Water Matters - december 2022

Page 1

Uitgave WATER MATTERS KENNISMAGAZINE VOOR WATERPROFESSIONALS December 2022 Voorwoord 2 Rioolwatersurveillance in Rotterdam-Rijnmond 4 Nieuwe meetmethode kwaliteitsbewaking UF-membraansystemen 8 Kansen en knelpunten voor rivierprik in de Grift 12 DNA-fingerprints tonen herkomst en microbiële veiligheid drinkwaterwinning 16 Hoe moet het drinkwaterdistributienet van Waternet meegroeien met de stad? 20

Voor u ligt de vijftiende editie van Water Matters, het kennismagazine van vakblad H2O. U treft vijf artikelen over uiteenlopende onderwerpen, geschreven door waterprofessionals op basis van gedegen onderzoek.

Bij de beoordeling heeft de redactieraad bestaande uit deskundigen uit de sector, een selectie gemaakt waarbij is gekeken naar een duidelijke relatie met de dagelijkse praktijk in de watersector, de opzet van Water Matters. Onderzoek, resultaten en bevindingen vormen de basis voor artikelen die nieuwe kennis, inzichten en technologieën beschrijven met zicht op praktische toepassing.

In deze editie trappen onderzoekers van Partners4UrbanWater, KWR Water Research Institute, Erasmus University Medical Center, Rotterdam, GGD Rotterdam-Rijnmond af met een studie naar rioolwatersurveillance in de regio Rotterdam-Rijnmond.

Verder vindt u artikelen over een nieuwe meetmethode voor kwaliteitsbewaking van UF-membraansystemen, een onderzoek naar vismigratie (kansen en knelpunten voor rivierprik in de Grift), herkomst en microbiële veiligheid drinkwaterwinning dmv DNA-fingerprints en een studie met als onderzoeksvraag: hoe moet het drinkwaterdistributienet van Waternet meegroeien met de stad?

Water Matters is, net als het vakblad H2O, een initiatief van Koninklijk Nederlands Waternetwerk (KNW), het onafhankelijke kennisnetwerk voor en door Nederlandse waterprofessionals. Leden van KNW krijgen Water Matters twee keer per jaar gratis als bijlage bij hun vakblad H2O.

De uitgave van Water Matters wordt mogelijk gemaakt door vooraanstaande spelers in de Nederlandse watersector. Deze Founding Partners zijn Deltares, KWR Watercycle Research Institute, Royal HaskoningDHV en Stichting Toegepast Onderzoek Waterbeheer (STOWA). Met de uitgave van Water Matters willen de participerende instellingen nieuwe, toepasbare waterkennis toegankelijk maken.

U kunt Water Matters ook digitaal lezen op H2O-online (www.h2owaternetwerk.nl). Daarnaast is deze uitgave als digitaal magazine ook in het Engels beschikbaar via dezelfde website of via www.h2o-watermatters.com

De Engelstalige artikelen kunnen vanuit het digitale magazine op H2O-online worden gedeeld. Voorts zijn artikelen uit eerdere edities terug te vinden op de site.

Veel leesplezier met deze editie. Wilt u reageren? Laat het ons weten via redactie@h2o-media.nl

Monique Bekkenutte

Uitgever (Koninklijk Nederlands Waternetwerk)

Huib de Vriend

Voorzitter redactieraad Water Matters

2 I VOORWOORD
Onderzoek met zicht op praktische toepassing
Van rioolwatersurveillance in Rotterdam-Rijnmond tot kwaliteitsbewaking van UF-membraansystemen

COLOFON

Water Matters is een uitgave van Koninklijk Nederlands Waternetwerk (KNW) en wordt mogelijk gemaakt door Deltares, KWR Watercycle Research Institute, Royal HaskoningDHV en de Stichting Toegepast Onderzoek Waterbeheer (STOWA).

UITGEVER

Monique Bekkenutte (KNW)

HOOFDREDACTEUR

Bert Westenbrink

Eindredactie Nico van der Wel, Mirjam Jochemsen

REDACTIEADRES

Koningskade 40 2596 AA Den Haag redactie@h2o-media.nl

REDACTIERAAD

Huib de Vriend (voorzitter), Thomas ter Laak, Joachim Rozemeijer, Sigrid Scherrenberg, Michelle Talsma, Jeroen Veraart

VORMGEVER Ronald Koopmans DRUK Veldhuis Media, Raalte

I 3 INHOUD INHOUD RIOOLWATERSURVEILLANCE SARS-CoV-2 4 Relatie riooldata en positieve testen UF-MEMBRANEN Nieuwe meetmethode 8 Nauwkeurig prestaties monitoren VISMIGRATIE Rivierprik in de Grift 12 Kansen en knelpunten DRINKWATERWINNING DNA-fingerprints 16 Identificatie bron fecale bacteriën DISTRIBUTIENET Amsterdam eo 20 Aanpak groeiende drinkwatervraag
WATER MATTERS NO.15 DECEMBER 2022

RIOOLWATERSURVEILLANCE IN ROTTERDAM-RIJNMOND 2020-2022

Tijdens de eerste COVID-19-golf van voorjaar 2020 bleek het mogelijk is om virusdeeltjes van de nieuwe ziekteverwekker in rioolwater aan te tonen. Dat leidde tot een projectplan om rioolwatersurveillance door te ontwikkelen als volgmethode van SARS-CoV-2 op wijk- of dorpsniveau. Dat project is baanbrekend gebleken voor de analyse van virusvarianten in rioolwater en voor de analyse van de relatie tussen ‘riooldata’ en data over positieve testen, artsenbezoek en ziekenhuisopnames.

Opzet onderzoek: invullen infectiepiramide De basisgedachte achter het onderzoek was de zogenaamde ‘surveillancepiramide’ (zie afbeelding 1). De top van de piramide omvat de overleden patiënten, de tweede laag zijn patiënten in het ziekenhuis, de derde laag betreft patiënten die zijn gediagnosticeerd door een huisarts. De vierde laag betreft besmette personen die zijn geregistreerd via teststraten (of een ander gezondheidssysteem), de vijfde laag zijn mensen met symptomen en de zesde laag, de dragers, daarnaast ook de asymptomatische mensen.

WATER MATTERS 4 I
Monsternamekast bij het ondergrondse rioolgemaal Katendrecht. De apparatuur voegt op gezette tijden een beetje rioolwater toe aan een monsternamevat, om een representatief 24-uurs monster te krijgen. Paul Bijkerk (GGD Rotterdam-Rijnmond) Miranda de Graaf (Erasmus University Medical Center, Rotterdam) Gertjan Medema (KWR Water Research Institute) Jeroen Langeveld en Remy Schilperoort (Partners4UrbanWater) AUTEURS

Afbeelding 1. Infectiepiramide met per laag de gebruikte data (Nieuwenhuijse en Koopmans, 2017)

De drie bovenste lagen zijn gevolgd door gebruik te maken van registraties door GGD, huisarts en ziekenhuizen, in dit project aangeduid als ‘bovengrond’, terwijl de onderste laag, het aantal dragers, gevolgd is via rioolwatersurveillance, in dit project aangeduid als de ‘ondergrond’. Al snel in de pandemie bleek dat de bovengrondse surveillance veel overdracht van SARS-CoV-2 miste.

In dit project is onderzocht hoe de gegevens uit verschillende bronnen en lagen van de piramide elkaar ondersteunen. Bij de selectie van de onderzoekslocaties is geprobeerd om zo veel mogelijk lagen uit de piramide te koppelen door te zoeken naar bemalingsgebieden van de riolering die zo veel mogelijk overlappen met het verzorgingsgebied van een huisartsenpraktijk. Bovendien zijn de GGD-teststraatdata via postcodegegevens gekoppeld aan bemalingsgebieden. Vanwege de privacy mocht het onderzoeksteam alleen werken met geanonimiseerde data. Voor data van teststraten is dat bijvoorbeeld voor iedere testuitslag alleen de datum en de uitkomst per bemalingsgebied en dus nadrukkelijk geen namen en adressen per geval.

Bij het opzetten van het onderzoek in het voorjaar van 2020 was nog geen sprake van massaal testen in teststraten. Daardoor lag bij de selectie van onderzoeksgebieden de nadruk op het vinden van een match tussen het voorzieningsgebied van een huisartsenpraktijk en het rioolstelsel. Beiden hebben andere grenzen dan de bekende CBS-indeling in wijken en buurten, waardoor de locatiekeuze het nodige uitzoekwerk vergde. Uiteindelijk zijn drie gebieden in Rotterdam-Rijnmond geselecteerd, te weten Rozenburg, Ommoord en Katendrecht. Om inzicht te krijgen in het effect van schaalgrootte op de onderzoeksresultaten zijn ook grotere deelgebieden geselecteerd met een oplopende gebiedsgrootte. Begin 2021 is Bergschenhoek toegevoegd vanwege grootschalig onderzoek naar de opkomst van de Alpha-variant op deze locatie (van Beek et.al., 2022).

