A Systematic Review and Taxonomy on Electrical Load Forecasting for Optimizing Power Generation

Page 1

10 XI November 2022

ISSN: 2321 9653; IC Value: 45.98; SJ Impact Factor: 7.538

Volume 10 Issue XI Nov 2022 Available at www.ijraset.com

A Systematic Review and Taxonomy on Electrical Load Forecasting for Optimizing Power Generation

1, Shalini Goad2

1M.Tech Scholar, Oriental University

2Assistant Professor Oriental University

Abstract: There happens to be a continuous mismatch between the amount of generation and the load required for power systems. The necessity for matching of lad is necessary as lesser load than generation may lead to standing waves on the transmission line and power feedback paths. While the excessive load may put enormous amount of pressure on the generating end with limited generation capability. Hence, it is necessary to match the demand and load conditions for any power system. This inevitable needs accurate forecasting models for electrical load so as to make estimates regarding the future load conditions of any system.

While electrical load forecasting a time series forecasting model, the dependence on the multitude of parameters makes the load forecasting a challenging problem. This paper presents a review on the current techniques for electrical load forecasting based on statistical regression problems so as to enhance the balance among the electrical load required and the generation.

Keywords: Power Systems, Optimized Generation, Electrical Load Forecasting, Machine Learning, Mean Absolute Percentage Error.

I. INTRODUCTION

The power management system is the most dependable source of power. Power management is an extremely complex task keeping in mind the variability and the multitude of the variables in the load forecasting problem. In order to effectively manage the generated electricity and send it to the necessary equipment, this system must be very strong and effective [1]. Making the electrical power management system better and more effective at managing the various electrical loads is the primary driver behind this study. The power management stations will make the best use of the electricity supply if there is good electrical load forecasting methodology in place. This idea must be used to correctly and effectively balance the supply and demand of power [2]. Since the consumption of different types of energy has already increased significantly, it is crucial to take action to improve the power management methods.

The major challenges are:

1) Load is a completely random parameter based in the demand.

2) There is no deterministic model for load prediction

3) The electrical load is governed by several parameters

4) The parameters do not exhibit any linear relationship among them

Therefore, depending on a number of variables, the energy requirement can change. As a result, it kind of changes and shifts. Therefore, the energy requirement and consumption must be synchronized with the power generation. Between the energy produced and the energy used, there must be equilibrium.

Only then will there be minimal waste and proper use of the electrical load. As a result, a reliable technique is required to forecast the electric load and create a steady power management system.

Among the major elements affecting electrical load are [3]:

A. Maximum Load

It is the highest magnitude of load that is connected at a given instant of time.

International Journal for Research in Applied Science & Engineering
(IJRASET)
Technology
1355 ©IJRASET: All Rights are Reserved | SJ Impact Factor 7.538 | ISRA Journal Impact Factor 7.894 |

Technology (IJRASET

ISSN: 2321 9653; IC Value: 45.98; SJ Impact Factor: 7.538 Volume 10 Issue XI Nov 2022 Available at www.ijraset.com

B. Average Load

It is defined as the mean or expectation of electrical load over a tenure of time period.

Mathematically:

C. Load Factor

Average Load = (1)

Mathematically, its defined as: Load Factor = (2)

D. Installed Capacity

Mathematically, its defined as:

Installed Capacity = rated power generation capacity of the plant (kW or MW)

E. Reserve Capacity

Mathematically, its defined as. Reserve Capacity = Installed Capacity Maximum load Demand (3)

F. Plant Capacity Factor

Mathematically, its defined as Plant Capacity Factor = ( ) ( ) (4)

G. Plant Use Factor

Mathematically, its defined as:

Plant Use Factor = ( ) ( )× ( )(5)

H. Diversity Factor

It is defined mathematically as: Diversity factor = (6)

I. Demand Factor

It is mathematically defined as:

Demand factor = (7)

Thus it can be seen that the electrical load is variable parameter with several governing parameters. It is often extremely challenging to estimate the electrical load with high accuracy using conventional technique. This leads to the use of machine learning and optimization techniques to be used for electrical load forecasting with an aim to high accuracy of prediction. The most common approaches which are being used off late are the machine learning and the stochastic computing based techniques which are important for the analysis for large and uncorrelated amounts of data. One such exemplary cite is the that of the electrical load forecasting problem.

