Guyana Times - Wednesday, October 23, 2024

Page 1


BRIDGE OPENINGS

The Demerara Harbour Bridge will be closed to vehicular traffic on:

Wednesday, October 23 –21:00h-22:30h and Thursday, October 24 – 22:30h-00:00h.

The Berbice Bridge will be closed to vehicular traffic on:

Wednesday, October 23 –09:00h-10:30h and Thursday, October 24 – 10:25h-11:55h.

FERRY SCHEDULE

Parika and Supenaam departure times – 05:00h, 10:00h-12:00h, 16:00h, 18:30h daily.

WEATHER TODAY

Sunshine is expected during the day, with thundery showers in the late-morning to early-afternoon hours. Clear to partly cloudy skies, with thundery showers, are expected at night. Temperatures are expected to range between 24 degrees Celsius and 33 degrees Celsius.

Winds: North-Easterly to Easterly between 2.68 metres and 5.36 metres

High Tide: 08:24h and 20:36h reaching maximum heights of 2.14 metres and 2.20 metres.

Low Tide: 14:05h reaching a minimum height of 1.13 metres.

UWI-backed medical school to be located in Rupununi area – Pres Ali ...says investors from Brazil interested in financing venture

AUniversity of West Indies (UWI) backed medical school will be located in Region Nine (Upper Takutu-Upper Essequibo), with President Dr Irfaan Ali revealing that this institution will be open not just to locals, but also to students from nearby Brazil.

There had previously been talks that UWI would help establish a medical school in Guyana, but a location had not been finalised. During a recent ceremony to mark the construction of a hospital and school in the region, President Ali spoke definitively on the subject.

According to President Ali, not only is Guyana expected to sign a Memorandum of Understanding (MoU) with UWI, but investors from the state of Roraima, in nearby Brazil, are interested in financing the endeavour.

“Very soon, we will be signing with the University of West Indies, an MoU, to establish the University of West Indies Medical School, Pharmacy School and Nursing School, right here in Guyana. And the regional authorities have already said to me, that there is a group of investors from the state of Roraima who want to invest in a medical school and medical facility.”

The Head of State expressed his administration’s readiness to build the school, one that would service Guyana and the region at large, using Guyana’s English-speaking environment to its benefit.

“So, I have this to say. Let us do it. Let us build in this region, with the support of UWI and the University of Guyana (UG), a medical school that can service the State of Roraima, this region and all of Guyana so that we can produce global medical practitioners from right here in this region,” President Ali also said.

Earlier this year, President Ali had revealed that the UWI School of Medicine had approached Guyana to have one of its campuses located in Guyana. At the time, Region Six (East Berbice-Corentyne) had initially been identified as a prospective location for the school.

“When we launched the New Amsterdam Hospital, we said that in that facility we negotiated a building for teaching services and that message went out regionally and globally. I’m pleased to inform you that the University of the West Indies School of Medicine has now approached us to be part of this vision in bringing their campus to Guyana and negotiations and discussions would have commenced.”

“Importantly, in the negotiations, we are now working on ensuring that the rates are the same as local students in Trinidad and

Tobago so there will be equity and quality matched together,” the President had also said, acknowledging that while the University of

Under the Guyana Online Academy of Learning (GOAL) – a free scholarship initiative introduced by the People’s Progressive Party/

have benefited from some 345 programmes being offered by 19 universities across the world, including UWI.

In April 2024, it was reported that over 2000 Guyanese students had graduated from UWI programmes under the GOAL Scholarship initiative and another 650-plus students were enrolled at the time.

In addition to the UWI School of Medicine, it has been reported that the Guyana Government had

Guyana has its own Medical School, competition is “a part of life and a necessity in improving quality.”

Civic (PPP/C) Government in 2021, over 30,000 Guyanese students, 75 per cent of whom are females,

also been working on securing degree accreditation from the regional institute for its new nursing school. (G3)

President Dr Irfaan Ali
The state of Roraima

Editor: Tusika Martin

News Hotline: 231-8063Editorial: 231-0544, 223-7230, 223-7231, 225-7761

Marketing: 231-8064Accounts: 225-6707

Mailing address: Queens Atlantic Industrial Estate Industrial Site, Ruimveldt, Georgetown

Email: news@guyanatimesgy.com, marketing@guyanatimesgy.com

Illegal laneformation

Recent remarks by the Traffic Chief, Senior Superintendent Mahendra Singh, highlight a growing problem on the streets of Georgetown -- the illegal formation of second and third lanes during peak traffic hours. Especially on roads like Sheriff Street and Mandela Avenue, this issue is not just a matter of convenience for some drivers, but is a significant safety hazard for all road users.

Superintendent Singh is right to label this behaviour as both "dangerous and careless driving." Creating makeshift lanes on roads not designed for such use increases the risk of accidents. These makeshift lanes, often formed in areas designated for cyclists or pedestrians, endanger vulnerable road users and escalate the chaos in already congested areas. The argument that such actions "ease the burden" of traffic is a shortsighted one that ignores the long-term risks of such reckless driving.

In peak-hour traffic, these illegal lanes may seem like a solution to gridlock, but they are not. As Singh pointed out, creating illegal lanes creates more problems than it solves, including confusion and potential accidents. More importantly, forming illegal lanes undermines the very purpose of traffic laws, which are designed to ensure safety and order on the roads. If every driver adopts this mentality of disregarding traffic laws for personal convenience, order on the roadways would descend into chaos.

One of the key challenges that Singh rightly addresses is enforcement. The Police Force is stretched thin during peak hours, and addressing one driver violating the law could disrupt the flow of traffic further. This is a real dilemma. However, this does not excuse the behaviour of drivers who choose to form illegal lanes. Traffic laws exist for a reason, and lack of immediate enforcement does not give drivers the license to break those laws.

Singh’s suggestion of using technology to capture violators is a practical one. Implementing traffic cameras or taking photographs of offending vehicles could be an effective way to curb this dangerous trend. When drivers know they are being watched, and real consequences are involved, they are less likely to flout the laws. This would not only improve road safety, but also help ease the burden on traffic officers, who cannot be at every intersection at all times.

Ultimately, Singh’s message is one of responsibility: drivers must practise courtesy, common sense, and defensive driving in order to ensure the safety of everyone on the road. The issue of illegal lane-formation is not just about breaking the law, it is about creating an environment in which roads become more dangerous for everyone. The call for stricter enforcement is essential; but so, too, is the need for a cultural shift in how drivers approach road safety.

In the end, the safety of the roads is a shared responsibility. It is up to each driver to make decisions that prioritize safety over convenience. While the police would continue to do their part, it is the drivers who must change their mindset and behaviour. Following traffic laws and respecting other road users is not just the law; it is the right thing to do.

To expand further on the issue raised by the Traffic Chief, it’s essential to recognize that the root of the problem goes beyond just illegal lane-formation. It reflects a broader disregard for traffic rules and a culture of impatience that plagues our roads. The rise in vehicular traffic in Georgetown, particularly during rush hours, has made commuting increasingly tedious. However, choosing to flout the law by creating unauthorized lanes is not the solution. Instead, it compounds the problem, making roads less safe for all.

One of the long-term solutions that could complement stricter law enforcement is public education. Authorities should consider launching awareness campaigns that target drivers’ attitudes toward road safety. Highlighting the dangers of illegal lane-formation and promoting the benefits of defensive driving could help to shift the mindset of drivers who currently believe that bending the rules is acceptable if it gets them to their destinations faster.

Govt should not be distracted by clamour for shared governance, power-sharing

Dear Editor, The incessant clamour for shared governance and/or power-sharing by Opposition forces seeking input and control over governmental functions is a disservice to Guyanese. This is especially so since such governing structures have proven to be ineffective, and have had adverse effects on the country’s development and progress.

Most Guyanese old enough today can probably recall the failed coalition government established by Burnham’s People’s National Congress (PNC) and D’Aguiar’s United Force (UF) political parties in 1964. Aware of the PNC’s inability to garner majority electoral support, Burnham joined forces with D’Aguiar to dislodge Jagan’s Peoples Progressive Party (PPP) from political power. Burnham viewed a coalition government with D’Aguiar as advantageous to his political dominance over the country, even though he and D’Aguiar had extremely little political and governing philosophies in common.

As a 2002 (released date) intelligence report declared, the PNC+UF coalition government, from its inception, worked like an “ungreased machine”, and not long thereafter, tension escalated between Burnham and D’Aguiar. As the report continued to state, D’Aguiar complained about Burnham’s “dictatorial” and “squandermania” tendencies, in addition to the UF not being consulted on key governing issues.

In September 1967, dissatisfied with the governing relations, D’Aguiar resigned - three years after the formation of the coalition government. He later moved to reside in Barbados.

Burnham, on the other hand, explored what many considered devious ways to increase his support and prolong his power and domination over the country. These include registering Guyanese residents abroad – the majority of whom at the time were Afro-Guyanese – as well as forming an alliance with Eric Gary of Grenada to increase his Afro-base support, in addition to rigging the election. It is essential to note that none of these initiatives included an alliance with the PPP.

In December 1968, Burnham rigged the national elections to retain power, and five years later –December 1974 – declared the PNC paramount.

