


245 Benedict Hill Road, New Canaan, CT 06840 List Price: $3,595,000
MLS#: 24133809 DOM: 0Tax Parcel #: 188341 Orig. List Price: $3,595,000
Status: Active Last Update: 03/04/2026 Potential Short Sale: No Single Family For Sale Neighborhood: N/A
School Information
Elem: East Interm: Middle: Saxe Middle High: New Canaan
Year Built: 1983 (Public Records) New Construction: No/ResaleAcres: 4 (Public Records)
Square Footage: Estimated HEATED Sq.Ft. above grade is 4,370 and HEATED below grade is 930; total 5,300 Public records lists total living Sq.Ft. of 4,370 and gross basement Sq.Ft. of 1,864 Property Tax: $26,470Assessed Value: $1,585,990 Mil Rate: 16.69
Style: Colonial Rooms: 11 Bedrms: 5 Bathrms: 4 Full & 1 Partial Fireplaces: 5
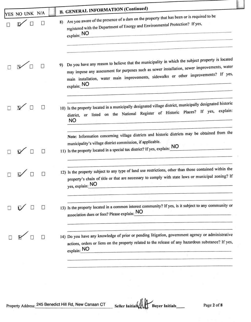
Room Level Apx. Size Features
Room Descriptions
Living Room Main Built-Ins, Gas Log Fireplace, Wide Board Floor
Dining Room Main Beams, French Doors, Wide Board Floor
Eat-In Kitchen Main Breakfast Nook, Built-Ins, Wide Board Floor
Family Room Main Vaulted Ceiling, Beams, Built-Ins, Gas Log Fireplace, French Doors
Primary Bedroom Upper Vaulted Ceiling, Gas Log Fireplace, Full Bath, Walk-In Closet
Bedroom Upper
Bedroom Upper
Bedroom Upper Gas Log Fireplace
Bedroom Main Beams, Gas Log Fireplace, French Doors, Full Bath
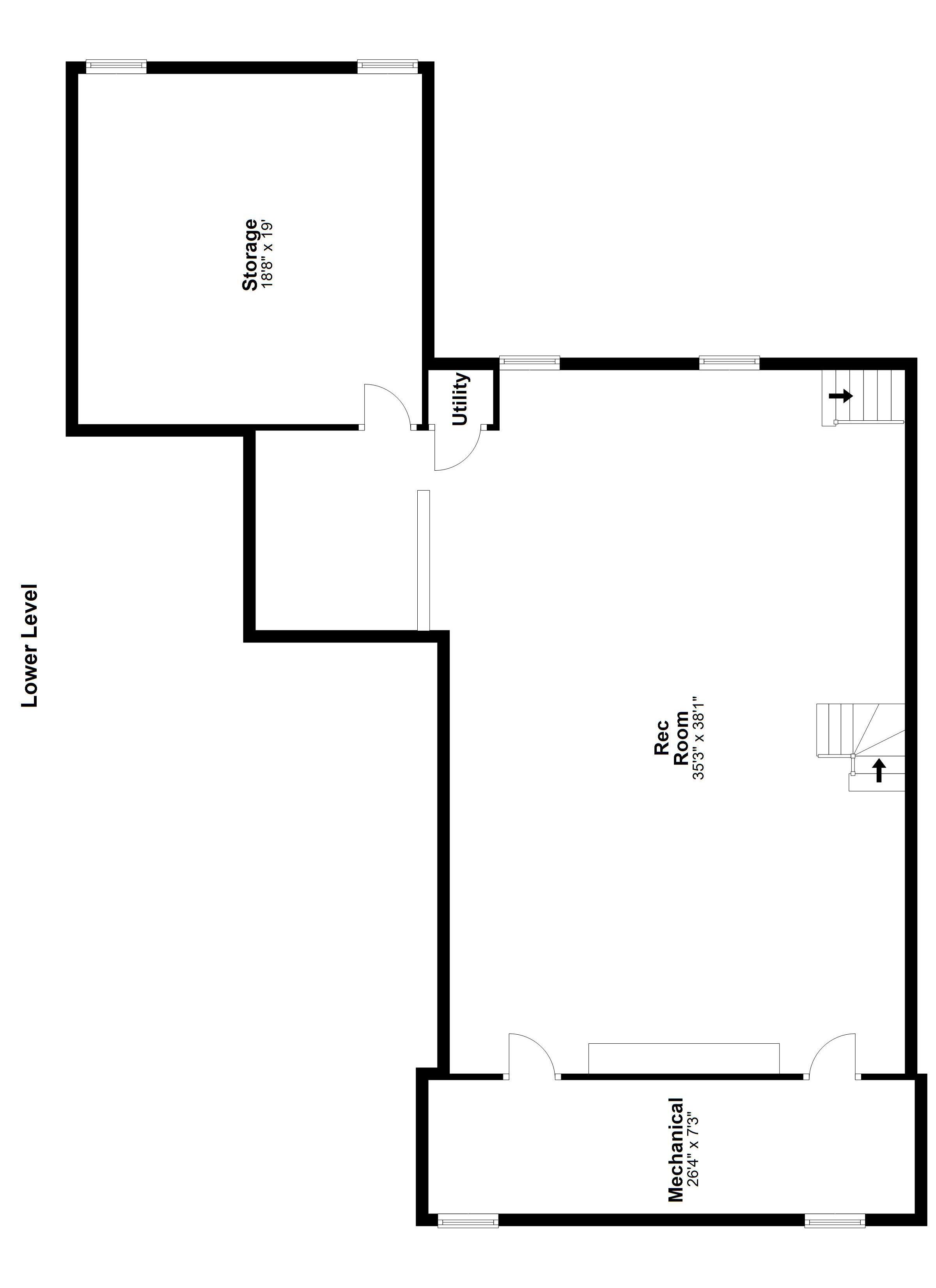
Rec/Play Room Lower
Additional Rooms Bonus Room, Foyer, Mud Room
Laundry Location Main Level
Has In-Law Apart
Features
Appliances Incl. Oven/Range, Microwave, Refrigerator, Freezer, Dishwasher, Disposal, Washer, Dryer Attic Has Attic - Pull-Down Stairs