II. PREVIOUS WORK

This section presents a systematic review on the various contemporary techniques used for electrical load forecasting. The focus has been on the contemporary work in the domain of electrical load forecasting using machine learning.

)
International Journal for Research in Applied Science & Engineering
1356 ©IJRASET: All Rights are Reserved | SJ Impact
7.538 | ISRA Journal
|
Factor
Impact Factor 7.894

ISSN: 2321 9653; IC Value: 45.98; SJ Impact Factor: 7.538 Volume 10 Issue XI Nov 2022 Available at www.ijraset.com

S.No. Authors Publication Findings

1. Cao et al. [4] IEEE 2022 Thedeep Gaussian processes (DGP) has been used to estimate the electrical load based on the stochastic kernel of the Gaussian function. The metrics for evaluation is the prediction accuracy.

2. Imani [5] Elsevier 2021 The rectified linear (Relu) activation function based convolutional neural network is used for the prediction of the electrical load based on the deep layers of the network.

3. Rafi et al. [6] IEEE 2021 The combination of neural networks in used in this approach which is the termed as the neural ensemble. The combination of the Long Short Term Memory (LSTM) has been used in this case for the predication of short term electrical loads.

4. Zang et al. [7] Elsevier 2020 The attention based model is used in this case for electrical load forecasting which in turn uses the attention weights which help in removing excessive of older uncorrelated data and retains the major parameters of the recent trends in the electrical load data.

5. Gao et al. [8] IEEE 2020 This paper focusses on removing the noise floor through normalization of the data thereby increasing the accuracy of prediction of the electrical load. The filtration process is used prior to feeding the data to a feed forward network.

6. Alam et al. [9] IEEE 2020 The paper presents the use of the adaptive neuro fuzzy inference system or ANFIS based system for electrical load forecasting. The combination of both the neural network and the fuzzy logic has been used in this approach.

7. Motepe et al. [10] IEEE 2019 The paper presents the deep belief networks with attention weights for the recent trend analysis of the electrical load data. The activation function is the log sigmoid for this approach.

8. Pourdaryaei et al. [11] IEEE 2019 The paper presents a back prop based ANFIS system which allows the neural networks to decide the limits of the fuzzy system based on the back propagation mechanism.

9. Cerne et al. [12] IEEE 2018 The paper presents a comparative analysis of the variation of the membership function of the fuzzy systems for electrical load forecasting along with the change in the accuracy for the electrical load.

10. Chen et al. [13] IEEE 2018 The approach proposes the used of extreme machine learning (EML) for pattern recognition of electrical load and hence the deep neural architecture allows the pattern recognition of the load features at the deeper layers of the network.

11. Zheng et al. [14] IEEE 2017 The paper presents a back prop based recurrent neural network which can be used for closed loops in the network. The RNN has the special ability to connect output and input loops thereby creating a feedback path for electrical load analysis.

12. Chen et al. [15] Elsevier 2017 The support vector regression (SVR) approach with the design of hyperplane is used for electrical load forecasting.

Table.1 Summary of noteworthy contribution in the domain of the work

The above section implies that contemporary techniques are focusing on machine learning due to the increased accuracy of prediction.

International Journal for Research in Applied Science
Engineering
)
&
Technology (IJRASET
1357 ©IJRASET: All Rights are Reserved | SJ Impact Factor 7.538 | ISRA Journal Impact Factor 7.894 |

ISSN: 2321 9653; IC Value: 45.98; SJ Impact Factor: 7.538

Volume 10 Issue XI Nov 2022 Available at www.ijraset.com

III. MACHINE LEARNING BASED APPROACHES

Earlier methods to forecast electrical load were based on statistical techniques. However, with the advent of machine learning based approaches, the accuracy of predication became higher. There are several such approaches such as [16]:

1) Dynamic Programming

2) Convex Optimization

3) Particle Swarm Optimization

4) Bat Optimization

5) Ant Colony Optimization etc.

Off late, artificial intelligence and machine learning based techniques are being used to solve complex optimization problems Machine learning based approaches are often used to analyse data which is too overwhelmingly large and complicated to be analysed by statistical techniques.

Typically, machine learning based applications are categorized as [17]:

a) Supervised learning b) Unsupervised learning c) Semi Supervised learning.

