Development and Simulation of Natural Gas Refining Mechanism Based on Exergy Study

Page 1

10 IX September 2022 https://doi.org/10.22214/ijraset.2022.46549

Engineering Technology

ISSN: 2321 9653; IC Value: 45.98; SJ Impact Factor: 7.538 Volume 10 Issue IX Sep 2022 Available at www.ijraset.com

Development and Simulation of Natural Gas Refining Mechanism Based on Exergy Study

Nnadikwe Johnson1 , Wopara Onuoha Fidelis2 , Onyewudiala Ibeawuchi Julius3 , Samuel H. Kwelle4 , Ewelike Asterius Dozie5

1H.O.D in Department of Petroleum and Gas Engineering, Imo State University, Nigeria

Department of Petroleum Engineering, Rivers State University, Nigeria

Department of Mechanical Engineering, Imo State University, Nigeria

First Independent Power Limited

H.O.D Department of Agriculture and Environmental Engineering, Imo State University, Nigeria

Abstract: This study will examine a domestic gas field in Bayelsa, Nigeria, to improve the natural gas purification process. This study's main goals are to reduce energy use and improve purification levels. A complete technical and economic assessment was carried out utilizing Aspen Plus TM software. The absorption parameters reflux ratio and stage number were estimated using single factor sensitivity analysis. The energy system's energy saving technique was used to examine the heat transfer mechanism and recommend a change. The optimization results show that the suggested system has better purifying performance, lower total energy consumption, and 9 percent improved energy efficiency.

Keywords: Aspen Plus, Simulation, LNG, MDEA, Optimization

I. INTRODUCTION

To guarantee a strong, healthy, and stable economic growth, we must control the energy consumption of high energy systems. Improving energy efficiency is becoming a key scientific goal. This is because natural gas purification consumes a lot of energy and is difficult to operate [1]. Previously, process flow optimization was done by concentrating on one portion of the process flow. As a result, optimization results were inadequate for industrial needs, and the benefits of transformation were not immediately obvious. This study evaluated natural gas purification systems from both a process and technological viewpoint, resulting in a multidimensional optimization and systematic analysis. This study was conducted at China's Yanchang gas field. Choosing a deacidification agent was the first step. Current solutions include MDEA, MDEA complex, MDEA activated, MDEA sulfolane, and MDEA mixed. Deacidification systems might be poor/rich liquid circulation or semipoor liquid circulation. The third step employed ultrasonic dehydration, low temperature separation, and membrane separation. The exergy study enhanced energy efficiency and lowered power usage by optimizing the heat exchanger network.

II. EXERGY-BASED DESIGN AND SIMULATION OF NATURAL GAS REFINING MECHANISMS

A. Optimization OF Deacidification Process

1) Selection of Reagent: The most common acid gas components in the natural gas industry are CO2 and H2S. Removing H2S gas from systems is required for environmental safety, corrosion prevention, and downstream operations. It's vital to remember that H2S levels are strictly regulated. However, CO2 is the main contributor to the generation of greenhouse gases, which may harm the climate. CO2 recovery and emission reduction are the most essential ways to minimize GHG emissions. On a macro level, deacidification is divided into two categories: chemical absorption and physical adsorption. As a result of its low gas source pressure and high water content, Yanchang oilfield's gas well horizon is not included in the Sulige gas field. Following therapy must cope with increasing obligations. The only other important acid gas is CO2. The initial treatment plant's acid gas was absorbed chemically. The preferred reagent was MDEA solution. In formulas (1) (3) [3 5], a tertiary amine deacidifies MDEA

International Journal for Research in Applied Science &
(IJRASET)
404©IJRASET: All Rights are Reserved | SJ Impact Factor 7.538 | ISRA Journal Impact Factor 7.894 |
2
3
4
5

Journal for Research

Applied Science & Engineering Technology (IJRASET)

