



![]()




MINISTER of Public Service, Government Efficiency and Implementation Zulfikar Ally on Friday called on young Guyanese to capitalise on the country’s expanding economic landscape, following the launch of a newly formed Chamber of Commerce dedicated to young entrepreneurs.
He made the appeal during a youth forum at the Guyana Energy Conference and Supply Chain Expo on Friday, where he outlined the broad range of govern-
ment-backed support systems available to help young people transition from ideas to viable enterprises.
Addressing a packed audience of secondary school and university students, as well as young professionals, Ally emphasised that Guyana’s unprecedented development presents unmatched business prospects across every sector.
Commending the establishment of the Chamber, he said it was timely, given the surge of
youth-led entrepreneurship emerging across all regions of the country.
“I think it is most fitting at this time to launch a chamber that looks at young entrepreneurs, and all across Guyana. In every region, we have young people; young entrepreneurs that are taking up opportunities that they have never done before in the history of our country,” the minister said.
He stressed that virtually every interest or skill set can now be converted into a business

opportunity, pointing to the breadth of market potential being created by Guyana’s rapid economic transformation.
“It doesn’t matter what it is that you like to do, everything now in our country has a business opportunity to it; everything you can market, and you can make money out of it. It is the business potential that our country has,” Ally added.
The minister assured his audience that the new chamber will receive strong support from President Dr. Irfaan Ali and the Cabinet, noting that the government remains committed to fostering an enabling environment for youth entrepreneurship and innovation.
“Guyana has opportunities that are in abundance, and we should not let it slip by us. This is not the time to look at greener pastures, because there’s no other pasture that is greener than Guyana right now,” he told young Guyanese.
Highlighting ongoing reforms, Ally noted that the commercial landscape has been deliberately reshaped to make it easier for young people to start and grow businesses.
He pointed to streamlined processes for opening bank accounts and registering businesses, which he said no longer require months to complete.
He also referenced plans for the launch of an interest-free bank later this year, describing it as a major boost for young entrepreneurs seeking

accessible financing and reduced startup costs.
“As young people, you have to position yourself to take advantage of all of these opportunities that the Government of Guyana and the President is making for you,” the minister urged.
Ally set high expectations for the new chamber, stating that in five years, it should have a membership cased exceeding 100 young entrepreneurs nationwide.
He further encouraged aspiring business leaders to think beyond Georgetown and tap into regional and international markets, using digital tools and Online platforms.
“Utilise the technology that you have; utilise the smartphones that you have. Market your products; sell it, not only to the people in Georgetown, but sell it to the people in the United States and in Europe and our brothers and sisters in the Caribbean. That is where the market is;
don’t confine yourself to just thinking about here,” he told the aspiring business leaders.
Minister Ally then pointed to the opportunities in education, a sector being set at a world-class standard and made accessible to all.
Turning to his subject ministry, Ally said that there are numerous programs available and can be reached “at the tip of your phone”. He then challenged the young audience to visit the ministry’s page and sign up for the Coursera programme and do a course of their choosing.
The certificates attained at the end of those courses are internationally recognised and free of cost, he reminded them.
Minister Ally had also assured students:
“Know that my ministry door is open and that of every minister in government, our door is always open for any guidance that you need, any help that you need, and any support that you need.”
By Naomi Parris
HIGHLY-technical positions are now increasingly being filled by Guyanese, as the country’s expanding oil and gas sector continues to drive rapid economic transformation, and create new opportunities for local talent, President Dr. Irfaan Ali has said.
The Head of State made these remarks during the opening of the 2026 Guyana Energy Conference and Supply Chain Expo on Tuesday, noting that targeted investments in training, and robust local content policies are delivering tangible results in workforce development and job creation.
“Today, jobs; highly-technical jobs that were held by our friends from overseas are now held by Guyanese. We’re seeing growing numbers of companies on the local content register,” President Ali told delegates.


According to the Head of State, the progress reflects a deliberate push to rapidly upskill the country’s human resources, while encouraging stronger partnerships between foreign investors and local businesses.
“We are seeing increased skill sets and skill
levels of our workforce; and we are seeing a momentum of foreign partners who are important, with the technology, the know-how and the experience now having a larger appetite to partner with

local firms and local businesses in delivering their service to Guyana. That was because of a deliberate policy agenda, which was as a result of the investment we have made in upskilling at a rapid pace our human resource base, and giving our private sector the opportunity to grow and succeed,” he said.
Outside of the oil-andgas sector, he noted that
growth in ecotourism, manufacturing, agro-processing and aviation will further expand opportunities for skilled employment beyond the petroleum sector.
“We are already doing this; creating sustainable, high-value jobs, and that is why the economic diversification that leads into ecotourism, manufacturing, agro-processing, all of those areas, aviation, all of
those areas will be creating high-level jobs,” he added.
Citing data from the Bureau of Statistics, President Ali had previously noted that unemployment had declined from 12.8 per cent in 2020 to 6.8 per cent in the fourth quarter of 2024.
Female unemployment also fell significantly, from 14.4 per cent to
See page 4



below nine per cent, while employment gains were recorded across both urban and rural regions.
He’d further revealed that more than 104,000 new jobs were created between early 2020 and late 2024, with total employment approaching 370,000. The reduction in youth unemployment, he said, demonstrates stronger labour absorption as the economy expands, and more young people are integrated into the workforce.
Beyond infrastructure and job creation, President Ali emphasised the importance of human development. He said Guyana’s
performance on the Human Development Index (HDI) has advanced across key indicators, including life expectancy, years of schooling, and Gross National Income (GNI) per capita, reflecting the broader social impact of economic expansion.
“Already, we have seen a massive increase in employment levels. We have seen a massive decrease in unemployment levels. We have seen a massive increase in female participation in the workforce. A massive increase in female participation in the workforce directly impacts household income in different ways. Not only does it drive empowerment, but
it also drives savings and it drives better investment decisions in those households,” he told participants and key stakeholders.
Last weekend, the President commissioned the US$120 million Guyana Technical Training College Inc. (GTTCI) at Port Mourant.
The President said the decision to construct the facility was shaped by strategic engagements in 2020 between the Government of Guyana and its development partners, including ExxonMobil.
He explained that rather than opting for shortterm distribution of oil revenues, the administration chose to channel more
than US$120 million into long-term national capacity building, focusing on infrastructure and human capital that will deliver sustained benefits for future generations.
The state-of-the-art institute, outfitted with advanced simulation technology, now joins a limited group of similar facilities globally.
The training institute is a critical pillar in Guyana’s strategy to convert oil wealth into human capital; strengthen local-content participation; diversify the economy and create stable, high-income technical careers for young Guyanese.
A 26-year-old prison officer is in police custody after more than 500 grammes of suspected cannabis was discovered during a search at the Mazaruni Prison on Friday morning.
Police said the discovery was made around 06:45hrs on February 20, 2026, during a morning briefing in the prison compound. The officer, of Golden Grove, East Coast Demerara, was searched after his bulletproof vest
appeared unusually bulky. During the search conducted in his presence, ranks found a transparent bulky parcel containing leaves, seeds and stems suspected to be cannabis concealed inside the vest. The substance was handed over to the police and weighed, amounting to 474.6 grams. Further enquiries led to a search of the suspect’s living quarters within the prison compound, where an additional black bulky parcel containing a trans-
parent package with suspected cannabis was found on his bed. That quantity was weighed in his presence and amounted to 27.6 grams.
The total quantity of suspected cannabis recovered was 502.2 grams. The officer and the suspected narcotics were escorted to the Bartica Police Station, where the cannabis was lodged as evidence.
The suspect remains in custody as investigations continue.

The suspected cannabis found


A NEW body aimed at accelerating youth enterprise development in Guyana has been formally launched, signalling a major push to position young business leaders at the forefront of the country’s expanding economic landscape.
The Guyana Youth Entrepreneurship Chamber (GYEC) was officially unveiled on Friday during the Guyana Energy Conference Youth Forum, with strong endorsements from both government and private sector stakeholders.
The organisation, founded by President of ACE Consulting Group, Dr. Rosh Khan, alongside a cohort of 12 founding members, is designed to equip entrepreneurs aged 18 to 40 with the resources, networks and institutional support required to scale and sustain their businesses.
According to a release, the Chamber will roll out a robust programming agenda that includes executive roundtable discussions, entrepreneurial workshops, networking engagements and a competitive Youth SME Incubator. An annual showcase is also planned to
spotlight high-performing youth-led enterprises, reinforcing a results-driven ecosystem for innovation and growth.
Backing for the initiative was unequivocal.
Minister Zulfikar Ally signalled that the Chamber has the government’s “full backing”, while urging the founders to “hit the ground running” and rapidly expand membership in order to deliver on the entity’s mandate.
“Kathy Smith, President of the Georgetown Chamber of Commerce and Industry (GCCI), and Captain Gerry Gouveia Jnr, Chairman of the Private Sector Commission (PSC), both offered congratulatory remarks, advising the young entrepreneurs to lean on one another and work in alignment with the existing business support organisations,” the release said.
The Chamber’s founding membership spans multiple industries, including marine logistics, digital media, graphic design, finance and the creative sector, reflecting a deliberate strategy to build a cross-sectoral platform that mirrors the diversity of Guyana’s emerging private enterprise space. The cohort
includes University of Guyana students, a CARICOM Youth Ambassador and experienced operators, highlighting a blend of youthful innovation and practical business acumen.
In positioning itself as a national conduit for youth-driven enterprise development, GYEC has already engaged key business bodies such as the GCCI, the Guyana Manufacturing and Services Association, the Private Sector Commission, AmCham Guyana and the Women’s Chamber of Commerce and Industry Guyana to serve on an Advisory Council.
Further partnerships are expected in the coming weeks.
The launch marks a forward-leaning intervention in Guyana’s evolving economic transformation, with the Chamber expected to serve as a pipeline for nurturing the next generation of business leaders in a rapidly expanding, investment-driven economy. Interested youths can register their interest through the Chamber’s official contact channels or email guyanayouthchamber@ gmail.com.


