modification is very important for the synthesizing of large molecules of ketones.

4) This reaction occurs in gas phase mechanism suchlike solution phase condensation. Figure 11.

F. Mechanism

As shown in Figure 12.

1) In this modification, Decarboxylation and hydrolysis occurs. Loss of carbon dioxide called Decarboxylation.

2) Ester or carboxylic acid reacts with carbonyl compounds results in the formation of beta ketoester. The product forms in beta position and undergo thermal decarboxylation.

3) Firstly, hydrolysis occurs in the reaction.

4) After the hydrolysis, Decarboxylation occurs via cyclic transition and form enol intermediate. This intermediate will tautomerise and gives cyclic carbonyl i.e. cyclic ketones.

G. Applications of Dieckmann Condensation [17]

This reaction is used in synthesis of cyclic ketones and other large ketone molecules from beta ketoester which is the resultant product of dieckmann condensation.

Used in the synthesis of 5 and 6 membered cyclic beta ketoesters.

Used in the synthesis of cyclic indole which is used in biological purpose as heterocyclic indole can be active against cancer.

Used in the formation of pyrolle.

Factor

International
239©IJRASET: All Rights are Reserved | SJ Impact Factor 7.538 | ISRA Journal Impact
7.894 |
Figure 11
Figure 12

Journal for Research in Applied Science & Engineering Technology (IJRASET)

ISSN: 2321 9653; IC Value: 45.98; SJ Impact Factor: 7.538

Volume 10 Issue IX Sep 2022 Available at www.ijraset.com

VII. CONCLUSION

Dieckmann condensation is an organic reaction which gives beta ketoester as a product. This is a ring forming reaction. Enolates ions form as an intermediate. This reaction occurs in basic medium. Claisen condensation and Dieckmann condensation reactions are equivalent to each other. Claisen condensation is intermolecular reaction and Dieckmann condensation is intramolecular reaction. There are some modifications done in these reactions to form cyclic ketone and keto acids from Dieckmann modification and Claisen modification respectively. The final product i.e. beta ketoesters have many medical and industrial importance and formation of many synthetic polymers like Dacron, nylon etc are synthesized.

REFERENCES

[1] Barry A. Bunin, in The Combinatorial Index, 1998 www.researchgate.net/topic/Condensation/publications

[2] György Hajós, in Comprehensive Heterocyclic Chemistry II, 1996 https://onlinelibrary.wiley.com/doi/full/10.1002/0471264180.or016.01

[3] N.E. Leadbeater, in Comprehensive Organic Synthesis (Second Edition), 2014 https://encyclopedia2.thefreedictionary.com/condensation+reactions

[4] Béla Török, ... Anne Kokel, in Heterogeneous Catalysis in Sustainable Synthesis, 2022

[5] C.J. Moody, in Comprehensive Heterocyclic Chemistry, 1984 www.sciencedirect.com/topics/chemistry/condensation reaction

[6] Atul Kumar, ... Qazi Naveed Ahmed, in Chemistry of 2 Oxoaldehydes and 2 Oxoacids, 2022 www.researchgate.net/topic/Condensation/publications

[7] Roger W. Read, in Comprehensive Heterocyclic Chemistry IV, 2022 https://pubs.rsc.org/en/content/articlelanding/2020/ra/c9ra10866a#!

[8] Robert J. Ouellette, J. David Rawn, in Organic Chemistry (Second Edition), 2018

[9] June 2008International Journal of Refrigeration 31(4):621 632

[10] Bahaa Saleh ,Martin Wendland in May 2006 www.sciencedirect.com/topics/chemistry/condensation reaction

[11] J. Y. CHOI Piotr A. Domanski Mark A. Kedzierski in Jn 2006 www.diva portal.org/smash/get/diva2:413321/FULLTEXT01.pdf

[12] S. Kotake & I. I. Glass, Flows with Nucleation and Condensation, Prog. Aerospace Sci. Vol. 19 (1989) pp. 129 196 [13] Squires 1952a (Austral. J. Sci. Res. 5) "The Growth of Cloud Drops by Condensation. I. General Characteristics" [14] Srivastava 1989 (J. Atmos. Sci. 46) "Growth Of Cloud Drops by Condensation: A Criticism of Currently Accepted Theory and a New Approach" [15] Srivastava 1991 (J. Atmos. Sci. 48(13) "Growth of Cloud Drops by Condensation: Effect of Surface Tension on the Dispersion of Drop Sizes" [16] Blossey et al. 2010 (J. Geophys. Res. 115) "Isotopic composition of water in the tropical tropopause layer in cloud resolving simulations of an idealized tropical circulation"

[17] Duncan Simpson November 11, 1999 https://pyranic.com/qa/92843/reference condensation define process...

International
240©IJRASET: All Rights are Reserved | SJ Impact Factor 7.538 | ISRA Journal Impact Factor 7.894 |

Turn static files into dynamic content formats.

Create a flipbook
Issuu converts static files into: digital portfolios, online yearbooks, online catalogs, digital photo albums and more. Sign up and create your flipbook.