Artificial Intelligence and machine learning are concepts which try to emulate the human way of solving problems on machines. They can be implemented using mathematical models emulating human thought process such as: 

Neural Networks 

Fuzzy Logic 

Neuro Fuzzy Systems 

Genetic Algorithms 

Deep Neural Networks etc.

The fundamental categorization of machine learning approaches and their applications is given in the subsequent figure 1.

Figure 1. Categories of Machine Learning

)
International Journal for Research in Applied Science & Engineering Technology (IJRASET
1358 ©IJRASET: All Rights are Reserved | SJ Impact Factor 7.538 | ISRA Journal Impact Factor 7.894 |

ISSN: 2321 9653; IC Value: 45.98; SJ Impact Factor: 7.538 Volume 10 Issue XI Nov 2022 Available at www.ijraset.com

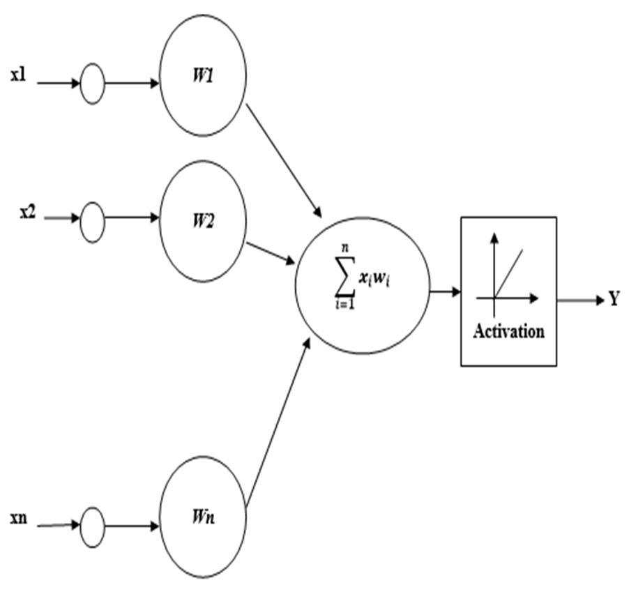
Fundamentally, computational intelligence breeds the ground for artificial intelligence with the cue taken from the human pattern of thinking which is described by the following attributes:  Capability to process data in a parallel stream  Finding patterns from data  Learning from experiences  Self Organization and Adapting capability. By mathematically simulating the behaviour of AI and ML based models on computational platforms, these models can be implemented on computing devices. The conversion of biological to mathematical counterparts serves as the starting point for the transformation of human intellect into computational intelligence. Artificial neural networks are mathematical models that can be designed to execute the ideas of AI and ML on computing devices. The mathematical representation of the neural network, which depicts its capacity for parallel data processing, data analysis, and pattern recognition, can be expressed as the input output mapping of the data fed and extracted from the network. The output of the neural network is given by: =∑ ( +Ɵ) (8) Here, X are parallel inputs Y is the neural network output W are the neural network weights or experiences Ɵ represents the bias f represents the activation function

Figure 2. Mathematical Model of Neural Network

The neural network is also understood conceptually by its internal structure which contains of three layers namely:  Input: This layer accepts the parallel stream of data  Hidden: This layer processes and analyses patterns in data  Output: This layer renders the final output.

Based on the configuration of the three different layer of the neural network, different architecture of neural network are designed which primarily consist of:

 Single Layer Feed Forward: This doesn’t necessarily distinguish between an input layer and the hidden, but combines both to form a composite layer.

 Multi Layer Feed Forward: This typically has a separate hidden layer  Recurrent: This is a neural network which typically has at least one closed loop in the architecture  Back Propagation: This is a neural architecture with a feedback loop from the output to the input nodes.

 Deep Neural Network: This is a neural network with multiple hidden layers to examine and analyse highly complex data.

International Journal
Research
for
in Applied Science & Engineering Technology (IJRASET)
1359 ©IJRASET: All Rights are Reserved | SJ
7.538 | ISRA
|
Impact Factor
Journal Impact Factor 7.894

ISSN: 2321 9653; IC Value: 45.98; SJ Impact Factor: 7.538 Volume 10 Issue XI Nov 2022 Available at www.ijraset.com

A deep neural network is depicted in figure 3.