GUYANA’S development story is increasingly being defined not only by economic expansion, but also by deliberate investment in people -- particularly its young citizens.
The latest episode of Tea on the Terrace offered a timely reminder that sustainable national progress depends less on shortterm gains and more on preparing a skilled generation capable of shaping the country’s future.
During the programme, President Irfaan Ali underscored a central theme of his administration’s agenda: education, technical empowerment and workforce readiness as pillars of long-term development.
His engagement with Minister of Labour and Manpower Planning Keoma Griffith and Minister of Tourism, Industry and Commerce Susan Rodrigues highlighted a coordinated governmental approach, one that links training, employment planning and economic diversification.
Nowhere is this vision more visible than in Berbice, particularly at Port Mourant,
where the newly established Guyana Technical Training Institute represents a significant shift in how Guyana prepares its workforce.
The facility, backed by billions of dollars in investment, signals recognition that oiland-gas wealth alone cannot secure prosperity; human capital must grow alongside industrial expansion.
For decades, Guyana struggled with skills shortages that limited productivity and forced reliance on imported expertise. Today’s investments aim to reverse that pattern.
Training programmes that would ordinarily cost hundreds of thousands of US dollars per participant are being funded by the state, ensuring that young Guyanese -- regardless of background -- can access internationally recognised certification. Such policy choices reflect more than generosity; they are strategic economic decisions.
Critically, the initiative acknowledges an uncomfortable reality: rapid economic growth has outpaced the availability of trained labour. Minister Griffith’s admission
of a national manpower shortage illustrates the urgency of structured workforce planning.
Without deliberate intervention, economic transformation risks leaving citizens unprepared to benefit fully from emerging industries.
Equally important is the expansion beyond oil and gas. Minister Rodrigues’ update on the forthcoming Tourism and Hospitality Institute points to a broader diversification strategy.
By building capacity in tourism and services, the government appears intent on reducing dependence on a single sector, while creating opportunities across regions.
The scale of investment in modern equipment -- from specialised machinery to advanced laboratory instrumentation -demonstrates seriousness of intent. These are not symbolic projects; they are infrastructures designed to meet global standards. When trainees gain hands-on experience with industry-grade tools, they graduate not merely educated, but employable.
Yet, while these initiatives deserve commendation, their long-term success will depend on consistent execution, transparent management and measurable outcomes.
Training institutions must remain responsive to evolving industry needs, and graduates must find pathways into meaningful employment at home. Otherwise, Guyana risks training talent only to lose it to migration.
Still, the broader message emerging from the President’s engagement is clear: development is being framed as an intergenerational project.
The emphasis on youth empowerment recognises that infrastructure and revenue alone do not build nations --- skilled, confident and opportunity-ready citizens do. If sustained and carefully managed, investments in education and technical training could become one of Guyana’s most enduring legacies, ensuring that the country’s rapid economic rise translates into lasting national advancement rather than fleeting prosperity.
GUYANESE’ success or failure increasingly depends on their sources of information.
The Irfaan Ali administration is constantly rolling out new initiatives aimed at helping Guyanese to improve their lives; however, some are failing to grasp the opportunities simply because they do not know of them or how they can access these resources.
Why? It seems to be based on who they get their information from and the bias of those sources. There are those who decry every initiative as negative and suggest that only ‘cash grants’ serve the poorer in our nation… This is patently false and does a great disservice to the
very people who need to access assistance for improving their lives.
Various influencers and media houses have taken the negative position and do not share information on opportunities in education; small-business assistance (many ways available); housing programmes; building assistance; job training; technical schools, etc. these are not shared with readership/viewers; consequently, those who depend on these persons for information are being left behind as others grasp and grab the benefits.
The onus is on all of us to let everyone know that the government is willing to help those who are willing to help themselves; sitting at home and listening
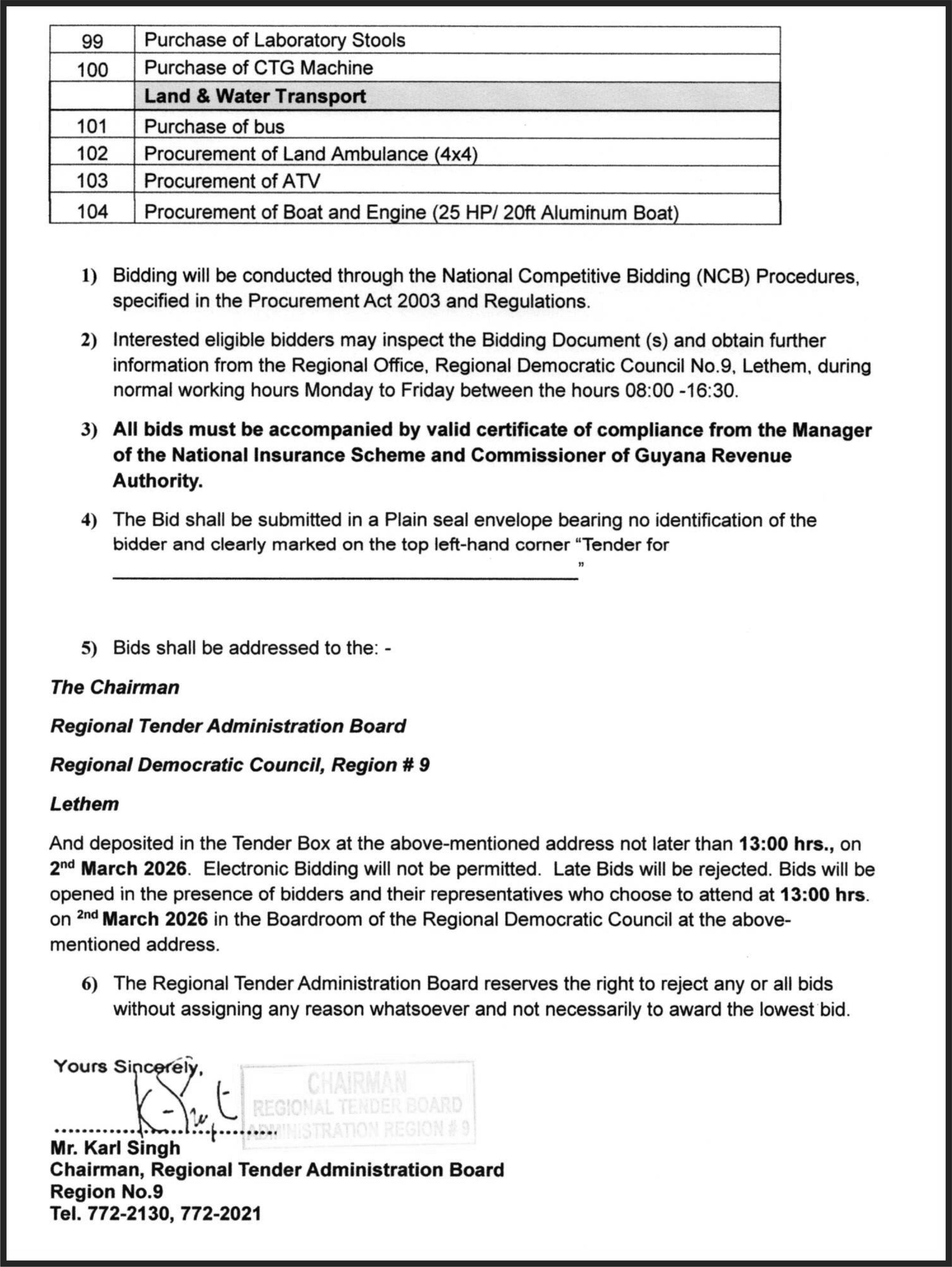
to the negative sources directly affects your well-being, as time goes, that you will be left further behind as others make progress in a booming economy, that you need to make money moves, those include, upskilling , training, certification and education.
The alternative is dire; you will not enjoy the prosperity on offer, you will join the bitter, envious crew who chant ‘friends and family’, and, while the rest of the country demands better roads, sporting and entertainment facilities, you will be in the minority waiting on the next cash grant.
No country can grow great by catering to the segment of its population that will
not make an effort to self-improve! The cry about poverty grows hollow when it is plain for all to see and evidenced by the growing prosperity of the ‘Spanish’ workers who grow in economic strength without any government assistance.
I hope this serves as a wake-up call to those who have sold themselves to negative forces and are hurting their fellow Guyanese with their greed for a quick dollar.
Wake up! Smell the coffee and seek those opportunities now! Tell your friends, yell at your family!
Robin Singh
ONE day last year, the world woke up to hear that there is a new world order. Since then, governmental leaders of Western geopolitical alliances, leaders of certain NATO countries and the head of a number of EU nations have declared that there is a new world order.
Leading the charge is the Prime Minister of Canada, Mark Carney. Here are his words: “The old order is not coming back…middle powers must act together…. Great powers have begun using economic integration as weapons, tariffs as leverage… Canada was amongst the first to hear the wake-up….”
But why is the Canadian Prime Minister saying there is a new world order? It is simple to understand why Carney made that declaration, because the traditional ally of Canada, the US, decided to put tariffs on Canadian exports to Canada. So, the question is: if the US did not put tariffs on Canada, would there have been a new world order?
If there were no tariffs on Canada, but Iran was bombed, Cuba was invaded, the Panama Canal was taken over, would there have been cries of a new world order? My answer is, I don’t think so. When Iraq was invaded, no Western leader said there was a new world order. When Afghanistan was invaded and occupied for 20 years, there was no exclamation of the old order dying. In fact, Canada sent troops as part of the invading multinational army into Afghanistan.
When Libya was bombed by France and the UK, there was no talk of a new
world order. When Syria was bombed and destroyed, there was no talk of a new world order. When Western countries captured suspected terrorists around the world and rendered them at black sites in Canada and Europe in violation of all the laws governing international behaviour, no Western leader had discovered a new world order.
A plane carrying the President of Ecuador was illegally intercepted by the American air force in violation of the laws governing international aviation, thinking Julian Assange was on board, European leaders did not see a new world order in the making and collaborated in denying the plane permission to land in Europe. No European leader spoke of a new world order after that incident.
So why is there a new world and where did it came from? The German Chancellor, Friedrich Merz, tried to outdo Carney.
He went further than Carney in describing the new world order. Here are his words:” ‘The world has entered an era of great power politics… the new world of the great powers is founded upon power, strength and when necessary, force. It is not a cosy place.”
But when did Herz discover the world was not a cozy place and there is a new world order? The answer lies in the policy of the US Government to put tariffs on goods from the EU countries and the US announcement that it wants to control the European territory of Greenland.
The question, of course, is if the US did not put tariffs on EU nations and