Kwaliteitsborging en normalisatie

Voor betrouwbare resultaten moet de rioolwatersurveillance voldoen aan de volgende voorwaarden:

1. Het rioolwater op de monsternamelocatie is representatief voor de virusuitscheiding door de populatie. De belangrijkste eis in dit verband is dat ontlasting in het riool terechtkomt. Dit is meestal het geval, hoewel er uitzonderingen zijn in geval van incontinentie of wanneer de behoefte elders wordt gedaan.

2. De populatie is min of meer constant. Dit geldt bijvoorbeeld niet voor toeristische gebieden. In Rotterdam geldt het omgekeerde: in de zomervakantie van 2021 nam het aantal personen met 10-15 procent af, zo bleek in dit project.

3. Het monster is representatief voor het rioolwater op de monsternamelocatie. De virusvracht staat tijdens het transport door het riool bloot aan allerlei invloeden, zoals lozing via riooloverstorten. Ook kunnen pompstoringen of persleidingen met lange verblijftijd er voor zorgen dat het monster op dag X niet representatief is voor de uitscheiding op dag X.

4. De debietmeting is voldoende betrouwbaar. Dit is haalbaar via goede controle op de meetopzet en voortdurende datavalidatie.

5. De labanalyse is voldoende betrouwbaar. Strenge kwaliteitscontroles en uitvoering in duplo maken ook deze voorwaarde tot een haalbare kaart.

In het onderzoeksproject ‘Rioolwatersurveillance Rotterdam-Rijnmond’ is veel aandacht besteed aan monstername, labanalyse en normalisatieroutines voor het bewaken van de representativiteit van de uitscheiding door de populatie en van de analyseresultaten. Normalisatie houdt hier in het bepalen van de mate van verdunning van het huishoudelijk afvalwater met andere soorten afvalwater zoals neerslag, rioolvreemd water en industrieel afvalwater. Belangrijk hierbij is het gebruik van verschil-

RIOOLWATERSURVEILLANCE IN ROTTERDAM-RIJNMOND 2020-2022 WATER MATTERS NO.15 DECEMBER 2022 I 5
4

Afbeelding 2. Normalisatie van SARS-CoV-2 metingen in rioolwater van gebied INF3, zie afbeelding 3 voor de periode september-december 2020 (Langeveld et al., 2021)

Afbeelding 3. Vergelijking van trends van positieve testen (absolute en gemodelleerde aantallen) en SARS-CoV 2 in rioolwater. Interessante momenten zijn december 2020, toen het aantal positieve testen opliep maar SARSCoV-2 in het rioolwater niet, en de ‘dansen met Jansen’ piek begin juli 2021, toen het aantal positieve testen snel fors opliep en maar SARS-CoV-2 in het rioolwater veel minder

lende normalisatiemethodes naast elkaar. Een verschil tussen methodes kan duiden op een niet of minder representatief monster door gemaalstoringen, riooloverstortingen of onjuiste aannames over het aantal personen dat ‘meedoet’ aan de virusuitscheiding.

De onderzochte en wekelijks toegepaste normalisatiemethodes zijn:

• Normalisatie op basis van debiet: met debietmetingen is het mogelijk om het aandeel huishoudelijk afvalwater in het monster te bepalen en zo rekening te houden met de verdunning met industrieel afvalwater, rioolvreemd water en afstromende neerslag.

• Normalisatie op basis van geleidbaarheid: de elektrische geleidbaarheid is een goede maat voor de verdunning van een rioolwatermonster met afstromende neerslag.

• Normalisatie op basis van crAssphage: crAssphage

is een virus dat bacteriën in de menselijke darm infecteert, en dat daarmee dezelfde route door het riool volgt als de SARS-CoV-2 virusdeeltjes. Dit maakt crAssphage, mits sprake is van een stabiele uitscheiding in de populatie, theoretisch tot een zeer geschikte normalisator voor het aantal ‘uitscheiders’ waarvan op de dag van monstername fecaliën in het riool zijn gekomen.

Afbeelding 3 geeft een voorbeeld van het effect van de normalisatie. Vooral op regenachtige dagen moet flink worden gecorrigeerd voor het aandeel huishoudelijk afvalwater in het monster. Door de drie normalisatiemethodes naast elkaar te houden bleek het mogelijk om niet-representatieve monsters, door bijvoorbeeld een langdurige pompstoring, fouten bij monstername of een te lage opbrengst van de labmethode door bijvoorbeeld inhibitie, te achterhalen.

WATER MATTERS 6 I

Trendanalyse

Het onderling vergelijken van de trends in de verschillende lagen van de surveillance piramide geeft inzicht in de ontwikkeling van de pandemie. Afbeelding 3 geeft een voorbeeld van deze vergelijking. De trend in het aantal positieve testen komt in grote lijnen overeen met de trend in de genormaliseerde metingen in het rioolwater.

Op meerdere momenten is zichtbaar dat het rioolsignaal objectiever is, omdat het onafhankelijk is van testgedrag. Vanaf half december 2020 mocht iedereen die dat wilde zich ook zonder klachten laten testen en veel mensen maakten hier gebruik van om zeker te weten dat zij veilig de feestdagen in konden. Dit gaf het beeld van een nieuwe stijging in de viruscirculatie, terwijl de riooldata lieten zien dat er van een stijging geen sprake was. Half februari 2021 was sprake van gladheid door sneeuwval. Dit was mogelijk een reden waarom het aantal positieve testen afnam, wat wederom niet zichtbaar was in de riooldata. Het derde interessante moment was de ‘dansen met Jansen’ piek: jongeren kregen na één vaccinatie zonder wachttijd toegang tot het uitgaansleven, gekoppeld aan ‘testen voor toegang’. Dat leidde tot een enorme piek in het aantal positieve testen onder jongeren die zich voor die tijd maar beperkt lieten testen, terwijl de piek bij het rioolwater veel lager was.

De conclusie is dat verschillen tussen aantallen positieve testen en riooldata worden veroorzaakt door veranderingen in het testgedrag. Om dit te verifiëren, hebben we een statistisch rekenmodel gemaakt waarmee het aantal positieve testen wordt berekend als functie van de concentratie virusdeeltjes in het rioolwater en het testgedrag. Dit rekenmodel is zeer goed in staat om het aantal positieve testen te berekenen over de gehele periode inclusief de nieuwe varianten zoals de Alpha- en Delta-variant. De Omicron variant, die gepaard gaat met een verminderde fecale uitscheiding, maakte het noodzakelijk om in het model te corrigeren voor deze verminderde uitscheiding. De trendanalyse van de riooldata en in het bijzonder het statistisch modelleren, blijken krachtige hulpmiddelen in het volgen van de pandemie en het signaleren van veranderingen in het (test)gedrag van de populatie en in het virus zelf.

Conclusie

Dit grootschalige en langdurige onderzoek heeft laten zien dat rioolwatersurveillance een volwassen methode is die de gezondheidsautoriteiten in staat stelt om ziektes die rondwaren in de samenleving en die via uitscheiding in het riool terecht komen te volgen. Voor COVID-19 is de meerwaarde bewezen en recent zijn ook positieve ervaringen opgedaan met het apenpokkenvirus.

Jeroen Langeveld en Remy Schilperoort (Partners4UrbanWater)

Gertjan Medema (KWR Water Research Institute)

Miranda de Graaf (Erasmus University Medical Center, Rotterdam)

Paul Bijkerk (GGD Rotterdam­Rijnmond)

BRONNEN

D.F. Nieuwenhuijse & M.P. Koopmans (2017). Metagenomic sequencing for surveillance of food-and waterborne viral diseases. Frontiers in Microbiology, 8, 230.

Miranda de Graaf et al. (2022). Capturing the SARS-CoV-2 infection pyramid within the municipality of Rotterdam using longitudinal sewage surveillance. medRxiv 2022.06.27.22276938

Janko van Beek et al. (2022). Population-based screening in a municipality after a primary school outbreak of the SARS-CoV-2 Alpha variant, the Netherlands, December 2020 – February 2021. Plos-one 17 (10)

Jeroen Langeveld et al. (2021). Normalisation of SARS-CoV-2 concentrations in wastewater: the use of flow, conductivity and CrAssphage. medRxiv 2021.11.30.21266889

SAMENVATTING

Rioolwater is de laatste jaren een belangrijke en betrouwbare bron van informatie over de volksgezondheid gebleken. Grootschalig en langdurig onderzoek in Rotterdam-Rijnmond heeft laten zien dat rioolwatersurveillance een volwassen methode is die de autoriteiten in staat stelt om de verspreiding van ziektes die via uitscheiding in het riool terecht komen te volgen. Zo bleek uit riooldata dat bij een aantal ‘pieken’ van positieve tests in teststraten niet het aantal besmette personen ineens torenhoog was, maar dat er veel meer mensen naar de teststraat waren gegaan.

