



![]()









Enaya Mohsin ‘28
In the year A.D. 79, the eruption of Mount Vesuvius buried the ancient Roman city of Pompeii under a 20-foot blanket of ash and debris. For centuries, the tragic deaths of its residents were frozen in time, preserved in plaster casts that captured the shapes of their bodies and the final moments of their lives. These casts, created starting in 1863 by archeologists, have long been seen as key pieces of evidence in piecing together the story of Pompeii’s destruction.
However, new genomic research has upended some of the most widely held assumptions about the identities and relationships of those who perished in the eruption. In a groundbreaking study published in Current Biology in December 2024, a team of scientists including Harvard geneticist David Reich and University of Florence anthropologist David Caramelli, used DNA extracted from the skeletal remains embedded in the famous casts. Their findings challenge much of what we thought we knew about the Pompeii victims.
The plaster casts, which were made by filling the voids left by decayed bodies with plaster, have long been used to speculate about the identities of those who died. For example, one well-known cast features a woman and a young child, with the two bodies positioned close together. Traditionally, this scene has been interpreted as a mother and her child caught in their final moments. However, genetic testing has revealed a surprising twist: the adult is actually a male, and the child is a boy, not a girl. More importantly, the two individuals were not related at all, despite centuries of speculations to the contrary.
One of the most striking revelations of the study was the discovery that some of the individuals in the casts were misidentified based on their physical appearance. For example, some of the so-called “maidens” —presumed to be women, possibly sisters or a mother and daughter—turned out to be men. This new evidence highlights how easily assumptions can be made based on appearance alone and how these assumptions have often been influenced by romanticized ideas in literature and films.
Dr. Marie D.G. Mittnik, a member of the research team, emphasized the importance of challenging these intuitive interpretations. “So again,” she said, “a case where the most obvious or intuitive interpretation was not, in fact, what we see scientifically.”
The research also sheds light on the diverse and cosmopolitan nature of the Roman Empire during this period. The genetic evidence revealed a surprising range of ancestry among the Pompeii victims, with people of North African, European, and Asian descent all present. This genetic diversity reflects the movement of people across the empire through trade, migration, conquest, and slavery, connecting individuals from many different backgrounds.
This study is a reminder that visual reconstructions of the past—whether through plaster casts or artistic depictions—can often be misleading. Dr. Reich noted that this research offers an important lesson in humility and skepticism: “When we’re making measurements of how people are related to each other based on DNA or their molecular sex, I think that teaches use some humility and skepticism about our interpretations.”
As the findings from this study continue to reverberate through the field of archaeology, they serve as a powerful reminder that the past is often more complex and surprising than we expect. The people of Pompeii, preserved in plaster for nearly two centuries, have once again surprised us—not just with their tragic fate but with the deeper, more nuanced story that modern science is now revealing.

For the past three years, Hannah (Wiseman) and I have shared not only the same science class but also the same birthday. What are the odds of that? Actually, a lot higher than it may seem. In fact, in a room of just 23 people, there’s a 50% chance that at least two people have the same birthday. In a room of 75 people, there’s a 99.9% chance that two people share.
Why?

Before explaining the specific math behind this, I wanted to clear something up that really changed how I thought about this problem. Although my anecdata about Hannah and me sharing a birthday and a science class was me-specific, the chances of two people sharing the same birthday in the “Birthday Problem” refer to the chances of two random people sharing the same birthday. The chances of someone sharing YOUR specific birthday are, of course, much lower.
So, how to calculate the probability of birthday sharing? Instead of calculating the probability that two people will share the same birthday, it’s easier to calculate the probability that they don’t. Why? Let’s take a look:
After all, it seems easy enough with two people. Here’s the probability of two people sharing a birthday:
The probability of one person being born on a single day is 100% or 365/365
The probability of a second person being born on the same day is 1/365
So, probability of these two people being born on the same day is 1/365*365/365
However, things get more complicated with more people; say, four (Persons A, B, C, and D). You’d have to calculate the likelihood that:
Person A and Person B share the same birthday
Person A and C share the same birthday
Person A and Person D share the same birthday
Person B and Person C share the same birthday
Person B and Person D share the same birthday
Person C and Person D share the same birthday
Persons A, B, and C share the same birthday
Persons B, C, and D share the same birthday
Persons A, B, and D share the same birthday
Persons A, B, C, and D share the same birthday
Instead, we can calculate the probability that people won’t share a birthday - this is called the complement.

