Skip to main content

Uniti si vince25

Page 1

Gestire dinamicamente I' accordo conquistato con due mesi di lotta

Ancora una volta, se vi era bisogno di rammentarlo , l'unità e la lotta di tutti i lavoratori ha per messo di vincere anche questa battaglia sull'applicazione contrattua le .

La vertenza che abbiamo concluso dopo 24 ore di sciopero articolato e manifestazioni all'interno della fabbrica, ha portato dei benefici considerevoli a quasi tutte le cate gorie di lavoratori

Infatti, dopo tanti anni, si rende giusti-zia a quei lavoratori che,per lunghi periodi sono stati emarginati ( vedi le categorie più basse ) .

Con questo accordo i lavoratori del 1° livello con il 1° Gennaio 74 pas seranno tutti al 2° livello,quei la voratori che al 31 Ottobre 73 erano in forza, avranno un beneficio minimo di L. 5.500 attraverso il 3° ele mento più altre L. 6.000 derivanti dal passaggio di categoria .

Per tutti i lavoratori e le lavoratrici che al 31 Ottobre 1973 erano in forza e che attualmente sono In 3° categoria operai e.4° impiegati, dall'i Novembre 1973 , ed entro 24

mesi, passeranno al 3° livello, con un beneficio minimo di L.5.500 più L. 8.000 dovute al passaggio di ca tegoria .

Per quanto riguarda sempre lo incasellamento professionale, segna liamo che al 5° livello passeranno entro il. 1° Settembre 1974 il 42% delle categorie ex 1° e l° S operai; tenendo conto che, queste categorie non presentano unajincidenza alta di superminimi, i benefici economici saranno considerevoli .

Altro punto importante, è aver superato e battut o la resistenza della Ditta che non voleva accettare il passaggio al 6° livello di impiegati ex categoria 2° .

L'accordo prevede per tutti i li velli dei passaggi di categoria. Un importante valore assume la normativa che regola questo accordo, ad esempio'la verifica dell'inquadrg. mento entro 1" Aprile del 1974 ,la mobilità professionale come strumen to di intervento collegato alla nos tra .realtà aziendale .

Ora bisogna saiperlo gestire, e questo è un impegno di tutti ; non coprnArvik or P

Bollettino del Consiglio di Fabbrica della Ercole Marelli gennaio 1974

possiamo pensare che con questo accordo si è definito tutto .

L'accordo è un grosso presupposto per avviare un nuovo processo di incasellamento unico per tutti i la voratori stabilito dal nuovo contrat to

Secondo elemento importante dell'accordo è la nuova struttura retributiva mensile che deve completa re la sua progressiva localizzazione entro il settembré'del 1975

Esso consentirà di effettuare una reale perequazione retributiva che comprende tutti gli ex operai e buona parte degli ex impiegati attraverso la formazione di un "nuovo terzo elemento aziendale " ; che contemporaneamente assicura - a tut ti i lavoratori - un beneficio economico iniziale di L. 5.500 mensili. Strettamente collegato con la nuova struttura retributiva è l'importante risultato realizzato in materia di cottimo sia con il conglobamento di circa un terzo dell'utile medio, nel nuovo terzo elemento che con la creazione di uno zoccolo garantito pari ad un'altra terzo dell'utile

In questo modo si è consolidato e garantito un quarto di utile di cot timo pari al 70% della media di stabilimento, il Calore di queste conquiste è spttolineato chiaramen te dal fatto che ancora recentemen te si sono verificati casi di lavoratori ai quali non era stato corrisposto nemmeno il 5% di mancato cottimo .

te strutturata secondo i concetti padronali per un orario straordina rio permanente .

Infatti nel passato l'orario considerato normale nei periodi di norma le congiuntura era stato di 10 ore giornaliere .