Figure 3. Internal Structure of Deep Neural Network

IV. PERFORMANCE PARAMETERS

The performance evaluation parameters while using an ANN for load prediction or forecasting are [18]

1) Mean Absolute Error = ∑ | | (9)

2) Mean Squared Error = ∑ [ ] (10)

3) Mean Absolute Percentage Error = ∑ [ ](11)

Here, n represents the number of forecasted values P denotes predicted values A denotes actual values

It is always envisaged that the prediction model attains low values of error, and high values of regression and accuracy. The validation of any model stands on the performance comparison with respect to existing baseline techniques.

V. CONCLUSION

It can be concluded from previous discussions that electrical load forecasting is a critical technique for the management of the supply demand chain of power systems. However, electrical load prediction is often a complex task owing to the fact that the electrical load parameters are often extremely un correlated and exhibit random fluctuations. It is therefore challenging to find relationships among such a non correlative and random variable set. Statistical techniques have been used thus far for electrical load forecasting but they generally tend to render lower accuracy and higher values of mean absolute percentage error. Hence off late, advanced optimization and data processing tools and algorithms are being explored to improve upon the performance in terms of accuracy. This paper presents a comprehensive review of contemporary techniques for electrical load forecasting.

REFERENCES

[1] J Nowotarski, R Weron, “Recent advances in electricity price forecasting: A review of probabilistic forecasting”, Renewable and Sustainable Energy Reviews, Elsevier 2018, vol.81, no.1, pp. 1548 1568.

[2] N. Ding, C. Benoit, G. Foggia, Y. Bésanger and F. Wurtz, "Neural Network Based Model Design for Short Term Load Forecast in Distribution Systems," in IEEE Transactions on Power Systems, 2016, vol. 31, no. 1, pp. 72 81.

[3] B. Stephen, X. Tang, P. R. Harvey, S. Galloway and K. I. Jennett, "Incorporating Practice Theory in Sub Profile Models for Short Term Aggregated Residential Load Forecasting," in IEEE Transactions on Smart Grid, 2017, vol. 8, no. 4, pp. 1591 1598.

International Journal for Research in Applied
)
Science & Engineering Technology (IJRASET
1360 ©IJRASET: All Rights are Reserved | SJ
7.538 | ISRA Journal
|
Impact Factor
Impact Factor 7.894

ISSN: 2321 9653; IC Value: 45.98; SJ Impact Factor: 7.538 Volume 10 Issue XI Nov 2022 Available at www.ijraset.com

[4] D. Cao et al., "Robust Deep Gaussian Process Based Probabilistic Electrical Load Forecasting Against Anomalous Events," in IEEE Transactions on Industrial Informatics, 2022, vol. 18, no. 2, pp. 1142 1153.

[5] M Imani, “Electrical load temperature CNN for residential load forecasting”, Journal of Energy, Elsevier 2021, vol.227, pp.120480.

[6] S. H. Rafi, Nahid Al Masood, S. R. Deeba and E. Hossain, "A Short Term Load Forecasting Method Using Integrated CNN and LSTM Network," in IEEE Access, 2021, vol. 9, pp. 32436 32448.

[7] H Zang, R Xu, L Cheng, T Ding, L Liu, Z Wei, G Sun, “Residential load forecasting based on LSTM fusing self attention mechanism with pooling”, Journal of energy, Elsevier 2020, vol.229, pp. 120682.

[8] Y. Gao, Y. Fang, H. Dong and Y. Kong, "A Multifactorial Framework for Short Term Load Forecasting System as Well as the Jinan’s Case Study," in IEEE Access, 2020, vol. 8, pp. 203086 203096.

[9] S. M. M. Alam and M. H. Ali, "A New Subtractive Clustering Based ANFIS System for Residential Load Forecasting," 2020 IEEE Power & Energy Society Innovative Smart Grid Technologies Conference (ISGT), 2020, pp. 1 5.

[10] S. Motepe, A. N. Hasan, B. Twala and R. Stopforth, "Power Distribution Networks Load Forecasting Using Deep Belief Networks: The South African Case," 2019 IEEE Jordan International Joint Conference on Electrical Engineering and Information Technology (JEEIT), 2019, pp. 507 512.