Again, we start out knowing the probability of one person being born is 365/365. The probability that a second person will not have that same birthday is 364/365 (they can be born on ANY other day except the one the first person was born on). The probability that a third person doesn’t have either of those birthdays is 363/365, and so on. So, the probability that thirty people don’t share the same birthday is:

We can simplify this even further by using factorials, which are functions that multiply a number by all the numbers before it.
Notice the numerator is 365*364*363 and so on, all the way up to 337*336. However, this isn’t the full 365!, in order to get rid of the extraneous multipliers (335*334*333...), we need to multiply the denominator by 335! so that they cancel out. The denominator for the function is just 365*365..., or 365^30. So, we can simplify out this function to:

Plugging this into our handy dandy calculator, we find a 29.4% probability that nobody in this group of thirty shares a birthday. So, the probability of a birthday being shared is:







Dr. King’s creative Calculus I & II students participated in an exciting challenge last trimester! To increase awareness of the ongoing contributions to the mathematical sciences by women and to promote gender inclusivity, the Association for Women in Mathematics (AWM) and Math for America co-sponsor an essay contest for biographies of contemporary mathematicians and statisticians in academic, industrial, and government careers. Each essay was based primarily on an interview with a woman in the mathematics community who is currently working in or retired from a mathematical sciences career. Mira Wissman ’25 shared, “Completing this project gave me so much perspective on how much true sexism there is when it comes to STEM fields, and we don’t see it at a place like Holton.”
Mira Wissman ’25 chose to interview her grandmother, a math professor who broke into the computer science field when few women dared to do so. Immigrating from India in the 1960s, her grandmother faced significant challenges, including workplace discrimination from male colleagues. However, her resilience and determination led her to publish numerous research papers, leaving a lasting legacy in her field. Reflecting on the experience, Mira said, “It was refreshing to interview her and I gained a newfound respect for her in more ways than just her being my grandma!”
Maggie Shelton ’25 focused on Jane Weitzel, an analytical chemist who made groundbreaking contributions to measurement precision and pharmaceutical quality control. From her early fascination with science fiction to her leadership roles in the field, Weitzel’s journey exemplifies how mathematics serves as a universal language connecting various STEM disciplines. “True science is the way to truth,” Weitzel remarked, a philosophy that has guided her through decades of innovation. Maggie’s essay emphasized Weitzel’s journey of self-study, her dedication to teaching practical statistics, and her ability to inspire others through her passion for STEM.
Gabi Berman ’25 explored the career of Jordan Sandell, an aerospace engineer at Boeing. Sandell’s path began with a high school physics class that sparked her interest in engineering. At Cornell University, she merged her love for math, physics, and fashion through an innovative combination of majors and minors. Now, Sandell designs electronic packaging for airplanes, applying advanced engineering principles to real-world challenges. “Take a phone, for example,” Sandell explained. “How all the wires and components are held together needs to be optimized to make sure the phone is more user friendly, doesn’t break, and can survive a long time.” Gabi’s essay captured Sandell’s drive to combine creativity and technical expertise, inspiring future generations to pursue careers in STEM.
I had the privilege of interviewing Dr. Grace Peng, the Director of Mathematical Modeling in the Bioengineering Department at the National Institutes of Health (NIH). Dr. Peng applies mathematics to understand human biology, creating models that span molecular to population scales. Reflecting on the power of math in bioengineering, Dr. Peng remarked, "Mathematics allows us to see and predict things about the body that we otherwise couldn't." Her insights into how calculus concepts can drive impactful healthcare innovations deeply resonated with me as an aspiring biomedical engineer. Dr. Peng’s career journey, from her family’s influence to her groundbreaking work in rehabilitation engineering, exemplifies the power of mathematics to solve real-world problems and inspire future generations.
Through this project, students not only deepened their understanding of mathematics but also gained insights into the resilience and innovation of women in STEM. The essays demonstrated the importance of representation and mentorship, fostering a new appreciation for the pioneers who continue to shape the field of mathematics. As Holton students reflect on these stories, they are reminded that the possibilities in STEM are endless—especially when inspired by trailblazers who dared to break barriers.