Se pensiamo che lo strumento del l'orario di lavoro è stato sempre per i padroni l'elemento da utilizzare in modo elastico come linea po litica per condizionare al massimo i lavoratori sui diversi piani : dal salario, alla normativa, alla condizione sociale . Se pensiamo quanto è stato il sacrificio dei la voratori, attraverso la lotta sindacale in questi ultimi anni, per la conquista delle 40 ore, come conquista che ribaltasse la impostazione capitalistica e tendesse a li berare il nostro paese dalla piaga della disoccupazione e dell'emigra zione . Inoltre se pensiamo alle situazioni aziendali che abbiamo affrontato ogni qualvolta che si presentava una crisi produttiva, dove si evidenziavano situazioni di orario ridotto, sospensioni, licen ziamenti e contemporaneamente pre stazioni straordinarie, con azioni sindacali che consentivano a malapena di difendere i lavoratori comunque con conseguenze pesanti sul piano economico per i lavoratori e le lorofamiglie , si capisce e si apprezza il valore dell'accordo stesso .

IL VALORE DEGLI IMPEGNI SU INVESTIMENTI E ORARIO

Da alcuni anni alla E.Marelli ab biamo posto la necessità di affrontare con organicità il problema del l'orario di lavoro e le,eue conseguenze, rendendoci conto che è un grosso problema, per una azienda del settore dell'elettromeccanica pesan

L'accordo attuale cerca di preve nire alcune conseguenze negative e dobbiamo interpretarlo come uno strumento dia gestire in un modo de cisivo, verso gli 'obiettivi che il sindacato ed i lavoratori si sono posti in questi anni che sono laidi fesa , del posto di lavoro , delle conquiste fatte sull'orario e un contributo generale 'in merito alla piena occupazione e per una diversa migliore organizzazione del lavoro e dell'azienda .

Gli elementi principali contenuti nell'accordo sono, prima di tutto..›

che la direziorie ha sottoscritto lo impegno sugli investimenti che ci permettono di capire meglio quale ti po di prospettiva abbiamo di fronte, oltre alle previste modifiche miglio rative che verranno apportate sulle condizioni ambientali e di sicurezza sul lavoro nei vari settori, all'aggiunta di altre assunzioni di lavoratori per il 1974 alle inizia tive di addestramento professionale come un inizio di poliiica per la formazione .

Furbescamente si sarebbe potuto non richiedere nessun documento scritto e fare una dichiarazione di disimpegno formale sull'orario come ci chiedeva l'azienda, dopo di che il problema rimaneva .

Il Consiglio di Fabbrica con i lavoratori hanno voluto e si sono battuti , perchè la direzione dell'azienda si impegnasse con l'accordo anche con date precise a scalare al numero dei dipendenti ad orario stra ordinario e per il rispetto del carattere eccez ionale previsto dal contratto .

Strumento per il rispetto e la gestione dell'accordo è il C.d.F., collegato ai lavoratori per costrui re attraverso le verifiche che sono previste nell'accordo stesso dove ci permetterà ul'ulteriore possibi lità di dibattito che servirà ad allargare sempre più quel grado di

coscienza unitaria, elemento importante per altri passi in avanti nella determinazione di decidere sempre di più anche su questi problemi .

PROBLEMI SOCIALI (f.a.1.-asilo-mensa)

Anche se si sono registrati passi in avanti e miglioramenti di alcuni problemi da tempo sul tappeto, ne -rimangono in parte da affrontare in un prossimo futuro. In particolare dovrà essere visto con prospettive diverse pur tenendo conto dei tempi tecnici, l'attuale ristrutturazione dell'asilo per corrispondere piena mente ad una funzione sociale e ad una concreta risposta alle esigenze dei lavoratori.

Riteniamo però, che alla proble matica collegata agli aspetti"socia li" tutti i lavoratori devono espri mere più che nel passato una maggiore attenzione e sensibilità per chè sempre più vedano queste istituzioni rinnovate e.rispondenti ai tempi .