threatened to invade Greenland but decided it wanted to take the Panama Canal, invade Venezuela, bomb North Korea, would Merz have declared there is a new world order? Indeed, Merz is right, the world is not a cozy place and Germany has contributed to it not being cozy.
Instead of announcing there was a new world order where might is right when Israel began perpetrating genocide in Gaza, Germany announced support for Israel with Merz broadcasting to the world that Israel is Germany’s reason of state, a philosophical term that the French refer to as raison d’être. The number of 75, 000 Palestinian deaths is now being questioned by Palestinian authorities and may be much higher than the figure.
So, we have a new world order simply because the American president announced some changes to American foreign policy. But ironically, the old world order still remains and the Europeans are
part of it. The Africans would tell Merz that indeed the world is not a cozy place because the French were ordered out of two African countries, refused to leave and had to be kicked out.
There is still an old world order where, each day, more Palestinian lands are being taken over by the Israelis and European and Canadian military and financial aid to Israel still continues.
Now, if there were a new world order, why is Europe still pursuing the old order of protecting Israel? They may very well be a new world order coming because if Iran is attacked, it will wipe out the state of Israel. I don’t agree with that happening to Israel, but the world is not a cozy place.
DISCLAIMER: The views and opinions expressed in this column are solely those of the author and do not necessarily reflect the official policy or position of the Guyana National Newspapers Limited.
Gov’t to install 3 MW solar PV plant at CJIA AS part of its national efforts to continue investing in sustainable-energy initiatives that provide affordable, reliable and stable energy, the Government of Guyana, through the Guyana Energy Agency (GEA), marked a major milestone with the official handover of the project site for construction of the new 3 MW grid-tied solar photovoltaic (PV) plant on Monday.
The project, financed through a loan from the Export-Import (EXIM) Bank of India, is part of the government’s low-carbon energy agenda to decentralise power generation, strengthen energy security, and lower carbon-dioxide emissions to support the country’s rapidly evolving sustainable, low-carbon economy.
A press statement from
the GEA reveals that over its lifespan, the 3 MW solar PV installation is expected to produce more than 112 million kWh of energy. Once completed, the solar plant will supply renewable electricity to benefit more than 1.2 million passengers who travel through the airport annually.
It will also reduce operating costs, enhance efficiency for airport management and staff, and decrease reliance on the utility grid. In 2025, a pre-qualification (PQ) process was launched by the Export-Import (EXIM) Bank of India, which resulted in the shortlisting of eight companies. However, only three companies submitted bids for the project. Following the evaluation, the contract was awarded to Oriana Power Limited for the sum of US$2,487,170.
Following a recent joint inspection and site visit
involving project stakeholders, the site was officially handed over to the contractor, Oriana Power Limited, to commence work.
“The Guyana Energy Agency is thrilled to be part of another strategic sustainable energy investment that advances Guyana’s Low Carbon Development Strategy 2030,” said Dr Mahender Sharma, Chief Executive Officer of the GEA. “By integrating largescale solar power into our critical infrastructure, we are making steady, tangible progress in keeping with our renewable-energy goals as a nation,” he added.
Krishnan Kutty Jaigopal, a representative from Oriana Power Limited, said at the official site handover, “We are committed to delivering the project in an effective and efficient timeline and without any cost variation,” stating that the objective is to ensure the successful

The Government of Guyana through the GEA marked a major milestone with the official handover of the project site for construction of the new 3 MW grid-tied solar photovoltaic (PV) plant
construction and operation of the solar PV plant.
The Guyana Energy Agency says it remains committed to provid -
ing rigorous oversight throughout implementation of the 3 MW solar PV plant project, to ensure that it meets its execution
timelines and technical standards, while further advancing the country’s sustainable, low-carbon agenda.
ON his first visit to the United States since assuming office on January 15, Director General Muhammad Ibrahim of the Inter-American Institute for Cooperation on Agriculture (IICA) met with senior officials of the U.S. Department of Agriculture (USDA) to advance a shared agenda to protect the hemispheric food supply and expand opportunities for farmers and ranchers through stronger, science-based agricultural trade.
Director General Ibrahim held consultations with Luke J. Lindberg, Under Secretary for Trade and Foreign Agricultural Affairs, and Michelle Bekkering, Deputy Under Secretary for Trade and Foreign Agricultural Affairs.
The meetings focused on practical co-operation to strengthen food safety
and biosecurity, improve regional capacity to prevent and respond to animal and plant pests and diseases, and expand Americas-to-Americas agricultural trade through sound-science, evidence-driven regulatory approaches.
“The United States and IICA share a clear interest in protecting the integrity of the food-supply chain and expanding trade that rewards producers and delivers safe, nutritious food to consumers,” Director General Ibrahim said.
“IICA is ready to help operationalise this agenda across our 34 Member States by strengthening sanitary and phytosanitary capacity, accelerating risk-based regulatory alignment and supporting rapid-response systems that keep threats from becoming crises.”
Under Secretary Lindberg underscored the importance of reinforcing the Americas’ position as a reliable global supplier of food, feed, fibre, and fuel—while ensuring trade delivers tangible benefits to producers, strengthens market access, and supports resilient supply chains.
Deputy Under Secretary Bekkering emphasised the value of science-based standards and evidence-driven risk assessments as the foundation for predictable, trusted agricultural trade and effective protection against trans-boundary threats.
The officials discussed practical pathways to deepen co-operation with IICA to strengthen biosecurity protocols, expand early-warning and surveillance capacity and improve coordinated- response mechanisms for pests and diseases affecting crops


and livestock.
During the consultations, Director General Ibrahim also reaffirmed IICA’s readiness to support agricultural recovery and rebuilding efforts in Venezuela, including
collaboration with the USDA on a structured approach to agricultural development and market access.
With a long-standing operational presence in Venezuela, IICA can support technical co-operation, institutional strengthening, and risk-management measures aligned with broader hemispheric food-security and stability objectives. (IICA)
$400,000
A 24-year-old mason of Sheet Anchor Village, East Canje, Berbice, has been fined $400,000 and sentenced to six months’ imprisonment after pleading guilty to six offences stemming from a confrontation with a traffic rank in New Amsterdam.
Keion Clarke appeared before Magistrate Michelle Matthias at the New Amsterdam Magistrate’s Court on Thursday, where he faced 13 charges arising from the incident, which was captured on video and widely circulated on social media.

The footage showed Clarke approaching a traffic rank with a glass bottle, assaulting the officer and later hurling the bottle at him, while allegedly committing multiple traffic and related offences.
Clarke pleaded guilty to failure to wear a safety helmet, breach of insurance, failure to have identification marks (front and rear), operating an uncertified motor vehicle and driving without a
licence. He was fined a total of $400,000 and sentenced to six months’ imprisonment on those charges. His driver’s licence was also suspended for 12 months for the breach of insurance offence.
He pleaded not guilty to the remaining seven charges, which include two counts of dangerous driving, failure to stop when required by a police officer in uniform, fraudulently imitating an identification mark, disorderly behaviour, assault causing actual bodily harm, damage to property and resisting a peace officer.
Bail was refused on the outstanding charges, and Clarke was remanded to prison.
The matters have been adjourned to March 5, 2026.
THE Consul General of the Co-operative Republic of Guyana in New York has announced a series of high-profile commemorative activities to mark Guyana’s 56th Republic Anniversary, spotlighting the nation’s heritage, unity and global presence through the Guyanese diaspora.
In a release, the consulate detailed three major initiatives that will be staged across New York, underscoring the enduring spirit and resilience of the Guyanese people, while reaffirming the diaspora’s strong and visible contribution abroad.
The observances will officially commence with a commemorative visual display in Times Square from Sunday, February 22 to Saturday, February 28, 2026.
The digital advertisement will be featured three
times per hour at 15:35 and 55 minutes past each hour on four large screens at 1552 Broadway, between 46th and 47th Streets. The presentation is expected to run continuously for seven days, showcasing Guyana’s national identity, cultural heritage and collective strength on one of the world’s most recognisable platforms.
According to the consulate, the initiative represents a historic and symbolic expression of Guyanese pride on the international stage, signalling the country’s growing global profile and the vibrancy of its overseas community.
Further commemorative symbolism will be reflected in the illumination of the Mid-Hudson Bridge in the national colours of Guyana from sunset on Monday, February 23 to sunrise on Tuesday, February 24. The bridge lighting
is intended to highlight the broad and meaningful contributions of Guyanese diasporans throughout New York State while reinforcing a shared sense of national unity.
In addition, an interfaith service and brunch reception will be hosted on Sunday, February 22 at 9:30 p.m. at St Gabriel’s Episcopal Church in Brooklyn. The event is designed to bring together members of the diaspora and friends of Guyana in reflection and celebration of the country’s republican journey.
The Consulate General extended Republic Anniversary greetings to all Guyanese at home and abroad, encouraging the diaspora to witness and participate in the commemorative activities as a demonstration of pride in Guyana’s continued progress and nation-building efforts.



By Trina Williams
MINISTER of Natu -
ral Resources
Vickram
Bharrat on Friday issued a direct call to young Guyanese to position themselves strategically for the expanding opportunities emerging from the country’s booming oil and gas sector, urging them to pursue education, certification, and skills that align with future demand.
He delivered the charge during the youth forum at the Guyana Energy Conference and Supply Chain Expo at the Marriott Hotel, Georgetown, where he engaged secondary school students, university students and young professionals on career pathways in the natural resources sector.
“Today, we want young Guyanese to grab opportunities. We want you to take advantage of the opportunities that are before you, and that will come in the future,”
Bharrat told the gathering.
He highlighted that while the future outlook is bright, young people must take deliberate steps to prepare themselves, academically and professionally, to benefit from the unfolding transformation.
“I keep saying that the future for you as young people is a bright one; that you should see the opportunities that are coming your way, and that you should ensure that you develop yourself. You should ensure that you stay in school. You should ensure that you focus on being certified and being
qualified, so that you can grab the opportunities when they come to you, and as young people, you dare to dream. As young people, you must be ambitious,” the minister said.
Bharrat pointed to the recently launched Guyana Technical Training College in Berbice as a clear example of how targeted skills training is already translating into employment. According to him, more than 35 young Guyanese have been trained and deployed on floating production, storage and offloading (FPSO) vessels offshore, with another cohort of approximately 25 currently undergoing training.
“That can be you next year; that can be you the other year,” he told students, underscoring that
the pipeline of opportunities is expanding as production and investment grow.
Additionally, Minister Bharrat urged students to “remove the mental block” surrounding mathematics and the pure sciences, calling for an urgent culture shift in how these subject areas are viewed.
At a time when Guyana’s oil and gas sector is rapidly expanding oil and gas, infrastructure, health and technology sectors are creating growing demand for technical expertise.
While many students express interest in working in oil and gas, the minister stressed that entry into the sector requires strong grounding in science, engineering and technology.
The Minister then told students not to feel pressured to pursue a specific path, but to “do what you love, do what you want”.
The Minister traced Guyana’s unprecedented transformation to the youths, sharing his own personal experiences with when Guyana was once relatively obscure.
“This small country is doing big things today. Our country; this small Guyana is the fastest growing economy in the world. In only five years of oil production, we have become the highest oil producing nation in the world per capita,” Minister Bharrat said, underscoring that this is no easy task to achieve in such a short period of time.
The Minister told the audience of secondary school students, university
students and young professionals that Guyana’s unprecedented development in the oil and gas sector has been recognised by global giants, including Chevron and ExxonMobil.
Today, Guyana is producing over 900,000 barrels of oil per day and is projected to surpass 1.5 million barrels per day within four years, he told the youths, underscoring that this is a major milestone for the nation.
Speaking on the sector’s framework, the Minister noted that the revised petroleum agreements are boosting royalty rates from two per cent to 10 per cent and introducing corporate taxes on operators, noting that with production set to increase, so will future oil revenues.

