


Sherod Duncan tops nominations list for AFC
Over 1200 body cameras to be distributed across Police divisions
11 persons from 7 countries now Guyanese citizens
Over
The Demerara Harbour Bridge will be closed to vehicular traffic on:
Friday, June 14 – 23:30h-01:00h and Saturday, June 15 – No retraction.
The Berbice Bridge will be closed to vehicular traffic on:
Friday, June 14 – 09:30h-11:00h and Saturday, June 15 –10:35h-12:05h.
Parika and Supenaam departure times – 05:00h, 10:00h-12:00h, 16:00h, 18:30h daily.
Thundery to light rain showers are expected during the day and at night, with intermittent sunshine in the afternoon. Temperatures should range between 23 degrees Celsius and 30 degrees Celsius.
Winds: East North-Easterly to South-Easterly between 1.78 metres and 4.47 metres.
High Tide: 10:17h and 22:53h reaching maximum heights of 2.19 metres and 2.18 metres.
Low Tide: 16:20h reaching a minimum height of 1.02 metres.
inance Ministers and Governors across the Region are expected to meet shortly to discuss the possibility of establishing a regional payment settlement system to reduce transaction costs within the Region.
This was revealed by President Dr Irfaan Ali, who is also the current Chair of Caricom, during his address to the Afreximbank’s AfriCaribbean Trade and Investment Forum (ACTIF) on Thursday in The Bahamas.
The regional leaders will be looking at the Pan-African Payment and Settlement System (PAPSS) launched by Afreximbank in 2022 to transform and facilitate payments for cross-border trade across Africa while saving the continent billions in transaction costs.
The Guyanese Head of State told leaders gathered at the Forum that “every single country in this region complains about the payment settlement system. We have an opportunity now that you have tested...that is why as Chair of Caricom, I have asked the Chair of CSME and he has agreed to convene a meeting of Finance Ministers and Governors next week so we can take it to the next Heads of Government Meeting, a
to the Forum in Nassau.
The President told African investors who have been working to form a closer partnership with Caribbean countries that the Caribbean Region can provide access to one billion people collectively.
proposal where we can use your system to implement a regional system for payment settlement.”
The PAPSS was established by the Afreximbank and the
He pointed out that the people of the two continents have grown closer over the past three years with approximately 50 delegations from Africa travelling to this part of the world to look at trade and investment opportunities and the two sides must work together to build trust and increase the value of their products and services on the international level.
“We have to shape the conversation, we have the capacity to shape the conversation, for too long the conversation has been shaped for us,” he said
These leaders along with numerous other African and Caribbean Heads of State, Government Ministers, and high-profile speakers are discussing crucial economic and trade issues.
Keynote speeches will address the challenges affecting African and Caribbean economies, policy issues for promoting growth and prosperity, and strategies for accelerating intra-African trade and investment flows, including engagement with the Diaspora.
The agenda covers a wide range of topics such as managing macroeconomic crises where some lessons from Africa and the Caribbean will be presented, making the
African Continental Free Trade Area (AfCFTA) to reduce overdependence on external factors and players in achieving acceleration of trade and investment.
Ali, however, lauded the Forum for providing a network to explore new avenues for wealth creation within the regions.
“I think with the type of leadership that we possess; we can define the future how we would like to see it, but we must have that collective will,” he told leaders as he delivered the feature address
adding: “We have to collectively put a value on what we have.”
The 31st annual meetings of the Afreximbank and the third AfriCaribbean Trade and Investment Forum are being held under the overarching theme “Owning Our Destiny: Economic Prosperity on the Platform of Global Africa” and will run from June 12 to 15.
The Forum and the meetings are headlined by prominent leaders, including Ghanaian President Nana Addo Dankwa Akufo-Addo; Prime
African Continental Free Trade Agreement work for Global Africa, a vision for AfriCaribbean socio-political and economic cooperation and integration with perspectives of former leaders, and an AfriCaribbean free trade agreement.
Other sessions include discussions on entrepreneurial partnerships, perspectives on future opportunities from global entertainment icon Viola Davis, the role of youth in shaping the next era of Global Africa, and the integration through shared culture and heritage.
Editor: Tusika Martin
News Hotline: 231-8063 Editorial: 231-0544
223-7230,223-7231,231-0544, 225-7761
Marketing: 231-8064 Accounts: 225-6707
Mailing address: Queens Atlantic Industrial Estate Industrial Site, Ruimveldt, Georgetown
Email: news@guyanatimesgy.com, marketing@guyanatimesgy.com
In the narrative of family dynamics, the spotlight is often shone brightly on the maternal figure. Mothers are rightfully acknowledged for their nurturing, care, and emotional support within the family unit. However, it's equally important to recognize and celebrate the indispensable role that fathers play in shaping the lives of their children and the overall wellbeing of the family.
This weekend, Guyanese will join with the rest of the world in celebrating Father’s Day. The concept of Father's Day can be traced back to the early 20th century in the United States. The credit for initiating the idea of a day to honour fathers is often given to Sonora Smart Dodd, a resident of Spokane, Washington. Inspired by the newly established Mother's Day, Sonora sought to create a similar holiday to recognise the important role fathers play in the lives of their children.
The story goes that Sonora's own father, William Jackson Smart, a Civil War veteran and single parent, raised Sonora and her five siblings after the death of their mother. Sonora wanted to express gratitude for her father's selfless devotion and love, and thus she campaigned for the establishment of Father's Day.
In 1910, Sonora approached the Spokane Ministerial Alliance and suggested June 5th, her father's birthday, as the day to celebrate Father's Day. However, due to logistical reasons, the celebration was deferred to the third Sunday of June. On June 19, 1910, the first Father's Day was celebrated in Spokane with church services dedicated to fathers and the distribution of roses to honour them.
A father's presence offers a strong foundation for children, instilling confidence and resilience as they navigate the world. Whether it's through their physical presence, unwavering support, or steadfast guidance, fathers serve as pillars of strength in the family unit. They offer a different perspective and approach to parenting, complementing the nurturing qualities of mothers with their own set of strengths. Fathers often encourage risk-taking and independence, fostering growth and self-discovery in their children. Their involvement in their children's lives promotes a sense of belonging and fosters healthy attachment bonds.
Studies have shown that children who have positive relationships with their fathers tend to exhibit higher levels of self-esteem, better cognitive development, and greater success in forming healthy relationships later in life. Fathers' engagement in activities such as reading, playing, and spending quality time with their children contributes significantly to their overall development.
Over the years, Father's Day has evolved beyond its traditional observance to now become an opportunity to recognize all father figures, including stepfathers, grandfathers, uncles, and mentors, who play a significant role in nurturing and guiding the younger generation. It's a day to celebrate the diverse expressions of paternal love and the unique relationships between fathers and their children.
It's important to acknowledge that the concept of fatherhood is evolving, encompassing a diverse range of experiences and family structures. Whether biological, adoptive, step, or chosen, fathers come in various forms, each bringing their own unique perspectives and contributions to the family unit. Additionally, the role of fathers transcends traditional gender norms, as more fathers take on caregiving responsibilities and actively participate in the upbringing of their children.
As Guyana joins in this weekend’s activities to celebrate fathers and their invaluable contributions to families, it's essential to recognise the need for greater support and acknowledgment of their role in society. Let us not only honour fathers, but also recognise the invaluable contributions they make to lives. Whether it's a simple gesture of appreciation or a heartfelt expression of love, let's take this opportunity to thank these special men.
By affirming and empowering fathers, families are strengthened.
President Ali, PM Phillips and VP Jagdeo have brought hope to the nation
Dear Editor,
As the nation and several political parties - including the two main ones, the ruling PPPC and the APNU/PNC - prepare for the next general and regional elections, scheduled for late 2025, the stakes for our beloved Republic could not be higher.
The reasoning by many is that this might be the “mother of all elections”, because the party that wins it could remain in power for the next ten to fifteen years because of the massive inflow of revenue from oil.
In these transformative times, Guyana has emerged as a regional, hemispheric and global leader, thanks to President Dr. Irfaan Ali, Prime Minister Brigadier Mark Phillips, and Vice President Dr Bharrat Jagdeo. Not only are they talented, skillful, wise, judicious, and adept at solving the nation’s problems, developing its economy, and improving the lives of the poor and the working class, but they have also championed the cause of equality and fair justice for all. They have led with extraordinary vision, unwavering integrity, and a profound commitment to making Guyana prosperous so that all can live in peace and harmony.
Since being elected President in 2020, President Dr Irfaan Ali's exceptional advocacy of “One Guyana” has resonated very well with the residents across the country, and has become a common phrase among children and adults from every race and ethnicity. It is a classic example of his genuine leadership, amazing ability, and sincere dedication to the people of Guyana, whom he loves.
His Excellency Dr Ali, Prime Minister Phillips, and Vice President Dr Jagdeo have brought hope and buoyancy to the nation, which, during the five months of turmoil after the March 2, 2020 elections, was in despair of seeing democratic rights vanish and democracy, cherished by most, being disbanded.
For a while, hopelessness and anguish had spread throughout the country as the integrity of the elections was seriously challenged.
However, during the five-month ordeal, our leaders’ actions spoke louder than words, as they fought tirelessly to make sure that every vote was counted and that democracy prevailed.
They, along with other leaders in the PPP/C, firmly believed that the right to vote is the fundamental right of every citizen, and the foundation of the country’s democracy. They believed that free and fair elections must reflect the will of the people, and therefore must be defended and protected at all times.
The authenticity and modesty of our President, Prime Minister and Vice President have been apparent to all and sundry. Furthermore, their widespread support and popular appeal are a true testimony to their ability to connect with everyone across the country, regardless of race, ethnicity, or party affiliation.
Since taking office four years ago, it has become clear that President Dr Ali, Prime Minister Phillips, and Vice President Dr Jagdeo are fully aware of the problems and challenges faced by many in the various regions of the country, and they are doing everything
in their power to solve those problems and improve the living standards of the people. Their exemplary leadership skills and superb judgment have helped them to navigate complex local, regional and international issues; foster cooperation among all nation-states; and advance stringent and cohesive policies to protect Guyana’s territorial integrity, promote diplomacy, and engage in trade relations with member Caricom States and members of the international community, including the United States. Their contributions have boosted Guyana’s image and standing on the global stage, and move it from its underdeveloped status to a developing/developed country.
As our leaders, they have spearheaded several community initiatives throughout the country aimed at improving the lives of the less fortunate with the creation of a workers’ ten-day programme.
What set them apart from the other political leaders are their creative and original approach to governance; leadership that is based on transparency, accountability, and respect for the rule of law; and their resolute and purposeful commitment to the principles of democracy. Their dedication, determination, and commitment to serving all Guyanese at home and in the diaspora are boundless, are beyond and above their call of duty, and have brought hope and meaningful change to Guyana.
We should all embrace them as they strive for unity, prosperity, and a bright future for all.
Sincerely, Dr Asquith Rose
Dear Editor,
As the annual G7 Summit takes place - to discuss global affairs in the Italian luxury resort of Borgo Egnazia in the Apulia region from June 13th to 15th - the world toils and tilts in a turmoiled trauma.
