Cottage Court Condo Docs

Page 1


COTTAGE COURT CONDOMINIUM ASSOCIATION

AUGUST 22, 2011

1. DOGS - No outdoor pets are allowed, without prior written consent. Dogs must be with their owner at all times (dogs cannot run around loose and they cannot be tied outside), and must be cleaned up after immediately. Please note that pet owners in violation ofthe rules are subject to fines.

2. LITTERING - There will be no littering on the condominium grounds. Please keep the common grounds clean.

3. VEHICLES - Private passenger automobiles only. No boats, trucks or other vehicles or items. No unregistered, uninsured or inoperable vehicles are allowed on the property.

4. PARKING - Owners and their tenants shall be responsible to see that neither they nor their guests interfere with the right ofother Owners and their tenants to appropriate use ofparking. Do not block the circle.

5. NOISE - No unit owner shall make or permit any disturbing noises after lOpm by himself, his family, servants, employees, agents, visitors, lessees, or licensees, or do or permit anything to be done by such persons which will interfere with the rights, comfort or convenience ofother unit owners.

6. STRUCTURAL INTEGRITY OF THE BUILDINGS - No changes can be made to the outside appearance ofyour unit without permission from the Board ofTrustees. Ifand whenever any Unit Owner shall propose to make an improvement to or affecting the Common Areas and Facilities ofthe Condominium at such Unit Owner's own expense, and the Trustees determine in their reasonable discretion that such improvement would be consistent and compatible with the provisions and intent of the Master Deed, the Trustees may, but shall not be obligated to, authorize such improvement to be made at the sole expense ofthe Unit Owner proposing the same, subject to such contractual undertakings ofthe Unit Owner proposing such improvements as the Trustees in their reasonable discretion deem to be necessary or desirable in the circumstances.

7. OUTDOOR ITEMS - Each unit owner is responsible to keep the outside ofhis unit in a good state of cleanliness. Cooking equipment, lawn furniture, bicycles, children's wheeled vehicles, toys and other personal articles and equipment when used outside, shall be maintained and located in such a fashion as to meet safety and aesthetic standards as established by the Trustees from time to time.

8. A/C's- No air conditioning units facing the common areas (on the front ofthe building)

9. COMPLAINTS - Complaints ofviolations ofthese Rules and Regulations should be made to the Trustees in writing Ifthe Trustees feel that the complaint is justified, they will take whatever action they deem necessary. The complainant will be notified in writing by the Trustees as to what action has been taken.

The above are rules that will be enforced. We ask that you be considerate ofyour neighbors at all times. Any violations ofthe above will result in fines to unit owners.

Cottage Court Condominium Trust DRAFT 2023 Annual Meeting Minutes 6:30pm, March 15, 2023

Remote & Lawrence Library 15 Main St Pepperell MA 01463

Attendees: Becki Whorton, Lora Woodward, Casey Campetti, John Willet, Carol Bosch, Christine Furtado, Matt Furtado, Kristin Smith (left approx 6:53pm)

Meeting called to order at 6:33pm on 3/15/2023

● 2022 Meeting Minutes accepted

● Trustee election. Matthew Furtado up for re-election. Running unopposed. All votes for Matthew to renew 3 year cycle.

● Insurance cost going up. Liability cost going up due to CCCA’s reserve funds.

● John’s budget plan. 10% necessary? More or less to reserve for major repairs coming up.

○ Recommending:

■ Trimming of trees.

■ Communicate with T Bennett for tree trimming.

■ Becky has some issues and specifics for tree trimming.

● Repair of fence on both ends of fence rather than full replacement

■ Is the factory responsible for fence? Conversation needed.

■ Chain link on AB side not preferred. Privacy needed.

■ Survey needed?

● Seal coating.

● Motion to approve Blue Box Budget: John, Casey, Becky, Matt agree and approve.

● Anticipate $50 increase in condo fees

● Potential cut backs to lawn

Meeting adjourned at 7:40pm

Submitted by Matthew Furtado, Secretary

2024 Cotage Court Condominium Associaion Meeing Minutes

February 28, 2024 Meeing started at 6:04pm

Atendees: Becki Whorton, John Willet, Carol Bosch, Casey Campei

2023 Meeing Minutes accepted.

Becki elected to board of trustees and replaced John Willet’s posiion.

Going over 2024 Condo Budget Analysis. Discussion of pulling back on the landscaping to open budget. All are open to possibility. Landscaping contract ending 2023. Snow removal contract is through end of 2024. Comparing the proposed increase of condo fee of $80 to $330 compared to maintaining current $250. Reduce landscaping at current $4100 by $1,625, and have it at $2,475 and have only common areas covered. This will balance the budget.

Pot hole on the road at the end of our driveway. Inform the Town of Pepperell. They may be required to fix that.

Need to follow up and ask about the Office/Admin Postage cost increase.

Have esimates for repair of fence rather than replace.

Look at lights from building behind C and see if they can dim.

• Moion to increase condo fee effecive July 1, 2024 to $275 – Becki, John, Carol, Casey, Mat

o All in FAVOR - Becki, John, Carol, Casey, Mat

• Iniial blue budget proposal reworked further below.

o Not in FAVOR - Becki, John, Carol, Casey, Mat

• The board took the budget as proposed and under consideraion made friendly amendments and agree to the New Friendly Amendment Budget Proposal (below):

o All in FAVOR - Becki, John, Carol, Casey, Mat

New Friendly Amendment Budget Proposal (below):

Meeing adjourned at 7:55pm

TOWN OF PEPPERELL

Pl.ANNING BOARD 1 MAIN STREET

PEPPERELL. MASSACHUSETTS 01463

NOTICE OF DECISION - SPECIAL PERMIT

Notice is hereby given that a Special Permit has been granted with conditions:

To: Eugene and Jean Carter, 57 Elliott St., Pepperell, MA

For: Four new units plus one existing unit o! multifamily housing affecting the rights of the owner with respect to the use ot land.

Property located at: 14 Cottage Street

Owned by: Eugene and Jean Carter

Shown on Assessors' Map 23 as Lot 119.

Recorded deed in South Middlesex Registry of Deeds Book 14256 Page 120.

The Special Permit Decision of the Piannino Board is on file with the papers •ff1ce of the Town Clerk. Certified day ot . 1988.

PLANNING BOARD: Erhcro•DcM•Cba.ido ' , CLERK

RIGHT TO APPEAL

Appeals of this decision to the Court pursuant to M.G.L., Chapter 40A, Section 17 and must be taken within twenty (20) days ot the filing of this Decision with the Town Clerk.

TOWN CLERK CERTIFICATION

I no appeal has received within twenty (20) days of the tilin9 of this notice in my office, that if an appeal has been filed, it has been dismissed or denied. •

NOTICE TO APPLICANT

Having received certification from the Town Clerk, it shall be the responsibility of the applicant to have recorded both this NOTICE OF DECISION and the SPECIAL PERMIT DECISION at the South Middlesex Registry of Deeds and indexed in the 9rantor index under the name of the owner of record or recorded and noted on the owner's certificate of title. Fee for recording shall be paid by the owner or applicant. NO BUILDINV or CERTIFICATES OF OCCUPANCY shall be issued by the Building Inspector until notice of attestation by the Register of Deeds is made to the Town Clerk by filing a copy of this notice with the recording date and document number notea.

ATTESTATION

Received and entered with the of Deeds in the County of Middlesex, South,:

ATTEST: Register of Deeds

Fi le: SP88-11

TOWN OF PEPPERfl I

Pl.ANNING BOARD 1MAIN STREET

PEPPERELL. MASSACHUSETTS 01463

SPECIAL PERMIT DECISION

APPLIC.\NT: Eugene P. Carter. Jr. Jean Carter 57 Elliott Street P.o. Box 649 Pepperell, HA 01463

Granted with conditions: Special Permit for the construction of 4 new detached units of housing and the retention of an existing unit, in the Commercial District on 1.204 acres at 14 Cottage Street.

Location of Property: 14 Cottage Street; Assessors' Map 23 Lot 119.

Owcer of Property:

Date of Decision: Carter. Jr. and Jean Carter

STATEMENT OF FACTS

"d'"g± o29, I fff'

Application Submitted to Town Clerk: Hay 13, 1988.

Applicable Section of the Zoning Chapter of the Code of the Town ot Pepperell Massachusetts: 174-29F and 174-23.l.

Application copied to the Building Inspector: May 16, 1988.

Dates of Published Notice of Bearing: June 3, 1988 and June 10, 1988.

Notification of Parties in Interest: Mailed notices, including notification to the abutting towns of Groton. Townsend, Dunstable in Massachusetts and Brookline, Hollis and Nashua in New Hampshire, on June 6, 1988.

Date(sl of Searing: June 20, 1988 and August 15, 1988 and August 29. 1988 by written agreement with the applicant and copied to the Town Clerk.

Planning Board Members present at the Hearing: Thomas Hamilton, April Babbitt, Scott Blackburn, Pamela Richards, Douglas Sickul.

Contents_of the Application:

Exhibit A - Certified list of parties in interest

Exhibit B - site Plan Cottage street, Pepperell. HA dated 6/88 prepared by Campbell Luger Land Surveyors & Associates, Inc.

Exhibit BR - Site Plan as noted above but as revised 6/88.

Exhibit BR2 Site Plan as noted above but as revised 8/88.

Exhibit C - Letter of request for joint hearing with Board of Appeals.

Exhibit D Assessors Map locus

Exhibit E - Copy of ANR Plan for 23-119.

TOWN OF PEPPERELL

Pl.ANNING BOARO

PEH'ERELL. MASSACHUSETTS 01463

Special Permit Decision 88-11

Paqe 2

Fees: Applicant paid fees to the Town of Pepperell in the amount of $100.00 filing fee, $52.50.for legal of public notice: and $8.50 for postage to notify the part1e1 in interest of the pablic hearing and decision.

Circulation ot Application to other boards: Referred on May 16, 1988 to the Board of Health, Water Department and Conservation Commission, Chief of Police, Board of Fire Enqineers. Sewer Commission and Highway Surveyor. Comments received from the Sewer ComDission, H; Board of Fire Engineers. Exhibit K: Board of Health. Exhibit F; and the Highway Surveyor, Exhibit J; Police Chief, Rxb1b1t G: Conservation Commission, Exhibit I in response to the referral. No comments received from the Water Department.

Persons appearing in supp9rt of the Application: Jean Carter, Eugene P. Carter, Jr., and their representatives from Campbell Luger, Inc.. Tim Wade and Oswald Emerson

Persons appearing in opposition to the petition: No one.

STATEMENT or CASE

Tim Wade told the Board that the Carters wished to construct four new detached units and retain_ the existing unit on the property at 14 Cottage Street. Each new unit would have three bedrooms and they would be served by town water and town sewer. Jean Carter requested that they not be tied to the screening as shown on the plan and stated that these would be rental units. She requested a continuance to a date in August pending the outcome of a hearing on their petition for a variance to side and rear yard setback requirements. The hearing was continued by agreement to August 15 1 1988 and the applicants were advised by the Board that only one un1t could have three bedrooms per the Zoning Bylaw provisions. On August 15, _1988 the hearing was continued to August.29th by agreement as the revised plan was not ready due to a power failure. On August_29, 1988, Oswald Emerson of Campbell Luger presented a new plan with drainage revisions and show1n9 two bedroom units. Jean Carter requested a waiver to permit the distance between the buildings to be less than 50 feet but not less than 20 feet so that decks or porches could be added to the new units and also requested that they not be tied to the screeninq as shown on the plan. She stated that thd lot would be into one lot 4nd that all dimensional controls met zoning requirements so no variance was necessary. Complete details are contained in the record on file in the Town Clerk's office.

FINDINGS

Upon the close of testimony the Board made the following findings applicable to this proposal:

1. That the proposed construction and use is consistent with the qeneral purposes of the Zoning Chapter. The land is located in the Comcercial District where multifamily housing is permitted by Planning Board Special Permit at a density ratio of one unit per 10,000 square feet of land area and the density ratio of 5 units on 54,445 square feet proposed in this submission meets the bylaw requirements. The applicant's plans as submitted and revised per the

TOWN OF PEPPERELL

PLANNING BOARD l MAfll STREET

PEPPERELL. MASSACHUSETTS 01463

Special Permit Decision 88-11

Page 3

conditions imposed in this decision are deemed by the Planning Board to be an appropriate use of this land meeting the general purposes ot the Zoning Chapter.

2. _ That the applicant's adherence to his plans aa in the revised submission, to the conditions imposed in this decision, as well as to other laws, rules, and regulations of Pepperell as they apply to this construction will provide that this project will not impair the of the district and adjoining districts, will not be detrimental to the environment, to the natural resources of the town, to the value of nearby property or to the health and welfare of the occupants and users of the or the citizens of the town. The board finds that this is the area designated in the Haster Plan for high density development, that there are other multifamily units within 300 feet of_the subject property. that the drainage system, tbe width ot _the driveway, the planned areas of open and the planned screening on the side and rear boundaries ct the property provide that this project will meet the needs_o! the town and the neighborhood, and the future owners of the units.

3. The Board finds that the plans and documentation submitted contain the applicable information required by Section 174-5 Overall Parcel Development Plan with the exceptions that floor plans, measures to guarantee construction and maintenance, and a statement as to method of trash storage and were not included. The Qrant of this special permit will be conditional upon the applicant providing the additional required information.

4. In making the required findings under Section 174-29F(l) the Board determined the following:

(a) That there is no basis for finding other than that the municipal water supply is sufficient to serve.this project because no comments tc the contrary were received from the Water Department in response to the ref of the application. Moreover, a certification w1ll be required from the Department at the time nf application for a building permit.

{b) That waiving the distance between buildings to a minimum of 20 feet as is necessary to provide room tor decks or porches is acceptable.

(c) That the on site parking does not comply with Sections 174-31 and 174-32 because two and one half spaces may not be available per unit. The Board finds one space provided for each unit in the individual oaraqes and one in the driveway turnouts. The grant of this Special Permit will be conditional upon the applicant providing the proof that the additional half space per unit is available as required.

(d) That the floor area per -Uhit is more than the required 480 square foot minimum.

(e) That all the units are proposed to be two bedroom units although the applicant could have one unit with three bedrooms.

TOWN OF PEPPERELL

Pl.ANNING BOARD I MAl'I STREET

PEPf'ERELL. MASSACHUSETTS 01463

Special Permit Page 4

(f) That the open space common land will not conflict with other requirements, will allow for pedestrian safety, and will be aesthetically pleasing.

(g) That the plans show that no easements need to be granted to the town.

{h) That no antennae will be permitted per the applicant's statement that the units will be tied into the local cable company.

5. Section 1?4-29F(2) provisions for referral of the project have been met by the Planning Board and Section 174-29(3) provision for subdivision road approval is not applicable to this proJect.

6. Under Section 174-29(4) the board finds that the design subqiitted by the applicant, modified_by conditions imposed in this should be sufficient to provide for adequate on site surface water drainaqe and therefcre no subdivision drainaqe standards need be applied. The driveway easement with paved travel way as modified by tbe recomQendation of the Highway Surveyor should adequately handle the traffic to the units and need not be_built to the standards of a subdivi,ion lane provided adequate spec1f1c maintenance standards are included in the Haster Deed. This finding shall not be construed as Planning Board approval of a subdivision public way in the Town of Pepperell. Utilities for these units will be underground and will meet the requirements of the separate installers. The Board will require a performance to secure completion of this project.

DECISION

The Plannin9 Board decided to issue a Special Permit under the following conditions:

1. "Applicant" for the purposes of this decision shall be defined_as any of the following: (a) applicl'\nt of record on this submission: (b) his assigns; (c) his heirs; (d) any successors in title.

2. Tbe_applicant shall construct the multifamily housing in accordance with the revised plans and documentation submitted to the Planning Board pursuant to this application, and as modified by the conditions in this decision.

3. The applicant shall not apply for or be issued a building permit until all the SP,ecial permit conditions noted as. "Preconstruction Condition' have Deen met. All special permit conditions shall be conditions of occupancy unless otherwise noted in the ic condition and no certificate of use and occupancy shall be issued for any unit unless these conditions have been met.

TOWN OF PEPPERELL

Pl.ANNING BOARD

Special Permit Decision 88-11 Page S

4. Pre-construction_Condition. The applicant shall provide a copy of the Notice of Decision stamped by the South Kiddleeex Registry of Deeds with the date the Special Permit was recorded and the document number before applying for a Building Permit. This Special_Permit shall not take effect until this has been accomplished.

5. Pre-construction Condition. The applicant shall make the required revisions to his plans and documents which shall be approved in writing by the Planning Board. These revisions are as follows:

(a) Submission of a final typical floor plan for the new units.

(b) Statement as to method of trash disposal.

(c) Provide a half parking space per unit as required by the zoning bylaws.

Provide a privacy area for each unit using an impenetrable screen or fence a minimum of 6 feet hi9h extending a minimum of 8 feet into the yard and minimum or 10 feet across.

(e) Provide lov lighting at the intersection of each individual driveway with the access driveway for safety along the access driveway and indicate the location of aoy Qther lighting which shall only be by incandescent lighting.

