A New Method for Finding an Optimal Solution of Assignment Problem

Page 1

10 XI November 2022

ISSN: 2321 9653; IC Value: 45.98; SJ Impact Factor: 7.538

Volume 10 Issue XI Nov 2022 Available at www.ijraset.com

A New Method for Finding an Optimal Solution of Assignment Problem

Priyadharshini. L. S1 ,P. Devi Abirami2

1M.Sc Mathematics, Department of Mathematics, Dr. SNS Rajalakshmi College of Arts and Science, Coimbatore, Tamil Nadu, India 2Assistant Professor, Department of Mathematics, Dr. SNS Rajalakshmi College of Arts and Science, Coimbatore, Tamil Nadu, India

Abstract: In this paper a new method is proposed for finding an optimal solution of a wide range of assignment problems, directly.

A numerical illustration is established and the optimality of the result yielded by this method is also checked. The most attractive feature of this method is that it requires very simple arithmetical and logical calculations. The method is illustrated through an example.

Keywords: Assignment problem, Transportation problem, Hungarian Method.

I. INTRODUCTION

An assignment problem is a particular case of transportation problem where the objective is to assign a number of resources to an equal number of activities so as to minimise total cost or maximize total profit of allocation. The problem of assignment arises because available resources such as men, machines etc. have varying degrees of efficiency for performing different activities, therefore, cost, profit or loss of performing the different activities is different. Thus, the problem is “How should the assignments be made so as to optimize the given objective”. Some of the problem where the assignment technique may be useful are assignment of workers to machines, salesman to different sales areas.

II. DEFINITION OF ASSIGNMENT PROBLEM

Suppose there are n jobs to be performed and n persons are available for doing these jobs. Assume that each person can do each job at a term, though with varying degree of efficiency, let cij be the cost if the i th person is assigned to the j th job. The problem is to find an assignment (which job should be assigned to which person one on one basis) So that the total cost of performing all jobs is minimum, problem of this kind are known as assignment problem.

III. BALANCED ASSIGNMENT

Balanced Assignment Problem is an assignment problem where the number of facilities is equal to the number of jobs. Unbalanced Assignment Problem: Unbalanced Assignment problem is an assignment problem where the number of facilities is not equal to the number of jobs.

IV. UNBALANCED ASSIGNMENT

Unbalanced Assignment problem is an assignment problem where the number of facilities is not equal to the number of jobs. To make unbalanced assignment problem, a balanced one, a dummy facility(s) or a dummy job(s) (as the case may be) is introduced with zero cost or time.

V. FORMULATION OF ASSIGNMENT PROBLEM

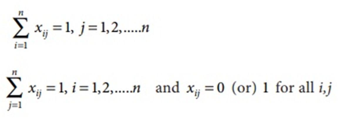
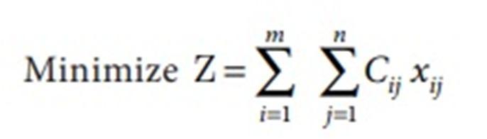
Consider the problem of assigning n jobs to n machines (one job to one machine). Let Cij be the cost of assigning ith job to the jth machine and xij represents the assignment of ith job to the jth machine.

International Journal for Research in Applied Science & Engineering
(IJRASET)
Technology
1391 ©IJRASET: All Rights are Reserved | SJ Impact Factor 7.538 | ISRA Journal Impact Factor 7.894 |

ISSN: 2321 9653; IC Value: 45.98; SJ Impact Factor: 7.538 Volume 10 Issue XI Nov 2022 Available at www.ijraset.com

xij is missing in any cell means that no assignment is made between the pair of job and machine.(i.e) xij = 0. xij presents in any cell means that an assignment is made their.In such cases xij = 1

The assignment model can be written in LPP as follows

Subject to the constrains

If for an assignment problem all Cij > 0 then an assignment schedule (xij) which satisfies ∑ Cij xij = 0 must be optimal.

VI. ALGORITHM OF NEW METHOD

Now, we introduce a new algorithm for finding optimal solution of an Assignment problem. The step wise procedure of the proposed method is as follows:

1) Step 1: Construct the Assignment table from the given Assignment problem.

2) Step 2: Prepare a square matrix. This step will not require for N x N Assignment problem. For M x N problem a dummy column or dummy row, as the case may be, is added to make the square matrix.

3) Step 3: Subtract the smallest element of each row from every element of the respective row and then subtract smallest element of each column of the reduced matrix from all the elements of the respective column.

4) Step 4: Now there will be at least one zero in each row and in each column in the reduced matrix. Select the first zero (row wise) occurring in the cost matrix. Suppose (i, j)th zero is selected , count the total number of zero’s in the ith row and jth column. Now select the next zero and count the total number of zero’s in the corresponding row and column in the same manner. Continue it for all zero’s in the matrix.