Basement Desc. Full, Fully Finished
Exterior Features Terrace, Barn, Gutters, Lighting, French Doors, Patio, Porch, Stone Wall, Underground Sprinkler Garage & Parking 4 Car Garage, Detached Garage Driveway Type Lot Description Corner Lot, Lightly Wooded, Level Lot, Cleared, Professionally LandscapedIn Flood Zone Waterfront Feat. Not Applicable Swimming Pool Yes
Utility Information
Hot Water System Other
Est. Annual Heating Cost Heat Type Hot Air Fueled By Oil, Propane Fuel Tank Location In Basement Cooling Central Air Radon Mitigation Air Yes, Water Yes Water & Sewer Service Private Well Sewage System Septic
Public Remarks
A storybook entrance framed by classic stone walls opens to four flat, park-like acres leads you to this thoughtfully updated five-bedroom Colonial layered with warmth, character, and the kind of detail that make a house feel instantly welcoming. The light filled chef's kitchen flowing seamlessly into a family room with fireplace and French doors open to the terrace, heated pool, spa, and paddle court - effortless indoor outdoor living. Upstairs offers a light filled, vaulted primary bedroom suite plus 3/4 additional bedrooms and rear staircase to the spacious mudroom and side entrance. A gracious first-floor guest suite is perfect for family and friends. The finished lower level adds flexible space for exercise or play. The stunning post-and-beam barn - with room for 4+ cars and an oversized loft - completes the picture.Warm, inviting, and undeniably special. A true New England gem. Prepare to fall in love.