Ora si deve gestire in modo dina mico l'accordo conquistato e perchè ciò avvenga è necessario che vi sia il massimo di contributo e di parte cipazione dei lavoratori alla vita ed all'attività del sindacato collaborando fruttivamente con il Consiglio di Fabbrica .

9 DAS., 4, e tOSTO
• a• "1mb •••••
oeLLAVIITA
— Visto da qui, il costo della vita è semprelo stesso.

TESTO INTEGRALE dell' ACCORDO

Addì 24 dicembre 1973, tra la Ercole.Marélli & C S. p. , e

la Rappresentanza"Sindacale Aziendale Unitaria della Ercole Marelli & C. S.p.A.

si é convenuto quanto segue :

I) INQUADRAMENTO E MOBILITA' PROFESSIONALE

Inquadramento nelle categorie previste dal nuovo contratto

L'inquadramento sarà effettuato in applicazione della normativa contrattuale e in relazione alle capacità tecni co-professionali acquisite, in modo da perseguire l'aderenza. della normativa stessa alla realtà aziendale.

In sede di applicazione del nuovo contratto collettivo, saranno verificati con la R.S.A.U., entro il mese di aprile 1974, i criteri relativi alla applicazione dell'inquadramen to unico e le conseguenti date di decorrenza nell'ambito di quanto previsto nel successivo punto C.

Eventuali casi controversi verranno esaminati con la R.S.A.U. in base alle norme contrattuali.

Mobilità professionale

Per quanto riguarda la mobilità professionale, ci si baserà sul riconoscimento e la valorizzazione delle capaci tà, attraverso iniziative di addestramento e di formazione professionale, ricomposizione ed arricchimento delle mansio ni, attribuzione di diversi compiti operativi, compatibilmente con le caratteristiche aziendali specifiche e con le possibilità organizzative ed economico-produttive.

In esecuzione di quanto indicato ai punti A e B, concorda l'effettuazione dei seguenti passaggi : si

Operai

a) dal 1° novembre " 480 Il " H al III Il ft 115 " " III al IV . H " 230 " H IV al V H

1973: n°150 lavoratori dal I al II livello

b) dal 1° gennaio 1974 : n° 35 lavoratori dal I al II livello

200 tf Il XI al III "

75 "

III al IV it

"
"
"

dal 1°settembre1974 : n° 60

dal 1° gennaio 1975 : n°170

" 100

dal 1° novembre1975 : n°300 " 100

Impiegati ed equiparati

a) dal 1° novembre 1973: n°100

TV al V

II al III

III al IV

II al III

III al IV

III

IV

dal 1° gennaio 1974 :

1° maggio 1974 :

1° luglio 1974 :

dal dal 1° novembre 1974: n° 50 1° dicembre 1974: n° 15

V

II

II

V

V

VS al VI al III nel IV al III nel VS al VI nel IV al VI

g) dal 1° novembre 1973 saranno inquadrati nel V livello i la voratori che alla data del 31 ottobre 1973 risultavano inquadrati nella ex III cat. impiegati e nella ex II cat, equipa rati, purché gli stessi provengano dalle categorie operai ex I ed ex IS.

III.NUOVA STRUTTURA RETRIBUTIVA

A) Articolazione della struttura

In applicazione delle norme contrattuali in materia di inquadramento unico, viene concordata una nuova struttura retributiva articolata nelle seguenti voci :

minimo tabellare + superminimo collettivo contrattuale (per i soli impiegati ex cat. II e I) + eventuale super minimo individuale;

nuovo terzo elemento;

cottimo, partecipazione al cottimo, premi fissi (operai); indennità sostitutiva dell'incentivo di produzione (impie gati ed equiparati);

importo forfettario previsto dall'accordo sindacale azien dale 24 aprile 1969 (impiegati ed equiparati).

Alle voci retributive suindicate sono da aggiungere unicamente l'indennità di contingenza, gli aumenti periodi ci di anzianità, il trattamento di mensa, le indennità spe ciali già in atto.