Besides the failed PNC+UF coalition government, today’s Guyanese are familiar with another futile power-sharing government, that of APNU+AFC.

Promoted in their political campaign rhetoric as a National Front Government (NFG), not only did the governing structural relations and arrangements of the APNU+AFC coalition prove disquieting, the leadership roles and struggles among members of the two political entities became blurred by internal rivalries. Overall, the lack of clarity in terms and conditions of power sharing, and the articulation of questionable unified

policy decisions, contributed to uneasiness among various sectors of the population.

The reader should not be swayed by the smoldering aftermath of nebulous and falsified retrospective claims that APNU+AFC collective policy decisions benefitted most Guyanese, especially the working class and poor. Presented with grandiose claims of success, those who lived under the APNU+AFC regime should ask themselves (i) What progressive policies did the APNU+AFC government promulgate, or noteworthy actions taken to develop the country, improve lives, and win the confidence of Guyanese? (ii) In calling for shared governance/power sharing, (a) Is APNUAFC seeking easy access to governmental power without the electoral consent of the masses? (b) Why did APNU+AFC refuse to leave office and transfer power after losing the election in 2020? (c) Does such effort to usurp power qualify them to be a partner in shared governance/power sharing?

It is essential to note that Opposition leaders’ clamour for shared governance/power-sharing would catapult the leaders into the echelons of political prominence, but would be unlikely to bring, or guarantee, benefits to the disenfranchised, the alienated, the working poor, and the population at large, as evidenced by the failed PNC+UF, and then APNU+AFC shared governance structures and relations.

Consequently, instead

of shared governance/power sharing, the PPP/C should focus emphasis on expanding its current system of Participatory Democracy at all levels: regional, district, village, communities, and even churches, mandirs and mosques, with intent to solicit input and feedback that would result in policy decisions that benefit all Guyanese.

Participatory Democracy has proven to be critical in building trust, generating firsthand learning, fostering working relationships between Government and the people, and providing opportunities for primary data collection that inform policy decisions.

President Ali’s outreach, consultation, and decision making have already exemplified and validated the importance and value of governance through a system of participatory democracy.

Hence, the PPP/C leadership should not become distracted from its commitment to developing the country and improving the lives of all Guyanese through adherence to the protocols and policies of participatory democracy.

Undoubtedly, such a system of governance would take time to fully materialise and yield fruitful results. Could it be that because the successes of such a governance system are clearly evidenced the Opposition forces clamour for power sharing? Think about it.

Regards, Narayan Persaud

An aerial view of Kumaka Landing at Mabaruma in Region One (Barima-Waini) (Latchman Singh photo)

Dr Clive Thomas’s unfeasible $1M cash grant proposal unrealistic

Dear Editor,

Dr Clive Thomas’s proposal to provide a $1 million cash grant per household is an unfeasible and challenging suggestion that undermines Guyana’s development priorities.

The proposal seems politically motivated, and may detract from substantial progress achieved under the People’s Progressive Party /Civic administration.

The PPP/C has worked tirelessly to reverse the economic damage inherited from the prior A Partnership for National Unity-Alliance for Change (APNU/AFC) Administration, which perpetuated a legacy of fiscal mismanagement under the People’s National Congress (PNC). Adopting this proposal would not only jeopardize the strides made toward sustainable development, but also risk destabilizing the nation’s economy.

The impracticality of the proposal is clear when its financial implications are considered. Allocating Gy$1 million to approximately 300,000 households would cost around $300 billion, significantly depleting the country’s oil revenues.

The country’s oil revenues are essential for strategic investments in infrastructure and healthcare, education and economic diversification — critical pillars for building a resilient and prosperous Guyana. Diverting such a vast amount of resources to cash grants would squander opportunities for long-term growth, and undermine the country’s future economic stability.

Economically, the propos-

al is fundamentally flawed. Dr Thomas, with his background in economics, should know that injecting US$1.43 billion into the economy without a proportional increase in goods and services is risky. This action would inevitably drive inflation, causing prices to rise and eroding the real value of the grants. Instead of providing meaningful financial relief, his proposal would cause economic difficulties, particularly for vulnerable households already struggling with rising costs for essential goods.

The logistical challenges further complicate the proposal. Guyanese households are diverse, with various structures, including nuclear families, extended families, and shared accommodation. Figuring out eligibility across these different living arrangements would require a massive administrative effort, leading to delays, inefficiencies, and potential misuse. Dr Thomas has not addressed these operational complexities, thus making his proposal financially challenging and impractical.

Even within his political circle, there was skepticism about the feasibility of such cash grants. Former Finance Minister Winston Jordan, who served under the APNU, had said this idea “would not fly,” raising concerns about the economic strategy behind the proposal. On a platform of poor fiscal management, this proposal seems more like a politically ambitious suggestion, rather than a credible economic solution.

In every respect, Dr Thomas’s proposal must un-

equivocally be rejected.

In stark contrast, the PPP/C government under President Ali has proven responsible and adaptive governance. Faced with the challenges of the original $200,000 per household proposal, the Government made a prudent adjustment to a $100,000 grant for every adult 18 years and older. This change reflects true leadership, swift action, and balancing the need for immediate support with the goal of keeping fiscal stability, while simplifying the distribution process to avoid complications in defining household eligibility. This policy exemplifies the PPP/C’s commitment to thoughtful policymaking that serves the people’s needs without compromising the nation’s financial health.

The PPP/C Administration’s approach should be viewed as part of a broader economic strategy aimed at fulfilling its commitments to the Guyanese people. Alongside the cash grants, Government has raised the income tax threshold to $100,000 per month, relieving 39,000 individuals from the tax burden, and increasing meaningful disposable income in the economy.

Starting in 2025, parents would also receive help from a monthly tax deduction of Gy$10,000 per child, easing financial pressures on families. Additionally, the Government is taking decisive action to improve public sector wages, ensuring that by the end of 2025, no public servant earns less than Gy$100,000 per month. This initiative builds on recent salary adjustments, and

would encourage similar wage increases in the private sector.

Other measures include resuming the “Because We Care” cash grant at $40,000 per child, raising the old-age pension to $36,000 per month, and undoing 350 tax measures imposed on the Guyanese population by the past Coalition government.

President Ali’s announcement of free university education at the beginning of 2025 and the elimination of tuition fees at state-owned technical institutes are significant investments in human capital. These policies will deliver tangible benefits to countless Guyanese and reaffirm Government’s commitment to social and economic transformation. By expanding access to education and economic opportunities, the PPP/C is laying the foundation for a brighter and more prosperous future for the nation.

The administration is also driving transformative investments in agriculture, infrastructure, and renewable energy, thereby positioning Guyana for long-term growth. With an ambitious goal to reduce electricity costs by 50% by 2025 through sustainable energy projects, Government is aiming to lower household expenses while boosting the nation’s economic resilience and competitiveness. These forward-looking strategies embody a commitment to future-proofing the economy, and they stand in complete contrast to Dr. Thomas’s proposal - which lacks a realistic plan and the vision needed for sustainable development.

The decision to revise the

Resuscitation of the agriculture sector

Dear Editor, Agriculture Month is here, and it is time to reflect on the tremendous achievements and steady progress that agriculture has made under this PPP/C Government; the Ministry of Agriculture being under the astute and competent leadership of the Honourable Zulfikar Mustapha, Minister of Agriculture.

To fully appreciate this accomplishment, it is imperative that we analyze what took place during the Coalition’s term in office, which saw the wilfully planned and systematic destruction of that sector.

They slashed the budgetary allocation each year, thereby ensuring under-capitalization of the sector, thereby hindering its rehabilitation and growth.

It must be recalled that the budgetary allocation in 2018 was slashed by $1.351 billion after the closure of 4 grinding sugar estates. One would have expected that sums of money saved from these closure exercises would have been utilized to rehabilitate and capitalize the remaining estates, or the other sub-sector of agriculture. But this was wishful thinking, since the malevolent intention was complete closure of GuySuCo. This is despite the

Coalition having promised not to close any of the estates.

In 2015, at the Arthur Convention Center, the ‘champion’ of the sugar workers, Moses Nagamootoo, uttered these words: “The focus is to make sugar work. We have too many workers who stand to lose with the collapse of the industry. This new Government will not allow sugar to sink.” This was hypocrisy at its best. As early as 2013, he called GuySuCo ‘a black hole’; but he went further in November 2016, a year after his proclamation at the Arthur Chung Center, when he said sugar workers were deemed raiders of the Treasury. “Bailing out GuySuCo is like raiding the Treasury,” he bragged. The words of Agriculture Minister the Honourable Zulfikar Mustapha will reverberate in the minds of Guyanese for a long time to come. He profoundly declared to the Coalition in Parliament that sugar had ‘lost its taste’ under the APNU/AFC Administration, but the sweetness of sugar’ will return under the PPP/C Government. His words came to pass, as his government did Mission Impossible by reopening the Rose Hall Estate while the others are worksin-progress with various de-

velopmental options.

Moreover, the Coalition deemed the rice industry, and by extension the other crops, livestock and fishing, to be private business.

