











![]()












5 The key steps to correctly achieving safe isolation
6 The team at NAPIT give our reader submissions the ‘Codebreakers’ treatment
9 What is ‘breaking capacity’ in relation to three-phase supplies?
12 Dr Zzeus, Tom Brookes, answers another fire safety-related question from the field
14 The practical and regulatory challenges of installing external consumer units
16 What is ‘corridor function’ lighting and how does it work?
19 Exploring the effects of harmonics in electrical installations

2
23 An in-depth look at electrical load distribution across three phases
26 The team at NAPIT give our reader submissions the ‘Codebreakers’ treatment
28 NICEIC’s team of expert, technical engineers answer key questions from the industry
29 The verification steps necessary when replacing an electric shower in an existing premises
32 Why do you need vigilance when it comes to emergency lighting installations?
35 Discussing the significance of the IP Code and dispelling some myths about it
38 When is it necessary to use insulated tools?
40 Dr Zzeus, Tom Brookes, answers another fire safety-related question from the field
43 How to better understand insulation resistance testing
46 Examining neutral currents in there-phases systems
48 The team at NAPIT give our reader submissions the ‘Codebreakers’ treatment

4
56 The risks of using PME for outbuildings and understanding when switching to a TT system is the safer option
58 NICEIC’s team of expert, technical engineers answer key questions from the industry
59 What is the value of measuring three-phase systems?
60 The team at NAPIT give our readers submission the ‘Codebreakers’ treatment
63 Clarifying the requirements of BS 7671 for alterations and additions and the importance of carrying out a pre-assessment of the existing electrical installation prior to starting such work
66 How does the Inverse Square Law work?

51 Guidance about the methodology and interpretation of test results when undertaking earth fault loop impedance testing
68 How does smart dimming and connected lighting work?
70 Dr Zzeus, Tom Brookes, answers another fire safety-related question from the field
71 Exploring how designers can determine the maximum permitted Zs for both circuit-breakers and moulded case circuit-breakers (MCCBs)
74 The team at NAPIT give our reader submissions the ‘Codebreakers’ treatment
76 A look at the requirements for BS 8629:2019: Fire Evacuation Systems for Residential Buildings
77 The dangers of diverted neutral currents from network faults, how to detect them, and essential checks electricians must perform to ensure safety


continuing professional development (CPD) can be broadly defined as any type of learning you undertake which increases your knowledge, understanding and experiences of a subject area or role.
To help professionals to better document and prove this process, the CPD Book contains content and articles that have been checked, verified and accredited by a third-party specialist organisation.
Collectively, the content within this specially designed publication has been deemed worthy of 5 CPD credits, or 5 hours’ worth of CPD, with each individual section providing 1 credit, or 1 hours’ worth of CPD.
Once this content has been consumed, readers will have the

opportunity to scan a QR code which will provide a bespoke, downloadable certificate that can be used as part of a professional’s ongoing CPD record.
DO NOT SCAN THE QR CODE UNLESS YOU HAVE READ ALL OF THE CONTENT WITHIN EACHSECTION!
A large element of CPD involves self-certification and relies on professionals being honest about what they have actually read, consumed and digested. A QR code has been placed with the final article in each of the five learning sections within this publication and ONLY once you have read ALL of the articles within each section, should you then scan the code to receive your bespoke certificate.
By skipping any of these steps, you’re not just cheating the system, but yourself and your fellow professionals at the same time!
NEW USERS –ACCESS YOUR BESPOKE CPD CERTIFICATE IN FIVE STEPS
1. Read ALL of the content and articles included within the five sections.
2. Find the QR code with the last article in each section and scan.
3. Enter your email address.
4. Fill out your details on the contact form.
5. Download your certificate for use as part of your annual CPD record.
PREVIOUS USERS –ACCESS YOUR CPD CERTIFICATE IN FOUR STEPS
1. Read ALL of the content and articles included within the five sections.
2. Find the QR code with the last article in each section and scan.
3. Enter your name and email address.
4. Download your certificate for use as part of your annual CPD record.
All certificates are valid for one year from the issue date. If you’re having any issues with downloading your certificate or using the system, please email us at: pe@hamerville.co.uk



ADAM HARDCASTLE: THIS WAS SPOTTED ON A RECENT JOB. WHERE DO YOU EVEN BEGIN WITH THE PROBLEMS? IT ALSO HAD AN EIGHT SOCKET RADIAL FED FROM ONE OF THE SOCKETS ON THE DOWNSTAIRS RING, WITH AN AIR-CONDITIONING UNIT COMING OFF ONE OF THESE RADIAL SOCKETS WIRED WITH 0.5 MM CABLE!

The object of periodic inspection and testing is to confirm the existing electrical installation is safe for continued use, based on the assumption that the installation was compliant with the requirements of edition of BS 7671 in use at that time.
The reported issue with a ring final circuit with an unfused spur supplying eight socket-outlets and an air-conditioning unit shows a disregard for the basic design considerations. With the apparent age of the consumer unit, it is assumed that the additional eight socket-outlets were installed at a later date. Whoever undertook this work should have been aware of the requirements of ring final circuits.
With regard to a 0.5 mm2 cable supplying an AC unit, there could be no doubt that this cable is undersized and would result in overloading problems.
The use of a 40 A 100 mA RCD as a main switch would not offer any overload or additional protection for the electrical installation, although obviously installed before the current consideration of BS 7671 with regard to the potential current that could be drawn through the main switch from the rating of the connected circuit-breakers of 74 A.
Where a non-compatible circuit-breaker has been installed, this can cause operational issues within the consumer unit.





Updated for BS 7671:2018+A2:2022, NAPIT’s EICR Codebreakers publication is purpose-written to aid contractors, inspectors and clients, and now includes updates to align with Amendment 2 of the IET 18th Edition Wiring Regulations. The book is the perfect technical aid for electrical professionals and their customers.





Need help with cracking those all-important EICR codes? Every month the technical team at NAPIT will be studying your latest ‘Caught on Camera’ photos and offering advice on the next steps, should you find a similar installation. If you want the team at NAPIT to help crack your codes then send your pictures through to us at: pe@hamerville.co.uk


STEP LADDERS, TAPED OFF BREAKERS, BUT I'M GLAD HE'S WEARING A HELMET. ANY GUESSES WHAT ‘IW’ STANDS FOR? 'IDIOT WORKING' PERHAPS?
For as long as I have been in the electrical industry we have been operating a safe working procedure.
By electrical contractors continuing to undertake this unsafe working of using insulation tape as a means of SAFE ISOLATION is incredulous.
This would not normally be considered a Codebreakers feature as you would not be expecting to come across this type of situation when carrying out a periodic inspection and
testing of an electrical installation, but it would attract a C1 as there is danger present.
The whole industry campaigns on the topic of safe isolation to provide the message that the correct procedure of proving dead, locking off the means of isolation and controlling who can access the means of isolation to prevent injury and shock risk is critical.










The A2:2022 18th Edition Codebreakers publication is priced at £22.00 (members) and £24.00 (non-members). It is available in both hard copy and digital versions * Price is VAT exempt and excludes postage and packaging.






As part of a series of articles aimed at helping readers to gain a better understanding of three-phase supplies, Jake Green, Head of Technical Engagement at Scolmore Group, explores breaking capacity.
Except for the exception detailed in the second paragraph of Regulation 434.5.1, the rated short-circuit breaking capacity of each protective device shall not be less than the maximum prospective fault current at the point at which the device is installed.
This article follows on from previous discussions on three-phase and differences between single-phase and three-phase fault current and considers the nature of fault currents at those positions where protective devices are installed.
In the previous article we highlighted that fault currents fall into two categories:
● Earth fault currents, and
● Short-circuit currents (between live conductors)
❍ Line-neutral (single-phase)
❍ Line-line (two-phase)
❍ Line-line-line (Three-phase)
Care should be given as earth fault currents can be greater than short-circuits between live conductors.
Rated breaking capacity
Amongst other things, all manufacturers will include the rated short-circuit capacity (I_CS) on the protective device. They will also make available, typically on their website, the technical specification of the device.
Fig 1 from the Elucian range shows a triple-pole three-phase circuit-breaker having a rated short-circuit capacity (I_CS) of 10 kA. The same sort of detail will be included on single-pole devices.
The short-circuit current rating provides the designer/installer with the data necessary to ensure that they select a suitably rated device for the calculated/measured prospective fault current at the point of installation.
Equipment suitable for rated fault current
The level of fault current of an electrical installation is determined by the nature of the supply and Earthing arrangements. The kVA rating of the supply transformer, its percentage impedance, distance from the installation and size of cable are factors in the maximum fault current available. Regulation 434.5.1 requires that the

“The short-circuit current rating provides the designer/installer with the data necessary to ensure that they select a suitably rated device for the calculated/measured prospective fault current at the point of installation.”
rated short-circuit breaking capacity of each device shall be not less than the maximum prospective fault current at the point at which the device is installed. Consider Fig 2.
From Fig 2, at position ‘A’ it is normal for the fault current to be at its greatest value. Normally this device is supplied by the DNO and consists of a HRC fuse of some type.
Dependent on the length of cable between Position ‘A’ and Position ‘B’, the prospective fault current will fall by a certain amount. Irrespective of this reduction in fault current, the selection of protective devices should be such that they can withstand the likely fault current.
At subsequent positions ‘C’ and ‘D’ it is likely that the prospective fault current will have fallen significantly due to the length of the sub-distribution cables. It is likely at these positions that the prospective fault current will have fallen to a value below the breaking capacity of the protective devices. However, the question arises: “What happens if the prospective fault current is greater than the rated short-circuit
capacity of the protective device?”
Regulation 434.5.1 recognises this eventuality and permits a lower breaking capacity if another protective device having the necessary rated short-circuit breaking capacity is installed on the supply side.
Therefore, for example, if at Position ‘B’ the prospective fault current is 15 kA (Fig 2) and the protective devices have a rating of 10 kA, there is a clear mismatch. However, if the intake device is a HRC fuse having a breaking capacity of 50 kA, an MCB having a breaking capacity of 10 kA may be installed (lower than the 15 kA) because the HRC fuse has sufficient breaking capacity (434.5.1).
Where this condition exists, a further check must be made to ensure that the characteristics of the devices are coordinated so that the energy let through (I 2 t) does not exceed that which can be withstood by the downstream device(s). More in-depth information on this will be available as part of our ongoing series of Elucian three-phase articles.
“Dependent on the length of cable between Position ‘A’ and Position ‘B’, the prospective fault current will fall by a certain amount.”
Conclusion
When designing electrical installations it is important to assess the prospective fault current and ensure compliance with Regulation 434.5.1 as it relates to the characteristics of fault current protective devices.




IN THIS REGULAR COLUMN, DR. TOM BROOKES, MD AT ZZEUS TRAINING AND CHAIRMAN OF THE BSI TECHNICAL COMMITTEE FSH 12/1
INSTALLATION AND SERVICING, ANSWERS YOUR QUESTIONS RELATED TO FIRE SAFETY. HERE HE TAKES A MORE DETAILED LOOK AT THE KEY CHANGES THAT HAVE NOW BEEN CONFIRMED WITH THE LATEST UPDATE TO BS 5839-1:2025.

Do you have a list of what’s new or changed in the latest BS 5839-1:2025 for installers?
This is not a total list, but some of the highlights from the new standard include:
Fire alarm mains cable must be red. Clause 25.3 and 25.4
“The control panel time must be checked and corrected at every maintenance visit. This is something that is commonly missed...”
Grey or white cable (including twin and earth) is no longer acceptable. Use the red cable only for all fire alarm mains supplies.
Flexible maintenance intervals. Clause 43.2.1
Routine service intervals are scheduled every six months, with an allowable range of five to seven months. Anything exceeding seven months will be classed as non-compliant.
Clock adjustment is now mandatory. Clause 43.2.10
The control panel time must be checked and corrected at every maintenance visit. This is something that is commonly missed, especially after power cuts or DTS changes.
All variations must be recorded. Clause 6.5
Any departure from the recommendations of BS 5839-1 must be clearly recorded in the fire alarm system log book, with full justification. This ensures transparency and supports future maintenance or investigations.
Variations that are not permitted. Clause 6.6
Some things cannot be "varied" — even with agreement. BS 5839-1:2025 is clear that the following are too dangerous to accept:
1. No zone chart = non-compliant
A zone chart is mandatory if a building has more than one zone on a floor, especially in places where people sleep. No
“The Competent Person clause has changed to a person suitably trained and qualified by knowledge and practical experience, and provided with the necessary instructions to enable the required task(s) to be carried out correctly.”
chart means no compliance, end of story.
2. No link to Alarm Receiving Centre (ARC) in key residential settings
If the site is:
a) Supported housing (that requires a Grade A system under BS 5839-6), or b) A residential care home
The system must be linked to an Alarm Receiving Centre (ARC). You cannot skip this as a“variation” as it directly risks lives.
Interfaces and isolators must be accessible. Clause 22.1.2 All interfaces must be visible and testable. They can no longer be hidden in lift controls, risers, or behind ceiling tiles.
Redundant devices must be fully removed. Clause 46.1.7 Old or decommissioned call points, detectors, or wiring must not be left in place or simply labelled "out of use."
Functional earth must be marked pink. Clause 28.2
Where a functional earth (FE) is used, it must be identified with pink sleeving or marked “FE” as per BS 7671 Table 51.
Smoke detection is now required at the top of lift shafts in L4 systems. Clause 21.1.3b
L4 designs must now include a detector at the top of lift shafts or flue-like structures.
Battery replacement dates can now be written directly on the battery. Clause 24.3.3 This confirms it’s now acceptable to use a permanent marker to write the battery install date directly onto the battery itself, as an alternative to a label.
Ongoing CPD is now expected for all engineers. Clause 3.13
The Competent Person clause has changed to a person suitably trained and qualified by knowledge and practical experience, and provided with the necessary instructions to enable the required task(s) to
be carried out correctly. Engineers and technicians must show evidence of regular training and up-to-date knowledge of system types.
L2 system design now includes sleeping risk areas. Clause 4.b.2 & Clause 20.2c The definition of L2 has been expanded to include sleeping areas in designs, in addition to escape routes and high-risk rooms.
Additionally, heat detectors should not be used in areas where the production of smoke could threaten occupants before it is likely to be detected by people or heat detection.
Note 3 explains: ‘These rooms normally include all rooms designed as sleeping accommodation’

DO YOU HAVE A QUESTION YOU'D LIKE ANSWERED? EMAIL YOUR QUERIES TO: TOM@ZZEUS.ORG.UK

GET MORE DETAILS ABOUT ZZEUS TRAINING AND THE RANGE OF COURSES ON OFFER AT: WWW.RDR.LINK/EBP015
Andrew Duffen, Technical Commercial Engineer at NAPIT, explores the practical and regulatory challenges of installing external consumer units, highlighting compliance requirements, environmental risks and safety considerations.
Installing a new circuit for Electric Vehicle Supply Equipment (EVSE) to an existing consumer unit may seem simple but could prove quite difficult in reality. For instance, the current unit might lack spare capacity, requiring an upgrade to a larger size or the installation of a separate consumer unit. However, space constraints may complicate these solutions, requiring alternative approaches.
With many residential properties in the UK now having external meter cabinets, some installers may consider installing a consumer unit for EVSE inside these locations. The Energy Networks Association (ENA), the body representing energy networks in the UK and Ireland, advises against this:
“While the meter cabinet is the customer’s, it is a space designed for electricity industry apparatus only. For safety reasons, we do not recommend installing any internal wiring, including a consumer unit, within the cabinet.”
NAPIT strongly discourages electrical contractors from using meter cabinets for additional equipment, as shown in Fig 1
What are external consumer units?
In the residential setting, external consumer units installed for electric vehicle (EV) charging points are becoming more common.
With the race to achieve net-zero and the demand for electric vehicles, designers and installers are under increased pressure to install various renewable technologies such as heat pumps, Solar Photovoltaic (PV) and Electrical Energy Storage Systems (EESS).
External consumer units, also known as EV distribution boards or dedicated EV consumer units, are designed to handle the EV-specific needs, providing an
isolated circuit for an EVSE, see Fig 2
The installation of an external consumer unit is seen as a viable alternative, where they are generally installed adjacent to the meter cabinet as displayed in Fig 3
Key design and installation considerations
External consumer units installed in residential settings must meet the BS EN 61439 series Standards, specifically BS EN 61439-3, which covers low-voltage switchgear and control gear assemblies for distribution boards designed for operation by non-specialised individuals (DBOs).
Proper design and installation are critical. Poorly installed units could result in non-compliances with BS 7671 Standards and Electricity at Work Regulations, leading to safety hazards.
When designing and installing external consumer units, ensure compliance with Standards and address the following:
1) Environmental factors:
● Weather conditions, temperature fluctuations and sun exposure
● Corrosive and pollutive elements

(e.g. coastal air with high salt levels)
● Condensation risks
2) Safety measures:
● Protect against tampering and unauthorised access
● Ensure circuit ratings align with BS EN 61439-3 Standards
● Impact protection
● Protective multiple earthing (PME) supply considerations
● Regular maintenance to address wear and tear
Further considerations are safety and security, as an external consumer unit is typically installed in locations where the owner or tenant cannot control access; it is essential to implement measures to prevent unauthorised access to the unit, see Fig 4
Environmental risks
Even with IP-rated enclosures, external consumer units face exposure to environmental risks, including water ingress, temperature changes and condensation. These factors can reduce performance and lifespan of some components, making regular inspections essential.