I 7
WATER MATTERS NO.15 DECEMBER 2022 RIOOLWATERSURVEILLANCE IN ROTTERDAM-RIJNMOND 2020-2022

NIEUWE MEETMETHODE VOOR KWALITEITSBEWAKING VAN UF-MEMBRAANSYSTEMEN

Membranen worden steeds vaker en op steeds grotere schaal toegepast bij drinkwaterbereiding. Ultrafiltratie (UF) bijvoorbeeld verwijdert schadelijke micro-organismen zoals bacteriën en virussen. Bij membraanbeschadigingen kunnen vooral virussen het membraan passeren. Dat is natuurlijk ongewenst. Hoe kun je op praktijkschaal aantonen en monitoren dat de membraaninstallatie daadwerkelijk effectief virussen tegenhoudt?

De verwijderingsefficiëntie van UF-membranen kan onder andere bepaald worden door de troebelheid van het aangevoerde en het gefilterde water te meten. Deze methode is echter niet gevoelig genoeg om in de drinkwaterbereiding de effectiviteit van virusverwijdering en dus de betrouwbaarheid (integriteit) van de UF-membranen te monitoren. In oppervlaktewater is de concentratie virussen namelijk wel 10 tot 100 keer hoger dan die van bacteriën. De verwijderingsefficiëntie moet dus ook hoger zijn. Om vast te stellen of UF-membranen (nog) aan de gestelde eisen voor virusverwijdering voldoen, is daarom een gevoelige meetmethode nodig. Om die reden kunnen voor de metingen zogenaamde virussurrogaten (bijvoorbeeld MS2-fagen) worden toegevoegd. Dat is bruikbaar voor tests

WATER MATTERS 8 I
UF-membraansysteem, drinkwaterproductiecentrum De Gavers Stefan Koel (Pentair X-Flow) Han Vervaeren (De Watergroep) Danny Harmsen (KWR) Emile Cornelissen (KWR en UGent)
Foto De Watergroep
AUTEURS

op laboratorium- of pilotschaalschaal, maar is op praktijkschaal ongewenst vanwege de kosten en de mogelijk negatieve invloed op de drinkwaterkwaliteit.

Natuurlijke virussen

KWR heeft een gevoelige (gepatenteerde) methode ontwikkeld om natuurlijke virussen uit oppervlaktewater te identificeren. Deze natural virus (NV)-methode [1, 2] gebruikt natuurlijke virussen als indicatoren voor de betrouwbaarheid (‘integriteit’) van het UF- membraan, door het inschatten van het virusverwijderingsrendement.

De mate van verwijdering van micro-organismen, waaronder virussen, wordt uitgedrukt met de term log reductie value (LRV). Het is een logaritmische schaal: 6 LRV betekent dat van elke 1 miljoen virussen er 1 overleeft, bij 5 LRV overleeft er 1 op de 100.000.

Afhankelijk van de virusconcentratie in het aangevoerde water haalt de NV-methode een LRV van 7 of meer [2], met kleine monstervolumes en zonder surrogaattoevoegingen. De methode is op lab- en pilotschaal getest op geschiktheid voor het systematisch monitoren van de integriteit van UF-membranen. Daarna is de praktische toepasbaarheid van de methode op praktijkschaal getest. Op basis van eerder onderzoek [2] is gekozen voor de in oppervlaktewater veel voorkomende virusmarkers NV2247, NV2310 en NV2314. Van deze drie had NV2310 consequent de hoogste concentratie in het voedingswater (1 x 108 V/L). Daarom zijn de resultaten van deze virusmarker vergeleken met state-of-the-art-troebelheidsmetingen.

Labtest invloed vezelbeschadiging

Om de invloed van vezelbreuk op de integriteit van UF-membranen te bepalen hebben KWR en membraanproducent Pentair X-Flow testen gedaan met kleine UF-modules (een met 120 vezels, een van 0,08 m2) waarvan de vezels opzettelijk en systematisch werden beschadigd. De invloed van vezelbreuk werd berekend met een eenvoudig Excel-model, gebaseerd op bestaande kennis. Hierin is onder andere het effect van vezelbreuk op de permeabiliteit van de vezel meegenomen. Daarnaast was de aanname dat voor virussen de LRV van een kapotte vezel 0 is en voor een intacte vezel 5. Het model berekende dat bij één beschadigde vezel op 120 vezels de LRV sterk daalt, van 5 naar 1,3. Dezelfde berekeningen zijn ook uitgevoerd voor meer beschadigde vezels.

Vervolgens werden in het lab intacte modules en modules met één of drie beschadigde vezels getest (in tweevoud). Twee verschillende vezelbeschadigingen zijn bestudeerd: een lekke vezel (boorgaatje van 0,5 mm) en een kortere vezel (als simulatie voor volledige vezelbreuk). De voeding bestond uit Lekkanaalwater (NV2310 1 × 108 V/L). Voor en na de UF-module zijn de natuurlijke virusconcentraties en de troebelheid bepaald. De intacte modules geven een LRV tussen de 5 en 6 voor NV2310 (afbeelding 1, boven), de troebelheidstest resulteerde in een LRV van slechts 2,2. Beschadiging van één vezel met een gaatje leidde tot een LRV-daling richting 1 voor NV2310. Meer beschadigingen leidden tot verdere LRV-daling. De LRV-waarden zijn in lijn met de door het Excel-model berekende daling, al voorspelde het model over de hele range een iets hogere LRV (0,4 LRV), waarmee het model de LRV systematisch overschat.

Daarnaast leidt het inkorten (’breken’) van een vezel tot een grotere LRV-verlaging dan beschadiging met een gaatje. De beschadiging van één vezel met een gaatje is echter al voldoende om een significante LRV-daling aan te tonen met behulp van de NV-methode. De troebelheidsmeting laat vergelijkbare LRV’s zien voor de verschillende beschadigingen: een waarde rond 1 bij beschadiging van één vezel met één gaatje. Een intacte vezel geeft echter een LRV van 2,2 waardoor de troebelheidsmeting een veel kleinere daling lijkt te geven dan de NV-methode.

Pilottesten invloed vezelbreuk Ook voor een 8’’ UF-module (18600 vezels, 64 m2) is de invloed van vezelbreuk op de LRV bepaald, op basis van de modelberekeningen en de resultaten van de labtesten (afbeelding 1 onderste grafiek). Bij één beschadigde vezel zagen we een sterke LRV-daling tot 2,5. Vervolgens zijn met een aanboring in de drukbuis de vezels in de UF-module systematisch doorgesneden. Na iedere aangebrachte beschadiging werd de aanboring afgedicht en werd er een test gedaan van drie filtratiecycli: telkens 20 minuten filtreren en een halve minuut (terug) spoelen om eventuele vervuiling te verwijderen. Monstername van de natuurlijke virussen vond plaats halverwege de tweede en derde filtratiecyclus. Testen werden uitgevoerd met de intacte module en met 1, 3, 5, 10 en 50 doorgesneden vezels. Opnieuw bestond de voeding uit water uit het Twentekanaal met 3 × 107 NV2314 V/L. Naast de NV-analyses is ook de troebelheid gemeten voor en na de UF-module.

NIEUWE MEETMETHODE VOOR KWALITEITSBEWAKING VAN UF-MEMBRAANSYSTEMEN I 9
WATER MATTERS NO.15 DECEMBER 2022 8

Afbeelding 1. LRV intacte en beschadigde UF- module, bepaald met NV2310, troebelheid en modelberekeningen. Boven voor kleine module (120 vezels), onder voor 8’’ UF-module (64 m2)

Net als in het lab kan voor een intacte module 5 LRV (afbeelding 1 onderste grafiek) worden aangetoond. Bij doorsnijden van steeds meer vezels daalt de LRV tot 2; dit is in lijn met de modelberekeningen. Net als in het lab voorspelt het model ook nu een sterkere daling (tot 1,2 LRV). De troebelheidsmetingen tonen ook een afnemende LRV – van 1,5 naar 0,9 – maar de verschillen zijn significant kleiner dan met de NV-methode.

De modelberekeningen komen overeen met de testresultaten en kunnen worden gebruikt voor het voorspellen van trends met betrekking tot vezelbreuk. De berekeningen zijn echter gebaseerd op slechts enkele metingen. Het verdient aanbeveling om het model verder te optimaliseren met meer pilottesten, die bijvoorbeeld de invloed van een beschadigde vezel op de permeabiliteit bepalen

of verschillende typen UF-membranen bij verschillende watertypen testen.

En dan de praktijk Gedurende anderhalf jaar werden praktijkmetingen gedaan met de NV-methode op het drinkwaterproductiecentrum (WPC) De Gavers (De Watergroep, België). Aan het begin en aan het einde van de testperiode werd gemeten aan drie UF-blokken van elk 40 membranen (100 m3/uur, Pentair X-Flow membranen). Tijdens de testperiode zijn de membranen van twee van de drie blokken na twaalf jaar gebruik vervangen door nieuwe Pentair X-Flow membranen.

Na vervanging van de membranen steeg de LRV tot 5 (afbeelding 2), ervoor was hij gedaald tot 3 (in blok 2).

WATER MATTERS 10 I

Afbeelding 2. LRV NV2310 van drie blokken van de UF-praktijkinstallatie op drinkwaterproductiecentrum De Gavers. In blok 1 en 2 zijn tussentijds de membranen vervangen. Gearceerde balk: de maximaal aantoonbare LRV (in werkelijkheid mogelijk hoger).