New lands should have been opened for rice farming and other crops, and the cost of machinery, fertilizers and chemicals should have been subsidized to assist farmers who were at their wits’ end to produce to eke out a living. Instead, in its insane haste to refill the empty coffers which were quickly being squandered, the Coalition increased D&I charges and implemented VAT on agricultural machinery and equipment. Drainage and Irrigation infrastructure fell apart rapidly, access dams became canals, and the farmers were left to fend for themselves.

This Government pressed the ‘undo’ button, and the rice industry is growing by leaps and bounds, like all the other sub-sectors.

In September 2020, the Minister of Agriculture made a commitment when he boldly declared that, in the next 5 years, implementation of measures to promote a diversified agriculture-based economy would be seen; more jobs would be created; and the incomes of farmers would be increased. He emphasized that

this would be done by modernizing and upgrading infrastructure, strengthening support services, creating robust marketing systems at local and international levels, and increasing Guyana’s market share. None of this was empty rhetoric; it all came to pass, and much more was achieved.

For their entire term in office, the Coalition had been piloting Guyana on the course of the oil curse, which would have been the result of their woeful and calculated neglect of the sector compounded by gross incompetence.

Undoubtedly, absolute revitalization of the agriculture sector began in 2020, and is marked by renewed understanding and recommitment to the fundamental role of agriculture in the nation’s developmental process by this Government, skillfully driven by the most competent Agriculture Minister ever.

In conclusion, the great achievements of this sector must be applauded vociferously by all Guyanese every single day, especially since the sector has overcome the brutal decimation engineered by the APNU/AFC.

Yours sincerely, Haseef Yusuf

cash grant policy from $200,000 per household to $100,000 per adult shows a keen understanding of Guyana’s economic realities and a commitment to responsible governance.

This approach contrasts sharply with Dr. Thomas’s unrealistic suggestion, which is rooted in rhetoric rather than wellthought-out policy planning. His proposal lacks the seriousness needed to address the nation’s challenges, and distracts from the meaningful progress already underway.

Dr Thomas’s $1 million per household proposal is not

merely flawed; it poses significant economic risks to the progress achieved under the PPP/C government, potentially affecting the country’s economic stability.

Guyana deserves policies that prioritize sustainable growth and deliver real benefits, not empty promises. The PPP/C’s strategy of responsible economic management and long-term development is the path that would secure a stable and prosperous future for all.

Sincerely,

Allegations of sexual assault at St Joseph High School need investigation

Dear Editor, The sexual assaults that are alleged to have occurred at St Joseph High School need to be investigated by the Guyana Police Force, and the Ministry of Human Services needs to be involved.

It is good to see that the Ministry of Education has taken the initiative to look into this very serious matter, and it is now important for the GPF and the Ministry of Human Services to take the lead in the investigation.

The sexual assault of the young boy that allegedly happened not too long ago in another school's washroom has not been thoroughly investigated and properly resolved. It is important that a clear message be sent in regard to

what is and is not allowed in our schools. Early intervention in such criminal activities by minors can help prevent further escalation as they age.

CRG looks forward to the authorities thoroughly investigating and providing required actions to protect and safeguard our students and prevent further occurrences of such heinous crimes. Hopefully, the Ministry of Human Services would help the victims become strong survivors of the alleged crime. There is no place for juvenile delinquents in our school system if we aim to provide a safe learning environment.

Sincerely, Jamil Changlee

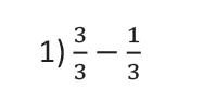
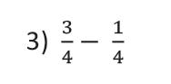
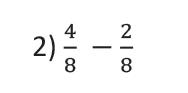
Subtracting fractions with like denominators

Remember:

When adding or subtracting fractions with like denominators, just work with the numerators. You can ignore the like denominators while adding or subtracting. However, do not forget to put your total or difference over the like denominator when you have finished your calculations.

Exercises: Subtract fractions

Maths as art

Construct a snowflake

Glory be to God for dappled things-For skies of couple-colour as a brinded cow; For rose-moles all in stipple upon trout that swim; Fresh-firecoal chestnut-falls; finches’ wings; Landscape plotted and pieced--fold, fallow, and plough; And all trades, their gear and tackle and trim. All things counter, original, spare, strange; Whatever is fickle, freckled (who knows how?)

With swift, slow; sweet, sour; adazzle, dim; He fathers-forth whose beauty is past change:

Praise Him.

WORD SEARCH:

Close to $20B increase in revenue collected by Govt for 2023 — AG report

…$6.7B surplus in VAT collections, over $220B in

internal revenue

The People’s Progressive Party/ Civic (PPP/C) Government has made significant progress when it comes to improving its revenue collection, with the Auditor General’s 2023 report highlighting a massive $19.8 billion increase in revenue collection.

The AG report highlights that for 2023, the $197.8 billion in internal revenue target that was originally budgeted was exceeded by $29.9 billion. This means that for the year in question, $227.8 billion in internal revenue was collected.

“The main sub-categories accounting for the higher collections were private corporation tax of $5.744 billion, personal income tax of $7.036 billion, withholding tax of $14.201 billion, on account of higher collections predominantly from companies within the oil and gas sector,” the AG report states.

“Property tax on Private Sector companies exceeded the budgeted amount by $392.073 million resulting from significant arrears of $256.4 million paid by several commercial banks for 2017 to 2022, as well as an increase in payment resulting from an increased num-

ber of companies, from 512 in 2022 to 620 entities in 2023.”

When it comes to customs and trade taxes, their collection actually exceeded the budgeted amounts of $1.385 billion. This reflected higher collections from import duties of $965.1 million, owing to increased commodities imported by several major importers.

Betting Interestingly, consumption tax collections on betting shops increased by $300.7 million. This, according to the Auditor General report, went over the budgeted amount on

account of increased gambling and betting activities.

“Similarly, environmental levy reported collections of $2.941 billion compared to the original budget of $2.886 billion. The surplus in collections resulted from the higher values of commodities being imported including juices, fermented beverages, and assorted/ aerated beverages.”

It was further explained by the AG report that capital gains tax, income tax on self-employed persons, premium tax, travel voucher tax and travel tax also recorded higher collections of $506.1 million, $305.8 million, $205.9 million, $133.7

million, and $98.045 million respectively.

“Of note, the subcategories for which collections were lower than budgeted were other personal income tax of $386.400 million and property tax on individuals of $22.544 million. Excise taxes exceeded the budgeted amount of $23.382 billion by $8.362 billion, mainly on account of higher collections of $5.312 billion from motor vehicles, and $3.542 billion from pe-

troleum products.

“The increased collections from motor vehicles resulted from an increase in vehicles imported from 11,938 in 2022 to 21,664 in 2023, of which 6961 vehicles benefited from the excise tax measure implemented in 2023. In contrast, lower collections were realised from alcoholic beverages of $301.673 million and tobacco of $190.068 million.

VAT surplus

Meanwhile, the collection of Value Added Tax (VAT) experienced a surplus of $6.7 billion, largely owing to collections from the Private Sector, including oil and gas companies. Collections from imports of goods were recorded at $114.7 million above the budget level of $28.2 billion.

“On the other hand, collections from the import of services were $29.817 million less than the budget of $313.745 million. Collections from miscellaneous receipts, within the non-tax revenue cate-

gory, were $6.984 billion compared to the budgeted amount of $6.800 billion.”

“Higher receipts were recorded from lottery receipts by $77.500 million. However, the receipts from Guyana REDD Investment Funds were lower by $1.410 billion than the budgeted amount of $3.000 billion,” the AG said.

In addition, the report stated that receipts from dividends and special transfers were lower by $3.437 billion, resulting from fewer collections from statutory bodies and public enterprises. On the other hand, royalty collections were higher by $2.979 billion on account of higher gold declarations by foreign companies.

According to a Finance Ministry statement, these improved receipts are owed to the Government’s prudent management. Additionally, the Ministry pointed out that miscellaneous revenue under the non-tax revenue collection was $6.984 billion, over the budgeted $6.8 billion.

The Finance Ministry

Celebrating…

W…Queen’s College

ho in Guyana hasn’t heard about Queen’s College?? After all, since primary school education is COMPULSORY in our dear land of Guyana, for over a hundred years, every man, woman or child’s predetermined goal has been to get into that institution of learning!! Queen’s - or “QC”, as everyone refers to it – has been the Holy Grail that would be delivered, OR NOT, by Grade 6 (the old Standard 4) by the kids’ performance at the old “Common Entrance” exam; now dubbed Grade 6 Assessment. So, by the age of 12, a Guyanese child is forever defined by whether or not he/ she had got into Queen’s. And no matter what they say, all those who fail to get in are seen as a bit of a failure!! Sad, but true!!

Well, QC is celebrating the 180th anniversary of its founding, in 1844, when the good Anglican Bishop of British Guiana established it to educate the sons of the elite who’d been posted to serve in British Guiana – a colony which had been formed just 13 years before by combining the old Dutch colonies of Berbice, Essequibo and Demerara!! Slavery had been abolished just six years before, and the waves of indentured labourers to succeed the slaves on the plantations had been unleashed!! QC then was initially meant to produce rulers, not followers; and it’s not a coincidence that Burnham and Jagan had both gone to Queen’s. As did Walter Rodney, whom Burnham ordered assassinated because he feared the younger QC grad was gunning for his job!! It is a reflection of the importance of QC in the mind of Burnham that he mocked Rodney for his high-jumping prowess - honed at QC - when the latter had to scale fences to escape his goons!!