Strong winds and heavy rain are becoming more common in the UK, and these can breach the most robust of seals. Condensation will also pose a problem with these external consumer units, by affecting the creepage and clearance distance factors of the installed devices.
The condensation arising inside the external consumer unit, would eventually cause corrosion to the metallic parts. An example of this is shown in Fig 5 Modifying external consumer units to address such risks is not recommended unless the installer takes full responsibility for compliance of the altered units.
Electricians performing Electrical Installation Condition Reports (EICRs) will encounter various enclosures.
It is essential to distinguish between enclosures that have been pre-assembled by the manufacturer and those that may

have been put together independently using empty enclosures and individual devices. This distinction is crucial because the rated current of a manufacturer-confirmed assembly may differ from the marked ratings on the individual devices.
Additionally, different devices can have varying heating effects. Therefore, it is essential that a manufacturer has confirmed the assembly meets the Standards set by BS EN 61439-3.
A potential issue with external consumer units is that they may not be inspected and tested at appropriate intervals. This can result in a failure of the ingress protection rating, due to wear and tear or damage.
Over time, this could cause the metallic enclosure to deteriorate, increasing the risk of electric shocks to users. Regular maintenance and testing are essential to ensure safety compliance with safety Standards.

The EVSE market is highly competitive, and designers and installers face growing pressure to meet net-zero demands while keeping installation costs competitive.
However, when installing external CUs, it’s crucial to consider potential environmental factors, such as direct sunlight, which can heat the unit beyond what the manufacturer verified. To ensure the declared IP rating is met, installers should follow best practices such as:
● Bottom entry for suitable glands
● Ensure the unit is mounted flat and level and secure fixed
● Apply appropriate sealants
Adding an additional enclosure can provide extra protection against weather conditions and impacts, and enhancing safety for end users, especially when operating protective devices in wet environments.
It’s important to note that the supplier’s cut-out (fuse) offers limited protection against risks such as electric shock, impact damage and condensation. These factors are particularly crucial to consider.
NAPIT would consider the installation of external consumer units as the last resort, only considered after exploring all other design options. While cost considerations often drive decisions, safety and compliance must remain the top priorities in any installation.
This article aims to highlight the key factors to consider when installing an external consumer unit, ensuring both safety and compliance are at the forefront of design and installation.


“Why are these lights always on?!” It’s a familiar complaint –usually from the person footing the energy bill. They’ll mutter it under their breath while passive-aggressively marching around switching lights off, hoping someone takes the hint. But in some spaces, lights can’t just be off. Whether it’s for safety, security, or peace of mind, a simple on/off setup just doesn’t cut it. That’s exactly where the nifty corridor function comes into its own.
What is ‘corridor function’?
Corridor function –sometimes referred to as three-step dimming –is a feature that allows light sources to automatically adjust light levels based on occupancy. It works by combining a sensor with a built-in dimming function in the light source.
When movement is detected, the light switches to full brightness. After a set period of no activity, it dims to a lower level (e.g. 10–50%) rather than turning off completely, maintaining safety while saving energy. If there’s still no movement after a longer period, the light can either remain dimmed or switch off completely.
Microwave sensors for corridor function
Microwave sensors are ideal for corridor function, offering wide coverage and high sensitivity. They work by emitting high-frequency waves and detecting changes in the reflected signal to sense motion –even through glass, doors, or around corners. This makes them perfect for longer corridors, enclosed areas, or
spaces with obstructions.
For example, ROBUS’s HARBOUR EXPRESS LED corrosion-proof fitting has a plug-in microwave sensor accessory featuring three-step dimming and on/off functionality to deliver great energy savings.
Energy savings, better safety and longer-lasting
So, what are the benefits? Firstly, corridor function cuts energy use by dimming or switching off lights when no one’s around, saving up to 60% compared to always-on
The experts at ROBUS explain what ‘corridor function’ is, how it works and why it can be used to slash your customers’ energy use.
lighting. But it doesn’t leave people in the dark! Low-level background lighting stays on, keeping spaces like stairwells and walkways safe and comfortable.
With the corridor function, the light sources aren’t blasting full power all the time, therefore they last longer which means fewer callouts and replacements.
Working on a project with compliance boxes to tick? Corridor function helps meet building safety standards, especially for communal areas where lighting can’t just go off.

Where should corridor function be applied?
There are many use cases for the corridor function in residential, commercial, and industrial settings. Here are just a few examples to give you an idea:
Stairwells in apartment blocks and landlord areas
Lighting stays dim when empty but brightens instantly when someone enters, keeping residents safe without wasting energy.
Safety in care homes
Supports responsive and safe care. Ideal for night-time checks, giving carers just enough light without disturbing sleeping residents, while also reducing the risk of trips and falls,
School corridors after hours
Provides low-level lighting for cleaners and caretakers, then switches off completely overnight to save energy.
Underground car parks
Maintains a safe, well-lit feel with standby dimming, while cutting power use when no vehicles or people are present.
How to install a corridor function
Corridor function is either built into the light source already or, where

compatible, can be added as an accessory.
For example, with ROBUS’s new SPEEDBEAM EXPRESS LED batten range, the modular design allows you to simply plug-in the microwave sensor accessory, which features both on/off switch and corridor function.
Settings like brightness levels, time delays, and fade times are usually adjustable via DIP switches or a dial rotary. SPEEDBEAM EXPRESS has gone with a dip switch design for reliable, tamper-resistant control that's easy to replicate across multiple light sources.
Once set, the switches stay fixed, unlike dials, which can be accidentally knocked or misaligned during installation
or maintenance. DIP switches also allow for clear, consistent configuration, making them ideal for large projects where uniformity is key.
Take control of corridor lighting
Corridor function is a simple yet powerful way to boost energy efficiency, enhance safety, and extend the life of light sources without overcomplicating the installation. Whether you're working on an apartment block, car park, or school hallway, it’s a feature that ticks all the boxes.

BROWSE OR DOWNLOAD THE LATEST ROBUS LIGHTING CATALOGUE AT: WWW.RDR.LINK/EBP016



The requirements of BS 7671 include several regulations relating to harmonic currents present in an electrical installation. This article from the experts at NICEIC describes what harmonic currents are, the type of electrical loads that create them, the effect they have on the root mean square (rms) value of current and the impact they have upon the electrical system.
Sources of harmonic currents
Within an electrical installation there are generally two types of loads used while connected to an AC supply:
● Linear loads –such as resistive heating, wire-wound transformers and electric motors,
● Non-linear loads –such as variable
frequency drives (VFD), some discharge lighting, LED drivers, uninterruptible power supplies (UPS) and switch mode power supplies.
The non-linear loads are responsible for creating distortion of the supply AC waveform. Fig 1 shows an example of a typical arrangement of linear and non-linear

loads connected within a large installation. The summation of all the harmonic currents appearing on the network via the common busbar (see Fig 1) can lead to a number of unwanted effects causing interference both on the supply and within the installation, including:
● overheating of windings in, motors, transformers and chokes due to increased iron losses,
● additional current causing overloading of the neutral conductor in three-phase circuits due to triplen harmonics,
● unexpected operation of circuit-breakers and RCDs,
● premature failure of power factor correction capacitors due to increased stressing,
● rectifier type instruments failing to indicate true rms values, and
● the increased risk of damage and interference with communication circuits and equipment.
What are harmonics?
To understand the causes of harmonics we first need to consider the current flowing in


AC systems.
If we connect a resistive (linear) load to a supply having a sinusoidal voltage waveform then the resultant current will be a sine wave in phase with the voltage (see Fig 2(b))
However, even though a load is connected to a sinusoidal voltage, the resultant current sine wave is not necessarily sinusoidal. In practice many of the commonly used loads, as previously


1 Resistors are often used in place of inductors for low current applications and similarly, capacitors may also be used to further smooth a rectified voltage.
2 Harmonics other than those detailed in Fig 4 may also be present.

mentioned, generally include electronics and have a non-linear current/voltage relationship and therefore take a non-sinusoidal current from the supply.
An example of this is a 230 V AC source used to supply a large current load via a bridge rectifier and a large inductive filter connected in series with the load (see Fig 3(a)). The bridge rectifier would typically invert the negative half cycles of the input voltage.
While the inductive filter will offer a high resistance to the AC component after rectification and will therefore oppose any of the remaining AC ripple in the load current to produce a smooth DC current1. If the ratio of inductance to resistance (L/R) on the DC side of the rectifier is very large, the current taken from the supply forms a rectangular wave and is in phase with the supply voltage, as shown in Fig 3(b)
Although the example shown in Fig 3 is somewhat exaggerated, it is convenient to use this rectangular current waveform methodology as a basis for discussion.
Harmonic currents may be considered as sinusoidal currents operating at different frequencies and subsequently with a reduction in magnitude.
When combined they construct a distorted non-sinusoidal and complex waveform such as that representing for
example a rectangle, triangle or saw-tooth. Such complex waveforms consist of whole multiples of the fundamental frequency at which the supply system is designed to operate.
For example, for a typical fundamental frequency of 50 Hz, then the 3rd harmonic will be at 150 Hz, the 5th will be at 250 Hz, and so on.
Note: This article only considers odd numbered harmonics, as even numbered harmonics such as the 2nd at 100 Hz, the 4th at 200 Hz and so on, are generally rare in AC circuits. However, where they do exist there is a minimum effect as the harmonic’s ‘swing’ equally in both the positive and negative cycles and in effect cancel out.
Fig 4 shows the effect the presence of harmonics has on the fundamental sine wave. The complex distorted wave shown is the sum of all the sine waves from the fundamental up to the 9th harmonic.
The resultant complex waveform may be considered as electromagnetic interference (EMI) created by such non-linear loads. Section 444 of BS 7671 provides the requirements and recommendations to enable the avoidance and reduction of such electromagnetic disturbances that may otherwise lead to disturbances in
information communication and technology (ICT) systems, or cause damage to sensitive electronic equipment.
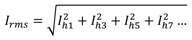
Whenever non-linear loads are connected, circulating harmonic currents are produced increasing the overall rms value.
The resultant circuit rms current, as shown in Fig 4, can be found using:


Where: is the rms value of current at the various harmonic frequencies
A mathematical technique known as Fourier analysis, although outside the scope of this article, can be applied to an electrical network which allows a regular repetitive waveform to be broken down into its constituent harmonics.
However, for convenience and accurate measurement of neutral currents, power quality analysing equipment may be used to determine the impact of harmonic content within an installation.
It can be shown using such analysis that a rectangular wave (see Fig 3(b)) is made up of a sine wave at the fundamental frequency plus a series of odd harmonics, consisting of the 3rd, 5th,

7th, 9th, and so on, and conversely, with a reduction in amplitudes of 1/3 times that of the fundamental for the 3rd harmonic, and 1/5 times for the 5th harmonic, and so on.
Fig 5 shows the situation where the resultant green waveform is derived from a 3rd harmonic (yellow) with an amplitude of 1/3 of the fundamental added to the fundamental waveform (grey).
As shown in Fig 6, adding further harmonics, the red waveform is derived from the 5th (purple), 7th (orange) and 9th (light blue) waveforms. As such, the red complex wave is approaching the shape of a rectangular waveform, as shown

previously in Fig 3(b)
Adding an increased number of odd harmonics in accordance with the above series strategy would produce an infinitely closer approximation to that of the rectangular wave as seen in Fig 3(b)
Note: the higher the order of a harmonic the smaller its influence. Once we approach the 25th harmonic the subsequent effects become insignificant in electrical systems.
Summary
This article discussed harmonic currents, what they are, and the types of electrical loads that create them. Also considered was the summation of harmonics, the effect on the current rms value and the consequences upon the electrical system within an installation.
SECTION 1 ENDS! SCAN THE QR CODE TO CLAIM YOUR CPD CREDIT FOR THIS SECTION OR VISIT: WWW.RDR.LINK/ EBP017



In this latest part of a series of articles, aimed at helping readers to gain a better understanding of three-phase supplies, Jake Green, Head of Technical Engagement at Scolmore Group, takes a closer look at electrical load distribution across three phases.
Balancing electrical loads across three phases is crucial to the safe, efficient, and reliable operation of everything from industrial machinery to commercial buildings and residential complexes. Understanding how to properly distribute loads across three-phase systems is essential for design engineers.
This article considers the principles, significance, methods, and best practices for balancing loads in three-phase electrical systems.
It will also explore the consequences of imbalance, the technologies available for monitoring and correcting issues, and the practicalities involved in real-world applications.
Understanding three-phase power systems
Three-phase power is favoured for its efficiency in delivering large amounts of power and providing a reliable supply. In a three-phase system, electrical current is distributed over three conductors, each carrying an alternating current (AC) of the same frequency and voltage amplitude but offset in phase by 120 degrees.
In the UK the three phases are labelled as Brown (L1), Black (L2), and Grey (L3). Power is typically supplied as a three-phase, four-wire system (where a neutral wire is also present), but can also be supplied as a three-phase, three-wire system (without a distributed neutral).
The advantages of three-phase power include:
● Consistent power delivery: The power delivered by a three-phase system is more constant, reducing pulsations and enabling smoother operation of motors and equipment.
● Reduced conductor material: For the same amount of power, three-phase systems use less conductor material than single-phase systems.
● Greater efficiency: Equipment designed for three-phase systems tends to be more efficient and powerful than their single-phase counterparts.
What does load balancing mean?
Load balancing in a three-phase system refers to the even distribution
of electrical load (the power demand from devices and systems) across all three phases. Ideally, each phase should carry the same amount of current at the same power factor, resulting in a balanced system.
Perfect balance is rarely achieved due to the varying demands of different equipment, but getting as close to balance as possible is important for the following reasons:
Efficiency
Balanced loads make full use of the available power, reducing losses in the system.
Safety
Imbalance can cause excessive heating in conductors and equipment, increasing the risk of fire or failure.
Equipment longevity
Persistent imbalance stresses transformers, generators, and motors, reducing their lifespan.
Voltage stability
A balanced system maintains voltage levels more consistently across all phases.

Causes of load imbalance
Load imbalance can stem from multiple factors:
● Distribution of single-phase loads: Most commercial and residential loads are single-phase, such as lighting and small appliances, which may be connected unevenly across the three phases.
● Uneven industrial processes: Machinery and industrial equipment with varying power requirements can create imbalances.
● System alteration or addition: As new loads are added or changed
over time, careful planning is necessary to maintain balance.
● Faulty equipment: Malfunctioning equipment can dramatically shift the load on one phase.
Where an unbalanced load is likely to exist, it is essential that a distributed neutral is provided since a neutral current will be created. The value of neutral current will depend on the imbalance and the associated power factors and triplen harmonics within the system.
Triplen harmonics will be considered in a subsequent article. However, under certain instances the current flow in the neutral can exceed that in the line conductors.
There are a range of options for load balancing beyond those highlighted here, involving more complex systems. However, when starting out careful consideration should be given to:
1. Planning and system design
The foundation for load balancing is laid during the design phase. By analysing the anticipated loads and their connection points, designers can plan circuits such that the expected demands are evenly distributed across all three phases.
2. Circuit distribution
Electricians should ensure that single-phase circuits (such as those supplying lighting or standard outlets) are allocated as evenly as possible across the three phases in distribution boards.
Best practices for load balancing
Design for flexibility
Anticipate changes in load and provide capacity for adjustments.
Label circuits clearly
Proper labelling in distribution panels assists in future troubleshooting and load shifting.
Regular audits
Encourage the client to undertake routine inspections and load measurements.
Incorporate technology
Use smart meters and monitoring systems for real-time data and alerts.
Educate staff
Ensure maintenance and operations personnel understand the importance and methods of load balancing.
Challenges and future directions
While balancing loads is relatively straightforward, real-world factors present challenges, including:
● Changing demands: Occupancy patterns, equipment use, and seasonal changes can all shift loads unpredictably.
● Distributed energy resources: The integration of solar PV and other renewables may introduce new sources of imbalance if not carefully managed.
● Increased complexity: As buildings and factories become more interconnected and automated, tracking and adjusting loads requires increasingly sophisticated systems.
Conclusion
Balancing electrical loads across three phases is both an art and a science, requiring careful planning, monitoring, and a proactive approach to maintenance and system design. The benefits –increased efficiency, extended equipment life, improved safety and operational reliability, and reduced neutral current –are well worth the effort.




It is not uncommon for a job that initially appears straightforward to evolve into a significantly more complex and challenging installation.
There are a few things going on within this installation, but the first point I would make is the proposed work of an additional fused connection unit for the heating engineer should not proceed until an EICR is carried out to see if the electrical installation is safe for continued service.
One of the potential issues would be the service cut-out fuse which looks like a cast iron model and potentially double pole fusing. There also seems to be a gap in the top of the service cut-out allowing access to live parts and it also looks like it is unsealed.
I can only assume the cover of the consumer unit was not fitted due to the connection of the PVC twin and earth cable at the front of the unit, which again is allowing access to live parts.
With the build-up of dust within the bottom of the consumer unit this has clearly been in a dangerous condition for quite some time.



When discovering this type of installation whilst carrying out alterations, additions or a periodic inspection and testing of an electrical installation, it would attract a C1 as there is danger present.



Updated for BS 7671:2018+A2:2022, NAPIT’s EICR Codebreakers publication is purpose-written to aid contractors, inspectors and clients, and now includes updates to align with Amendment 2 of the IET 18th Edition Wiring Regulations. The book is the perfect technical aid for electrical professionals and their customers.





Need help with cracking those all-important EICR codes? Every month the technical team at NAPIT will be studying your latest ‘Caught on Camera’ photos and offering advice on the next steps, should you find a similar installation. If you want the team at NAPIT to help crack your codes then send your pictures through to us at: pe@hamerville.co.uk


Often within this industry we come across a DIYer who enthusiastically connects light fittings that they have purchased and we will often have to carry out remedial works afterwards.
In the case of this light fitting it does leave one almost speechless and the usual first thought of ‘just why?’
During the EICR we must consider product standards and any electrical equipment must meet either British or harmonised standards –a UKCE or a CE mark –or the designer would have needed to have declared a departure from BS 7671 and that it was no less safe in terms of complying with those standards.
Obviously, this light fitting does not meet any standards at all. It has several issues associated to it, with access to live parts being one of them.
This would lead to a C1 classification, as there is danger present .








The A2:2022 18th Edition Codebreakers publication is priced at £22.00 (members) and £24.00 (non-members). It is available in both hard copy and digital versions * Price is VAT exempt and excludes postage and packaging.