(f) Provide a crushed stone drip area for each building to facilitate the drainaqe of surface water runoff from the roof or the building.

6. Pre-construction Condition. The main access driveway shall be constructed up to but not including the finish grade.

7. Pre-construction CQndition. The applicant shall provide to the town, to be under the direction of the Planning Board 1 a performance security in an amount acceptable to the Planning Board and sufficient to secure the_completion of the project. The release of funds shall be by a majoritr vote of the Planning Board. This vote shall be based upon not1f cation in triplicate for the Planning Board. Building Inspector, and bolder of the performance security) that the specific item has been satisfactorily completed in the opioion of the Town Engineer is in compliance with the submitted approved plans as modified by the special permit conditions. funds shall be released as follows:

(a) 25' upon completion of foundation work.

{b) 25' upon completion of exterior framing, roofing, siding doors, and windows.

(c) 26' upon completion of interior walls and finish carpentry tor each unit (excluding cabinetwork).

(d) 20\ upon completion of exterior 9rading, parking sewer and drainage system inf'ta lation.

TOWN OF PEPPERELL

PIANNING BOARD 1 MAii! STREET

PEPPERELL. MASSACHUSETTS 01463

Special Permit Decision 88-ll

Page 6

(e) 10% on the first day of the sixth month following the issuance of the last occupancy perwit to assure that drainage facilities are fully functional. The Building Inspector shall forward a copy of the last occupancy permit to be issued for these units to the Planning Board at the time of issuance for its records.

8. Pre-construction Condition. The applicant shall submit for Planning Board approval a covenant with the place in the lease agreements for the rental units as applicable_ana in the event the units are converted to condominiums, include in the condominium documents, the provision that the present and future owners of the property shall be responsible for ensuring the following, also to enforceable by the town under the Zoninq Chapter by inclusion in this decision:

(a) That all conditions of the special permit decision are met at all times.

{b) That the surface water drainage system is to be maintained on an annual basis, specifically but not limitad to the cleaning out of the catch basins. and that the owner/trust will annually give notice to the Building Inspector that such has been accomplished.

(c) That the permitted uses are those uses permitted in the Urban Residence District exc,pt that Customary Occupation as defined in the Zoning Chapter shall be further limited prohibiting any employees who do not reside within the any retail sales, and any business signs.

{d) That surface water run-off shall never be routed onto abutting properties or the public way.

(e) That a plan is developed and carried out for long range of the units, the grounds, any facilities, and all common areas, including without limitation, play areas, parking areas, open areas, and any trash enclosures so as not to cause degradation to the overall safety and appearance of the neighborhood.

{f) That_no pat:king shall be permitted in the main access driveway to the units so that continual access for emergency vehicles is provided.

{g) That the storage of unregistered vehicles is prohibited.

(h) That the st9rage of contractor's equipment on the is proh1b1ted the final occupancy permit has been issued.

9. Pre-construction Condition. The applicant shall work out a schedule with the Town Engineer tor inspections of the construction of the access driveway and surface water drainage system.

TOWN OF PEPPERELL

PLANNING BOARD

1MAIN STREET

PEPPERELL MASSACHUSETTS 01463

Special Permit Decision 88-11

Page 7

10. Pre-construction Condition. The units shall be identified by street address assiqned by the Board of Assessors.

11. Pre-construction Condition. The applicants shall file a voluntary d1m1ssal of their appeal of the Special Permit Decision 875 in the matter of Eugene P. Carter Jr. &Jean Carter VS. Board, Town of Pepperell and a of their permit granted by the Board of Appeals on the property.

12. A stone_monument shall be placed_at the or front of the project showing the address and location of each unit.

13. The entire text of this special l'ermit decision shall be attached to all deeds to the property inc uding any Mast&r Deeds or unit deeds in the event that the property is converted to condominiums.

14. If during judicial review, any condition stated herein is declared nuil and void, the remaining conditions shall still apply.

15. Per Section 174-23.10 of the Zonin9 Chapter and Section 9 of Chapter 40A, K.G.L., _said permit shall lapse two years from the date of this special permit decision unless a constructive start has been mad, on this proJect. For this project a constructive start shall be defined as construction of the access driveway up to but not including finish grade, the surface water drainage system and the retention pond.

ORDER

The Building Inspector shall enforce this Special Permit Decis1on_and issue a buildin9 permit for 4 units of multifamily housing in 4 detached buildings provided all pre-construction conditions have been met. Occul'ancy of these units shall be based upon the applicant having met a 1 conditions stated herein.

A copy of the SPECIAL PERMIT DECISION and NOTICE OF DECISION shall be transmitted to the owner. applicant, Town Clerk and Building Inspector by the Assistant to the Planning Board.

A copy of the NOTICE OF DECISION shall be transmitted to the parties in interest and anyone else requesting such at the public hearing, all with the notice of their right to appeal to court pursuant to Section 17 of the Zoning Act.

TOWN OF PEPPERELL

Pl.ANNING BOARD

1 MAIN STREET

PEPPERELL. MASSACHUSETTS 01463

Special Permit Decision 88-11 Page Q. CERTIFICATIONS

Plannin9 Board

We, the undersigned members of the five member Planninq Board of the Town_of ?epperell certify we attended and participated ln all of the bearings, the decision and the order in the above matter, that said hearings and decision were at public meetings_of the board and that we made the foregoing decision with the undersigned members voting by roll call vote as follows:

Date: .,?'f 1 t1f{

Hotion by: S

Seconded by: =:tmu'f <;;rtJ:vb

Member Signature Vote

April Babbitt

Thomas Hamilton

Scott Blackburn

Pamela Richards

Douglas Sickul

MASTERDEED OF COITAGE COURT CONDOMINIUM

oftheTownofPepperell, Middlesex County, Commonwealth of MassachusettS(li.;;;;;,;afterii:e-'Declarant"),beingthesoleownerofthelandinPepperell,Middlesex .J County, Massachusetts described in Exhibit A attached hereto and made a part hereof, by duly executingand this MasterDeed, does·herebysubmit said land, togetherwiththebuilding and improvements thereon and all easements, rights and appurtenances belonging thereto to the Ill" provisions of Chapter 183A of the General Laws of Massachu.<etts, as amended, (hereinafter 11Ch11pter 183A") and propose to create, and hereby does create with respect to said premises, a condominium (hereinafterthe "Condominium")to be governed by and subjeel to the provisions of Chapter 183A, and to that end declare and provide the following:

1. Condominium Phasing

TheCondominiummaybedeveloped asaphased Condominium,specificallywithrespecttoUnit l4A and the area shown on the site plan to be recorded herewith as "Reserved Proposed Garage Area." Paragraph 17hereofsets forth the procedurewherebytheDeclarantmayamendthisMaster Deed,withoutthe need forthe consent (exceptasin saidparagraph 17alreadygranted)or signature ofany Owner, (as usedinthis MasterDeed and in the Cottage Court CondominiumTrust,the term "Owner" shall have the same meaning as the term "Unit Owner" in MOLA Chapter 183A, Section I et seq.) any person claiming by, through or under any Owner (including the holder of any mortgage or other encumbrance with respect to any Dwelling or any other party, so as to add additionallandandadditional phasestotheCondominium. Saidparagraph17alsodescribescertain limitations onthe Declarant's said rights to add additional land and additional phases.

2. Name. The name ofthe Condominium shall be "COTTAGE COURT CONDOMINIUM."

3. Description of Land The land (hereinafter the "Land") upon which the buildings and improvements are situsted is described in said Exhibit Aattached hereto and made parthereof.

4. Description of the Buildings The buildings (hereinafter the "Buildings") on the Land are described in Exhibit B attached hereto and made apart hereof.

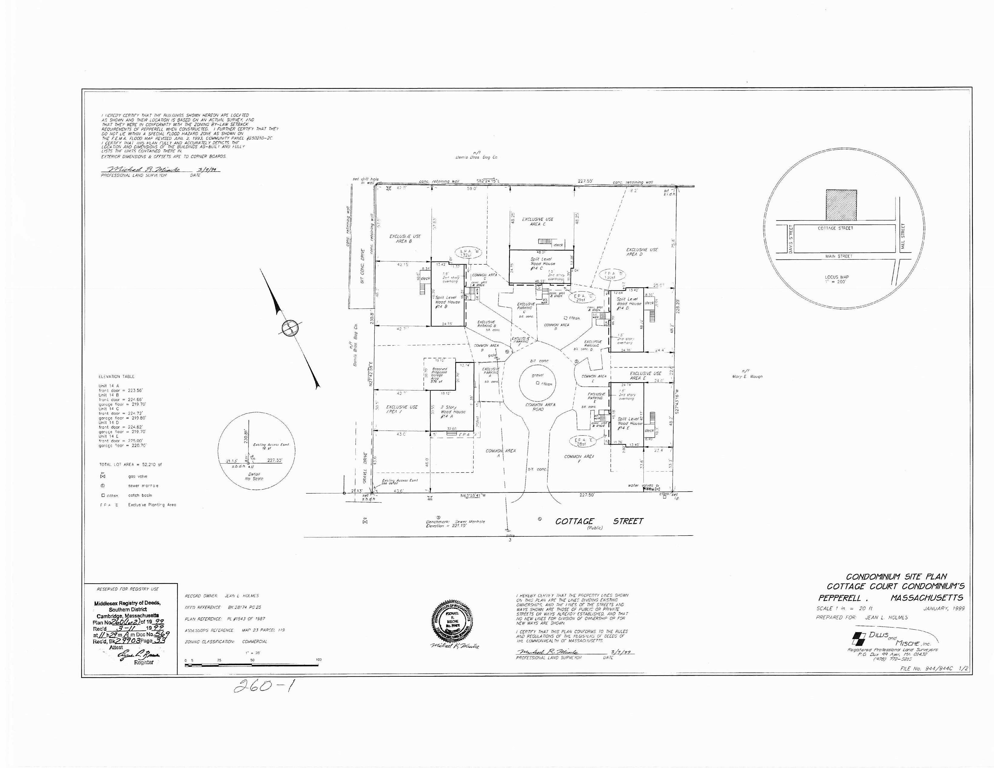
5. Designation ofthe Units and TheirBoundaries,

(a) The Condominium presently consists offive (5) detached units, situated in the buildings located on the Land described in Exhibit A and shown on the site plan recorded with Middlesex County South DistrictRegistryofDeeds herewith, (said five (5) units are hereinafterreferred to as the "Units"). The designations, locations, approximate areas, number of rooms, immediately

accessible Common Areas and Facilitiesand other descriptive specifications ofeachofsaid Units are set forth in Exhibit C attached hereto, and are shown on the as built floor plans of the Condominium, recorded herewith. The said floor plans show the layout, locations, unit numbers and dimensions of said Units as built, indicate that the buildings are named "Cottage Court Condominiums" and otherwise have no name, and bear the verified statement of a Registered Architect all as required by the provisions ofSection 8ofChapter 183A.

(b) The boundaries ofeach ofthe Units are shown on the site planto be recordedherewith aod prepared by DiJlis & Mische, Inc.

(

c) Each Unit includes the exterior building walls, doors and windows: as to doors, including storm doors, the exterior surface thereofand ofthe door frames; and astothe windows, including storm windows, greenhouse windows, and skylights, surfuce ofthe glass and ofthe window and skylightframes; theroof, foundation, structuralcolumns, girders, beams, supports, perimeterwalls, concrete floor slabs, walks and all conduits, ducts, pipes, flues, wires meter area and other installations or facilities for the furnishing ofutility services or waste removal which are situated within oron aUnit.

(d) EachUnit includes theownership oftheheatiogandhot water systems containedtherein, all ofwhich exclusively serve the Unit.

(e)EachUnitincludestheownershipofall utilityinstallationscontainedthereinwhichexclusively serve the Unit.

(!) EachUnitshall haveas appurtenantthereto the exclusiverightandeasementtouseand enjoy certain portionsoftheCommonAreas andFacilitieswhicharedesignatedas ttExclw;iveUseAreas" in paragraph 8 hereof.

(g) EachUnitshall haveas appurtenanttheretothe rightto usetheCommonAreasand Facilities, asdescribedinparagraph6hereof, incommonwiththe otherUnits in thecondominium,exceptfor the Exclusive Use Areas described in paragraph 8hereofwhich arereserved for the exclusiveuse ofthe Unit orUnits to which such Exclusive Use Areas appertain.

6. Common Areas and Facilities. Except for the Units, the entire premises, including, without limitation, the Land and all parts ofthe Buildings and improvements thereon, shall constitute the Common Areas and Facilities of the Condominium. These Common Areas and Facilities specifically include, without limitation, the following:

(a) The land describedin Exhibit Ahereto, togetherwith thebenefitofand subjectto all rights, easements,restrictionsandagreementsofrecord,insofarasthesamemaybein forceandapplicable.

(b) All conduits, pipes, wires, meterareas and other installations orfacilities forthe furnishing ofutilityservicesorwaste removal, including, without limitation, water, sewerage, gas, electricity, telephone,andexteriorlightingforthe Buildingsanddrivesandparkingareaswhicharenotlocated within any Unit or which, although located within a serve other Units, whether along or in common with such Unit.

( c) In general any and all apparatus, equipmentand installations existing for common use.

(d) Such additional Common Areas and Facilitiesas may be defined in Chapter I83A.

Subjecttothe exclusive useprovisions ofparagraph8hereof,the restrictions set forth inparagraph 9 hereof, and the reserved rights and easements set forth herein, each Unit Owner may use the Conunon Areas and Facilities in accordance with their intended purposes without being deemed thereby to be hindering or encroaching upon the lawful rights ofthe otherUnit Owners.

7. Percentage Ownership Interest in Common Areas and Facilities. The percentage ownership interest ofeachUnitinthe CommonAreasand Facilities hasbeen determinedupon thebasis ofthe approximate relation that the fair value ofeach Unit measured as ofthe date ofthis Master Deed bears to the aggregate fair value ofbothUnits, also measured as ofthe date ofthis Master Deed.

EachUnitshallbeentitledtoanappurtenantundividedownershipinterestintheCommonAreasand Facilities as set forth in Exhibit Cattached hereto and made a parthereof.

8. Exclusive Use Areas. The following portion ofthe Common Areas and Facilities are hereby designatedExclusiveUseAreas fortheexclusive useofoneormoreUnitsashereinafterdescribed:

(a) Exclusive Parking Area: Each unit shall have an area designated as "Exclusive Parkingn which areais shown onthe condominium site planto be recorded herewith. Said parking area shall be for the sole benefit of the individual unit owner(s) to which said area is assigned. Furthennore, no vehicles shallbeparkedonthe "CommonRoadArea" as shown onthecondominium siteplanwhichwouldobstructtheabilityofvehiclesto accessthe areas designatedas••ExclusiveParking." Thesnowplowingand maintenanceofsaid"Exclusive Parking" areas shall be the responsibility ofthe Condominium Association.

The following areas, shown as "Exclusive Parking" on the condominium site plan to be recorded herewith, shall be assigned to the following units:

14A="Exclusive Parking A"

14B= "Exclusive Parking B" and "Exclusive Parking F"

14C="Exclusive Parking C" and "Exclusive Parking F"

140= "Exclusive Parking D"

14E= "Exclusive Parking E"

No vehicle shallbe parkedwithin the area designated "ExclusiveParking D" whichwould obstructvehicular orpedestrian access to "Exclusive Parking B" and "Exclusive Parking C".

The outdoor "exclusive parking areas" are intended to be used for the parking of duly registeredprivatepassengerautomobiles ofoccupants oftheunits ofthe condominium, and not for boats, trucks orother vehicles oritems, exceptwith the priorwrittenconsentofthe Condominium Trustees. Such permission, ifgiven, maybe revoked at anytime by the Trustees.

(b) ExclusiveUseArea: Eachunitshallhaveanareadesignatedas"ExclusiveUseArea" which area is shown on the condominiwn site plan to be recorded herewith. Said exclusive use shall be for the sole benefit ofthe individual unit owner{s) to which said area is assigned. Individualunitownersmayplacesideyardfenceswithinsaidexclusiveuseareatodelineate saidarea:however,no structuresmaybeplacedwithinanyexclusive UBe areaswithoutprior approval ofomajority of unitowners, but in no event shall astructure(s) be locatedwithin the following describedarea:the areawithinthe exclusiveuse areas ofUnitsAand Ewhich area lies between the individual unit and Cottage except for a fence which may be located along the line which marks the exclusive use area. Furthermore, any fence which will run parallel to the front of any unit may not be placed without prior approval of a majority ofthe unit owners. The maintenance ofsaid 0 Exclusive Use Areas" shall be the responsibility ofthe individual Unit owners, including but not limited to the fertilization, mowing, raking and general upkeep ofsaid areas.

The following areas, shown as "Exclusive Use Areas" on the condominium site plan to be recorded herewith, shaH be assigned to the following units:

14A= "ExclusiveUse Area A"

14B=''ExclusiveUse Area B"

14C="ExclusiveUse Area C"

14D= "ExclusiveUseAreaD"

14E<= "ExclusiveUse Area E..