We’ve all felt it. The building excitement as you gather the snow into your gloved hands, scrabbling together enough to create a decent-sized ball. The anticipation of packing together your snowman…only to have him fall apart in your hands. The pure frustration when your snowman collapses on the verge of completion, just as you try to give him a head— why can’t I just build a snowman?!
Don’t worry: there’s a way to live out your Princess Anna dreams without the hassle and pain. All you need is science!
As we walk you through the steps to creating a scientifically sound snowman, remember that snow is a form of precipitation that occurs when water vapor freezes. Snow can only crystallize around or below 0 ºC (32 °F), which is the freezing point of water. And snow has something called a snow ratio, which is the ratio of actual snow to liquid water. The ratio is usually about 10:1, giving the average snowfall about a 10% moisture content.

So, what’s the secret to building a perfect snowman? First, let’s look at the snow ratio. The ideal snow for snowman building is moist snow, which forms when the temperature is slightly above freezing. In this situation, some but not all of the snow crystals will melt, and the resulting water will stick the crystals together to make snow with about an 8% moisture content that molds easily but doesn’t lose its shape.
Moist snow crystals also have an advantageous shape for snowman making. When the air is warmer and wetter, snow crystals form in intricate shapes called dendrites (think the delicate snowflake patterns you might cut from paper). By contrast, drier, cooler air usually forms small, flat ice flakes. Since the dendrites have more surface area than the ice flakes, it’s easier for the liquid water acting as glue to keep them stuck together. That’s why dry, powdery snow will fall apart when you try to clump it into a ball.
Next, pick a place to build the snowman. Try to find a level surface, ideally not a driveway since asphalt traps heat and could cause the snowman to melt. A shady spot is even better protection from the sun.
Now for the building. Pack the moist snow together. The warmth from your hands will melt the snow just a little bit more, strengthening the liquid glue that holds the dendrites together. A 3:2:1 size ratio for each section of the snowman is ideal for ensuring the snowman’s stability. Stack the snowballs atop each other, flattening the tops of the bottom two and reinforcing the meeting points with extra snow. Top off your snowman with a carrot nose, coal eyes, and a cute winter hat!

Sky Zhu ‘26


While you might have heard that all snowflakes are hexagonal in nature, there is so much more variety in their geometry than one might expect! First, let’s investigate how snowflakes form in their specific shape. Snow starts out as water vapor in the atmosphere, just like rain, but instead of condensing into liquid water (like in rain), the extremely cold vapor encounters a dust particle and freezes directly into ice crystals.
What determines the shape of a snowflake?
Although most snowflakes start out as hexagonal prisms because of the molecular structure of water, the resulting shape depends on the humidity and temperature as each crystal falls. As a crystal travels down towards the surface of the earth and interacts with more water vapor, each of the six vertices of the original hexagon grows into an arm of the snowflake, and the arms consequently become even more complex as the snowflake continues to fall. In higher temperatures, snowflakes are larger, fluffier, and can even turn out needle-shaped, while lower temperatures create smaller, flatter crystals. High humidity also increases the complexity of a snowflake, while lower humidity creates a simpler crystal.
If each snowflake starts out hexagonal, how are all snowflakes unique?
As a snowflake travels through the atmosphere, the wind creates unique paths for each snowflake, and thus, each one encounters unique conditions in terms of temperature and humidity. The infinite number of paths a snowflake can take on its way down to your lawn mean that it is basically impossible to have two identical snowflakes. However, all six branches of a snowflake will look completely identical, since each branch will experience the same conditions during the snowflake’s fall.
Why are artificial snow particles not snowflakes?
Instead of condensing straight from water vapor, snowmakers freeze liquid water droplets into ice particles that are blown onto the slopes, creating small grains of ice that feel very much different from powdery flakes of real snow.