Blok 3 werd niet vervangen en gaf bij start en einde van de meetperiode een LRV van 4. De werkelijke LRV bij de start kan hoger zijn – de meetmethode is hier beperkend gezien de kleinere hoeveelheden natuurlijk virus in het voedingswater op het moment van monstername. De virusconcentratie in de voeding kan namelijk variëren afhankelijk van de locatie en bijvoorbeeld seizoensinvloeden, met als gevolgd dat de maximaal aantoonbare LRV fluctueert. Een LRV aan de start van de meetperiode van 3 à 4 voor de UF-blokken 1 en 2 suggereert 1 tot 3 vezelbreuken of vergrote poriën per membraanmodule (afgaande op voorgaande pilotschaaltesten). Op pilotschaal werden echter niet dezelfde membranen gebruikt, zodat verder onderzoek nodig is om deze conclusie te staven.

Aan de UF-membranen van WPC De Gavers wordt door de leverancier een LRV van 4 toegekend. De gemeten LRV’s voldoen aan deze specificaties. We willen hier benadrukken dat de NV-methode geen uitspraak doet over de drinkwaterkwaliteit, zelfs niet als er een vermoeden is van vezelbreuk, aangezien de UF-membranen slechts een onderdeel zijn van de zuiveringsketen. De NV-methode kan echter wel ondersteunend zijn bij operationele beslissingen, bijvoorbeeld over het al dan niet vervangen van membraanmodules.

Conclusies en betekenis voor de praktijk Met de nieuwe NV-methode kan zonder gebruik van surrogaten de virusverwijderingsefficiëntie van intacte UF-membranen bepaald worden, met een bereik van 5 LRV zowel op lab-, pilot- als praktijkschaal. Met troebelheidsmetingen kon in de lab- en pilottesten een LRV van slechts ongeveer 2 worden aangetoond. De NV-methode laat zien dat zowel op labschaal (120 vezels) als op pilotschaal (8’’ UF-module, 18600 vezels) al bij één vezelbreuk een significante verlaging van de LRV plaatsvindt. Dit komt overeen met modelvoorspellingen. Verdere optimalisatie van dit model zal tot betere voorspellingen leiden. De NV-methode laat de invloed van

vezelbreuk duidelijker zien dan troebelheidsmetingen. Gebruikers, zoals drinkwaterbedrijven, kunnen deze nieuwe methode gebruiken om de prestaties van de UF-membranen exact te volgen, en te bepalen wanneer de prestaties afnemen en membraanvervanging of een andere maatregel raadzaam is.

Danny Harmsen (KWR); Emile Cornelissen (KWR en UGent); Han Vervaeren (De Watergroep); Stefan Koel (Pentair X­Flow)

BRONNEN

[1] European Patent Office (EPO), Method for determining the effectiveness of removal of viruses in a purification process, EP 3 486 650 A1

[2] Hornstra, L.M, Rodrigues da Silva, T., Blankert, B., Heijnen, L., Beerendonk, E.F., Cornelissen, E.R. & Medema, G.J. 2019 Monitoring the Integrity of Reverse Osmosis Membranes Using Novel Indigenous Freshwater Viruses and Bacteriophages . ES&T 5 (9), 1535-1544.

SAMENVATTING

Membranen worden veel toegepast bij drinkwaterbereiding. Bij membraanbeschadigingen neemt de efficiëntie van virusverwijdering (log reductie value, LRV) af doordat virussen het membraan toch passeren. In dit artikel wordt de LRV van ultrafiltratie (UF)-membranen met een nieuwe meetmethode voor natuurlijke virussen (NV-methode) in oppervlaktewater (zonder toepassing van surrogaten) beschreven. Met deze methode is op lab- en pilotschaal de invloed van vezelbreuk op de integriteit van UF-membranen bepaald, en vergeleken met modelberekeningen. Uit de testen blijkt dat voor een intacte UFmodule een LRV 5 kan worden aangetoond. Een beschadigde module vertoont een LRV-verlaging tot LRV 3 - 1, afhankelijk van de aangebrachte beschadiging. Het model blijkt dit goed te kunnen voorspellen. Integriteitsmeting van een UF-installatie op praktijkschaal met de NV-methode resulteert in een LRV van 4 - 5. Gebruikers kunnen met deze nieuwe methode de prestaties van de UF-membranen dus nauwkeurig volgen.

I 11
WATER MATTERS NO.15 DECEMBER 2022 NIEUWE MEETMETHODE VOOR KWALITEITSBEWAKING VAN UF-MEMBRAANSYSTEMEN

KANSEN EN KNELPUNTEN VOOR RIVIERPRIK IN DE GRIFT - EEN ONDERZOEK NAAR VISMIGRATIE

De rivierprik (Lampetra fluviatilis) is een kaakloze rondbek met een slangachtig lichaam uit de prikkenfamilie (Petromyzontidae). Rivierprikken zijn zeldzame trekvissen met in Nederland een handvol paaigebieden. De soort is beschermd: hij staat als ‘gevoelig’ op de Rode Lijst en is Habitatrichtlijnsoort voor verschillende Natura 2000-gebieden waaronder de Rijntakken. Van 2019 tot 2022 hebben we in opdracht van Provincie Gelderland en Waterschap Vallei en Veluwe de kansen en knelpunten van het stroomgebied van de Grift voor de rivierprik onderzocht.

Volwassen rivierprikken leven in zee. Het zijn ectoparasieten: met de kenmerkende mondschijf zuigen ze zich vast op grote vissen, waarna ze bloed en weefsel opzuigen. Ze komen als regel in het voorjaar vanuit het zoete water in zee aan als jong-adulten. Na ongeveer anderhalf jaar trekken ze het zoete water op om te paaien. Dan maakt hun complete verteringsstelsel plaats voor grotere voortplantingsorganen voor een zo effectief mogelijke paai. Rivierprikken zijn dan ook ‘semelpaar’: ze sterven na optrek in het zoete milieu,

WATER MATTERS 12 I
Jeroen Tummers (RAVON) AUTEUR

succesvolle paai of niet. Instandhouding van de soort is daarmee sterk afhankelijk van de bereikbaarheid van geschikte paai- en opgroeihabitat.

Na de paai laten de larven zich kort met de stroming mee voeren waarna ze zich ingraven in zachte bodems van rivieren en beken. Daar voeden ze zich door organische resten en kleine organismen uit het water te filteren (‘filter-feeding’). Na vijf à zes jaar trekken ze stroomafwaarts naar zee en is de cirkel rond.

treden beklimmen zoals de verwante Pacific lamprey uit Noord-Amerika (Entosphenus tridentatus). Bovendien hebben prikken, net als bijvoorbeeld de aal (Anguilla anguilla), een laag sprintvermogen. Ze kunnen wel versnellen, maar niet zo sterk en niet lang. Dit alles maakt veel vispassages ineffectief voor de rivierprik. Een mogelijke aanvulling zijn hardplastic noppentegels ofwel prikkentegels. De noppen verminderen de stroomsnelheid en bieden houvast voor het ‘burst-attach-rest’ gedrag van de rivierprik. Het dier trekt een kort sprintje, zuigt zich vast om te herstellen voor een volgende inspanning, en herhaalt dit meerdere keren om zo een kunstwerk te passeren. In het laboratorium bleken prikkentegels bij verschillende debieten en turbulentieniveaus de kans op passage te verhogen (Vowles et al. 2017). In Engeland is de werking van prikkentegels voor stroomopwaartse paaitrek van rivierprik onderzocht en effectief bevonden (Tummers et al. 2018; Lothian et al. 2020).

Stroomgebied van de Grift

Onneembare kunstwerken

Op weg naar hun paaiplaatsen ondervinden rivierprikken en andere trekvissen veel hinder van kunstwerken. Het niet of laat bereiken van paaigronden heeft ernstige gevolgen, omdat de paai vaak in korte tijd plaatsvindt met veel concurrentie om ruimte en partners. De kunstwerken zijn niet alleen een barrière, ze kunnen ook invloed hebben op sedimentatie, stromingsprofielen en ook watertemperatuur en zuurstofgehalte, wat negatief kan uitpakken voor trekvissen. Het is dan ook belangrijk om kansrijke paaihabitats weer toegankelijk te maken. Landelijk is het hiermee slecht gesteld. Zo beletten in het Griftsysteem een sluis in het Apeldoorns Kanaal en een waterkrachtcentrale (WKC) in de Oude Grift de vrije doorgang, maar ook elders zijn barrières aanwezig, waarvan slechts enkele met vispassages.