(c)

Exclusive Planting Area: Boch unit shall have an area designated as ''Exclusive Planting Area" which area is shown on the condominium Site plan as 1'E.P.A." to be recorded herewith. Saidexclusive use shall be for the sole benefitofthe individual unit owner(s) to which said area is assigned and shall be used for the purposes ofplanting flowers, small shrubs and/ortrees, layingmulchorplanting agarden. Themaintenanceofsaid"Exclusive PlantingAreas" shall be the responsibility ofthe individual Unit owners, includingbut not limited to the fertilization, mowing, raking and general upkeep ofsaid areas.

The following areas, shown as "E.P.A." on the condominium site plan to be recorded herewith, shall be assigned to the following units:

14A= "E.P.A. 'A'"

14B= ••E.P.A. 'Bn'

14C= "E.P.A. 'C"'

14D="E.P.A. 'D'!1

14E=..E.P.A. 'E'"

EachUnitownershall beresponsibleforthemaintenance,upkeep, repairforall exclusiveuseareas.

9. Purpose and Restrictions on Use. The Condominium shall be used for the following pwposes and shall be subject to the following restrictions:

(a) Each Unit shall be used only for residential purposes and uses normally accessorythereto, as the same maybe permitted bythePepperellZoning By-Lawsas thesame may be from timeto timeamended and for nootheruse. No outdoorpets are allowed, withoutpriorwrittenconsentof all unit owners.

(b) Both the interior and exterior architectural integrityofthe Buildings, including the exterior color thereof, shall be preserved without modification and to that end, without limiting the generalityofthe foregoing, no balcony, skylight(otherthan those existing), chinmey, enclosure, greenhouse,awning,screen,antenna,sign,bannerorotherdeviceandnoexteriororinterior change, addition, structure, projection, decoration or other feature shall be erected or placed upon or attached to the Buildings or attached to or exhibited through a window ofthe Buildings. and no paintingorotherdecorating shall bedoneonanyexteriorpartorsurfuce oftheBuildings, uolessthe same shall have beenapproved bythe CondominiumTrustees in accordance with theprovisionsof Section 5.9 ofthe Condominium Trust and shall conform to the conditions set forth in said Section 5.9oftheCondominiumTrust. Notwithstandingtheforegoing, anyunit ownermayattach afeature to hold the American flag. Furthermore, individual air conditioningunits maybe placed in windows ofthe unit(s) so long as said air conditioning unit(s) are placed in windows which do not face the common areas and so long as said air conditioning unit(s) are not placed within the windows before May nor after October ofany given year. Any request to change the exterior color ofany building must be in writing to the Trustees, who then shall have a period of fourteen (14) days to approve or disapprove ofsaid change.

Notwithstanding the foregoing, this sub-paragraph 9(b) shall not prevent a Unit Owner from painting ordecorating the interior of his provided that decorations maynotbe attached to or exhibited through a windowunless approved by the condominium Trustees as aforesaid.

(

c) The Owner ofeach Unit may atany time and from time to time modify, remove and install walls lying wholly within such Unit, provided, however, that any and all work with respect to the modification, removal and installation ofinterior walls or other improvement shall be approved by the Condominium Trustees in accordance with the provisions of Section 5.9 of the Condominium Trust and shall conform to the conditions set forth in said Section 5.9 of the Condominium Trust

(d) Unit Owners may lease, rent or license the use of their Units, subject, however, to the conditionsand obligationssetforth inParagraph 18ofthisMaster Deedand inthis sub-peragraph 9(d). Each Unit Owner who leases, rents or licenses the nse of his Unit shall be personally responsible and liable for the actions of his lessees, tenants, licensees, and all other occupants &di. lJWJ. 1.Wa. rr.J11s, w. t.!m, •wt, ef.. 11.iP.:. TJnit. 'irul"JvJ indemnify, defendandholdharmless,jointlyandseverally,the CondominiumTrusteesandallother UnitOwners and their respectiveagentsand employeesfrom andagainst all loss, liability, damage and expense, including court costs and attorneys fees, on account of:

(I) any damage or iajury, aetual or claimed, to person or property caused by any ofhis lessees, tenants, licensees or otheroccupants ofhis Unit claiming by, throughor under suchperson; or

(ii) any legal action, including court enforcement proceedings, taken by aUnit Owner or the Condominium Trustees against such Unit Owneror his lessees, tenants, licensees or other such occupants to enforce the provisions ofthe sub-paragraph 9(d).

(e) All use and maintenance ofUnits and the CommonAreas and Facilities shall be conducted in a manner consistent with the comfort and convenience ofthe occupants ofthe other Units. No Unit Owner mayuse ormaintain his Unit in anymanner or condition which will impairthe value orinterferewiththebeneficialenjoymentoftheotherUnits. Therefore, allthemaintenanceanduse bythe Unit Owners ofyards, entries,decks,patios, platforms, steps, porches, parking spaces, light and other facilities, whether exclusive use or common areas, shall be done so 83 to preserve the appearance aod character of the same and the grounds and buildings without modification; :furtherm.ore,alluse andmaintenance ofthe units shall be conducted in amannerconsistentwiththe comfort and convenience ofthe occupants ofthe other units in accordance with provisions with respect thereto from time to time promulgated by said Condominiwn Trustees.

(t) No Unit or any part ofthe Common Areas and Facilities shall be used or maintained in a mannercontnuytoor inconsistentwiththeprovisionsofthisMasterDeed,theCondominiumTrust andthe By-Lawssetforththerein (hereinafterthe "By-Laws")andtheRulesand Regulations ofthe Condominium adoptedpursuant to said By-Laws. Said restrictions shall be for the benefit of each ofthe Unit Owners and the Condominium Trustees, aod shall be enforceable by each Unit Ownernnd also bythe Condominium Trustees. Also, insofaraspermittedbylaw, suchrestrictions shall be perpetual,and, to that end, theymaybeextended atsuch timeortimes andin such manner aspermitted orrequired bylawforthecontinuedenforceabilitythereof. No Unit Owner shall be liable for any breach ofthe provisions ofthis paragraph 9, except such as occw during his or her ownership ofa Unit.

JO. Rights Reserved to the Condominium Jrustces. Upon twenty- four hours advance notice (or such longer notice as the Condominium Trustees shall determine appropriate) to the Unit Owner involved, orimmediatelyincaseofemergencyoraconditioncausingorthreateningto causeserious inconveniencetoanotherUnit,theCondominiumTrustees shallhavetherightofaccessto eachUnit and the Exclusive Use Areas appurtenantthereto;

(a) To inspect, maintain, repairorreplacethe Common Areas andFacilities rontainedtherein or elsewhere ina Building; and

(b) To exercise anyother rights or satisfy anyotherobligations theymay have as Condominium Trustees.

11. TheUnitOwners' Organiµtion. TheorganizationthroughwhichtheUnitOwnerswill manage and regulate the Condominium established hereby is the Cottage Court Condominium Trust (hereinaboveandhereinafterreferredto asthe "CondominiumTrust'') undera DeclarationofTrust ofeven date to be recordedherewith. Each Unit shall have an interest inthe Condominium Trust in proportion to the percentage ofundivided ownership interest in the Common Areas and Facilitiestowhichhis Unitisentitledhereunder. As ofthe datehereof,thenameandaddressofthe original Trustee of the Condominium·Trust (hereinabove and hereinafter the "Condominium Trustees'') are as follows:

Jean L. Holmes, 57 Elliot Street, Pepperell, MA

The Condominium Trustee has enacted the By-Laws pursuant to and in accordance with the provisions ofChapter 183A.

12. Easement for Encroachment If any portion of the Common Areas and Facilities now encroaches upon any Unit, or ifanyUnit nowencroaches upon any otherUnit orupon anyportion ofthe Common Areas and Facilities, orifany such encroachment shall occur hereafter as aresult of

(a) settling ofthe Buildings,

(h) alteration orrepair to the CommonAreas and Facilitiesor Exclusive Use Areas made by or with the consent of the Condominium Trustees,

(

c) as a result ofrepairorrestoration oftheBuildings orany Unit after damage by fire orother casualty, or

(d) as aresult ofcondemnation oreminent domainproceedings,

avalid easement shall exist for such encroachment and for the maintenance ofthe same BO long as the Buildinginvolvedslands.

13. Units Subject to Master Deed. Unit Deed and Condominium Trust. AU present and future owners,lessees,tenants,licensees,visitors, invitees, servantsandoccupantsofUnitsshallbesubject to,andshallcomplywith,theprovisionsofthisMasterDeed,theCondominiumTrust,the By-Laws, theUnitDeed andtheRulesand RegulationsoftheCondominiumadoptedpursuanttotheBy-laws, as they may be amended from time to time, and the items affecting title lo the land described in Exhibit A. The11e<:eptanceofadeed orconveyanceofa Unitor the eoteringinto occupancyofany Unitshall constiMe anagreementthattheprovisionsofthisMasterDeed, theCondominium the By- Laws, theUnit Deedand saidRulesand Regulations, astheymaybe amended fromtime to lime, and the said items affecting title to theLand, are accepted and ratified bysuch owner, lessee, tenant, licensee)visitor, invitee, servant oroccupant; andallofsuchprovisions shallbedeemedand takento becovenantsrunningwiththelandandshallbindanypersonhavingatanytimeanyinterest or estate in such as though such provisions were recited and stipulated at length in each and everydeedorconveyancethereoforlease,tenancy, licenseoroccupancyagreementorarrangement with respect thereto.

14. Amendments. This Master Deed maybe amended by an instrumentinwriting

(a) signed by the Owners ofUnits at the time holding at least eightypercent(80%) ofthe total voting power ofthe Unit Owners, as said voting power is defined inSection 4.3 ofthe Condominium Trust, or instrument signed by a majorityofthe Condomini= Trustees, in which case such inslnlmentshall recite that ithas been agreed to in writing by Owners ofUnits at the time holding at least eighty percent (80"/o) ofsaid total voting power ofthe Unit Owners, and

(b) duly recorded with the Middlesex County SouthDistrict Registry ofDeeds, provided, that:

(I) The date ofwhich anyinstrument ofamendment is first signed by an Owner ofa Unit shall be indicated as the date ofthe and no amendment shall be ofany force or effect unless recordedwithin six (6) months aftersuch date.

(li) No instrument ofamendment which alters the dimensions ofany Unit shall be ofany force or effect unless signed bythe Owoer ofthe Unit so altered.

(iii) No instnnnent ofamendment which alters the percentage ofthe Wldivided interestto which any Unit is entitled in the CommonAreas and Facilities shall be ofanyforce and effect nnless signed by the Owoers ofall the Units.

(iv) No instrument ofamendmentwhich alters this Master Deed in any manner which would render it conlrary to orinconsistent with any requirements or provisions ofChapter l83A shall be ofany force or effect.

No instrument ofamendment whichpurports to amend or otherwise affect this paragraph 14 shall be ofanyforce and effectunless signed byalloftheUnitOwoersand allFizstMortgageesofrecord with respect to the Units.

Eachinstrument ofamendmentexecuted and recorded in accordance with the requirements ofthis paragraph 14 shall be conclusive evidence of the existence of all facts recited therein and of compliancewithallprerequisites tothevalidityofsuchamendmentinfavorofallpersonswhorely thereonwithout actual knowledge that such fuels are not true or that such amendment is notvalid.

15. Definition of"Declarant". Forpurposes ofthis Master Deed the Condominium Trust and the By-Laws, "Declarant"shallmeanandrefertosaidJeanL. Holmes, whohasexecuted,deliveredand recorded thisMaster Deed and to all successors and ""'igns ofsaid Trustees (mcluding theholder ofanymortgage) whocometo standinthe same relation as developer oftheCondominium asthey did.

16. Provisions for the Protection ofMortgages. Notwithstanding anything in this Master Deed or intheCondominium Trust and By- Lawstothe contrary, the following provisions shall governand beapplicable insofarand for as long asthe samearerequired inorderto qualifymortgages ofUnits intheCondominiumforsaletotheFederalHomeLoanMortgageCorporation (FHLMC) orFederal National Mortgage Association (FNMA), as applicable, under laws and regulations applicable thereto and shall apply for the protection ofthe holders ofthe first mortgages (hereinafter "First Mongagees") ofrecord with respectto the Units and shall be enforceable by any First Mongagee:

(a) In the event thatthe Unit Owners shall amend this Master Deed orthe Condominiom Trust to include therein any right offirst refusal in connection with the sale ofa Unit, such right offirst

ref\Jsal shall not impair the rightsofa First Mortgagee to:

(I) Foreclose ortake title to aUnitpursuant to the remedies provided in its mortgage;

(ii) Accept adeed (or assignment) in lieu offoreclosure in the event ofdefault by a mortgagor; or

(iii) Sell or lease aUnit acquired bythe First Mortgagee throughthe procedures described in sub-paragraphs (I) and (ii) above.

(b) Any party who takes title to a Unit through a foreolosure sale duly conducted by a First Mortgagee shall be exempt from any such right offirst refusal adopted by the Unit Owners ond incorporated in this Master Deed or the Condominium Trust

(

c) Any First Mortgagee who obtains title to a Unit by foreclosure ofpursuant to any other remedies provided in its mortgage or by law shall not be liable for such Unit's unpaid common expenses or dues which accrued prior to the acquisition of title to such Unit by such First Mortgagee;

(d) Except as provided by Chapter 183A(and Section 5.6.S of the Condominium Trust which oonfonns to said statute) in the case ofcondemnation or substantial loss to the Units and/or the CommonAreasondFacilitiesoftheCondominium,theUnitOwnersandtheCondominiumTrustees shall not be entitled to take the following actions unless at least two-thirds (213) oftheFirst Mortgagees (based upon one vote for each first mortgage owned) have given their prior written consentthereto:

(I) By anyact or omission, seek to abandon or terminate the Condomininm;

(ii) Change the pro-rata interest or obligations of any individual Unit for the purpose of levying assessments or charges or allocating distributions of hazard insurance process or condemnationawards, ordeterminingthepro-rata share ofownelllhipofeach Unitinthe Common Areas and Facilities; provided that this prohibition shall be deemed waived to the extent necessary to allow the phasing ofthe condominiwn pursuant to paragraph herecf;

(iii) Partition or subdivide uny Unit;

(iv) By anyactor omission seekto abandon, partition, subdivide,encumber, sell ortransfer the CommonAreasand Facilities; providedthatthe grantingofeasements for public utilities orfor otherpublic purposes consistent with the intended use ofthe CommonAreas aod Facilitiesshall notbe deemed an action for whichprior consent ofthe First Mortgagees shall be requiredpursuant to this clause; or

(v) Use hazard insurance proceeds on at:count of lossesto eitherthe Units or the Common Areas and Facilities for other than the repair, replacement orreconstructionthereof. except as otherwise provided in Section 5.6.1 ofthe Condominium Trust which contains provisions dealing with substantial losses in conformity withthe requirements ofSection 17 ofCbapter 183A.

(e) Consistentwiththeprovisions ofChapter IB3A.alltaxes, assessmentsandchargeswhichmay become liens priorto afirst mortgage underthelawsoftheCommonwealthofMassachusetts shall relate only to the individual Units and not to the Condominium as a whole.

(I) In no event shall any provision ofthis Master Deed or the Condominium Trust give a Unit Owneror any other party priorityover anyrights ofa FirstMortgagee pursoantto its mortgage in the case ofa distribution to such Unit Owner ofinsurance proceeds or condemnation awards for losses to or ataking ofsuch Unit and/orthe Common Areas and Facilities.

(g) Upon written request to the Trustees ofthe Condominium Trust, identifying the name and address oftheholder, insurerorgovernmentalguarantor andthe Unit number or address, anyFirst Mortgagee or insurer or governmental guarantor of said first mortgage (hereafter the "Eligible Mortgage Holders" and "Eligible Insurers or Guarantors" as the case may be) will be entitled to timely written notice of:

(I) Anycondemnationloss or aoycasualty loss which affects amaterial portion ofthe condominium or any Unit on which there is a first mortgage held, insured, or guaranteed by such Eligible Mortgage Holder orEligible Insurer or Guarantor, as applicable;

(ii) Any delinquency in the payment ofeasements or charges owned by an Owner ofa Unit subject to a first mortgage held, insured or guaranteed by such EligibleMortgage Holder or Eligible Insurer or Guarantor, which remains incurred for aperiod of60 days;

(lii) Any lapse, cancellationormaterial modification ofany insurance policy or fidelity bond maintained by the Trustee• ofthe Condominium Trust;

(iv) Anyproposed action which would require the consent ofa specified percentage ofEligible

Mortgage Holders as specified in this paragraph 15.

(h) To the extent permitted by applicable law, Eligible Mortgage Holders sball be afforded the following rights:

(I) Any restoration or repair ofthe condominium after a partial condemnationor damage due to an insurablehazard, shall beperfonned substantially in aecordance with theMaster Deed andthe original plans and specifications, unless other action is approved byEligible Mortgage Holders holding mortgages on Units whichhave at least 51 percent ofthe votes ofUnits subject to Eligible Mortgage Holder mortgages.