THE police have detained a 45-year-old office clerk following the discovery of 35.6 pounds of suspected cannabis during an intelligence-led operation on Lombard Street, Georgetown, on Thursday morning.
According to the police in Regional Division 4 ‘A,’ ranks acting on information contacted the North Ruimveldt resident around 11:00hrs and conducted a search of his person, during which a transparent ziplock plastic bag containing leaves, seeds and stems suspected to be cannabis was found.
Further enquiries led officers to a black Toyota
Allion motor vehicle which was searched in his presence. A search of the trunk revealed three large black plastic bags containing 14 bulky parcels wrapped in plastic. The parcels were opened and found to contain leaves, seeds and stems suspected to be cannabis.
The suspect was arrested and escorted to the Ruimveldt Police Station where the suspected cannabis was weighed in his presence and amounted to 35.6 pounds. The narcotic was lodged as evidence, along with the motor vehicle.
The suspect remains in police custody pending charges as investigations continue.


THE Government’s decision to retain international legal counsel in high-profile extradition matters is consistent with established international practice and has been endorsed by respected regional legal experts.
Extradition proceedings, particularly those involving cross-border financial crimes, sanctions regimes, or complex treaty obligations, are rarely routine.
Regional legal authorities say that this is in line with established Caribbean practice and treaty obligations that govern cross-border justice.
Senior Caribbean lawyers and extradition law experts say that hiring foreign lawyers for complicated international cases is seen as a protection rather than an unnecessary cost, especially when the cases involve more than one jurisdiction and
diplomatic issues.
Political commentators, such as WIN parliamentarian and party General Secretary Odessa Primus on her Facebook page, have criticised the State’s spending on legal teams in cases involving businessmen Nazar Mohamed and Azruddin Mohamed.
Legal experts say that extradition cases are very different from regular criminal trials in that lawyers
work at the crossroads of international treaties, foreign evidentiary standards, diplomatic relations, and domestic law.
This requires knowledge that is not always available in one place.
Attorney General Anil Nandlall has publicly said that hiring foreign lawyers was meant to make the proceedings more credible and independent, lowering the risk of claims of political

interference, which is a common concern in politically sensitive extradition cases.
Legal sources said that perception is very important in extradition law. Courts in requesting states must be sure that defendants’ rights are protected and that the proceedings are fair.
They say that having independent regional counsel can help people trust the process more.
The prosecuting legal team from the Caribbean includes Jamaican King’s Counsel Terrence F. Williams, attorneys Herbert McKenzie and Celine Deidrick, and Trinidadian Senior Counsel Douglas Mendes.
Legal experts in the region say that these kinds of agreements are common when national courts have to deal with constitutional and human rights issues that cross borders or interpret extradition treaties.
EXTRADITION CASES WORLDWIDE
Governments in the Caribbean Community (CARICOM) have used foreign King’s Counsel many times to help them with complicated constitutional and extradition cases.
One of the most wellknown cases happened in Trinidad and Tobago, involving former FIFA vice-president Jack Warner
A large international legal team, including British barristers James Lewis and Robert Strang, was retained by the government to prosecute Warner.
Reports from the region said that between 15 and 18 lawyers were involved at different points in the case, which shows the complex nature of such cases, involving treaties and constitutional issues.
Similarly, outside of the Caribbean region, extradition cases have featured foreign lawyers representing the prosecution. The long extradition fight in UK courts over WikiLeaks founder Julian Assange drew teams of international human rights and constitutional lawyers who represented both British and American legal interests.
In Canada, Huawei executive Meng Wanzhou fought extradition to the United States with the help of wellknown multinational lawyers.
The courts looked at sanctions law, diplomatic issues, and treaty obligations.
Other cases show that this is the norm around the world. Shrien Dewani, a British businessman, fought extradition from the UK to South Africa.
There, lawyers from different countries argued about protections and fair trial guarantees.
At the same time, internet entrepreneur Kim Dotcom fought extradition from New Zealand, with lawyers from different countries arguing about cybercrime jurisdiction and digital evidence standards
When it comes to extradition, legal cooperation often goes both ways. The case of Marcus Bisram showed how legal representation across borders secured Guyana’s interests in other countries, showing that international justice systems are based on mutual respect.
Lawyers say these examples show that the need for foreign lawyers in extradition cases is less about politics and more about the technical needs of the case.
Shared responsibility in cross-border justice extradition cooperation often works both ways.
The stakes are very high in the Mohamed case because U.S. officials say he was involved in a multimillion-dollar gold smuggling, tax evasion, and wire fraud scheme.
Legal experts say that mistakes in the process could make Guyana vulnerable to claims that it didn’t live up to its treaty obligations.
One legal source in the region said, “Extradition is not optional litigation.”
“States have to follow the rules of treaties, and cases have to go through a lot of courts, sometimes even international ones,” the expert shared.
Other legal experts say that in the Caribbean region, cases with too few resources often fall apart after long arguments, causing much more damage to the public purse and reputational damage that outstrips the cost of hiring lawyers who specializes in extradition cases.
In that light, Guyana’s approach is in line with established practice in the region.
Legal experts say that the most important thing for the government to do is to make sure that fairness, credibility, and compliance with international law are all upheld, even if that means seeking foreign assistance.
—Minister Bharrat discloses is playing a central role in shaping the country’s future. STEM pathways in Guyana continue to expand, providing both education and real-world application, from robotics clubs and coding workshops to digital initiatives.
PRESIDENT, Dr Irfaan Ali is expected to make a major announcement next week that will focus on expanding opportunities in artificial intelligence (AI) Science, Technology, Engineering, and Mathematics (STEM) for youths.
This was disclosed by Minister of Natural Resources Vickram Bharrat during a youth forum on the last day of the Guyana Energy Conference and Supply Chain Expo.
During a passionate appeal to young people, from high school students to young professionals, the minister said there are “wonderful opportunities” for them.
Minister Bharrat said, “So the President will make an announcement next week. It will be exciting for young people.”
The announcement, he said, is aligned with students’ involvement in Artificial Intelligence (AI) and how interest in STEM will be stimulated.
“There will be wonderful opportunities coming for young people in Guyana, when it comes to STEM, when it comes to AI, there’ll be wonderful opportunities coming in the near future. In the near future, the President will make an announcement next week,” the minister stated.
He also urged youths to take advantage of the opportunities unfolding, especially as Guyana’s rapid development continues.
The minister said, “Today we want young Guyanese to grab opportunities. We want you to take advantage of the opportunities that are before you and that will come in the future. I keep saying that the future for you, as young people, is a bright one, that you should see the opportunities that are coming your way, and that you should ensure that you develop yourself. You should ensure that you stay in school, ensure that you focus on being certified and being qualified, so that you can grab the opportuni-
ties when they come to you and as young people, dare to dream. As young people, you must be ambitious.”
Additionally, Minister Bharrat urged students to “remove the mental block” surrounding mathematics and the pure sciences, calling for an urgent cultural shift in how these are viewed. At a time when Guyana’s oil and gas sector is rapidly expanding oil and gas, engineering, health and technology sectors are creating growing demand for technical expertise.
This year, $183.6 billion was allocated in Budget 2026 to continue modernising the education system, with a strong emphasis on expanding access, improving quality, and aligning learning to the demands of a rapidly changing economy.
Over the next year, investments will target physical infrastructure, teachers education, digital access, and curriculum enrichment, all aimed at empowering citizens to take advantage of emerging economic opportunities.
Further, the Guyana Digital School (GDS) has already begun a nationwide school outreach programme aimed at increasing student awareness of its digital learning platform and expanding access to flexible, technology-driven education.
The initiative involves direct engagement with secondary school students to explain the opportunities available through the GDS, respond to questions, and facilitate onsite registration for those who are not yet enrolled.
The Guyana Digital School, a national initiative conceptualised under the leadership of President Ali, is designed to provide accessible, high-quality education through online platforms. The institution offers flexible learning opportunities intended to complement traditional schooling and promote academic excellence among learners nationwide.
Additionally, as Guyana moves rapidly into a new era of development, STEM


GUYANA is steadily decentralising and expanding power delivery through a range of energy projects, with more than 37 megawatts of renewable energy now installed across several communities.
This is according to Prime Minister Brigadier Ret’d Mark Phillips, who, while addressing the 2026 Guyana Energy conference and Supply Chain Expo earlier this week, said diversifying the country’s energy supply remains central to
the government’s transition agenda, as the country continues to expand renewable generation and modernise its power infrastructure.
He explained that the energy transition rests on three pillars: expanding renewable and clean energy,

upgrading transmission and distribution systems, and building resilience against climate change.
While oil and gas remain important, he noted that Guyana possesses significant, untapped potential in hydropower, solar, wind and biomass and is actively pursuing investment in green innovation to reduce reliance on imported fuels and lower electricity costs for households and businesses.
“Government has been pursuing a clean and just energy transition and developing a diverse energy-supply mix of natural gas and renewable energy, resulting in over 500 MW of newly installed capacity,” he said.
While oil and gas continue to play a central role in the economy, he noted that Guyana possesses significant, untapped potential in hydropower, solar, wind and biomass, which the administration is actively seeking to harness through investment in “green” innovation.
He explained that the move towards a cleaner and more diverse energy mix is aimed at reducing dependence on imported fuels and lowering electricity costs for households and businesses.
“The development of clean and reliable energy also presents socio-economic advantages. Lower energy costs can stimulate industrial growth, support small businesses and improve competitiveness. Access to reliable electricity can transform education, healthcare and daily life, particularly in rural and hinterland communities,” he added.
Since August 2020, more than 186 megawatts of new generating capacity have been added to the Guyana Power and Light (GPL) integrated system, contributing to over 500 megawatts of newly installed capacity from a mix of natural gas and renewable sources.
Upgrades to the national grid are under way, alongside the rollout of solar farms at Onderneeming, Charity, Leguan, Wakenaam, Trafalgar, Prospect, Hampshire, Bartica, Mahdia and Lethem. Mini-hydropower plants at Moco-Moco, Kumu and Kato have also been completed, 46 solar mini-grids installed and more than 37,000 solar home systems distributed, resulting in over 37 megawatts of renewable energy now powering communities.