The enrollment at Queen’s expanded gradually from its start with 11 students at the spot where the High Court now sits. It had a peripatetic existence all over GT, before settling down at its present locale in 1951. WWII was over, and the Brits accepted they’d be relinquishing their rule to locals, whom they wanted to remain subservient. So, admission was expanded then, and rural young men like Sam Hinds from Mahaicony could enter to enjoy the enlarged curriculum that by then had included the natural sciences - rather than only focusing on the classics during Burnham’s days in the 1930s-1940s!!

The other major change came in 1975, when Burnham made Queen’s co-ed. After he anointed himself “Executive President”, he attempted to change the name to “President’s College”!! But, thwarted by the Board, he settled for President’s College at Golden Grove!!

Today, QC still gets first dibs at Grade Six top performers, but several “country schools” have begun to match its performance!!

Democratic education at last?

…Universal Basic Income??

The Opposition’s pushing for a “Universal Basic Income” (UBI) – in which every household, regardless of income, would collect $1 million annually!! What’s the verdict out there?? One view is it’ll increase poverty!!

“UBI takes money from the poor and gives it to everyone, increasing poverty and depriving the poor of much-needed targeted support. People experiencing poverty face a variety of hardships that are addressed with existing antipoverty measures such as public assistance, medical aid, and child assistance programmes. UBI programmes often use funds from these targeted programmes for distribution to everyone, without regard for need. And effectively redistributes income upward.

“Rather than reducing the overall headcount of those in poverty, UBI would change the composition of the income-poor population”, and thus “would not prove to be an effective tool for reducing poverty,” concludes Research by the Organisation for Economic Co-operation and Development (OECD).

UBI does not cure addiction, poor health, lack of skills, or other factors that contribute to, and exacerbate, poverty; making UBI less cost-effective than targeted welfare programmes.

…a New World Order?

The beefed-up BRICS+ are meeting in Russia. Putin isn’t mentioning Russia’s “special military operation” in Ukraine. He says discussions would concern “pressing international issues, with a particular focus on the escalating situation in the Middle East”!!

Police in Reg 7 trained in proper use of body cameras

With the acquisition of a new batch of body cameras, more than 20 ranks of the Guyana Police Force (GPF) underwent the necessary training on the operation, use and maintenance of the devices.

The training was conducted by Constable Bristol from the Information Technology (IT) Department at the Bartica Police Station's Zara Training Centre.

This training is a component of the Force's con-

tinuous initiatives to improve operational, investigative and transparency in policing and to acquaint ranks with the functional aspects of the new body cameras.

Ranks received thorough training on operating the cameras and were given a detailed rundown of their features, which included the capturing of digital, audio, and video evidence.

Among those present at the training were several senior ranks including Commander of Region Seven, Dion Moore. The cameras will be distributed across the region to be used in operations, investigations, and patrols.

Some of the trained ranks
The body cameras that were acquired by the GPF

AG urges action as $2B GDF wharf project behind schedule

The Office of the Auditor General (AG) is urging that action be taken as the $2 billion project to construct a reinforced concrete wharf at the Guyana Defence Force (GDF) Coast Guard Headquarters has fallen behind schedule.

An award was made for the construction of a reinforced concrete wharf at the Coast Guard Headquarters in Ruimveldt, Georgetown by the National Procurement and Tender Administration Board (NPTAB) and the $2 billion contract was signed on December 28, 2023.

According to the 2023 AG Report which was recently laid over in the National Assembly, the contract is four months behind sched-

ule.

The report noted that the commencement date for the project was given as February 26, 2024, and the completion date, as February 26, 2027. Therea is a defect liability period of 12 months.

However, as of July 12, 2024, the AG’s Office said no work had started. In fact, it stated that the contractor was not even mobilised to the site.

According to the Audit Office however, an advance payment totalling some $191.6 million was already paid to the contractor. This represents 9.3 per cent of the total contract sum.

In light of these developments, the Audit Office has recommended that

the Guyana Defence Force (GDF) urge the contractor to pursue the works. It also urged the GDF to closely monitor the work progress and provide a copy of the performance bond for audit examination.

Meanwhile, the award of the contract to Kares Engineering had been embroiled in some controversy, with another contractor that had bid for the project filing a complaint with the Procurement Commission.

Nevertheless, NPTAB issued a statement explaining that the award of the contract was properly done. NPTAB had noted that bids were evaluated by an independent evaluation committee and that the evaluators

SBM Offshore partners with One Communications to support cancer awareness, Champions of Hope

One Communications’ ongoing cancer awareness campaign, which has a significant focus on empowering the Champions of Hope programme, has been given a major boost by SBM Offshore Guyana

had recommended the lowest responsive bidder.

It was reported that eight contractors submitted bids for the project including R. Basso & Sons Construction Company, S. Jagmohan Construction & General Supply Inc, Correia & Correia Limited, Arjune Construction Inc, Memorex Enterprise, Kares Engineering Inc, Ivor Allen and Gordon Winter Co Limited. The lowest bid was from Kares with $1,839,524,630.

The upgraded facility would have been used to accommodate several new vessels that were in the pipeline for the GDF including the 115 Defiant Offshore Patrol Vessel (OPV).

This marks the third consecutive year of SBM Offshore Guyana’s partnership in the fight against cancer, underscoring their continued dedication to raising awareness and providing tangible support to those affected.

The Champions of Hope, a group of Non-Governmental Organisations (NGOs) collaborating with One Communications, includes: Beacon Foundation, Guyana Cancer Society, Giving Hope Foundation, Cancer Institute of Guyana, Debra Shipley-George Go Care Foundation, Recover Guyana and The Periwinkle Club Inc. The Champions of Hope group is dedicated to uplifting cancer survivors, fighters, and caregivers.

Explaining why it continues to support the initiative, SBM Offshore Guyana’s General Manager, Martin Cheong, said, “Care is an integral part of our values. We

welcome opportunities such as these, to give back to the community and people who are affected by breast cancer. Through our support for Pinktober, we hope to positively impact Guyanese by supporting awareness efforts and contributing to increased access to screenings and healthcare.” With SBM Offshore Guyana’s support, One Communications will be able to expand support to local NGOs working with these individuals, ensuring they have access to the resources and assistance they need to navigate their cancer journeys. Funds will go towards organising educational outreaches, providing medical screenings, and sharing survivor stories to promote early detection and encourage others battling cancer.

TURN TO PAGE 12

No work had commenced as of July 2024

NDMA engages public sector in Berbice on cybersecurity

Several public sector employees in Region Six (East Berbice-Corentyne) participated in a critical cybersecurity training session hosted by the National Data Management Authority (NDMA). The session aimed to enhance the protection of Government data and systems.

The session brought together representatives from several public sector agencies including the Guyana Police Force (GPF); Guyana Prison Service (GPS); Guyana Revenue Authority (GRA) and the Berbice High Court, equipping them with knowledge of cybersecurity’s best practices and practical skills for detecting and responding to cyber threats.

Participants gained valuable insights on safe-

guarding sensitive information, identifying potential risks, and taking decisive action to strength-

en the cybersecurity posture within their respective organisations.

This training initia-

tive is part of NDMA’s ongoing efforts to strengthen the cybersecurity capabilities of Government en- tities. It aligns with the Government’s broader cybersecurity agenda, as outlined in the 43 public sector cybersecurity policies unveiled by the NDMA in April 2024. These policies provide a robust framework for securing the nation’s digital infrastructure and address a range of issues, from data protection to incident response.

Participants learned practical strategies for safeguarding sensitive information and Government networks. They were also introduced to techniques for recognising potential threats, such as phishing attempts and malware infections, and were guided on appropriate measures to mitigate these risks.

As Guyana continues to move towards a more digital economy, the Government’s investment in cybersecurity is paramount. This transition requires a workforce that is well-versed in digital safety, and the NDMA plays a pivotal role in ensuring that public sector employ-

ees are adequately trained and prepared to counter cyber threats. The training session in Berbice exemplifies the authority’s commitment to fostering a culture of cybersecurity across all levels of Government.

NDMA’s role extends beyond mere policy implementation; it also plays a part in providing the tools and knowledge necessary for action. Training sessions like this help to build the capacity of Government employees, enabling them to take the initiative in securing their departments against emerging threats. Such efforts contribute to a more secure digital environment for Guyanese citizens, ensuring that Government services remain reliable and resilient in the face of evolving cyber risks. By empowering public sector workers with the skills needed to uphold the highest data security standards, NDMA supports the Government’s vision of a safer, digitally integrated nation.

SBM Offshore partners with...

Damian Blackburn, President of ATN International Operations & CEO of One Communications, expressed his gratitude to SBM Offshore Guyana, “SBM Offshore Guyana’s continued support over the past three years has been instrumental in advancing our cancer awareness efforts. This year’s support will directly benefit the Champions of Hope programme, empowering NGOs that serve as the backbone for survivors and caregivers. Together, we will amplify their stories, raise awareness about early detection, and offer hope to all those impacted by cancer.”