ORDER YOUR COPY OF NAPIT CODEBREAKERS BY VISITING: WWW.RDR.LINK/EBQ007




Each month, our team of expert, technical engineers answer essential questions
NICEIC’s team of expert, technical engineers answer essential questions from NICEIC-certified businesses. Here are a few of the latest queries.
How quickly will a 6 A rated BS EN 60898 Type B circuit-breaker operate under a fault current of 20 A? 30 seconds
Q We are working in a domestic apartment block and have been questioned over the types of cable supports that we have installed. Within the communal area where a suspended ceiling is to be installed, we have supported the cables using steel ties to a cable tray system. Within the individual
If we look at Figure 3A4 in Appendix 3 of BS 7671, we can see the time curve for Type B circuit-breakers to BS EN 69898 and RCDs to BS EN 61009-1.

By reading “up” from the 20 A prospective current on the horizontal axis until it intersects with the curve for a 6 A device, and then reading “across” from the point of intersection, we can see that it meets the vertical axis at 30 seconds.
(Note: it was one of those “light-bulb” moments when it was explained to us that a 6 A circuit-breaker does not operate instantaneously when the current exceeds 6 A! In fact, a 6 A circuit-breaker will not operate at all until the current exceeds approximately 1.45 times the nominal rating, i.e. 1.45 x 6 A = 8.7 A).
What is the true power if the current is 20 A, the voltage is 230 V and the load results in a phase angle between them of 10 degrees?
Q We have been asked to install some additional lighting on existing circuits within a school. All of the additional lighting will be installed using surface-mounted conduit. However, the existing circuits that we are extending are wired using thermoplastic insulated and sheathed cables buried in the walls. Do we need to upgrade the circuits to include additional protection?
4,530 Watts
The formula for single-phase power (referred to as ‘True Power’) is: P = V × I × cos(phase angle) where P = Power in Watts V = Voltage in Volts
I = Current in Amperes
And the phase angle is the angular difference in degrees between voltage and current.
A The alterations/additions that you are undertaking on the existing circuit(s) would need to meet the requirements of BS 7671 (641.5).
Therefore, in our question that would be:
P = 230 × 20 × cos(10°)
P = 230 × 20 × 0.9848
P = 4,530 Watts
If you did not consider the phase angle and simply multiplied the voltage by the current, this is referred to as Apparent Power, and has the units of Volt Amperes (VA).
Apparent Power = V × I
Apparent Power = 230 × 20
However, this would not necessarily require the existing circuit to be upgraded, provided that there in accordance with
Apparent Power = 4,600 VA
And we can calculate the Power Factor using the formula:

The Power Factor has no units and will always be between zero (0) and one (1).
If you are an NICEICfor convenient CPD resources, scan the QR


This article from the experts at NICEIC outlines the verification steps necessary when replacing an electric shower in an existing premises. It considers the assessment of the existing installation prior to work commencing, the assessment of current-carrying capacity taking into account ambient installation conditions and the selection of a suitably rated replacement unit.
Prior to additions and alterations being made to an electrical circuit it is necessary to determine whether the installation is suitable for the alteration, as outlined in regulation 132.16.
Thereafter, an assessment should be made to determine, so far as is reasonably practicable, the current capacity of the installed cable based on its uncorrected current rating (It) after the application of any relevant correction factors for ambient conditions such as grouping with other circuits (Cg) and presence of thermal insulation.
This check is essential, as the original design parameters may no longer apply, increasingly, any such original design considerations may have been compromised by the addition of extra thermal insulation placed over the conductors.
Having determined the current-carrying capacity for the cable in its as installed condition (Iz), a suitably rated replacement shower unit can be obtained and fitted.
Electric showers come in a variety of ratings, usually given in the unit of power; Watts, or kilowatts (kW).
Generally, the available ratings are between 7.5 kW and 10.8 kW.
Historically, however, electric showers were only available towards the lower end of these ratings, which can lead to an incompatible shower being installed when replacing a dated shower and using a ‘one size fits all’ approach. This can result in overloading of the cable and circuit accessories, potentially leading to a fire hazard.
Reverification of the circuit
When replacing a shower, a simple verification process should be carried out to ensure the circuit is suitable for the altered load. The steps for this are detailed within this article for the following scenario:
A new electric shower is to be installed to an existing circuit. The client has supplied a 9 kW rated shower, which is to replace a faulty 7.5 kW device.
The cable serving the shower is a ‘twin and earth’ type with 6.0 mm2 live conductors and a 2.5 mm2 circuit protective conductor (cpc).
The circuit is protected by a 32 A circuit breaker to BS EN 60898, and a 30 mA Type AC residual current device (RCD) to BS EN 61008-1. The measured voltage at the shower position is 245 V.
“Historically, however, electric showers were only available towards the lower end of these ratings, which can lead to an incompatible shower being installed when replacing a dated shower and using a ‘one size fits all’ approach.”
The most detrimental part of the cable run is through the loft, where the cable is covered by 100 mm of thermal insulation for several metres (installation method 100). The cable is not grouped with other circuits and no other rating factors apply. A 40 A double pole isolator is located outside of the bathroom.
(i) Determine the design current rating of the new shower (Ib) Shower manufacturers will declare the
“The current demand of an electric shower is proportional to the voltage of the installation. This is something that should not be overlooked, as it may be the difference between a compliant and non-compliant design.”


power rating of their devices; the rating is generally provided at two nominal voltages, 230 V and 240 V. The different voltages yield different power ratings. This is due to the fixed resistance of a shower. An example of a rating that comes within the manufacturer’s instructions is reproduced as Fig 1.
As the shower is a resistive load, the higher the voltage, the greater the current demand. The designer must consider the actual voltage at the point of installation. The tolerance for a 230 V nominal supply is -6 % + 10%, which is a range of 216 V to 253 V.
Without prior knowledge of the voltage, the designer should assume a voltage at the upper range of the scale. When using
measured values, the designer must consider that voltage varies depending on the load of the network.
An effective way to obtain the design current is to first determine the resistance of the shower as shown below:

With the resistance known, the current can be found with the known voltage of the installation. Equation 2 determines this to be 38.28 A

If 230 V was used to determine the current of the proposed 9 kW shower, the current demand would be 35.9 A. The shower being replaced that is rated at 7.5 kW had a current demand of 31.9 A at 245 V.
(ii) Determine the current carrying capacity of the cable (Iz)
To determine the current-carrying capacity of the cable (Iz), the tabulated value of current (It) is first required. This is then adjusted due to any correction factors that may apply to the circuit.
Appendix 4 of BS 7671 contains tabulated values of current-carrying capacity, and the correction factors that may be applied to these values.
Table 4D5 from BS 7671 , reproduced as Fig 2 gives current-carrying capacities for PVC insulated and sheathed flat ‘twin/three-core and earth’ type cables.
From Fig 2 , the tabulated current rating (I t) of insulated and sheathed flat cable having 6.0 mm 2 live conductors using Method 100 is 34 A.
To determine the cable’s current carrying capacity (I z), the relevant correction factors shall be applied to this value, although as there are no correction factors to apply for this scenario, I z equals I t

(iii) Ensure coordination between the load (Ib), the protective device (In), and the cable (Iz).
The requirements of indents (i) and (ii) of regulation 433.1.1, which is condensed into the expression shown below, shall be met to ensure the cable is suitably protected against overload.

Where:
Ib = design current
In = Current rating of protective device
Iz = Cable current carrying capacity
The current values from the scenario can now be inserted into the expression:

The existing circuit-breaker and cable are not suitable for the proposed load. Equation 4 shows the load current is greater than the protective device and the cable rating.
Regulation 433.1 states: “Every circuit shall be designed so that a small overload of long duration is unlikely to occur.”
Installing the proposed shower on the existing circuit would result in the
cable being subjected to sustained overload.
As the protective device would take longer to operate under such overload conditions, over time the cumulative thermal stress may potentially damage the cable, isolator, circuit-breaker and shower, leading to a potential fire hazard.
To satisfy the requirements of BS 7671, circuit upgrades will be required to accommodate the new shower. Alternatively, the client may decide to replace the shower with one of the same rating or lower.
Using the power rating of the existing faulty 7.5 kW shower, the requirements of BS 7671 are met.

A simple method to determine the maximum power rating of the replacement electric shower, without the need to upgrade the circuit, is to multiply the circuit breaker rating by the phase voltage as shown in Equation 6.

It may not always be the case that the existing circuit satisfies BS 7671 . It is possible the existing circuit may be found to be non-compliant. A common example of this is where an additional layer of thermal insulation has been installed within the loft, further covering the cable.
This can change the installation method from 100 to 101, which reduces the current-carrying capacity of the cable by approximately 20%.
verification
The article, up to this point, has focused on ensuring that the current-carrying capacity of the circuit is suitable for the new load. Further checks are required to ensure that the circuit is in a satisfactory condition for continued use.
These further checks include inspections of the existing circuit to ensure it has been operating correctly with the existing shower. These inspections would include checking the circuit-breaker, circuit accessories, and cable terminations for signs of thermal damage.
Testing will supplement these inspections to ensure the requirements of automatic disconnection of supply and additional protection are met. Voltage drop verification for long circuits should also be considered.
When replacing an electric shower, the person responsible for undertaking the proposed work should ensure that the existing circuit meets the necessary requirements of BS 7671 before making an addition or alteration, and in particular, ensuring that the circuit has sufficient capacity for the proposed replacement shower.
The current demand of an electric shower is proportional to the voltage of the installation. This is something that should not be overlooked, as it may be the difference between a compliant and non-compliant design.
Additionally, the inspector may find during checks that the circuit is not suitable for the existing load. This can be due to energy efficiency measures that have been carried out after the original installation, such as the installation of additional loft insulation.

Gary Tomlin, former electrician and Technical Sales Manager at Channel, emphasises the need for vigilance when it comes to emergency lighting installations.
In the world of building safety, few systems are as critical –and as misunderstood –as emergency lighting. Contractors, wholesalers, and specifiers must therefore be vigilant against misinformation that circulates in the industry, particularly when it comes to compliance.
Emergency lighting isn’t just a best practice; it is a legal requirement in the UK, governed by strict standards that determine how, where, and what type of lighting must be installed. Ignoring these regulations can lead to serious consequences, both in terms of safety and liability.
The legal framework: BS 5266 and UK law
The cornerstone of emergency lighting compliance in the UK is the British Standard BS 5266-1, which outlines the
design, installation, and maintenance requirements for emergency lighting systems. This standard is referenced in UK building regulations and fire safety legislation, making it a legal obligation for most premises –including commercial buildings, care homes, hospitals, schools, and offices.
BS 5266 mandates that emergency lighting must automatically activate in the event of a power failure, providing sufficient illumination to enable safe evacuation. It applies to escape routes, open areas, high-risk task areas, and locations where safety equipment is stored or used. Compliance is not optional –it is enforceable under the Regulatory Reform (Fire Safety) Order 2005.
Photometric data: proof of compliance Photometric data is the technical evidence

that a lighting product meets the required lux levels.
In emergency lighting, this data describes how much light a luminaire emits, how far that light spreads in a space, and whether it
meets the required brightness levels for safe evacuation routes and open areas.
Photometric data tends to be measured in spacing ratios (or spacing tables). This indicates the maximum allowable distance between emergency luminaires to ensure that the required minimum illuminance levels are achieved throughout escape routes and open areas.
These ratios are derived from the photometric data of each luminaire, taking into account mounting height, light output, and distribution. Without this data, contractors cannot verify compliance, and wholesalers cannot guarantee that the products they sell are fit for purpose.
Alarmingly, some manufacturers in the emergency lighting market still don't provide spacing information on their packaging, leaving contractors to guess at proper installation distances. This creates significant compliance risks and potential insurance issues if systems fail to meet required illuminance levels.
Channel is including photometric data directly on its product packaging, providing wholesalers with the information they need to ensure that only compliant products are sold at trade counters.
Common misconceptions
Now you know about the importance of photometric data, it’s probably not surprising to hear that one of the most pervasive myths in the industry is that any emergency light will do.
Contractors often face pressure to cut costs, and wholesalers may unknowingly offer non-compliant products. But cheap lighting solutions can be dangerously misleading.
Without the correct photometric data and certification, these products may fail to meet the required lux levels or duration standards, rendering them illegal and ineffective.
The reality is that quality emergency lighting with superior photometric performance can actually reduce total installation costs.
For example, a cheap ‘emergency light’ might provide only 5-6 metre spacing, while a quality product can achieve 15-20 metre spacing. This means fewer fixtures are needed for the same coverage, reducing both material and labour costs while ensuring compliance.

Contractors are increasingly turning down profitable work due to uncertainty around compliance. Wholesalers, too, may be unaware of the legal requirements, inadvertently supplying products that do not meet the standard.
Lux level requirements
Lux levels –the measure of light intensity –are a critical part of emergency lighting compliance. BS 5266 specifies minimum illuminance levels for different areas:
Escape routes
Must be illuminated to at least 1 lux along the centre line.
Open areas (anti-panic zones)
Require a minimum of 0.5 lux to prevent panic and allow safe movement.
High-risk task areas
These include locations where dangerous processes occur, such as industrial kitchens or laboratories. Enhanced illumination is required, often exceeding 15 lux, to ensure critical tasks can be safely completed during an emergency.
Medical facilities
Treatment rooms and operating theatres may require up to 50 lux, especially in areas like surgical suites or emergency wards.
These lux levels are not arbitrary – they’re based on risk assessments and are
designed to ensure visibility and safety during evacuation. Failure to meet them can result in fines, legal action, and most importantly, endanger lives.
Education and awareness
To combat misinformation, continuous professional development (CPD) is essential. Training sessions, trade days, and CPD courses help contractors and wholesalers stay informed about the latest regulations, technologies, and best practices.
Channel offers an extensive emergency lighting CPD course, designed to raise awareness and reinforce the message that emergency lighting is a legal requirement, not a discretionary upgrade.
Compliance is a shared responsibility
Emergency lighting isn’t just about ticking boxes –it’s about protecting lives. Contractors, wholesalers, and manufacturers must work together to ensure that every product installed meets the legal standards.
Misinformation can lead to dangerous shortcuts, but with proper education, verified data, and a commitment to compliance, the industry can raise its standards and deliver safer environments for all.

BROWSE THE FULL CHANNEL RANGE OF EMERGENCY LIGHTING BY VISITING: WWW.RDR.LINK/EBQ009

Frank Bertie, Managing Director at NAPIT, discusses the significance of the IP Code and dispels some myths about it.
Meeting the requirements of BS 7671 for external influences
To correctly consider the external influences for an electrical installation we have to look at it from many directions, not just outside locations, as every item of equipment or wiring system can be subject to all or some external influences.
One area we need to refer to is ‘The IP Code’. One of the myths surrounding this term is the meaning of ‘IP’. It is often referred to as Ingress Protection due to the nature of the subject to prevent anything on the outside from getting in.
However, this is not the case. We need to refer to BS EN 60529:1992+A2:2013 in order to understand the details.
The term IP actually stands for ‘International Protection’, which is not only a theoretical issue when we update our qualifications and answer exam questions, but also one which involves the ingress of barriers, enclosures, wiring systems and accessories – along with the safety implications resulting from this.
Understanding the IP Code
The requirements of the IP Code, referred to in BS 7671 Appendix 1, are listed in BS EN 60529:1992+A2:2013 Degrees of protection provided by enclosures.
While this system is suitable for use with most types of electrical equipment, it should not be assumed that all listed
degrees of protection are applicable to a particular type of equipment.
Where the degree of protection is not clearly stated in the literature of the enclosure, the manufacturer of the equipment should be contacted to establish if it is suitable for the application.
In situations where enclosures are required to be adapted or modified for the attachment of other equipment, such as wiring systems, cables, glands and fixings, the manufacturer’s instructions would have to be followed to maintain the required degree of protection.
The degrees of protection are classified in three general categories:
Category 1: Protection of persons against access to hazardous parts inside enclosures
This covers protection of persons against accidental contact with live electrical parts or hazardous mechanical parts, such as switch mechanisms or rotating blades contained within the enclosure.
Category 2: Protection of the equipment within the enclosure against the ingress of solid foreign objects
This involves the protection of the equipment mounted inside an enclosure against the harmful effects of solid particles, such as dust.
In addition, barriers, shapes or


openings, or any other means, whether they are attached to the enclosure or formed by the enclosed equipment, must be suitable to prevent or limit the penetration of specified test probes.
Category 3: Protection of equipment inside an enclosure against the ingress of water
This deals with the protection of equipment from harmful effects due to dripping, spraying, splashing, hosing or total immersion in water. It does not include a strict classification for resistance, corrosion prevention or resistance to other physically hazardous conditions. When one of the numbers in the code has a letter ‘X’ in place of the first or second numeral, this indicates that category one or category two does not apply to the product. It is also used in Standards to indicate that for the range of products covered such



protection is not required.
The arrangement of the IP Code is illustrated in Fig 1 Table 1 illustrates the level of protection of persons 0 to 6 and highlights the descriptions and definitions for the degree of protection against the penetration of solid foreign objects including dust.
Table 2 illustrates the level of protection against water 0 to 9.
Table 3 provides references and descriptions that enhance personal protection against access to hazardous parts. Although optional, an additional letter can be used to enhance this personal protection.
Table 4 indicates when supplementary letters are appropriate for very specific applications. As with Table 3, the use of
these letters is optional.
What are the external influences?
There are several Regulations within BS 7671 that must be considered when analysing the requirements for the classification of external influences.
Regulation 132.5.1 states that the design of the electrical installation shall take into account the environmental conditions to which it will be subjected.
Therefore, this involves a discussion with the client regarding what the installation’s intended use will be.
Regulation 132.7 states that the choice of wiring system and installation method shall include consideration of:
● The nature of the location
● The nature of the structure supporting the wiring
● Accessibility of wiring to persons and livestock
● Voltage
● The electromechanical stresses likely to occur due to short-circuit and earth fault currents
● Electromagnetic interference
● Other external influences (mechanical, thermal and those associated with fire) to which the wiring is likely to be exposed during the erection of the electrical installation or in service
Regulation 133.3 states that electrical equipment shall be selected to withstand safely the stresses, the environmental conditions and the characteristics of its location.
This does not stop equipment deemed not suitable for installation in a particular location, but further protection shall be provided to meet the external influences.