ISSN: 2321 9653; IC Value: 45.98; SJ Impact Factor: 7.538 Volume 10 Issue IX Sep 2022 Available at www.ijraset.com

a) MDEA has been employed in pretreatment of natural gas since the early 1980s. This product's decreasing performance, shelf life, and minimum amine liquid circulation are just a few of its many advantages [6]. MDEA foams more quickly than other amine liquids, causing erroneous liquid levels in absorption and regeneration towers. The inability of personnel to operate or regulate the process raises serious safety problems. Two plausible optimization techniques for this system have been devised to boost stability and conform to engineering practice of picking reagents depending on CO2 concentration.

b) Deacidification using compound amine solution. Low energy regeneration and little evaporation loss are just a few of the advantages of compound amine solution. It compensates for the single amine's shortcomings [8, 9]. In this study, 2mol/L MDEA was combined with sulfolane in a 10:3 ratio to generate a complex amine liquid.

c) Because MDEA lacks an active H atom, its reaction is controlled by CO2 and H2O [11]. Activating MDEA method increases CO2 absorption [12]. Adding primary, secondary, or another activator to the MDEA solution increases acid gas load while reducing energy consumption. (4) (6) [13] show the chemical reaction for primary amine:

Activator absorbs CO2 and changes it fast to carboxylic acid, which is then transported to the liquid phase and transformed to bicarbonate. The activator acts as a catalyst without being consumed [14]. An activator is often used in natural gas decarbonization. This study's activator is PZ (piperazine), which has demonstrated great activation efficacy in earlier studies [15, 16]. This activator's versatility allows it to absorb CO2 at varied amounts. This is because when the natural gas supplies are exhausted, the CO2 concentration increases. Choosing an activator for gas treatment requires a broad range of sensitivity. PZ is a 3 5% mass fraction in the final activated MDEA solution.

2) Improvement of the Process: The amine solution absorption temperature, circulation volume, and regeneration tower temperature all impact the unit's operating costs [17]. The circulating amine solution volume and regeneration temperature are the most crucial. The unit's operating costs would increase if any of these two conditions were changed. This procedure [18] (where half of the total circulation solution is taken from a regeneration tower and restored to the centre of the absorption tower) is better in many ways

B. Dehydration Process Optimization

Water is an impurity in raw natural gas. Water in a gas pipeline raises the risk of pipe and equipment freezing, reduces the calorific value of natural gas, and wastes energy in downstream processing [19]. [20]. So dehydrating natural gas is critical. Water filtering uses chemical and physical absorption (membrane separation [21, 22], silica gel and molecular sieve method [23]). Using pressurised foam drainage or fracturing technology introduces extra impurities like oil pollution and gas field water into the purification process, affecting dehydration. As turbocharging increases, airflow pulsation threatens the safe generation of pure natural gas. TEG dehydration consumes about half of the dehydration triethylene glycol (TEG), potentially impacting operating costs [24]. For the Yanchang gas field, a three tower molecular sieve dewatering technique has been proposed [25, 26]. The scientific literature describes a three tower molecular sieve dehydration method. A shadow indicates near saturation, whereas an unfilled space indicates water adsorption.

C. Exergy Analysis

The first law of thermodynamics asserts that energy is conserved regardless of how it is transformed or transferred.Exergy analysis includes the first and second laws of motion. The scientific approach is used to analyze energy usage in energy systems. [28, 29]

Unique in the worldwide quest to preserve energy Exergy in physics is a measure of a system's greatest functional power

Factor

International
in
405©IJRASET: All Rights are Reserved | SJ Impact Factor 7.538 | ISRA Journal Impact
7.894 |

Science & Engineering Technology (IJRASET

ISSN: 2321

IC Value: 45.98; SJ Impact Factor: 7.538

10 Issue IX Sep 2022 Available at www.ijraset.com

Temperatures are represented by kilojoules (kJ), specific enthalpies (H), entropies (S), and specific enthalpies (H0) (kJ).