[11] A. Pourdaryaei, H. Mokhlis, H. A. Illias, S. H. A. Kaboli and S. Ahmad, "Short Term Electricity Price Forecasting via Hybrid Backtracking Search Algorithm and ANFIS Approach," in IEEE Access, vol. 7, pp. 77674 77691.

[12] G. Černe, D. Dovžan and I. Škrjanc, "Short Term Load Forecasting by Separating Daily Profiles and Using a Single Fuzzy Model Across the Entire Domain," in IEEE Transactions on Industrial Electronics, 2018, vol. 65, no. 9, pp. 7406 7415.

[13] Y Chen, M Kloft, Y Yang, C Li, L Li, “Mixed kernel based extreme learning machine for electric load forecasting”, Elsevier 2018, vol.312, pp. 90 106.

[14] Jian Zheng, Cencen Xu, Ziang Zhang and Xiaohua Li, "Electric load forecasting in smart grids using Long Short Term Memory based Recurrent Neural Network," 2017 51st Annual Conference on Information Sciences and Systems (CISS), 2017, pp. 1 6.

[15] Y Chen, P Xu, Y Chu, W Li, Y Wu, L Ni, Y Bao, K Wang, “Short term electrical load forecasting using the Support Vector Regression (SVR) model to calculate the demand response baseline for office buildings”, Journal of Applied Energy, Elsevier 2016, vol.195, pp. Pages 659 670.

[16] S Cohen, “The basics of machine learning: strategies and techniques”, Elsevier 2021, pp.13 40.

[17] Z Guo, K Zhou, X Zhang, S Yang, “A deep learning model for short term power load and probability density forecasting”, Energy, Elsevier 2018, vol.160, no.1, pp. 1186 1200.

[18] Y Liang, D Niu, WC Hong, “Short term load forecasting based on feature extraction and improved general regression neural network model”, Energy, Elsevier 2019, vo.166, Pages 653 663.

[19] Nitender Thakur, and Dr. Dolly Thankachan, “PV Connected Design of MicroGrid/Smart Grid with Power Generation in Journal of Interdisciplinary Cycle Research . Volume 7, Issue 5, Sept Oct 2021, ISSN (Online): 2395 566X.

[20] Nitender Thakur, and Dr. Dolly Thankachan, “Review Article of PV Connected Design of Micro Gird/Smart Grid with Power Compensation”. in International Journal of Science, Engineering and Technology, 2021,ISSN (Online): 2348 4098 ISSN (Print): 2395 4752

[21] Varsha Kanare, and Dr. Dolly Thankachan, “Review analysis of PV Connected Transient Analysis and Power Quality Improvement using VSC compensator”,in International journal of scientific research and engineering trends, in Vol 07 Issue 03.

[22] Varsha Kanare, and Dr. Dolly Thankachan, “PV Connected Transient Analysis And Power Quality Improvement Using VSC Compensator”, in Journal of Interdisciplinary Cycle Research

[23] Dr. Dolly Thankachan, S. G. (1). Distributed Generation System Analysis With Adaptive Voltage Control Design. Accent Journal Of Economics Ecology & Engineering ISSN: 2456 1037 INTERNATIONAL JOURNAL IF:7.98, ELJIF: 6.194(10/2018), Peer Reviewed And Refereed Journal, UGC APPROVED NO. 48767, 6(4), 8 17.

[24] Arvind Pal, and Dr. Dolly Thankachan “Hybrid Wind and Solar Photovoltaic Cell Power Generation” in Journal of Electrical and Power System Engineering, E ISSN: 2582 5712 Volume 6 , Issue 2 (April August, 2020)

[25] Arvind Pal, and Dr. Dolly Thankachan, “Standalone Hybrid Wind and Solar Photovoltaic Cell power Generation”, in IJSRD International Journal for Scientific Research Development| Vol. 8, Issue 10, 2020 |ISSN (online): 2321 0613.

[26] Kanhaiya Barman, and Dr. Dolly Thankachan, “Techniques For Planning Microgrids: An Empirical Study”,in International Journal of Engineering Applied Sciences and Technology, 2020 Vol. 5, Issue 2, ISSN No. 2455 2143, Pages 479 484 .