Vispassages en prikkentegels

Maatregelen die habitatfragmentatie verminderen zijn cruciaal. Vispassages kunnen effectief zijn maar rivierprikken kunnen niet opspringen zoals zalmen, of verticale

De Grift stroomt langs de oostflank van de Veluwe en mondt via het Apeldoorns Kanaal uit in de IJssel (zie kaartje). Vanouds is dit een belangrijk leefgebied voor de rivierprik. Uit een voorstudie bleken vooral de sprengenbeken die in de Grift uitkomen geschikte paai- en opgroeihabitats (De Bruin et al. 2018). Op weg daarnaartoe is de WKC in de Oude Grift ten zuiden van Hattem de eerste grote hindernis, met een verval van vier meter. Ook benedenstrooms van de WKC bevinden zich paai- en opgroeihabitats maar die zijn kleiner en van mindere kwaliteit. In de sprengenbeken leeft bovendien de nauwverwante, niet-trekkende beekprik (Lampetra planeri), een Habitatrichtlijnsoort van Natura 2000-gebied De Veluwe. Rivierprikken kunnen paaien met beekprikken, ze komen zelfs af op feromonen van beekprikken.

Om te onderzoeken tot waar de rivierprik optrekt, vingen we in december 2019 95 rivierprikken in de Oude Grift (beneden de WKC) middels elektrovissen. Deze werden gezenderd met zogenaamde PIT-tags en na hersteld te zijn van verdere handelingen (bepalen lengte en massa) teruggezet in het Apeldoorns Kanaal stroomopwaarts van de WKC (afbeelding 2). Zodra deze gezenderde proefdieren in de nabijheid (ca. 1 m) van antennes van het PIT detectiestation bij Landhuis Bonenburg kwamen, werden het unieke nummer en datum en tijd geregistreerd. De stuw in de Grift bij Landhuis Bonenburg bleek in de winter van 2019-2020 een onneembare barrière voor de stroomopwaartse migratie. Hoewel 27 van de 95 gezenderde rivierprikken (28%) de stuw Bonenburg bereikten,

KANSEN EN KNELPUNTEN VOOR RIVIERPRIK IN DE GRIFT - EEN ONDERZOEK NAAR VISMIGRATIE I 13
WATER MATTERS NO.15 DECEMBER 2022
Afbeelding 1. Adulte rivierprikken zijn 40 tot 45 centimeter lang. Met hun typische mondschijf zuigen ze zich vast op de gastheer. Met de concentrische rijen tanden raspen ze de huid open, waarna ze zich voeden met weefsel en bloed.
12
Foto Jeroen Tummers, RAVON

Afbeelding 2. De Grift en omgeving. Rivierprikken trekken vanuit de IJssel (geel) via het Apeldoorns Kanaal (blauw) en de parallel daaraan lopende Oude Grift richting de Grift (groen) en haar zijbeken (roze).

Rode stippen: PIT-stations in 2020-2021, op de stuw en bij de drie zijbeken. Blauwe stip bij de WKC = uitzetlocatie 2019-2020. Oranje stippen = uitzetlocaties 2020-2021.

sommigen al binnen 48 uur, lukte het geen enkel dier om de stuw te passeren. In principe kunnen ze hebben gepaaid in het traject waar ze zijn uitgezet. Maar omdat met een mobiele PIT-scanner in de 150 meter beneden de stuw geen individuen werden gevonden, zijn zij in ieder geval uit de Grift weggetrokken.

Prikkentegels als oplossing

Om passage van de stuw Bonenburg mogelijk te maken, is hij in de winter van 2020-2021 voorzien van een helling met prikkentegels (afbeelding 3). Dit keer hebben we 101 adulte rivierprikken in de Oude Grift gevangen, gezenderd en weer uitgezet: 44 individuen benedenstrooms van de stuw Bonenburg en 57 bovenstrooms. Zowel bij de stuw als verder stroomopwaarts stonden detectiestations die passerende prikken registreerden.

In de monitoringsperiode zijn van de 44 rivierprikken die benedenstrooms zijn uitgezet, 19 individuen de stuw gepasseerd. Van de in totaal 76 rivierprikken die de stuw hebben gepasseerd (19), dan wel bovenstrooms zijn uitgezet (57), zijn er 28 gedetecteerd in de bovenstroomse sprengenbeken waar geschikt habitat aanwezig is. Hiervan zijn 21 exemplaren aangetroffen in de Horsthoekerbeek. Het totaal aantal passages van gezenderde individuen bij de stuw was 51, waarvan 30 over de stuw en 21 over de prikkentegels. Het aantal passages is hoger dan verwacht doordat de stroming rivierprikken soms meesleurt, terug over de stuw, en omdat prikken op zowel de prikkentegels als op de stuw kunnen zijn gedetecteerd.

WATER MATTERS 14 I
Afbeelding 3. Stuw Bonenburg is een relatief kleine hindernis voor trekvissen, die soms zelfs onder water staat. Links op de stuw bij de prikkentegels het detectiestation. Met twee detectie-antennes werd onderscheid gemaakt tussen de route over prikkentegels en over de stuw. Foto Jesper Berndsen, RAVON

Paaiperiode

In de paaiperiode van 2021, vanaf half februari tot half april, is met een mobiele PIT-scanner de aanwezigheid van rivierprikken onderzocht in de sprengenbeken en op de vangstlocatie in de Oude Grift, samen met leden van viswerkgroep ‘De Prik’. Hierbij zijn 13 rivierprikken gevonden, allemaal in de Horsthoekerbeek, ook stroomopwaarts van het vaste PIT station in de monding. In januari 2022 vond een laatste bevissing plaats. Hierbij zijn 157 rivierprikken weggevangen in de Oude Grift en overgeplaatst boven de stuw Bonenburg in de Grift. Getuige de resultaten uit de voorafgaande onderzoeksperiode, is het waarschijnlijk dat een deel van deze rivierprikken de paaihabitats in de sprengenbeken bereikt hebben, en succesvol hebben gepaaid.

Conclusie

Dit onderzoek laat zien waar de knelpunten en kansen liggen voor het versterken van rivier- en beekprikpopulaties in het Griftgebied, en geeft handvatten om te voldoen aan de KRW-doelen en de Natura 2000-instandhoudingsdoelen.

Voor behoud en uitbreiding van de rivierprik is meer inzicht nodig in migratie van de rivierprik. Dit meerjarige onderzoek heeft duidelijk gemaakt dat rivierprikken graag vanuit de IJssel optrekken naar het Griftsysteem, maar dat de optrekbaarheid ondermaats is door onpasseerbare kunstwerken (sluis bij Hattem, WKC Oude Grift, stuw Bonenburg). Prikkentegels bleken relatief effectief op één locatie, maar een hogere efficiëntie is wenselijk. Gerichte aanpassing van de kunstwerken of de aanleg van bypasses is noodzakelijk om passage te faciliteren, zonder daarmee de intrek van onwenselijke exoten via het Apeldoorns Kanaal mogelijk te maken (o.a. meerdere soorten grondels).

Ook elders in Nederland heeft de rivierprik het moeilijk. In de Maas wordt de rivierprik gehinderd door grote stuwcomplexen die de dieren de toegang ontzeggen tot de Grensmaas en de Maas bij Eijsden, waar de rivierprik beschermd is. Ook in de Roer en de Geul, waar de beekprik doelsoort is, liggen kansen voor behoud van de rivier- en beekprik.

BRONNEN

Bruin, A. de, et al. 2018. Onderzoek rivierprik Oude Grift. RAVON Nijmegen, rapport 2017.144.

Lothian, A.J. et al. 2020. River connectivity restoration for upstreammigrating European river lamprey: The efficacy of two horizontally-mounted studded tile designs. River Research and Applications 36(10): 2013-2023.

Russon, I.J. & P.S. Kemp 2011. Experimental quantification of the swimming performance and behaviour of spawning run river lamprey Lampetra fluviatilis and European eel Anguilla anguilla. Journal of Fish Biology 78(7): 1965-1975.

Tummers, J.S. et al. 2018. Enhancing the upstream passage of river lamprey at a microhydropower installation using horizontally-mounted studded tiles. Ecological Engineering 125: 87-97.

Vowles, A.S. et al. 2017. Passage of European eel and river lamprey at a model weir provisioned with studded tiles. Journal of Ecohydraulics 2: 88-98.

SAMENVATTING

In een driejarig onderzoek in het stroomgebied van de Grift in Gelderland bleek dat rivierprikken hun paaigebieden niet of moeilijk konden bereiken. De oorzaak ligt bij kunstwerken als een sluis, een waterkrachtcentrale en stuwen. Rivierprikken zijn zwakke zwemmers voor wie vooral de grote barrières en ook veel vispassages onneembaar zijn. Een op proef aangelegde helling met ‘prikkentegels’ bij een (lage) stuw bleek relatief effectief, maar voor effectieve bescherming van deze Habitatrichtlijnsoort zijn gerichte aanpassingen aan alle kunstwerken nodig.

I 15
KANSEN EN KNELPUNTEN VOOR RIVIERPRIK IN DE GRIFT - EEN ONDERZOEK NAAR VISMIGRATIE WATER MATTERS NO.15 DECEMBER 2022 iStock

DNA-FINGERPRINTS TONEN HERKOMST EN MICROBIOLOGISCHE VEILIGHEID DRINKWATERWINNING

De microbiologische kwaliteit van drinkwater uit grondwater wordt met meerdere indicatoren gemonitord. Zo weten we of het water fecaal verontreinigd is, maar niet waar een eventuele verontreiniging vandaan komt. Vitens en Deltares hebben, met medewerking van de Wageningen Universiteit, onderzocht of DNA-fingerprinting fecale bacteriën kan aantonen en de bron kan identificeren. Met die informatie zouden drinkwaterbedrijven snel gerichte maatregelen kunnen nemen.