Recent applications of exergy analysis include energy management, petrochemical processing, thermal power generation, and refrigeration. Using it may help you save money on your energy bills and increase your home's efficiency. Exergy analysis models come in three flavors [31]. Most energy consumption systems are analyzed qualitatively using black box and gray box models, with fuzzy analysis findings utilized to execute energy saving adjustments. The article requires a white box model since the energy consumption data for each system unit is full and only a white box model can verify the

D. Heat Transfer Network

Researchers have been studying heat transfer network integration since the 1960s [32]. Temperature crossover and reverse heat transfer are effectively prevented [33]. Hwa proposed structure optimization of heat transfer networks in 1965 [34].

and Nishia created the trial in 1970 [35]. The pinch analysis technique developed by Shen et al. and Linnhoff et al. [36, 37]

III. COMPARISON OF ACTUAL AND OPTIMIZED PROCESS SIMULATION RESULTS

I. Actual On Site Processes Overview

A process simulation tool's objective is to simulate the design, operation, and modification of a model or system quickly. The PR (Peng Robinson) equation is the state equation for oil and gas processing units. Table 1 displays natural gas components. This is seen in Figure 1.

II. Optimization Results

1) Deacidification Reagent Selection: The initial method is gradually refined. The deacidification reagent is selected and adjusted at flow 134 for simulation. The first simulation adds the original site solution to 3mol/L MDEA. In the second simulation, MDEA (10:3) and sulfolane (2mol/L) are added to the compound amine solution. In the third simulation, 3 percent PZ is added to 2mol/L MDEA. Table 2 compares the results.

Activated MDEA solution purifies better than compound amines and achieves thorough filtration for later LNG processing. Thus, additional study utilizing this method is advised

1: Actual process.

International Journal for Research in Applied
)
9653;
Volume
406©IJRASET: All Rights are Reserved | SJ Impact Factor 7.538 | ISRA Journal Impact Factor 7.894 |
data Table 1: Natural gas components Components Mole percent (%) Components Mole percent (%) He 0.0314 CH3 CH2 CH3 0.0214 H2 0.0152 CH3 CH CH3 0.0015 N2 0.2698 CH3 CH2 CH2CH3 0.0023 CO2 2.9078 C(CH3)4 0.0005 CH4 96.105 (CH3)2CHCH2CH3 0.0006 CH3 CH3 0.5676 Hg 1 .
Ponton
Fig

Parameters of Absorption Tower: Table 3 presents the results of a simple absorption tower calculation.

3) Liquid Process of Semilean: The revised approach uses a semilean solution strategy, as shown in Figure 2, to reduce the absorption tower circulation and regeneration temperatures. The number of trays may be increased to define the semilean liquid entrance point and the rule. As demonstrated in Figure 3, the absorption tower's sensitivity analysis. Axial proportions of CO2 and CH4 in the gas phase are given in the graph, while X axis denotes theoretical trays (the first stage at the top of the absorber). The absolute values of the slopes of the CO2 and CH4 curves begin to fall at 3/4 and 1/3 of the distance from the absorber's bottom, respectively, showing that the absorption efficiency starts to diminish at this point. To maintain high absorption efficiency for longer, inject semilean liquid at 3/4 or 1/3 of the whole column capacity

International Journal for Research in Applied Science & Engineering Technology (IJRASET) ISSN: 2321 9653; IC Value: 45.98; SJ Impact Factor: 7.538 Volume 10 Issue IX Sep 2022 Available at www.ijraset.com 407©IJRASET: All Rights are Reserved | SJ Impact Factor 7.538 | ISRA Journal Impact Factor 7.894 | Table 3: Simple absorption tower calculation results Items Value Absorption pressure 5720 (kPa) Absorption temperature 35 ( ° C) Gas liquid ratio 423 (m3/m3) Number of actual stages 15.3522 2)
Fig 2: Schematic of simulation liquid process of semilean. Fig 3: Component distribution curve for the tower T 107 Table 2: Purification using various reagents . Methods MDEA solutions Compounded MDEA solutions Activated MDEA solutions Postpurification CO2 content (mol%) 0.0041 (the field observation values) 0.0023 0.0018

Science & Engineering Technology (IJRASET)

ISSN: 2321 9653; IC Value: 45.98; SJ Impact Factor: 7.538 Volume 10 Issue IX Sep 2022 Available at www.ijraset.com

Fig 4: Three tower dehydration process.