Verrà applicato con decorrenza 1° novembre 1973 un mi glioramento economico di lire 5.500,- mensili lorde; che verrà utilizzato per la formazione del nuovo terzo elemento.

La nuova struttura retributiva sostituisce quella esi

dal
dal
100 15 n° 30 n° 50 n° 20 50 20 lavoratori dal
ex cat.III ex cat.
dal
dal
ex
dal
ex
dal
ex
dal
al
100
II
Il
cat.III
cat. II
cat:III
nel
nel

stente al 31 ottobre 1973, con utilizzazione e assorbimento di tutte le precedenti voci della retribuzione.

Saranno inoltre assorbiti, fino a concorrenza, i superminimi individuali comunque determinati; tale assorbimento sarà ope rato sui superminimi esistenti alla dàta di applicazione di ciascuna delle tre fasi del terzo elemento.

Si concorda che, con la determinazione della nuove struttura retributiva e con la corresponsione di importo forfettario di lire 7.000,- lorde pro-capite agli ir:Ipiegati e agli equiparati, é definita, anche in via transattiva, sia per il periodo dal 1°.4.1973 al 31.10.1973 sia a partire dal 1°.11.1973, la richiesta riguardante l'applicazione (1911a indennità sostitutiva incentivo produzione sull'aumento contrat tuale di lire 16.000,- per gli impiegati e gli equiparati.

Nuovo terzo elemento un nuovo terzo sotto indicate elemento nelle : seguenti mi E' istituito sure e alle decorrenze

Cottimo, partecipazione al cottimo, percentuali fisse, premi fissi Nella determinazione della nuova struttura retributiva é sta ta trasferita definitivamente nelle voci fisse della retribuzione una quota di incentivo (cottimo, partecpazione al cot timo, premi fissi, percentuali fisse) pari all'11,400% delle basi di cottimo indicate nell'allegato A.

Per i cottimisti sarà attuato un nuovo sistema di liquidazio ne del cottimo (specificato nell'allegato A), che sostituirà quello in atto. Verrà istituito un limite di garanzia ("zoc colo") pari al 10,980% delle basi di cottimo indicate nell'allegato A, in modo da assicurare sulle singole bolle un utile del 10,980%, corrispondente alla resa 1,227, anche quando la resa effettiva risulti inferiore.

Per i concottimisti, fermo restando il sistema vigente, gli importi di partecipazione al cottimo saranno stabiliti in base ai seguenti rapporti (fatto pari a 100 per ciascuna ca tegoria l'importo in lire della media trimestrale di stabilimento) :

Gruppo A)' 100 Gruppo B) 92,22 Gruppo C) 87,56 Gruppo D) 82,90 Gruppo E) 68,92 Gruppo PV) 60

1°.11.1973 1°.7.1974 1°.9.1975 I° livello 12.500 15.000 18.000 12.900 16.000 19.000 11 III° 13.400 17.000 20.400 IV° 14.100 18.000 22.300 V° 14.750 20.000 24.500 VS 16.800 22.000 28.800 11 VI° 17.900 23.600 31.400 VII° 19.500 26.600 36.000

Per i montatori dipendenti dalla Divisione Aerotecnica il pre mio fisso sarà sostituito con la partecipazione al cottimo Gruppo B.

q) Per i lavoratori con percentuali fisse e preml fissi, una vol ta effettuato il trasferimento di cui al punto a), la parte re sidua costituirà un nuovo premio fisso, in sostituzione dei premi fissi e delle percentuali fisse precedenti.

D) L'indennità sostitutiva dell'incentivo di produzione (impiegati ed equiparati) é concordata nella misura del 6%, da computarsi unicamente sulle seguenti voci : stipendio base, che comprende : minimo tabellare + superminimo collettivo contrattuale (per i soli impiegati ex cat. Il e I) + eventuale superminimo individuale; importo degli aumenti periodici di anzianità.