The Champions of Hope programme also provides critical emotional and psychological support to those affected by cancer, and SBM Offshore Guyana’s support should enhance this outreach.

This year, One Communications’ Pinktober campaign includes Wear Pink Fridays every Friday this month, and the much-anticipated One Pinktober Move for a Cause Walk on October 27, kicking off at 6 am from the Everest Cricket Ground. In addition to these events, One Communications has launched a donation drive, where individuals can text the word “donate” to 620-PINK (7465). The value of the text is $500. Donations can also be made via MMG.

Facilitators engaging participants
Participants at the training session

Businessman shot during robbery at Better Hope hotel

– 2 suspects nabbed, 3rd on the run

Two suspected bandits were arrested on Monday evening following an armed robbery at Ocean View Hotel, Better Hope, East Coast Demerara (ECD) which has left a 56-year-old businessman injured. The third suspect managed to evade law enforcement officers.

Based on reports received at about 20:20h, the three suspects stormed into the bar of the establishment and held the owner at gunpoint. He was then forced out of the bar and into his residence, which is

attached to the hotel.

Inside the home, the armed bandits demanded cash and jewellery as

they ransacked the house.

Despite their threats he refused to hand over any

Shot Charlestown lad now requires machine to survive

Six-year-old Jeremiah Gustave, who was shot in the head three months ago, now requires a life-sustaining machine as he remains in critical condition at the Georgetown Public Hospital Corporation (GPHC).

The lad’s mother, Keisha Gustave in her plea for justice, insisted that those responsible for her son’s condition remain in prison.

The child who was shot on July 9, on Charles Street, Charlestown, is unable to swallow on his own and relies on a suction machine to clear mucus from his system.

“If you don’t clear it out, it would shut him down. Every minute you have to be there to ensure it is cleared,” the mother explained.

Caught in the crossfire of a dispute between Odel Garnette, also known as “Crab”, and Marlon Christopher Wilburg, known as “Mice Man”, Jeremiah was seated at his mother’s food stall when the argument escalated, resulting in a stray bullet striking the child. Since the incident, Jeremiah has undergone two surgeries but remains

severely incapacitated.

As the trial continued, Garnette appeared in court requesting bail, claiming innocence. However, Magistrate Faith McGusty denied his plea, remanding him until November 6, 2024. Wilburg is scheduled to appear in court on October 30, 2024.

Keisha remains steadfast in her belief that the suspects should remain behind bars, stating, “These criminals do not deserve bail. My son can’t do anything for himself, he is wearing pampers. This has made our family very uncomfortable because I can’t work, I can’t do anything. I have to be here with my son 24/7.”

With her son’s life in the balance and mounting medical expenses, she is also calling on the Government for support, as the machine keeping the lad alive costs $150,000. The woman said since the incident no officials have ever reached out to offer assistance.

“At this time, I need all the help that I can get because Jerry is only eating strained foods, I can’t work, I can’t do anything. I was hoping that I could even get

a second opinion about his condition. But nobody has reached out to me.”

The woman said while not confirmed, it appears that the doctors are looking at discharging the child, but that would be adding pressure on her and her family because they would have to be constantly monitoring the child, and it would be another financial burden.

“Jerry can’t even go to school; he can’t do anything. That is not Jerry”, the woman cried.

valuables.

In retaliation, one of the bandits shot him in the

abdomen after which the men fled the scene on foot, carting off an undisclosed

amount of cash and jewelry.

The conscious businessman was rushed to a private hospital in Georgetown by family members where he was admitted as a patient in a stable condition. The Police were contacted, and acting on information received, ranks travelled to Industry, ECD where two of the suspects were apprehended.

The suspects were identified as Winston Harris, a 35-year-old resident of Lot 351 BB Eccles, EBD, and Dexter Simon, a 38-yearold from Lot 54 Russell Street, Charlestown, Georgetown.

Harris and Simon were found with a .32 revolver, live ammunition, two Samsung cell phones, and a toy gun. Investigators later learnt the identity of the third suspect, known only as Kevin and his location.

Working with the information gathered, Police went to Ogle Old Road where they located the third suspect and gave chase. During the pursuit, the suspect disposed of a .38 revolver before escaping. The firearm was subsequently retrieved.

Detectives are on the hunt for the third suspect, who is likely in possession of stolen loot. Investigations are continuing.

Winston Harris Dexter Simon
The firearms that were found in the men’s possession
The phones that were found in the men’s possession
Injured: Jeremiah Gustave

Ramsammy’s Ruminations

Another global first – committing to 30% women ownership of agribusinesses by 2030

Guyana is making rapid advancements toward the 2030 Sustainable Development Goals (SDGs). Two important empowerment and social justice SDGs are highlighted today, for which Guyana is not going to fail: Goal #2, which deals with hunger, and Goal #5, which addresses gender empowerment.

Last week, HE President Irfaan Ali addressed these matters in an intervention at the World Food Forum, held in Rome, Italy. It is for this reason that this week’s Ruminations focuses on food and food insecurity.

Guyana is making considerable strides in achieving food security, with child malnutrition falling below 2.5%, far below the regional and global averages. Food production and food export have increased significantly, and Guyana is expecting to save more than US$80M annually from reduced food imports. But even as Guyana is accumulating impressive achievements in food security and in promoting the rights of women and children, Ruminations this week is compelled to call for global action to protect humanitarian workers who are on the frontline trying to bring food to those caught in the middle of several conflicts around the world, particularly those in Gaza.

The UNWR volunteers and workers are humanitarian heroes, and must not be targeted. In Ruminations’ assessment, the targeting of these humanitarian volunteers is a war crime. They are merely trying to bring food to people who are hungry and desperate. To bring death and disability to these humanitarian volunteers is reprehensible, and is nothing less than criminal.

At the global level, the world is failing badly in the SDG of ending hunger. With rapid progress having been made after 1990, the last decade has seen significant losses in some of the previous gains. With 733 million people now going hungry daily around the world, and with 2.8B people finding a healthy diet unaffordable, the FAO brought leaders from around the world to the World Food Forum, to have them commit to further action to stop the decline, and to make progress towards the SDG goals about poverty, hunger, and women and youth empowerment in agriculture.

Guyana’s President, Dr Irfaan Ali, was given the honour of addressing, through a video message, the closing ceremony of the World Food Forum, which was held last week in Rome. In his message, President Ali declared that Guyana is targeting a minimum of 30% of agribusinesses to be owned by women, and 50% to be owned by women and youths.

While many countries are promoting women and youths in agriculture, and while the UN SDGs have set this ambitious target for women and youths, few countries have embarked so boldly on meeting this commitment.

About 80 per cent of the world’s food is produced by small-scale farming. Women make up, on average, 43 per cent of this agricultural labour in developing countries, and are the majority in some countries. In South Asia, more than two-thirds of employed women work in agriculture. In eastern Africa, over half of farmers are women. Yet, women face significant discrimination when it comes to land and livestock ownership; equal pay; participation in decision-making entities, and access to credit and financial services. For example, only between 10% and 20% of agricultural land owners around the world are women. For this reason, one of the SDG targets, (SDG5.1.a), is specifically related to land ownership and rights: “Secure and equal ownership rights for women over agricultural land”.

President Ali announced to the world, as he helped to close off the World Food Forum last week, that Guyana is ensuring that, by 2030, 30% of agribusinesses would be under the control of women. He also committed that 50% of agribusinesses would be owned by women and youths by 2030. Such visionary and bold moves by the Irfaan Ali-led PPP government are setting a model for the rest of the world.

Guyana is making rapid progress in producing more food. One area that Guyana has been lacking is the production of hatching eggs. Guyana, in 2010, imported all of its hatching eggs. In 2013, Guyana started to develop a small capacity for the production of hatching eggs. This totally disappeared by 2020. In 2023, Guyana produced 27,000 hatching eggs, and up to June 2024, Guyana has produced 94,000 hatching eggs. It is the first time in Guyana’s history that there is a meaningful hatching eggs’ capacity. This is another example of how the cost of production for poultry products is being made more affordable.

A second area in which Guyana has been lacking, and has had to resort to importation, is in the area of dairy products, including milk. However, the country is making significant strides in reducing importation of dairy products. Last week, for instance, DDL signed an agreement with a firm in Barbados to market bottled milk in that country.

Guyana has made dramatic improvement in the production of dairy products. Indeed, DDL is investing $4B in establishing a modern milk plant to supply locally-produced milk in Guyana and for export to CARICOM.

A third area in which Guyana needs to develop capacity is in the production of raw materials to manufacture stockfeed. Raw materials in this regard include corn and soya products valued at more than US$50M; but, already, Guyana has made a significant dent in the amounts of these raw materials being imported. By 2026, Guyana would be self-sufficient in corn and soya, saving more than US$50M in foreign currency for imports. Guyana is now aiming to be an exporter of soya by 2028, helping CARICOM to increase its near-shoring of imports.

While the world is awed by the economic (GDP) growth experienced by Guyana in the last four years, little attention has been paid to the various initiatives that have diversified the economy. This diversification is what has caused Guyana to also be the leading country for GDP growth, even if the oil factor is removed. It is simply a phenomenal transformation.