The Italian President summarized the breakdown in international rules and uneasiness in defending global law by saying, “Russia’s war of aggression on Ukraine has undermined its principles and triggered growing instability, with multiple crises unfolding worldwide.”
Giorgio Meloni, the popular first female Italian Prime Minister, fittingly greeted world leaders with the symbolic clasped hands to the chest gesture of “Namaste.” This traditional Indian greeting, symbolic of respect and mutual recognition, was chosen to stress unity among the leaders, and cultural respect.
The G7 consists of the US, UK, France, Italy, Germany, Japan and Canada. The G7 had expanded to G8 to include Russia in 1997, but after
Russia annexed Crimea in 2014, Russia was dropped. Although not a member, the European Union is allowed to participate.
These 7 countries, with 10% of the world’s population, have a combined GDP of US$40.27 trillion, representing a 40% share of the global GDP.
As the host, Italy has invited leaders from 11 other countries to participate in this year’s summit. These include Africa, South America, the Indo-Pacific, UAE’s Mohamed bin Zayed, Algeria’s President Abdelmadjid Tebboune, Jordan’s King Abdullah II, Turkey’s President Recep Tayyip Erdogan, India’s PM Narendra Modi, Ukraine’s President Volodymyr Zelenskyy and Pope Francis. Egypt and Saudi Arabia have also been invited, but may not attend.
With a packed agenda, some of the matters highlighted for discussion revolve around national security in Africa and the Mediterranean; the Middle East war between Israel and Hamas; reiterating a plan for a twostate solution for peace in
the region, and Hamas's acceptance of a ceasefire deal as proposed by US President Biden; increasing aid for Ukraine, particularly a US$50 billion loan generated from profits accumulated from some $260 billion of frozen Russian assets immobilized by Western allies, most of which are held in the European Union.
Ukraine is badly in need of help for a war dragged on for three years. There is much uncertainty with the EU Commission, and Germany and France are also undecided in regard to utilizing funds from $3.7 billion generated annually from Russia’s frozen assets. The longer that’s forthcoming, the more Russia gains the momentum to infiltrate territorial gains.
Russia has warned that any such move would amount to theft, and would allow Russia to claim any US properties located on Russian territory.
Is the G7 sitting on a time bomb ticking away precariously?
Yours respectfully, Jai Lall
are the experienced grown-ups?
Dear Editor,
The temper tantrums and name-calling that recently occurred during the most recent attempt to convene the meeting of the Foreign Relations Committee is a testament to the lack of maturity during a time of crisis. Where are the experienced grown-ups who can be trusted to bring peace through diplomacy at home and abroad?
The use of inexperienced individuals in key roles has resulted in a lack of progress by the Foreign Relations Committee during this critical juncture in our region’s quest to remain a zone of peace. The Government and the Opposition cannot afford to discard efforts to resolve their differences in order to produce a peaceful resolution to the current crisis in the region.
Warships from Russia are currently in Cuba, and will be on their way to Venezuela.
An attack by Ukraine deep within Russia will easily spark armed conflict in our region. This appears unimportant to the Ministry of Foreign Affairs and International
Dear Editor,
The GTU must stop its politicking, come down from its high horse of false pride, and return to the bargaining table; it's the only way. As I've stated in previous communications, being belligerent in a standoff with the Government will not solve anything; instead, it will hurt rather than help the teachers’ cause. The point is that other sectors of workers are watching, patiently awaiting their due increases, so let not the GTU believe they would see a pay rise that excludes other workers in Guyana.
A pay rise for teachers means a pay raise for every other sector. The teachers are not a special and separate group. The big difference is that other workers, such as nurses, would see no deductions from their salaries because they refused to allow themselves to be dragged into an illegal political strike.
This is the major issue Lyte and his union have to face up to. And I believe the substance of what I am saying will come sooner rather than later. That is: at the local appellate court, they would not run the risk of being embarrassed yet again, as in previous rulings that had to be overturned by the apex court. This time around they will get it right.
With the recent makeup of right-thinking justices in the local appeal court, I think they would come up with the erudite decision in overturning Justice Kissoon's ruling, while at the same time directing the union back to the negotiating table to thrash out their differences.
Now, here is where the rubber hits the road. Getting back to the negotiating table means a cessation of the strike and the resumption of talks in an
atmosphere of amicability, and not the confrontational mode that obtains.
So, while Lyte is adopting that obstinate posture, he has certain major developments to consider:
1. The Union will have to pay the teachers for the days spent off the job. There is no way the Government is going to pay them. That payment must come from union dues they have been collecting for years, with no accountability to the teachers.
2. The Union risks losing membership and dues, because if I were a teacher, I would not want to be in a union that used me as a pawn for cheap political mileage. I would want to be a responsible teacher going about my business teaching the nation's kids, and not be embroiled in a political standoff. Leave the politics for the politicians,
Cooperation.
Name-calling and a show of self-importance lost us the moment. This childish display of immaturity does not help our country have a positive impact in reducing tensions between our historical friends and allies. We must set an example within our country before we can be taken seriously on the world stage. Knowing and doing are two very different things. It is time to place on the sidelines those who do not have the demonstrated capabilities needed in diplomacy. We must place those who can work well with others in these key roles.
Time is of the essence!
If we cannot pivot from the lack of progress in this very critical area, Guyana will find itself unprepared for war, or worse, the nation will be divided during it. We are making it easier for our enemies to win via a strategy of divide and conquer.
In addition, the com-
mittee’s role is unclear to its members. This can only result in further fuelling of the discord between its members.
According to the Minister, the President is the person who decides how to proceed, and the Minister and his Ministry are there only to execute the President’s instructions. If the Committee is only to relay information to the Opposition, as implied by the Minister, then it is of little use during this critical period.
CRG again calls for the establishment of a National Security Council that would guide on critical national security matters. Discussion and added perspective are needed to inform the decision-making process. Maybe at this higher level, a mature discussion can be had, and national unity achieved before the beginning of a war in our region.
Sincerely,
Jamil Changleeand keep the education of our children in focus, and nothing else.
3. Demanding that the same Government you are maligning be a tax collector for the union will not stand. From henceforth, that would be the responsibility of the Union. The GTU would have to collect its dues.
But even at this late hour, I believe a sensible union would have gone swiftly back to the bargaining table to negotiate a settlement, whatever the issues. There is no way a responsible PPP/C Government would shirk from rational reasoned bargaining.
So, in closing, the Union needs to swallow its false pride and get down to solving this matter.
Respectfully,
Neil AdamsFRIDAY, JUNE 14, 2024
(Sign on) Inspiration Time
Cartoons
Evening News (RB)
The Young & The Restless
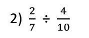
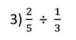
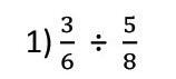
To divide a fraction by another fraction, multiply the first fraction by the reciprocal of the second fraction.
To divide a fraction by another fraction, multiply the first fraction by the reciprocal of the second fraction. Set in box
Example: Divide: 3 5 ÷ 2 6
Step 1: Find the reciprocal of the second fraction. The reciprocal of 2 6 is 6 2 .
Step 2: Multiply the first fraction by the second fraction′ s reciprocal. 3 5 x 6 2 .
Step 3: Multiply the numerators: 3 x 6 = 18
Step 4: Multiply the denominators: 5 x 2 = 10
Step 5: Write the product: 18 10. The product of that multiplication is also the quotient of the original division problem.
Step 6: Reduce the fraction if possible: 18 10 = 1 8 10 = 1 4 5
Remember
When you divide fractions, you will multiply by the reciprocal!
Soil erosion can cost the world billions of dollars every year by washing pollutants into our streams and rivers and by causing the loss of farmland. What can you do about this problem? Help save the world (and some money!) with nothing more than a few plants!
Introduction
You are surrounded by soil every time you step outside. It seems like the world has plenty of it, so why would we need to worry about conserving it? It turns
Exercises: Divide
out that soil erosion, or the washing away of soil by forces like wind and water, is actually a big problem. It can cause loss of farmland as soil in fields washes away. It can pollute waterways by washing pesticides and fertilisers into them. It can even cause damage to human life and property by contributing to mudslides and landslides. The total economic cost of soil erosion in the United States alone was estimated at about US$38 billion each year, and US$400 billion for the whole world (Lang, 2006).
When you divide fractions, you will multiply by the reciprocal!
So, soil erosion is definitely a problem; how can you help solve it?
Soil erosion is partially
caused by runoff, or water that flows over the surface of the ground after the soil is saturated, or unable to
absorb any more water. One way to help combat soil erosion is through the use of plants. Plants have extensive root systems that can help “grab on” to soil and keep the soil clumped together. You can see this if you have ever pulled a plant out of the ground. Plants also absorb some of the water in the soil. These effects make it harder for water to wash away the soil (note that plants can also help block wind, and therefore prevent wind erosion, but this project will test water erosion only). Using plants to
prevent soil erosion is a form of economic botany, meaning the use of plants to make (or save) money. In this project, you will set up a controlled experiment with “hillsides” made from small trays filled with dirt. Some of the trays will have seeds planted in them, and some will not. Once the plants are grown, you will simulate rain with a watering can. Do you think plants will help stop or reduce soil erosion? If so, by how much? Try this project to find out!
Following the imposition of sanctions on businessman
Nazar Mohamed and his son Azruddin Mohamed by the United States Government earlier this week, the Bank of Guyana (BoG) has moved to revoke the cambio licence issued to Mohamed’s Enterprise – one of the companies fingered in gold smuggling and corruption allegations along with their owners.
This is one of a series of actions taken by the Guyana Government since US sanctions were announced against the Mohameds as well as three of their companies, including Mohamed’s Enterprise.
Senior Government official Mae Thomas, Permanent Secretary of the Labour Ministry, who had previously held the same portfolio at the Home Affairs Ministry, has also been sanctioned by the US, and has been sent on leave by her employer.
During a press con-
– has been circulated, confirming that the licence has been revoked in accordance with the Dealers in Foreign Currency (Licensing) Act 1989.
ference on Thursday, Vice President Dr Bharrat Jagdeo disclosed that the BoG had indicated to the senior Mohamed that his licence for Confidential Cambio, located on Lombard Street in Georgetown, would be revoked.
“The Central Bank has notified us that they’ve already indicated to the Mohameds that they will cancel their cambio licence,” the VP noted.
Following this announcement, a copy of the formal letter issued by the BoG – dated June 13, 2024
According to Jagdeo, contrary to conflicting claims being made in certain quarters, “… we are neither protecting the Mohameds nor are we witch-hunting the Mohameds. We’ve made it clear from the very beginning that people who break the law will face the consequences; and therefore, if the Mohameds break the law, they will face the consequences.”
However, the Vice President noted that these individuals have the right, as Guyanese, to due process. He added that these persons, as well as their companies, have a right to challenge the US sanctions and prove the allegations against them are false.
According to Jagdeo, the cambio licence is part of the country’s financial system, and its revocation
is key to safeguarding the state against the US sanctions.
“We’ve also asked on Tuesday that the FIU [Financial Intelligence Unit] and the Bank of Guyana to prepare a report on the implications of the sanctions on our financial system…We want to safeguard our financial system. That would mean exposures of our bank to the Mohameds and any other matter that would have a direct bearing of a financial nature on our system, because we’re obligated to do so under the
sanctions – to safeguard the financial sectors of Guyana,” he explained.