Grondwater bevat van nature weinig bacteriën, waardoor het in de basis erg geschikt is voor de productie van drinkwater. Er zijn echter grondwaterwinningen waar uitwisseling met oppervlaktewater plaatsvindt. Ze worden bijvoorbeeld gevoed door een infiltratieplas, of ze liggen dicht bij een rivier en hebben een instroomstroom van water vanuit de rivier.

WATER MATTERS 16 I
Merijn Schriks (Vitens) Anneke Roosma en Adrie Atsma (Vitens) Bas van der Zaan en Marcelle van der Waals (Deltares) AUTEURS Het gebruik van moleculaire technieken draagt bij aan microbiologisch veilige drinkwaterproductie Foto Deltares

Door infiltratie van oppervlaktewater naar grondwater is er een verhoogde kans op het intreden van (pathogene, fecale) micro-organismen in het opgepompte water. Daarom wordt de kwaliteit van het innamewater en de winputten hierop extra gemonitord. Kweek-gerelateerde methodes testen op meerdere microbiële indicatoren, o.a. E. coli, somatische colifagen en Clostridium perfringens bacteriën.

Naast de klassieke kweekmethodes is voor E. coli sinds 2019 de RT-PCR (reverse transcriptase polymerase chain reaction)-screeningsmethode in gebruik. Deze methode is ontwikkeld door de samenwerkende drinkwaterlaboratoria. Het voordeel van de RT-PCR-methode is dat hij relatief snel in beeld brengt of er een fecale verontreiniging aanwezig is. RT-PCR laat echter niet zien waar de verontreiniging vandaan komt. Komt hij met het oppervlaktewater mee, of is er een andere oorzaak voor de aanwezigheid ervan? Drinkwaterbedrijven hebben behoefte aan meer informatie over de potentiële microbiologische verontreinigingsbron, om gerichter en sneller maatregelen te kunnen treffen.

Next Generation Sequencing geschikt?

Next Generation Sequencing (NGS) is een methode om

een ‘DNA-fingerprint’ van het drinkwater te maken, die een nagenoeg compleet beeld geeft van de microbiologische samenstelling van het geteste water. Daarmee is het mogelijk om bacteriën vanuit het oppervlaktewater in het hele drinkwaterproductieproces te volgen, en eventuele veranderingen tijdig te signaleren.

Maakt dat NGS ook bruikbaar om de herkomst en microbiologische kwaliteit van het water vast te stellen dat als bron voor drinkwaterbereiding gebruikt wordt?

Is de methode geschikt voor gebruik op relatief schone watermonsters, en zijn de data goed te interpreteren?

Er worden bij NGS namelijk enorm veel data verzameld en het is de vraag hoe die kunnen worden omgezet naar bruikbare informatie om de microbiologische veiligheid van drinkwater beter te kunnen waarborgen.

Het tweejarig onderzoek ‘Alternatieve indicator herkomst microbiële verontreiniging drinkwater’ kortweg ‘TRACER’ genaamd, richtte zich op deze vragen.

Vier proeflocaties

Voor het TRACER-onderzoek zijn vier productielocaties gekozen, die alle vier onder invloed staan van oppervlaktewater: Engelse Werk, Vechterweerd, Epe en Schalterberg.

In het voorjaar van 2019 en 2020 zijn hier monsters genomen van het reinwater (drinkwater), van diverse winputten

DNA-FINGERPRINTS TONEN HERKOMST EN MICROBIOLOGISCHE VEILIGHEID DRINKWATERWINNING I 17
WATER MATTERS NO.15 DECEMBER 2022
16
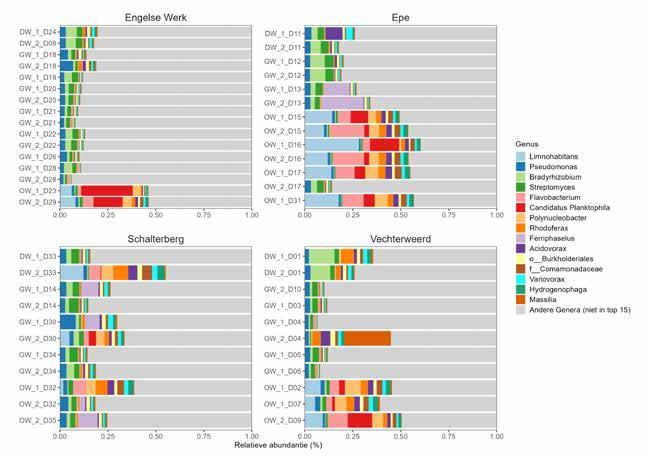
Afbeelding 1: Microbiologische DNA-fingerprints van de individuele watermonsters op basis van het 16S rRNA gen. Watermonsters zijn van GW = grondwater (winput), DW = drinkwater, OW = oppervlaktewater. De kleuren geven de relatieve bijdrage van verschillende microbiële genera weer.

Afbeelding 2. PCoA-plot van de vier onderzochte locaties, waarin de informatie over de microbiologische samenstelling van monsters van verschillende oorsprong en van twee bemonsteringsrondes is samengebracht

(grondwater), en van het nabijgelegen oppervlaktewater. Van de monsters (54 in totaal) is de microbiologische samenstelling vastgesteld met twee verschillende NGS-technieken: ‘16S rRNA amplicon sequencing’ en ‘metagenoom sequencing’. De eerste techniek brengt alleen de genen voor 16S rRNA als marker in beeld. De tweede brengt al het aanwezige DNA in beeld, dus ook dat van alle andere organismen die in het water leven. Voor de uitwerking van de metagenoom sequence-data is samengewerkt met het Laboratorium voor Microbiologie van de Wageningen Universiteit. Zo mochten we onder meer gebruik maken van hun Bio-IT pipeline om alle DNA-sequenties goed te identificeren en onderling te vergelijken.

DNA-fingerprints

De markergenen voor 16S rRNA zien er in elke bacteriesoort net anders uit, en we weten hoe dan. Dat maakt ze een geschikte indicator om te bepalen welke bacteriën in welke mate in de monsters aanwezig zijn. De NGSresultaten zijn in eerste instantie op 16S rRNA genen vergeleken omdat daarvoor al bioinformatica-methoden beschikbaar waren. De resultaten zijn per locatie op

genusniveau in staafdiagrammen weergegeven (afbeelding 1). De diagrammen geven dus een beeld van de microbiologische samenstelling per locatie, per monster en per watertype.

Vervolgens is met een principle component analysis (PCoA) per locatie de verwantschap tussen de typen monsters inzichtelijk gemaakt. Hierbij zijn de fingerprints van de individuele monsters onderling met elkaar vergeleken. Goed te zien is dan (afbeelding 2) dat voor de locaties Engelse Werk en Vechterweerd de monsters clusteren naar hun verschillende oorsprong. De oorsprong (drinkwater, oppervlaktewater, grondwater) kan dus op basis van de microbiologische samenstelling worden achterhaald. In mindere mate geldt dit ook voor de locatie Epe. Maar voor de locatie Schalterberg (oppervlaktewaterinfiltratie) lijken de fingerprints van monsters van verschillende oorsprong veel meer op elkaar. De invloed van het oppervlaktewater op het geproduceerde drinkwater is hier relatief groot in vergelijking met de andere winningen. Een aanzienlijk deel van de micro-organismen uit het oppervlaktewater werd hier teruggevonden in het drinkwater. Dat is opvallend, omdat het beeld bij Epe anders is, terwijl ook bij

WATER MATTERS 18 I

Epe gebruik gemaakt wordt van een infiltratieplas. Dat bij Epe de microbiologische samenstelling van geproduceerd drinkwater veel meer overeenkomt met die van het grondwater wijst erop dat de filterende werking van de bodem in Epe beter is dan bij Schalterberg.

Snelle indicator afleiden

Bij het vaststellen van bacteriologische verschillen tussen oppervlaktewater, grondwater en drinkwater is voor de ‘fingerprint’ enkel gebruik gemaakt van het 16S rRNA gen. De onderlinge verschillen op basis van dit gen blijken al voldoende om de watertypen van elkaar te kunnen onderscheiden. Het totale genoom bevat uiteraard nog vele andere genen, waarvan een aantal potentieel gebruikt kan worden als snelle indicator. Algen zouden bijvoorbeeld een logische indicator voor oppervlaktewater kunnen zijn. Een gerichte analyse met genen die uitsluitend voorkomen in één watertype kan al snel uitsluitsel geven of uitwisseling met dit specifieke watertype plaatsvindt. De relatieve aanwezigheid van honderd verschillende genen is voor alle monsters onderzocht (metagenoom-analyse), en weergegeven in een zogeheten heatmap. In de heatmap is de relatieve aanwezigheid van elk gen per monster met een kleur aangegeven. De drinkwatermonsters vertonen een herkenbaar profiel, dat duidelijk te onderscheiden is van de grondwater- en oppervlaktewatermonsters. Het psbV-gen (cytochroom c-gen van cyanobacterie) valt hierin op met een donkerrode weergave (= relatief sterke aanwezigheid) in drinkwatermonsters en kan dus een snelle indicator voor de invloed van oppervlaktewater op grondwater zijn. Inmiddels is onderzoek gestart naar de haalbaarheid van het gebruik van dit gen als indicator.