CARBON TRANSPORTATION/ PUBLIC AWARENESS
He announced efforts to promote low-carbon transportation, with 23 electric vehicle charging stations set to be installed nationwide to support the emerging domestic electric vehicle industry.
Energy efficiency and conservation measures are also being advanced through public-education campaigns, appliance energy-labelling standards and equipment-replacement initiatives.
Under the Caribbean Efficient and Green Energy Buildings Project, more than 250 public buildings are targeted for retrofitting and distributed solar photovoltaic systems.
“Energy access must be equitable. It must reach our coastal regions and our hinterland villages. It must support both urban development and rural livelihoods. Through solar initiatives and decentralised energy systems, we are working to bring electricity to communities that have long relied on traditional and less efficient sources,” the Prime Minister added.
He further highlighted Guyana’s environmental stewardship, noting the country’s record of maintaining one of the lowest
global deforestation rates. Through the Low Carbon Development Strategy (LCDS) 2030, Guyana has pioneered jurisdictional carbon credits under the ARTTREES standard, secured a US$750 million forest-carbon credit agreement, and ensured that at least 15 per cent of revenues flow directly to Indigenous and hinterland communities.
“Environmental stewardship has always been central to Guyana’s national identity. We are proud of our track record in maintaining one of the lowest deforestation rates in the world,” he said, adding:
“Clean and renewable energy development is more than just technology and infrastructure. It is about the people of our nation and ensuring equity and opportunity, so that every citizen benefits from the energy transition and adverse impacts are minimised.
He reiterated that the government would continue creating opportunities through “green” education and training in renewable energy and energy-efficiency technologies, equipping a new workforce to lead the charge in innovation.
This year’s energy conference was held under the theme: ‘Building tomorrow’s future, today.’
THE Ministry of Tourism, Industry and Commerce has unveiled a full calendar of events to mark Guyana’s 60th Independence Anniversary, with nationwide activities scheduled between May 15 and 31, 2026 as part of the Diamond Jubilee celebrations.
Guyana will commemorate six decades as an independent nation on May 26, 2026 and the ministry is inviting citizens and visitors alike to participate in a diverse series of cultural, heritage and entertainment events designed to showcase the country’s history, achievements and national identity.
According to the ministry, the Diamond Jubilee observances provide an opportunity for reflection on Guyana’s developmental journey while honouring the resilience, unity and progress that have shaped the nation over the past 60 years.
In a message accompanying the calendar, Minister of Tourism, Industry and Commerce Susan Rodrigues said the milestone represents a significant moment in the country’s history and an opportunity to celebrate the people and traditions that
define Guyana.
“As Guyana commemorates its 60th Independence Anniversary, we proudly celebrate six decades of nationhood shaped by resilience, unity, and progress. This milestone provides an opportunity to reflect on our journey, honour our heritage and recognise the people who continue to shape our national story,” the minister stated.
Rodrigues noted that the calendar highlights the richness of Guyana’s culture and traditions, while extending an open invitation to international travellers to experience the country during this historic year.
“I encourage all Guyanese, at home and in the diaspora, to participate fully in these celebrations as we honour our past and confidently embrace the future,” she added.
The Diamond Jubilee calendar also outlines major events scheduled throughout 2026, including Republic Day celebrations on February 23, Holi observances, World Consumer Day, the Ramadan Village, Bartica Regatta, Rupununi Rodeo, Easter Monday activities, Independence celebrations, the
Origins Fashion Festival and the Global Super League, among others.
The initiative aligns with the ministry’s broader strategy to strengthen the ‘Destination Guyana’ brand and expand the tourism sector by providing a structured annual events framework for visitors and industry stakeholders.
Following her appointment in September 2025, Minister Rodrigues committed to developing a national calendar of events to allow travellers to better plan visits to Guyana while enabling hoteliers and tourism operators to market their services more effectively and remain competitive within the regional hospitality industry.
The calendar is expected to serve as a key promotional tool, giving potential visitors a clear overview of major national and cultural events and enhancing the overall visitor experience.
Persons can access the full Diamond Jubilee calendar of events via the ministry’s official Facebook page or through the Guyana Tourism Authority’s website at https :// guyanatourism . com / diamondjubilee



By Trina Williams
AS part of the efforts to ensure more young people take advantage of the opportunities in the oil and gas sector, Minister of Natural Resources Vickram Bharrat said that an education programme will be launched in secondary
government ministers, will engage fourth and fifth form secondary school students, outlining opportunities within the oil and gas industry and the broader natural resources sector.
“…We need to do more education with regard to oil and gas. We need to speak to young people more about the
The ministry partners with a wide range of agencies to deliver a rich and diverse training experience. These include the Environmental Protection Agency (EPA);

A section of Friday’s youth forum at the Guyana Energy Conference and Supply Chain Expo, which was held at the Marriott Hotel, Georgetown
schools to improve awareness and understanding of the industry.
He made these remarks during Friday’s youth forum at the Guyana Energy Conference and Supply Chain Expo, which was held at the Marriott Hotel, Georgetown. The minister at the time was responding to a young person asking how one can establish a career in the oil and gas sector.
The Natural Resources Ministry will collaborate with Minister of Education Sonia Parag and Minister of the Public Service, Government Efficiency, and Implementation Zulfikar Ally to roll out the nationwide outreach programme.
Under the initiative, Minister Bharrat, alongside other
opportunities in the oil and gas sector,” Minister Bharrat said.
He also referenced the Ministry of Natural Resources’ Youths in Natural Resources Apprenticeship Programme as an example.
This annual initiative aims to expose youth to the diverse career pathways available within the natural resources sectors, including mining, forestry and oil and gas. Through a series of hands-on activities, field visits and mentorship opportunities, participants will gain a deeper understanding of Guyana’s natural wealth and the operations that support its development.
the Guyana Forestry Commission (GFC); the Guyana Geology and Mines Commission (GGMC); the Guyana Gold Board; Iwokrama; ExxonMobil Guyana; Guyana Gold Fields; the National Agricultural Research and Extension Institute (NAREI) and the University of Guyana’s Department of Science and Technology and the Institute of Applied Science and Technology.
Guyana’s oil and gas industry has expanded rapidly since its first production, and this has resulted in thousands of jobs being created.
The government has repeatedly emphasised the need to build local capacity so that more Guyanese can participate meaningfully in the sector
The programme is designed to foster a greater appreciation of the environment and the extractive industry, with guidance provided by experienced instructors and professionals from across the sector.
AS power demand increases amid Guyana’s unprecedented economic boom, construction of the second phase of the gas-to-energy (GtE) plant is expected to start this year, according to Head of the country’s Gas-to-Energy Taskforce, Winston Brassington.
Brassington, during a panel discussion on Thursday at the Guyana Energy Conference and Supply Chain Expo, disclosed that five firms have already been pre-qualified under a second Request for Proposals (RFPs)
and communities.
The GtE, a vital piece of Guyana’s development, is progressing well and is closer to fruition. It represents Guyana’s determination to use its natural resources to lower costs, expand industries and create new opportunities for citizens. With over two-thirds of the work already done and strong collaboration among the government, ExxonMobil Guyana and contractors, the project is moving steadily towards completion.
The benefits of the GtE project extend beyond power,
will power Guyana’s next phase of growth.
Beyond the GtE project, Minister Indar said that the government is pursuing a diversified energy mix, with plans including the 165 megawatts from the Amaila project-- which has already gone out back to Request for Proposals (RfP)-- and an additional 100 megawatts of solar power to be added to the grid in the next five years.
The gas-to-energy project falls under the purview of the Office of the Prime Minister and continues to benefit from

for another 300 megawatts (MW) plant, with bids expected by the end of March.
Giving an update on the GtE project, he reiterated that part of the first phase of the Wales project will be operational by the end of this year, which will see 228 MW of power being delivered.
By mid-2027, the entire project should be completed, Brassington stated.
“So, we’re doubling from 300 megawatts of combined cycle power with gas to 600 and we expect construction of that to start this year, because we need the additional power ASAP,” Brassingston said.
With plans for natural gas-fired plants totalling up to 600 megawatts under phased development and the commissioning of the first 300-megawatt plant anticipated this year, the strategy is to reduce emissions from the power sector, while lowering electricity costs for consumers and improving reliability across industries
as it also has the opportunity to produce local fertiliser, which could reduce reliance on imports and save foreign currency.
The 1,400-acre Wales Development Zone is being developed around the core infrastructure of the GtE plant, positioning it as the centrepiece of Guyana’s emerging industrial landscape.
President, Dr Irfaan Ali had previously emphasised that the GtE project is not just about a pipeline and power generation, but about building the foundation for a diversified, production-driven economy.
He noted that the integration of industrial facilities within the development zone will help create thousands of jobs, reduce operational costs, and boost competitiveness across multiple sectors.
According to the President, the project represents a major leap toward industrialisation and energy security, transforming Wales into a dynamic economic hub that
sustained government oversight as it advances through critical implementation phases.
The GtE facility comprises two integrated components working in tandem: a combined gas processing and Natural Gas Liquids (NGL) plant, and a power-generation plant.
The facility is designed to receive approximately 50 million cubic feet of gas per day from offshore production, which will be converted into electricity and marketable gas products, aimed at maximising the value of Guyana’s natural resources.
The power-generation component will utilise four SGT-800 gas turbines operating in a combined-cycle configuration, which will deliver a total generation capacity of approximately 300 megawatts.
The control rooms for the transformative gas-to-energy project were transported to the project site back in January.


THE Guyana Consulate in Toronto last Saturday joined fellow CARICOM nation Grenada in commemorating its 52nd Independence Anniversary during a grand gala that brought together members of the Caribbean Diaspora, diplomats, and international representatives in Toronto, Canada.
half of President Dr. Mohamed Irfaan Ali, extending best wishes to Grenadian officials and diaspora members. Among those present were Grenada’s Minister of Mobilization, Implementation and Transportation, Andy Williams; Grenada’s High Commissioner to Canada, Sylvester Quarless; Con-
Guyana and Grenada share a long-standing relationship rooted in cooperation across trade, industry, technical exchange, and cultural collaboration, both bilaterally and through regional mechanisms such as CARICOM.