Marketing History
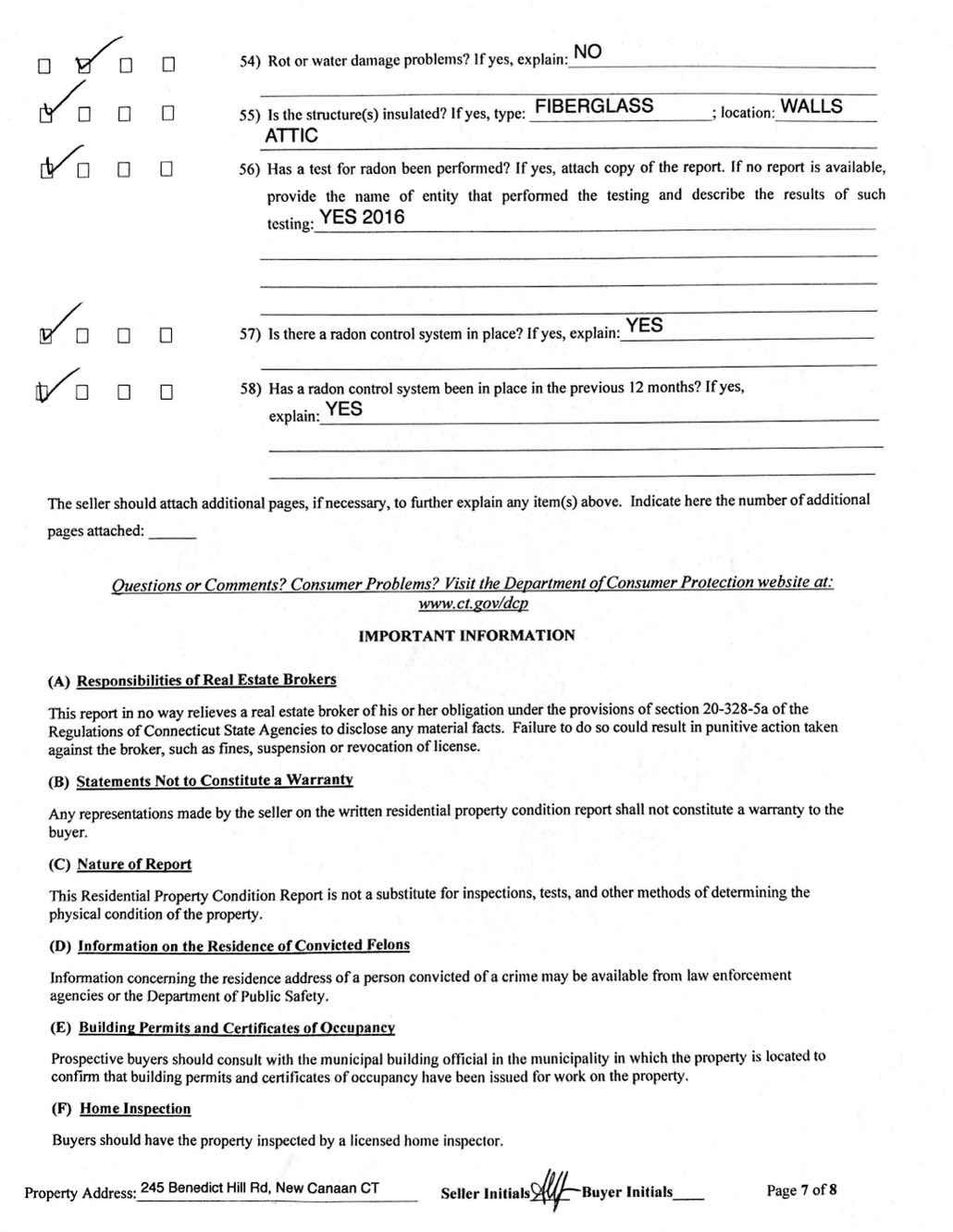
Listing Date 02/25/2026 Closed Date Date Available Negotiable