Wat is er geleerd?

NGS geeft een goed beeld van de microbiologische samenstelling van het grondwater dat als drinkwaterbron dient, en van de herkomst van het water. Anders dan verwacht is het hiervoor niet nodig een volledig metagenoom te analyseren; de eenvoudiger methode van ‘16S rRNA amplicon sequencing’ geeft al uitsluitsel. Dat is prettig, want vooral de uitwerking van de sequence-data is voor 16S rRNA amplicon sequencing minder ingewikkeld. De uitwerking van een metagenoom-analyse is namelijk behoorlijk specialistisch werk.

Om de aanwezigheid van een bepaald watertype vast te stellen is een metagenoom-analyse wel nuttig als er een specifieke indicator is (bijvoorbeeld genen die betrokken zijn bij de omzetting van bepaalde nutriënten in het (grond)water) waarvoor een gerichte analysemethode kan worden ontwikkeld (bijvoorbeeld qPCR).

Het TRACER-project heeft geen informatie opgeleverd over de aanwezigheid van specifieke pathogene microorganismen in de monsters, ook al is de microbiologi-

sche samenstelling in kaart gebracht. Veelal konden de aanwezige micro-organismen worden geïdentificeerd tot op klasse- of familie-niveau, omdat de resolutie van de DNA-sequenties tot op heden te beperkt is om de bacteriën tot op soort-niveau te identificeren.

Vervolgonderzoek

De resultaten van het TRACER-onderzoek zijn voor Vitens aanleiding om te verkennen in hoeverre inzicht in de microbiologische samenstelling met behulp van NGS ook kan worden gebruikt om de stabiliteit van de waterkwaliteit bij grondwaterwinningen vast te stellen. Het inmiddels gestarte MIKROWSEQ-project moet hier duidelijkheid over geven. Dit project brengt gedurende één jaar elke twee maanden op vier potentieel kwetsbare grondwaterwinningen de microbiologische samenstelling van het grondwater in kaart met NGS of qPCR. Op elke winningslocatie gebeurt dit op meerdere plekken in de stroombaan, zodat de ‘routes’ van de bacteriën gevolgd kunnen worden. Door dit met regelmaat te evalueren, zo mogelijk in combinatie met de samenstelling van omliggend oppervlaktewater, kan de stabiliteit van de grondwaterkwaliteit kunnen eventuele veranderingen in de grondwaterkwaliteit in een vroeg stadium worden herkend.

Bas van der Zaan en Marcelle van der Waals (Deltares), Anneke Roosma, Adrie Atsma en Merijn Schriks (Vitens)

SAMENVATTING

Om de microbiologische kwaliteit van drinkwater vast te stellen wordt drinkwater op meerdere indicatoren gemonitord. De indicatoren geven aan of het water fecaal verontreinigd is, maar niet wat de herkomst van de verontreiniging is. Dat maakt het lastig om gerichte maatregelen te nemen. Dit tweejarige onderzoek, genaamd TRACER laat zien dat Next generation sequencing (NGS, ‘DNA-fingerprinting’) een vollediger beeld geeft van de microbiologische samenstelling van (drink) water, en van waar de verontreiniging vandaan kan komen. NGS kan dus worden ingezet voor bronopsporing van pathogene microbiologische verontreinigingen. Drinkwaterbedrijven kunnen op basis hiervan gerichte maatregelen nemen ter bescherming van de drinkwaterkwaliteit.

I 19
WATER MATTERS NO.15 DECEMBER 2022 DNA-FINGERPRINTS TONEN HERKOMST EN MICROBIOLOGISCHE VEILIGHEID DRINKWATERWINNING

HOE MOET HET

DRINKWATERDISTRIBUTIENET VAN WATERNET MEEGROEIEN

MET DE STAD?

Net als veel andere steden heeft ook de Amsterdamse agglomeratie te maken met een stijgende watervraag door groeiende bevolking en bedrijvigheid. De verwachting is dat door klimaatverandering de watervraag extra zal toenemen in warme droge perioden. Het huidige productie- en distributienet is er niet op berekend om aan die groeiende vraag te voldoen. Waternet staat daarmee voor de uitdaging een goede groeiaanpak te ontwikkelen.

Op dit moment wordt Amsterdam van water voorzien vanuit twee productielocaties, een aan de westkant en een aan de oostkant van de stad. Waternet wil vooral vanuit het oosten aan de toenemende vraag gaan voldoen omdat er dan een betere verdeling ontstaat tussen de twee productielocaties. Behalve de capaciteit van de productielocatie(s) moet ook het distributienet worden verruimd. Daar zijn verschillende mogelijkheden voor. Voor het

WATER MATTERS
Michael Preng (Waternet) Karel van Laarhoven (KWR) Joost Louter (Waternet) Bram Hillebrand en Ina Vertommen (KWR)
20 I
AUTEURS Aanleg transportleiding Waternet

1:

kiezen van de beste oplossing heeft Waternet in samenwerking met KWR een probleemdefinitie opgesteld, en vervolgens met het numerieke optimalisatieplatform Gondwana [1] een groot aantal potentiële oplossingen doorgerekend. De horizon voor deze hele exercitie is 2050.

Oplossingen door numerieke optimalisatie KWR heeft het rekenprogramma Gondwana ontwikkeld om allerlei ontwerpvraagstukken rond het leidingnet geautomatiseerd en systematisch op te lossen (numerieke optimalisatie). Gondwana combineert een zogenaamd ‘genetisch algoritme’ met hydraulische berekeningen om geautomatiseerd een grote hoeveelheid potentiële ontwerpoplossingen te genereren. Dit werkt als volgt:

Uitgangspunt is het huidige (begin)netwerk. Door hierin enkele willekeurige veranderingen door te voeren wordt er een zogenoemde eerste ‘generatie’ van potentiële nieuwe netwerken gegenereerd.

Voorbeelden van veranderingen zijn: van enkele leidingen de diameter veranderen aan de hand van een lijst van beschikbare diameters, het ‘openzetten’ van potentiële extra leidingen, of het veranderen van hele andere ontwerpaspecten zoals het plaatsen van een bepaalde sensor. Deze eerste generatie netwerken wordt vervolgens doorgerekend en beoordeeld op enkele vastgestelde randvoorwaarden (bv. leveringszekerheid) en prestatiecriteria (bv. kosten en opgeloste drukproblemen). Netwerken die niet

voldoen aan gestelde harde randvoorwaarden worden afgewezen. Netwerken die hieraan wel voldoen, worden met elkaar vergeleken aan de hand van de prestatiecriteria. De best presterende netwerken worden gebruikt om een nieuwe generatie oplossingen te genereren (door meer leidingen aan te passen en door netwerken met elkaar te combineren). Ook de nieuwe generatie wordt vervolgens doorgerekend en beoordeeld. Zo wordt, generatie na generatie, de verzameling van oplossingen steeds beter. Uiteindelijk leidt dit tot een verzameling van mogelijke ideale netwerken: een paretofront. De gebruiker kan de verschillende ontwerpen op het paretofront vergelijken en besluiten in hoeverre een verbetering op de ene doelstelling een concessie op de andere rechtvaardigt.

De techniek om met numerieke optimalisatie oplossingen te ontwerpen is niet nieuw. Er zijn vele wetenschappelijke publicaties over te vinden. Deze publicaties behandelen echter vooral kleinere standaardnetwerken. Praktijktoepassingen met bestaande uitgebreide netwerken zijn nog steeds beperkt voorhanden. De moeilijkheid bij toepassing in de praktijk is tweeledig: ten eerste het vertalen van het probleem naar een wiskundige vorm, en vervolgens het interpreteren van de resultaten, rekening houdend met de aannames die zijn gedaan. De samenwerking tussen Waternet (probleemhouder) en KWR (vertaling van het probleem naar een wiskundige probleemdefinitie) is dus essentieel en vereist veel onderling overleg. Om het

HOE MOET HET DRINKWATERDISTRIBUTIENET VAN WATERNET MEEGROEIEN MET DE STAD? I 21
WATER MATTERS NO.15 DECEMBER 2022
20
Afbeelding Het onderzoeksgebied omvat Amsterdam, Amstelveen en Ouder-Amstel. Weergegeven zijn de bestaande en geplande pompstations, de geplande stadsuitbreidingen en het bestaande distributienet

probleem van Waternet om te vormen tot een wiskundig door te rekenen probleemdefinitie is het nodig om samen doelen, randvoorwaarden, beslisvariabelen en de uitgangssituatie van het netwerk te definiëren.