In addition, other regulatory agencies of the Government have been instructed to similarly review their transactions with the individuals and companies in question, and submit those reports so that the Government can ensure it complies with the sanctions’ regime in order to avoid exposure to the consequences of being non-compliant.
of the Treasury’s Office of Foreign Assets Control (OFAC) on Tuesday sanctioned the two prominent Guyanese businessmen along with their companies: Mohamed’s Enterprise; its subsidiary Hadi’s World; and Team Mohamed’s Racing Team, for their alleged roles in public corruption in Guyana.
The US Treasury Dept has also alleged that Mohamed’s Enterprise evaded paying Guyana tax on gold exports, and defrauded the Guyana Government of tax revenues by under-declaring their gold exports to Guyanese authorities. Between 2019 and 2023, Mohamed’s Enterprise is alleged to have omitted more than 10 thousand kilograms of gold from import and export declarations, and avoided paying more than US$50 million in duty taxes to the Government of Guyana, the report detailed.
Shameena Ahamad and her daughter, Ashiana Salamaly along with Ian Jacobis who were charged for attempting to smuggle 240 ounces of raw gold through the Cheddi Jagan International Airport (CJIA) are expected to face addition-
al charges in the coming days.
This was according to Vice President, Dr Bharrat Jagdeo on Thursday who stated that they will be charged under the Anti-Money Laundering Act.
It was reported that Ahamad, Salamaly, and
Jacobis were intercepted with US$560,000 worth of raw gold at the CJIA. They were outgoing passengers on an American Airlines flight to JFK Airport, New York.
The 240 ounces of pure (raw) gold was disguised as silver-plated jewellery. The gold
Charged: Chameena Ahamad
Charged: Ian Jacobis
was confiscated after the three passengers were unable to produce the required permit and declaration to customs officials.
The trio appeared before Principal Magistrate Judy Latchman, at the Diamond Magistrates’ Court where the charges were read to them.
They, however, pleaded not guilty and were granted bail in the sum of $600,000 each with the condition that Jacobis lodges his passport at the Diamond Magistrates’ Court and report to the Clerk every first Friday of the month, while Ahamad and Salamalay are to report to the Clerk every Friday pending the outcome of the matter.
They are set to return to court on June 18, 2024.
All Guyana has become transfixed by the allegations of the Office of Foreign Assets Control (OFAC) - the financial intelligence and enforcement agency of the US Treasury Department - that TEN TONS of gold were smuggled out of Guyana by just one operator!!
Yes…TONS!! And it might be the tip of the iceberg. Evidently, the loss of taxes to Guyana in the smuggling operation was a cool US$50 million!!
Now, this is obviously a great loss to our Government, as it strives to develop us out of the pits the PNC had landed us in!!
Your Eyewitness knows we struck oil with Exxon, but -- without belabouring the point that the PNC screwed us and we struck out on a decent return – we still need all the revenues we can get. While your Eyewitness is very happy that, if the US allegations turn out to be factual, we’ll get a windfall – and other smugglers will be cautioned – he wondered why the US would be so solicitous of our tax collections. Isn’t this taking the role of “world policeman” a tad too far?? After all, they’re fighting a proxy war against the Ruskies in Ukraine; fighting to stave off their ally in the Middle East – Israel…and China’s nipping on their heels!!
Well, to find out what’s going down, your Eyewitness googled the OFACs website, and discovered that, through its mandate, it “administers and enforces economic and trade sanctions based on US foreign policy and national security goals against targeted foreign countries and regimes, terrorists, international narcotics traffickers, those engaged in activities related to the proliferation of weapons of mass destruction, and other threats to the national security, foreign policy, or economy of the United States.” Whew!! That means the US ain’t concerned with us losing tax revenues - but about the gold shipped out that could be funding “terrorists, international narcotics traffickers”. He doesn’t think any “weapons of mass destruction” are being created outside the countries the US has red-flagged!!
It’s interesting that, in 2022, 438 TONS of gold were illegally exported from Africa to the UAE – the same place where most of the Guyanese illegal gold is shipped – but the kinda red flags that were raised about our situation dwarf those about Africa’s. We know UAE isn’t the culprit – but simply provides the avenue where funds could be channelled to the bad guys! What’s going on?? We’ll soon know – hopefully!
We gotta also watch out for whether some of the gold shipped out under the tax radar might’ve come from Venezuela. If that’s so, the shipper would also be violating sanctions imposed by the US via the same OFAC!
The bottom line is that some big ones will be going down. And won’t be coming up for a very looong time!!
Meanwhile, in a related matter, one of Mad Maduro’s madmen showed up at the ICJ, which had been convened to set dates for further submissions on our case against Mad Maduro’s machinations on our Essequibo. Even though he says he doesn’t accept the jurisdiction of the ICJ to settle the controversy they invented, Mad Maduro still shows up!! All bluff and bluster, like most bullies!! He felt that if he huffed and puffed hard enough, he’d blow down the case we presented!!
We said 6 months to make our additional submissions, but – to no one’s surprise – the Venezies immediately insisted they needed 12 months!!
Obviously, Mad Maduro wants to drag out the case – which he knows is a slam dunk for us!! – for as long as he can, while he stages a de facto end game by marching into the Essequibo!!
However, your Eyewitness has noted that Pres Ali just announced our Air Force’s gonna be augmented – to give Mad Maduro a bloody nose if he’s mad enough!!
After all the sturm und drang in the PNC camp as to who’ll be their presidential candidate, over in the AFC, Ramjattan has stepped aside for Nigel Hughes possibly becoming the overall Opp candidate!! Revenge?
The Public Works Ministry on Thursday stated that the recent flooding in Rupununi has caused significant traffic disruptions due to the incomplete Pirara Bridge and the inundation of the bypass road and bridge.
“We understand the inconvenience this has caused to road users along this corridor and we are diligently working to resolve the situation,” the ministry stated in a release.
Efforts are underway to expedite the bridge’s completion and restore normal traffic flow as soon as possible, with an estimated completion date of Saturday, June 15, 2024.
Waters have recently started to recede, allowing light traffic to resume crossing along the bypass Bridge.
“We urge drivers of light vehicles to exercise extreme caution when crossing. The Ministry also reiterates that under no circumstances should heavy vehicles attempt to
cross the bypass Bridge.”
Severe storms in recent weeks have led to extensive flooding in the Savannahs, particularly along the Kurupukari–Lethem Corridor and at the Pirara Bridge site, severely disrupting traffic.
In response, the Regional Democratic Council (RDC) has provided immediate support with two boats to shuttle passengers between locations.
The Ministry has mobilised resources to construct a temporary timber decking over the new bridge to facilitate the crossing of both light and heavy traffic. Construction of this timber deck has commenced, with the remaining materials expected to be delivered by Thursday (June 13).
Just a few days ago, several other villages such as Nappi were inundated significantly, given that those areas are experiencing above-normal rainfall and water draining from nearby hills and mountains.
As a result, at least 20
The bridge is under construction
persons in the region are displaced and have been relocated temporarily with relatives and/or friends.
Last month, several villages in Region Nine were underwater following the prolonged downpours.
Some of the most affected villages were Potarinau, South Central Rupununi, Aishalton, Parishara and Nappi Village. In addition to these villages, several bridges and roads were not accessible to vehicular traffic.
One such bridge was the Iwokrama Reserve, approximately 15 minutes away from the Kurupukari
Crossing. In addition, the Pirara to Lethem Road was completely underway thus leaving scores of passengers stranded on both sides.
In light of these occurrences, the Civil Defence Commission (CDC) dispatched a team to the affected areas to conduct thorough assessments. In addition, it handed over cleaning supplies to the regional authorities to be distributed to the residents.
BThis was according to Executive Director of Haitian Business Support
Operator Centre d’appui et de services aux entreprises locales et in-
oth Guyana and Haiti have an extensive diaspora community whose talents and financial capacity as investors can be leveraged to help develop their home countries - once the right incentives are on the table.
ternationales (CASELI), Patrick Dessources during a University of Guyana (UG) lecture on Wednesday
CASELI, in addition to helping businesses build capacity, particularly in
agriculture, also provides a link with the Haitian diaspora to get them to invest in their homeland. During his lecture, Dessources provided some insight into how Guyana can also go about getting its diaspora to invest and partner with local businesses.
“We need (investments from the diaspora) and making sure that when you are creating that business, take your time to do some research and connect with your friend in the diaspora,” he explained.
“Make sure you go online, and research is important. Because a lot of businesses… it’s just making sure you understand the business mod-
el, and how you can adapt it to your local situation. And bring the change you would like to see.”
According to Dessources, investors and allies must work together to tackle social issues. Additionally, the right incentive regime must be offered to get the diaspora to come and invest.
“I strongly believe with the right incentive, the diaspora be it Haiti or Guyana, mostly Guyana, the diaspora can fully participate as investors, allies, to help tackle the social issues.,” Dessources said.
There has, in fact, been much interest from the Guyanese diaspora in making investments in agriculture locally. Head of
a wide range of investments, including agriculture.
Home Affairs Minister, Robeson Benn on Wednesday stated that the joint security forces remain vigilant and will continue to crack down on any attempts to engage in nefarious operations that threaten Guyana’s national security.
Benn made this comment during an inspection of a semi-submersible vessel which was seized back in April
at Paiana Creek, Port Kaituma River, North West District (NWD). The vessel was transported to Ruimveldt Wharf on a tug and barge.
In a release issued by the Home Affairs Ministry, it stated, “This
seizure represents a significant blow against illegal maritime activities in our territorial waters…
“Our joint security forces remain vigilant and will continue to crack down on any attempts to engage in nefarious operations that threaten our
national security”. Inspecting the confiscated vessel were Minister Benn, Senior Superintendent Ewart Wray, Inspector Garfield Anthony, and Sergeant Mc Donald.
Some 11 individuals from seven countries on Monday received their Registration and Naturalisation Certificates from the Home Affairs Ministry’s Immigration Support Services, denoting their Guyanese citizenship.
During a ceremony attended by Head of
Immigration Support Services, Michelle Davis, and Jessica Bacchus from the Citizenship Section, Permanent Secretary of the Home Affairs Ministry, Andre Ally, congratulated the new citizens on this significant milestone, and extended to them a warm welcome as newest mem-
bers of the Guyanese nation. He spoke about the importance of citizenship not just as a legal status, but as a shared commitment to the values, ideals and progress of the country, and highlighted that Guyana's strength lies in its diversity of cultures, ethnicities, and backgrounds, which have
been woven together into a vibrant, unique national identity.
Ally has expressed confidence that the new citizens would add to this rich culture with their own traditions and perspectives; and, in emphasising the responsibilities that come with citizenship, has encouraged the new citizens to be active and engaged members of society, upholding the laws and contributing to the nation's development.
Last April, 39 individuals from 13 countries received their Registration and Naturalisation Certificates; and last February, Ally reported that 300 Certificates of Citizenship had been issued for 2023.
In the case of marriage, the process of becoming a citizen takes two years after all the relevant documents have been submitted.