(ii) Anyelection to terminate the legal status ofthe Condominiumafter substantial destruction or a substantial taking in condemnationofthe condominium property must be approved inwriting by Eligible Mortgage Holders holdingmortgages on Units which have at least 5l percent ofthe votes ofUnits subjectto Eligible Mortgage Holder mortgages.

(iii) Exceptasotherwise providedherein, no real location ofinterests in the CommonAreas and Facilities resulting from a partial condemnation orpartial destruction ofthe Condominium may be effected without the prior approval ofEligible MortgageHolders holding mortgages onall remaining Units whether existing in whole or in part, and whichhave at least 51 percent ofthe votes ofsuch remaining Units subject to Eligible MortgageHolder mortgages.

(iv) When professional management has been previously required by any Eligible Mortgage Holder or Eligible Insurer or Guarantor, whethersuch entity became anEligible Mortgage Holder or eligible Insurer or Guarantor at thattime or later, anydecisionto establish selfmanagement

bythe Trust shall require the prior consent of Owners ofUnits to which at least 67 percent of the votes in the Trustare allocated and the approval ofEligible Mortgage Holders holding mortgages on Units which have at least 5l percent ofthe votes ofUnits subject to Eligible Mortgage Holder mortgages.

(I) Coodominium duesorcharges shall include ao adequate reserve fund formaintenance, repair and replacement ofthose portious ofportious ofthe Common Areas and Facilities that must be replaced on a periodic basis, and shall be payable in regular installments rather than by special assessments. In addition, a working capital fund shall be established equal to at least a two (2) months' estimated common area charge for each Unit and shall be maintained in a segregated account The purpose ofthe working capital fund is to insure that there will be cash available to meet unforeseen expenditures, orto acquire additional equipmentor services deemednecessary or desirable bytheTrustees. Amounts paid into thefund arenottobe cousideredas advancepayment ofregular assessments.

(j) No agreement for professional management ofthe Condominium or aoy other contractwith the Declarant,developer, sponsororbuilder, oranylease mayexceed a termoftlm:e (3) years, and anysuchagreementshall provideforterminationbyeitherpartywithoutcauseandwithoutpayment ofa termination fee on ninety(90) days or less writteo notice.

(k) The Trustees shall make available to theUnitOwners and lenders, and to holdern, insurers or guaraotors of any first mortgage, current copies of the Master Deed, Declaration of Trus' By-Laws, other rules concerning the Condominium and the books, records and financial statements ofthe Coodominium Trust. "Available" means available for inspection upon reques' during nonnal business hours or underotherreasonable circumstances.

(I) Anyholderofa first mortgage ofaUnit shallbe entitled upon written request to an audited financial statementfortheimmediatelyprecedingfiscalyearfreeofcharge. Anyfinancialstatement so requested shall be furnished within a reasonable time following such request.

(m) Exceptfor amendmentsto theCondominiumdocuments orterminationofthe condominium made as aresult of destruction. damage or condemnation as above set forth:

( !) The consent ofOwners ofUnits to which I00 percent ofthevotes in theCondominium Trust are allocated and the approval ofE!igible Mortgage Holders holding mortgages on Units which have 100 percent ofthevotes ofUnits subject to Eligible Mortgage Holder mortgages,

sballbe reqtiired to tenn!nate thelegil status ofthe Condominium; and

(ii) Theconsentofthe ownemofUnits to which at least I00 percentofthe votes in the CottageCourt Condominium Trustare allocated and the approval ofEligible MortgageHolders holdingmortgages on Units whichhave at least 51 percent ofthe votes ofUnits subject to Eligible Mortgage Holder mortgages, shall be required to add or amend any material provisions ofthe condominiumdocuments ofthe Condominium,which establish, provide for, govern or regulate anyofthe following:

Voting;

Assessments, assessment liens orsubordination ofsuch liens;

Reserves for maintenance, repairand replacement ofthe Common Areas and Facilities (or Units ifapplicable);

Insurance or FidelityBonds;

Rights to use CommonAreas and Facilities;

Responsibility for maintenanceand repair of the several portions ofthe

Expansion or contractionofthe Condominiumor the addition, annexationor withdrawal of property to or from the project;

Boundllri.es ofany unit;

The interests inthe CommonAreas and Facilities;

ConvertibilityofUnits into Common Areas or ofCommon Areas into units; - 14 -

Leasing ofUnit estates;

Impositionofanyrightoffirst refusal or similarrestriction on the right ofa Unit Ownerto sell, transfer, or otherwiseconvey his or her Unit;

Anyprovisions which are for the express benefit ofmortgage holders, Eligible Mortgage HoldersorEligibleInsurers or Guarantors of fll'St mortgages on Units.

Any First Mortgagee which does not deliver orpost to the Trustees ofthe Condominium Trust a negative response within thirty (30) days ofa written request by the Trustees for approval ofany additionoramendmentpursuantto1hisparagraphshallbedeemed tohave consentedtotheaddition or change set forth in such request. An affidavit by the Trustees making reference to this section, when recorded at the Middlesex County South District Registry of Deeds, shall be conclusive evidenceastotheexistenceornon-existenceofanyfact, orto anyconditionsprecedentrequiredfor any actiontaken in connectionwith this paragraph, and may be reliedupon byanyperson without being requiredto make independent inquiry.

The Declarant intends that the provisions ofthis paragraph 16 shall complywith the requirements ofFNMAandFHLMC withrespecttocondominiummortgageloans, andallquestionswithrespect thereto shall be resolved consistent with that intention.

Theprovisionsofthis paragraph 16maynot be amended or rescinded without the written consent of all First Mortgagees, which consent shall appear on the instrument of amendment as such instrument is duly recorded with the Middlesex County South District Registry of Deeds in accordance with the requirements ofparagraph 14hereof.

17. Declarant1s Reseiyed Riehts to Construct and Add

The Condominium is planned to be developed as aphased condominium, each phase ofwhich shall include one or more buildings. In order to permit and facilitate such development her discretion determine to be appropriate or desirable:

(!) Additions to existing building(s), for the purpose ofgaraging vehicles;

(ii) Additional roads, driveways, parking spaces and areas, walks and J!aths;

(iii) Neworadditional fences ordecorativebarriers orenclosures,and otherstructuresofevery character;

(iv) Neworadditional conduits, pipes, satellitedishes. wires, polesandotherlines,equipment and installations ofeverycharacterfor the furnishing ofutilities; and

(v) All and anyother buildings, structures, improvements and installations as the Declarant shall determine to be appropriate or desirable to the development ofthe Condominium as a phased condominium.

For purposes of such construction, the Declarant shall have all of the rights and easements reserved to her in sub- paragraph 12(c) hereof.

Ownershipofeachbuilding, togetherwiththeDwellingandallappurtenancesthereto,constructed byorforthe Declarantpursuanttothesaid reservedrights andeasements shall remainvestedinthe Declarant; and theDeclarantshallhavetherightto selland conveythesaidDwellings as Dwellings ofthe Condominiumwithoutaccountingto any party (otherthantheDeclarant's mortgagees) with respect tothe proceeds ofsuch sales.

Thefollowing sub-paragraphsaresetforthtofurtherdescribethescopeoftheDeclarant'sreserved rights and easements under this paragraph 17:

(a) Time Limit After Which the Declarant May No Longer Add Additional Land and/orNew The Declaranes reserved rights to amend this Master Deed to add all or any portion or portions of the Additional Land to the Condominium and/or to add new Dwellings to the Condominiwn as portoffuture phases shall expireseven (7) years afterthe date oftherecording of this Master Deed. provided that said reserved rights shall sooner expire uponthe first to occur of the following events:

(i) The totalDwellings thenincluded inthe condominium byvirtueofthis Master Deed and subsequentamendments heretopursuanttothisparagraph 16reachthe maximumlimitwhichshall be set at five (5);

(ii) The Declarant shall record with the Middlesex North District Registry ofDeeds a statement specifically relinquishing her reserved rights to amend this Master Deed to add Additional Land and/ornew Dwellings to the condominium.

(b) Location ofFuture Improyements. There are limitations imposed on the location offuture buildings, structures, improvements andinstallationsto be constructed, erected orinstalledonthe Land pursuant to the rights reservedto theDeclarantunder this paragraph 16.

(i )Declarant,hersuccessorsandassigosmayconstructagaragewhichservesUnit l4Aonly.

( c) The Declarant may add future phase(s) andthe Building(s) and Dwelling(s) therein to the Condominium byexecuting and reeonling withtheMiddlesexNorthDistrict RegistryofDeeds

16 -

amendment(s) to this MasterDeed which shall contain the following infonnation:

(a) An amended Exhibit Bdescribing the Building(s) being added to the Condominium.

(b) An amended Exhibit Cdescribing the designations, locations, approximate areas, numbers ofrooms, immediatelyaccessibleCommonAn:asandFacilitiesandotherdescriptivespecifications ofthe Dwelling(s) being added to the Condominium, as well as describing any variations in the boundaries ofsuch Dwellings from those boundaries set forth in sub-paragraphs S(b)and S(c) of this Master Deed.

(c) Ifthe boundaries of the Dwelling(s) being added to the condominium vary from those described in saidsub- paragraph S(b)andS(c).the definitionoftheCommon AreasandFacilities contained inparagraph6hereof shall be modified,asnecessary, withrespectlo such Dwelling(s).

(d) An amendment Exhibit C setting forlh the new percentage ownership interests for all Dwellingsinthe CommonAreas andFacilitiesofthecondominium baseduponthe additionofthe new Dwelling(s).

(e) Arevised siteplan ofthe Condominiumshowingthenew Building(•)ifnotalready shown on anexistingsite plan, andfloor plan(s) forthenew Dwellings being added to the condominium, which floor p!an(s) shall complywith the requirements ofMOLA Chapter 183A

It is expressly understood and agreed that no such amendments adding new phases to the condominiumshall requiretheconsent, (exceptasinthisparagraph 17alreadygranted)orsignature in any manner by any Owner, anyperson claiming, by through or under any Owner including the holder ofany mortgage or other encumbrance with respect lo any Dwelling) or any other party whatsoever, and the oniysignature which shall be required on any such amendment is that ofthe Dcclarant. Anysuchamendment,whenexecutedbytheDeclarantandrecordedwiththeMiddlesex North District Registry ofDeeds, shall be conclusive evidence ofall facts recited therein and of compliancewithallprerequisites tothevalidityofsuch amendmentin fuvorofall personswhorely thereon without actual knowledge thatsuch facts arenottrue orthat such amendment is not valid. Each Owner understands and agrees that as additional phase(s) are added to the Condominium by amendmentlothisMasterDeedpursuanttotheDeclarant'sreservedrightshereunder,thepercentage ownershipinterestofhisDwellingintheCommonAreasandFacilities,togetherwithhisDwelling's concomitant interest in the Condominiwn Trust and liability for sharing in the common expenses ofthe condominium, shall not be reduced, since the value ofhis Dwelling will represent a same proportion ofthe estimated aggregate fair value ofall Dwellings inthe Condominium. Inorderto compnte each Dwelling's said percentageownership interest ifterthe additionofa newphase, the fair value of the Dwelling measured as ofthe date ofthis Master Deed shall be divided by the aggregate fuir value of all Dwellings (including the new Dwellings being added to the condominium), also meas!D'ed as ofthe date ofthis Master Deed. These new percentage interests shall then besetfurth inthe aforesaid amended ExhibitC whichisto accompanyeachamendment - 17"

to this Master Deed which adds a newphase to the Condominium.

Every Owner bythe acceptance ofhis deed to his Dwelling hereby consents for himself, his heirs, administrators,exooutors, successorsandassignsandallotherpersonsclaimingby,throughorunder him (including the holderofanymortgageor other encumbrance) oranyotherpartywhatsoever, to the Declarant's reserved rightsunderthis paragraph 17and expresslyagreestothe said alteratiooof thisDwelling'sappurtenant percentage ownershipinterestinthe commonAreasandFacilitiesofthe condominiumwhennewphase(s)areaddedtothecondominiumbyamendmenttothisMasterDeed pursuant to this paragraph 17.

Inthe event that notwithstandingtheprovisions ofthis paragraph 17to thecontrary, it shall everbe determinedthatthe signatureofanyOwner,otherthantheDedarant, is requiredonanyamendment to this Master Deed which adds a Dwelling(s), Additional Land and/or new phase(s) to the condominium, then the Declarant shall be empowered, as attorney-in-fact for the owner ofeach Dwelling inthe condominium, to execute anddeliveranysuchamendmentby and on behalfofand inthe name ofeach such Owner; whether such deed be from the Declarant as grantor or from any other party, constitutes and appoints the Declarant as hisattorney-in-fact. This power ofattorney iscoupled withaninterest, andhenceshallbe irrevocableandshall be binding uponeachandevery present and future Owner ofa Dwelling in the condominium, and all other persons claiming by, throughorundcrhim(includingtheholderofanymortgageorotherencumbrance) oranyotherparty whatsoever.

Notwithstandinganythingtothecontrarycontainedinthis MasterDeedortheCOITAGECOURT CONDOMINIUM TRUST, the Declarant does hereby reserve the right to amend, restate reaffirm or otherwise take whatever steps which may be required to complete the condominium and construction ofthebuildings, improvementsanddwellings and the phasing ofanyofthesame into thecondominiumnotwithstandingthatanyofthesame maybe requiredto bedone beyondanytime orperiod as may be otherwise provided herein so Jong as any such act or omission shall not be in violation of any rule of law, regulation or the covenant for the protection ofmortgagees then in effect.

18. Sale or Lease ofUnits.

(a) AppurtenantInterests. NoUnit Owner shall execute anydeed, mortgage, orother instrument conveyingormortgagingtitletohisUnitwithoutincludingthereintheAppurtenantInterests,itbeing the intention hereof to prevent any severance of such combined ownership. Any such deed, mortgage, orotherinstrumentpurporting toaffectone ormore ofsuchinterests, without including all such interests, shall bedeemed and taken to include the interest or interests so omitted, even thoughthe lattershall notbeexpresslymentioned ordescribed therein. No partofthe Appurtenant Interests ofany Unit may be sold, transferred or otherwise disposed of, except as part ofa sale, transferorother dispositionoftheUnittowhichsuchinterestsareappurtenant,oras apartofasale, transfer or other disposition ofsuchpart ofthe Appurtenant Interests ofall Units.

18 -

(b) Saleand LeaseSubjecttoCondominium Documents. All sales andleasesshall explicitlybe made subjectto the provisions ofthis Master Deed and the Condominium Trust and By-Laws.

19. Severabilitv. In the event that any provision ofthis Master Deed shall be determined to be invalid orunenforceable in anyrespect, itshall beinterpretedand construed soas to beenforceable totheextent and such situationsasmaybepermitted byapplicable law, andinanyevent,the partial ortotal unenforceabilityofsuch provisionshall notaffectinanymannerthevalidity, enforceability oreffectoftheremainderofthis MasterDeed; and, in such event, all ofthe otherprovisions ofthis Master Deed shall continue in full foroe and effect as ifsuch invalid provision had never been included herein.

20. Waiver. Noprovision contained inthis Master Deed shall be deemed to have been abrogated orwaived by reason ofany failure to enforce the same, irrespective ofthe nwnber ofviolations or breaches which may occur.

21. Captions. The captions herein are inserted onlyas amatter ofconvenience andfor reference, andinnowaydefine,limit ordescribe the scope ofthisMasterDeednorthe intentofanyprovision hereof.

22. Govemjng Law. This Master Deed, the Condominium Trust and By-Laws and the Condominiwn created and regulated thereby, shall be governed in all respects by Chapter l83A as it is inforce as ofthe date ofthe recording ofthis Master Deed. Provided, however, a subsequent amendment of. revision to, or substitution for Chapter l83A shall apply to this Master Deed, the Condominium Trust and By-Laws and the Condominium in the following cases:

(a) Such amendment, revision or substitntion is by its terms made mandatory on existing condominiwns; or

(b) To the extent permitted byapplicable law, the Unit Owners by a written instrument signed byOwners ofUnits holding at least two thirds (213) oftbe total voting powerofthe Unit Owners, as saidvotingpower is defined in Section 4.3 ofthe CondominiumTrust, may elect to have such amendment, revision or substitutionapply. Suchinstrument settingforth this election, or anotice ofit signed by a majority ofthe Condominium Trustees, which notice shall be accompanied bya certificationthatthe consentoftheUnitOwnersrequiredfor it has beenobtained,shall be=orded withtheMiddlesexCountySouthDistrictRegistryof Deedspriorto its becomingeffective. Such instrument ornotice, as so executed and recorded shall be conclusive evidenceofthe existence of all facts recited therein and ofcompliancewith all prerequisites to the validity thereofin favor of all persons who rely thereon without actual knowledge that such fuels are not true or that such instrument or notice is not valid. Notwithstanding the foregoing provisions ofthis subparagraph 22(b) to the contrary, the UnitOwners may not electto have suchamendment, revisionor substitutionapply, without first obtaining thewriuen consent oftheDeclarant, which consent shall

berecordedwiththeinstrumentsettingforththe electionwiththeMiddlesexCountySouthDistrict RegistryofDeeds, ifanysuchamendment,revisionorsubstitutionwouldadverselyaffectthe Declarant'srightandabilitytodevelopand/ormarketthisCondominium,includingallitspossible future phases.