Guyana’s Honorary Consul, Mani Singh represented the Government and people of Guyana at the prestigious event, which formed part of a wider celebration marking Grenada’s independence milestone. The gala was attended by senior officials and members of the diplomatic corps, highlighting the close ties shared among Caribbean nations and their overseas communities.
Speaking during a cocktail reception preceding the formal programme, Singh conveyed congratulations on be -
sul-General in Toronto, Gerry Hopkin; and Ambassador for Diaspora Affairs, Terrence Forrester.
The Guyanese representative also engaged with several prominent figures, including Canadian Member of Parliament Ahmed Hussen, and Grenada-born trailblazer Jean Augustine, the first Black woman elected to Canada’s Federal Parliament, and the legislator who piloted the Bill establishing Black History Month in Canada.
Hussen previously served in the cabinet of former Canadian Prime Minister Justin Trudeau.
That partnership was most recently demonstrated in 2024, when Guyana led regional assistance efforts after a devastating hurricane struck Grenada. Under the supervision of President Ali, Guyana dispatched relief supplies, including generators, water purification tablets, chainsaws, batteries and hygiene items, to support recovery efforts and assist affected communities.
The Toronto celebration underscored the enduring solidarity among Caribbean nations, and the important role diaspora communities continue to play in strengthening regional unity abroad.
WITH its maritime and logistics hub continuing to rapidly accelerate, coupled with the plans for a deep-water harbour and other port facilities, Guyana is drafting modern, new port legislation with technical support from the United Arab Emirates (UAE), Qatar, the United States, Canada and Jamaica, Attorney-General and Minister of Legal Affairs Anil Nandlall, SC, has disclosed.
He made the announcement on Thursday at the Guyana Energy Conference and Supply Chain Expo which was held at the Marriott Hotel in Georgetown, as discussions highlighted the growing importance of maritime infrastructure in underpinning the country’s economic transformation.
“We heard a lot about deep-water harbour and modern port facilities that cannot operate without a modern legislative framework.
We are working again with [the] UAE. We are working with Qatar. We are working with the Canadians, the US and Jamaica in crafting a most modern port- type legislative framework for the building out of Port Georgetown, Port Berbice, and a deep-water harbour,” Nandlall told delegates.
He explained that the proposed legislation forms part of a broader legal reform agenda designed to align Guyana’s regulatory
environment with the demands of a fast-evolving, energy-driven economy. Several other areas of legislation are also being prepared to support emerging industries and new infrastructural investments.
The Attorney-General reiterated that Guyana’s “unprecedented” national transformation is anchored in the rule of law and a strong regulatory framework, particularly within the oil and gas sector, which he said has served as a catalyst for growth across the wider economy.
“By international metrics, Guyana is by far the fastest-growing economy in the world. The transformation in the country is unprecedented. It permeates every area of human endeavour,” he noted.
According to Nandlall, the oil and gas industry is not operating in isolation but is driving expansion in non-oil sectors, evidenced by a commercial surge that saw 36,251 new businesses registered in 2025 alone.
He added that Guyana’s legal architecture is evolving in tandem with this growth to ensure transparency, accountability and investor confidence.
Further, the Minister of Legal Affairs highlighted that as Guyana transforms, so is its legal architecture.
Nandlall made it clear, “Guyana is transforming, and we have the legislative framework, the regulatory framework that will create the cradle from which all
these industries are going to be conceived, born, weaned and flourish.”
Among the major legal reforms on the horizon is a comprehensive overhaul of the Companies Act, first enacted in 1991. Nandlall acknowledged that the current legislation is inadequate for regulating the complexities of a modern, fast-paced and increasingly digital economy.
A consultant has already been engaged and consultations with the private sector and key stakeholders are expected to begin shortly.
Guyana’s maritime sector has recorded a significant uptick in activity, with vessel traffic and port calls increasing by 67 per cent between 2020 and 2025.
This growth, officials say, is the result of deliberate policy decisions focused on infrastructural development, regulatory strengthening and institutional reform.
Since 2020, the government has implemented a series of upgrades aimed at improving port efficiency, maritime safety and navigational capacity across the country’s waterways.
Central to these efforts is the creation of a comprehensive regulatory and institutional framework to govern port operations and
See page 20




logistics services.
Earlier this week, President, Dr Irfaan Ali, said Guyana will intensify engagement with regional and international partners as it moves to position itself as a transshipment hub and fast-track the building of a deep-water port and other gas infrastructure projects.
Central to the government’s plan is the development of the modern deep-water port that will harness Guyana’s proximity to the Atlantic Ocean. By establishing this port, Guyana and Northern Brazil can become the leading country and region in transport and logistics.
Last year, President Ali had announced plans for crafting of a new Port Act and the establishment of an independent Port Authority, both geared towards reshaping the country’s maritime future.
“We want our ports to be competitive, reliable and future-ready. That is why we are designing a modern Port Act… It will govern the development, regulation and oversight of port operations in Guyana. It will ensure safety, efficiency and transparency in the maritime sector,” the President had said.
President Ali explained that the independent Port Authority will provide professional, impartial oversight, ensuring the sector operates at a standard that reflects a growing, globally connected economy.
“The goal is to ensure that oversight, regulation and operations are managed professionally, independently, and in the best interest of the country,” he said, adding that the legislation and regulations supporting the Authority will be aligned with international best practices.
Noting that the shipping sector has long played from the sidelines, President Ali encouraged the Association to take a more active role in shaping national development.
He also challenged shipping magnates such as John Fernandes Limited and Muneshwers Limited, two major Guyanese companies, which form a joint venture called Cranes Guyana Inc., to lead the charge in public awareness and investment collaboration while urging others to follow suit.
Last year, the two shipping rivals merged to leverage their expertise and capital to create Cranes Guyana, a joint cargo and freight company to meet the growing demands of Guyana’s development. The entire project cost US$14 million.
The two moguls are working to build a $285 million port facility in Berbice, which is set to create some 1,000 jobs.
THE police have signalled their intention to appeal the decision of Senior Magistrate Fabayo Azore, who on Friday found former Assistant Commissioner of Police Paul Slowe not guilty of three counts of sexual assault.
Magistrate Azore, at the Georgetown Magistrates’ Court ruled that the prosecution had not met the high threshold of proof required in criminal cases, noting that the evidence presented by both the prosecution and defence was of equal weight.
“The magistrate based her ruling mainly on the fact that the evidence of the prosecution and the defence is of equal weight and the law is clear that when this is the case the benefit of the doubt must go to the accused. The court added that it cannot say that it is sure of the accused’s guilt and that conclusion is not a finding that the complainant fabricated her evidence, it is a recognition that the prosecution has not met the high threshold required by law,” a release from the police said.

Slowe had been charged on October 15, 2021, with three counts of sexual assault, contrary to Section 4(3) of the Sexual Offences Act, Chapter 8:03.
The charges stemmed from a report by a female police officer who alleged that on three occasions in March and April 2019 at Police Headquarters, Eve Leary, Slowe had sexually assaulted her.
Senior Police Legal Adviser and Attorney-at-Law Mandel Moore appeared on behalf of the prosecution. The police have since indicated that they will challenge the magistrate’s ruling at the appellate level.
Back in June 2025, Magistrate Azore had ruled that Slowe must lead a defence in the case, following her decision to dismiss a no-case submission brought by his legal team.
The ruling was handed down whereby Magistrate Azore had determined that the prosecution had presented sufficient evidence to warrant the continuation of the matter.
The allegations were first reported by the female police officer, prompting an investigation that culminated in the charges. The police also indicated that Slowe subsequently made public comments via social media that were directed at the complainant.
According to the police, those comments further traumatised the alleged victim and breached the protective provisions of the Sexual Offences Act.
The Act, which specifically seeks to shield the identity and dignity of complainants in sexual- offence matters, prohibits public commentaries that could lead to the identification or targeting of the victim.
As a result of those social-media remarks, police investigators compiled a separate case file which was sent to the Director of Public Prosecutions (DPP).
Last year, upon review, the DPP, recommended that Slowe also be charged with “Anonymity for Complainant in Press Reporting” —an offence under the Sexual Offences Act.
It is a criminal offence that prohibits the publication or broadcasting of any information that could lead to the identification of a complainant (victim) in a sexual-offence case.




MINISTER of Local Government and Regional Development, Priya Manickchand, has signalled that a nation-wide assessment of public markets is underway, with similar outreach visits to continue across Guyana as government moves to craft a coordinated rehabilitation plan for these critical community and economic spaces.
The minister on Friday engaged vendors and market officials during a walkthrough of the East La Penitence Market, following a recent visit to the East Ruimveldt Market, as part of ongoing consultations to evaluate conditions and identify priority interventions.
During the engagement, vendors outlined several
pressing challenges affecting daily operations, including persistent flooding during rainfall, deteriorating roof structures in urgent need of repair, and the overall physical condition of the facility, which they said has contributed to a decline in customer turnout.
The lack of adequate parking was also raised as a major constraint, with shoppers often finding it difficult to access the market conveniently.
Minister Manickchand acknowledged that these issues not only undermine vendors’ ability to conduct business in a safe and comfortable environment, but also discourage customer traffic, ultimately affecting livelihoods and the vibrancy
of the marketplace.
She stressed that public markets must be clean, secure and structurally sound to effectively serve their as key community and economic hubs.
The minister reaffirmed government’s intention to pursue targeted rehabilitation works to address drainage and flooding concerns, repair and upgrade roofing infrastructure, enhance sanitation, and explore solutions to improve accessibility and parking arrangements.
She highlighted that continued engagement with vendors will guide the design and implementation of these interventions to ensure they reflect the practical needs on the ground.
The ongoing consulta -

Minister of Local Government and Regional Development, Priya Manickchand engaged vendors and market officials during a walkthrough of the East La Penitence Market
tions form part of a broader national effort to restore public markets as spaces of pride, where vendors can operate successfully, customers can shop comfortably, and communities can gather in safe and welcoming environments.
Works to enhance the capital city’s municipal infrastructure will continue this year, with government allocating $2 billion in Budget 2026 for rehabilitation of the Stabroek Market and Bourda Green, alongside upgrades to key avenues and other major locations across Georgetown.
The allocation forms part of a $2.84 billion sum under the Georgetown Restoration Initiative approved by the Parliamentary Committee of Supply last week. The
package also includes $100 million for further improvements to the Transport and Harbours’ old carriageway on Lamaha Street, $200 million for avenue enhancements within the city, $150 million for rehabilitation of the Municipal Training Council central area, and $35 million for the design and installation of street name signs in Georgetown.
The broader budget for the ministry totals $36.6 billion, comprising $33 billion for local government development, $596 million for policy administration and $3.2 billion for regional development. Of this, approximately $18 billion is earmarked for rehabilitation works at markets across the country, including Port Kai-
tuma, Bath, Railway Line Market, Unity, Rose Hall, Port Mourant, Number 79, Lethem and Plaisance.
Additionally, just over $404 million has been allocated for Guyana’s first cultural market, to be executed in three phases, while $2.8 billion was approved to support municipalities and Neighbourhood Democratic Councils, with municipalities receiving $50 million and NDCs $30 million each in subsidies.
Further support includes $5.9 billion for the Solid Waste Disposal Programme, with about $400 million directed to the Haags Bosch site at Eccles and $150 million to the Lusignan landfill.
