Definiëren van de uitgangssituatie

De eerste stap in het definiëren van een optimalisatieprobleem is een goede beschrijving van de uitgangssituatie. We hebben ervoor gekozen een vereenvoudigde versie van het huidige netwerk te beschrijven, met als verbruik het verwachte verbruik op het piekmoment van de piekdag in 2050. Het model is vervolgens uitgebreid met knopen (aansluitpunten waarmee een klein aantal huizen of bedrijven is aangesloten) met extra verbruik (zie afbeelding 1) om de uitbreidingsplannen van de stad te representeren. De verdubbeling van de huidige productiecapaciteit in het oosten en een eventueel nieuw pompstation in het noorden van de stad zijn ook meegenomen als uitgangspunten. Tenslotte zijn enkele mogelijke toekomstige leidingen (lokale oplossingen) met een diameter van effectief 0 mm in het model opgenomen. Deze lokale oplossingen kunnen tijdens de optimalisatie worden ‘aangezet’ door de diameter te vergroten, als ze meerwaarde hebben voor de oplossing. Dit geeft Waternet de mogelijkheid om de effectiviteit van de lokale oplossingen te beoordelen en om een optimale combinatie te vinden. Het aanpassen van de diameters van de lokale oplossingen en de bestaande leidingen dient in deze optimalisatie als de beslisvariabele: dat wat door het algoritme mag worden aangepast om nieuwe potentiële oplossingen te genereren.

Definiëren van de doelen

Het doel van Waternet is om ook in 2050 leveringszeker te zijn. Preciezer gezegd: dat er op het piekmoment van de piekdag in 2050 voldoende water met voldoende druk kan worden geleverd. Analyses van het huidige netwerk met daarbij opgeteld de watervraag in 2050 (dus inclusief stedelijke ontwikkeling en ook inclusief de toename van de watervraag door klimaatverandering) laten zien dat het huidige netwerk hier niet aan kan voldoen en dat er veel plaatsen zijn waar de benodigde druk niet wordt gehaald. Omdat Waternet in de komende 30 jaar (naar 2050) slechts beperkte ruimte (in tijd, geld en mensen) zal hebben om

het leidingnet aan te passen, is er ook gekeken naar welke aanpassingen het effectiefst zijn. Oftewel: hoe kunnen we met zo min mogelijk aanpassingen zoveel mogelijk ondermaatse drukken oplossen. De gekozen optimalisatie beoordeelt de oplossingen daarom op twee doelen: • het minimaliseren van de som van drukken onder de 230 kPa en • het minimaliseren van het aantal kilometers leiding dat moet worden aangepast. Dit geeft inzicht in hoeveel er moet worden geïnvesteerd/ aangepast om de gewenste prestatie op druk te halen.

Definiëren van de randvoorwaarden

Het netwerk moet voldoen aan de gestelde doelen, maar binnen een aantal randvoorwaarden. Waternet heeft de wens om een groot deel van de toename in de watervraag te produceren aan de oostkant van het systeem, zodat er een evenwichtiger verdeling ontstaat tussen de twee productielocaties. Analyse van het netwerk laat echter zien dat, vanwege de huidige hydraulische weerstand van het netwerk, het extra water alleen maar geleverd zou kunnen worden vanuit de productielocatie in het westen van de stad. Wanneer de levering vanuit het westen wordt begrensd en een gelijke waterverdeling tussen oost en west wordt afgedwongen, zou in het oostelijke pompstation een niet te realiseren hoge druk nodig zijn. Een van de randvoorwaarden is dan ook dat bij een gelijkmatige waterverdeling de druk bij dit leveringspunt niet hoger mag zijn dan 350 kPa. Daarnaast wil Waternet expliciet rekening houden met de leveringszekerheid onder enkele van de ernstigst mogelijke verstoringen in het distributiesysteem, zoals uitval van een pompstation of een belangrijke leiding. Om hier rekening mee te houden zijn er 21 verstoringsscenario’s uitgewerkt, waarvan de zes met de meeste impact zijn geselecteerd om mee te nemen in de optimalisatie. De prestatie van de potentiële netwerken op deze verstoringsscenario’s wordt vervolgens meegenomen als randvoorwaarde.

Resultaten van de optimalisatie

Met de hierboven beschreven uitgangssituatie, beslisvariabelen, doelen en randvoorwaarden (tabel 1) kan het optimalisatieplatform (Gondwana) aan het rekenen.

WATER MATTERS 22 I

De optimalisatie geeft 48 oplossingen per generatie en een totaal van 4500 generaties. Dit betekent dat er in totaal 216.000 potentiële netwerkmodellen zijn doorgerekend. Dit levert uiteindelijk een paretofront op van geoptimaliseerde netwerken, waarbij sommige netwerken beter scoren op druk (afbeelding 2, horizontale as) maar meer kilometers aanpassingen nodig hebben (verticale as) of andersom. Binnen de mogelijkheden die worden aangegeven door het paretofront heeft Waternet een voorkeur voor oplossingen waarin 100 tot 300 km leidinglengte wordt aangepast. Dit heeft twee redenen. Ten eerste vragen oplossingen met meer dan 300 kilometer aan aanpassingen extra investeringen, die nauwelijks een betere prestatie op druk opleveren, terwijl onder de 300 km met elke kleine aanpassing nog steeds respectabele winst valt te behalen. Ten tweede betekent 100-300 km aan aanpassingen in de komende 30 jaar voor Waternet een uitdagende maar geen onmogelijke opgave.

Op het paretofront liggen 156 potentiële netwerken met tussen de 100 en 300 km aan aanpassingen, allemaal met net een andere prestatie op druk en net een andere hoeveelheid aangepaste kilometers. Om te bepalen welke leidingen belangrijk zijn om aan te pakken, is voor elke leiding geanalyseerd in hoeveel van de 156 oplossingen deze wordt aangepast. Uit het Paretofront blijkt ook welke vooraf bedachte lokale oplossingen ook daadwerkelijk geselecteerd worden en dus effectief zijn in het oplossen van de ondermaatse drukken. Sommige lokale oplossingen worden weinig geselecteerd (omdat er betere manieren zijn), andere worden bijna altijd gebruikt.

Dankzij dit onderzoek heeft Waternet een beter zicht op de investering die nodig is om ook in 2050 leveringszeker te zijn. Het is nu duidelijk welke bestaande leidingtrajecten verruimd moeten worden en welke lokale oplossingen

van meerwaarde zijn. Met deze kennis kunnen maatregelpakketten worden samengesteld en uitgewerkt.

Bram Hillebrand, Ina Vertommen, Karel van Laarhoven (KWR), Joost Louter, Michael Preng (Waternet)

BRONNEN

[1] Practical Application of Optimization Techniques to Drinking Water Distribution Problems (easychair.org)

SAMENVATTING

Waternet staat voor de uitdaging om de drinkwaterdistributie mee te laten groeien met de stad. Samen met KWR is deze opgave omschreven als een wiskundig probleem dat kon worden opgelost met het numerieke optimalisatieplatform Gondwana. De iteratieve, systematische werkwijze levert geloofwaardige en bruikbare uitkomsten op. De opgave ‘leveringszeker in 2050’ is fors, maar niet onhaalbaar. Het blijkt dat een groot gedeelte van de oplossing kan samenvallen met het geplande vervangingsprogramma. Tegelijk is duidelijk geworden welke nieuwe tracés het best kunnen worden overwogen.

I 23
WATER MATTERS NO.15 DECEMBER 2022
HOE MOET HET DRINKWATERDISTRIBUTIENET VAN WATERNET MEEGROEIEN MET DE STAD?
Afbeelding 2: Alle optimale modellen en hun scores voor de twee gedefinieerde doelen

Het kennismagazine Water Matters van H2O is een initiatief van

Koninklijk Nederlands Waternetwerk

Onafhankelijk kennis(sen)netwerk voor en door Nederlandse waterprofessionals.

Water Matters wordt mogelijk gemaakt door Deltares

Onafhankelijk kennisinstituut op het gebied van water, ondergrond en infrastructuur. Wereldwijd wordt gewerkt aan slimme innovaties, oplossingen en toepassingen voor mens, milieu en maatschappij.

KWR Water Research Institute

Instituut voor toegepast wetenschappelijk wateronderzoek dat kennis genereert en samenbrengt voor innovaties in en optimaal beheer van de waterketen.

Royal HaskoningDHV

Onafhankelijk internationaal advies-, ingenieurs- en projectmanagementbureau, dat samen met klanten en partners een bijdrage levert aan een duurzame samenleving.

Stichting Toegepast Onderzoek Waterbeheer (STOWA) Kenniscentrum van regionale waterbeheerders in Nederland, dat zorgt voor het ontwikkelen, bijeenbrengen, delen en implementeren van kennis die nodig is om de opgaven waar waterbeheerders voor staan, goed uit te voeren.

Turn static files into dynamic content formats.

Create a flipbook
Issuu converts static files into: digital portfolios, online yearbooks, online catalogs, digital photo albums and more. Sign up and create your flipbook.