In September 2023, a total of 42 persons from 10 countries had received their Guyanese citizenship following the Home Affairs Ministry’s Naturalisation and Registration ceremony.
The Ministry’s website states that a person is eligible to apply for citizenship by naturalisation once that person shows they are ordinarily resident in Guyana and have been so resident throughout seven years immediately preceding the application, that they are of good character, and that they intend to reside in Guyana. On approval, the website
said, the person would be granted a Certificate of Naturalisation and would have to take the Oath of Allegiance to Guyana.
Included in a list of requirements published on the Ministry’s website is that the “applicant must advertise in the newspaper for two consecutive days that he
or she is applying to the Ministry of Home Affairs for Naturalisation as a citizen of Guyana.”
The Head of Immigration Support Services had in February announced that 10,155 Guyanese visas have been issued for 2023. Of the more than 10,000 visas issued, she explained, 4978 were for employment, 66 were for business, 64 were to facilitate students studying, 1764 were for visitors, and 3283 were landing permits.
Further, she had said these visas were issued under various categories, including extension of stay.
In a groundbreaking move to deliver on its brand promise of service excellence, The Guyana Oil Company Limited (GUYOIL) on Thursday launched a new payment option through Republic Bank Limited’s Point-OfSales (POS) payment service.
This innovative system enables customers to pay for fuel and accessories using the (POS) payment method. Customers can use their VISA, credit, or debit cards from international and local commercial banks to make payments.
GUYOIL’s General Manager, Molly Hassan, emphasised that this initiative aims to boost the efficiency of customer service and enhance the overall customer experience. Notably, GUYOIL will be the first company in the petroleum distribution sector to implement such a service at the retail level.
Initially, the POS system will be available at GUYOIL's three main locations: Providence, Regent Street, and Sheriff Street. However, the company has plans to expand this service to
all GUYOIL-owned stations across the country eventually.
Hassan underscored the importance of pro-
viding high-quality products and services as a key component of the company's commitment to customer satisfaction. By introducing the POS payment system, GUYOIL is modernising its operations and providing greater convenience to its customers.
“We thank our loyal customers for their unwavering support throughout the years. The company looks forward to continuously serving its customers and providing modern payment options in our fast-paced economy. We encourage our custom-
ers to utilise this new and safe payment method, which will eliminate the need for liquid cash. GUYOIL continues to strive for excellence in the ever-evolving landscape of modern service delivery in Guyana,” the company stated in a release to the media.
The Unit of Allied Arts of the Ministry of Education on Wednesday facilitated a Music Content and Methodology Workshop at the National Racket Centre which targeted music educators, enthusiasts, and professionals.
Led by experts in the field, the workshop provided participants with invaluable insights into various facets of music content and methodology, empowering them with practical strategies to elevate their teaching practices.
Topics covered included effective curriculum development, innovative teaching techniques, assessment and evaluation methodologies, integration of music across disciplines, and considerations of
cultural diversity.
Head of the Unit of Allied Arts, Nicholas Fraser highlighted the Unit's ongoing efforts to expand music programs across Guyana, currently spanning 18 schools. He also shared plans for the upcoming steel pan festival called ‘Amity,’ scheduled for
late June, which aims to showcase students' skills acquired through the instrument. Additionally, Fraser mentioned the implementation of a steel-band program and upcoming initiatives such as steel-band camps and collaborations with UNESCO through Kross Kolor Records.
In light of these revelations, VP Jagdeo, who noted that Guyana was not formally informed of this multi-year investigation by the US authority, has said that Government is focused on getting from counterparts in the US details of the alleged corruption cited, and has since requested this information.
Dismissing notions of the US Government not trusting Guyanese authorities, the Vice President has referred to the strong collaborative relationship between the two countries, and is confident of getting this information from the US to aid in local probes. In fact, he cautioned that strong action would be taken against those found culpable.
“We want to know who the officials are –the Government officials. We’ve asked the US Government at a top level…for all of the information about these illegal transactions in smuggling, as well as all the Government officials in-
volved,” he disclosed. Moreover, the Guyana Revenue Authority (GRA) has dispatched a detailed, multipage letter to the head of the Internal Revenue Service (IRS), outlining all the information that Guyana would need, dating back to 2015, in order to go after perpetrators.
The GRA has asked that this information be handed over before December 31, 2024 so that the statute of limitations would not be exceeded; that is, the length of time within which the state can take legal actions against perpetrators.
“We’re going directly to the United States [and] we’d like to get information as to whether [this gold] was seized in the US; what information they have on it; to whom it was sold; who carried it out [of Guyana].
All of this information we’d like to get, so we can then move to take action here; first of all, to recover the taxes lost, and then we can take action to prosecute people if
Fraser also discussed ongoing discussions with the Peace Corps to supply Guyana with volunteers dedicated to teaching music, illustrating the Unit's commitment to enhancing music education nationwide.
In addition, Superintendent of Examinations Sauda Kadir emphasised the importance of music ed-
highlighting the practical knowledge gained through the CSEC syllabus.
Also present was the Music Coordinator at the Cyril Potter College of Education (CPCE), Althea Hamilton-Wintz, who commended the present teachers for their commitment to bettering their delivery of musical education to
Looking ahead, the Unit of Allied Arts is already planning future events and initiatives aimed at advancing excellence in arts education across Guyana. This is in accordance with the Ministry’s thrust to make sure every child exits high school with exposure to sports, at least one musical instrument, one foreign lan-
FROM PAGE 7
they breach our law,” the VP has said.
Following the announcement of the US sanctions on Tuesday, the Guyana Government said it takes the claims very seriously, and will continue to engage relevant US entities on these matters. It added that it would continue to work with the United States Government on all matters of mutual interest, including respect for the rule of law and order.
Meanwhile, US State Department Spokesman Matthew Miller said Tuesday’s actions support the US Strategy on Countering Corruption, which identifies the fight against corruption as a national security priority.
“The United States is committed to exposing corruption and promoting accountability for corrupt acts worldwide. We will continue to use the tools at our disposal to protect our financial system from abuse by corrupt actors,” Miller noted.
ucation and expressed hope that participation in music examinations, such as CSEC, would increase following the workshop. She underscored the role of music in fostering creativity and analytical skills,
their students.
Attendees were immersed in hands-on activities, group discussions, and networking opportunities, fostering a vibrant community of music educators committed to excellence.
guage, one TVET subject, and a strong sense of volunteerism.
The Unit of Allied Arts remains steadfast in its mission to promote expressive arts throughout Guyana.
Rasul had further noted that the Diaspora’s interest in large tracts of land for investment in agriculture remains high. However, she pointed out that they have had to temper expectations in some cases because the land being requested was either too large or not available.
Incidentally, Guyana has been selected to host this year’s Caribbean Investment Forum billed for July 10 to 12, at the Arthur Chung Conference Centre (ACCC), Liliendaal, Greater Georgetown.
Deputy Executive Director (Officer in Charge) at the Caribbean Export Development Agency Leo Naut stated that it was a “no brainer” in selecting Guyana to
host this year’s edition. He pointed out that Guyana’s rapid economic growth and potential in various industries outside of Oil and Gas make it a dynamic and attractive destination in which investors are seeking opportunities.
Naut also underscored that the government has created an environment to foster economic development while adding its efforts to develop policies geared towards economic diversification and infrastructural development among others combined with Guyana’s major strides in sustainable development with initiatives focused on building a green economy has created a very favorable investment climate.
Guyana will posi-
FROM PAGE 10
tion itself as a hub for business collaboration and sustainable development initiatives at the event. It is the third time the forum will be held in the Caribbean, and this year’s host country plans to focus discussions on crucial topics such as sustainable agriculture, transitioning to a green economy, and the digitalisation of business operations.
Agriculture and food security are high on the agenda along with the need for cheaper energy by 2025 to facilitate large-scale agro-processing and sustainable farming. Over 400 bankable investors from the region will be attending the event, which includes an exposition for local private companies.
Waramuri Village in the Moruca sub-district, Region One (BarimaWaini) has received a boost to its healthcare capabilities, following the commissioning of a telemedicine centre there.
The telemedicine facility will allow Community Health Workers (CHWs) and Medexes in the village, to interact in real-time with patients and healthcare providers at different sites.
The telemedicine centre’s system is supported by audio and video equipment and integrated medical devices that allow healthcare workers to diagnose, evaluate and treat patients remotely.
In addition to a computer connected to the internet via satellite technology, the site includes a digital stethoscope, a pulse oximeter, an infrared thermometer, a blood pressure monitor, mobile ultrasonography, exam cameras and other equipment.
The centre is outfitted to offer the residents of Waramuri access to a wide range of specialised medical services such as ultrasounds, cardiology and oncology, among other services.
In his address to residents during a recent commissioning ceremony, Health Minister Dr Frank Anthony disclosed that the facility will play a crucial role in combating chronic and non-communicable diseases, provide treatment for patients, and make neces-
sary referrals for tertiary care if and when needed.
This, he posited, is part of efforts being made by government to deliver on its promise to improve primary healthcare across the country.
“We had a team here that already installed the system, so it is functional. We can talk to anybody in Georgetown, and the secret is, not only in Georgetown [but] you can talk to anybody in any part of the world,” he relayed… We want to train more hinterland people
because as we expand and improve the services, we want more people from the community who we can train. They can come home and serve the community,” Dr. Anthony said.
In addition, the village’s Toshao, Vivian Edwards said the implementation of telemedicine at the facility will play an integral role in the expansion of administration of healthcare services.
“It is a great boost to the health sector here… as a people, as a com-
munity, as a region, as a country we know that we’re moving forward in also every aspect of life… Thanks to the entire government for bringing and providing this service,” Edwards expressed.
Expansion of telemedicine
The Health Ministry plans to establish at least 50 more telemedicine sites across the country to complement the current 25 sites in various hinterland communities across the country.
These telemedicine
sites aim to bridge the gap between the hinterland and the coastland by allowing medical personnel in the hinterland to get real-time assistance from those working in Georgetown.
This programme was officially launched in Guyana in 2022 with four Amerindian communities in Region Nine (Upper Takutu-Upper Essequibo) as part of the pilot programme. It was later expanded following an allocation of $1.8 billion in the 2023 National Budget.
Further, since assuming office in August 2020, the People’s Progressive Party Civic (PPP/C) has injected over $100 million to upgrade healthcare centres in Region One (Barima-Waini).
In total, the Region has 51 health centres, most of which were rehabilitated or reconstructed, over the last three years, through funding from the Health Ministry’s capital budget expenditures.
The residents of Bagotville, West Bank Demerara (WBD) were on Wednesday encouraged to form consortiums among themselves to take up jobs within their community.
Members of the community were recently engaged by Public Works Minister, Juan Edghill and Agriculture Minister Zulfikar Mustapha providing the space for residents to raise concerns about issues affecting them.
Among the issues disclosed, are the need for better drainage and irrigation, rehabilitation of community roads, installation of street lights, and the regularisation of squatting lands.
After listening to the concerns raised, Minister Mustapha com-
mitted to bringing relief to the residents through the Neighbourhood Democratic Council (NDC).