The definition of external influence has been detailed in Part 2: ‘Any influence external to an electrical installation which affects the design and the safe operation of that installation’.
Section 512 external influences
Regulation 512.2.2 refers to ‘appropriate additional protection’ from external influences. This is for equipment in the situation it has been designed for and taking into account the condition it is likely to be subject to.
Section 522 states that the installation method selected shall be such that protection against the expected external influences is ensured in all appropriate parts of the wiring system.
Particular care shall be taken with changes in direction and where wiring enters equipment.
Regulations 522.1 to 522.15 cover the following external influences:
● Ambient temperature (AA)
● External heat sources
● Presence of water (AD) or high humidity (AB)
● Presence of solid foreign bodies (AE)
● Presence of corrosive or polluting substances (AF)
● Impact (AG)
● Vibration (AH)
● Other mechanical stresses (AJ)
● Presence of flora and/or mould growth (AK)
● Presence of fauna (AL)
● Solar radiation (AN) and ultraviolet radiation
● Seismic effects (AP)
● Movement of air (AR)
● Nature of processed or stored materials (BE)
● Building design (CB)
Appendix 5 (Classification of External Influences) lists the classification and condition of external influences and is shown in Fig 2

Each codification of external influence is designated by a code comprising two capital letters and a number.
The first letter of the code is related to the general category of external influence. The second letter relates to the nature of the external influence. The number relates to the class within each external influence.
The code AD4 requires equipment and accessories in that location to have at least the degree of protection of IPX4, as listed in Table 5
Another external influence is the presence of foreign solid bodies (AE). The external influence code AE3 relates to very small objects with a diameter of 1 mm or greater. In order to provide protection against this, the equipment needs to meet the requirements of IP4X.
It is mandatory for manufacturers to carry out IP classification testing in accordance with BS EN 60529, which allows them to mark their products in accordance with the corresponding IP rating.
Whenever an electrical product, such as a distribution board or consumer unit, is being installed, isolators are constructed to create barriers and enclosures to prevent against contact with live electrical components.
Regulation 416.2.1 requires that live parts shall be inside enclosures or behind barriers providing at least the degree of protection IPXXB or IP2X.
Regulation 416.2.2 states that a horizontal surface of a barrier or enclosure, which is readily accessible, shall provide a degree of protection of at least IPXXD or IP4X.
Installers may encounter the following problems when they are creating or modifying any enclosure:
● Creating would require the enclosure to meet the IP rating for the application, which is why the installer assumes the role of a manufacturer
● Modifying an enclosure would require consulting the manufacturer and following the instructions to maintain the IP rating of the enclosure
● Ensuring compatibility, when using

products from different manufacturers
● If knockouts on enclosures are removed for cable entry, it is important to ensure that the method of cable entry to the enclosure does not reduce the IP rating of that enclosure
Conclusion
It is important to establish the environment in which an electrical installation is to be installed and then to select the correct IP rated equipment to satisfy the requirements of BS 7671. Detailed information on installation and design methods can be found in the NAPIT On-site Solutions publication, available from the NAPIT Shop.
2



A topic which can often cause confusion for electrical professionals is when is it really necessary for an electrician to use insulated hand tools? In this article, the experts at NICEIC aim to provide some clarification.

In order to answer this question it is necessary to consider the legal aspects.
Anyone engaged in work activities on or near to live conductors must comply with the requirements contained within the Electricity at Work Regulations 1989 (EWR).
Regulation 14, Work on or near live conductors is reproduced below:
No person shall be engaged in any work activity on or so near any live conductor (other than one suitably covered with insulating material so as to prevent danger) that danger may arise unless:
a) it is unreasonable in all the circumstances for it to be dead; and
b) it is reasonable in all the circumstances for him to be at work on or near it while it is live; and
(c) suitable precautions (including where necessary the provision of suitable protective equipment) are taken to prevent injury
Although this regulation clearly permits work on or near live conductors, this can only take place where all three aforementioned conditions –(a) and (b) and (c) –are met.
Guidance on and about these conditions can be found in The Electricity at Work Regulations 1989: Guidance on Regulations (HSR25), which is downloadable free of charge at: www.hse.gov.uk/pubns/books/hsr25.htm
Most types of electrical work should not be carried out on or near live conductors. If danger may otherwise arise, the conductors should be made dead, and be proved to be so, before any work on or near them commences.
Furthermore, adequate precautions, such as locking off the

means of isolation and placing of notices, should be taken to prevent the conductors from becoming electrically charged during the work, if danger may thereby arise
(EWR regulation 13)
Regulation 14 recognises that there are circumstances where it is unreasonable, having regard to all relevant factors, for the equipment to be dead while work proceeds. Examples of work where regulation 14 often applies include electrical testing:
● to establish whether electrical conductors are live or dead,
● to establish whether the polarity of the incoming supply to an installation is correct or incorrect,
● to measure earth fault loop impedance at the origin of an installation.
Working on or near live conductors should be the exception, not the normally adopted practice.
There is nothing wrong with using insulated hand tools where this is not necessary for safety, such as when working on a circuit known and proven to be dead. But if an electrician finds themselves thinking of using an insulated hand tool as a precaution against injury in connection with working on or near live conductors, they should think again.
The use of insulated hand tools, like any other precaution intended to
prevent injury, cannot alone make it permissible to work on or near live conductors. As stated previously in this article, such work is permitted only where all three conditions (a) and (b) and (c) of regulation 14 are satisfied.
Where insulated hand tools are to be relied on as protective equipment for the purposes of condition (c), they should meet the requirements of BS EN IEC 60900:2018 (incorporating corrigendum May 2020) Live working –Hand tools for use up to 1 000 V AC and 1 500 V DC, they shall be suitable for the work concerned and it should be confirmed prior to each use that they are free from any damage, deterioration or modification that may result in danger.
As shown in Fig 1, clause 4.1.4 of BS EN IEC 60900:2018 states that each (insulated) hand tool shall be legibly and permanently marked with:
● the symbol IEC 60417-5216:2002-10 – Suitable for live working; double triangle shown in Fig 1, ● the electrical working limit for alternating current, 1 000 V, immediately adjacent to the double triangle symbol.
Depending on the circumstances, other protective equipment, including protective clothing, may also be required.
Further guidance about protective equipment and other precautions can be found in Electricity at work: Safe working practices (HSG85), which is downloadable free of charge from: www.hse.gov.uk/pubns/books/hsg85. htm
This publication also covers the decision-making process for whether to work live or dead.

GET MORE DETAILS ABOUT NICEIC REGISTRATION AT: WWW.RDR.LINK/EBR014

IN THIS REGULAR COLUMN, DR. TOM BROOKES, MD AT ZZEUS TRAINING AND CHAIRMAN OF THE BSI TECHNICAL COMMITTEE FSH 12/1 INSTALLATION AND SERVICING, ANSWERS YOUR QUESTIONS RELATED TO FIRE SAFETY. THIS TIME AROUND HE LOOKS AT COMPLIANCE OF FIRE SAFETY SYSTEMS IF FIRE ALARM INDICATOR DEVICES DON’T MEET THE REQUIRED STANDARDS.

Q. Does BS 5839-1:2025 make it clear what the major non-conformances are?
The short answer to this question is ‘yes’.
BS 5839-1:2025 – critical failures you cannot ignore Major non-conformities and variations that are not permitted. When you’re inspecting or servicing a fire alarm system, spotting a major non-conformity is not just a box-ticking exercise –it’s identifying a fault that could directly compromise life safety.
BS 5839-1:2025 is very clear:
● Certain issues must always be reported to the premises management.
● Some variations are now
completely prohibited — no matter who agrees to them.
If it stops a system from working when it’s needed most, it’s your duty to identify it, document it, and ensure the responsible person understands the risk.
Major non-conformities –clause 44.1.2
These are not “nice to fix” issues –they are red flags that indicate the system may fail in a real fire.
1. Insufficient manual call points (clause 19)
If people can’t easily raise the alarm, response times are delayed. Every second that passes before the alarm sounds gives fire more time to spread.
2. Inconsistent call point operation
All call points must operate identically unless there’s a justified reason. Mixed operation can cause confusion in an emergency.
3. Detection not matching the system category
Systems must provide the detection coverage their category (L1, L2, L3, etc.) demands. Anything less is a breach of the design intent.
4. Heat detectors in bedrooms
The 2025 standard makes it clear: in sleeping accommodation, smoke detection is preferred for speed of response. Heat detection here risks delayed warning.
5. Sound pressure levels too low (clause 15)
If the alarm isn’t loud enough to wake or alert people in all areas, it
“When you’re inspecting or servicing a fire alarm system, spotting a major non-conformity is not just a box-ticking exercise –it’s identifying a fault that could directly compromise life safety.”
isn’t fit for purpose.
6. Standby power failures (clause 24.3)
Without a compliant standby supply, the system may be disabled during a power cut –exactly when extra resilience is needed.
7. Non-compliant fire-resistant cable (clause 25.3)
Cable must maintain circuit integrity during a fire. Poor cable choice or inadequate support that collapses in heat can cut communications between devices.
8. Inadequate circuit monitoring (clause 11.1)
Critical circuits and auxiliary supplies must be continuously monitored so faults are detected immediately.
9. System integrity failures (clauses 11.2.1, 11.2.9, 11.2.13)
Failures in these areas can leave parts of the system unreliable or non-functional.
10. Electrical safety shortcomings (clause 28)
A system must meet all relevant electrical safety standards. Faulty or unsafe wiring creates both fire risk and operational risk.
11. Excessive false alarms (section 3)
Too many false activations cause complacency, delay evacuation, and waste fire service resources.
12. Building changes affecting coverage
Alterations to layout, use, or structure can create blind spots or reduce alarm audibility –requiring a system review.
13. Missing zone plan or diagram (clause 22.2.5)
Firefighters need to know exactly where the alarm has activated. Without a zone plan, response is slowed. Under the new standard, this cannot be a variation.
14. No zonal indication (clause 22.2)
The control panel must show which
zone is in alarm. This is vital for directing emergency response.
15. No ARC link in key residential settings
In care homes and certain supported housing, the system must automatically transmit signals to an Alarm Receiving Centre (ARC). Without it, help may be delayed when residents cannot self-evacuate. Under the new standard, this cannot be a variation.
“If it can stop a system working when it’s needed most, it’s a major non-conformity. Find it, document it, and make sure the responsible person understands the risk.” Dr Zzeus.

DO YOU HAVE A QUESTION YOU'D LIKE ANSWERED?
EMAIL YOUR QUERIES TO: TOM@ZZEUS.ORG.UK

GET MORE DETAILS ABOUT ZZEUS TRAINING AND THE RANGE OF COURSES ON OFFER AT: WWW.RDR.LINK/EBR067


In this article, Andrew Duffen, Technical Commercial Engineer at NAPIT, discusses insulation resistance testing, unmasking the silent guardians of electrical installations.
Insulation resistance testing is an essential test for all inspectors to carry out. These tests are performed to determine that the cable and its insulation throughout the electrical installation, is not subject to damage during the erection period.
Defective or damaged cables and/or insulation will lead to either short-circuit faults or Earth faults, which could potentially lead to fires, electric shocks or unwanted operation of protective devices.
Back to basics
There are two main factors that will affect the insulation resistance of a healthy circuit:
● Length
● Circuits in parallel
Length
A circuit length affects the insulation resistance due to the number of small individual leakage paths, resistances between the conductors and the cable insulation (loads in a circuit).
With these leakage paths being distributed along the circuit, the longer the circuit (cable length) and with more leakage paths, the lower the insulation resistance value.

As a general rule, length will not realistically affect the majority of circuits, unless the circuit is 250 metres or longer.
If two final circuits have an insulation resistance value of 50 MΩ between line and neutral for each circuit and an insulation resistance test is performed on them individually, the value obtained would stay the same – 50 MΩ.
However, when the two final circuits are tested collectively, via the distribution board or consumer unit, effectively connected in parallel, their total combined insulation may be less than that for one circuit, being 25 MΩ (half the previous insulation value of 50 MΩ).
So, when testing an entire electrical installation, our overall value could be
lower than expected, due to all circuits being effectively connected in parallel during the test sequence.
From experience and taught practices, we should be aware that ‘the more resistances that are parallel, the lower our overall value will be’.
The main reason for the insulation resistance test is to ensure that cable insulation is free from defects or damage from the point of delivery to the site, to the point of installation and during the period of final certification. Within busy construction sites with various trades working on them, the risk of damaging a cable is very high.
Damage to a cable could go unnoticed, i.e. a tradesperson could drill a wall, with cables concealed within it, or the

“From experience and taught practices, we should be aware that ‘the more resistances that are parallel, the lower our overall value will be...”

“Preferably, the complete installation should be tested as a whole, so all circuit-breakers and fuses must be in place and in the closed position (on) for this to be achieved...”
insulation of a cable could potentially become damaged when cables are being drawn into a containment system.
So, if the insulation resistance test was not performed, these potential faults would not be identified.
Before any inspector performs a test, they must confirm that the meter they are using is in calibration, it functions correctly, has suitable battery levels, and is free from
damage, including test leads and probes. This can be performed using a checkbox or a calibration card.
When performing an insulation resistance test, voltages above 120 V DC are used, an instrument as specified in BS 7671 Regulation 643.1 shall be chosen in accordance with BS EN 61557, and test leads and probes must comply with HSE document GS38.
insulation resistance testing
During initial verification, Inspectors shall carry out the insulation resistance testing prior to the connection of any equipment. In cases where equipment has been connected, these will have to be removed or disconnected (isolate any loads) since they could be potentially damaged by high voltages or provide incorrect test values. Any electronic switching devices, such as LED lamps or PIR sensors, must be disconnected and bridged out.
This could be done using a connector block or similar method. RCBO protecting the circuit may also give suspicious values, so may need to be disconnected when performing the test.
It is also essential that all switches should be in the closed (on) position in order to allow measurements to be made throughout the entire circuit, and it is possible that contactors may need to be bridged. As with any similar items, testing may need to be done separately for the section of the circuit beyond the item of equipment.
As far as reasonably practical, with consideration of the aforementioned equipment, the installation should be in a complete state, with all electrical accessories connected, covers on and with all bonding in place and connected.
Preferably, the complete installation should be tested as a whole, so all circuit-breakers and fuses must be in place and in the closed position (on) for this to be achieved.
It has been clearly stated in BS 7671, and further explained in the NAPIT Guide to Initial Verification and Periodic Inspection and Testing, how inspectors are required to perform the insulation resistance test. As mentioned in ‘considerations when carrying out insulation resistance testing’, sensitive equipment must be removed (as reasonably practical) from the circuits installation.
With Regulation 643.3.3 covering the process, the requirement is to carry out the insulation resistance test in two stages. Insulation resistance can be carried out during the erection stage of the installation, but it is important to remember that all

sections containment systems and circuits subject to testing would need to be in place and completed.
Once all circuits have been installed, temporary connectors shall be put in place at all points within the circuit. Again, by using a connector block or similar method, a test is then carried out between line-neutral, line-cpc and neutral-cpc, ensuring the protective conductor is connected to earthing arrangement and using a test voltage of 500 V DC to achieve a test result of a minimum of 1 MΩ (for new circuits, ideally to achieve a full-scale deflection reading). If the lighting circuit contains two-way switches and intermediate switches, then these must be operated in all combinations and the tests re-performed. Increasingly, manufacturers of electrical equipment are now developing products
that can withstand the 500 V DC test, such as USB socket-outlets, or are making their products easier to disconnect from the circuit during the 500 V DC test, such as spotlights and modular lighting.
At the design or specification stage of a potential job, it may be prudent for designers and installers to consider these types of electrical equipment.
Upon completion of stage one, all sensitive equipment can be connected to the circuit. Once again, a test is performed between the live conductors and cpc, ensuring that the protective conductor is connected to earthing arrangement, but now using 250 V DC as the test voltage, and achieving a reading of at least 1 MΩ.
Again, if the lighting circuit contains two-way switches and intermediate switches, these must be operated in all combinations and the tests re-performed.
Performing the insulation resistance test on electrical circuits is crucial for determining safety, reliability and compliance with BS 7671. This test helps identify potential insulation failures that could lead to electrical shocks, short-circuits, or fires.
Since the introduction of BS 7671:2018+A2:2022, the approach inspectors must take when performing the insulation resistance test has been very clearly defined.
Hopefully, this article has helped you to better understand its requirements.
There are a range of Inspection & Testing courses available from NAPIT Training: www.napittraining.co.uk/courses