4) Process of Three Tower Molecular Sieve Dehydration: To clarify, adsorption occurs in tower A in the standard two tower molecular sieve dewatering process, whereas regeneration occurs in tower B. For three and multi tower processes, switching activities between towers may be employed for several reasons. Consider a three towered process with towers A, B, and C used for adsorption, regeneration, and cooling. Towers A, B, and C may be used for regeneration, adsorption, and cooling. No matter which alternative is picked, the basic fundamentals remain the same. The molecular sieve dewatering process has three separate towers. It may save energy and eliminate a set of regenerated gas turbocharging units from the system. Figure 4 shows a simple three tower method

5) Heat transfer Network Optimization: The Aspen Energy Analyzer examines the relationship between operating costs, equipment costs, and the least heat transfer temperature difference between two surfaces. Figure 5 depicts the lowest heat transfer temperature differential for this project, which is 13°C, as well as the aim of reducing overall expenditure. The pinch point approach is utilized to calculate the minimal heat transfer temperature difference for this project, which is 13°C. The heat exchanger network is built with the least feasible temperature difference. Figure 6 shows the optimization characteristics employed.

A few particular optimization steps: Its low temperature means it can't utilise much latent heat carried by the acid gas in the amine liquid regeneration tower. Heat pump technology may be used to boost the acid temperature and then used to heat the bottom reboiler to improve heat transfer efficiency. This allows the heat transfer to take priority over other processes during pressure swing adsorption. The temperature swing adsorption operation causes long term temperature fluctuations in the output logistic, reducing the demand for process logistic heat transfer and relieving the circulating water of cooling. Similarly, the heater should be heated with steam to provide stability. The optimization of the heat exchanger network results in nine heat exchanger flows, and all aspects that need optimization are represented in the simulation process. The procedure is updated and rebuilt based on the optimization results. Figure 7 shows an improved simulation approach

Fig 5: Thermodynamics of heat transmission

6) Exergy Analysis: The purification plant's key components are the MDEA solution circulation system, the triethylene glycol circulation system, the air nitrogen system, the boiler and boiler water supply systems, the sewage treatment system, and the circulating water system. The circulating water system is also included. The MDEA circulation system's circulating pump and the air nitrogen system's air compressor use the most energy, according to energy consumption data. Table 4 shows different equipment's power consumption.

Factor

Factor

International Journal for Research in Applied
408©IJRASET: All Rights are Reserved | SJ Impact
7.538 | ISRA Journal Impact
7.894 |

Journal for Research in Applied Science & Engineering Technology (IJRASET

ISSN: 2321 9653; IC Value: 45.98; SJ Impact Factor: 7.538 Volume 10 Issue IX Sep 2022 Available at www.ijraset.com

The equation for enthalpy loss in a heat exchanger is shown below where T0 is the ambient temperature in C, H is the specific enthalpy in K, and H0 is the specific enthalpy at T0. (S0) is the entropy at room temperature (K) and (wc) is the compressor power consumption (K). As shown in the equations below, the pre and post heat transfer states are 1 and 2, respectively. where E

is the exergy entering the heat

the

the heat exchanger,

Factor

Optimum process.

Factor

International
)
409©IJRASET: All Rights are Reserved | SJ Impact
7.538 | ISRA Journal Impact
7.894 |
x,in
exchanger, kJ; and Ex,out is
exergy leaving
kJ. Fig
6: Optimum heat exchanger network
Fig 7:
M 111 M 110 M 109

ISSN: 2321 9653; IC Value: 45.98; SJ Impact Factor: 7.538 Volume 10 Issue IX Sep 2022 Available at www.ijraset.com

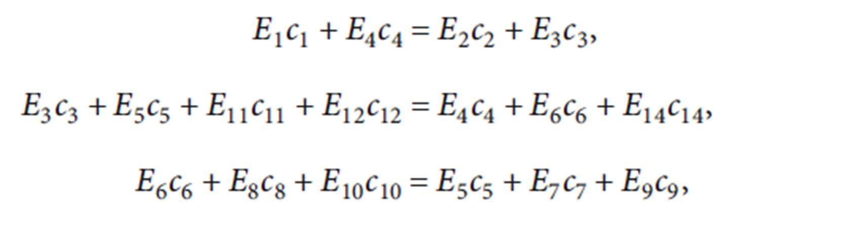
The study's model is based on the device's process flow and key energy consuming process equipment (Figure 8). Table 5 shows the outcomes of each logistic point in the plant under two distinct operating conditions. During the research's analysis and calculating phases, additional fuel and other components must be considered. The equilibrium equations are shown here:

where Ex denotes the exergy value of x in kilojoules; and cx denotes the unit cost of x in RMB yuan per kilojoule. This equation has 18 unknowns and only 5 economic equilibrium equations. To solve the equations, we need to establish the auxiliary equations:

a) The compression unit's input and output unit prices are equivalent, i.e., c6 = c7 = c14.

b) Both terminal items are equivalent, i.e., c17 = c18

c) The raw material gas has a zero unit cost, i.e., c12 = 0.

d) The exergy of fuel gases is ignored. Through the throttle needle valve and pressure reducing valve, a part of the well plant's produced gas is converted to atmospheric gas for burning. The temperature of the fuel gas is normal. To simplify the calculation and guarantee the equation has a unique solution, it is removed.

International Journal for Research in Applied Science & Engineering Technology (IJRASET)
410©IJRASET: All Rights are Reserved | SJ Impact Factor 7.538 | ISRA Journal Impact Factor 7.894 |
Fig 8: Process analysis model Units: (A) regeneration, (B) absorption, (c) heat exchange, (D) drying, (E) compression Table 4: Details of the circulating pump and compressor power consumption Description Transmission medium Voltage (V) Power (kW) Amine liquid circulating pump (I) MDEA solutions 380 90 Amine liquid circulating pump (II) MDEA solutions 380 55 The main air blower Air 380 132 The screw air compressor Air 380 37

2321 9653; IC Value: 45.98; SJ Impact Factor: 7.538

10 Issue IX Sep 2022 Available at www.ijraset.com

analysis result

1.33 5.19

152.69 131.74

751.67 1018.98

1621.80 1787.10

3.21

1474.30 1863.31

503.90 697.88

660.75 834.34

223.94 333.45

381.83 615.41

5993.28 6374.88

42.55 128.58

283.06 370.38

0.81

97.66 87.83

534.82 799.98

41.37 20.18

229.38 349.05 The unit cost of dry gas is calculated as follows:

quenched in m3, Q13 is the node 13 flow, and e17 is the node 17 specific energy The compression process loses 32MJ/h of enthalpy, whereas the heat exchange process loses 46.2MJ/h. It is optimized to 29.04 MJ/h, whereas the heat exchange enthalpy loss is 42.715 MJ/h. This translates to a 9% efficiency boost. Thus, the predicted energy savings goals were reached

IV. CONCLUSION

1) The single factor analysis and Aspen Plus simulation showed that utilizing MDEA with PZ as an activator purified CO2 at 99.94%, which is substantially higher than using MDEA sulfolane mixed solution. The semilean ammonia liquid circulation approach dramatically reduced ammonia liquid circulation compared to the lean/rich ammonia liquid circulation method. This also reduced the regeneration load on the ammonia liquid regeneration tower, saving energy. Using a three tower molecular filter in the improved dehydration process saves the plants 583,500 yuan per year based on a 14.03 mg triglyceride consumption per m3 of natural gas. Also, it may fulfill the temperature requirements for downstream LNG processing.

2) The pinch analysis method is utilized to optimize the heat exchanger network of the enhanced purification process. Thermodynamics achieves the optimal heat exchanger logistics and the lowest energy use goal. Uneven energy flow inside the heat transfer network is also rectified. Finally, system efficiency improves. So, all optimization goals are satisfied.

V. ACKNOWLEDGEMENT

This work is financially supported by Engr. Nnadikwe Johnson, trust under Okure Unyime Enobong. We are grateful for this assistance. The technical and administrative backup given by the Society of Petroleum Engineers (SPE), Nigeria Gas Association (NGA), and Department of Petroleum and Gas Engineering, Imo State University, Owerri, is highly valuable and appreciated.