INWllNESSWHEREOF,thesaidJeanL.Holmesexecutedthesepresentsunderseal dayofMarch, 1999.

Signedandsealed in presenceof

COMMONWEALTHOFMASSACHUSETTS COUNTYOFMIDDLESEX

On dayoMarch,1999,beforemepersonallyappeared theabovenamedJeanL.Holmes andacknowledg eforegoin· ttobeher free act anddeed,beforeme,

-NotaryPublif commission expires: t'1\l\'()\o\

EXHIBIT A

TO THE MASTERDEED OF COTTAGE COURT CONDOMINIUM

"CONDOMINIUMLAND"

Theland, together with thebuildings and improvements located thereon, known as and numbered 14 Cottage Street, Pepperell, Middlesex County, Massachusetts and beingmore fullydescribed as follows:

A certain parcel ofland with the buildings thereon, situated on Northerly side ofCottage Street in said Pepperell and bounded:

BEGINNINGaltheSouthwesterlycomerthereof,atlineofCottageStreetandatcorneroflandnow ofLester Cummings but formerly ofFrank H. Behrens; thence

WESTERLY by said Street about Twohundred Twenty-seven andone-half(227 \!,) feet to a stone bound atpassage way ofthe Cornell Multi Wall Valve Bag Company; thence

NORTHERLY by said Cornell Multi Wall Valve Bag Company land about fourteen (14) rods to other land nowofthe Cornell Multi Wall Valve Bag Company, formerly ofHodgman; thence

EASTERLY bysaid landabout TwohundredTwenty-seven and one-half(227 Y,) feet toland now ofCummings but formerly ofBehrens; thence

SOUTHERLY by said Cummings' land about fourteen (14) rods to the point ofbeginning.

See Middlesex South DistrictRegistry ofDeeds at Book 28174 Page 25.

EXHIBITB

TO THE MASTERDEED OF COTTAGE COURT CONDOMINIUM

The Condominiumisshownonthe plan recordedwithMiddlesexCountySouthDistrictRegistry of Deeds herewith, as "Condominium "Condominium Site Plan, Cottage Courin, Pepperell, Massachusetts."Scale1in.=40',datedNovember,1998,PreparedforJeanL.HolmesbyDillis and Mische,Inc.Registered Professional Land Surveyors, P.O. Box99, Ayer,MA01432, and contains five (5) detached units located onthe landdescribed in Exhibit A attached hereto.

Units 14B, 14C, 14D and 14E are clapboard sided and ofwood frame construction withpoured concrete foundation andasphaltroof. Unit 14Aisvinyl sided with a stone foundation. Each Unit hasfrontandrearentrances. TheBuildingsareservicedbyatownsewerandtownwater. EachUnit has its own separate gas and electric meters, gas fired heatingandbot walersystems.

EXHIBITC

TO THE MASTER DEED OF

COTTAGE COURT CONDOMINIUM "DESCRIPTION

OF UNITS"

APPROXIMATE AREA (SQUARE FEET)

2,828 (not including A)

2,399 (not includingA)

2,403 (not including A)

2,403 (not including A)

2,399 (not including A)

ROOMS

K,LR,LR,D, 4BR,SA,B

SA,G,LR,D, K,2B,3BR

SA,G,LR,D, K,2BA,3BR

SA,G,LR,D,

SA,G,LR,D, K,2B,3BR

Notes:

l. L - Living Room; D= Dining Area, K = Kitchen; B = Bath; BR = Bedroom; A=Attic, SA=Storage area, G= Garage

2. Each unit has immediate access to common areas through its front door.

3. Each unithas Exclusive Use Areas consisting ofan exclusive parking area, and exclusive use area, the locations ofwhich are designated on the Site Planrecorded herewith. -23 -

as InsuranceTrustees for the unit Owners and their mortgagees, as their respective interests may appear.

S.5.2 General Insurance Proyisions.

(a) The Trustees shall deal with the insurer or insurance agent in connection with the adjusting ofall claims coveredby insurancepolicies provided for under Section 5.5.l(a)(b) above and shall review with the insurer or insurance agent, at least annually, the coverageunder said policies, and

THIS DECLARATION OF TRUSTmadethis_f2_dayofMarch, 1999, by Jean L. Holmes, an individualresidinginPepperell,(hereinaftercalledthe"Trustee" or"Trustees", whichtmnand any pronounreferringtheretoshall bedeemedto includetheirsuccessorsintrusthereunderandto mean thetrustee orthe trustees for the time being hereunder, wherever the context so permits).

ARTICLE I- NAME OFTRUST

The trust createdhereby shall be known as "COTTAGECOURT CONDOMINIUM TRUST".

ARTICLE Il ·THETRUST AND ITS PURPOSE

2.1 General Purposes. This Trust is created as the organization of unit owners (hereinafter the "Owners" or "Unit Owners") as required by the provisions of Chapter !83A, as amended, ofthe Massachusetts General Laws (hereinafter "Chapter l83A"), for the pwpose of managing and regulating Cottage CourtCondominium (hereinafterthe "Condominium"),established byaMaster Deed (hereinafter the "Master Deed") executed by Jean L. Holmes, (hereinafter the "Declaraat", which term shall also include all persons or entities whichmay succeed to the Declaraat's position as developer of the condominium in accordance with the definition of Declarant contained in paragraph 14 of the Master Deed, dated the same date as the date of this Trust and recorded herewith.)

2.2 Definitions. Unless the contextotherwise requires, thewords defined inthe Master Deed and the definitions contained in Section l ofChapter 1&3A shall be applicable to this Trust.

2.3 Trust and Not Partnership. Itis herebyexpresslydeclared that a trust and nota partoershipor corporation is hereby created, and that the Unit Owners are beneficiaries and not partners or associates betweenand amongthemselves withrespectto thetrustproperty, andhold no relationto the Trustees otherthan as beneficiaries hereunder.

2.4 PropertvHeld in Trust. All property, real and personal, tangibleand intangible,conveyed to or held hereunderbytheTrusteesshall vestinthe Trustees,in tomanage, administeranddispose ofthe sameandtoreceiveand/ordistributetheincomeand/orprincipalthereofforthebenefit ofthe owners from time to time ofthe Units in the Condominium. Thi: beneficial interest ofeach Unit Owner is set forth in ExhibitC to the Master Deed and made a part hereof, which interest is equal tothepercentageundividedownershipoftheCondominiumassaidpercentageindividualownership interestmay be amended from time to time.

ARTICLE Ill - TIIE TRUSTEES

3.1 Number ofTrustees; Term ofOffice; Qualifications

Section I. There shall be a Board ofTrustees hereunderconsisting initially ofone (l) Trustee so chosen is the Trustee named herein: Jean Holmes. Any vacancy in the office ofaTrustee appointed bythe Declarantshall be filled bythe Declarant.

The annual meeting fortheUnitOwners shall be held onthe last WednesdayofFebruary and at the first annual meeting ofthe Unit Owners on February!, 2000, ifthe Declarant owns more than twenty(20%) percent ofthe beneficialinteresthereunder, then two (2) additional Trustees shall be elected from wnongtheUnitOwners,bymajority(inbeneficial interest) vote ofUnit Owners other than the Declamnt (who shall not be entitled to vote for said two (2) additional Trustees at such meeting); however,intheeventthe Declarantshallthenownless thantwentypercent (20"/o) ofthe beneficial interest hereunder, then three (3) Trustees shall be elected by majority (in beneficial interest)voteofunitOwners,includingthe Declarantasanownerofunits,ifany. Thenewlyelected Trustees shall serve for staggered terms: the first Trustee elected shall serve for aterm ofone (I) year, and his/her successor shall serve a term ofthree (3) years; the second Trustee elected shall serve foraterm oftwo (2)years, andhis/hersuccessorshall serve aterm ofthree (3) years; the third Trustee elected shall serve for aterm ofthree (3) years, andhis/her successor shall serve aterm of three (3) years.

Exceptas hereinabove opecificallyprovided, at all meetings ofUnitOwners, the Declarantshall beentitled to the same votingrights as any otherUnitOwners, as to Units ownedbythe Declaranl

There shall be a minimum ofone (I) trustee and a maximum ofthree (3) trustees.

(b) Notwithstanding anything to the contrary in this Trust,those Trustees appointedorselected by the Dec!arant as aforesaid shall resign no later thanthe earliest ofthe following events:

(I) 120daysafter75%ofalltheUnitspennittedbyapplicablelawtobeconstructedasfuture phases ofthe Condominium have been conveyed to Unit purchasers; or

(ii) one year following conveyance ofthe first Unit.

The purpose ofthe foregoing provision is to comply with the requirement imposed by tho Federal NationalMortgageAssociation("FNMA"),necessitatingthetransferofcontroloftheCondominium to the Unit Owners asabove provided. Forthis purpose "control" means therightofthe Declarant to control the Unit Owners' Association oritsTrustees, theCondominiumitselfortheUnitOwners in anymannerexceptthrough votes allocstedto Unitsowned bythe Declarant onthe same basisas votespertainingto sold units.

3.3. Quorum. Inanymatters relatingtotheadministration oftheTrusthereunderand the exercise ofthe powers hereby conferred, the Trustees may act bya majorityvote at any dulycalledmeeting at which a quorum is present. Aquorum is amajority ofTrustees (at least two (2)).

TheTrusteesmayalso act withouta meetingby instrument signedbyamajorityoftheirnumber.

3.4 Resionation. Any Trustee may resign at any time by instrument in writing, signedand acknowledged inthemannerrequired inMassachusetts for theacknowledgment ofdeeds,and such resignation shall take effect upon the recording of such instrument with said Registry of Deeds. Afterreasonable notice and opportunityto be heardbeforetheBoardofTrustees, a Trustee (except a Trustee chosen by the Declarant) may be removed from office, with or without cause, by an instrument in writing signed by Unit Owners entitled to more than fifty per cent (50%) of the beneficial interest, such instrument to take effect upon the recording thereofwith said Registry of Deeds. The foregoing provisions of this Section to the contrary notwithstanding, despite any vacancy in the office of Trustee, however caused and for whatever duration, the remaining of surviving Trustees, subject to theprovisions ofthe immediately following Section, shall continue toexercise anddischargeall ofthepowers, discretionsanddutiesherebyconferredorimposedupon the Trustees.

3. 5 Bond. NoTrusteenamedorappointedashereinbeforeprovided,whether as original Trustee or as successorto orassubstituteforanother1 shall be obligated to give anybond or suretyorother security for the perfonnance ofany ofhis duties hereunder, provided, however, that Unit Owners entitled to more than fifty per cent (50%) ofthe beneficial interest hereunder may at any time, by instrument inwriting signed bythem anddeliveredto the Trustee or Trustees affected, require that any one ormore ofthe Trusteesshall give a bond in such amountandwithsuchsureties as shall be specifiedinsuch instrument. All expensesincidentto anysuchbondshall bechargedasacommon expense ofthe Condominium..

NoTrusteehereinbeforenamedorappointedashereinbeforeprovidedshallunderanycircumstances or in any event be held liable or accountable out of his personal assets or be deprived of compensation by reason ofany action taken, suffered or omitted in good faith or be so liable or accountablefor moremoneyorotherpropertythanhe actuallyreceives, orforallowingoneormore ofthe otherTrusteesto havepossessionofthe Trustbooks orproperty, orbe so liable, accountable or deprived by reason ofhonest errors ofjudgment or mistakes offact or law or by reason ofthe existence of any personal interest or gain or by reason ofanything except his own personal and willful malfeasance and defilult.

3.6 Self-Dealing. NoTrusteeshallbedisqualifiedbyhisofficefrom contractingordealingwith theTrustees orwithoneormoreUnit Owners (whetherdirectlyor indirectlybecause ofhis interest individually or the Trustees' interest or any Unit Owners interest in any corporation, finn, trust or

other organization connected with such contracting or dealing or because ofanyother reason), as vendor, purchaserorotherwise,norshallany suchdealing,contractorarrangemententered into in respect oftllls Trust in which any Trustee shall be in any way interested be avoided nor shall any Trustee so dealing or contracting or being so interested be liable to account for any profit realized by any such dealing1 contract or arrangement by reason ofsuch Trustee's holding office or ofthe fiduciary relationship hereby established, provided the Trustee shall act in good faith and shall discloseto the other Trustees thenature ofhis interestbeforethe dealing, or arrangement is entered into.

The Trustees and each ofthem shall be entitied to indemnity both out ofthe trust propertyand by the Unit Owners agoinst any liability incurred by them or any ofthem in the execution hereof, including,withoutlimitation,liabilitiesin contract and intort and liabilitiesfor damages, penalties anltl\nes. 'i\ac'n'unit1Jwnersmih'oe personal1yY1do'1e 'ior ah sums assesselJ'ior'nis snare of the common expenses of the Condominium and for his proportionate share of any claims involvingthe trustproperty in excess thereof.

ARTICLEIV - BENEFICIARIES

'lliJ1W.Ji1t;:J.M,'MW.'l,,ll,\'.'J:\'. 'l<!.'IIB'k

4.1 PercentageInterest. Thebeneficiariesshall betheUnitOwners ofthe Condominium fromtime to time. The beneficial interest in the Trust shall be divided among the Unit Owners in the percentage ofundivided beneficial interest appertaining to the Units ofthe Condominium, which shall be identical to the Unit's percentage interest in the Common Areas and Facilities of the Condominium as set forth inExhibit Cto the MasterDeed.

4.2 Persons to Vote asUnitOwners. The beneficialinterestofeachUnitofthe condominiumshall be held as a unit and shall not be divided among several owners ofany such Unit. To that end, wheneveranyofsaidUnitsis ownedofrecordbymorethanone person,theseveral Ownersofsuch Unit shall(a) determineand designatewhichone ofsuchowners orotherpersonshallbeauthorized andentitledto castvotes, execute instruments and otherwiseexercisetherightsappcnainingto such Unit hereunder; and (b) notifythe Trustees ofsuch designation by anoticeinwriting signed by all of the record Owners of such UniL Any such designation shall take effect upon receipt by the Trustees and may be changed at any time and from time to time by notice as aforesaid. In the absence ofany such notice ofdesignation, the Trustees may, by majority vote, designate any one such Owneror other person for suchpurposes.

4.3 VotingPoweroftheUnit Owners, EachUnitOwner,includingthe Declarant,shall havevoting power in the affairs ofthe Condominium equal to the percentage ofundivided beneficial interest appertaining to his Unit as set forth in Exhibit Cto the Master Deed.

ARTICLE V -BY-LAWS

The provisions ofthis ARTICLE V shall constitute the By-laws (the "By-Laws") ofthis Trust and the organizationofUnit Owners established hereby.

5.1 Powers and Dutiesofthe Trustees. The Trustees shall have the powersand duties specifically conferred upon them by Chapter 183A, the Master Deed and these By-Laws, and all other powers anddutiesnecessaryfor the administration ofthe affairs oftheCondominium(exceptasotherwise provided by law, the MasterDeed or these By-Laws), including, without limiting the generality of the foregoing, the following powers and duties.

5,1,l To appoint andremove at pleasure all officers, agents and employees ofthe Trust, prescribe theirduties,fix theircompensation,and requireofthemsuchsecurityorfidelitybond(s)astheymay deemexpedient. NothingcontainedintheseBy-lawsshallbeconstruedtoprohibitthe employment ofany Unit OwnerorTrustee in any capacity whatsoever.

5.1.2 To establish, levy and assess, and collect the assessments for common expenses referred to inSection5.4 hereof.

5.1.3 Todo all things necessary to operate, maintain, repair, improve, replace, alter and otherwise administerandcare for the Common Areas andFaci1itiesand, to the extent provided inthe Master Deed and these By-Laws, maintain, repair and care for the Units.

5.1 A Toobtain allpolicies ofinsurancerequiredbytheseBy- Lawsandsuchotherinsuranceasmay be required bylawor as the Trustees may from time to time determine.

S.1.5 To obtain any legal, architectural, accounting, administrative and other services deemed advisablebytheTrustees, includingtheservicesofamanagerandanyotherpersonnel, towhomthe Trustees, except to the extent limited by Chapter 183A, the Master Deed, or these By-Laws (including this Seetion 5.1), may delegate certain ofits powers and duties. The Trustees shall be entitled to rely uponthe advice and counsel ofattorneys. awhitects, accountants and otheradvisors hired bythem and shall be protected inso doing.

5.1.6 Toadopt, amend,modifyandrescindfromtimetotimeand enforcerulesandregulations(the 11CondominiumRules'1 ) governingtheuseoftheCondominiumandthepersonal conductoftheUnit Owners and their families, tenants and guests thereon.

5.1.7 To causeto be kept acompleterecord ofall its acts and the affairs ofthe Trustand to present astatement thereofto the Unit Owners at the annual meeting ofthe Unit Owners.