Three-phase four-wire electrical systems are the typical means of modern power distribution in industrial, commercial, and even residential environments. Such systems allow for the supply of single-phase (230 V), two-phase (400 V) and three-phase (400 V) loads.
Because there is such a wide range of loads which can be connected to a three-phase supply, it is necessary for a neutral conductor to be supplied. The role of the neutral conductor and the behaviour of neutral currents are both critical and often misunderstood.
This article delves into the nature of neutral currents in three-phase systems, examining their origins, calculation, implications, and the best practices for managing them to ensure efficiency, safety, and power quality.
1. Fundamentals of three-phase systems
To appreciate the significance of neutral currents, it is essential first to revisit the basics of three-phase systems:
● Balanced loads: In an ideal three-phase system with balanced
loads, the sum of the instantaneous currents in the three phases at any moment is zero (IBr + IBl + IG = 0 A) This means no current should flow through the neutral conductor.
● Unbalanced loads: In normal scenarios, loads are rarely perfectly balanced. Any difference in the current or impedance across the phases leads to the existence of a current that must return via the neutral (IBr + IBl + IG = IN)
2. The role of the neutral conductor
The neutral conductor serves two main purposes in a three-phase system:
● Return path for unbalanced currents: When phase currents are not identical, the neutral provides a low-resistance path for the resultant or residual current.
● Reference point: The neutral acts as a voltage reference, typically grounded at the main distribution panel, establishing a stable potential for phase voltages and enhancing safety.
In this latest part of a series of articles, aimed at helping readers to gain a better understanding of three-phase supplies, Jake Green, Head of Technical Engagement at Scolmore Group, examines neutral currents in there-phases systems.
3. Origin of neutral currents
Neutral current, often denoted as IN, arises whenever the currents in the three phases are not balanced.
4. Sources and types of neutral currents
4.1 Load Imbalance
Load imbalance is the primary cause of neutral currents in most three-phase installations. However, harmonic currents, typically generated by non-linear loads such as computers, LED lighting, variable frequency drives, and rectifiers, can dramatically increase neutral current.
Triplen harmonics (multiples of the third harmonic, i.e., 3rd, 9th, 15th, etc.) are of particular concern since triplen harmonics on each phase are in phase with each other, so they sum directly in the neutral rather than cancelling out.
This effect can cause neutral currents to exceed the conductor currents in each of the phases, especially in buildings with a high density of non-linear electronic loads.
5. Calculation of neutral current
Calculating neutral current involves
phasor summation of the line currents, accounting for their magnitudes and phase angles. In the presence of harmonics, especially triplen harmonics, RMS (Root Mean Square) values must be used, and harmonic analysis may be required.
By way of a simple example involving no triplen harmonics, should three single phase loads of, say, 5 kW, 8 kW and 10 kW be connected to each of the phases, the currents drawn would be:
● IGr = 21.7 A (5 kW),
● IBl = 34.8 A (8 kW) and,
● IBr = 43.5 A (10 kW).
Since the three phases are offset by 120°, the three currents would need to be added together as ‘phasor’ values: calculating horizontal and vertical components. For the example given, the horizontal component would be 11.3 A, and the vertical component 13.0 A. In this arrangement (see Fig 1), the overall neutral current would be in the region of 17.2 A.
Reference should be made to Appendix 4, Section 5.5 to 5.6 of BS 7671 for guidance on the calculation of rating factors associated with neutral currents, and the determining of triplen harmonic currents.
6. Effects of excessive neutral current
Significant neutral current poses multiple risks and challenges:
● Overheating of the neutral conductor.
● Voltage imbalance. High neutral current may introduce voltage fluctuations on single-phase loads, leading to malfunction or damage.
● Electrical noise. Harmonic-rich neutral currents can result in electrical noise, impacting sensitive equipment, communication lines, and protective devices.
● Unwanted operation of protective devices.
7. Neutral currents and power quality
Power quality is a growing concern with the proliferation of non-linear loads. High neutral currents, particularly those caused by harmonics, can degrade power quality in the following ways:
● Distorted waveforms: Harmonic currents distort the pure sinusoidal waveform, affecting both the supply and the operation of devices.

● Increased losses: Additional losses in transformers and wiring due to higher RMS currents and skin effect at higher harmonic frequencies.
● Interference: Harmonics can couple into control and communication systems, leading to data errors or equipment malfunctions.
8. Mitigation strategies for neutral currents
Various measures can be adopted to mitigate the adverse effects of neutral currents:
8.1 Load balancing
Regular monitoring and strategic allocation of single-phase loads help minimise imbalance. This can be automated with modern building management systems.
8.2 Oversizing of neutral conductor
In environments with a high density of electronic loads, it is prudent to size the neutral conductor larger than the line conductors –sometimes up to twice the cross-sectional area.
8.3 Harmonic filters
Installation of passive or active harmonic filters can reduce the triplen harmonic content, thus lowering neutral current.
8.4 Separating sensitive loads
Sensitive electronic equipment can be supplied from circuits with minimal harmonic distortion or supplied via transformers with dedicated neutral conductors.
8.5 Regular maintenance and monitoring
Thermal imaging, current monitoring, and periodic power quality audits may help identify and correct problems before they escalate.
Conclusion
Neutral currents in three-phase systems are an inevitable reality in modern electrical networks, especially with the prevalence of non-linear loads and unbalanced circuits.
Understanding their origins –ranging from simple load imbalance to complex harmonic phenomena –is essential for engineers, electricians, and facility managers. By employing effective management strategies and adhering to industry standards, it is possible to safeguard system performance, enhance power quality, and ensure the safety and longevity of electrical infrastructure. BROWSE



ALEXANDER: AH, THE OBLIGATORY INSPECTION WHEN YOU SPY POZI SCREWS IN A FACEPLATE. BACK BOX LASHED AWAY, NOT FIXED. CABLES JOINTED FROM 6 MM TO 10 MM. NO EARTH SLEEVING. SHEATH NOT WITHIN ENCLOSURE/JUNCTION BOX. 6 MM ON A 40 A MCB, BURIED IN ABOUT 300 MM INSULATION, SUPPLYING AN 8.5 KW SHOWER OVER ABOUT 40 METRES.
Experience of what to expect always pays off when carrying out periodic inspection and testing, highlighting the need for the inspection of electrical accessories.
When upgrading any electrical equipment, consideration of the existing circuit and protective devices are a fundamental part of the design process. Unfortunately, all too often the work commences, and the resulting non-compliances (as shown in the photographs) are the outcome.
The lack of knowledge regarding design parameters for increased loading and installation in thermal insulation is not acceptable and this has increased the risk of overloading and thermal damage to the cable. The live terminations and the single-insulated conductors have not been enclosed where the shower double-pole isolator and the back box has not been fitted to the rear of the isolator.

There are correct methods for termination of cables and conductors to ensure safe installations, and it is not permitted to ignore these due to difficult installation conditions when using unsuitable accessories.



Where junction boxes have been used to extend the cables the single-insulated conductors have not been terminated within the box and the inner insulation has not been secured by the cable clamp.
Therefore, the classification code would be a C2, Potential dangerous, urgent remedial action required due to the poor terminations.


Updated for BS 7671:2018+A2:2022, NAPIT’s EICR Codebreakers publication is purpose-written to aid contractors, inspectors and clients, and now includes updates to align with Amendment 2 of the IET 18th Edition Wiring Regulations. The book is the perfect technical aid for electrical professionals and their customers.





Need help with cracking those all-important EICR codes? Every month the technical team at NAPIT will be studying your latest ‘Caught on Camera’ photos and offering advice on the next steps, should you find a similar installation. If you want the team at NAPIT to help crack your codes then send your pictures through to us at: pe@hamerville.co.uk


KEVIN BAILEY: JUST HIDE IT BEHIND A FRIDGE AND NO ONE WILL NOTICE! THIS WAS DISCOVERED ON A RECENT INSPECTION…
Often when some form of alteration works has been carried out on an electrical installation, and in this case being a kitchen upgrade, the existing electrical accessories are not in the correct positions for the new appliances.
There are various methods for the connection of conductors and unfortunately covering connector blocks with insulation tape and then plastering over them, is not one.
There is a lack of support or protection against abrasion for the cables including the location of the concealed cables where they are no longer in the prescribed zones due to the removal of the accessories.
Therefore, the classification code would be a C2, Potential dangerous, urgent remedial action is required due to the poor terminations.








The A2:2022 18th Edition Codebreakers publication is priced at £22.00 (members) and £24.00 (non-members). It is available in both hard copy and digital versions * Price is VAT exempt and excludes postage and packaging.

ORDER YOUR COPY OF NAPIT CODEBREAKERS BY VISITING: WWW.RDR.LINK/EBR013





Earth fault loop impedance testing is a common test undertaken every day all over the country. It is a staple of the electrical contracting industry. Most of the time the tests are simple to perform, and results are often easy to interpret.
However, in some cases the measurements can be confusing, or give readings that seem to suggest the system is unsafe.
Key points to remember when performing the test and verifying the readings include the following:
● The method used will affect the accuracy of the reading,
● Test equipment with a low measurement range may be required when conducting tests near the origin of supplies or transformers,
● The temperature of conductors needs to be considered when verifying readings.
The definition of ‘earth fault loop impedance’ can be found within part 2 of BS 7671 which states it is ‘the impedance of the earth fault current loop starting and ending at the point of earth fault. This impedance is denoted by the symbol Zs’
Essentially, it’s the level of impedance within a circuit opposing the current generated during an earth fault condition.
The verification of earth fault loop impedance is crucial for each circuit
within an installation to confirm automatic disconnection of supply (ADS) is achieved, when this is the protective measure provided against electric shock. Often this is achieved by the use of an overcurrent protective device.
The device should disconnect the supply to the line conductor of the circuit or the equipment in the event of an earth fault condition, within a specified time. Table 41.1 of BS 7671 indicates maximum disconnection times and should be applied for final circuits within the scope of Regulation


411.3.2.2.
The figures presented in Table 41.1 rely upon a suitably low earth fault loop impedance path within the circuit, allowing sufficient fault current generation. This in turn will cause the protective device to operate within the specified time.
Methods of obtaining earth fault loop impedance values
There are two widely used methods for obtaining earth fault loop impedance values of a circuit:
1. The often preferred method is to perform a continuity test of R1 + R2 and then add the value obtained to the external earth fault loop impedance (Ze) where the circuit is fed from the origin of the installation, or the (Zdb) where the circuit is fed from a sub-distribution board.
2. Direct measurement of total earth fault loop impedance (Z s) can be made with an earth fault loop impedance tester.
It is important to select test equipment suitable for the purpose of the test, with measurement ranges that meet the requirements of BS EN 61557-3:2022.
Performing a direct measurement is particularly useful when working within an existing installation, for example when carrying out periodic inspection
and testing or maintenance activities.
Inaccuracies when measuring earth fault loop impedance
Modern multifunctional test instruments usually offer three methods for performing direct measurements of earth fault loop impedance.
These methods can present certain limitations when trying to obtain an accurate reading that need to be considered.
The two-wire ‘high current’ test setting should always be utilised when possible. This method generates a large enough test current (typically in the region of 25 A) to create a measurable voltage drop and therefore a stable and accurate reading.
However if, for example, a residual current device is present, then either a three-wire ‘non-trip’ test setting or a two-wire ‘non-trip’ test setting would need to be utilised.
The two-wire ‘non-trip’ setting is the most technically difficult for the instrument to perform and therefore more prone to errors. For this reason, this method should only be used as a last resort, for example at a passive switch where no neutral is present.
The difficulty with the ‘non-trip’ test settings is that the test current is significantly smaller than the two-wire ‘high current’ test setting (generally not exceeding 15 mA) in order to prevent the residual current device within the circuit from tripping. Due to

such a low level of current, the test does not create a significant voltage drop and readings are prone to a larger degree in variation.
Further factors such as external load switching, electrical noise, harmonics and other electronic components or devices could also create difficulties when obtaining a measurement.
These factors can have a greater effect when using a ‘non-trip’ test method where they may further hinder the accuracy of the test results obtained. This emphasises the need to utilise the ‘high current’ test setting where possible.
Residual current devices (RCDs) can at times also present problems with test results if the internal impedance of the device itself is included. On occasion, this may be as high as an additional 0.5 Ω.
Clearly there may be times when the addition of this number within the test result reading may indicate that the circuit doesn’t conform with the requirements of BS 7671.
This is commonly known as ‘RCD uplift’ and inspectors should be aware of this possibility, although it’s worth noting that this anomaly does not occur for all types of residual current devices.
If ‘RCD uplift’ is suspected, then a simple measurement can be conducted on the supply side of the device and then repeated on the load side of the device to establish if additional impedance is observed.
Some multifunctional test instruments are immune to the effects of RCD uplift and inspectors should consult manufacturers’ literature for their equipment.
Permissible measurement errors and its effects on low impedance measurement accuracy
Measurements of earth fault loop impedance when close to a transformer or other large source of supply, can present difficulties to off-the-shelf test instruments because the values likely to be obtained may be outside of the measurement range for the instrument.
In this case, a high-resolution test instrument should be used to ensure more accurate and reliable test measurements.
It is worth remembering that values of external earth fault loop impedance and prospective fault current can be obtained by alternative methods, including via enquiry.
For larger systems with a private dedicated supply, the organisation responsible for its commissioning may make these values available.
When establishing the suitability of an instrument to make reliable measurements, refer to BS EN 61557 series for permissible values of measurement error for which test equipment should comply. For loop impedance testers, BS EN 61557-3:2022 allows for a permissible measurement error of up to 30% (see Fig 3, previous page) .
When comparing this information with the manufacturer’s literature for the test equipment, the 30% permissible error looks quite large, and inspectors may initially believe their instrumentation is significantly more accurate than this requirement. However, there are a few terms we need to consider before an accurate assessment and verification of the test equipment can be established.
Common measurement terms
● Display range: The numerical value of the display. e.g. 2,000. Typically, a display will show values of 00.00-19.99 Ω, 199.9 Ω or 1,999 Ω.
● Resolution: The smallest change in the measured value that the displayed range can show. For a 2,000 numerical value display this would typically be 0.01 Ω.
● Measurement range: Where the manufacturer states that the possible error is not greater than that specified in BS EN 61557-3. For example, 0.20 Ω to 1,999 Ω.
● Instrument accuracy: This is specified and made up of two values:

◦ Analog error –Normally expressed as a percentage of the measured value.
◦ Digital error –Shown as an additional digit error or digit measurement value.
Accuracy is shown on a product datasheet as ±(% of m.v. + digit error). For example, a typical multifunctional test instrument may have a numerical value display range of 0.00 Ω to 1,999 Ω for the earth fault loop impedance test setting. However, in reality, these types of instruments are likely to have a measurement range different to this. Measurement values below around 0.20 Ω in typical multifunction test instruments may be susceptible to significant errors and fall outside the 30% permissible measurement error range (see Fig 4, above)
Manufacturers of test instruments are now required to provide information on the measurement range of the instrument, taking account of the permissible measurement error values. Previously, the information provided with such test instruments was often the numerical displayed value range, rather than the
measurement range.
This information can be found within the manufacturer’s literature or may be displayed on the instrument itself, and could typically be 0.30 Ω to 1,000 Ω with a resolution of 0.01 Ω.
This would still satisfy BS EN 61557-3:2022 when used within its parameters, but this equipment may not be suitable for use where measurements fall outside of the measurement range specified by the manufacturer (see Fig 5, below) .
Many larger installations have private substations and transformers supplying the premises. In these circumstances, values of impedance near the origin are likely to be very low, and protective devices such as BS EN 60947-2 Moulded Case Circuit Breakers (MCCBs) are often used.
Where live testing is performed, suitable test equipment should be employed in order to verify adequate disconnection of such devices. It would be wrong to assume a circuit fails to meet its disconnection time, if maximum values of impedance aren’t met, if the values fall outside the


instrument’s measurement range, taking into account the permissible measurement error values.
For such circumstances a suitable high resolution earth fault loop impedance test instrument should be selected when performing tests. These types of instruments typically have increased measurement resolution of 0.1 mΩ and have a measurement range reading as low as 7.2 mΩ, whilst providing a test current in the order of 130 A to 300 A (see Fig 6, above)
The increased measurement range and instrument resolution enables more accurate readings to be obtained and thus the inspector can verify if the requirements of automatic disconnection are being satisfied. Inspectors should always consult manufacturers’ literature to confirm that test instruments are used within the parameters for which they were designed.
Maximum acceptable values of earth fault loop impedance
Values of earth fault loop impedance obtained should preferably be verified against maximum values stipulated by the manufacturer of the protective device, which are often less onerous

than the values detailed within BS 7671. This information should be noted on the schedule of circuit details and schedule of test results when completing required documentation.
In the absence of manufacturers’ data, BS 7671 provides maximum earth fault loop impedance values for common fuses and circuit breakers. However, these values are based on the line conductors being at their maximum permitted operating temperature, and circuit protective conductors being at their assumed initial temperature when the measurement of impedance was obtained.
For measurements made at ambient temperatures, Appendix 3 of BS 7671 provides guidance, and adjusted values for typical circumstances can be found within the IET’s Guidance Note 3 or the IET’s On-Site Guide. These are often known as the ‘80% Values’.
Many inspectors apply a blanket approach to verifying Z s values against the values that have been adjusted for ambient temperature. However, in some instances this may be difficult to achieve due to the circuit constraints.
For example, during periodic inspection and testing a load may have been momentarily shut down to allow a test to be performed. As a result, the circuit conductors will likely still be considerably warmer than that of ambient temperature in a vicinity.
Consequently, this will mean an increase of measured Z s from what would have been expected if the conductors were sat at ambient temperature.
If the circuit constraints meant conductors were operating at or near
their maximum current carrying capacity, it would be impossible to achieve the 80% values in these operational conditions.
As can be seen, verifying Z s values obtained often involves applying sound engineering logic in order to confirm compliance with BS 7671.
Earth fault loop impedance testing, when done well, is a simple and easy method to verify the safety of circuits. In some cases, off-the-shelf test equipment may not always be accurate or specific enough to measure, with any degree of certainty, the earth fault loop impedance of the circuit.
It is therefore vital that not only should you have the correct competence of people using the equipment, but the equipment itself should be suitable for the function it is performing.
A simple off-the-shelf multifunction piece of test equipment will normally suffice for most projects, but on occasion specialised equipment may be needed.
Contributions
ECA would like to thank Rob Barker of Power Quality Expert and Sonel for their contributions to the ‘Verification of Earth Fault Loop Impedance’ guidance note available free to members through the ECA Members portal.
Further reading:
● ECA Guidance Note – Verification of Earth Fault Loop Impedance.
● ECA Guidance Note – Work on or near live LV electrical systems.