He explained that the council was allocated funds from Guyana’s fiscal package of $1.146 trillion to spearhead works in the village, “We will work with you to bring the kind of
development that you want, you mention road, street lights, drainage and irrigation, farm to market road… All of us have to work together for the development of this country. We have a government that is very responsive, we have a President that is moving to different areas across this country.”
In addition, Public Works Minister, Juan Edghill urged the residents to form themselves into contracting groups and submit their names to the Neighbourhood Democratic Council (NDC) for evaluation and approval.
Once approved, Edghill explained that the five groups would
spearhead works such as the building of roads within the village. He noted that this move will ensure youths in the area have access to short-term employment while contributing meaningfully to their environment’s development.
“When you pull your resources together there
is strength in togetherness… so, let’s come together and do things together, if there is anything I would say to you to help your forward movement is that everybody can’t become a contractor by themselves but they can come together and we can do things together and we’ll be prepared to facilitate that,” Edghill said.
The engagement with the residents of Bagotville came on the heels of a commitment made by the government during an ‘Open Day’ event at the Arthur Chung Conference Center (ACCC).
The initiative spearheaded by Vice President Dr Bharrat Jagdeo allowed members of the public with various concerns to meet with government ministers.
Persons with disabilities through a collaboration between the Human Services and Social Security and the Tourism Industry and Commerce Ministries now have access to the necessary funding to kickstart small businesses.
This is according to Dr Vindhya Persaud who highlighted that various training programmes are being offered by the Ministry are not focused on getting persons living with disabilities employed in the workforce, but steer them in the direction of establishing their micro-business.
“Our focus has not been fulsomely on employment, but has been more on entrepreneurship… So we have seen a few of those persons start their own small businesses or micro-enterprises,” she stated.
As such Dr Persaud noted that the Ministry has been working to put systems in place to finance persons living with disabilities to start their micro businesses.
She revealed that the Ministry of Human Services and Social Security and the Ministry
of Industry Trade and Tourism established a portal that puts finance into the hands of persons living with disabilities.
“There has been a collaboration between the Ministry of Tourism, Industry and Commerce, and Tourism, and as such, we have been working with them to develop a portal, which has materialised this year, to have persons living with disabilities access the revolving fund. We have seen several persons accessing that revolving fund, which puts finance into the hands of persons living with disabilities.
It’s a brand-new initiative, very few countries have this. There is no interest, and the repay-
ment time is a very protracted one, and so they can utilise this finance for the startup of businesses,” she stated.
According to the minister, since the establishment of this portal over 30 persons living with disabilities have been able to access funds to start their businesses, these businesses range from poultry, garment, construction, and printing among others.
Additionally, the minister noted that this programme does not only equip persons who have completed the training programme which materials and funds to start a business but caters to all persons living with disabilities.
The phone that Benjamin was attempting to smuggle Jailed: Linden Benjamin
Fifty-six-year-old
Linden Benjamin of River View
Ruimveldt, Georgetown was sentenced to two months imprisonment and fined 70,000 for attempting to smuggle a mobile phone into the Lusignan Prison. Benjamin was arrested on June 10, 2024, at Lusignan for ‘Supplying Prohibited Article to Prisoner’. He appeared be-
fore Magistrate Fabayo Azore at the Vigilance Magistrate’s Court on Thursday where he pleaded guilty to the charge. As a result, he was fined and sentenced by the magistrate.
Several ranks from the Guyana Police Force (GPF) today completed training for the 4th generation of body cameras at the Officers’ Training Center (OTC).
The training was conducted by the Information Technology and Communication team. Present at the training were Senior Superintendent Mr Jermaine Johnson, Assistant Superintendent Devon Sue, Sergeant Matthews, and Corporal Leitch from the Information Technology and Communications Department.
The main objective of this training is to enable officers to capture digital audio-video evidence for criminal, civil, and traffic-related court cases. The body cameras will also assist offi-
cers in recalling facts and details captured by the equipment and accurately documenting a chain of events when writing reports.
Furthermore, the cameras will help assess contacts between police officers and the public by reviewing procedures and interpersonal actions.
Johnson stressed that the implementation of this state-of-the-art equipment aims to safeguard the well-being of police officers. The introduction of the 4th generation body cameras
reflects the GPF’s commitment to enhancing transparency, accountability, and efficiency in their daily operations.
Over the next few weeks, more than 1200 body cameras will be evenly distributed across all police regional divisions. Continuous training sessions are planned to ensure that all officers are proficient in using the new technology. This initiative represents a significant step toward modernising the Guyana Police Force and building trust and confidence within the community.
On April 20, 2024, the Guyana Police Force intercepted the vessel in Paiana Creek in Port Kaituma, North West District (NWD). The grey-coloured vessel was covered in troolie leaves and contained 15 sandbags along with about six cases of water. In addition, a makeshift camp was found nearby.
One week after the discovery, Benn reported that the vessel might have been linked to drug trafficking and possible transshipment. However, a source had explained that the vessel may not be categorised as a semi-submersible vessel, since, from all indications, it was propelled by outboard engines. The source also stated that while sand and water were found in the vessel, there was no firm evidence that it had transporting drugs. “It may have transported drugs, but the boat is clean as a whistle, leaving no room for investigators to assume anything…,” the source has said.
Meanwhile, the Ministry also stated that a go-fast vessel was also
seized by a joint police operation, resulting in the arrest of four persons, including one Colombian national. Investigations into both seizures are progressing.
The Home Affairs Ministry reaffirms its commitment to safeguarding the nation’s borders and territorial integrity, employing robust measures to combat illicit activities that undermine the rule of law and public safety.
A few years ago, a self-propelled semi-submersible (SPSS) vessel was found in a secluded area in Region One.
The blue self-pro-
pelled semi-submersible was found by the Customs Anti-Narcotics Unit (CANU) and the Guyana Defence Force’s (GDF) Special Forces, Coast Guard and Air Corps.
That was the first time an SPSS was found in Guyana, and that one had been built to trans-ship tonnes of narcotics/contraband smuggled into the country possibly for onward movement through the northwest coast onto the Trans-Atlantic route.
The craft had already been fitted with a diesel engine and steering wheel, navigation and other machinery to deem it serviceable.
Sherod Duncan has emerged with a landslide of support in his quest for leadership of the Alliance For Change (AFC), beating out prominent members like David Patterson and Nigel Hughes in the recently concluded Nomination process.
Ahead of its 8th Biannual Conference set for June 29, the nominations for top AFC executive positions have been revealed by the party in a late-night statement on Wednesday. This followed a month-long process that started on May 15 and wrapped up on June 13.
With support from 15 groups, the incumbent General Secretary of the AFC, Sherod Duncan, is heading the list of nominations for the Leader of the AFC post. Two groups each nominated two other candidates – Attorney Nigel Hughes and David Patterson, a former AFC General Secretary.
Notably, the incumbent Leader and co-founder of the AFC, Khemraj Ramjattan, is absent from all of the nomination categories. When the contract on Thursday for a comment on his absence and future within the party, Ramjattan indicated that he was “busy” before abruptly disconnecting the call.
Meanwhile, incumbent AFC Chair, Cathy Hughes, will be contesting alongside fellow parliamentarians Juretha Fernandes, David Patterson, and Sherod Duncan for that position.
For the Vice Chairman post, the candidates are Cathy Hughes, Arnold Sukhraj, Haimraj Rajkumar, David Patterson, Dereck Basdeo, Mark Goring, and Michael Carrington. The incumbent vice chair is Ricky Ramsaroop.
With regards to the General Secretary position, AFC’s other co-founder and former Leader, Raphael Trotman, who has been absent from public view for years, has been nominated alongside Ricky Ramsaroop, Dereck Basdeo, and Cathy Hughes.
According to the party, these key Executive positions will be complemented by 12 elected members of the AFC National Executive Committee (NEC), for which more than 60 party members are vying for a seat. In addition to these positions, all Regional Management Committee chairpersons will serve on the NEC thus ensuring regional representation.
The AFC National Conference later this month will see the participation of over 285 delegates representing the 10 regions across Guyana, its Chapters in the USA, Canada, UK, and the Caribbean as well as the Women For Change (WFC) and the Youth For Change (YFC).
This Conference is the highest decision-making forum of the party.
In a previous statement last month, the AFC said it “…looks forward to an exciting productive, empowering and collaborative Conference
that will help shape the future direction of our party and our continued efforts to drive positive change in Guyana.”
At the last National Conference in 2022, Ramjattan returned as AFC Leader with Cathy Hughes elected as the party’s Chair and Duncan as GS.
The AFC had joined hands with the People’s National Congress (PNC)led A Partnership for National Unity (APNU) to contest the 2015 General and Regional Elections, and the coalition subsequently won. The parties subsequently signed the Cummingsburg Accord, which outlined the parliamentary seats and ministerial portfolios for AFC and APNU members respectively.
However, APNU, led by former President David Granger, had been continuously violating the Accord. The party announced in 2020 that it would be reviewing the Accord. On December 24, 2019, after much back and forth between APNU and the AFC, a revised Cummingsburg Accord was signed.
But after being forced to play a “submissive” role to the APNU during its tenure in office coupled with the loss of the 2020 elections, the AFC in 2022 signalled that it would not renew the
Cummingsburg Accord. This was a result of the fallout from the electoral loss with many AFC members resigned over the years, accusing the party of being consumed by the PNC.
In fact, back in 2021, former AFC
Parliamentarian Reynard Ward said the party is “… in a broken, abusive and one-sided relationship…” with its Coalition partner.
However, the AFC leadership seemed unfazed by this and went onto maintain working
relations especially in the National Assembly with the PNC-led APNU.
Back in 2022, Ramjattan had stated that its decision to split from the APNU would not affect the AFC’s performance at the 2025 polls. (G-8)
Mae Thomas has resigned from the Peoples Progressive Party (PPP) leadership, General Secretary Dr Bharrat Jagdeo announced on Thursday. She was elected to the central committee at the party’s last congress.
Thomas, who has been sent on leave from her post as Permanent Secretary of the Ministry of Labour, is facing sanctions from the United States.
The US Department of the Treasury’s Office of Foreign Assets Control (OFAC) on Tuesday announced sanctions against Thomas and prominent businessman, Nazar Mohamed and his son, Azruddin Mohamed.
Guyanese government of tax revenues by under-declaring their gold exports to Guyanese authorities.
The Department also alleged that while being Permanent Secretary to the Home Affairs Ministry, Thomas used her position to offer benefits to Mohamed’s Enterprise and Azruddin, among others, in exchange for cash payments and high-value gifts.
The US Treasury Department said the trio were sanctioned for their alleged roles in public corruption in Guyana.
The US Treasury Department also alleged that Mohamed’s Enterprise evaded Guyana’s tax on gold exports and defrauded the
The Mohamed’s entities, Mohamed’s Enterprise, Hadi’s World, and Team Mohamed’s Racing Team were also sanctioned.
But Jagdeo told reporters during a news conference on Thursday that Thomas has maintained her innocence but thought it best to resign from the PPP leadership. Jagdeo revealed too that Thomas said she remains available for any investigation. Describing Thomas as a “hard worker” for the PPP, Jagdeo said he was saddened that the official resigned.