In sede di applicazione della nuova struttura retributiva, gli eventuali residui saranno suddivisi per il 94,339% del loro am montare sullo stipendio base e per il 5,661% del loro ammontare sull'indennità sostitutiva dell'incentivo di produzione.

E) L'importo forfettario previsto dall'accordo sindacale aziendale 24 aprile 1969 (impiegati ed equiparati) é concordato nella mi sura di lire 1.600,- lorde mensili.

III) ORARIO DI LAVORO - INVESTIMENTI INVESTIMENTI

In ordine alle previsioni relative agli investimenti del triennio 1974-1975-1976 vengono fornite le seguenti informazioni :

Divisione Grandi Costruzioni : milioni 3.050,-

Divisione Prodotti di Serie

Dai suindicati investimenti deriveranno miglioramenti del le condizioni di ambiente.

Ulteriori informazioni saranno date in futuro circa l'ar ticolazione e la realizzazione degli investimenti.

OCCUPAZIONE - INIZIATIVE PER ADDESTRAMENTO PROFESSIONALE

La Ditta informa che dal 1° gennaio 1973 al 30 novembre

r
Impianti Sistemi Trazione Marina • • 600,-
990,Divisione
Produzione Centrali Nucleari : 11 3.725,-

1973 l'organico dei lavoratori ex operai ha segnato un incre mento di 191 operai.

Entro il 31 dicembre 1974, e sempreché vengano reperiti elementi idonei, saranno assunti non meno di 150 lavoratori. Inoltre saranno assunti :

- entro il 30 settembre 1974 n° 25 lavoratori destinati a un corso di addestramento;

- entro il 30 settembre 1975 n° 25 lavoratori destinati a un altro corso di addestramento.

Saranno attuate iniziative, in forma da stabilire, per il miglioramento delle capacità professionali. Tale argomento co stituirà materia di ulteriore esame tra le parti.

ORARIO DI LAVORO - LAVORO STRAORDINARIO

I) Tenuto conto di particolari esigenze produttive, delle pro grammate fasi di riorganizzazione e ristrutturazione della pro duzione (vedi par.1), della difficoltà di reperire lavoratori specializzati e qualificati, delle conseguenti esigenze di for mazione del personale (vedi par.2), si conviene di effettuare lavoro straordinario come segue :

fino al 30 giugno 1974, per 1.200 lavoratori ex operai e per 230 lavoratori ex impiegati;

dal 1° luglio 1974 al 31 dicembre 1974, per 800 lavoratori ex operai e per 140 lavoratori ex impiegati;

e) dal 1° gennaio 1975 al 31 maggio 1975, per 500 lavoratori ex operai e per 100 lavoratori ex impiegati.

Le ore straordinarie saranno prestate, nei limiti contrat tuali, anche nelle giornate di sabato.

A far tempo dal 1° giugno 1975 la Ditta applicherà l'orario normale contrattuale e la effettuazione di lavoro straordinario avrà carattere eccezionale, secondo le norme contrattuali. A tale proposito le parti terranno conto della situazione aziendale esistente nel periodo in cui saranno esaminate le occorrenze che di volta in volta si presenteranno. Per una adeguata valutazione di quanto sopra, la Ditta fornirà perio dicamente (ogni due mesi) alla R.S.A.U., anche per singoli settori, dati e informazioni sugli organici, sulle assunzioni, sulle attività di formazione del personale, sulla reperibilità-di personale qualificato e specializzato.

IV) MENSA - P.A.L. - ASILO

MENSA

Si provvederà entro il primo trimestre del 1974 ad or-

ganizare, mediante idonee attrezzature ed aumento degli addet ti, la distribuzione ai tavoli del pasto caldo. Si provvederà inoltre ad ampliare il locale della mensa impiegati dello stabi lirnento secondo.

La tabella dietetica vigente sarà migliorata per quanto riguarda i piatti di formaggio (aumento di grammi 20) e di salu mi (aumento di grammi 10). Sarà migliorato anche il contorno del piatto di uova.