5.1.8 Topurchase, orotherwiseacquiretitle to oraninterest in, sell, lease, mortgageand otherwise maintain, manage, hold, use, encumber and dispose ofany property, real or personal, tangible or

intangible,inthecowseoftheiradministrationandmanagementofthe Condominium,providedthat except in the eventofcondemnation or substantial lossto the Units and/or the Common Areas and FacilitiessubjecttotheprovisionsofSections5.6.S and/or 5.6.1 (b) hereof, theTrosteesmaynotby actoromissionseektoabandon,partition, subdivide,encumber, sellortransferanypartorallofthe CommonAreasandFacilities,otherthanbythegranting ofutilityrightsandeasementsand/orrights and easements for the public pUI]'Oses consistent with the intendeduse ofthe Common Areas and Facilities, or Exclusive Use Areas without the prior authorization ofUnit Ovmers holding at least 75%ofthe total votingpoweroftheUnitOvmershereunderandofatleasttwothirds(basedon one vote for each first mortgage owned}ofall first mortgages ofrecord ofUnits in the Condominium.

S.J.9 To open nnd maintain bank accounts, nnd 10 authorize the drawing ofchecks and other financial instruments, and to keep a full and complete record ofall financial transactions, which record shall be available for inspection by the Unit Ovmers and mortgagees ofthe Units and to prepareperiodicfinancial reports and accountsas maybereasonablyrequired bythe UnitOwners.

5.l.10 To purchase in its own name or the name of a nominee one or more Units in the CondominiumatanypublicorprivatesaleuponsuchtermsandconditionsastheTrusteesmaydeem desirable, providedthatthe Trostees obtain thepriorauthorizationofthe Unit Ovmers for anysuch purchase pursuant to Section 5.25 hereof; and to sell, lease, mortgage and otherwise maintain, manage, hold, encumberand disposeofsuch Units, uponsuchtermsandconditionsastheTrnstees shall deem appropriate.

5.1.11 To borroworin any othermanner raise such sum or sums ofmoneyor otherproperty as it in.11JJ.."13 l'JlBIJD& andll.ll.im.¥ tn. c"!i.deumtbe.wnc. bcmds.., securitiesorotherevidenceofindebtedness,whichmaymarureatatimeortimes,andsubjectto any limitationsimposedbylaw,theMasterDeedortheseBy-Laws,1oexecuteanddeliveranymortgage, pledge, orotherinstrumenttosecureanysuchborrowing;provided,however, thattheTrusteesshall have no authority to bind the Unit Owners personally.

5.1.12 To establish committees from among the Unit Owners, define their powers and duties and appoint and remove theirmembers.

5.1.13 To granteasementsandrightswithrespecttoutilitiesto beinstalledin,upon, underandover the Common Areas and Facilities and to enter into such agreements and undertakings as shall be necessarytherefor.

5.1.14 To approvethe locationandrelocation ofeasements andrights forutilitieswhichhavebeen installedin,upon, underorovertheCommonAreas andFacilitiesand to execute, acknowledgeand record suchinstnnnerlts and plans ideotlfying such easements as the Trustee deem necessary or desirable.

5.1.15 To review and approve (a) certain modifications to the Building(s) as referred to in subparagraph 9(b) ofthe Master Deed; (b) the modification, removal and installation by a Unit Owner ofcertain interior walls within his Unit pursuant to subparagraph 9( c)oftheMaster Deed; or 9{ c) any other construction, modification or decoration activities with respect to aUnit which involve orimpact the CommonAreas and Facilities orExclusiveUse Areas and/oroverwhich the Trustees may specifically have review and approval authority under the provisions ofthe Master Deed and this Condominium Trust.

5.1.16 To sign, seal, acknowledge, deliver and record in any one ormore public offices or places ofrecordingall such instruments and documentsas the Trustees shall deemnecessaryordesirable inthe exerciseoftheir powers andthe discharge oftheir duties.

Notwithstanding any provisions ofthis Trust and By-Laws to the contrary, the Trustees may not delegatetoanymanager ormanaging agent for the Condominium anyofthe followingpowers and duties:

(a) The power to appointthe officers ofthe Trust;

(b) The power to establish, levy and assess the assessments orchargesfor common expenses;

(c) Thepower to revise, modify and rescind the Condominium rules and regulations; or

(d) Thepowersanddutiesdescribed inSections5.1.8,5.1.9,5.1.10,5.1.11,5.1.12,5.1.13,5.1.14, 5.1.15 and 5.1.16above.

51 Maintenance and Repajr ofUnits and Limited Common Areas and Facilities.

52.1 EachUnitOwnershallberesponsibleforthepropertymaintenance(includingpainting),repair and replacement ofhisUnit andthoseutility fixtures and installations includingheating,hot water and airconditioningequipmentandsystemsservinghisUnit. Unless otherwisemodifiedbywritten agreementofaUnitOwnerwiththeTrusteesorbygeneralpolicyadoptedbytheTrustees,eachUnit Ownershall beresponsibleforthepropermaintenance.repairandreplacementofanyimprovement made by Unit Owner in or to his Exclusive Use Area (i.e., that area designated as part of the Exclusive Use Areasappurtenant tohisUnit). Each Unit Ownershall be responsible forall damage to other Units and/or the Common Areas and Facilities caused by his failure to satisfy his maintenance, repair and/or replacement obligations hereunder.

5.2.2 Ifthe Trustees shall, at anytime intheir reasonablejudgemen' determine that a Unit and/or the Exclusive Use Areas appurtenant thereto are in such need ofmaintenance or repair that the marlret"1rlue ofone ormore otherUnits is being adversely affected or that the condition ofa Unit and/ortheExclusiveUseAreasappurtenanttheretooranyfixtures, furnishing,facilityorequipment therein are hazardous to any Unit or the occupantsthereoforto the Common Areas and Facilities,

the needed maintenance, repair or replacement or to correct the hazardous condition, and in case suchwork shall nothave beencommencedwithinfifteendays (orsuch reasonableshorterperiodin case ofemergency or serious inconvenience as the Trustees shall detennine) of such request and thereafterdiligentlybroughttocompletion,theTrusteesshallbeentitled tohavetheworkperformed forthe accountofsuchUnitOvmerwhoseUnitisinneedofworkandto enteruponand haveaccess to suchUnitand itsExclusiveUseAreasforsuchpurpose;andthe costofsuch workshall constitute a common expense chargeable to suchUnit Owner and shall be payable by suchUnitOwner to the Trustees on demand. The Trustees shall also have the aforesaid rights to perform needed maintenance, repair or replacement work for the accoWlt of a Unit Owner in the manner herein providedifanypartoftheExclusiveUseAreaswhichtheUnitOwnerisresponsibleformaintaining andrepairingis, inthereasonablejudgementofthe Trustees, insuchneed ofmaintenanceorrepair that it is unsightly or in such condition as adversely affects the use and enjoyment by other Unit Owners oftheir Units or any part ofthe CommonAreas and F"acilities.

5.3 Maintenance. Repair and Replacement ofCommon Areas and Facilities and Assessments of Common Expenses, The Trustees shall be responsible for the proper maintenance, repair and replacement ofthe Common AreasandFacilitiesofthe Condominium,subject to theprovisions of Section5.2 hereofwithrespectto certainExclusiveUseAreas andalso subjectto theprovisions of Section5.6 hereofwithrespecttorepairs andreplacementsnecessitated because ofcasualty loss or a taking under the powers ofeminent domain. Amajority ofthe Trustees or the Manager, or any others who may be designated by the Trustees, may approve payment ofvouchers for such work. Theexpenses ofsuchmaintenance, repairand replacement shall be assessedto the Unit Owners as common expenses ofthe Condominium at suchtimes and in suchamounts as provided in Section 5.4 hereof; provided, however,thatifthemaintenance, repairorreplacementofthe Common Areas andFacilitiesisnecessitatedbythenegligenceormisuseofaUnitOwner,eitherdirectlyorbyvirtue of his failure to properly maintain, repair or replace his Unit and/or the Exclusive Use A:rees appurtenant thereto which he is responsible to maintain and repair, the expenses of such maintenance, repair and replacement may be charged to the particular Unit Owner as a common expense bythe Trustees and it shall be payable to the Trustees on demand.

5.3.l The Trustees shallhave theobligationanddutyto treat eachofthe units intheCondominium with equal consideration with respect to repairs, replacement, and maintenance of the Common Areasand FacilitiesoftheCondominium,sothateachUnit's commonelementsshallbeequallywell maintained.

SA Common Expenses ProfitsandFunds The UnitOwners shallbeliable for common expenses and entitled to common profits ofthe Condominium in proportion to their respective percentages ofbeneficial interestas setforth inExhibitCto the MasterDeed,provided,however,thateachUnit Owner shall be solelyresponsible to the respective utilitycompanies for the cost ofutilityservices billed or assessed in connection with the furnishing ofutilities to his Unit which are separately metered. The Trustees mayatanytime ortimes distributecommonprofits amongtheUnitOwners in suchproportions. The Trustees may, to such extent as they deem advisable, set aside common

funds ofthe Condominiwn as reserve or contingent funds, and may use the funds so set a.side for reduction ofindebtedness or other lawful capital purpose, or, subject to the provisions ofSections 5.6 and 5.7, for repair, rebuilding or restoration ofthe trust property or for improvements thereto, and the funds so set aside sball not be deemed to be common profits available for distribution.

5.4.1 At leastthirty days priorto the commencement ofeach fiscal year ofthis Trust (and withio thirtydaysafterthe recordinghereofwithrespecttothe portionofafiscal yearthenremaining), the Trustees shall estimate the common expenses expected to be incurred during such fiscal year togetherwith areasonable provision for contingencies and reserves, and after taking into account any undistributed commonprofits from prior years, shall determine the assessment to be made for such fiscal year. The Trustees shall promptly render statements to the Unit Owners for their respective shares ofsuch assessment, according to their respective percentages ofthe undivided interest in the Common Areas and Facilities (as set forth in ScheduleC to the Master Deed, asthe same may be amended), and such statements shall, unless otherwise provided herein, be due and payablewithinthirtydaysafterthesame arerendered, JntheeventthattheTrusteesshall determine during any fiscal year that the assessment so made is Jess than the common expenses actually incurred, or in the reasonable opinion ofthe Trustees likely to be incurred, they shall make a supplemental assessment or assessments and render statements for such assessments in the same manner as is done for annual assessments. The Trustees may in their sole discretion provide for payments of statements in monthly or other installments. The amount of each such payment, togetherwithinterestthereon,ifnotpaidwhendue, attherateofeighteenpercent(18%)peranaum or such lesser rate ofinterest as shall then be the maximumrate permitted by Jaw, shall constitute a lien on the Unit ofthe Unit Owner assessed, pursuant to the provisions ofSection 6ofChapter 183A.

5.4.4 After a successful action brought by the Trustees to foreclose a Lien on a Unit because of unpaid common expenses, aUnit Ownerallowedbythe Trustees toremain inhis Unit for a period oftime may,at the option ofthe Trustees, be required to payrentalfor theuseofhis Unit Subject totheprovisionsofSection 5.25 hereof,theTrustees actingonbehalfofallUnitOwners, shallhave powertopurchase such Unit, togetherwithitsAppurtenant Interests (as defined inparagraph 5.24 hereof) at the foreclosure sale andto acquire, hold, lease, mortgage, conveyorotherwise deal with the same (but not to vote the votes appurtenant thereto). Asuitto recover amoneyjudgementfor unpaidcommonexpensesshallbemaintainablewithoutforeclosingorwaivingtheliensecuringthe same.

5.4.5 The Trustees shall expend common funds only for common expenses and lawful pmposes permitted hereby and by the provisions ofChapter !83A.

5.4.6 Within ten (10) calendar days after receiving an appropriate written request from a Unit Owner, apurchaserofaUnitunderacontractofsaleora Unitmortgagee, addressedtothe Trustees andpaymentofa reasonable fee, not to exceed TwentyFive Dollars ($25.00) (or the equivalentof $25.00in 1998),the Trusteesshallsupplyacertificateinrecordableform statingtheamount ofany

unpaid assessments (including interestdue thereon and costs ofcollection associated therewith) for common expenses against the Unit. Upon the recording at the Middlesex South District Registry ofDeeds ofsuch a certificate signed by both ofthe Trustees ofthe Trust who then appear to be serving according to the records ofsaid Registry ofDeeds, the Unit involved shall be discharged from anylien for unpaid common expenses which do not appear in said certificate.

5.4.7 With respect to conunon expense assessments which are payable in monthly instalhnents, a Unit Owner may, by arrangement with his mortgage bank, provide for payment by him of instaJlments due on account ofsuch assessments to said mortgagee bank in full satisfaction ofhis obligationtopaysaidinstalhnentstotheTrustees, Provided,however,thatas apreconditionto such anarrangementthemortgageebankmust specificallyagreewiththeTrusteestoholdsuchpayments onaccountofassessments inescrowforthebenefitoftheTrust andtopayoverto theTrustees, upon their or theirauthorized offi.cer1s or agent's writtenrequest, all sums so held in escrow,

5.5 Insurance.

5.5.1 Insurance Coverages tg be Obtained.

The Trustees shall obtain and maintain, to the extent obtainable, the following insurance:

(a) Public liability insurance in such amounts as the Trustee may from time to time determine, but in no event shall the limits ofliability under such insurance be less than One Million Dollars ($1,000,000) for bodily injury (both on a per person and per occurrence basis) and/or property damage, insuring the Trustees, the manager (ifany), all persons acting orwho may come to act as ageJits or emp"Joyees olfhe'"Irns'teesor·r11e manager, ana :i{J.UtiittJwners anilo"iherpersons entitled· to occupyanyUnitorotherportionofthe Condominium,andwithcross liabilitycoverage withrespectto liability claims ofanyone insured thereunderagainst any otherinsuredthereunder. This insurance, however, shall not insure against the individual liability of a Unit Owner for negligence occurring within his own Unit.

(b) Worker's compensation insurance as required by law.

(c) Such other insurance as the Trustees mayfrom time to time determine.

Each unit owner shall obtain:

(d) Fire insurance with extended coverage and vandalism and malicious mischiefendornements insuring all oftheirindividual unit withinthe Condominium, including without limitationall such portions·ofthe interiorand exteriorofsaidbuilding as are for insurancepwposes normally deemed to constitutepart ofthebuildingandare customarilycoveredbysuch insurancesuch as heating,hot water, air conditioning and other service machinery, interior walls. all finished wall surfaces, bathroom and kitchen cabinets, carpeting andplumbingand lightingfixtures. Suchinsurance shall be in an amount at least equal to I0-0% ofthe replacement value ofthe property so covered, shall '1nC1uae coverageior costs ol aeons remova1 anCL Oemd'frf1on anCI Sruif1·oe payatilelotoe''lruStees - IO-

to the Trustees. Eachsuchpolicy ofinsurance obtained by a Unit Owner mustcontain waivers of subrogationbythe insureras to claims against the Trustees, themanager (ifany), all Unit Owners andotherpersonsentitledto occupyanyUnitorotherportionoftheCondominiumand eachoftheir respective agents and employees.

5.5.3 The Trustees, as insurance Trustees, shall collect and receive all casualty loss insurance proceedsand shall hold, use, applyand disbursethe sameinaccordancewith applicableprovisions ofSection 5.6 hereof.

5.5.4 Thecost ofall suchinsuranceobtainedandmaintainedbytheTrusteespursuantto provisions of Section5.5.l(a)(bX c) shall be acommon expense.

5.5.5 Certificates ofinsurancewithpropermortgageeendorsement,whenrequested,shallbeissued to each Unit Owner and hismortgagee(s).

5.5.6 Notwithstanding anythinginthisTrustandBy-Lawstothe contrary,ifaUnitOwnerbyvirtue of any activities he conducts in his Unit causes .an increase in the premiums for any insurance obtained by the Trustees, he shall pay the amount ofall such increases to the Trustees on demand as an additional common expense attributable tohis Unit.

5.5.7 Each Unit Owner hereby waives, discharges and releases all claims and rights ofrecovery againstthe Trustees, the manager(ifany), all Unit Ownersandotherpersons entitledto occupyany Unit or other portion ofthe Condominiuro and each oftheir respective agents and employees on account ofanyloss or damage, whetherto person orproperty, insured against underthepolicies of insurance obtained by such Unit Owner ior his own benefit. This waiver shall constitute a waiver ofsubrogation for purposes ofsuch policies.

5.6 Rebuilding. Restoration and Condemnation.

5.6.1 In the event of any casualty loss to the Common Areas and Facilities, the Trustees shall determine in theirreasonable discretionwhetherornot such loss exceeds ten (10%) percent ofthe value ofthe Condominium immediately prior to the casualty, and shall notify all Unit Owners of such determination.

(a) Ifsuch lassas sodetermined does notexceed ten (10%) percentofsuch value, the Trustees, actingasInsuranceTrustees, shallpromptlyadjustandcollecttheloss, arrangeforthepromptrepair orrestoration ofthedamaged areas, and disburse the proceeds ofall insurance policiesinpayment of all costs and expenses incurred in connection with such repair or restoration in appropriate retainage.