In a narrow victory, the opposition team,
Helpful Hands Youth Group triumphed over the proposing team, Child Rights Ambassadors in the final of the Speaker’s National Youth Debating Competition on Thursday.
Led to victory by the outstanding efforts of Best Speaker Nygil Drepaul, the team engaged in a significant battle against skilled debaters with limited speaking time.
Drepaul highlighted the team’s adherence to the notion that “You must not put all your eggs in one basket,” emphasising economic diversification.
“The proposing team must focus on other sectors and not only infrastructure. Our economy cannot afford to be rooted solely in infrastructure. Diversifying our economy is similar to planting a garden with a variety of crops; each sector nurtures the other, creating
a resilient ecosystem. We must focus on other sectors,” the budding parliamentarian stated.
Additionally, he urged his opponents to prioritise current infrastructure, stressing the importance of maintaining existing infrastructure. After the competition, Drepaul, who was advised by Minister Sonia Parag, received a round of applause from the entire chamber for his compelling remarks.
The proposing team discussed key reasoning as to why there should be a significant focus on the growth of infrastructural development throughout the country.
Speaker of the National Assembly Manzoor Nadir highlighted the significant growth of youth debates since the onset of the COVID-19 pandemic, noting a substantial increase in participation. “Prior to today’s event, there have been 114 youth debates over the
competition will advance to the regional youth debates, providing even more avenues for young debaters to showcase their skills.
In addition, Opposition Member of Parliament (MP) Ganesh Mahipaul declared this year’s competition the best in years.
“Last year, I said that I didn’t think there would be another youth debate finals as remarkable as that, but this year has proven other-
past four years.”
The Speaker also stated that the competition is just the beginning of many opportunities for youth.
“We are excited to announce that we will participate in the Commonwealth Youth Parliament in New Zealand this year. The top two performers from last year will be representing us.”
Furthermore, Nadir announced that the best speakers from Thursday’s
wise,” he stated. “Today, we had an even better and more intense debate. Our young people have evolved through this process, demonstrating their true ability to stand firm and strong. You are not just the future; you are cementing your future.
Part of bettering our country is ensuring we partake in events like these. To the parents and those watching from afar, this is a message to you.”
Awards were presented to both final teams and other participants who demonstrated key public speaking skills in the previous rounds.
The proposing team, The Child Rights Ambassadors, consisted of Ayda Man, Jayda Overton, Ziya Bacchus, and Attiya Griffith while the opposing team included Abiane Saul, Sherlyn Pantlitz, and Nygil Drepaul.
Russia’s invasion of Ukraine in February 2022 led to severe bans or restrictions on Russian oil from the West. Meanwhile, other nations – including China, India, and Türkiye - -opted to deepen trade ties with the country.
Following the invasion, both the United States and the United Kingdom enacted a complete ban on Russian crude. Imports dropped from 600,000 barrels per day (bpd) in 2021 to zero by late 2022.
Similarly, the European Union (EU), which has historically been more reliant on oil from Russia, dropped imports by over 80 per cent, from 3.3 million bpd in 2021 to 600,000 bpd in 2023.
Asia-Pacific countries, including Japan, South Korea, Australia, and New Zealand, also slashed their Russian oil imports.
The pullback in demand for Russian crude from the West created a buying opportunity for countries and regions that chose not to support Western sanctions.
India increased its imports of oil from Russia, by the largest amount from 2021 to 2023 – up to 1.9 million bpd from only 100,000 bpd.
China, the biggest net importer, also saw a large uptick. The country boosted imports for Russian oil by over 40 per cent over this timeframe. Türkiye increased imports of Russian crude by an additional 500,000 bpd.
Several other regions – such as Africa, the Middle East, and Latin America – saw slight upticks in imports.
The dynamics present in the global crude market underscore broader trends in Russia’s trade relationships. Russia is becoming increasingly less economically reliant on the West and more reliant on China.
From 2022 to 2023, the largest upward shift in the UNCTAD’s bilateral trade dependency estimates was Russia’s increased reliance upon China (+7.1%).
Note: Trade dependencies are calculated by UNCTAD as the ratio of two countries’ bilateral trade over the total trade of the dependent economy.
In fact, China threw a lifeline to Russia in the aftermath of the Ukraine invasion. The Atlantic Council reported that Chinese exports to Russia have grown 121 per cent since 2021, while exports to the rest of the world have increased by only 29 per cent in the same period.
In contrast, Russia also exhibited a large decrease in reliance on the EU (-5.3%). South Korea and the US have made shifts to further distance themselves from China as geopolitical tensions continue to mount.
As the Russian oil market shows, geopolitical tensions have the potential to significantly impact trade. Though Russian crude exports remained steady amid the conflict, this necessitated a shift in its main trading partners. (Zerohedge. com via Oilprice.com)
Israeli tanks advanced deeper into the western area of Rafah, amid one of the worst nights of bombardment from air, ground, and sea, forcing many families to flee their homes and tents under darkness, residents said on Thursday.
Residents said the Israeli forces thrust towards the Al-Mawasi area of Rafah near the beach, which is designated as a humanitarian area in all announcements and maps published by the Israeli army since it began its Rafah offensive in May.
The Israeli military denied in a statement it had launched any strikes inside the Al-Mawasi humanitarian zone.
Girls walk carrying a container as Palestinians flee Rafah due to an Israeli military operation, amid the Israel-Hamas conflict, in Rafah, in the southern Gaza Strip, June 13, 2024 (Reuters/Hatem Khaled photo)
Israel said its assault aimed to wipe out Hamas’ last intact combat units in Rafah, a city which had sheltered more than a million people before the latest ad-
Leaders of the Group of Seven major democracies agreed on an outline deal on Thursday to provide US$50 billion of loans for Ukraine using interest from Russian sovereign assets frozen after Moscow invaded its neighbour in 2022.
The political agreement was the centrepiece of the opening day in southern Italy of the annual summit of G7 leaders, attended for a second successive year by Ukrainian President Volodymyr Zelenskiy.
He signed a new, long-term security accord with US President Joe Biden after signing a 10-year security accord with Japan, with Tokyo promising to provide Kyiv with US$4.5 billion this year -- underlining continued strong backing from the West.
Calling the frozen asset agreement a “significant outcome”, Biden told reporters it
was “another reminder to (Russian President Vladimir) Putin that we’re not backing down.”
The G7 plan for Ukraine is based on a multi-year loan using profits from some US$300 billion of impounded Russian funds, the bulk of which are blocked in the European Union.
The technical details will be finalised in the coming weeks, with the new cash expected to reach Kyiv by the end of this year thanks to contributions from all G7 States – the United States, Canada, Britain, France, Germany, Japan and Italy.
“This is a very clear commitment that should embolden the Ukrainians to do what they need to, to defend their independence and sovereignty,” said German Chancellor Olaf Scholz.
(Excerpt from Reuters)
vance began. Most of those people have now moved north towards Khan Younis and Deir Al-Balah in central Gaza Strip.
The Israeli military said in a statement it was continuing “intelligence-based, targeted operations” on Rafah, saying forces in the past
day had located weapons and killed Palestinian gunmen in close-range combat.
Over the past day, the military said it had struck 45 targets across the Gaza Strip from the air, including military structures, militant cells, rocket launchers, and tunnel shafts.
Israel has ruled out peace until Hamas is eradicated, and much of Gaza lies in ruins. But Hamas has proven resilient, with militants resurfacing to fight in areas where Israeli forces had previously declared to have defeated them and pulled back.
The group welcomed a new US ceasefire proposal, but made some amendments, reaffirming its stance that any agreement must secure an end to the war, a demand Israel still rejects. (Excerpt from Reuters)
Brazil has asked Argentina for information about dozens of supporters of former President Jair Bolsonaro seeking refuge in the neighbouring country to avoid legal consequences for storming Brasilia last year as part of an alleged coup attempt.
Brazilian Police officials said the request lodged on Monday was a precursor to possible extradition requests.
On January 8, 2023, a week after leftist President Luiz Inácio Lula da Silva took office, thousands of demonstrators stormed Congress, the Supreme Court and the presidential palace in a rampage that some expected would create chaos justifying a military coup to overturn Lula’s election.
Federal Police officials told Reuters they believe between 50 and 100 Bolsonaro supporters charged with vandalism and insurrection had fled to Argentina after right-winger Javier Milei took office in December.
Most of the fugitives were tried and convicted by the Supreme Court and face harsh sentences, including up to 17 years in prison for plotting a coup d’état, said a senior Police Officer involved in the investigation.
Brazil has asked Argentine Police to identify their whereabouts and status in the country before deciding to request extraditions, said the police officials. The fugitives had court-ordered restrictions on movement and some wore electronic ankle tags. (Excerpt from Reuters)
Be open and receptive toward others and their offers. Communicating and following up are your best routes to getting what you want. Don’t hesitate to ask questions or make suggestions.
Modification is your friend. If you don’t like something, change it. Time is precious, and the longer you mull over what to do, the less time you will have to live in and enjoy the moment.
Temptation will be challenging to resist. It’s OK to have fun, but do so with set boundaries and trusted friends. Expect someone to try to convince you of something that isn’t right for you.
Channel your energy into creativity, home and family. Refuse to let outsiders cause self-doubt. Verify all information you receive before passing it along.
Adjust to your surroundings and circumstances to avoid stress and emotional interference. Having a clear headspace will help you get things done on time and ward off disagreements.
Make positive adjustments. Take charge and correct what is no longer working for you. Instead of criticizing or trying to change others, look inward and consider what you can do to improve your life.
Put energy and thought into learning, improving your lifestyle and routine, and eliminating dead weight. A fresh start will impact what you do and encourage you to embrace life courageously. Everything will fall into place.
Let go of people, pastimes and things that are costing you too much. Put more thought into who and what puts a smile on your face, and head in that direction. Take responsibility.
Honesty is the best policy, but don’t expect others to be open about what they want or their intentions. It’s up to you to be bold and clarify what you will tolerate. Don’t neglect yourself.
Keep moving. Idle time will lead to trouble. Learn all you can before starting something new. Preparation will be vital to making an impression on someone of interest.
Let others do what they want. Put yourself first and implement alterations that make you feel good about yourself and your direction. Refuse to get caught up in someone else’s agenda.
(Feb. 20-March 20)
Be careful when dealing with domestic matters or bureaucratic issues. An opportunity to talk to an expert will help clarify what’s possible. Finding solutions will take serious thought.
Action in the Guyana Amateur Basketball Association Under-23 Club Championships continued on Wednesday night at the National Gymnasium on Mandela Avenue with the University of Guyana Trojans and Meadowbrook Nets emerging as winners of their respective encounters.
University of Guyana Trojans first received their taste of victory in the tournament when they defeated the Black Caimans, who have a unique ability to counterplay to the basket. Starting the game on a high, the Trojans led the first quarter with the scoreline reading 21-16.
The Trojans retained their lead in the second quarter by scoring 24 baskets and restricting the Caimans to only seven points, ending that ses-
sion with a scoreline of 45 points compared to the Caimans’ 23 points.
Class was on full display during the third session, when the Trojans netted another 23 points for an accumulation of 68 points, while restricting the Caimans to a mere 6 points for a total of 29 points. With the scoreline reading 68-29 at the beginning of the fourth session, the Trojans went on to secure the win in the final quarter, when the scoreline read 81-36.