International Journal for Research in Applied Science & Engineering Technology (IJRASET) ISSN:
Volume
411©IJRASET: All Rights are Reserved | SJ Impact Factor 7.538 | ISRA Journal Impact Factor 7.894 | Table 5: Process exergy
Condition The actual values (I)The optimized values (II) The nodes Exergy values, 104 kJ/h 1
2
3
4
5
6
7
8
9
10
11
12
13
14
15
16
17
18

Science & Engineering Technology (IJRASET)

ISSN: 2321 9653; IC Value: 45.98; SJ Impact Factor: 7.538 Volume 10 Issue IX Sep 2022 Available at www.ijraset.com

REFERENCES

[1] Y. Alcheikhhamdon and M. Hoorfar, “Natural gas quality enhancement: a review of the conventional treatment processes, and the industrial challenges facing emerging technologies,” Journal of Natural Gas Science and Engineering, vol. 34, pp. 689 701, 2016.

[2] L. Jiangang, Study on removal of acid gas (H2S, CO2) and its gas liquid mass transfer characteristics, Nanjing University of Since and Technology, Nanjing, 2005.

[3] W. Xue and Z. Zeng, “Study on natural gas purification membrane and gas mass transfer mechanism in membrane,” Journal of Chemical Engineering of Chinese Universities, vol. 13, no. 5, pp. 408 414, 1999

[4] T. E. Rufford, S. Smart, G. C. Y. Watson et al., “The removal of CO2 and N2 from natural gas: a review of conventional and emerging process technologies,” Journal of Petroleum Science and Engineering, vol. 94 95, pp. 123 154, 2012.

[5] J. K. Adewole, A. L. Ahmad, S. Ismail, and C. P. Leo, “Current challenges in membrane separation of CO2 from natural gas: a review,” International Journal of Greenhouse Gas Control, vol. 17, pp. 46 65, 2013.

[6] J. A. Lagas and M. Pang, “Removal of acid gas by selective amine process,” Chemical Engineering of Oil & Gas, vol. S1, pp. 60 66, 1983.

[7] J. Liu, Study on natural gas recovery technology in outlying wells, Southwest Petroleum University, Chengdu, 2016.

[8] M. Yao, Experimental study on CO2 absorption desorption process based on organic amine method and energy consumption analysis of capture system, Beijing Jiaotong University, Beijing, 2014.

[9] Y. Chen, Y. Yao, Z. Jiang et al., “Analysis of CO2 capture process in flue gas by mixed alkanolamines MEA AMP,” Computers and Applied Chemistry, vol. 29, no. 1, pp. 113 116, 2012. [10] J. Li, Study on formulation screening of selective desulfurization amine solution for natural gas, China University of Petroleum, Qingdao, 2016.

[10] K. Wang, “Review od the development process of natural gas desulfurization and carbon removal technology MDEA is now in an outstanding position,” Natural Gas and Petroleum, vol. 29, no. 1, pp. 15 21, 2011.

[11] Y. Wang and D. Wang, “Selection of MDEA formula solution in desulfurization and carbon removal of natural gas,” Chemical Engineering of Oil & Gas, vol. 32, no. 5, pp. 291 294, 2003.

[12] R. Zheng, Study on natural gas purification and acid gas treatment technology with high C/S ratio, Southwest Petroleum University, Chengdu, 2014.

[13] L. Zhao, Simulation and optimization of natural gas purification process, Northeast Petroleum University, Daqing, 2012

[14] N. Chen, Application research of activated MDEA decarbonization, Southwest Petroleum University, Chengdu, 2016

[15] Y. Shi, Research and implementation of PZ activated MDEA decarbonization process model software based on multi core SVR, Xi’an Shiyou University, Xi’an, 2018

[16] Y. Meng and D. Qi, “Optimization of operation parameters of MDEA absorption tower,” Oil Gas field Surface Engineering, vol. 31, no. 7, pp. 22 23, 2012

[17] J. Li, Z. Ye, J. Wu, Z. Fan, and Z. Wang, “Effective energy analysis and energy saving measures of alcohol amine natural gas desulfurization and carbon removal unit,” Modern Chemical Industry, vol. 38, no. 6, pp. 186 191, 2018.

[18] H. Zhang, Design and application of natural gas liquefaction unit and technology, South China University of Technology, Guangzhou, 2014.