(b) Ifsuch loss as so determined exceeds ten percent (10%) of such value and ifwithin one hundred twenty (120) days afterthe date ofsuch loss, all the Unit Owners do not agree to proceed - 12 -

,\ withrepairorrestoration, eachUnitOwner'sproportionateshareoftheinsurancewithrespecttothe CommonAreas andFacilities based uponhisUnit'srespectiveundividedownershipinterestinsaid Common Areas and Facilities, together with the proportion ofthe insurance proceeds allocated to any Unit as a result ofa loss to such Unit and/or its appurtenant Exclusive Use Areas due to the casualty, shall,to the extentpermitted bylaw, be divided among the Unit Owners and shall bepaid first to the holders ofthe first mortgages on their Units, if any, up to, but not in excess of, the amountssecuredthereby, and thereaftertothe UnitOwners, andthe Condominium shallbe subject to partition atthe suitofany UnitOwner. Such sult sball be subjectto partition sale together with any commonfunds ofthe Trust(adjustedforinsurance proceeds paidorpayable as aforesaid) shall bedivided among theUnit Owners inproportionto their Unit's undivided interest intheholders of thefirstmortgages on theirUnits, ifany, totheextentoftheamountssecuredthereby, andthereafter to theUnitOwners. If,ontheotherhand, alloftheUnit Owners agreeto proceed withthe necessary repair and restoration ofthe damaged areas, and disburse the proceeds ofall insurance policies in payment of all costs and expenses incurred in connection therewith in appropriated progress payments and with appropriate progress payments and with appropriated retainage.

5.6.2. In the event that the total cost of repair or restoration as estimated on the basis of an independent appraisal, orasdetennined duringthe course ofrepair orrestoration,exceedsthe total sumofavailable insuranceproceeds,thentheTrustees sball assesstheUnitOwners""1oseunitsare physically affect bysaiddamage the amountinexcess ofavailableinsurance proceedsnecessaryto cover the cost ofrepairing or restoring improvements to aUnit; Furthermore, the cost ofrepair or restoriog ofimprovements which improvements exceeded avalue of$1,000 whenthey were made (saidvalueto be detennined bythe reasonablejudgementofthe trustees) and were not reported to the trustees as required by Section5.5.2(e) hereof, sball be borne exclusivelybythe Owner ofthe unit involved; and provided furtherthat ifthecasualtyloss exceedsten percent (10%) ofthe value ofthe Condominium as described inSection5.6.1(b) hereofand ifsuchexcess costofrepairs over available insurance proceeds exceeds ten percent (10%) ofthe value ofthe Condominium priorto thecasualty, anyUnit Ownernotagreeing as provided inthis sectionto proceedwiththerepairand restorationmayapplytotheMiddlesex CountySuperiorCourt,onsuchnotice tothe Trusteesasthe Court shall for an order directing the purchase ofhis Unit bythe Trustees at the fuir market value thereofas approved bythe Court. The cost ofany suchpurchase shall bea common expense.

5.6.3 The Trustees may perform emergency work essential to the preservation and safety ofthe Condominiumorthe safety ofpersons, orrequired to avoid the suspensionofanyessential service to the Condominium, without having first adjusted the loss orobtaioed the proceeds ofinsurance.

5.6.4 Ifthere shall have been repair or restoration pursuant to the foregoing and the amount of insuranceproceedsshallhaveexceededthecostofsuchrepairorrestoration,thentheexcessofsuch insuranceproceeds, ifany, shall bedivided into separateshares for the Trust and the Unit Owners ofthe damaged Units, in proportion to the respective costs ofrepair orresloration ofthe damaged portionsofthe CommonAreas and FacilitiesandofeachdamagedUnit, and shallthenbepaid over to theTrustees and/or each Unit Owner entitled to a share.

5.6.5 In the event ofa taking of all or part ofthe Condominium under the powers of eminent domain, the provisions ofSections 5.6.1 tl1r0ugh 5.6.4 hereof shall apply as ifthe taking were a casualty loss, with the proceeds ofan insurancesettlement. Provided, however, ifthe taking award being treated in the same manner as would the proceeds of an insurance settlement Provided, however, ifthe taking award specifically allocates certain damages as being attributable to the CommonAreasandFacilitiesand/orparticularUnitsortheirappurtenantExclusiveUseAreas,such alocationshall be used in allocatingthe proceeds pursuant to the provisionsofsaid Section 5.6.1.

5.7 lmorovements to Common Areas andFacilities.

5.7.l Ifand wheneverthe Trusteesshall proposeto make anyimprovementtothe CommonAreas and FacilitiesoftheCondominium, orshall be requested in writingby fifty percent ormore ofthe Unit Ownersto make any such improvement, the Trustees shall submitto all Unit Owners a form ofagreement specifying the improvement orimprovementsproposedtobe madeandtheestimated cost thereof, and authorizing the Trustees to proceed to make the same. Notwithstanding the foregoing, so long as the Declarant has beneficial interest hereunder, the Trustees shall not be required to submit the aforementioned documents to the Unit Owners unless the request for improvementsisalsojoinedinbytheDeclarant. UponthereceiptbytheTrusteesofsuchagreement signed by seventy-five (75%) percent ofthe Unit Owners, the Trustees shall proceed to make the improvement or improvements specified in such agreement and shaJl charge the costs thereofas a common expense.

5.7.2 Ifand whenever any Unit Owner shall propose to make Bil improvement to or affecting the Common Areas and Facilities ofthe Condominium at such Unit Owner's own expense, and the Trustees detennine in their misonable discretion that such improvement would be consistent and compatible with the provisions and intent ofthe Master Deed, the Trustees may, but shall not be obligated to, authorize such improvement to be made at the sole expense of the Unit Owner proposing the same, subject to such contractual undertakings ofthe Unit Owner proposing such improvementsas theTrusteesintheirreasonablediscretiondeemto benecessaryordesirable inthe ciroumstances. In the event more than fifty percent (50%) but less thanseventy-five (75%) ofthe Unit Owners approve an improvement to the common areas, then the unit owners in favor ofsaid improvement maymake such improvement, but said unit owners mustpay all costs and expenses incurred as aresult ofsaid improvement.

5.8 Determjnation ofTrustees Subjectto Arbitration. Notwithstanding anything contained in this DeclarationofTrust (a) in the event that anyUnit Ownershall bynotice in writing to the Trustees dissent from anydetermination, action orinactionofthe Trustees, or inthe event ofan inability of the Trusteesto actas a resultofadeadlockvoteand suchdispute shall notberesolved within thirty (30) days after such notice, then either the Trustees or the dissenting Unit Owner may submitthe matterto arbitration, andforthatpurpose, onearbitratorshallbedesignatedbyeachoftheTrustees, andathirdbythetwoarbitratorssodesignatedandsucharbitrationshallbeconducted inaccordance withthe then rules and procedures ofthe American Arbitration Association; and (b) the Trustees

shall not in any event be obligated to proceed with any repair, rebuilding or restoration, or any improvement, unless and until they have received funds in an amount equal to the estimate ofthe Trustees ofall costs associated therewith.

5.9 Desjgn Review and Procedures.

5.9.1 No Unit Ownershall make any addition, alteration or improvement in or to his Unit whieh eould affeet the structural integrityofthe Building(s) or cause any dislocation orimpairment ofor interruption to the Common Areasand Facilities, unless the same shall have been approved bythe Trustees in accordancewith theprovisions ofthis Section 5.9 and shall confonn to the conditions setforth inthisSection 5.9. Also,no Unit Ownershall undertake anywork oractivitydescribed in subparagraphs 9(b) and 9( c) ofthe Master Deed or in Section 5.7.2 ofthis Trust and By-Laws, unless the sameshall have beenapproved bythe Trusteesinaccordance with theprovisions ofthis Section 5.9 and shall conform to the conditions set forth in this Section5.9.

5.9.2 The followingproeedures and conditionsshall applywithrespectto alladditions, alterations, improvements, structures, installations or other work or activities (hereinafter individually and collectivelyreferred to asthe "Proposed Work") which are subjectto the approval procedures and conditionsofthis Section 5.9:

(a) Priortothe commencementofthe Proposed Worl<:

(I) The Unit Owner shall have submittedplansand specifications for1heProposed Workto 1he Trustees for their approval pursuant tothe provisions ofthis Section5.9. Such plans and specificationsshall be in such defllil as the Trustees mayreasonably request, and shall be preparedand signedbyaRegistered Architec4Registered Professional Engineerand/orRegistered Land Surveyor satisfactorytothe Trustees, ifso requested by Trustees;

(ii) The Unit Owner shall have submittedto the Trustees such supplemental information, in addition to the said plans and specifications, as the Trustees shall reasonably request in order to evaluate the proposed work;

(iii) The Trustees shall have given theirwritten approval oflhe Proposed Work;

(iv) The Unit Owner involved and/orhis contractor(s) shallhave obtained and delive!W tothe Trustees such policies ofcasualty, public liability, workman's compensation and other insurance insuringtheTrustees,theUnitOwnersand suchotherpersonsastheTrusteesmaydesignateagainst suchrisks ofloss and in such amount ofcoverageas the Trusteesshall reasonablydetennine to be appropriate urnlerihe circumstances. Suchpoliciesofinsuraneemayincludea"Builder'sAll-Risk' policy, so-called; and

15.

(v) The Unit Ownerinvolved shall have obtained and delivered tothe Trustees such security runningto the benefit ofthe Trust, as theTrustees mayreasonablyrequire, so as to assure thatthe Proposed Work is duly, satisfactorilyand expeditiouslycompleted. Suchsecurity maytake one or moreofthefollowing forms, asapprovedbytheTrustees, who shalldeterminewhethertheamount, form and substance thereofis satisfactory:

a. Deposits ofcash or negotiable securities;

b. Letters ofCredit;

c. Performance bonds and/orguarantees; or

d. Such other types ofsecurity as the Tmstees shall determine to be adequate and appropriate for the purpose.

(b) The Proposed Work shall be performed expeditiouslyin a good and workmanlike manner in full compliance withall applicable Federal, Stateand local laws, ordinances, codes, bylaws and rules and regulations, includingthose relating to zoning, building, health, safety and sanitation; and all necessary permits required for the work, including a building permit (ifrequired by law), shall be dulyobtained and complied with.

(

c) The Proposed Work shall also be performed in full compliance with all conditions and requirements imposed bythe approval(s) therefor granted bythe Trustees.

(d) No materials, supplies, equipment, tools or other items associated withthe Proposed Work shall be stored or left overnight in or upon any ofthe CommonAreas and Facilities without theprior written authorization of the Trustees.

5.9.4 ByreviewingandapprovingaUnit OwnersProposedWork,theTrusteesare not undertaking nor shall they therebyassume any liability orresponsibility for thestructural orother soundness of theProposedWork;andeachUnitOwnerforhimself,hisfamilyand allothersclaimingby,through orunderhim, includingall guests, lessees,tenants, licenseesandotheroccupants ofhisUnit,hereby irrevocablyreleaseseachoftheTrusteesfromanyandall liabilityonaccountofanyerrorsordefects in or failmes or omissions with respect to the plans and specifications for and/or construction implementation ofthe Proposed Work. Jn addition, each Unit Owner who performs the Proposed - 16 -

Work orbas the ProposedWorkperformed forhimagreesto indemnify, defendand hold harmless, jointlyand severally, the Trustees and all other Unit Owners from and against all loss, liability, damage and expense, including court costs and attorneys' fees, resulting from or arising in connection with any loss or damage to property or injury to person, actual or claimed, on account ofthe Proposed Work.

5.10 Rules, Regulations, Restrictions and Reouirements, The Trustees shall have theright (which right shall not be delegated) at any time and from time to time to adopt, amend and rescind administrativerules and regulations governingthe details ofthe operationanduse ofthe units and the Common Areas and Facilities. The restrictions on and requirements respecting the use and maintenance ofthe Units and the use ofthe Common Areas and Facilitiesareto beconsistentwith provisions of the Master Deed and this Trust and By-Laws, and are designated to prevent unreasonable interferencewiththe usebytheUnitOWnersoftheirUnitsandofthe CommonAreas and Facilities. The Trustees shall have the power to enforce the MasterDeed, these By-Laws and therules andregulationsadoptedpursuanthereto,and shall havethepowerto levyfines againstthe Unit Owners for violations thereof. No fine mayexceed$50.00forany oneviolation, but eachday a violation continues afternotice shall be considered aseparate violation.

Fines maybeenforcedagainsttheUnitOwnerorUnitOwners involved ascommonexpensesowed bythe particular Unit Owner or Unit Owners. In the case ofpersistent violation ofthe rules and regulations bya Unit Owner, the Trustees shall have thepowerto require such Unit Ownerto post a bond to secure adherence to the rules and regulations and shall have the rightto bring an action against such Unit Owner to eajoin him from such course of conduct. The Unit Owner shall be responsible for all reasonable costs and expenses incurred by the parties in connection with any action so taken.

5.11 Manager. The Trustees may hire or appoint a manager or managing agent to perform such dutiesintheadministratioq,managementandoperationoftheCondominium,includingtheincurring ofexpenses, the making ofdisbursements andkeeping ofaccounts,astheTrusteesshall from time totimedetermine. However, notwithstandingtheappointment ofsuchamanager,theTrusteesshall retainultimatecontrolovertheadministrstion,managementandoperationoftheCondominium,and theymaynotdelegate to suchmanagerthosepowersandduties specified under Section 5.1 hereof notdelegable, AnyagreementforprofessionalmanagementoftheCondominiumshallbeterminable without cause and without incurring payment of a termination fee on ninety (90) days (or less) written notice. The term ofsuch an agreement shall not exceedthree (3) years.

5.12 Meetings.

5.12.1 The Trustees shall meetannuallyonthe date ofthe annual meeting ofthe Unit Owners and atsuch meeting shall electthe Chairman, TreasurerandSecretaiy(Treasurerand Secretmyshall be thesameperson). OthermeetingsoftheTrusteesmaybecalledbytheChairmanprovided,however, thatwrinennoticeofeachmeetingstatingtheplace,dayandhourthereofshall begivenatleastthree

days before such meetingto both ofthe Trustees.

S.12.2 There shall be an annual meetingofthe Unit Owners onthe last Wednesdayin February, of each year, commencing with the year 2000, at 7:30 p.m. at the condominium or at such other reasonableplace and time as mayhedesignated bythe Trustees bywritten notice given to the Unit Owners at least seven days prior to the date so designated. At the annual meeling ofthe Unit Owners, the Trustees shall submit reports ofthe management and finances ofthe Condominium. WheneveratanymeetingtheTrusteesproposetosubmitto theUnitOwnersanymatterwithrespect to which approval ofor action bythe Unit Owners is necessaryor appropriate, the notice ofsuch meeting shall so state and reasonably specify such matter. If quorum shall not he present or representedatanymeetingoftheUnit Owners,theUnitOwners present inperson orrepresentedby proxy shall have the power to adjourn the meeting from time to time, without notice, otherthan announcement atthe meeting, until a quorum shall he present orrepresented. At such aqjoumed meeling atwhich aquorum shall he present orrepresented, anybusiness may be transacted which couldhavebeentransacted althe meeting as originallynoticed. Notwithstandingtheforegoing, no such subsequent meeting shall he held more than sixty (60) days following the date ofthe original called meeting.

5.13 Notices to Unit Owners. Every notice to any Unit Owner required or pennitled under the provisionshereoforwhichmaybeordered inanyjudicialproceedingshallbedeemedsufficientand binding ifa writtenorprinted copy ofsuch notice shallbe given by one or more oftheTrustees to such Unit Owners by leaving such notice withhim at his Unit in the Condominium orbymailing it, postage prepaid, and addressed to such Unit Owner at such address as may appe111' upon the records ofthe Trustees.

5.14 Record Date. The Trustees may, for a periodnot in excess ofthirty (30)days priorto adate ofanymeetingofthe Unit Owners, fix in advance a time as a record date for determiningtheUnit Owners having a rightto noticeofand to vote at such meetiog, and in such case onlyUnit Owners ofrecordon suchrecord date shall have such rights, notwithstanding anytranoferbya Unit Owoer ofhis interest in his Unit after the record date. Ifno record date is fixed, the record date for the aforementioned purposes shall be S:00P.M. onthe daynext proceeding thedayon whichnoticeof ameeting ofthe Unit Owners is given.

5.15 Order ofBusjness. The order ofbusinessatall meetings ofUnit Owners shall be as follows:

(a) Roll Call;

(b) Proofofnotice ofmeeting;

(

c) Reading ofminutes ofpreceding meeting;

(d) Report ofofficers;

(e) Report ofTrustees;

(f) Report ofcommittees;

(g) Election ofinspectors ofelection (when so required);

(h) Election ofTrustees (when required);

(I) Unfinished business; and

(j) New business.

5.16 Voting at Meetings. At all meetings ofUnit Owners, all Owners may vote in person or by proxy. All proxies shall be (a) in writing signed by or on behalf of all the Owners ofthe Unit involved, (b) dated andel) filed withthe SecretaryoftheTrust.No proxyshall bevalid beyondthe date ofthe final adjournmentofthe first meeting ofOwners, whetherannual or special, held on or after the date thereof, and everyproxy shall automaticallyterminateuponsale bythe Ownerofhis Unit. A proxy may be revoked by notice given by any Owner ofthe Unit involved to the person presidingatthemeetingatmuchitistobecast. Anyproxywhichpurportstoberevocablewithout such notice shall be void.