Majority of GSA graduates do not pursue careers in agriculture – Min Mustapha ...says

Govt working on solutions to get more young people involved in sector

Acknowledging that a significant number of students who study at the Guyana School of Agriculture (GSA) do not pursue careers in related fields, Agriculture Minister Zulfikar Mustapha emphasised that more needs to be done to ensure younger persons are attracted to the sector. The lack of post-graduate participation within the agriculture sector was highlighted by the Minister on Tuesday during the GSA’s 59th graduation exercise at the Arthur Chung Conference Centre (ACCC).

Whilst delivering feature remarks at the ceremony, the Agriculture Minister revealed that despite the institution having trained a significant number of persons over the years, only a handful of these persons are actively involved in agriculture.

“Today, you are graduating here. As we have seen over the years, today is the 59th graduation exercise at the Guyana School of Agriculture. And when you take altogether the number of young people who have graduated from the Guyana School of Agriculture, and you add that total, and you look at the agriculture sector, and see how many persons are involved in agriculture, it's just a small number of those graduates.”

On this point, Mustapha attributed the low level of participation in agriculture to several issues such as the stereotyping of persons who work in the sector.

“Why? There is a reason. And we have recognised that reason, especially His Excellency the President. He

said we have to make agriculture more attractive for young people. Because young people see agriculture as a menial job. A job for old people. A job for people who never went to school. A job that is very labour intensive.”

As such, the Minister revealed that over the years the Government has been working to implement and develop new strategies that will make agriculture more appealing to Guyanese citizens.

“And today, we are now moving, we are bringing in modern equipment, we are modernising the agriculture sector. We are moving from a labour-intensive sector to a more modern sector. We are expending large sums of budgetary allocation to reduce the cost of input, and to reduce take-out taxes in this sector. And we have a comprehensive programme that we are now rolling out, or we have rolled out over the last four years, to make agriculture more attractive, make agriculture more competitive, make agriculture more resilient, and make agriculture a sector that people in our country will embrace.”

Additionally, as the Government pushes to promote more modern and sustainable agriculture practices, the Agriculture Minister highlighted that the GSA curriculum was revised in keeping with this mandate.

“Over the last few years that you have at the Guyana School of Agriculture, we have tailored the curriculum so that you can be trained in the new way that we want agriculture to be done in our country. Gone are the days when we used to do agriculture how our fore-

parents did it. We want an agriculture sector that is resilient, technologically savvy, new crops, and an agriculture sector that embraces a Government's vision, His Excellency the President's vision, in reducing our food import bill.”

Meanwhile, this year, a whopping $97.6 billion is budgeted for the advancement of Guyana’s agricultural sector, as it continues to rapidly diversify into new crops while recording tremendous growth.

Guyana School of Agriculture (GSA) Mon Repos campus
Agriculture Minister Zulfikar Mustapha

Mechanic sentenced to 24 months for gun possession, shooting at Police ranks

Lloyd Gittens, a 26-yearold mechanic of Lot 140 D'Andrade Street, Kitty Georgetown was sentenced to 24 months in prison after pleading guilty to two gun-related offenses when he appeared before Magistrate Fabayo Azore at the Georgetown Magistrates’ Court on Monday.

Gittens admitted to having a firearm and ammunition without being the holder of a licence and also discharging a firearm at a police officer. He pleaded not guilty to three other charges, including a separate count of discharging a loaded firearm and two counts of armed robbery.

Bijadder and Odel Thomas knocked on the door of the lower flat of a two-story structure, where Gittens and his alleged accomplice, Dellon Accra, were staying. Despite several knocks, no one answered.

Officers then proceeded to the back of the house, where they observed Gittens armed with a handgun. Gittens allegedly pointed the firearm at the officers and discharged several rounds in their direction. In response, Constable Bijadder and Odel Thomas reported that they took cover, and the officer returned fire.

Alberttown Police Station.

In addition to the October incident, Gittens faces two robberies under arms charges. The first robbery occurred on September 8, 2024, on Robb Street, Bourda in Georgetown. Gittens, along with another accomplice, is accused of robbing Josiah Holder of an 18k gold chain with a diamond pendant, valued at $500,000. According to the police report, the accused used a firearm to threaten the victim before escaping with the jewellery.

motorcycle.

On October 17, the second robbery victim was able to identify Gittens from a video posted on social media. The video, captioned "Two arrested following a shootout with police in Kitty," showed Gittens being arrested after the shootout. Upon recognising Gittens as the individual who robbed him, the victim reported it to the police, leading to additional charges against Gittens.

explanation, the police charged him with possession of a firearm and ammunition without a licence and discharging a firearm with intent. He pleaded guilty to these charges in court.

His brother, Odel Thomas, tracked the motorcycle’s location using a GPS application, which led him and police officers to a residence on D'Andrade Street, Kitty. Upon arrival, Constable

According to the police, on October 16, 2024, officers were investigating the theft of a black and red XR motorcycle, registration number CH 6303, belonging to Omar Paris. The motorcycle had been reported stolen the previous night from Paris’ residence.

Gittens allegedly attempted to flee by jumping through a window but sustained injuries upon landing. During the arrest, the police recovered a firearm that had fallen from Gittens’ hands during his escape attempt. Gittens was taken into custody and escorted to

The second robbery took place on September 16, 2024, when Gittens and an accomplice allegedly approached another victim who was sitting on a motorcycle on Robb Street. Gittens, reportedly armed with a handgun, approached the victim, ripped the gold chains from his neck, and fled with the accomplice on a waiting XR

Gittens who was unrepresented in court admitted to Magistrate Azore that he did discharge the weapon on one officer but explained that he initially believed the person entering his home was someone attempting to kill him, as he had been receiving threats on his life. Gittens claimed that upon realising the individuals were police officers, he surrendered peacefully. Despite his

During the court proceedings, Gittens also requested to be transferred to Timehri Prison, claiming that his life was in danger at Lusignan Prison due to threats he had been receiving. He stated that there was a $5 million bounty on his head, which led him to acquire the firearm for self-defence.

Magistrate Azore sentenced Gittens to 24 months for the charges to which he pleaded guilty. He was remanded to prison for the other charges and is scheduled to return to court on November 11, for the continuation of the remaining charges.

Convicted: Lloyd Gittens

Massive infrastructure rollout in Linden creating job opportunities for citizens – Edghill

– says Govt partnering with more local contractors on projects

As the countdown to the next General and Regional elections continues, Public Works Minister Juan Edghill is confident that the citizens are paying little heed to divisive messages from the opposition, noting that in the case of Linden (Region 10), persons are more interested in what opportunities are being made available.

During an appearance on a radio programme on Tuesday, Edghill highlighted the paradox that while the opposition will tell their supporters the People’s Progressive Party/ Civic (PPP/C) did nothing for them, they are campaigning on the very roads that the PPP/C built upon returning to office.

“I saw a picture of the AFC (Alliance For Change) walking around Linden, sharing flyers. And it was quite amusing. Because a resident took their picture and said, they were walking on the PPP-built road, to come and tell us to vote for the AFC. They’ve never done the road for us. And they’re walking on the brand new, concrete road and telling us come and vote for the AFC. And that’s the reality of Linden.”

“Last time I sat here I told you; I ensured that Mr Norton had his road in

Christianburg built. So, he’s going to go on that road and tell the people there, you know the PPP have never done anything for you. They’re going to drive the Linden/Soesdyke highway and say, the PPP has never done anything for you. Because that is their mindset.”

Edghill said that notwithstanding the opposition’s messages, significant numbers of people are paying attention to the unfolding development. According to him, with billions of dollars in road work to be done in the region, Lindeners are lining up to see what opportunities are there for them.

“As a matter of fact, I’m told that Linden probably got like 1000 contractors.

The level of excitement I’m seeing is now, because nobody is listening to that narrative, nothing is happening. People are lining up to make sure that they participate. And we look at our contractors, whether big or small, as partners for development. Contracting is not a hustle. You’re getting involved as partners for development.”

Edghill also threw out a challenge to the A Partnership for National Unity (APNU) run town council, to account for tolls collected from the Wismar Bridge in Linden. Edghill urged the opposition to desist from obstructionist tactics when it comes to development in the region.

“There is money to be

6 homeless after fire destroys 3 houses in Berbice

Six persons are now making alternative living after a fire destroyed three houses at Sisters Village on the East Bank of Berbice (EBB), Region Six (East Berbice-Corentyne) on Monday.

The fire was spotted shortly after 18:00h in a room in the upper flat of the building at Lot 28 Sisters Village, EBB but quickly spread to two other nearby buildings.

Sharmella Seekaram, who occupied the building where

the fire started recounted that she and other family members were in the lower flat of the two-storey house when they were alerted of the fire.

“Meh nephew run upstairs to see what happening and everybody say to take off the

main switch...”

Seekaram said she initially ran out of the yard but went back inside and made her way to the upper flat of the house where she saw flames emanating from the ceiling in the front bedroom.

“Dem boys tell me to go

back downstairs because they trying to out the fire. It start to blaze. The only thing that I could grab was my baby Bobo and I came outside,” she said as she broke down in tears.