CMC – West Indies captain Shai Hope has given the assurance that his team is fully locked in as they bid to lift the ICC Men’s T20 World Cup for an unprecedented third time.
The Windies ended the preliminary rounds with an unbeaten record after dismissing Italy by 42 runs on Thursday to finish top of Group C with a maximum eight points from their four matches.
Speaking at a post-match press conference, Hope, who was named Player-of-theMatch after top scoring with 75 off 46 balls, said each player had embraced his respective role, and was committed to doing what was necessary for the team to be successful.
He said there was an aura that permeated the camp, pointing out that everyone was on the same page as they headed into the Super Eights, where they will face Zimbabwe, South Africa and India.
“There’s a different level of enthusiasm and focus when it comes to a World Cup. This is a big tourna-

ment, this is the biggest stage and we all want to be there at the end.
“We know what it takes to get there and if you want to be the best team at the end of the tournament then you have to ensure that you’re doing the necessary things to give yourself the best chance of lifting that trophy,” Hope said.
“So the focus, the discipline, the clarity, the execution, the willingness to want to do the hard yards and go the extra yard for the team, all of those things have to come together as a collective, and as you can see from the outside and I can definitely tell you from within, I can feel it.
“We really want it and we’re just playing every single game day by day, not thinking too far ahead, staying in the present and whatever we need to do to try to win. That’s what we’re going to try and focus on every single time,” he added.
While admitting there were areas that needed to be improved, Hope said he was generally satisfied with the win over Italy.
He said it was important for them not to look too far ahead even though their focus was on winning the tournament.
“We’re just taking it one
game at a time. We have to make sure we’re playing our best cricket regardless of the opposition we’re playing against.
“We saw the threat that Italy posed in the competition, so there were no stones left unturned here today.
“We played another good game of cricket, probably could improve on some areas, but I’m still happy with the way the guys are going and the momentum is going in the right direction,” Hope maintained.
“…There’s always some area that you can improve on in every single game. We can’t look too far ahead; we’re making sure that we focus on what is in front of us, not necessarily harping too much on the areas that we fell short in, just about giving the guys the confidence that they duly need, especially going into the crunch time of the tournament when you really need to be firing.
“But we also know that in any sport, everyone is not going to fire every single day. So especially in a team sport, the important thing is when one of your teammates is down, the other guys have to ensure that we pull them up and pull some slack for them. That’s the way how tournament play works, especially in a big tournament like this…” the skipper added.
• From Page 47
Hamid, also a former FIFA Assistant Referee, noted, “We focus on military personnel and teachers to participate in refereeing, because we know the discipline, the discipline, the research and all the logistics that they are accustomed doing in school, it’s the same processes they will have to bring to refereeing.
“So, having this programme is a plus for the LABA, it’s a plus for basketball in Region 10 an I hope that it doesn’t stop here because I am available any time to do a next one, not only the theological aspect but having them do the practical aspect in games where we can assimilate fouls and see how they react to it and how they can withstand to pressure.”
Looking at the assistance given from those former players and officials who are living in the United States, Hamid said: “But having this done by Ms. Barker and the NABORS organization of New York, it shows that these persons that migrate to America still have interest to see basketball moving forward in Linden.
“Now it’s upon us who live in Linden to continue to give back and to continue to the development of basketball through youths, not pushing away the seniors, but seniors must understand that they too have a role to play in the developmental aspect of the game.”
There were twenty-two teachers in the one-day clinic.

ENGLISH RACING TIPS
hrs Katate Dori
CUMMINGS ELECTRICAL COMPANY LTD83 Garnett Street, Georgetown (Tel: 225-6158)
Answers to yesterday’s quiz: (1) AUST defeated Oman by 9 wickets (2) Adam Zampa (AUST)
Today’s Quiz: (1) Which Group A teams are into the Super Eight stage of the current T20 World Cup? (2) Which Group B teams have qualified?
Answers in tomorrow’s issue.

(ESPNCRICINFO) - The disappointment was written large on the Australian faces. They didn’t celebrate any of the Oman wickets, but in a clinical show with bat and ball, they managed to end their 2026 T20 World Cup on a high, defeating Oman by nine wickets in Pallekele.
Adam Zampa, who went wicketless against Zimbabwe and Sri Lanka, got back to his best; he picked up 4 for 21. Xavier Bartlett and Glenn Maxwell took two wickets apiece as well, bowling Oman out for 104 in 16.2 overs.
In reply, the Australia openers, Mitchell Marsh and Travis Head made light work of the target, adding 93 off 49 balls for the opening wicket.
Marsh smashed an unbeaten 64 off 33 balls, while Head finished with 32 off 19. Australia chased down the target in 9.4 overs. Josh Inglis hit the winning run but there was hardly any celebration in the Australian camp.
The result meant little to the overall context of the tournament, with Australia already out of the running for the Super Eight.
They end their tournament with two wins


in four matches, while Oman failed to get any points on the board, going down convincingly in all their four games.
Bartlett shines
There was a statement made by the Oman captain Jatinder Singh before the game that they were ready to “crush Australia.”
The batters very quickly found out that it would not be that easy. On a surface that was under covers for a while before the start of the game, with rain around too, Australia had no hesitation in bowling. Bartlett got the ball to move in sharply and rattle Kaleem’s stumps first ball.
It was a length ball that started outside off and hooped back into the left-hand batter. Kaleem, who went for a big heave, got a teeny-tiny inside edge that hammered into leg stump.
Glenn Maxwell dropped a sitter at first slip, but Karan Sonavale’s innings lasted just 11 balls. He lifted Nathan Ellis slower offcutter over mid-on but was cleaned up by a hard length delivery immediately.
Jatinder struck three crisp boundaries during his 15-ball 17 but was undone by a fuller-length Bartlett delivery. It landed on off stump and Jatinder, who was rooted in his crease, failed to cover the line and saw his stumps take a beating.
Hammad Mirza ended the powerplay by carving Cameron Green for six over deep point. Still, at 47 for 3 after six, this was Australia’s powerplay.
It seemed as if Head and Marsh wanted to vent out their frustration and the Oman bowlers got caught in the midst of the storm. Marsh collected 14 runs off the opening Shafiq Jan over and never looked back. He drove, punched and got an outside edge for three fours. He should have been dismissed on the final ball of the over, when replays suggested that a fuller-length Shafiq delivery struck his pad first, and then bat. The ball was slamming into leg stump but none of the Omani fielders appealed.
That led to utter carnage in the next five overs. Spin was introduced in the second over in the form of offspinner Jay Odedra. Marsh lofted him straight down the ground for six, while Head hacked him over his head for four.
Shariq’s second over was hammered for 16, before Marsh and Head struck a four each in Shakeel’s second over.
Wasim, introduced in the last over of the powerplay, was thrashed for 0, 4, 6, 4, 0, 4 by Marsh, who raced to 53 off 26 balls. Australia amassed 73 in the powerplay, having slammed 11 fours and three sixes.
(CMC) - In a captivating contest at the National Stadium on Friday, Sri Lanka Women’s spinners orchestrated the telling blow to help their side to seal a narrow 10run victory over the West Indies Women in the first One Day International, taking a 1-0 lead in the three-match series.
The visitors posted a competitive 240 for six before their slow bowlers combined to bowl the hosts out for 230 with just two balls remaining in the innings, leaving the sparse Grenadian crowd stunned.
The foundation of Sri Lanka’s total was laid by a magnificent 66 from Harshitha Samarawickrama, who combined stability with aggression during her 105-ball knock.
She found able support from opener Hasini Perera, who struck a fluent 61 from 81 balls to give the innings early impetus.
The pair batted with maturity and poise to take their team from 49 for one to 135 in the 32nd over, before Paerera was caught off Aaliyah Alleyne.
Just when West Indies, led by the ever-reliable Hayley Matthews 2-46 and Karishma
Ramharack 2-57, looked to have wrestled back control, Samarawickrama engineered valuable lower-order runs to push the total past the 230-mark.
Captain Chamari Athapaththu chipped in with 27, with Kavisha Dilhari providing a useful cameo of 22, while Vishmi Gunaratne remained unbeaten on 16 as the tail wagged effectively.
In reply, the West Indies innings never truly found its rhythm. The hosts slumped to 49 for three, then 80 for five, as left-arm spinner Inoka Ranaweera began working her magic.
The 40-year-old veteran finished with phenomenal figures of 10 overs, one maiden and 4 for 44.
Just when it seemed the game was slipping away, 22-year-old Jannillea Glasgow showed her international pedigree with a composed maiden ODI 50 to go along with a classy half-century from the wily old veteran Stafanie Taylor.
The young batter Taylor resurrected the innings with an 89-run partnership for the
(ESPNCRICINFO) –
Canada were one of two teams who had been part of the T20 World Cup in 2024 but had to wait for this one in 2026 to play Full Member opposition once again. Saad Bin Zafar, who was their captain two years ago, looked to the ICC to help change this situation.
“I think if there’s one thing that I would like to change it would be Associate countries getting more opportunities to compete against some of the best nations because that’s the learning ground, that’s where you learn,” he said after Canada were defeated by Afghanistan in their final Group D game.
Bin Zafar also pointed out a geographical handicap that Canada must contend with. “It’s also hard for us because we don’t fall under areas like Asia or some region, because Asian teams they get to play Asia Cup and a few other tournaments,” he said. “We don’t have anything like that.
“So if we can start something like that where ICC can help us play some of these regular countries a couple of games throughout the year, it will give us more exposure and more experience, then we can reflect and learn from them and come better prepared.
“Because at World Cups, you are thrown right against the bigger opponents. We don’t get any prior experience coming to the World Cup. So I hope that’s something that ICC can do for us as Associate nations.”
Playing in front of big crowds over the last couple of weeks was one of those new experiences. “Obviously, there is a lot of mental pressure there when you play in front of the crowd, in front of the mass audience - not just the crowd at the ground but also the very fact that the whole world is watching you,” Bin Zafar said. “It puts you under a lot of pressure but as cricketers we have to find ways to control our nerves and
focus on the job on hand.
“In Associate cricket, even if we play without crowds we have other kind of pressures. A lot of the tournaments we play, our qualifications are on the line whether we have to play a tournament to regain our ODI status or to qualify for a World Cup. So it’s a different kind of pressure but that’s pressure itself. So as cricketers we are just used to controlling the pressure and staying present.”
Canada finished their T20 World Cup campaign with four losses from four games but there were still positives to take home.
“A few individual performances,” Bin Zafar said, “Yuvraj [Samra] is one of them, Harsh Thaker had a few good knocks, bowling wise Ansh Patel, myself we picked up a few wickets, Kaleem Sana had a few good spells. So all in all a few individual performances but it’s disappointing that we couldn’t have a complete game.”
sixth wicket that brought the crowd to its feet and swung momentum firmly back to the hosts.
Taylor, typically elegant in her strokeplay, looked destined to guide her team home before a disaster struck, as she was run out for a brilliantly crafted 66 from 83 balls with five fours and a six.
The wicket proved the turning point as the required rate climbed. Glasgow brought up her 50 in style, but her dismissal triggered somewhat of a collapse.
The lower order felt the weight of the task and the pressure of mounting required runs, losing their last four wickets for 61 runs.
Dilhari with 3-49 returned to clean up the tail, leaving Alleyne stranded on 24 not out as the final wicket fell.
Ranaweera, whose spell in the middle overs choked the life out of the West Indies chase, was deservedly named Player of the Match.
The two sides go at it again in the second ODI on Sunday.