Jushawn Bailey was pivotal in the offensive attack, top-scoring with 24 points. Shavril August supported the effort with a phenomenal 15 points, and Leandre Adams added 13 points.
In an interview with media operatives, Captain of the University of Guyana
Trojans, Kareem Whitney, spoke about the key areas of improvement that spurred the win. Whitney said, “It’s been long overdue. We are a very tough team: we train hard, we do the right stuff, we have a very good coach, and winning right now…feels like something that we should have done in the first game; but nevertheless, we are gonna accept it and look to take this momentum to the next two games, and hopefully get a win by a large margin.”
Meadowbrook Nets upset a dominant Pepsi Sonics in the second match of the evening, handing Sonics their third straight defeat in the tournament.
Using the jump ball to grab an early 23-18 lead, the Nets set the tempo of the game, but second quarter saw the Sonics showing their ability from the three-
point line to decimate the Nets’ lead to one point. The Sonics scored 13 points in that session to elevate their score to 31 points, while the Nets scored 12 points in that session to take their total to 35 at the end of that quarter.
Third quarter action saw the Nets keeping both their composure and control of the game, as they managed to score 22 points to elevate their score to 57
points, while the Sonics struggled to score 10 points in order to register an overall total of 41 points.
With seconds to go in the game, the Nets pounced on the Sonics to seal the deal by breaking through their defence. The ultimate scoreline read 7159 in favour of the Nets.
Nets’ Captain Peter Langevine continues to be persistent, as he led the offensive attack by
top-scoring with 25 points.
Shaquille Prescott supported the effort with a phenomenal 15 points, and Joel Lackhan contributed 13 points.
In a post-match interview with media operatives, Langevine expounded on the style of basketball that impacted the win. He said:
“We were determined to win, so that is what we do: execute, and play to the best of our abilities. And we won. I wouldn’t say that it was close, but from our coach watching on, telling us what to correct. Well, we have to continue training, look over at our mistakes and get better,” Langevine explained.
The Guyana Amateur Basketball Association Under-23 Club Championships continue at the same venue this Saturday.
He did not anticipate this, but his entry into the realm of the proverbial sport of kings is now scripted as the start of a David vs Goliath rivalry in horse racing.
‘Giant conqueror’ Jermaine Sripal, a budding supermarket magnate from New Amsterdam in Region Six, has ‘crossed the bridge’ and bought 2023 Horse of the Year, Spankhurst, from the Jumbo Jet Racing Stables (JJRC) in Region Five.
Spankhurst is the leading money earner this season, having won two of his four races. Based on that success, he is now pre-race favourite to cop this year's Guyana Cup, which would be run off at the Rising Sun Turf Club (RSTC) on the West Coast of Berbice on Sunday, August 11, 2024.
Sripal is an unknown in the industry, but is famously known for the J’s Supermarket business. His family's bloodline in the horse racing arena is not deep-rooted, but he has declared, "My family (members) owned horses long ago, but I never had any inkling about owning horses. About
four years ago, I went to the races, I heard people speaking about horse racing, and realised this is a very popular sport."
Sripal revealed the seamless transition to his new hobby on Sunday after buying the six-year-old Canadian-bred Spankhurst.
"The opportunity came up, I saw Junior (Nasrudeen Mohamed) had a lot of horses, he mentioned while speaking to me that he could sell me a horse; so, when the opportunity presented itself, I jumped at it,” he said.
“I was reading about Spankhurst and following his exploits. I enquired what is needed to own a horse. I realized you do not need to have your own track, but can own a horse without the responsibility," Sripal continued.
"Junior's involvement with the transfer of the horse has been a dream. I do not know much people who would have done what Junior did for me. He got a trainer for me, a groom, and everything that the horse needs to move into the new stable. He made owning a horse more accessible. If I wasn't offered all
these things, I would have remained a spectator of the sport,” he disclosed. “That's genuine consideration."
When asked the reason for selling Spankhurst, Junior Nasrudeen, who represents Jumbo Jet Racing (JJR), related: "When Spankhurst was imported two years ago, we offered Stuart Gonzalez to buy him before he raced; he did not buy him. Spankhurst won the Sprint Classic and proved better going long."
Junior continued, "I have been speaking to Jermaine about the sport, and being a young person like myself, I recognised he wants to own a good horse. He likes Spankhurst, and I offered it to him. He was probably surprised and wondering why."
Junior further said, "I am encouraging people to get involved in the sport to help develop it, they are the future. Jermaine appears to be a person who, along with his family, will be in the sport for a very long time. He has bought the best horse in the country. If Spankhurst wins this year's Guyana Cup, it will send a very positive message (to)
prospective owners, (and) Jermaine will have lots of fun with Spankhurst. I suggested Uncle Fazal as the trainer for Spankhurst. He is one of the finest trainers in Guyana. He is a two-time Guyana Cup trainer. He is highly respected and very outspoken. I know we will have to buy something exceptionally fast to beat uncle Fazal with Spankhurst."
Junior also pointed out, "Jermaine might be small in stature: five-foot six inches, but (he) is now seen as towering 'David' to triumph over towering figures in the winners’ enclosure when coming up against the sixfoot-plus Goliath (me) representing Jumbo Jet."
Chipping in, Sripal explained, "I bought the horse because I felt he is the best horse in Guyana, and for the Guyana Cup. My trainer has already advised that we bought a bullet, but Jumbo Jet might buy a rocket. Who knows, we may shoot down the rocket. Uncle Fazal loves this sort of challenge."
Sharing what excited his interest in becoming an owner, Sripal related, "I am a big cricket fan. In any spectator sport - crick-
et, football, or athletics - everybody wants to be the best and follow the best. Horse racing is a spectator sport; you’re not involved (in) riding or training, (but) you are just as involved as the jockey or the trainer. As you are urging on the horse to win the race as they battle down to the finish line, you can feel you are part of the action in horse racing. Seeing your horse win could be an adrenaline rush that we all have."
Regarding his experience at racing horses, Sripal admitted, "I do not know much about horses, but Junior and my trainer Fazal are making me very comfortable. I have been told
luck is one of the main ingredients in the sport. Who knows? I might get lucky."
In regard to the prospect of owning other horses, Sripal revealed, “I want to own horses at the lower classes as well, by December or early next year. In any sport, passion is the driving force, sometimes things do not work out how you want (them) to. I am in the sport to have fun, and will be in it for a very long time. I am aware that you may need certain infrastructure with horse ownership. I am on the learning curve for now; when I gain more experience, then I could explore what the future holds for me in this sport."
The year 2024 is turning out to be fairly rewarding for West Indies players. In January, young star Shamar Joseph won the ICC Men’s Player of the Month award for his sensational performance that led to the unforgettable victory over Australia at the Gabba. Now teammate Gudakesh Motie has secured the Player of the Month award for May 2024. Motie beat competition from Pakistan’s Shaheen Afridi and Ireland’s Lorcan Tucker to win the award.
The West Indies’ leftarm spinner, who has continued to shine during the ongoing ICC Men’s T20 World Cup 2024, had had a host of brilliant outings during May. He enjoyed plenty of success in the three-match home series against South Africa, picking up eight wickets across
impressive spell of three for 22 to stifle the middle-order in the second fixture.
Another two wickets in the final match turned the tide in favour of the hosts once more, and allowed the 29-year-old Motie to claim the Player of the Series accolade.
In the ongoing Men’s T20 World Cup, Motie has
three matches at a parsimonious average of 8.50.
On the back of his performance, the hosts sealed a statement 3-0 victory in Jamaica.
Motie picked up 3/25 to restrict the tourists’ chase in the opening contest, and backed up that performance with another
In a simple ceremony conducted on Wednesday afternoon at the MVP Sports’ Giftland Mall location, this sporting goods retailer officially materialized their support for the upcoming Upper Mazaruni InterVillage Football competition, the second edition of which is set to kick off this Sunday, June 16, with 6 village teams competing over a week.
During the handing over of the sponsorship, Organizer Neil Henrito expressed his gratitude to the company as he highlighted the impact their support would have on the hinterland communities.
“We are grateful for this second time around, that MVP Sports can be a sponsor for this tournament. We are really happy because we know it will go a far way in developing football in the Upper Mazaruni, especially among the youths. Because we recognize that it is difficult and quite expensive to have them come out here and participate on the Coast most time,” Henrito explained.
The tournament organizer added, “So, tournaments like these provide a platform for talent to be showcased in my district. Again, we’re grateful to Petra Organization and
Upper-Mazaruni Football Organizer Neil Henrito
MVP Sports for their sponsorship.”
Selvin Apple, representing MVP Sports, reiterated the company’s support for the development of the sport, and shared with the small gathering, “We’re pleased to always pledge our support (for) the development of soccer within the country. It gives the opportunity to showcase talents. There’s not much that I want to say or add, other than we will always continue, as a corporate company, to pledge our support for the overall development of sports in the country.”
Defending champions Paruima would be vying for supremacy alongside Waramadong, Kamarang, Kako, Jawalla and Phillipai, villages competing in the Upper-Mazaruni tournament. For the first time this year, the competition would also see female teams in action.
shown fine form by picking up five wickets at an average of 11.
Motie has been excited to accept this award, and is hoping he can continue his recent excellent form and help the West Indies succeed at the T20 World Cup.
“It means a lot to me, and I am very happy to win this award; it’s very encouraging. I have put in a
lot of work during this season, and I am happy that I am seeing the rewards now," Motie has said.
“The standout performance for me during the series against South Africa was the first game, where I took three for 25. The third wicket that night was my favourite.
“Playing in a World Cup means a lot to me, and
playing at home in front of our fans and knowing the conditions is also special. We have started strongly, playing three games and getting three wins, and I see us going all the way and lifting that Cup on 29 June.” (ICC)
“One Guyana” T10 Tape ball Blast returns on August 3 …Finals
The fast-paced cricket tournament Kares
“One Guyana” T10 Tape ball Blast is gearing up for its second season, which bowls off on August 3, with the other playing dates being August 4, 11 and 25.
This follows a highly successful inaugural edition in 2023, and Kares Engineering has again secured the title sponsorship.
The tournament will feature 32 of Guyana's top Tape ball teams battling for a shot at the G$1.5 million first-place prize and national bragging rights. The runners-up will pocket $500,000, and the two losing semi-finalists will each get $250,000.
The stakes are raised this year with the much-anticipated semi-finals, finals, and Cricket for Charity match scheduled for August 25 at the National Stadium. This exhibition match would likely feature President Dr. Irfaan Ali again, along with prominent figures in Government and the private sector.
John Ramsingh, CoDirector of FL Sport, tournament organizers, has expressed excitement at the prospect of a competitive season. "The 2023 edi-
tion exceeded expectations, with overwhelming support from players, fans and the National Stadium crowd," he said in a press release. "We aim to surpass those numbers and deliver another exceptional tournament."
While expansion has been considered, organizers have opted to maintain the 32-team format with a straight knockout structure for 2024.
However, plans are underway to introduce qualifying zones with increased corporate backing, potentially opening the door for wider participation in future editions.