Yvonne Zhu
‘26





From sheep wool to a duck’s down, animal fibers have been keeping humans warm for millennia. But why are these materials still prevalent in today’s winter wear, even with the invention of cheaper synthetic fibers? Let’s investigate the science behind some of mankind’s favorite natural insulators!
Wool is one of the oldest fibers in the world, with some samples dating back to 4000-3000 BCE. Since then, the durable fiber has remained a staple in the textile industry through change and innovation. It’s no surprise: wool’s strong insulating, water-resistant, stretchy, and heat-generating properties make it the ideal material for a wide range of applications.
Starting on a microscopic level, wool fibers have a hydrophobic (water-repellant) epicuticle layer, which is then covered by a fatty acid layer. If you’ve taken biology, you’ll know that fatty acids are hydrophobic as well!
While the fibers’ exteriors are hydrophobic, the inner layers are exceptionally hygroscopic, meaning they absorb water. Wool can absorb up to 35 percent of its weight in water without feeling wet on your skin. The moisture is drawn inside the fiber, leaving less moisture on the surface.
In addition, the fibers have a crimped nature, which, when woven into fabric, enables the creation of small air pockets. These spaces filled with still air are a vital part of wool’s insulating properties. However, wool not only traps heat but also creates it! When wool fibers absorb moisture, chemical changes occur at a molecular level. Hydrogen bonds break through exothermic reactions, releasing energy in the form of heat. This process sets wool above inferior fibers like cotton: cotton dries slowly and loses its ability to insulate once wet, while wool retains insulating properties and turns unpleasant moistness into delightful warmth.
Wool’s benefits exceed far beyond its thermoregulating abilities. Wool is composed of nitrogen and sulfur, which lend the material its fire-retardant properties. While many organic fibers lack the stretch of synthetic materials, wool can stretch up to 50 percent when wet and 30 percent when dry, allowing for comfort and freedom of movement.


Another common natural fiber is down, which comes from ducks and geese. This soft layer is found under harder exterior feathers and helps birds regulate body temperature. Down is made of keratin, the same material that human nails and hair are made of. These feathers’ barb structure provides rigidity while keeping the material lightweight: the rachis, or feather shaft, is thick and sturdy, and the barbs are soft and highly compressible. Shooting off from the barbs are even smaller barbules, which help provide the complex density needed for insulation. Down works through the same mechanism as wool. The fibers create small air pockets inside densely packed materials, making space for still air that traps body heat. The vast majority of down’s volume comes from these pockets of trapped air!
Down provides far more warmth for its weight than wool, but that doesn’t mean down is always the better choice. While down’s structure makes it more lightweight and compressible than wool, the material is less durable and does not retain its insulating properties when wet. Therefore, wool and down are used for different garments and different applications. In addition, while wool is collected through shearing, down is traditionally harvested by live plucking, which inflicts immense pain on the birds but allows the regrowth of feathers for future collection. In the 21st century, animal advocates have worked to expose the cruelty of the down industry, suggesting alternatives like synthetics or cotton. Some brands have turned to ethical down - down that is harvested without forcefeeding or live-plucking. Regardless, persistent demand for down products serves as a testament to natural fibers’ irreplaceable value in the clothing industry.

Malia Humphries-Do ‘26


You’ve probably heard the famed theorem “ ” countless times in your math classes throughout the years. But why is it so special? If you aren’t familiar, the pythagorean theorem allows one to calculate the hypotenuse of a right triangle, C, by finding the square root of the sum of the other two squared sides (B and C).