Meanwhile, due to the heavy winds, the fire spread to a second house owned and occupied by Nazim Danny. In addition, another house on the left of the burning building also caught fire but the blaze was quickly extinguished by firefighters attached to the New Amsterdam Fire Station.

“Everybody called the fire service but they take long. By the time they come the house is already finished and start on the other two buildings on both sides,” an occupant of one of the houses stated.

An investigation is underway.

made, money that is collected from trucks. Let them name one kilometre of road, that they have used that money to pave or fix. Just one kilometre. Nicodoc is 1.3 kilometres. If they cared for the people of Linden and they didn’t want the people of Linden to die from dust and all the rest of it, tell the people of Linden since you have the toll bridge.”

“How much money you’ve collected from trucks, every truck carrying aggregate, lumber, people carrying cement into Linden, people moving blocks. Anybody would stop and pay a toll. Let them declare to Lindeners how

much money they’ve collected on an annualised basis and what they’ve used the money to do,” Edghill further said.

The PPP/C Government has been investing billions of dollars in Region 10 as it upgrades various infrastructure throughout the region. Among the communities that have been benefitting from these crucial upgrades are Coomacka, Nottinghamshire, Canvas City, Green Valley, Blueberry Hill, Silvertown, Wismar, Christiansburg, One Mile, Amelia’s Ward, Half Mile, Retrieve and South Amelia’s Ward.

According to the Ministry of Public Works,

these infrastructure works are aimed at improving connectivity for residents. And at present, the Ministry has been working with Linden residents to carry out weeding and cleaning operations to help mitigate flooding risks in the town.

The workers were hired under the Ministry of Local Government and Regional Development Community Improvement Initiative Project (CIIP) initiative. Minister Edghill met with the new workers on Tuesday, along with the Ministry of Public Works’s CORE team and urged them to work diligently to ensure the success of the flood mitigation efforts.

$180M TVET centre commissioned at QC as Govt moves to build skilled workforce

Forging ahead with its plan to build a robust, well-equipped and knowledgeable workforce, the Guyana Government in collaboration with several stakeholders and donors on Tuesday commissioned a Technical Vocational, Education and Training (TVET) building at Queen’s College in Georgetown.

The TVET structure which was a dilapidated Home Economics and Industrial Arts Building was reconstructed by A. Ograsein and Sons General Contracting to the tune of $180 million.

Scope of works include the construction and furnishing a Food and Nutrition, Home Management, Textiles, Technology, Technical Drawing and Mechanical Engineering labs.

Additionally, monies were expended for the restoration works, which includes the building of walkways and driveways, surface drains, hardscaped and landscaped areas, external lighting, trestle and fence works, among others.

During her address at the simple ceremony, Education Minister Priya Manickchand explained that the investment aligns with the People’s Progressive Party/Civic (PPP/C) Government’s goal to ensure TVET skills reach the young population.

She added that is also puts a supportive system in place for students who desire to specialise in fields such as Electrical Installation, Mechanical Engineering Technology, Foraging, Masonry, Agricultural Science and Commercial Food Preparation rather than traditional fields.

“Now what does the country need? We need the students with academic qualifications that are traditional. We need the doctors and the lawyers and the parliamen-

tarians, higher quality support of course. We need the accountants and we need the poets but we're also looking at a country that needs skilled people. A country where we need labour force that can look after the needs of Guyana. The conversation right now in the world is an interesting one, whether or not the academic degrees are worth as much as skill training certificates … We have to give children to young people the opportunity qualified by traditional subjects that I spoke about with the traditional career paths, and we have to give young people the opportunity for old people to train or retrain in skilled areas and so we're trying to do that,” The Minister said.

She also urged educators who will be delivering these subjects to adapt and or develop new teaching skills to successfully impart knowledge. She explained that Government’s primary aim is to prepare students with the requisite skills, competencies and the right attitudes to navigate into the various career opportunities, which starts with passing the Caribbean Secondary Education Certificate (CSEC) and Caribbean Advanced Proficiency Examination (CAPE).

“With this building that is being commissioned I want to see more students doing Home Economics, I want to see more students doing agriculture, I want to see more students doing Mechanical Engineering and Electrical Technology and I want to see more students in TVET areas, she added.

TVET expansion

Given the trajectory of the Guyanese economy, TVET becomes a higher priority to bridge the skills gap in the labour market and increase employability.

In 2024, the PPP Administration has made provisions for the expansion of training programmes offered for Caribbean Vocational Qualifications from 88 to 111 programmes. A new TVET policy for the medium term was also developed in the first half of 2024 to define and govern skills development systems for post-secondary, tertiary, formal, non-formal and informal sectors.

In keeping with this, several technical institutions will also be rehabilitated, upgraded, and equipped for skills development in the country. In this regard, $2.3 billion has been allocated to support technical and vocational interventions.

The aftermath of the blaze
Public Works Minister Juan Edghill addressing Linden workers hired under the CIIP initiative
The houses on fire on Monday evening
Education Minister Priya Manickchand alongside Queen's College students and staff at the ribbon-cutting exercise

Kevin Sinclair Foundation plans food hamper drive for Sophia

The Kevin Sinclair Foundation will soon be extending its reach beyond the Ancient County of Berbice, as it plans to roll out a food hamper distribution drive in Sophia, Georgetown in the coming weeks.

Titled after its namesake, Guyana and West

Indies all- rounder Kevin Sinclair, the Foundation had, a few short months ago, distributed school supplies and accompanying items to children of Angoy’s Avenue (Cow Dam) in New Amsterdam, where Kevin Sinclair lives.

Sinclair now believes there is much more he can

achieve with the backing of his faithful sponsors.

“In those areas (Sophia), we’re looking to target 50 homes with some food hampers,” he has said. “The Kevin Sinclair Foundation is all about aspiring to make a difference. So, for me and my team, we’re looking to start off small, with 50 (ham-

Grant, Campayne crowned new monarchs of UG Chess Championships 2024

Joshua Grant and Sherlyta Campayne each got the upper hand over their predecessors to claim the respective titles of University of Guyana Chess King and Queen for 2024.

Both tournaments were played with a time control of 30 minutes per player; and despite being self-taught, on the Kingside of the tournament, Joshua Grant’s continued brilliance in every event in which he has participated was on full display.

The second-year medical student earned the title of UG Chess King with a dominant performance that earned him 6 points after six rounds of play. His undefeated run featured victories over Favor Rege, Jolanie Tappin, Dinar Mohabir, Oluwadare Oyeyipo, Murphy Bagot, and defending champion Keron Sandiford.

His match against the former UG Chess King, who is notably also a former national junior chess champion and Chess Olympian, was a remarkable display of skill and determination. His strategic mastery and tenacity secured him a crucial victory that further solidified his position in the competition.

Sandiford finished in second place with 5 points, his only loss resulting from his third-round clash with Grant. Jolanie Tappin (4 points), Dinar Mohabir (3 points) and Oluwadare Oyeyipo (2 points) finished in third, fourth and fifth places respectively. Throughout the tournament, players continued to push their limits, thus each game added to the suspense and excitement. The championship event was closely contested, with none of the nine competitors finishing without at least one point, which shows that most players are almost evenly

matched, and a high skill level was evident in the competition.

On the Queenside, Sherlyta Campayne displayed much strategic prowess to clinch the title of UG Chess Queen, finishing the tournament on 3.5 points. Campayne is a second-year Industrial Engineering student who has already completed her Bachelor of Science in Chemistry in 2020.

The Women’s championship was played as a double round robin, which means every player played all the other competitors twice. Since the event featured only three women, this means that each player played six rounds.

Campayne has shown steady improvement over the years, having competed at multiple UG Chess Queen Championships before earning this esteemed title.

The tournament began with electrifying matches setting the stage for an intense competition. In round one, Campayne battled to a thrilling draw against defending champion WCM Sasha Shariff, and her time management skills saved her from a dominant perfor-

mance by Shariff.

Although Shariff has an extensive history of impressive national and international accolades in classical chess, which features much longer games, Campayne displayed much excellence in being able to clinch a draw in the reduced time format.

In their second encounter, Campayne was able to build on momentum from the first round, and claimed a full point with a dazzling attacking display.

In a spectacular third round showdown, Campayne emerged victorious against Melissa Kellman -- a surprise talent in the competition, who showcased incredible awareness and gave the top contenders a formidable fight. Despite the loss, Kellman's impressive fight against seasoned players captivated the audience.

Shariff finished second on 1.5 points, while Kellman finished on 1 point.

This competition highlights the importance of fostering women’s participation in chess, especially on campus, encouraging both seasoned players and newcomers to engage with the game.

All-rounder Kevin Sinclair is pushing the boundaries when it comes to his charitable work

pers) to the less fortunate in Sophia area there.”

The all-rounder Kevin Sinclair would soon be lacing up his boots in order to represent the Guyana Harpy Eagles (GHE) in the CG United Regional Super50 tournament. He told this

publication that while he is making small steps in terms of charity now, he is dreaming big and is hoping to make an impact not just in his home county of Berbice.