5.17 Officers.

5.17.l Designation. Theofficers oftheTrustshall bea Chairman,aTreasurer,andaSecretary. Any one Trustee may hold more thanone office.

5.17.2 Election andQualification. The officersshallbe selected byTrusteesattheirregularannual meeting. Ifsaidmeetingisnotheld orintheevent ofresignation, removal ordecreaseofanofficer, at any special meeting ofthe Trustees. All officers shall be Trustees.

5.17.3 TermofOfficp. All officersshallhold officefora term oftwo years or untiltheirsuccessors are elected andqualified.

5.17.4 Resimation. Any officer may resign at any time by written notice to the Chairman or the Secretaryt which notice shall take effect on the date ofreceipt of such notice or at any later date specifiedtherein,andunlessotherwisespecifiedtherein,theacceptanceofsuchresignationshallnot benecessaryto make iteffective.

5.17.5 Vacancies. Avacancyinanyofficemaybe filled in the mannerprescribedin Section 5.182 hereof. The officer selected to fill such a vacancyshall serve for the remainder ofthe term ofthe officerhe replaces.

S.17.6 Chajrman. Thechairmanshallresideatallmeelings oftheTruslees andoftheUnit Owners, and shall have such otherpowers andperform such other duties as areprovided inthe MasterDeed orinthis TrustandBy-Lawsorasmaybedesignated bythe Trustees ortheUnitOwners from time to time or as are ordinarilyexercised bythepresiding officer ofa corporation.

5.17.7 Secretarvand Treasurer. The Secrelary and Treasurer shall record the votes and keep the minutes ofall meetings oftheTrustees andofthe UnitOwners in abookorbooksto bekeptforthat purpose, the names ofall Unit Owners, together with their addresses as registered by such Unit Owners, and shall have such otherpowers and duties as maybe delegated fromtime to time. The Secretaryand Treasurershallalsobe responsible forthe funds ofthe Trustand shall beresponsible for keeping or having kept full and accurate financial records and books ofaccount showing all receipts and disbursemeots oftheTrust aod aoyotherfinancial data required bythe Trusteesor by the Unit Owners. He or she shall be responsible for the deposit ofall funds in the name ofthe Trustees insuchdepositories as maybedesignatedbytheTrustees from timeto time and shall have such otherpowers and dutiesas may be delegated to him by the Trustees orthe Unit Owners from time to time. The Trustees may delegate such ofthe Treasurer's powers and duties to the manager ormanaging agent as they deem to be advisable.

S.l7 InspectionofBooks. ReoorttoUnitOwners. Books,accountsandrecordsoftheTrusteesshall beopentoinspectionto anyofthe TrusteesandUnitOwnersand firstmortgageholdersoftheUnits at all reasonable times. The Trustees shall, as soon as reasonably possible after the close ofeach fiscalyear, ormore oftenifconvenienttothem, submittotheUnitOwnersareportoftheoperations ofthe Trustees for suchyear which shall includefmancial statements insuchsummaryform and in suchdetail astheTrustees shall deemproper. Anyperson whohasbeenfurnished with suchreport and shall have failed to object thereto by notice in writing to the Trustees given by certified or registered mail within a period ofninety days after the date ofthe receiptby him shall be deemed tohave assented thereto.

S.18 ChecJ<s.Notes,Drafts and OtherInstruments. Checks,notes,drafts andotheriostruments for thepaymentofmoneydrawnorendorsedinthenamesoftheTrustees oroftheTrust maybe signed byanytwo Trustees,orbyanyperson orpersonstowhomsuchpowermayatanytimeor from time to time be delegatedbynot less than a majorityofthe Trustees.

5.19 Seal. TheTrustees mayadopt asealcircularinform bearinganinscriptionofthename oftills Trust as set forth inARTICLE!,but such seal may be alteredbythe Trustees attheirpleasure, and the Trustees, may, at anytime or from time to time, at their option, adopt acommon or wafer seal whichshall be valid for all purposes.

S.20 Fiscal Year. ThefiscalyearoftheTrustshallbetheyearendingwiththelastdayofDecember or such other dete asmay from time to time be determined by the Trustees.

S.21 Remoyal from Condominium Law. UnitOwnersholdingone hundredpercent(100%) ofthe

totalvotingpoweroftheUnitOwnersshallberequiredtoapprovetheremoval oftheCondominiwn described herein from the provisions ofChapter l83A, and thereafterthe provisions ofSection 19 ofsaid Chapter l83Ashall apply.

5.22 Sale orI.ease ofUnits. Subject to suchrestrictionasmayotherwisebe set forth inthe Master Deedor inthe Trustand By- Laws, aUnit Ownermayassign, lease, sell orotherwise transferall of his interest in his Unit(s), together with (a) the undivided interest in the Common Areas and Facilitiesappurtenant thereto; (b)theinterestofsuchUnitOwnerinanyUnitstheretoforeacquired by the Trustees or their designee, on behalfofall Unit Owners orthe proceeds ofthe sale or lease thereof, ifany; and© ) the interest ofsuch Unit Owner in any other assets ofthe Condominium (hereinbeforeandhereinaft<fcollectivelycalled"Appurtenantln!erests"). However,noUnitOwner shall executeanydeed,. lease,mortgage,orotherinstruments conveying ormortgagingtitleto oran interest inhisUnit withoutincludingtherein theAppurtenantin!erests, itbeingtheintentionhereof to prevent any severance ofsuch combined ownership. Any such deed, lease, mortgage, or other instrument purportingtoaffect one ormoreofsuchinterests, withoutincludingallsuch interests so omitted, eventhough the lattershall notbeexpresslymentioned ordescribedtherein.Nopartofthe Appurtenant Interests ofanyUnitmaybe sold, leased, transferred orotherwise disposed of, except as part of a. sale, lease, transfer or other disposition of the Unit to which such interests are appurtenant, oraspart ofa sale, lease, transfer or other dispositionofsuchpart oftheAppurtenant Interests ofall Units.

ARTICLEVI. RIGHTS AND OBLIGATIONS OF TIDRD PARTIES DEALING WlTif TIIE TRUSTEES

6.1 Dealing with Trustees. No purchaser, mortgagee, lender or other person dealing with the Trustees as they then appear of record in the Middlesex South District Registry ofDeeds need inquire further as to the persons who are then Trustees hereunder. The receipts ofthe Trustees or any one or more ofthem for monies or things paid or delivered to them or him shall be effectual discharges therefrom to the personspaying or delivering the same, and no pen;on from whom the Trustees or any one or more ofthem shaJI receive any money, property or other credit shall be required toseetothe applicstionthereof. No purchaser,mortgagee, lender orotherpen;on dealing with the Trustee orwith anyreal orpersonal propertywhich then is or formerly was trustproperty shall beboundto ascertain orinquireas to the existenceoroccurrenceofanyeventorpurposeinor for which asale, mortgage, pledge orchargeishereinauthorized ordirected, orotherwise asto the purpose orregularity ofanyofthe acts oftheTrustees orany one ormore ofthempurporting to be done in pursuance ofany ofthe provisions or powers herein contained.

6.2 Recourse Against Trustees. No recourse shall at anytime bebadunderoruponanynote, bond, contract,order,instrument,certificate,undertaking,obligation,covenantoragreement,whetheroral orwritten, made, issuedorexecuted bythe Trustees orbyanyagentoremployeeofthe Trustees or byreason ofanythingdone oromittedto bedonebyoronbehalfofthemoranyofthem againstthe

Trusteesindividually,oragainstanysuchagentoremployeeoragaiostanybeneficiaryeitherdirectly or indirectly,bylegal orequitable proceeding, orbyvirtue ofany suit or otherwise, and allpersons extending creditto, con1ractingwith orhaving anyclaim againsttheTrustees, shall lookonlyto the trust property for payment under such contract or claim or for the payment ofany debt. damage, judgment or decree or ofany money that may otherwise become due orpayable to them from the TrusteessothatneithertheTrusteesnorthebeneficiaries,presentorfuture, shallbepersonallyliable therefor; provided, however, that nothing herein contained shall be deemed to limit or impair the liability ofUnit Owners underthe provisions ofCbapter l83A.

6.3 Instruments Subiectto Trust Terms. Evezynote, bond, contract, order, instrument, certificate, undertaking,obligation,covenantand agreement,whetheroral orwritten,Ijll1de, issued orexecuted bythe Trustees orbyany agent oremployee ofthe Trustees shall be deemed to have been entered into subject to the terms, conditions, provisions and restrictions hereof, whether or not express references shall have been made to this instrument.

6.4 Certifications byTrustees for Recording. All persons dealinginanymannerwhatsoever with the Trustees, the trust property or any beneficiary hereunder shall be held to have notice of any alteration or amendment ofthis Declaration of Trust, or change ofTrustee or Trustees, when the same shall be recorded with the Middlesex South District Registry of Deeds. Any certificate executed by the Secretazy ofthis Trust setting forth the ruunes ofthe Trustees hereunder, when recordedwith said Registry ofDeeds, shall be conclusiveevidence ofthe identityofthosepersons who are serving as Trustees in favor ofall third persons, including the Trustees, acting in reliance thereon. Anycertificatesignedbybothofthe Trusteesinofficeatthetime, settingforthas facts aoy matters affecting the Trust, including statements as to who are the beneficiaries, as to what action hasbeentakenbythebeneficiaries, andastomattersdeterminingtheauthorityoftheTrusteestoda any act, when duly acknowledged and recorded with said Registry ofDeeds shall be conclufilve evidenceasto theexistenceofsuchallegedfacts infavorofallthirdpersons, includingtheTrustees, acting inreHance thereon.

ARTICLEVJ! - AMENDMENTS AND lERMINATION

7.1 AmendmentofTrust. TheTrustees, with theconsentinwriting ofOwnersofUnitsholdingat leost 75% ofthe total voting power ofthe Unit Owners, may at any time and from time to time, amend, alter,add to orchangethisDeclaration ofTrust inanymannerorto anyextent,theTrustees, first,however,beingdulyindemnifiedtotheirreasonablesatisfactionagainstoutstandingobligations and liabilities; provided always, however, that no such amendment, alteration, addition or change shall be valid or effective if:

7.1.1 Itwould alter, orlnanymanner ortoaoyextent whatsoever, modifyoraffectthe percentage ofbeneficial interest ofany Unit Ownerhereunder so as to be different tbao the percentage ofthe

undivided ownership interest in the Common Areas and Facilities which is appurtenant to such Owner's Unit as set fonh inthe MasterDeed.

7.1.2 ItwouldrenderthisTrustcontraryto orinconsistentwiththeMasterDeedoranyrequirements orprovisions ofChapter 183A.

7.1.3 Itwouldcauseprovisions ofthis Trustto fail to comply withthe requirements ofthe Federal National Mortgage Association ("FNMA") or Federal Home Loan Mortgage Corporation ("FHLMC") withrespect to condominium mortgage loans.

7.2 Necessity for Recording Amendments. Alterations. Additions. or Changes Any amendment, alteration,additionorchangepursuanttotheforegoingprovisionsoftheARTICLEVllshallbecome effective upon the recording withtheMiddlesexSouthDistrict RegistryofDeeds ofan instrument ofamendmen' alteration, addition orchange, as thecasemaybe, signed, sealedandacknowledged inthemannerrequired for the acknowledgmentofdeeds bya majorityofthe Trustees,settingfonh in full the amendmen' alteration, addition or change and reciting the consent ofthe Unit Owners herein required toconsentthereto. Suchinstnnnen' so executedand recorded, shall be conclusive evidence oftheexistenceofall facts andofcompliance withtheprerequisitesto thevalidityofsuch amendment, alteration, addition or change, whether stated in such instrument or not, upon all questions as to title or affecting the rights ofthird persons and for all other purposes.

7.3 Termination. The Trust hereby created shall terminate only upon the removal of the Condominium from the provisions ofChapter l83Ainaccordance withthe procedurethereforset fonh in Section 19 ofsaid law, as said Section 19may be modified bySection5.23 ofthis Trust.

7.4 Disposition ofProperty onTermination Uponthetermination ofthis Trust. the Trustees may. subjectto andin accordance with theprovisions ofChapter l83A, sell and convert into money the whole ofthe trust property, or any part or parts thereof, and, after paying or retiring all known liabilities and obligations ofthe Trust and providing for indemnity against any other outstanding liabilities and obligations, shall divide the proceeds thereof among, and distribute in kind (at valuations made by them which shall be conclusive) all other property then held bythem in trust hereunder to the Unit Owners as tenants in common, according to their respective percentages of beneficialinteresthereunder.Inmakinganysale underthisprovision,theTrusteesshall havepower to sell or vary any contract ofsale and to do all things, including the execution and delivery of :a£imII1Mla,, "& 7UtlJ 'Ul mmlt1a. =111 t:uraret*Cttltl•ltieJ:cW/lr1. '?ra:: powers ofsale and all other powershereingiven to the Trustees shall continue as to all property at any time remaining in their possession or ownership, even though all times herein fixed for distribution oftrust propertymayhave passed.

ARTICLE VIII -MISCELLANEOUS PROVISIONS

8.1 Terms. Inthe constructionhereof, whetherornot so expressed, words used in the singular or "23"

inthepluralrespectivelyincludeboththepluralandsingular,wordsdenotingmalesincludesfemales and words denoting persons include individuals, !inns, associations, companies Qoint stock or otherwise), trustand corporations unless a contrary intention is to be inferred from or required by the subject matter or context. The cover, title, index, headings ofdifferent parts hereof and the marginal notes, ifany, are inserted only for the convenience ofreference and are not to be taken to be any parthereoforto control ofaffectthe meaning, construction, interpretation or effect hereof. All thetrusts, powers and provisionsherein contained shall takeeffectand be construed according to the law ofthe CommonwealthofMassachusetts.

8.2 Waiver. The Trustees shall have thepowerandanthority to waive anyprovision ofthis Trust affectingorlimitingtherightsofa Unit Ownerfor anycause orreasondeterminedtobereasonable by such Trustees in their discretion; provided, however, that no such waiver on anyone occasion shall constitute a waiveron any future occasion, nor shall any waiver ofa provision ofthis Trust affect the Trustees' rights and power to enforce all other provisions ofthis Trust. No restriction, condition, obligationorprovisioncontained inthis TrustorBy·Laws shallbe deemedtohavebeen abrogated or waived by reason ofanyfailure to enforce the same.

8.3 Conflicts. Ifanyprovisionofthis Trustshallbe invalidorshall conflictwithChapter l83A,as amended, oftheGeneral Laws ofMassachusetts, orifanyprovision ofthisTrust confiictswith any provision ofthe Master Deed, then the following rules on construction shall be used:

8.3.1 IntheeventofaconflictbetweentheTrustandsaidChapter183A,asamended,theprovisions ofChapter 183Ashall control;

8.3.2 Intheeventofaconflictbetweenaoynumerical votingrequirements for actionsetforthinthe Master Deed and any such requirements set forth herein, the provisions requiring the greater percentage or fraction for action to be taken or avoided shall control;

8.3.3 Intheeventofanyconflictotherthao as set forthinParagraph 8.3.2ofthis Sectionbetween theprovisionsoftheMasterDeedandanyotherprovisionhereof,theprovisionsoftheMasterDeed shall control;

8.3.4 Intheeventofanyconflictbetweentherequirements setforth inthe MasterDeedorthis Trust andtherequirementsofFederalHomeLoanMortgageCorporation("FHLMC")orFederalNational MortgageAssociation("FNMA"),themorestringentoftherequirementsofFHLMCorFNMAshall control, to the extent that such requirements do not otherwise conflict with applicable law.

8.4 Severabilitv. In the event thatanyprovision ofthis Trust shall be determined to be invalid or unenfurceablcinanyrespect,itshallbeinterpretedandconstruedtobeenforceabletotheextentand in such situations as may be permitted by applicable law, aod in any event, the partial or total unenforceabilityofsuchprovisionshallnotaffectinanymannerthevalidity,enforceabilityoreffect

ofthe rcmalndor ofthis.Trust; and, in such event, all ofthe other provisions ofthis Trust shall continue in ef'!ectas ifsuch invalid provision had never been included herein. ;; ·,.;;-._.c'\': •(•'\\\) ._,.,_, "{: ··. ',-.

INWITNESSWJWREO'F;'JeanL. Ho es, hashereunto therhandand sealthedayandyearfirst above wt)1;ten. ./" ·

,.Holmes, Dec arant

COMMONWEALTH OFMASSACHUSETIS COUNTY OF MIDDLESEX

On this-1_dayofMarch, 1999beforemepersonallyappearedtheabove namedJean L. Holmes and acknowledged the foregoing instrument to be her free actanddeed, before me,

- Notary Public My mmissionexpires: 01\r<>\Cl\

Turn static files into dynamic content formats.

Create a flipbook
Issuu converts static files into: digital portfolios, online yearbooks, online catalogs, digital photo albums and more. Sign up and create your flipbook.