F. A. L.

Fermo restando lo Statuto in vigore, il Regolamento sarà modificato entro il 31 gennaio 1974. A partire dal 1° gennaio 1974 il massimale relativo ai contributi a carico della Ditta e lei lavoratori sarà elevato a lire 150.000,— (centocinquantamila) mensili.

ASILO

Si provvederà a migliorare l'andamento e l'attività didat tica dell'asilo, sia mediante l'assunzione di una nuova maestra sia mediante le modifiche dei locali già programmate. Sarà inol tre mantenuto nei limiti attuali l'invio di bambini presso scuole materne esterne.

Letto, confermato e sottoscritto.

SESTO SAN GIOVANNI — I lavoratori delle fabbriche metalmeccanlch•

SISTEMA DI LIQUIDAZIONE DEL COTTIMO IN VIGORE DAL 1° NOVEMBRE 1973

I tempi di cottimo attualmente vigenti (tempi assegnati) resteranno invariati.

Il computo per il calcolo dell'utile di cottimo sarà modifica to come specificato nei successivi paragrafi.

Per ogni bolla o gruppo di bolle liquidate sarà calcolata la resa (R), costituita dal rapporto tra il tempo assegnato (TA) ed il tempo impiegato (TI), mediante la seguente formula :

Ottenuta la resa, sarà calcolata la percentuale di utile (U%) mediante la seguente formula :

U% = 100 (0,5957 R - 0,6213).

Onde ottenere l'utile orario in lire, la percentuale di utile verrà applicata alle seguenti basi orarie convenzionali :

L'importo dell'utile orario in lire sarà a sua volta moltiplicato per il TI, onde ottenere l'utile totale in lire.

(Allegato A)
TA TI
Cat. V £. 554,20 Cat. IV 535,15 IS Cat.III 486,55 Cat. Il 458,55 'I Cat. I 442,95

RINNOVIAMO I CONSIGLI !

Sulla base delle positive esperienze realizzate anche alla E.Marelli, in particolare nel corso oèll'ultimo rinnovc contrattuale prima, e della vertenza aziendale di gruppo dopo, con la sempre maggior par tecipazione dei lavoratori alla vita del sindacato attraverso i'delegati , ci apprestiamo nelle prossime settimane a rinnovare i consigli di fabbrica .

Ciò avviene al termine della nostra vertenza aziendale come ci eravamo prefissi .

Oggi è più che mai necessaria una presenza articolata del sindacato ai fini di saper rispondere e interpretare le aspettative dei la voratori sul piano della iniziativa rivendicativa e soprattutto nel saper dare una risposta che porti a soluzione i problemi della condizio ne dei lavoratori a livello di società .

E' chiaro che quando parliamo di Consigli di Fabbrica intendiamo lo insieme dei delegati eletti dai lavoratori, dei vari gruppi omogenei

di reparto e ufficio .

Compito dei delegati è sostanzialmente di rappresentare i lavora tori a livello di reparto e di ufficio per portare a conoscenza e confrontare con l'intero consiglio di fabbrica le esigenze e le indicazioni dei lavoratori rappresentati.

Inoltre dal momento che i lavoratori sono iscritti e organizzati nel sindacato, o meglio sono il sin dacato, è naturale che contribuisca no ad elaborare le linee sindacali. Il Consiglio di Fabbr ica e i singo li delegati di conseguenza, non sono una cosa astratta al di fuori del sindacato e del movimento operaio in genere come qualcuno, anche se delegato, vuol far credere e addirit tura agisce contro il sindacato.

Per quanto noi sosteniamo sempre che chi è contro il sindacato è contro i lavoratori . Con questo spirito il sindacato chiama tutti i lavoratori ad eleggere i propri delegati di reparto e ufficio nonchè al rinnovo del Consiglio di Fabbrica.