[19] Y. Guo, Research on technology and application of natural gas liquefaction, Xi’an Shiyou University, Xi’an, 2011.

[20] K. Dalane, Z. Dai, G. Mogseth, M. Hillestad, and L. Deng, “Potential applications of membrane separation for subsea natural gas processing: a review,” Journal of Natural Gas Science and Engineering, vol. 39, pp. 101 117, 2017.

[21] C. Scholes, K. H. Smith, S. Kentish, and G. Stevens, “CO2 capture from pre combustion processes strategies for membrane gas separation,” International Journal of Greenhouse Gas Control, vol. 4, no. 5, pp. 739 755, 2010.

[22] Q. Ye, Study on optimization of small and medium sized natural gas liquefaction process, China University of Petroleum, 2016.

[23] L. Cheng, Study on factors affecting the life of TEG in natural gas dehydration process in Wanzhou operating area and countermeasures, Chongqing University of Science and Technology, Chongqing, 2017.

[24] M. Safari, A. Ghanizadeh, and M. Montazer Rahmati, “Optimization of membrane based CO2 removal from natural gas using simple models considering both pressure and temperature effects,” International Journal of Greenhouse Gas Control, vol. 3, no. 1, pp. 3 10, 2009.

[25] X. Zhang, D. Wang, R. Liao, S. Wang, B. Shi, and L. Wu, “Associated petroleum gas measurement at low gas content using PIS method,” Flow Measurement and Instrumentation, vol. 70, article 101662, 2019.

[26] Y. Liu, Study on optimization of natural gas ethane recovery process, Southwest Petroleum University, Chengdu, 2016.

[27] B. Tirandazi, M. Mehrpooya, A. Vatani, and S. M. A. Moosavian, “Exergy analysis of C2+ recovery plants refrigeration cycles,” Chemical Engineering Research and Design, vol. 89, no. 6, pp. 676 689, 2011.

[28] X. Zhang, Z. Jiang, R. Liao et al., “Study on temperature distribution of perforated horizontal wellbore,” Journal of Thermal Science, vol. 29, no. 1, pp. 194 205, 2020.

[29] J. Yang, Y. Ma, M. Li, and H. Guan, “Exergy analysis of transcritical carbon dioxide refrigeration cycle with an expander,” Energy, vol. 30, no. 7, pp. 1162 1175, 2005.

[30] S. Zhang, Research and analysis of natural gas liquefaction process with mixed refrigerant refrigeration, Southwest Petroleum University, Chengdu, 2017.

[31] Y. Huang, Chemical process design: chemical engineering and technology, Xi’an Technology University Press, Xi’an, 2005.

[32] L. Din, Research on deep condensate recovery technology of natural gas in TLM gas field, Southwest Petroleum University, Chengdu, 2016.

[33] T. Gundepsen and L. Naess, “The synthesis of cost optimal heat exchanger networks,” Computers & Chemical Engineering, vol. 12, no. 6, pp. 503 530, 1988.

[34] J. Wang, Chemical process design, Chemical Industry Press, Beijing, 2nd Ed. edition, 2006.

[35] Q. Shen, Y. Jiang, F. Xia et al., “Hydrogen production by cobased bimetallic nano catalysts and their performance in methane steam reforming,” Petroleum Science and Technology, vol. 38, no. 6, pp. 618 625, 2020.

[36] B. Linnhoff and E. Hindmarsh, “The pinch design method for heat exchanger networks,” Chemical Engineering Science, vol. 38, no. 5, pp. 745 763, 1983.

[37] H. Zhou, Z. Wang, and Z. Yao, “Pinch point analysis and energy saving potential of Dongyilian,” Contemporary Chemical Industry, vol. 44, no. 11, pp. 2659 2661, 2015.

Factor

International Journal for Research in Applied
412©IJRASET: All Rights are Reserved | SJ Impact Factor 7.538 | ISRA Journal Impact
7.894 |

Turn static files into dynamic content formats.

Create a flipbook
Issuu converts static files into: digital portfolios, online yearbooks, online catalogs, digital photo albums and more. Sign up and create your flipbook.