Steve Humphreys, Technical Commercial Manager at NAPIT, highlights the risks of using PME for outbuildings and explains when switching to a TT system is the safer option.
BS 7671 prohibits the use of Protective Multiple Earthing (PME) for certain locations, such as caravan parks and marinas, due to requirements under the Electricity Safety, Quality and Continuity Regulations (ESQCR) which prohibit the connection of PME facilities to any metalwork in a leisure accommodation vehicle.
Further conditions regarding PME apply to many Part 7 sections within BS 7671 for special installations or locations.
Generally, BS 7671 permits the use of PME in outbuildings. Where no extraneousconductive-parts are present, there is no requirement for main protective bonding to be provided in the outbuilding.
However, while BS 7671 does not specifically prohibit PME in these cases, other issues with PME supplies should be considered.
PME is a TN-C-S system where the neutral and earth functions are combined into a single conductor (the PEN
conductor) on the supply side of the installation.
The PEN conductor is referenced to Earth in multiple positions with earth electrodes.
For overhead supply cables, this is carried out at the transformers and several utility poles between the transformer and installation.
Underground cables are generally earthed along the length of run with electrodes.

Historically PME systems also benefitted from fortuitous earthing via metallic pipes and other infrastructure that are connected to the network via nearby installations’ protective bonding, consequently providing a form of supplementary earthing.
Though this accidental connection is not a reliable safety measure, it does play a considerable part in PME systems.
Whilst the neutral and earth are

separated within the installation, PME characteristics can cause issues when using PME outside of an installation. One issue is known as a perceived shock.
A perceived shock occurs when someone touches metal connected to the PME system of the main building, such as an item of Class I equipment, whilst being in

contact with true Earth.
For example, in an outbuilding, a potential difference can arise between the true Earth and the earth exported from the main building due to voltage drop in the PEN conductor under normal operating conditions. This issue is made worse when body resistance is low.
Imagine having a garden party where children are in and out of a pool playing barefoot on wet grass, and a temporary fridge plugged into the outbuilding is touched.
Stray earth leakage could result in an unpleasant tingle as the current takes the path of least resistance through the wet body back to a nearby earthed position, which is not necessarily the installation’s earth, just one on the system (seeFig 1)
Broken PEN conductor
A more serious risk arises if the PEN Conductor is lost, often due to a breakdown of an underground cable joint or disconnection of the neutral on an overhead supply, for example, on a utility pole by a falling tree.
The problem is, if the line conductor remains connected, the returning load current will not be able to return to source due to the loss of neutral, and because both the neutral and earth are connected at the service head, the load current will now seek an alternative return.
Consequently, all exposed-conductive-parts and extraneous-conductive-parts connected to the PME installation will rise in potential, creating an electric shock risk. Protective equipotential bonding will limit the effects inside the equipotential zone. However,

outside poses a significant shock hazard.
Electricians must make an engineering judgement on the likelihood of potential issues based on the specific circumstances presented to them on the job.
For example:
● Low risk
A wooden shed with plastic fittings and no conductive parts is unlikely to pose a problem
● Higher risk
A shed with socket-outlets that could be used for outdoor equipment or conductive parts increase the risk of issues
It should be noted that accidents relating to the loss of a PEN conductor are few and far between.
In fact, the same shock hazard will apply to any PME installation where the

supply neutral has been lost and there is a metal outside tap that is connected to the earthing arrangement by means of protective bonding.
For any outside installations where extending the PME supply from the main building raises concern, it is advised to convert the outbuilding to a TT system.
This involves disconnecting the PME at the outbuilding, which can be done using an insulated adaptable box, or an insulating gland to separate earthing systems, as shown in Fig 2
It is worth labelling the inside of the adaptable box to ensure this intentional separation of earthing systems is not reconnected in the future by a less experienced electrician (seeFig 3)
Converting the outbuilding to a TT installation involves the use of a local earth electrode instead of relying on the earth from the main building. This allows the overcurrent protective device in the main building to operate if a line-to-earth fault should occur on the supply cable.
Conclusion
Although regulations do not prohibit exporting PME to an outbuilding, careful consideration is essential, especially where the outbuilding has extraneous/exposed-conductive-parts or socket-outlets that could be used externally.
Be mindful however, some Distribution Network Operators (DNOs) may forbid their PME being exported from the supplied building.

Each month, our team of expert, technical engineers answer essential questions
NICEIC’s team of expert, technical engineers answer essential questions from NICEIC certified businesses. Here are a few of the latest queries.
For the purposes of BS 7671, what is regarded as the “normal” ambient temperature when considering external influences?
−5°C to +40°C
Regulation section 512.2 covers External influences and regulation 512.2.4 includes a note which states:
Q We are working in a domestic apartment block and have been questioned over the types of cable supports that we have installed. Within the communal area where a suspended ceiling is to be installed, we have supported the cables using steel ties to a cable tray system. Within the individual apartments, where a solid plasterboard ceiling is to be installed, we have used cable anchors and plastic ties. Should these also be steel ties?
“For the purpose of BS 7671, the following classes of external influence are conventionally regarded as normal:
AA Ambient temperature AA4
Do electricians need to comply with the Electricity at Work Regulations when undertaking electrical work in their customer’s homes?
Q We have been asked to install some additional lighting on existing circuits within a school. All of the additional lighting will be installed using surface-mounted conduit. However, the existing circuits that we are extending are wired using thermoplastic insulated and sheathed cables buried in the walls. Do we need to upgrade the circuits to include additional protection?
Yes – always
Statutory regulations and associated memoranda associated with the electrical installation industry are given in the informative Appendix 2 of BS 7671.
Appendix 2 lists classes of electrical installations which are required to comply with the Statutory Regulations indicated.
A The alterations/additions that you are undertaking on the existing circuit(s) would need to meet the requirements of BS 7671 (641.5).
t
The list of external influences in Appendix 5 (p494) of BS 7671 states that for ambient temperature:
A Regulation 521.10.202 requires that all wiring systems shall be supported in such a way that, in the collapse and result in an entanglement risk.
Typically, for cables that are ins
It
The ambient temperature is that of the ambient air where the equipment is to be installed.
The ambient temperature to be considered for the equipment is the temperature at the place where the equipment is to be installed resulting from the influence of all other equipment in the same location, when operating, not taking into account the thermal contribution of the equipment to be installed.
And the table confirms that code AA4 equates to a temperature range of:
AA4 −5°C to +40°C
Appendix 2 lists that the Health and Safety Executive’s Electricity at Work Regulations (EAWR)1989 applies to “Work activity. Places of work. Non-domestic installations” . As a result, it is often misinterpreted that as “Non-domestic installations” are specified, it is implying that the EAWR does not apply to domestic installations.
However, there is much government guidance which confirms that the Electricity at Work Regulations do apply to installation, maintenance and repair work in domestic premises.
Further information can be found in the section for Electrical safety and enforcement in domestic premises on the Health and Safety Executive’s website.
If you are an NICEICfor convenient CPD resources, scan the QR

In this latest part of a series of articles, aimed at helping readers to gain a better understanding of threephase supplies, Jake Green, Head of Technical Engagement at Scolmore Group, looks at the value of measuring three-phase systems.
Approved Document L2 (England) provides ‘… guidance on how to comply with Part L of Schedule 1 of the Building Regulations, and the energy efficiency requirements for buildings other than dwellings.’ Wales, Scotland and Northern Ireland have their own requirements and are not reflected in this article.
Energy monitoring is critical in allowing managers of buildings to accurately assess the nature of usage and to promote good management of energy resources. The selection of suitable energy meters is necessary to provide those responsible for buildings the necessary data to monitor and manage energy usage.
Requirements
Clause 5.17 of Approved Document L2 (ADL2) (available free of charge from the government website) states that:
‘Energy submetering should be installed in new buildings, or when fixed building services are provided or extended in an existing building,…’
The clause gives detail on how to meet this requirement:
● Heating/cooling and lighting should be metered to be able to assign and end use to at least 90% of the installation. This requirement will typically lead to distribution boards being organised by circuit type.
● Metering should be such that forecast energy usage can be accurately reported.
● Metering must be capable of monitoring individual tenants within the building.
● All renewable energy systems should be separately monitored.
● Where the total floor area exceeds 1,000 m2, automatic meter reading and data collection facilities should be installed.
ADL2 references guidance published by the Chartered Institute of Building Service Engineers (CIBSE) and TM39 provides guidance on building energy metering.
TM39 provides detailed technical guidance on metering and ‘… promotes best practice in the design of energy metering and submetering in non-domestic buildings.’

currents to be measured and there are very few constraints.
There’s no requirement that every final circuit is metered, however the clear application is that lighting is metered separately from general power as well as from heating and cooling loads.
To this end a designer should separate out such loads into separate distribution boards or combined lighting and power boards. Each section can be metered separately.
There are a range of single-phase and three-phase energy meters, and there’s little difference between how they might be installed. Such meters can be hard-wired or connected by means of a current transformer.
Each line conductor passes through the CT and the power cable supplies the necessary voltage (typically 230 V). This helps to determine all of the necessary values.
The limits placed on hard-wired energy meters relate to the maximum current and cross-sectional area of the conductors. Meters supplied via a current transformer (CT) allow for larger
A typical ‘meter kit’ will contain a CT, an energy meter, a power supply cable, and an RJ45 cable.
Energy meters are able to measure a range of values including:
● Current (A),
● Active power (W or kW),
● Reactive power (Var or kVAr),
● Apparent power (VA or kVA), and
● Energy (Wh or kWh).
The measuring of energy usage is necessary to conform to the Building Regulations in England and Wales. Similar requirements exist in the other home nations.
Designers should ensure that lighting, heating and cooling loads are measured, and to this end such types of loads should be supplied from relevant distribution boards, that is for example, a lighting board rather than a common mixed distribution board.
Persons responsible for buildings should make use of the monitored energy usage to ensure that waste is avoided and suitable strategies are in place to minimise energy usage.


PAUL SHACKLETON: I WAS CALLED TO HAVE A LOOK AT THIS AS THERE WAS A SUSPICION THAT THERE MIGHT BE SOMETHING WRONG. IT HAD REPORTEDLY PASSED AN EICR, CARRIED OUT BY A REGISTERED COMPANY ONE WEEK BEFORE. NOTE: THIS IS ON A MARINA PONTOON, 500 MM ABOVE THE SEA! THE FAULT WAS LINE-NEUTRAL SO DIDN’T TRIP THE RCD.
When conducting an EICR on a marina this would involve additional knowledge and experience as different factors than a standard electrical installation have to be taken into account.
Along with the main parts of BS 7671 Section 7.09 Marinas and similar locations has to be included in the EICR.
The SWA cable has been subject to damage and has resulted in leakage between line and neutral, initially at a level where the protective device failed to operate for both fault and earth protection.
Cables installed within marina environments must be suitable for the additional external influences, such as movement, impact, corrosive and vermin damage.
In this case it would appear the SWA has been subject to excessive movement, resulting in insulation damage. The outer sheath has been cut too short, allowing rubbing against the sharp edges of the brass gland and the absence of a female bush to prevent this has accelerated the damage to the cable.
The recent EICR, depending on limitations, may not have discovered this through inspection, not part of the sample or through testing where line to neutral are not tested due to potential damage.
An inspection within this marina distribution cabinet would have revealed the damage as this has been developing over a long period.
Therefore, the classification code would be a C1, Danger present, immediate remedial action is required due to the cable damage and lack of operation of the protective device.








Updated for BS 7671:2018+A2:2022, NAPIT’s EICR Codebreakers publication is purpose-written to aid contractors, inspectors and clients, and now includes updates to align with Amendment 2 of the IET 18th Edition Wiring Regulations. The book is the perfect technical aid for electrical professionals and their customers.





Need help with cracking those all-important EICR codes? Every month the technical team at NAPIT will be studying your latest ‘Caught on Camera’ photos and offering advice on the next steps, should you find a similar installation. If you want the team at NAPIT to help crack your codes then send your pictures through to us at: pe@hamerville.co.uk


MICK BENNETT: A DIFFERENT COMPANY RECENTLY INSTALLED A 3 PHASE 63 A CHARGER SOCKET. THEY TAPPED THE CABLES OFF THE BOTTOM ON THE MAIN SWITCH, BUT FOR THE NEUTRAL THEY LOOSENED THE NEUTRAL LINK SCREWS AND PUT THE CABLE IN THE HOLE BEHIND IT BEFORE TIGHTENING THE SCREW UP. THIS MADE THE CABLE TIGHT, BUT NOT THE LINK BAR. I HAD A VIDEO SENT TO ME OF A BURNING NOISE FROM INSIDE A VERY OVERLOADED BOARD. WHEN WE GOT TO SITE THE TEA URN SWITCHED ON AND SPARKS WERE COMING FROM THE LINK BAR CONNECTION. THEY WERE LUCKY IT DIDN’T FAIL AND CREATE A STAR POINT WHICH BLOWS ANYTHING 230 V UPWARDS. WE DISCONNECTED THE PROBLEM AND RECOMMENDED A NEW BOARD AS THE SCREWS HAD GOT VERY HOT AND HAD WEAKENED. ANOTHER NEAR MISS!
Part of the design process for installing new circuits into an existing installation is to consider whether the existing Consumer Unit/Distribution Board(s) have sufficient capacity for the new circuit.
All too often additional circuits are installed with the above consideration, although this particular one, by attempting to connect a 63 A 3 phase charger socket, has resulted in an immediate danger: the burning within the distribution board and the additional risk of loss of neutral.
Additionally, there could be further issues where there does not appear to be any provision of overcurrent protection where the line conductors have been connected to the incoming side of the main switch.
When faced with this type of non-compliant installation, the inspector would have to report this to the client as an unsatisfactory EICR.
Therefore, the classification code would be a C1, Danger present, immediate remedial action is required due to the thermal damage to the distribution board and its terminations.








The A2:2022 18th Edition Codebreakers publication is priced at £22.00 (members) and £24.00 (non-members). It is available in both hard copy and digital versions * Price is VAT exempt and excludes postage and packaging.







BS 7671 is written with its main focus on new electrical installation work and this frequently results in issues when trying to apply its requirements to existing installations such as when, for example, making additions and alterations to an existing installation. This article from the experts at NICEIC clarifies the requirements of BS 7671 for alterations and additions. It also highlights the importance of carrying out a pre-assessment of the existing electrical installation prior to starting such work.
Regulation 132.16 contains a requirement that no addition or alteration shall be made to an existing installation unless it has been ascertained that:
● the rating and condition of any existing equipment, including that of the distributor, is adequate for the altered circumstances
● the earthing and bonding arrangements of the installation, if necessary for the protective measure applied for the safety of the addition or alteration is adequate.
This requirement is often interpreted as meaning that in order to carry out an addition or alteration, the existing circuit being modified must be made to conform to all applicable requirements of BS 7671 current at the time that the modification is made. This is not the case.
Whilst any defects and non-compliances in the existing installation which may detrimentally affect the safety of the addition or alteration must be remedied,
any other defects or non-compliances that are observed during the course of the work concerned with alterations or additions may remain uncorrected but must be recorded on the certification for the addition or alteration under ‘Comments on the existing installation’.
The requirement
Currently, regulation 132.16 states that:
No addition or alteration, temporary or permanent, shall be made to an existing installation, unless it has been ascertained that the rating and the condition of any existing equipment, including that of the distributor, will be adequate for the altered circumstances. Furthermore, the earthing and bonding arrangements, if necessary for the protective measure applied for the safety of the addition or alteration, shall be adequate.
The UK wiring regulations have contained
requirements applicable to additions and alterations for many years.
For example, the Eighth Edition; Regulations for the Electrical Equipment of Buildings, issued in 1924, contained the requirement, reproduced as Fig 1, calling for it to be ascertained that the existing electrical equipment of the electrical installation was suitable for the additional current demand caused by an alteration or addition.
Up until the publication of the 17th Edition (BS 7671:2008), the requirements for additions and alterations continued to state specifically that it was necessary to determine that the existing equipment, including that of the distributor, ‘which will have to carry any additional load’ was adequate for the altered circumstances.
Although no longer stated explicitly, the fundamental requirement for sufficient capacity to supply any additional demand safely remains the key issue when an addition or alteration is made to an existing installation.