UNIVERSAL Machines and Parts
(SANY Guyana) on Friday made a donation of a million dollars towards Guyanese Olympian Keevin Allicock.
The handing over was done on the sidelines of the Guyana Energy Conference and Supply Chain Expo at the Marriott hotel.
The boxer is preparing for the Central American and Caribbean boxing qualifiers set for next month in Mexico, and a professional bout here next month.
SANY Guyana made the presentation at a simple ceremony at their company’s booth at the exhibition.
The company says the move is part of their continued commitment to local excellence and national pride by supporting the pugilist Allicock towards his upcoming national featherweight title fight.
Allicock will fight on the undercard of the ‘No Love Lost’ card, and will be coming up against Dexter Marques.
He was full of praise for the company’s timely and tangible support towards his career.
“It is exciting news for me, I’m so happy. When I reached out to them, they accepted my request, and offered to meet with me.
“It is an overwhelming feeling, but I’ve worked hard, and this is what you get when you make the sacrifice, heading towards the CAC trials,” he said, adding: “So, I will be there fighting, and after that, I will be back home fighting on the 28th. This is a great help; I’m so happy the company’s coming together to give me the support that I need.”
He expects a tough battle from Marques when he returns home.

“I will be fighting against our very own Dexter Marques; he has a good record, but I’m young, prime, and ready to do it,” he said, adding: “This is my time; my era, and this is where the dream continues.”
Allicock, who’s been representing Guyana at the international level, says this is a partnership.
“This is not just a one-off sponsorship that I’m getting from SANY; this is more of a partnership,” he said.
“I will be signing a contract to become the brand ambassador for this company, and they are willing to support me, and take me to the next level.
“So, like I said, I can do it on my own. This is what I need; the support to take me to the next level in my amateur and professional career.
“So, I’m truly grateful. Thank you, guys, for accepting me in the family. From here, the sky is the limit, and I want to say thank you to God for making this dream come through.
“I always dream about moments like this, and here I am. Great sacrifices bring great success, and this is what you reap; the benefit.”
SANY said this highlights the importance of corporate investment in developing Guyanese athletes competing at the highest level.
The main event of the “No Love Lost” bout will pit Guyanese Elton Dharry, who is seeking to claim his first world title, when he goes face-to-face with Tanzanian Salmin Kassim for the IBO Super Bantamweight World Title.
MORE of the nation’s top young athletes will today continue their quest towards qualification for the CARIFTA Games 2026.
The Athletics Association of Guyana (AAG) is staging its third trial on the ‘Road to CARIFTA’ programme at the National Track and Field Centre at Leonora, West Demerara, starting at 10.00hrs.
After two trials were held, eighteen (18) athletes either gained qualifying times or marks to be eligible for selection to represent Guyana at this year’s Games, set for Grenada from April 4-6.
The 18 athletes named include three who are United States-based, namely, three-time 400m Gold Medalist Tianna Springer, Malachi Austin, and Athaleyha Hinckson.
The locals are U-17 athletes Tessianna Harris and Angel Jeffrey, both for the 100m, Omari Welch 100m, Jarel Campbell, the long jumper, and Keimal Gishard
the triple and high jumper.
For the Under-20 athletes, the 100m qualifiers are Onesi Dunn, Gordon Thompson, Jeremiah George, and Jaheim Gravesande, while the 200m athletes are Walton Alleyne, Deuquan Farrell, Skylar Charles, and Tishawn Easton.
The Under-20 400m runners will be Kaidon Persaud and Tishawn Easton, while Javon Roberts has qualified for the 800m event. United States-based Under-20 athlete Austin will contest the 200 and 400m races, Hinckson in the 100 and 200m races, and Springer defending the 400m event.
Several athletes are representing locally- based clubs from all over Guyana, including those from the Police Progressive Youth, Running Braves, Hopetown Flames, Upper Demerara, Christianburg/ Wismar Secondary, Guyana Defence Force, Mercury Fast Laners, Team Nice, Tytans, and the Super Upcoming Runners are also aiming for qualification status.

By Sean Devers
IN sweltering heat at the Police Sports Club Ground, at Eve Leary, Arun Gainda and Kaylan Callender shared eight wickets between them to spearhead East Coast to an emphatic eight-wicket win over East Bank in yesterday’s second round of Demerara Cricket Board (DCB) Inter-Association 50-over U-19 tournament.
In a frugal six-over spell, Man-of-theMatch Gainda took 4-3, as the skipper led from the front.
Gainda conspired with Callender, who captured 4-18 from 5.5 overs, to decimate the East Bank lineup for a paltry 46 from 21.5 overs.
It took East Coast just 8.3 overs to overhaul the victory target as they raced to 49-2. East Bank elected to bat on a good track and fast outfield, and quickly slipped to 2-9 as Vijai Kalpu struck twice.
Kalpu had Shane Kissoondeo stumped for a duck before he sent Dilshan Latchman’s stumps for a walk, after he’d managed just five runs.
Shane Shivbarran joined Joshua Budram, and the pair tried to consolidate the position with a 17-run stand before Shivbarran (5) fell to Ganida at 26-3.
Shivbarran’s demise resulted in the last seven tumbling for 20 runs, despite a cameo unbeaten 14 from Yeshua Hutson, which was decorated with a six and a four.
When East Coast began their hunt for the small score, they lost Yannick Newton, who smashed three glorious boundaries in 13, before he fell to Hutson at 22-1.
Trilok Nanan (12) was neatly stumped by Julian Craig as he missed a delivery from Roupie Rajaram at 37-2.
Munesh Outar was not-out on 12 and Junior Dindyal on 8 were together when victory was achieved.
In the other game at Meten-Meer-Zorg, West Demerara beat Upper Demerara by 173 runs.
At the small ground on West Coast Demerara, the home side batted first, and Parmeshwar Ram hit nine fours and seven sixes from 86 balls in a shot-filled 131 to register the tournament’s only ton so far.
Ram featured in an unfinished 241 opening partnership with Arvi Suknanand, who reached the roes nine times in his 99-ball 73 as the Upper Demerara team chased leather in a game reduced to 30 overs due to overnight rain.
Upper Demerara were bowled out for 68 in 16.5 overs, as only last man, Russel Anderson reached double. figures with 11 before he was removed by Navindra Sankar, who finished with 5-24. Sankar got support from Man-of-the-Match Ram, who took 2-16.
The next round is scheduled for tomorrow at the Police ground, where Georgetown and West Demerara face off, while Upper Demerara and East Coast battle each other at MMZ.




STUDENTS and teachers from the Berbice Educational Institute (BEI) travelled to Georgetown on Friday for preparatory Caribbean Secondary Education Certificate (CSEC) golf training, highlighting the school’s continued commitment to the golf PE programme’s development.
A total of 26 students and three teachers departed Berbice at 05:00hrs to participate in a four-hour training session at the Nexgen Golf Academy. The session was led by Master Coach Aleem Hussain, and
LPGA Girls Site Director Philip Haynes, who provided hands-on instruction in club grip, shot-making, and putting, followed by a competitive team exercise.
Coach Aleem Hussain
praised the students’ performance, noting that BEI, one of the pilot schools in the school golf programme placed third in last year’s national golf championship, and said that this year’s team shows strong potential for this year’s competition.
The visit follows a recent training session by Bush Lot Secondary School as part of ongoing youth
golf development initiatives led by the Guyana Golf Association in partnership with Nexgen Golf Academy and the Westside Golf Course.
The programme continues to expand participation in golf, nationwide, particularly among young players and female athletes.
Coach Aleem Hussain praised the students’ performance, noting that BEI— one of the pilot schools in the school golf program— placed third in last year’s national golf championship and said that this year’s team shows strong potential for this year’s competition.
THE Linden Amateur Basketball Association (LABA), in collaboration with the overseas-based R10 NABORS, and the Region 10 Department of Education (DOE) held a beginners’ clinic on officiating and refereeing on Wednesday at the Retrieve Hard Court in Linden.
Participants were teachers drawn from various schools across the mining town, and the presenters of the one-day seminar were former national players Abdulla Hamid and Shana Chester.
Present also at the session was United States-based R10 NABORS representative
Gary Stephens, who commended the effort of the Linden association saying, “This was initiated by NABORS, the North American branch of the LABA helping to resuscitate youth basketball. Our main focus is on youth basketball, and the extension into senior basketball too. So, what we are saying is to get good basketball, you have to get good officiating.”
Stephens, a former coach of Kings Basketball Club, added, “To begin the LABA season, we decided to host a clinic for referees and table officials, which was conducted and run by Mr. Hamid and Shana Chester, and all this
was made possible by the LABA President, Ms. Dawn Barker. It was well supported by the teachers who seemed very excited and enthusiastic and it looks good for the future of basketball in Linden.” Coach Hamid remarked, “I want to confirm what Mr. Stephens said, it shows that we are going on the right step for basketball in Linden. One of the things that ham-bugs basketball in Linden a lot, in the late 2000 was the officiating and to see the teachers are very much excited to be a part, it means we have a positive step in getting the aspect of refereeing off the table.”
• Continues on Page 43