International Journal
)
for Research in Applied Science & Engineering Technology (IJRASET
1392 ©IJRASET: All Rights are Reserved | SJ Impact Factor 7.538 | ISRA Journal Impact Factor 7.894 |

ISSN: 2321 9653; IC Value: 45.98; SJ Impact Factor: 7.538 Volume 10 Issue XI Nov 2022 Available at www.ijraset.com

5) Step 5: Now select a zero for which the number of zero’s counted in above step is minimum. Make an Assignment to this cell by making square ( ) around it. If tie occurs it can be broken by choosing (i, j)th zero breaking tie such that total sum of all the elements in the ith row and jth column is maximum. Make an assignment to this cell. If again tie occurs it can be broken by selecting the minimum cost cell.

6) Step 6: After performing step 4, delete the row and column for further calculation as they will not be considered for making any more assignments.

7) Step 7: Check whether the resultant matrix possesses at least one zero in each row and in each column. If not, repeat 3. Otherwise go to step 8.

8) Step 8: Repeat steps 4 to 7 until and unless each row and each column have one assignment.

VII. NUMERICAL EXAMPLE

Consider the following cost minimizing Assignment problem with five jobs and five machines.

Table 1

M1 M2 M3 M4 M5

J1 5 5 7 4 8 J2 6 5 8 3 7 J3 6 8 9 5 10 J4 7 6 6 3 6 J5 6 7 10 6 11

After applying this new method the assignments are obtained as follows

Table 2

M1 M2 M3 M4 M5

J1 5 5 (7 ) 4 8 J2 6 ( 5 ) 8 3 7

J3 6 8 9 ( 5 ) 10 J4 7 6 ( 6 ) 3 6 J5 (6 ) 7 10 6 11

As there is one and only one assignment in each row and column, thus optimality can be made in solution.

The optimal assignment policy is

Job J1 should be assigned to machine M3

Job J2 should be assigned to machine M2

Job J3 should be assigned to machine M4

Job J4 should be assigned to machine M5

Job J5 should be assigned tomachine M1

The total cost associated with assignments Rs 29.

VIII. OPTIMALITY CHECK

To find whether the solution obtained is optimal or not we apply Hungarian Method for the above problem. And after applying the Hungarian method the total cost of the problem is Rs 29. It can be seen that value of objective function obtained by our method is same as that of Hungarian Method. Hence the solution obtained by our method is also optimal.

International Journal for Research in Applied
Science & Engineering Technology (IJRASET)
1393 ©IJRASET: All Rights are Reserved | SJ Impact Factor 7.538 | ISRA Journal Impact Factor 7.894 |

ISSN: 2321 9653; IC Value: 45.98; SJ Impact Factor: 7.538 Volume 10 Issue XI Nov 2022 Available at www.ijraset.com

IX. CONCLUSION

Thus it can be concluded that our method provides an optimal solution in fewer iterations, for the solution of an Assignment Problem. As this method consumes less time and is very easy to understand and apply, so it will be very helpful for decision makers who are dealing with logistic and supply chain problems. The future research work may be considered to introduce the mathematical formulation of the proposed method and algorithm.

X. ACKNOWLEDGEMENT

Thank you to P.Devi Abirami, Assistant Professor, Department of Mathematics, Dr. SNS Rajalakshmi College of Arts and Science, Coimbatore,Tamil Nadu, India for giving full support to this research.

REFERENCES

[1] Maximin Zero Suffix Method for Solving Assignment Problems. https://www.elixirpublishers.com/articles/1480602780_ELIXIR2016095356C.pdf

[2] https://ijisrt.com/wp content/uploads/2019/10/New Approach to Solve Assignment Problem.pdf

[3] https://www.researchgate.net/publication/325223720_An_Assignment_Problem_and_Its_Application_in_Education_Domain

[4] https://www.iosrjournals.org/iosr jm/papers/Vol13 issue2/Version 4/M1302048488.pdf

[5] https://www.researchgate.net/publication/344559969_Development_of_an_accelerating_hungarian_method_for_assignment_problems

[6] https://en.wikipedia.org/wiki/Assignment_problem

International Journal for Research
Applied
)
in
Science & Engineering Technology (IJRASET
1394 ©IJRASET: All Rights are Reserved | SJ Impact Factor 7.538 | ISRA Journal Impact Factor 7.894 |

Turn static files into dynamic content formats.

Create a flipbook
Issuu converts static files into: digital portfolios, online yearbooks, online catalogs, digital photo albums and more. Sign up and create your flipbook.
A New Method for Finding an Optimal Solution of Assignment Problem by IJRASET - Issuu