'1:32E1 C01'TIffiISTI

Not71 1 : Sia le ratribu:ioni al 31 ottobre 1973, sia i valori rlativi al cottimo indicati alle tre scadenze si riferiscono a un utile inciivicuale ante accordo del 31,972', cae corrisponde iA post accordo dll 20,572;' ,.

i,ota 2 : Alle retribui:ioni _suindicato sano cla a,;77:tun._;2r ,!

ting3nza, Tli aumenti periodici di anzi:::nità, il trattanto mcnJa. le ind ennità speciali già in atto, . • i

Retribuzione al 31.10.1973 Categorie 4a 3a 2a la 13 l Totale 133.642 137.366 144.236 156.218 160.988 I A Retribuzione dial 1° novembre 1973 - Nuove cate . la 2n 3a 4a 5a , 1 n mo a . 105.000- 111.000 119.000 130.000 143.000 SupermiA.itò 5.878 2.646 - _3° elemento 12.500 12.900 13.400 . 14.100 14.750 Cottimo 15.764 16.320 17.335 19.046 19.724 Totale 139.142 142.566. 149.736 163.146 177.474 Retribuzionedal 1° luglio 1974 211522211e Lr..--m-12 ----._-.t- 2a 3a 4a 5a 1;inimo tab. 105.000 111.000 119.000 130.000 143.000 Superminimo 3.378 - - -3° elemento 15.000 16.000 17.000 18.000 20.000 Cottimo 15.764 16.320 17.335 19.046 19.724 Totale 139.142 143.320 153.336 167.046 182.724 Retribuzione dal 1° settembre 1975 Nuove cattc la 2a 3a 4a 5a Minimo tab. 105.000 111.000 119.000 130.000 143.C1',0 Superminimn 378 - - -3° elemento 18.000 19.000 20.400 22.300 24.500 Cottimo 15.764 I 16.320 1 7 .336 19.Q46 19.7Z4 -Totale 139.142 1 146.320 156.736 171.346 187.224 Riepilogo aumenti e quote assorbibili Nuove cateiggu z.:3 5.500 4a 5a dal 1°.11.73 5.500 5.500 6.928 16.486 dal 1°.7.74 - 454 3.500 3.900 5.250 aaI 1°.9.75 _ 3.000 3.400 4.300 4.500 Totale aumenti 5.500 8.954 '. 12.500 15.128 26.236 Totale quote assnrbibili l ane tre eca danze - - 3.454 7.000 ,. 9.628 20.736

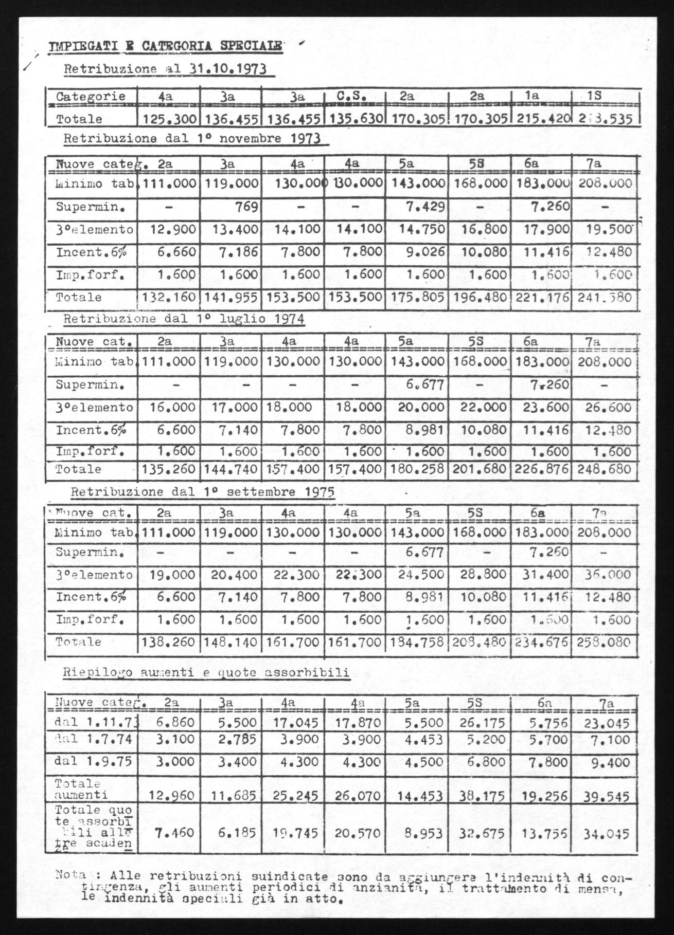
TreIEGATI 2 CATEGORIA SPECIALE '