He divulged, “It’s another bold step we’re taking as a team in terms of reach-

ing out to people in Guyana generally. As the founder, I just want to say it’s a dream come true to get this foundation up and running. You know, we just looking to touch lives and bring some sort of joy and belief to them that, if I can do it, you (they) can do it as well.”

Sinclair has already secured the support of a number of prominent business entities for the food hamper drive. Among these entities are Big B’s Restaurant, Cricket Zone USA, Genuine Auto Sales, Trophy Stall, Markie Construction Inc, and VNet Communications. Sinclair’s last philanthropic act has benefitted in excess of 300 children in Angoy’s Avenue, New Amsterdam. He and longtime teammate Nial Smith recently donated a number of cricket supplies to their alma mater, Canje Secondary.

Glasgow confirmed to host 2026 Commonwealth Games

The Commonwealth Games Federation (CGF) has confirmed that Glasgow has been chosen as the city to host the 23rd edition of the Commonwealth Games, which will take place in Scotland from Thursday July 23 to Sunday August 2, 2026.

Glasgow had hosted the Games back in 2014.

Glasgow 2026 will feature a 10-sport programme concentrated across four venues within an eight-mile corridor. An action-packed broadcast schedule is assured for each day of competition, making the event accessible and appealing to spectators looking to enjoy the multi-sport environment and ambience of festival.

With over 500,000 tickets to be made available at a future date, there will be approximately 3,000 of the best athletes competing from up to 74 Commonwealth nations and territories that represent 2.5 billion people –one-third of the world’s population.

Para sport would again be fully integrated as a key priority and point of difference for the Games, with six Para sports included on the programme.

The sports programme would include Athletics and Para Athletics (Track & Field), Swimming and

Para Swimming, Artistic Gymnastics, Track Cycling and Para Track Cycling, Netball, Weightlifting and Para Powerlifting, Boxing, Judo, Bowls and Para Bowls, and 3x3 Basketball and 3x3 Wheelchair Basketball.

The Games will take place across four venues: Scotstoun Stadium; Tollcross International Swimming Centre; Emirates Arena, including the Sir Chris Hoy Velodrome; and the Scottish Event Campus (SEC). Athletes and support staff will be housed in hotel accommodation.

Commonwealth Games Federation CEO Katie Sadleir has said, “On behalf of the entire Commonwealth Sport Movement, we are delighted to officially confirm that the 2026 Commonwealth Games will

take place in the host city of Glasgow. The Games promise to be a truly immersive festival of sport and celebration of culture and diversity that inspires athletes and sports – with a fan experience more accessible than ever before.” (Sportsmax)

A glimpse of Team Guyana during the opening ceremony of the last Commonwealth Games, held in Birmingham
Sherlyta Campayne (right) going up against Sasha Shariff

‘Surreal feeling’– Campbell on earning Pro Card

After years of dominating the competition on the Caribbean circuit, Guyana’s Emmerson Campbell finally got his hands on the elusive International Fitness and Bodybuilding (IFBB) Pro Card on Sunday night, during the Central American and Caribbean (CAC) Bodybuilding Championships, hosted at the National Cultural Center, Homestretch, Georgetown.

An achievement seven years in the making, Campbell initially was not awarded the accolade due to his competition attire, but judges later

changed their decision, and Campbell became the first Guyanese to clinch a Pro Card in the Men’s Physique category; and he is the only athlete to have so done at this year’s competition.

Following the competition, Campbell, in reacting to the achievement, noted that it evokes in him a sur-

Ricardo Narine claims October Rapid Chess title

winners

Reigning Junior Chess Champion Ricardo Narine has emerged as the winner of the October Rapid Chess Tournament organized by the Guyana Chess Federation.

The seven-round Swiss tournament kicked off on Sunday, October 20th, at the David Rose Special School on Thomas Lands in Georgetown, and this Open tournament drew a mixture of rated and unrated players, who competed in the same division for top prizes. Thirty players, eleven of whom were females, competed for the top 5 spots and cash prizes totalling $40,000.

Nineteen-year-old Ricardo Narine was the overall winner with six and a half points. He claimed the first prize of $20,000 plus a trophy. Kyle Couchman placed second with six and a half points also. He won a $10,000 cash prize and a trophy. Kishun Puran ended with 5 points, and came in third. National Women's Champion Jessica Callender cemented her fourth-place win with a superb performance that earned her five points, and veteran player Darshanand Ramlall of Region Two (Essequibo Coast) finished in fifth position with four and a half points.

In accepting his firstplace prize, Narine commented, "Going into the tournament, I noticed a lot of new faces and I was not sure what to expect from them.

After seeing their games, I was impressed by their skill level. Still, I remained confident in my winning chances, or at least podiuming." Callender, the lone female to make the top five,

Drayton, assisted by Gilbert Williams, head of the Youth and Development Committee of the GCF.

The GCF would like to thank the David Rose Special School for their con-

said she enjoys the challenges of Open tournaments because they force her to play the best game she can. She said she was confident of securing at least one of the prizes despite going up against the male opponents.

The tournament was supervised by FM Anthony

real feeling.

“It’s a surreal moment now that I’m a pro athlete. Just glad I had a good prep. I’m glad I had the support that I have, and I’m glad that I’m now a pro athlete. It’s just surreal. I’m lost for words,” Campbell told the media after his triumph.

Going on to discuss his initial disappointment on Sunday, and how it turned in his favour, Campbell

shared, “I was like, ‘I wonder why I lost?’, because I had him physique-wise, but when I spoke with the judges just now, they told me that my shorts was too tight, and my stage attire was the thing that cost me the card. But they said (that) even though that was the case, they still awarded me the Pro Card because physique-wise, I was, I guess, superior.”

About his immediate plans now that he is a professional athlete, Campbell joked, “I just want to eat right now and chill.” Campbell bagged one of Guyana’s eleven gold medals at the recently concluded international event. The 27-medal total saw the Land of Many Waters grabbing the overall title at this year’s CAC Championships.

IGG deemed international stepping stone – Min Ramson

Minister of Culture, Youth, and Sport, Charles Ramson

Jr, has declared the InterGuiana Games (IGG), which are scheduled to start in French Guiana on October 24th, a springboard for youth development.

tinued support for chess.

The GCF and the David Rose Special School had partnered earlier this year to hold chess tournaments at the school to facilitate a growing number of players from both the federation and the Special Education Needs sector.

Guyana is sending a contingent of more than 140 athletes to participate in these games, and they will be vying for honours in seven disciplines: athletics, swimming, table tennis, futsal, chess, basketball, and volleyball. Leading the Guyanese delegation is Director of Sport Steve Ninvalle, while Dr. Karen Pilgrim, a prominent sports figure in Guyana, would serve

as Chef de Mission. In an exclusive interview with <<Guyana Times Sport>>, Minister Ramson spoke about Government’s investment in giving these athletes a platform for international exposure.

“…so it's a stepping stone. The Inter-Guiana Games is a very, very good idea. It became very expensive, but it's an investment that we're making because it allows so many kids to participate in these tournaments, matches and events,” he explained.

“So, for example, this year we're going to be sending 140 athletes to go and compete against the (two) countries. Now, other countries

are going to see this now that it is restarted. They're going to see this and want to participate too. So, it's a good stepping stone for them (athletes) to get an appreciation of what it takes to compete internationally and to rank their skills against other athletes. But yeah, it's an important investment.”

The Inter-Guiana Games were first held in 1967, and are typically held on an annual basis between French Guiana, Suriname and Guyana. After a five-year break due to the COVID-19 epidemic, Guyana hosted the 2022 event, whereas Suriname hosted the previous one. (Omar McKenzie)

Guyana’s IGG chess team alongside Sport Minister Charles Ramson Jr
Top 5
after the October Rapid Chess Tournament
Emmerson Campbell earned his Pro Card last Sunday
Reigning Junior Chess Champion Ricardo Narine (right) receiving his prize

There has been a positive twist in the fate of Courts Optical Pee-Wee defending champions St. Pius Primary, who will now have the opportunity to continue their title defence in light of Rosignol Primary being disqualified.

St Pius and Rosignol went head-to-head in a quarterfinal game of the Petra-organised tournament last Saturday, and it culminated in a 4-0 loss for the 2023 Champions. However, a missive from the organizing body has advised

of Rosignol’s disqualification. The missive reads: “The Petra Organisation wishes to advise that there will be a change to the semifinal fixtures for the Courts Optical Under-11 Pee-Wee schools’ football tournament which will take place this Saturday, October 26, at the Ministry of Education (MoE) Ground, Carifesta Avenue, Georgetown.

Semifinal 2, which was slated to see Marian Academy going up against Rosignol Primary, will now feature still defending champions

St Pius Primary against Marian Academy. This is as a result of Rosignol Primary fielding ineligible players in last week’s quarterfinal.

“On the other hand, the fixtures for semifinal 1, featuring Santa Rosa Primary and Belladrum Primary, remains the same.”

As such, St Pius will battle Marian Academy from 16:00hrs, while Santa Rosa and Belladrum Primary will go toe-to-toe from 17:00hrs in this Saturday’s semifinals.

Turn static files into dynamic content formats.

Create a flipbook
Issuu converts static files into: digital portfolios, online yearbooks, online catalogs, digital photo albums and more. Sign up and create your flipbook.