The existing installation being added to or altered
Any defects or omissions observed in the existing installation that would affect the safety of the addition and alteration; that is, those classified as immediately dangerous (C1), potentially dangerous (C2) or requiring further investigation (FI) during periodic inspection and testing, must be corrected before a certificate is issued.
To obtain this information it is recommended that a pre-work assessment should be undertaken of those parts of the existing installation on which the addition or alteration is reliant for reasons of safety.
In the case of any deficiencies attributed a C1 classification, measures should be taken to remove the immediate danger as soon as is possible.
Assessing the suitability before starting the work is also highly advisable from a business point of view. If after starting work, for example, it becomes apparent that there is no bonding to an extraneous-conductive-
part, when the customer is informed of the need for this additional work, they may disagree and argue that they have already agreed a price for the work. However, if you apply due diligence before starting, and advise on the lack of required bonding, an appropriate price can be agreed and work required can be suitably planned and documented.
Any other defects and non-compliances found in the existing installation during the pre-assessment or whilst undertaking the alterations or additions should be recorded on the certification covering the alteration or addition (644.1.2). There is no requirement to carry out remedial work on any such observed deficiencies.
However, before an addition or alteration is carried out, the adequacy of the following must be determined in respect of any additional current demand resulting from the modifications:
The current rating of the equipment of the supplier and distributor This would require a knowledge of the
characteristics of the supply (132.2) and an assessment of the maximum demand, including any additional loading introduced by the modification (311.1). If the existing capacity is found to be insufficient, the distributor should be contacted to upgrade the supply arrangement before the addition or alteration is energised.
The Energy Networks Association has published guidance on cut-out ratings for installations where it is intended to install electric vehicle charging equipment or heat pumps, which can be downloaded free of charge at: energynetworks.org/publications/cut-o ut-rating-guidance-to-electric-vehiclesor-heat-pumps-installers
The rating of any existing equipment in the final circuit(s) being modified and any distribution circuits supplying the final circuit(s)
This could include the current rating of distribution boards (536.4.202; 551.7.2), overcurrent protective devices and live conductors (Chapter 43). It could also
include the earth fault loop impedance of the circuit(s) where knowledge of this is required for the protective measure(s) employed (643.7.3).
The earthing arrangements
The adequacy of the main earthing of the existing installation and of the circuit protective conductors of the distribution and final circuits associated with the modification should be established (regulation group 543.1), noting that calculating the minimum cross-sectional area (csa) using the equation given in regulation 543.1.3 will generally result in a smaller acceptable csa than applying the selection criteria described in regulation 543.1.4.
The main protective bonding
It should be noted that any existing main protective bonding conductor does not have to conform to the requirements of the edition of BS 7671 current at the time of the modification in order to be adequate.
Its adequacy should be verified in the same manner as would be applied during a periodic inspection; that is, it may be considered to be adequate where the conductor has a csa of not less than 6 mm², it has been in place for a significant time, it shows no signs of thermal damage/distress and it is effectively connected at both ends.
Requirements for the alteration or addition
It is necessary to confirm that the electrical installation work of the addition or alteration conforms to any relevant requirements of the current edition of BS 7671 and does not impair the safety of the installation (641.5).
On completion of the addition or alteration, an Electrical Installation Certificate (EIC) must be issued to the person ordering the work (644.1). Where the addition or alteration doesn’t include the addition of one or more new circuits, or the replacement of a distribution board, a Minor Electrical
Installation Works Certificate (MEIWC) may be issued instead of an EIC (644.4.201).
Best Practice Guide 4 –Electrical installation condition reporting: Classification codes for domestic and similar electrical installations (BPG4), published by Electrical Safety First (ESF), includes a list of inadequacies observed during periodic inspection and testing for which the contributing organisations, including NICEIC, believe improvement is recommended (Code C3).
BPG4 advises that this code indicates that whilst an observed inadequacy is not considered to be a source of immediate or potential danger, improvement would contribute to an enhancement of the safety of the electrical installation.
To paraphrase; such improvements are ‘nice to have, but not essential for the safety of the electrical installation’. As such, it is not necessary to rectify any deficiency that warranted a C3 classification code. This would include, for example:
● absence of additional protection by RCD for:
■ AC circuits supplying luminaires in domestic household premises
■ cables installed at a depth of less than 50 mm from a surface of a wall or partition where required for a particular type of cable installation
● absence of an Arc Fault Detection Device (AFDD) in:
■ a Higher Risk Residential Building (HRRB)
■ a House in Multiple Occupation (HMO)
■ purpose-built student accommodation (halls of residence)
■ care homes
● undersized csa of a main protective bonding conductor where the conductor has a csa of not less than
6 mm² and there is no evidence of thermal damage.
Note: BPG4 recommends that this non-compliance does not require the allocation of any classification code
Neither regulation 132.16 nor regulation 641.5 requires that a circuit being altered or added to, or any other part of the installation which may have a bearing on the safety of any such alteration or addition, must be made fully compliant with the requirements of BS 7671 before an addition or alteration is made.
Because the addition or alteration is being made to an existing installation, the requirements for periodic verification apply to any assessment of its suitability for modification.
If there are no observed instances of damage, deterioration, defects or conditions that warrant being classified as immediately dangerous (C1), potentially dangerous (C2) or requiring further investigation (FI), the existing installation may be considered to be in a satisfactory condition for continued service and so suitable for modification.
It is often suggested that regulation 132.16 requires an installation to be fully compliant with the requirements of the current edition of BS 7671 before additions or alterations may be made to it.
This misinterpretation can result in unnecessary cost when even the most minor additions or alterations are carried out and, in some cases, this may mean that additions or alterations that might improve the safety of the installation are not carried out.
Moreover, such a misinterpretation may also mean that additions and alterations are carried out by persons that are not electrically competent. As such, it is likely that this is having a detrimental effect on electrical safety.

Have you ever tried to get to grips with the Inverse Square Law and how it works? In this article the experts at ROBUS provide you with a few pointers.
Ever lost your keys in the dark?
Picture this: you’ve just finished a job, it's late, and you're standing in a car park rummaging through your pockets –no keys. You sigh, pull out your torch and flick it on. When you point it straight at the ground in front of your feet, the light is blinding. You can see every detail of the gravel and your scuffed boots.
But then you lift the torch to scan the area around the car, and suddenly, everything looks dim. The beam fades fast, and you can barely make out what’s in the distance.
Why does that happen?
It’s not the torch getting weaker –it’s physics. More specifically, it’s the Inverse Square Law at work. And if you're working with lighting, whether it’s installing high bays in a warehouse or choosing the right emergency bulkhead, it’s a principle that’s well worth understanding.
Firstly, understand how light spreads from a source
When light leaves a source –let’s take your standard lamp as an example –it spreads out in all directions. In fact, it spreads out in the shape of a sphere.
Imagine it like ripples in a pond when you drop a stone: those ripples get wider and wider as they travel, but the energy gets spread thinner the further out they go. The same thing happens with light.

Close to the source, all that energy is packed into a small area, so it’s intense and bright. But as the distance increases, that same amount of light has to cover a much bigger area, so the brightness (or illuminance, measured in lux) drops off rapidly. That’s exactly what the Inverse Square Law describes. It’s not that the light source is weaker, it’s just that the beam has more space to fill.
Key takeaway: Light spreads spherically and gets dimmer as it covers more area.
What about controlled beam angles?
The Inverse Square Law is based on spherical spreading, but here’s the key: even when a luminaire has a controlled beam angle (like 30°, 60°, etc.), the Inverse Square Law still

applies, just within that beam.
It’s not limited to perfect spheres of light. In an ideal spherical source, the light spreads in all directions equally, forming a perfect sphere. In a real-world fitting, the optics shape the beam. So, instead of a full sphere, it spreads in a cone (or part of a sphere). The math is the same inside that cone.
Key takeaway: Even controlled beam angles use the Inverse Square Law.
Let’s throw some numbers at this theory…
Say a light gives 100 lux at 1 metre away. At 2 metres away, it’s not just half as bright –it’s down to 25 lux.
So, why did it decrease to a quarter and not just half? This is the key to the Inverse Square Law!
Common mistake: People assume double the distance = half the light. Not true: The light spreads in all directions, not just in a straight line.
The light isn’t travelling in a straight line, it’s spreading out in the shape of a sphere. The surface area of a sphere is calculated using this formula:
Area = 4 × π × (distance)²
That little "²" means the area doesn’t grow in a straight line –it grows with the square of the distance:
● 1 metre = area of 1² = 1
● 2 metres = 2² = 4 → light is spread over four times the area
● 3 metres = 3² = 9 → brightness drops to 1/9th
Key takeaway: Double the distance, and you get just a quarter of the light.
How to apply Inverse Square Law while on the job
Let’s say you're installing a floodlight on the outside of a building to light up a yard. The spec sheet says the light has a luminous intensity of 1,200 candela (cd) in the downward direction. You want to know how bright it will be 4 metres below the fitting –at ground level.
Here’s the formula:
Plug in the numbers:
At 4 metres down, you’ll get 75 lux on the ground.
Want it brighter?
If the client wants at least 150 lux, you’ve got options:
● Lower the mounting height: Move the light to 2.8 metres and check your formula again.
● Use a more powerful light source: Increase the candela value.
● Add a second fitting: Double up and aim the beams correctly.
Inverse Square Laws are used everywhere –not just in lighting!
The Inverse Square Law isn’t just for lighting –it’s a fundamental principle that shows up across physics.
It applies to sound, where the intensity of a noise drops off sharply the further you move from the source. Even radiation and wireless signals follow the same rule.
One law, many uses –and now you know. Inverse Square Law: the farther it goes, the faster it fades.
Wondering how to measure light intensity at an angle?
Good thinking! You can find out how to apply the Inverse Square Law at an angle with LED Group Academy.
Learn from leaders in lighting, circuit protection, heating and electrification –all in one powerful hub.



Joshua Hammerton, cofounder of Enkin and former electrician, provides some technical insight for the modern professional.
The lighting industry is evolving faster than ever. Traditional control systems are being replaced by intelligent, connected networks that not only enhance user comfort but also help achieve energy efficiency and regulatory compliance. For electricians, understanding the
technology and standards behind smart dimming is now essential to professional practice.
Smarter systems, practical solutions
Smart lighting has moved beyond novelty. Customers now expect lighting that integrates seamlessly with voice assistants, mobile Apps and home automation systems.
Whether in residential, commercial or hospitality environments, demand is rising for reliable, flexible and energy-efficient lighting controls that are simple to install and maintain. The challenge, however, lies in balancing sophistication with practicality.

Many smart systems remain complex to configure, difficult to retrofit, or incompatible with existing wiring

arrangements. However, products like Enkin’s ZDM150 Inline Zigbee Smart Dimmer represent a new generation of solutions designed with electricians in mind. This dimmer module is compact, robust and compliant with the latest standards.
But, beyond the product itself lies a broader discussion: What controls the design and installation of smart dimming systems in the UK?
The standards behind smart dimming
As lighting control systems become more intelligent and integrated, compliance with safety, installation, and performance standards is vital.
The following framework guides the use and installation of smart dimming systems:
● BS EN 60669-2-1 – Governs the design and performance of electronic switches, including dimmers, used in fixed installations for residential and commercial environments.
● BS EN 55015 and BS EN 61000 series –Define electromagnetic compatibility (EMC) limits and immunity. While not listed on product datasheets, Enkin devices are CE/UKCA marked and designed to meet these EMC expectations.
● BS 7671 (IET Wiring Regulations) –Enkin dimmers are suitable for use in installations compliant with BS 7671, especially Sections 559 (lighting installations) and 715 (ELV lighting).
● BS EN 15193-1:2017 – While not a direct product certification, Enkin dimming modules contribute to energy-efficient lighting control in buildings assessed under this standard.
● Building Regulations Part L – Enkin's smart dimmers support energy-efficient lighting strategies, aiding compliance in both new and retrofit projects.
Adhering to these standards ensures that smart dimmers not only operate reliably but integrate safely into lighting systems without compromising electrical safety or causing interference with other devices.
connectivity and system compatibility
Modern lighting systems depend on communication procedures that determine how devices interact. For electricians, understanding these procedures helps ensure correct design and troubleshooting. Zigbee for example, operates as a self-healing mesh network, so every connected device strengthens the system, enhancing reliability and range. This differs from Bluetooth-based solutions, which generally use point-to-point connections offering less flexibility for future growth.
Other relevant communication standards include:
● DALI-2 (IEC 62386): Widely used in commercial lighting control for digital communication between luminaires and controllers.
● Matter and Zigbee 3.0 (CSA Alliance): Open frameworks designed to promote interoperability between different manufacturers and ecosystems.
Understanding these frameworks helps professionals design lighting systems that remain adaptable and future-proof as the market continues to evolve.
daylight or motion-sensing control, smart dimmers reduce unnecessary energy consumption and extend lamp life.
Installation and practical considerations
Successful integration of smart dimming relies on thorough installation practices. Electricians should confirm:
● Load compatibility: Confirm the dimmer supports the connected lamp type and total wattage
● Neutral availability: Unlike Enkin dimmers which don’t need neutrals, some dimmers require a neutral conductor; others are designed for two-wire systems.
● Space constraints: Compact module designs, such as inline or behind-switch units, simplify retrofit into standard back boxes
● Manual control: Retaining local retractive or two-way switch functionality ensures control continuity during network outages
● Commissioning: Secure pairing via Apps or hubs must follow manufacturer guidance to avoid interference and connectivity issues
Attention to these details can significantly reduce call-backs and improve user satisfaction.
The electrician’s role in the smart era

regulation
Smart dimming plays a direct role in meeting energy efficiency requirements under Building Regulations. By enabling automated control, scene setting and
Electricians are no longer just installers –they now bridge the gap between electrical safety, digital connectivity and user experience. As clients increasingly expect voice-activated and App-controlled lighting, professional electricians who understand the governing standards, procedures and design considerations will be able to lead these conversations.
Smart dimming isn’t just about convenience; it’s about control, efficiency and compliance.

IN THIS REGULAR COLUMN, DR. TOM BROOKES, MD AT ZZEUS TRAINING AND CHAIRMAN OF THE BSI TECHNICAL COMMITTEE FSH 12/1 INSTALLATION AND SERVICING, ANSWERS YOUR QUESTIONS RELATED TO FIRE SAFETY. HERE HE LOOKS AT BS STANDARDS AND THE CORRECT PROTOCOL FOR CERTIFYING SYSTEMS THAT ARE DESIGNED TO AN OLDER STANDARD.
We have been installing a fire system in a large hotel building since January 2025. It was designed to the BS 5839-1:2017 version. The client wants us to certify it to the BS 5839-1:2025. Can I do that?
No, not without complete verification and documented justification of compliance with the new clauses. You can only certify to the standard to which the system was designed and installed, unless you have formally reviewed and upgraded the system to meet all the new 2025 requirements.
Here’s why:
Under BS 5839-1 Clause 39 (Certification), 39.1 On, or as soon as practicable after, completion of each of the design, installation and commissioning certificates, they should be issued. The design certificate should have been issued and signed in January on a BS 5839-1:2017 certificate.
If the design, cause-and-effect, or installation followed the 2017 edition, then by definition, you cannot sign to 2025 –because the requirements are not identical.
Key changes (for example):
•Heat detectors in sleeping rooms are no longer permitted.
•Zone plan requirements and
interface accessibility have changed.
•Areas of low risk have changed.
•Competence, documentation, and variation recording clauses have been tightened.
So, unless those aspects have been re-checked, re-documented, and brought up to 2025 compliance, the new certificate would be inaccurate.
In the “use of this document” section, users are expected to ensure that claims of compliance are not misleading.
What you can do instead
Option 1 – Certify to BS 5839-1:2017
“This system has been designed, installed, and commissioned in accordance with BS 5839-1:2017, which was the current edition at the time of design.”
That is perfectly legitimate — standards are not retrospective.
Option 2 – Carry out a compliance gap review
If the client insists on a 2025 certificate, to achieve certification to BS 5839-1:2025, you should first carry out a comprehensive gap analysis comparing the existing system against the updated requirements.
Any differences — such as heat detectors used in sleeping areas, zone plan layout, cable identification, or documentation format — must be


identified and recorded.
Each variation should then be either rectified to meet the new standard or formally justified and documented. Once this process is complete, the system can be legitimately certified to BS 5839-1:2025, with all variations clearly stated.
This method fully aligns with Clause 6 and the 2025 edition’s enhanced focus on transparency, accountability, and competence.
Certification should always reflect the edition of BS 5839-1 to which the system was originally designed and installed.
If a client wishes the system to demonstrate compliance with the 2025 edition, a new verification review would be required to confirm alignment with the updated requirements, rather than simply re-issuing the existing certificate.

DO YOU HAVE A QUESTION YOU'D LIKE ANSWERED?
EMAIL YOUR QUERIES TO: TOM@ZZEUS.ORG.UK

GET MORE DETAILS ABOUT ZZEUS TRAINING AND THE RANGE OF COURSES ON OFFER AT: WWW.RDR.LINK/EBT028

In some cases, it is necessary to know the maximum permitted earth fault loop impedance (Zs) for the protective device used. This is to confirm the requirements for automatic disconnection in the event of a fault as part of the protective measure Automatic Disconnection of Supply (ADS). This article from the experts at NICEIC explores how designers can determine the maximum permitted Zs for both circuit-breakers and moulded case circuit-breakers (MCCBs).
Circuit-breakers and MCCBs, manufactured to BS EN 60898 and BS EN 60947-2 respectively, are commonly used to provide automatic disconnection in the event of a fault as part of the protective measure ADS.
In such cases, it is the responsibility of the designer to ensure that the protective device will operate within the permitted time. This is generally verified where the measured Zs is less than or equal to the maximum Zs permitted for the device.
Disconnection times
The maximum disconnection times for ADS are contained within Chapter 41 of BS 7671 Table 1 displays the disconnection times for a TN system with a voltage to earth (U0) of 230 V AC.
Finding the maximum permitted Zs of a circuit-breaker
Where a protective device to BS EN 60898
and BS EN 61009-1 is used, it is common practice to refer to Table 41.3 of BS 7671 to determine the maximum permitted Zs However, the following statement given in Appendix 3 of BS 7671 should also be considered:
“The maximum values of earth fault loop impedance to achieve the disconnection time vary with the different types of protective device and also between manufacturers. Wherever possible designers should use the manufacturer’s specific data.
Alternatively, the impedance values given in Tables 41.3 and 41.6 can be used for BS EN 60898 circuit-breakers. These values are far more onerous and in some cases may be difficult to achieve without installing larger sized cpcs.”