Professor Stuart Anderson of Texas A&M University–Commerce explains that this foundational theorem “connects algebra and geometry… the statement. , that’s an algebraic statement. But the figure that it comes from is a geometric one.”

For centuries, mathematicians have searched for, and successfully discovered, different ways to prove this theorem, both algebraically and geometrically. For example, you may have learned this rearrangement proof in school:

As the image illustrates, by shifting around triangles with side lengths A and B and hypotenuse C, one can create a square (C^2) that is equal to the sum of two smaller squares (B^2 + A^2). To date, mathematicians have discovered over 271 proofs of the Pythagorean theorem.
But a trigonometric proof, or way of proving the theorem through trigonometry, had eluded them for centuries. In recent years, however, over five trigonometric proofs have been discovered.
Trigonometry, a branch of mathematics dedicated to the relationships between angles and side lengths of triangles, often uses the Pythagorean theorem to derive its basic identities, such as . Because so many of these trig rules are just an application of the pythagorean theorem, many mathematicians believed it impossible to prove the Pythagorean theorem with trigonometry because to do so one would have to assume the theorem to begin with, creating a circular argument.

However, using the Law of Sines*, which doesn’t depend on the Pythagorean theorem, high school seniors Ne’Kiya Jackson and Calcea Johnson developed a successful trigonometric proof in 2022, only the third of its kind and the first to be done by high schoolers. This fall, they unveiled 10 new proofs of the Pythagorean Theorem in the journal American Mathematics Monthly, including their groundbreaking trigonometric proof. But what’s perhaps most inspiring about their proof and mathematical journey is that they are, according to their teachers “typical St. Mary’s students.” When deriving this proof, Johnson and Jackson hadn’t set out to make waves: rather, they were simply hoping to enter a schoolwide mathematics contest. As their math teacher, Pamela Rogers, explains their success proves that “all students can succeed, all students can learn. It does not matter the environment that you live in.” Take a look at Jackson and Johnson’s groundbreaking proof below, and explore the rest of their mathematics journal article here.
*The Law of Sines relates the sides of the lengths of any triangle to the length of its angles. As shown below, side a is equivalent to side b times the sine of angle alpha, which is the ratio of the side opposite angle alpha to the hypotenuse in a right triangle with side lengths 90 degrees, alpha, and 180 - alpha, over the sine of angle beta, which is the ratio of the side opposite angle beta to the hypotenuse in a given right triangle.

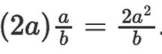
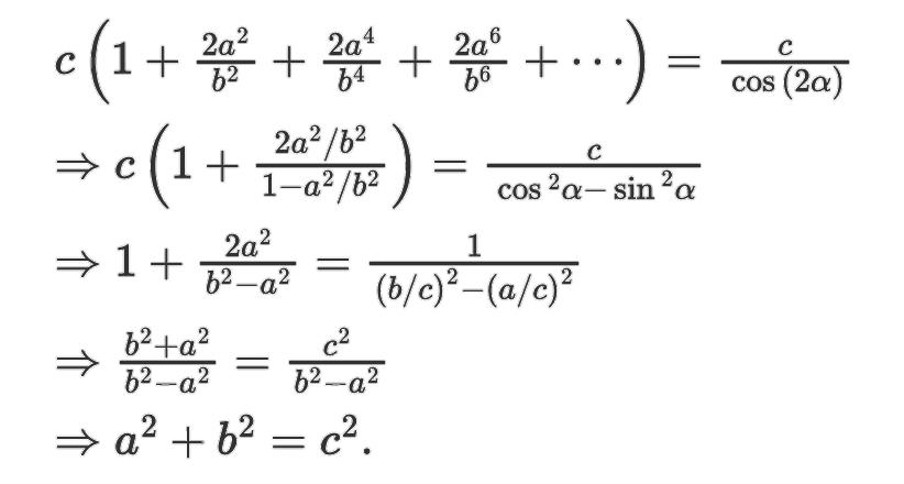
“Our first proof begins by reflecting △������ across the line ���� through A and C to create the isosceles triangle ������′. We now construct right triangle ����′�� by creating a right angle at vertex ��′ (so that ��∠����′��=90−��=��) and extending side AB to meet the new line segment at point D. We then fill △��′���� with progressively smaller and smaller scale copies of the original right triangle ABC. (Note: This is known as the “waffle cone” method!)