The tournament has already garnered international interest, with teams from Pakistan, Dominica, Barbados, and Trinidad and Tobago expressing desire to compete. Some of these teams might join the fray as early as 2025.
Building on the success of last year's live streaming, matches from the quarter-finals onwards would once again be available on various platforms, including Facebook, YouTube, the FL Sport website, and cable television through a partnership with ENet. This allows fans to enjoy the action from anywhere, while pro-
viding valuable exposure for sponsors.
The 2023 edition attracted thousands of online viewers, particularly for the Cricket for Charity match streamed on President Ali's Facebook page.
The President's initiative successfully raised over G$20 million for Guyanese charities, and organizers hope to exceed this amount with continued corporate support.
Teams interested in participating can find registration details in the coming days on the “One Guyana” T10 Blast Facebook page. The registration fee is G$25,000.
Beyond the top cash prize, individual accolades would be awarded for Player of the Final, Most Wickets, Most Runs, and Most Valuable Player.
Last year, Eccles AllStars emerged victorious, defeating V-Net Vipers in the final. Team Corruption and Tarmac were the losing semi-finalists.
The Kares “One Guyana” T10 Tape ball Blast promises another exciting season of cricket, showcasing Guyana's talent while fostering a spirit of community through the Charity match.
Pandith Shiva. Call or WhatsApp: +592 632-9090. I will get rid any of these problems- health, job, business, Relation problem, Love Spell, depression, family problems, Land problem, remove Evil Spirits & Black Magic and give Lifetime protection. LocationGeorgetown, Guyana. Pandith Maheshwar, in Georgetown Guyana. Call or WhatsApp: +592 611-9779. Expert in bringing back Love ones, Astrology, God’s Gift pass down Generation to Generation. I will read Past, Present and Future, Horoscope, palm reading. Get solutions for Love, Job, Business, health, Court Case, Depression and Jealously.
Astrologer Chiranjeeva. Meet him once and get a permanent solution immediately. Specialist in bringing back ex-Lover in within days and you will get Spiritual protection for Lifetime. Location- Georgetown, Guyana. Contact: +592 612-0036. VISHNU ASTROLOGY CENTER, ( +592-632-9943). Past, present and future spiritual healing, black magic. Specialist in bringing back love and any business, health, marriage, domestic problems, lottery numbers, expert in life time protection. Call/ Whatsapp in Georgetown (+592-632-9943).
Aracari Hotel, West Bank Demerara between Harbor Bridge and Vreed-en-Hoop. A/C Rooms fully furnished, Restaurant, Bar, Pool and Gym. Free Parking, WiFi. Stay 7 nights, get 1 free. Rates from $75 U.S with breakfast. Long-term rates available. Call: 264-2946-9 or
Vacancies Exist for SECURITY GUARD and CARPENTER Call or WhatsApp: Jason – 643-9861 / Saoud - 611-6151 Location: Happy Acres, ECD Excavator Operator, Truck Drivers, Canter Drivers, Labourers (Road Constructionmust be able to speak English & Spanish). Call: 613-0855 between 8:00 am to 5:00 pm.
Asensational rescue effort from Sherfane Rutherford at the Brian Lara Stadium in Tarouba, Republic of Trinidad & Tobago, has set up a third win on the trot for West Indies in the T20 World Cup 2024 tournament; but New Zealand have been put on the verge of elimination.
With this win, the cohosts have also secured a spot in the Super Eight.
New Zealand's fast bowlers dictated proceedings in the powerplay to have West Indies four down in the first innings. Rutherford found little support as West Indies slid to 112 for 9 after 18 overs, but he plundered 37 runs off the last two overs to take the co-hosts to 149.
Alzarri Joseph, Gudakesh Motie and Akeal Hosein then stepped up with the ball to have New Zealand slump to their second defeat in as many games.
Rutherford stands tall at the death
Rutherford found himself in unfamiliar territory following the West Indies' top-order collapse. He came in to bat in the sixth
time in his partnerships with Akeal Hosein, Andre Russell and Romario Shepherd; and for a long period, his only two boundary shots were two sixes off drag-downs from Mitchell Santner and James
over, and only for the second time in his T20I career did he find himself facing a ball in the powerplay. However, he bided his
West Indies (20 ovs maximum)
Brandon King c †Conway
b Neesham 9
Johnson Charles
b Boult 0
Nicholas Pooran † c †Conway
b Southee 17
Roston Chase c Ravindra
b Ferguson 0
Rovman Powell (c)c †Conway
b Southee 1
Sherfane Rutherford not out 68
Akeal Hosein c Neesham
b Santner 15
Andre Russell c Ferguson
b Boult 14
Romario Shepherd lbw
b Ferguson 13
Alzarri Joseph
b Boult 6
Gudakesh Motie not out 0
Extras (lb 3, w 3) 6
TOTAL 20 Ov (RR: 7.45) 149/9
Fall of wickets: 1-1 (Johnson Charles, 0.6 ov), 2-20 (Nicholas Pooran, 3.5 ov), 3-21 (Roston Chase, 4.3 ov), 4-22 (Rovman Powell, 5.4 ov), 5-30 (Brandon King, 6.3 ov), 6-58 (Akeal Hosein, 10.6 ov), 7-76 (Andre Russell, 12.3 ov), 8-103 (Romario Shepherd, 16.2 ov), 9-112 (Alzarri Joseph, 17.5 ov) •
DRS
BOWLING O-M-R-W
Trent Boult
Tim Southee
4-1-16-3
4-0-21-2
Lockie Ferguson 4-0-27-2
James Neesham 4-0-27-1
Glenn Phillips
1-0-9-0
Mitchell Santner 2-0-27-1
Daryl Mitchell 1-0-19-0
New Zealand (T: 150 runs from 20 ovs)
Devon Conway † c Chase
b Hosein 5
Finn Allen c Russell
b Joseph 26
Rachin Ravindra c Russell
b Motie 10
Kane Williamson (c) c †Pooran
b Motie 1
Daryl Mitchell
b Motie 12
Glenn Phillips c Powell
b Joseph 40
James Neeshamc King
b Joseph 10
Mitchell Santner not out 21
Tim Southee
c & b Joseph 0
Trent Boult c Chase
Lockie Ferguson not out 0
Extras (lb 1, w 3) 4
TOTAL 20 Ov (RR: 6.80) 136/9
Fall of wickets: 1-20 (Devon Conway, 2.6 ov), 2-34 (Finn Allen, 5.4 ov), 3-39 (Kane Williamson, 6.4 ov), 4-54 (Rachin Ravindra, 8.5 ov), 5-63 (Daryl Mitchell, 10.6 ov), 6-85 (James Neesham, 15.1 ov), 7-108 (Glenn Phillips, 17.4 ov), 8-108 (Tim Southee, 17.5 ov), 9-117 (Trent Boult, 18.6 ov) • DRS
BOWLING O-M-R-W Akeal Hosein 4-0-21-1
Romario Shepherd 3-0-36-0 Andre Russell 4-0-30-1 Alzarri Joseph 4-0-19-4 Gudakesh Motie 4-0-25-3
Chase 1-0-4-0
as he top-edged while trying to sweep and was done in by the extra bounce. Allen then flicked Russell behind square, and cut Hosein for two more fours.
Joseph, introduced in the sixth over, drew a leading edge off Allen, only for Rutherford to drop him running back from point. But one ball later, Allen miscued a pull to Russell at deep square leg and was sent on his way.
Neesham, before he finally let loose in the last two overs.
New Zealand took a gamble in using up their best frontline bowlers early, and ended up giving Daryl Mitchell the penultimate over and Santner the last. The plan nearly paid off, with West Indies having just one wicket in hand after the 18th over. But Rutherford resisted as he first tore into Mitchell, hitting him for back-to-back sixes down the ‘V', before depositing the ball over the fine-leg fence for a third six in the over.
He then hit Santner for two fours and a majestic six slog-swept from wide of off over wide long-on on the way to a 33-ball half-century. The 37 runs off the last two overs helped take West Indies to 149, a score that seemed unattainable for almost all of their innings.
Allen attacks in the powerplay
Finn Allen helped New Zealand gain early momentum in the chase, despite losing Devon Conway in the third over. Allen got going by pulling Shepherd behind square for a boundary in the second over, before hoisting Hosein over cow corner.
Hosein then had Conway caught at fine leg,
Motie ties down New Zealand Motie struck in his first over, getting Williamson to nick behind in trying to cut, as West Indies grabbed two wickets in two overs. In his next over, he had Rachin Ravindrawho came in to bat at No. 3 - hole out to deep midwicket. In his third over, Motie knocked Mitchell over with a peach that pitched on middle and spun past the outside edge to crash into the stumps.
Between Motie and Hosein, West Indies' left-
Joseph had the last laugh, as Phillips tried to pull again and skied a catch to long-on running in.
Joseph then had Southee caught off his own bowling to finish with a four-wicket haul, effectively sealing the win for West Indies.
Boult triggers WI top-order collapse
At the start of the game, it was Trent Boult who made heads turn early. After asking West Indies to bat, New Zealand got a first-over breakthrough courtesy of Boult taking the wicket of Johnson Charles, who chopped one onto his stumps.
Nicholas Pooran
arm spinners had combined figures of 4 for 46 from their eight overs, while offspinner Roston Chase bowled a four-run over.
Joseph stops Phillips's charge The spin choke saw New Zealand's asking rate swell, and when Neesham fell to Joseph, New Zealand needed 65 off 29 deliveries. Phillips then tried to force the issue, hitting Russell for a four and a six before pulling Joseph for backto-back boundaries in the 18th over. However,
walked out to loud applause, and it took him three balls to get West Indies' first boundary with a leading edge past short third. The boundary also took Pooran past Chris Gayle to become the leading run-scorer for West Indies in men's T20Is. Then followed a game of cat-and-mouse between Pooran and Tim Southee, who was among three changes New Zealand made from the side that lost to Afghanistan last week. In a sequence of four balls, Pooran hit two fours,
was dropped by Mitchell between the two boundary shots, and then fell to the seamer.
Pooran tried to take Southee on for a third boundary in the over as the bowler dug in a short ball, but skied it to wicketkeeper Conway running behind a swirling ball.
Pooran was the first of four wickets that West Indies lost in the space of ten runs. Chase fell for a duck in miscuing Lockie Ferguson, and Southee had Rovman Powell edging behind. From 20 for 1, the West Indies were soon 30 for 5 when Brandon King departed in the seventh over.
The Boult vs Russell battle
Then came a 28-run stand for the sixth wicket between Akeal Hosein and Rutherford. It briefly stabilised their innings, but a sharp catch by Neesham at midwicket off Santner's bowling ended Hosein's stay, and Russell came at No. 8.
Russell was immediately on the front foot, hitting Ferguson for two fours and a six. Williamson brought Boult back in the next over, the 13th of the innings, and the move paid off, as Russell first missed an attempted hoick across the line, and then top-edged a catch to short third.
Ferguson and Boult then dismissed Shepherd and Joseph with deliveries that stayed low; and, with two overs to go, New Zealand were the happier side. But they were not prepared for Rutherford to single-handedly change the game's course and hand West Indies the momentum at the break, helped also by the energy of a packed Brian Lara Stadium. (ESPNCricinfo)