







Manhattan 66502
HOA(Y/N) No HOADues
Manhattan-Ogden USD 383
Marlatt
Susan B.Anthony
Manhattan 3/3/2026




Fireplace, Electric Insert
INTERIORAMENITIES Eat-in Kitchen, Eating Bar, Kitchen Island, Primary Bath,Tiled Floors, Wood Floors, Other, Ceiling Fan, Formal Dining FIREPLACE Electric, In Family Room, Mantle
EXTERIORAMENITIES Wooded Lot FENCING Chain Link, FencedYard, Owned
Searching for the perfect home in an established neighborhood w/ low taxes and large tree-lined fenced backyard w/plenty of space to run & roam? You found it!This 4 bedroom, 3 bathroom, home w/attractive curb appeal and limestone stone accent will check all the boxes on your wish list inside & out! The main level includes a living room that flows into the dining room w/ hardwood flooring and walks-off to the double-tiered back deck w/seating room for a table w/stairs down to the yard. Kitchen has been updated w/quality Oak cabinetry, center island w/eating bar & additional in-island storage, and Stainless Steel appliances included. Owner's suite has a full bathroom, and bedrooms 2 & 3 across the hall. The lower level features a limestone accent wall w/electric-insert fireplace & mantle. Bedroom 4 and full 3rd bathroom /laundry combo is also located on the lower level. Oversized, heated/insulated double garage workbench, tub sink, & storage. Roof replaced 3 years ago. Irrigation system!
PERSONALPROP. INCLUDED Dishwasher, Garbage Disposal, Microwave, Oven/Range, Refrigerator, WindowTreatments
Pers.Prop.Included Detail Stainless Steel kitchen appliances included and clothes washer & dryer Personal Prop. Excluded Personal property
EXTERIOR Hardboard Siding, StoneAccent
CONSTRUCTION TYPE Site Built
BASEMENT/FINISH Full-Finished
BASEMENT LIGHT EXPOSURE Daylight
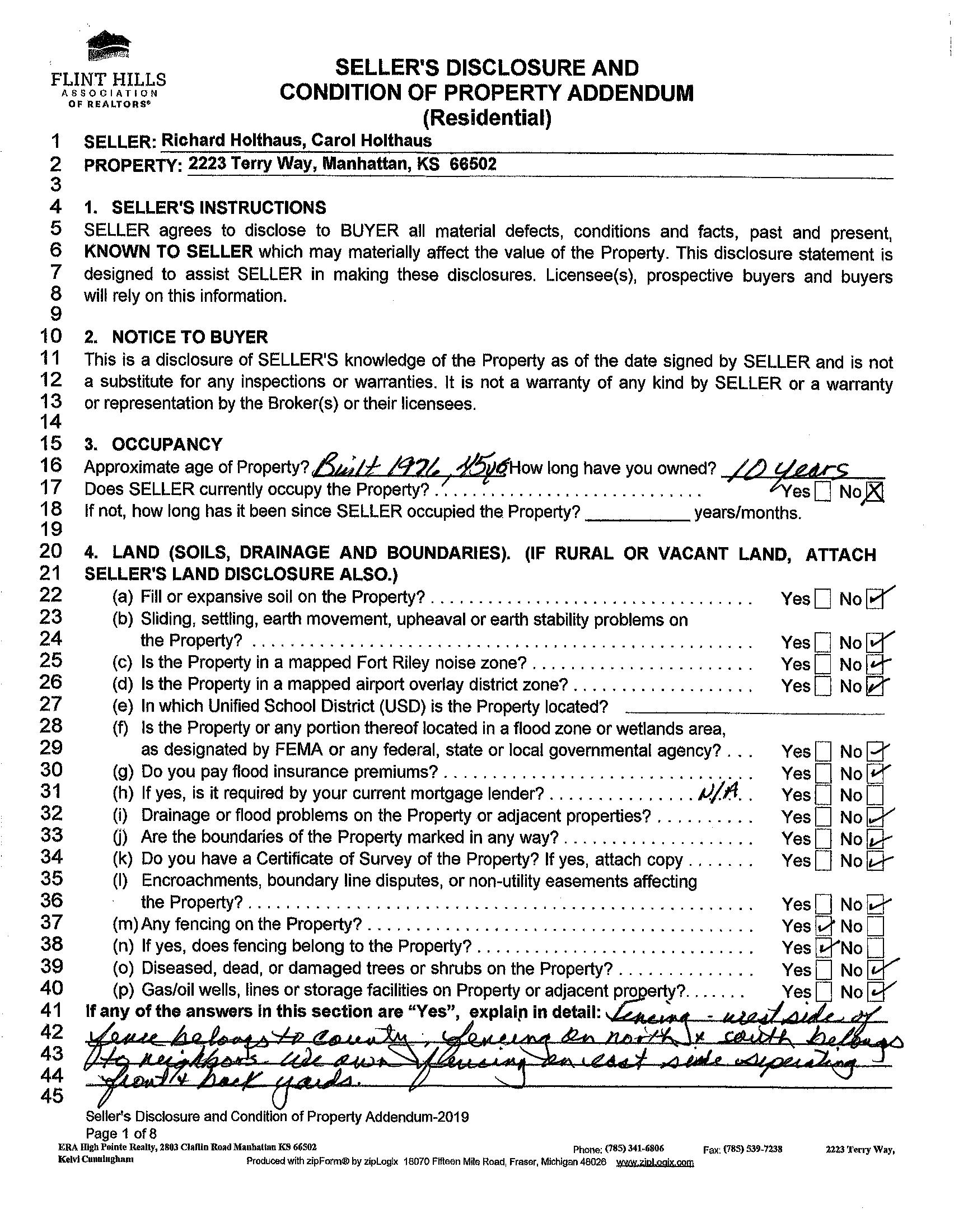
ROOF Asphalt Composition, Less than 5 years
WATER TYPE/SEWER TYPE City Water, City Sewer
FUEL Natural Gas
HEATING TYPE ForcedAir Gas
COOLING TYPE Ceiling Fan(s), Central GARAGE TYPE Double,Attached












2223 Terry Way

1/21/2026