








White City 66872
HOA(Y/N) No
HOADues




INTERIORAMENITIES Eat-in Kitchen, Furnace Humidifier, Primary Bath, Pantry, Pull DownAttic Stairs,Tiled Floors, Workshop, Ceiling Fan FIREPLACE One, Blower, In Family Room, Mantle, Masonry
EXTERIORAMENITIES Enclosed Porch, HorseAmenities, HorsesAllowed, Outbuilding, Patio, Screened Porch,All Season Room
OUTBUILDINGS Hanger, Hay shed, Metal Buildings, Several, Shop, Stable, Storage Buildings
FENCING Barbed/Smooth Wire, Owned, Perimeter
Additional Primary Sweet/OfficeArea
"NEWLYRENOVATED" Nestled on just under 8 acres, this beautiful secluded rural property awaits you!! Just 30-45 minutes from Junction City, Fort Riley Military Base and Milford State Lake and Council Grove Lake.All NEW flooring, carpet, drywall, interior paint, trim, lighting. Primary and guest bathrooms are completely new from the studs. Primary suite combined with additional large room for office or seating area leading out to private patio for you to relax in your hot tub. 6x12 mobile solar panel chicken coop. Wood shed, quonset hut/shop with new gas furnace & hot/cold water. Horse barn has been doubled in size adding 2 additional stalls with sliding doors making it so much more efficient for this amazing horse property Additional fencing was added to rear pasture to section the property. Electric fencing and charger installed in front section. Limestone wood burning fireplace(new stove fans replaced 2025) Call Courtney Bolte REALTOR ERAHigh Pointe Realty 785-341 -9485.
PERSONALPROP. INCLUDED Cook-top, Dishwasher, Oven/Range, Refrigerator Pers.Prop.Included Detail
Personal Prop. Excluded
EXTERIOR Wood Siding
CONSTRUCTION TYPE Other
BASEMENT/FINISH Slab
BASEMENT LIGHT EXPOSURE None
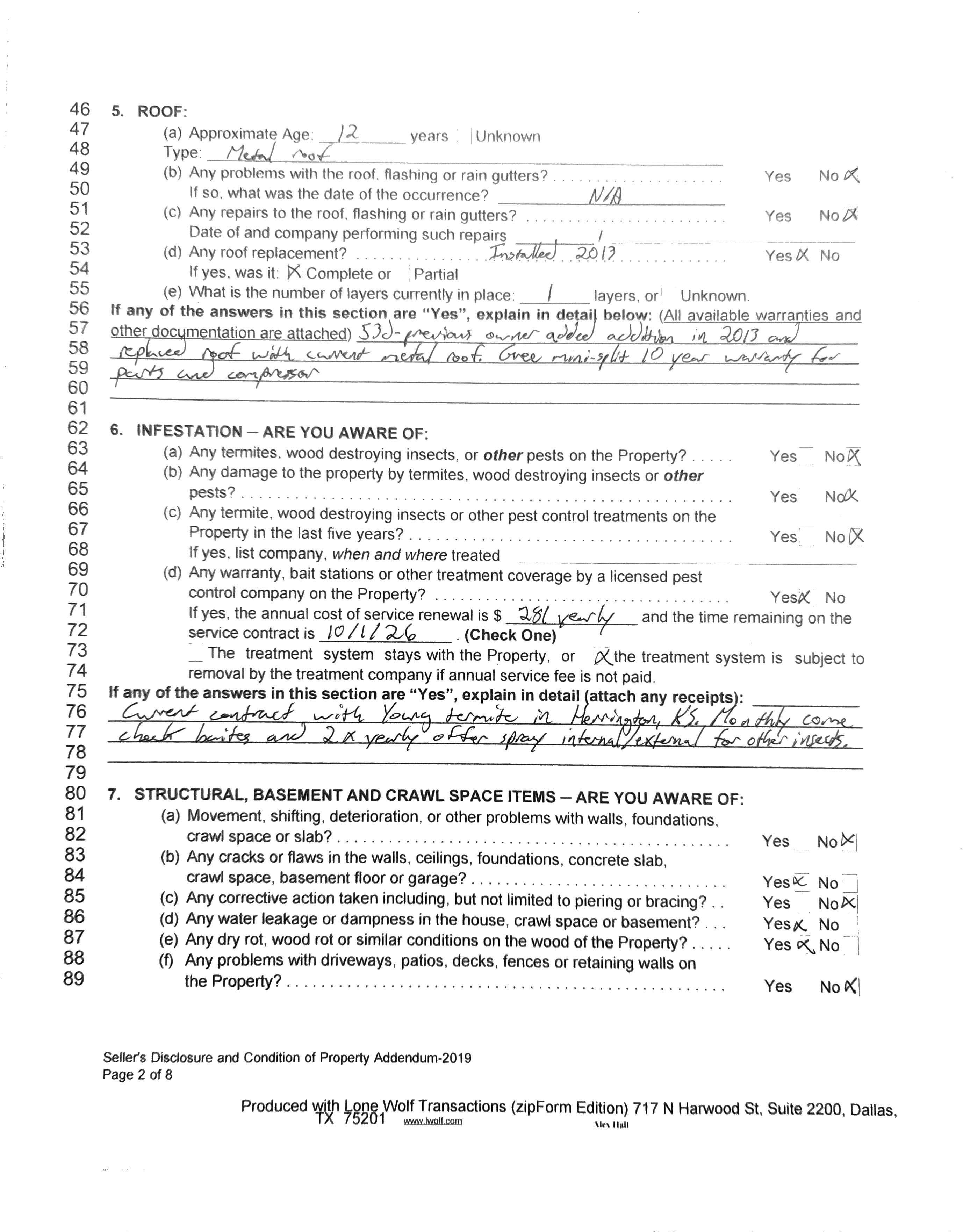
ROOF Metal
WATER TYPE/SEWER TYPE City Water, City Sewer
FUEL Electric
HEATING TYPE ForcedAir Gas
COOLING TYPE Ceiling Fan(s), Central
GARAGE TYPE Single, Double,Attached, Detached, Multiple Garage Locations
Subdivision
Seller Legal Name Alex Hall, Jordann Kokoski (H&W)
Legal S35,T14, R06E,ACRES 7.70TR BEG 973'W SE COR NE1/4, N990', E100', N295', W331', S1285' E231'TO POB Title Company CollaborativeTitle
LAType Designated SellersAgent