k)ta : Alle retribuzioni suindicate sono da agé;iungera l'in3ennit‘ di con- tinz;enza, aumenti periodici di anzilnit,t, il tratt-dnento di men"-t, le indennità opeeili già in atto.

Retribuzione al 31.10.1973 4a 3a 3a Cate orie C.S. 2a 2a 12 _ IS Totale 125.300 136.455 136.455 135.630 170.305 170.305 215.4202 3.5351 Retribuzione dal 1° novembre 1973 Nuove catec. 2a 3a 4a 4a 5a 55 6a 7a linimo tab#111.000 119.000 .. 130.000130.000 -.. 143.000 168.000 183.000 208.000 Supermin. 769 - - 7.429 - 7.2603°1emento 12.900 13.400 14.100 14.100 14.750 16.800 17.906 19.500 Incent.6% 6.660 7.186 7.800 7.800- 9.026 10.080 11.416 12.480 Ix!p.forf. 1.600 1.600 1.600 1.600 1.600 1.600 1.600 1.600 Totale 132.160 141.955 153.500 153.500 175.805'196.480 221.176 241.380 Retribuzione dal 1° luglio 1974 Nuove cat. 2a 3a _ 4a 4a 5a 5S _ 6a L7a______ 208.000 1inimo tab.111.000 119.000-130.000 130.000 143.000 168.000 183.000 Supermin. - - - - 6.677- - 7T260 _ 30elemento 16.000 17.000 18.000 ' 18.000 20.000 22.000 23.600 26.600 Incent.6% 6.600 7.140 7.800 7.800 8.981 10.080 11.416 12.430 I1np.forf. 1.600 1.600 1.600 1.600 - 1.600 1.600 1.600 1.600 Totale 135.260 144.740 157.400 157.400 180.258 201.680 226.876 248.680 Retribuzione dal 1° settembre 1975 ,n,nve cat. 2a 3a 4a 4a 5a 5S -_- -4_720_ 183.000 208.000 Viinimo tab,111.000 119.000 130.000 130.000 143.000 168.000 Supermin. - - - - 6.677 - 7.260 _ 30elemento 19.000 20.400 22.300 22:300 24.500 28.800 31.400 36.000 Incent.6g 6.600 7.140 7.800 7.800 8.981 10.080 11.416: .2.480 Imp.forf. 1.600 1.600 1.600 1.600 1.600 1.600 1.000 1.600 Totale 138.260 148.140 161.700 161.700 184.758 208.480 234.676 253.080 Riepilogo auz.enti e quoto assorbibili Nuove categi 2a 3a 4a 11 5a * * 5.500 5S 6n r 5.756 2a 23.045 drd 1.11.73 6.860 5.500 17.045 17.870 26.175 -007 1 _ 1.7.74 3.100 2.785 3.900 3.900 4.453 5.200 5.700 7.100 dal 1.9.75 3.000 3.400 4.300 4.300 4.500 6.800 7.8054 9.400 Total aumenti 12.'60 11.635 25.245 26.070 14.45338.175 19.256 39.545 Totale quo te assorbi 'Jili ail7 Ire scaden 7.460 6.185 19.745 20.570 8.953 32.675 13.756 34.045
/

Turn static files into dynamic content formats.

Create a flipbook