[27] Kanhaiya Barman, and Dr. Dolly Thankachan, “Genetic and Swarm Optimization for Effective Planning of Microgrids”,in Journal of Electrical and Power System Engineering, e ISSN: 2582 5712 Volume 6, Issue 2 (April August, 2020)

[28] Mukesh Nargesh , and Dr. Dolly Thankachan, “Control Strategies for Hybrid PV and Wind Systems: A Review Study,” in Journal of Control and Instrumentation Engineering, e ISSN: 2582 3000, Volume 6, Issue 2 (May August, 2020)

[29] Mukesh Nargesh , and Dr. Dolly Thankachan, “Enhancing Pv And Wind Hybrid System Control Using Neural Networks ,” in International Journal of Engineering Applied Sciences and Technology, 2020 Vol. 5, Issue 2, ISSN No. 2455 2143, Pages 471 478 .

[30] Ralu Ninama , and Dr. Dolly Thankachan, “DESIGN OF HYBRID PV AND WIND SYSTEMS: AN EMPIRICAL STUDY ,” in International Journal of Engineering Applied Sciences and Technology, 2020 Vol. 5, Issue 2, ISSN No. 2455 2143, Pages 349 352

[31] Ralu Ninama , and Dr. Dolly Thankachan, “Control Strategies for Hybrid PV and Wind Systems: A Review Study,” in Journal of Control and Instrumentation Engineering, e ISSN: 2582 3000 Volume 6, Issue 2 (May August, 2020)

[32] Kunika Lutare, and Dr. Dolly Thankachan, “Improving the Power Quality of AC Transmission System Using UPFC with Fuzzy Control,” in Journal of Controller and Converters,Volume 5, Issue 2 (May August, 2020)

[33] Kunika Lutare, and Dr. Dolly Thankachan, “Analysis of Different Power Control Techniques for Bus Systems: A Review”, in Journal of Advances in Electrical Devices,Volume 5, Issue 2 (May August, 2020).

[34] Arjun Singh Solanki, and Dr. Dolly Thankachan, “Techniques for Power Control of PV Systems: A Review Study. “Journal of Electrical and Power System Engineering”, 2020 e ISSN:2582 Vol 6, No 2, 2020.

[35] Arjun Singh Solanki, and Dr. Dolly Thankachan, “Improving the output efficiency of pv systems under fault using fuzzy controlled dstatcom systems. “International Journal of Engineering Applied Sciences and Technology”, 2020 ISSN No. 2455 2143 Vol. 5, Issue 2, Pages 312 317 June 2020.

International Journal for Research in Applied
Science & Engineering Technology (IJRASET)
1361 ©IJRASET: All Rights are Reserved | SJ Impact Factor 7.538 | ISRA Journal Impact Factor 7.894 |

& Engineering Technology (IJRASET)

ISSN: 2321 9653; IC Value: 45.98; SJ Impact Factor: 7.538 Volume 10 Issue XI Nov 2022 Available at www.ijraset.com

[36] Prity Kumari, and Dr. Dolly Thankachan, “Review on Analysis of Load Balancing Techniques.“Journal of Power Electronics and Devices Volume 6, Issue 2 Page 8 11 (May August, 2020).

[37] Prity Kumari, and Dr. Dolly Thankachan, “Enhancing Performance of Load Scheduling Using Grid Learning.” Journal of Control and Instrumentation Engineering Volume 6, Issue 2 (May August, 2020) e ISSN: 2582 3000 Page 18 26.

[38] Shrangarika Dehariya, and Dr. Dolly Thankachan, “Simulation Analysis in Advances in photovoltaic structure built on the Enhanced P&O Algorithm using MATLAB.,” International Journal of Science Engineering and Technology ISSN: 2395 4752 Volume No. 08, Issue No. 1, 2020.

[39] Shrangarika Dehariya, and Dr. Dolly Thankachan, “ A Review on Designing of photovoltaic system based on the Enhanced P&O Algorithm.,” International Journal of Scientific Research and Engineering Trends Volume No. 06, Issue No. 1, 2020.pp 223 225.

International
Journal for Research in Applied Science
1362 ©IJRASET: All Rights are Reserved | SJ Impact Factor 7.538 | ISRA Journal Impact Factor 7.894 |

Turn static files into dynamic content formats.

Create a flipbook
Issuu converts static files into: digital portfolios, online yearbooks, online catalogs, digital photo albums and more. Sign up and create your flipbook.