The designer therefore needs to understand how to determine the maximum Zs values from a manufacturer’s data for a specific protective device. The values in Table 41.3 are obtained from the time/current characteristics curves given in Appendix 3. Formula 1 shows how this is determined.
Formula 1
Where:
Cmin –correction factor to account for voltage variations, given as 0.95 in Appendix 3 of BS 7671
U0 –nominal AC rms line voltage to earth.
Ia –current causing operation of the device in a specified time. For a Type C circuit-breaker this is 5x the nominal current rating of the device (In).
When not using the values given in Table 41.3, to obtain the value of Zs, knowledge of la is required. To find the value of la for a specific manufacturers’ device, the relevant time/current graph is required. These can be obtained from the manufacturers’ websites. Fig 1 represents a time/current curve for an imaginary Type C circuit-breaker.
This graph differs slightly from that of Zs = U0 × Cmin Ia

Appendix 3, as this displays the operational tolerance of the device, and is also representative of multiple device ratings within the Type C range. This graph represents thermal-magnetic circuit-breakers, the vertical line represents the magnetic part of the device, whereas the curve represents the thermal part. To determine the value of current causing operation of the protective device (la), the following steps are carried out:
1. Identify the disconnection time: Determine the required disconnection time for the device from Chapter 41 of BS 7671
2. Draw horizontal line: From the y-axis (time axis) on the graph, draw a horizontal line across the graph corresponding to the disconnection time, for example 0.4 seconds.
3. Find intersection point: Locate the point where this horizontal line intersects the latter part of the time/current curve.
4. Draw vertical line: Draw a vertical line from the intersection point on the curve down to the x-axis (rated current multiplier).
5. Read the rated current multiplier factor: The point where the vertical line intersects the x-axis reveals the multiple to apply to the circuit-breaker rating.
The five steps have been carried out and are marked on Fig 2 in red, indicating a multiplication factor of 10. This factor reiterates that used in the formula in Table 41.3 for a Type C protective device. If the procedure was to be repeated
for a disconnection time of 5 seconds, as indicated on Fig 2 in blue, this would yield a multiplication factor of 5.5. If the value of operating current (la) to be determined is for a device such as a 45 A Type C circuit-breaker from this particular manufacturer, the following calculation should be carried out:
Formula 2
la(0.4 s) = 10 × 45 A = 450 A
s) = 5.5 × 45 A = 247.5 A
The values obtained for la can now be entered into Formula 1 to determine the maximum permitted Zs
Formula 3
Zs = U0 × Cmin Ia
Zs = 230 × 0.95
450
Zs = 0.48 Ω
The maximum Zs is determined as 0.48 Ω for a disconnection time of 0.4 seconds, whereas it increases to 0.88 Ω when calculated for a disconnection time of 5 seconds.
While the previous examples given are based on circuit-breakers, the principle for obtaining Ia for a thermal-magnetic MCCB remains the same. However, there may be other settings on the device that need to be considered. Many MCCBs incorporate means to adjust the thermal and magnetic characteristics of the device.
The basic settings are listed below:
Ir –adjusts the Long-time current thermal setting Isd (or Im) –adjusts the Short-term magnetic setting
The Ir adjustment is manufacturer dependent, although this can be a factor of the In value, such as 0.63 - 1.0. As an

example, an MCCB with an In rating of 100 A with an Ir setting of 0.8 would give an Ir of 80 A.
Similarly, the Isd setting can be somewhere around 1.5 - 10, which is a factor based on the In or Ir setting of the device. For example, using the Ir value of 0.8 and an Isd setting of 7, the Isd would be 560 A (80×7=560 A). Fig 3 depicts these settings.

Once the values have been determined by the designer, the following steps will enable the maximum Zs value for the corresponding 0.4 s and 5 s disconnection times to be obtained.
For a 0.4 s disconnection time it is not necessary to consult the graph as Isd equals Ia. However, prior knowledge of the device’s tolerance is required. For example, if the manufacturer states there is a 10 % tolerance on the device, this should be factored into the calculation, as shown in Formula 4.
Note: the factor of 1.1 accounts for the 10% tolerance stated.
Formula 4
Zs = 0.35 Ω
To obtain the operating current (Ia) for a 5 s disconnection time, the graph would be referenced. Utilising Graph 2 as the imaginary MCCB time/current curve, the value of Ia would be 440 A (5.5×80=440 A). With the current Ia obtained, the maximum permitted Zs can now be calculated as shown in Formula 5.
Formula 5
Zs = 0.49 Ω
This article is limited to thermal-magnetic devices, although MCCBs are sometimes equipped with an electronic trip. If electronic devices are used, manufacturers’ information should be sought to obtain la and the corresponding maximum Zs for the devices.
Some manufacturers may provide software to aid determination of the values for their devices. This can be the most accurate and least time-consuming method for determining the maximum Zs and is essential where electronic devices are used.
To ensure compliance with ADS, the maximum permitted Zs of the protective device needs to be obtained to ensure the measured value of Zs is within range. According to BS 7671, manufacturers’ specific data should be utilised whenever possible.



Although this is not technically an inspection and testing coding observation, it does raise the issue of concealed cables and the requirements of BS 7671 for the correct installation and protection of wiring systems.
Section D of the EICR does state cables concealed in the fabric of the building have not been inspected unless agreed with the client, therefore we would not normally be inspecting such cabling.
The damage to the cable may not have resulted in an immediate operation of the protective device, whether a circuit-breaker or an RCD, although it appears to have been subject to intermittent tripping.
Fault finding revealed a fault under the insulation resistance testing where the circuit had lower than expected values.
The close proximity of the metal consumer unit to the screw/bracket would allow simultaneous contact between the two while energised and would remain live. If there is no RCD protection, this can lead to electric shock.
Damage to concealed cables often happens where clients are not aware where the cables are and will fit brackets and hooks where they need them. In this regard, prescribed zones are the best kept secret.



Therefore, the classification code would be a C1, Danger present, immediate remedial action is required due to the cable damage and lack of operation of the protective device.



Updated for BS 7671:2018+A2:2022, NAPIT’s EICR Codebreakers publication is purpose-written to aid contractors, inspectors and clients, and now includes updates to align with Amendment 2 of the IET 18th Edition Wiring Regulations. The book is the perfect technical aid for electrical professionals and their customers.





Need help with cracking those all-important EICR codes? Every month the technical team at NAPIT will be studying your latest ‘Caught on Camera’ photos and offering advice on the next steps, should you find a similar installation. If you want the team at NAPIT to help crack your codes then send your pictures through to us at: pe@hamerville.co.uk


JOHN COOMBS: I BET THIS IS THE FIRST TIME YOU’VE SEEN THE SEALING CAP USED FOR AN OUTSIDE SOCKET? CARRIED OUT BY A BODGING BUILDER…
Inspecting garden lighting and power often reveals installation work which fails to meet the minimum requirements of BS 7671 and in this case, it falls way below basic installation practices.
With this type of resin cable joint is manufactured for the termination of two SWA cables with a pouring spout for the resin which has a sealing cap fitted when complete. This pouring hole is not suitable for cable entry such as the one shown in the photograph.
The cable used for the socket-outlet is not suitable for external installation as it appears to be twin and earth with insulation tape used for added protection.
There are proprietary joints for branch cables which are suitable for connecting additional points on a cable such as this.
Incorrect use of any wiring system component will often result in failure to comply with BS 7671 and the outcome can lead to circuit damage or shock risk to the persons usi ng the installation.



Therefore, the classification code would be a C2, Potentially dangerous, urgent remedial action is required due to the incorrect cable joint and cable type for external use.




The A2:2022 18th Edition Codebreakers publication is priced at £22.00 (members) and £24.00 (non-members). It is available in both hard copy and digital versions * Price is VAT exempt and excludes postage and packaging.

ORDER YOUR COPY OF NAPIT CODEBREAKERS BY VISITING: WWW.RDR.LINK/EBT026






Grenfell Tower and other previous fire incidents within high rise residential buildings, has led to new legislation being introduced to transform fire safety standards.
BS 8629:2019 introduces mandatory Evacuation Alert Systems (EAS) for all new residential buildings over 18 metres in England and Scotland –creating significant opportunities for electrical contractors.
What is BS 8629?
BS 8629:2019 is the code of practice for Evacuation Alert Systems specifically for Fire and Rescue Service use in residential buildings containing flats. Developed in response to the horrific Grenfell Tower incident, where traditional "stay-put" policies proved fatal, the standard gives firefighters critical control to override these policies based on the specific emergency unfolding before them.
The system centres around Evacuation Alert Control and Indicating Equipment (EACIE) –dedicated control systems exclusively operated by Fire & Rescue Services to trigger alerts for selective evacuation of specific floors, zones, or even individual flats.
Each flat is equipped with sounders and visual alarm devices that firefighters can activate remotely to directly alert residents they need to evacuate.
Unlike conventional fire alarms, these require manual activation by firefighters and operate independently from automatic detection systems, allowing tactical evacuation decisions based on real-time fire conditions.


In this article the experts at Channel look at the requirements for BS 8629:2019: Fire Evacuation Systems for Residential Buildings.
Key technical requirements include:
● System independence: EAS must operate separately from fire detection and alarm systems, using distinct circuits and enhanced fire-resistant installation methods.
● Control equipment: Secure control panels in protected areas with manual switches allow firefighters to trigger alerts for specific floors or zones. Panels are housed in tamper-proof enclosures accessible only to Fire & Rescue Services.
● Alert devices: Each flat requires sounders and visual alarm devices meeting a minimum of 85 dBA at all open bedroom doors and also 60 dBA sound levels in living areas with doors closed.
● Power resilience: Battery capacity must provide 72 hours standby operation plus 30 minutes evacuation signalling capability, unless there is an uninterruptable power supply installed. In this case the capacity can be reduced to 24 hours plus 30 minutes, matching BS EN 544 requirements.
● Circuit design: Enhanced fire-resistant cabling and zone isolation ensure that if one area fails, other zones continue operating. Cable routes must be protected, with physical fire-resistant barriers separating each zone's wiring
Both wired and wireless systems are permitted under BS 8629. Wired systems offer cost-effectiveness for new builds, while wireless systems suit retrofits in existing buildings where running new cables presents
challenges or excessive disruption.
Requirements apply to all new residential buildings over 18 metres (approximately six storeys) containing flats. The mandate extends to buildings undergoing substantial refurbishment, not just new construction.
Crucially, recent regulatory changes have reclassified holiday lets and Airbnb properties as commercial premises, potentially expanding application beyond traditional residential buildings.
Professional opportunities
Understanding BS 8629 positions contractors to capture profitable evacuation system work while ensuring full compliance with current legislation.
For electrical contractors, installing evacuation alert systems should represent familiar territory – manual control circuits, battery backup systems, and zone-based wiring are fundamental electrical concepts.
The complexity lies in understanding the design, compliance requirements, and commissioning procedures. However, many contractors still feel uncertain about entering this market.
To address this knowledge gap, Channel offers free CPD training sessions specifically covering BS 8629 evacuation systems for electrical contractors.
These sessions simplify the requirements, explain the technical standards, and provide practical guidance on how contractors can confidently take on this work with appropriate support for design and commissioning aspects.

As PME systems become common, Neutral Current Diversion (NCD) is a growing concern. Steve Humphreys, Technical Commercial Manager at NAPIT, highlights the dangers of diverted neutral currents from network faults, how to detect them, and essential checks electricians must perform to ensure safety.
Neutral Current Diversion (NCD) has been around since the early 1970s, coinciding with the introduction of PME network supplies. Due to the characteristics of how PME supplies work, there will inevitably be some level of neutral current importing and exporting between properties through shared conductive metalwork, such as gas pipes.
This type of NCD is quite safe during normal operation. However, in this article, we explore NCD caused by a fault on the network –a situation that can make our electrical installations unsafe.
As mentioned, the issues surrounding NCD have been recognised for some time, but there remains very little
tangible evidence or data that tells us about the number of reported problems and dangerous incidents around NCD.
NAPIT has been working with industry partners to conduct further research into this issue. This has involved reaching out to our members and other electrical engineers to ask for their input to contribute to the research of NCD.

What is Neutral Current Diversion (NCD)?
So, let’s take a look at what NCD is, the risks involved resulting from a network fault and how electricians can identify and report it using a series of checks and tests.

Neutral current diversion (NCD) describes ‘stray’ or ‘diverted’ neutral currents flowing in metallic structures, services and pipes in an installation that would otherwise return via the neutral conductor.
NCD can occur on the network when the combined Protective Earthed

Neutral (PEN) conductor fails in a TN-C-S (PME) electrical supply. As a result, the current will seek an alternative path back to the supply transformer. This current can be diverted via exposed metalwork, such as gas, water, or oil pipes.
It’s now worth reminding ourselves of what a PEN conductor is, and how it can fail.
A Protective Earthed Neutral (PEN) conductor is a single conductor that serves a dual purpose, as both the neutral and protective earth in a TN-C-S (PME) earthing system. Sometimes referred to as a Combined Neutral and Earth (CNE) conductor, it is commonly used in low-voltage (LV) PME supply earthing systems.
Typically, a PME supply cable consists of internal single or multi-cores, which are the line conductors, surrounded by wire armouring that forms the PEN conductor. Due to its construction, these types of composite cables are known as ‘concentric cables’, as shown in Fig 1
In a PME system, the PEN conductor is earthed at multiple points –both at the source and along the supply route. This ensures a low impedance path for fault currents, meaning that if a fault occurs, the fault current can quickly return to the source through the earthed neutral, causing the protective device to operate.
At the supplier’s cutout –the origin of
the electrical installation –the PEN conductor is separated. This means that from this point forward, within the consumer’s installation, the neutral and protective conductors remain separated, as shown in Fig 2
How can a PEN conductor fail?
A PEN conductor could be severed, damaged, or deteriorate so that it no longer maintains a connection to the earthing system. Lost PEN conductor incidents can occur for various reasons, such as accidental severing during road excavation or corrosion at underground cable joints caused by moisture ingress (see Fig 3).
A lost PEN conductor can lead to a range of serious hazards in electrical installations, including:
● Overheating of earthing and bonding conductors
● Single-phase installations experiencing voltages of up to 400 V
● Damage to electrical appliances due to exposure from high voltages
● Overheating of metallic gas pipes
● Fire risk
● Possible explosion
The impact of a lost PEN conductor and possible NCD depends on its location within the network. It may affect just one location or extend to numerous properties, making it difficult to accurately

predict neutral current diversion.
The specific paths the current will take to return to the supply transformer and the total current levels are difficult to determine. An electrical installation could seem to be operating correctly, but potentially have diverted neutral current from an adjacent premises and therefore possibly dangerous levels of voltage on extraneous and exposed-conductive-parts.
An important factor to consider when we have a broken PEN conductor –depending on the location –is whether an installation is importing or exporting stray neutral current.
If the installation is exporting neutral currents, there is some element of control due to the limiting factor of the service cut-out fuse. However, if the installation is importing neutral currents, from say multiple premises, this could create a much higher neutral current with no control measures in place.
How do you check for neutral current diversion?
Before commencing any work on an electrical installation –especially when making alterations or additions –basic safety checks must be carried out. This is highlighted in BS 7671 and Regulation 132.16 which states:
“No addition or alteration, temporary or permanent, shall be made to an existing installation, unless it has been ascertained that the rating and the condition of any existing equipment, including that of the
“An important factor to consider when we have a broken PEN conductor –depending on the location –is whether an installation is importing or exporting stray neutral current...”
distributor, will be adequate for the altered circumstances. Furthermore, the earthing and bonding arrangements, if necessary for the protective measure applied for the safety of the addition or alteration, shall be adequate.”
While there is no simple test that will indicate the presence of NCD, we can perform some checks and tests using the test devices and instruments shown in Fig 4
It is recommended that the following safety checks and tests are carried out in order to determine the possibility of NCD:
● Visual inspection
Inspect the distributor’s/supplier’s intake equipment, checking for any visible damage or defects and that protective earthing is present and connected.
● Live installation test
Use a clamp ammeter to check for current on the earthing conductor and main protective bonding conductors:
● a low reading (a few milliamps) is usually normal;
● switching on additional loads within the installation that increases the current may indicate NCD;
● an unusually high current suggests NCD
● Isolated installation test
Isolate the installation, then use a clamp ammeter to check for current on the earthing conductor and main protective bonding conductors:

● little to no current may be normal;
● a higher current that is still present may indicate NCD, this could indicate that the installation is importing current from another source on the distribution network
IMPORTANT: This next test is potentially a live test. Proceed with caution in accordance with a safe system of work, risk assessment and appropriate PPE.
● Live isolation and disconnection check
With the installation still isolated, disconnect the main protective bonding and look for visual indications of current being present, i.e. sparking or arcing. Using a non-contact voltage indicator, check for the presence of voltage on the MET, the earthing conductor, main protective bonding conductors, exposed-conductive-parts and at extraneous-conductive-parts.
● If voltage is detected this may indicate NCD;
● if no voltage is detected, other conductive paths exist

best practices in electrical safety.
If, after carrying out the checks and tests highlighted above and NCD may be suspected, the DNO should be notified immediately by calling the emergency number 105.
NCD poses significant risks to both electrical installations and public safety. The loss of a PEN conductor can lead to unpredictable current flow, potentially resulting in electric shock, overheating, equipment damage, and even fire or explosions. Given the difficulty in accurately quantifying neutral current diversion, proactive measures must be taken to mitigate the risks.
Electrical professionals must remain vigilant in identifying potential PEN conductor failures, ensuring proper earthing arrangements, and staying informed about
Ongoing industry collaboration and research, as led by NAPIT and its partners, are crucial in developing effective measures to address this complex challenge.
By prioritising education, awareness, and rigorous inspection procedures, the industry can reduce the likelihood of dangerous diverted neutral currents and improve overall electrical safety.
5 ENDS!





Running across two days, the ELEX shows are returning this month, and they’re set to be better than ever. What’s more, we’ve got great news for visitors that are serious about CPD!
Recent changes to The Electrotechnical Assessment
Specification (EAS) which sets out the minimum requirements for a business to be recognised as technically competent by a Certification or Registration Body, includes a requirement for businesses to maintain appropriate records of qualifications, training (including Continuing Professional Development) and experience.
To support this requirement, EVERY ELEX seminar is now CPD accredited, ensuring those individuals who make the time and effort to attend will receive a direct certificate of completion, which can

form a key part of your ongoing Continuing Professional Development record.
With industry regulation and legislation changing constantly, the extensive ELEX seminar programme will cover an array of topics, including the latest Amendment 4 to the 18th Edition and the changes this covers, along with best practice and technical advice for professionals to get stuck into.
Presentations will be delivered by experts in their field and the only cost to delegates is their time.
All seminars will take place in the IET Seminar Theatre located centrally in the exhibition hall and there’s no need for delegates to pre-book, just pre-register to attend the show.
Whether you need some advice on the direction the sector is heading, want to chat with manufacturers about their latest solutions, view live demonstrations of the latest products or bag yourself a great
YOUR SHOW, NEAR YOU...
● At a venue near you
● Across two days
● Free parking (van friendly)
● Free entry
● Free T-Shirt & a free bacon roll* (*limited to first 1,000 visitors)
● Show bargains
● Hands-on demos
● Meet manufacturers
● Networking opportunities
● CPD accredited seminars and certificates
show deal on tools and equipment from leading brands, your regional ELEX tradeshow has it all.
ELEX returns this month with stops at Bolton Arena on 5th/6th March, and the iconic Alexandra Palace in London om 26th/27th March.