“Since ����′ has length 2a and is the longer leg of △��′����∼△������, the ratio of sides a:b:c shows the shorter leg BE has length . But BE is the longer leg of △������, so the hypotenuse BF of △������ has length . By construction, the shorter leg in each triangle is also the longer leg in the next triangle, which means that successive triangles have the ratio ����; but then alternate triangles have ratio a^2/b^2, so that ����=(��^2/��^2); ����=2��^4��/��^4, and ����= a^2/b^2, so that ����=(2��^6��)/b^6, etc. Thus the hypotenuse AD of right triangle ����′�� has length


In △����′�� we have cos (2��)=����′/����=��/���� and therefore ����=��/cos (2��).
We equate these two expressions for AD to find: *

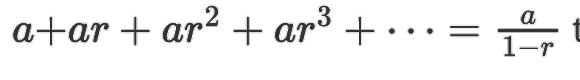
*ThisisanapplicationoftheSumofConvergentSeriesformula:

Chloe Zhu ‘27 and Gabby Burashe ‘27
Imagine entering a space where your creative freedom may run wild in a universe with unlimited colors, shapes, and patterns. Whether you envision an art studio, a museum, or an empty canvas with endless possibilities, Roblox is a platform that highlights all of these elements.
Founded in 2006, Roblox is a free online gaming platform where players can create and enter unique virtual worlds and play games in them. Roblox has an ingame currency called Robux, which you can buy with real cash. By using Robux to make purchases, users can purchase upgrades or special experiences for their avatars. As of 2024, Roblox has approximately 207 million monthly active users and 79.5 million daily users, and its popularity is still growing!
There are over 40 million games and experiences on Roblox, with popular genres including Simulation, Adventure, Obby (obstacles), Tycoon, and Role-Playing Games. Chloe’s 9-year-old brother, Ethan, is a BedWars fanatic. He explains, “Bed Wars is an action defense game where players build and protect their beds while attempting to destroy their opponents' beds. It’s a sandbox experience where you can explore, create, and try to win all at once.”

Even though Roblox games have always been popular, there’s been a recent craze around the role-playing game, Dress to Impress. The famous Roblox game provides a space where players can explore their creative freedom, and the only limit is time. Dress to Impress attracts players of all ages, from elementary to adults! Addi Hille ‘26, who has been playing for almost a year, explains “it’s the modern version of Fashion Famous.” Erin Guven ‘26 adds “it’s a way of going to fashion school without actually going to fashion school.” And most of all, Erin says, “it’s just fun!”

The popular gaming platform is commonly viewed as a source of entertainment, not education; however, a closer look at the platform can reveal its educational tools. If utilized correctly, Roblox can be educational through its exercise of creativity, usage of programming, and educational games such as “Math Obby”, and “Pathogen Patrol.” According to Gwinnett County Public Library, “Roblox introduces kids to coding and other skills needed in game development.” Roblox can be more than a gaming platform as it continues to foster its educational aspects, and it can enhance many students' academic experiences.
Many parents state that a common anxiety inducer is the safety of their children. With Roblox being a gaming site where players have restricted, but unlimited communication with one another, it can cause many fears for parental figures. Although Roblox fosters a community for players regardless of age, Roblox provides players, and parents with numerous controls and safety features without taking away from the experience. Ultimately, these measures help parents feel secure in their child’s digital safety while allowing them to enjoy the “Robloxian” experience and engage in creative and social freedom.


Click here for a list of exciting STEAM programs and internships to immerse yourself in this summer, free courses to deepen your STEAM knowledge, and competitions to showcase your talent in science and math!
A huge thank you to Mrs. King and Ms. Hassell-Lee for their help in finding available opportunities!