Disclosure of Information on Lead-Based Paint and/or Lead-Based Paint Hazards
Lead Warning Statement
Everypurchaser ofany interest in residential real property on which a residential dwelling was built prior to 1978 is notified that such property may present exposure to lead from leadbased paint that may place young children at risk of developing lead poisoning. Lead poisoning in young children may produce permanent neurological damage, including learning disabilities, reduced intelligence quotient, behavioral problems, and impaired memory. Lead poisoning also poses a particular risk to pregnant women. The seller of any interest in residential real property is required to provide the buyerwith any information on lead-based paint hazards from risk assessments or inspections in the seller's possession and notify the buyer of any known lead-based paint hazards. A risk assessment or inspection for possible lead-based paint hazards is recommended prior to purchase.
Seller's Disclosure
(a) Presence of lead-based paint and/or lead-based paint hazards (initial (i) or (ii) below):
(i) Known lead-based paint and/or lead-based paint hazards are present in the housing. Describe what is known:
AH JK (ii) _ Seller has no knowledge oflead-based paint and/or lead-based paint hazards in the housing.
(b) Records and reports available to the seller (initial (i) or (ii) below):
(i) Seller has provided the purchaser with all available records and reports pertaining to lead-based paint and/or lead-based paint hazards in the housing. List documents below:
AH JK (ii) Seller has no reports or records pertaining to lead-based paint and/or lead-based paint hazards in the housing.
Purchaser's Acknowledgment
(c) Purchaser has (initial (i) or (ii) below):
(i) received copies ofall records and reports pertaining to lead-based paint and/ or lead-based paint hazards in the housing listed above.
(ii) not received any records and reports regarding lead-based paint and/ or lead-based paint hazards in the housing.
(d) Purchaser has received the pamphlet Protect Your Family fromLead in Your Home (initial).
(e) Purchaser has (initial (i) or (ii) below):
(i) received a 10-day opportunity (or mutually agreed upon period) to conduct a risk assessment or inspection for the presence of lead-based paint and/or lead-based paint hazards; or
(ii) waived the opportunity to conduct a risk assessment or inspection for the presence of lead-based paint and/or lead-based paint hazards.
Agent's Acknowledgment (initial or enter N/A if not applicable)
(f) CB Seller's Agent has informed the seller ofthe seller's obligations under42 U.S.C. 4852d and is aware of his/her responsibility to ensure compliance.
(g) Purchaser's Agent has informed the seller ofthe seller's obligations under 42 U.S.C. 4852d and is aware of his/her responsibility to ensure compliance.1
Certification of Accuracy
The following parties have reviewed the information above and certify, to the best of their knowledge,that the information they have provided is true and accurate.
Alex Hall
Seller

12/08/2025
Alalann Kokoski Date Purchaser
12/08/2025
Seller Date Purchaser
Jordenn KokoskipCourtney Bolte
Seller's Agent
Courtney Bolte Date Date Date
12/07/2025 Date Purchaser's Agent
Paperwork Reduction Act
This collection of information is approved by OMB under the Paperwork Reduction Act, 44 U.S.C. 3501 et seq. (OMB Control No. 2070-0151). Responses to this collection of information are mandatory (40 CFR 745). An agency may not conduct or sponsor, and a person is not required to respond to, a collection of information unless it displays a currently valid OMB control number. The public reporting and recordkeeping burden for this collection of information is estimated to be 0.12 hours per response. Send comments on the Agency's need for this information, the accuracy of the provided burden estimates and any suggested methods for minimizing respondent burden to the Regulatory Support Division Director, U.S. Environmental Protection Agency (2821T), 1200 Pennsylvania Ave., NW, Washington, D.C. 20460. Include the OMB control number in any correspondence. Do not send the completed form to this address."
1 Only required if the purchaser's agent receives compensation from the seller.

