Skip to main content

Consiglio di fabbricaFLM73

Page 1

consiglio

fabbrica

FIMetalmeccanici milano piazza Umanitaria, 5

SOMMARIO

Documento conclusivo del Direttivo

Nazionale FLM

Comunicato della Segr. Naz. FLM

sullo sciopero del 16/11

Vertenza territoriale

Nota dell'Ufficio Studi FLM Milano

Convegno sulle società di progettazione

Convegno sulla condizione femminile

Consultazione contrattuale

Tabelle di riparametraazione

agenzia di informazione sindacale

3
1978
VI ,
novemb
re m
1ia anno
della FLM milanese

Documento conclusivo del Comitato direttivo Nazionale della FLM

6-7 novembre

Il Comitato Direttivo della F.L.M., riunitosi a Roma il 6 e 7 novembre, approva la relazione introduttiva, con i contributi nel dibattito e le conclusioni di Nando Morra, Seg. Nazionale F.L.M..

Il Comitato Direttivo, nel ribadire la esigenza di portare avanti un confronto stringente con il Governo sugli obiettivi prioritari di politica economica e industriale e di occupazione, ritiene decisiva la conquista di alcuni risultati immediati in direzione: dei contenuti del «piano triennale».

della soluzione organica dei problemi aperti nel pubblico impiego e nei servizi sulla base delle posizioni della Federazione CGIL-CISL-UIL; della modifica dei piani di settore del CIPI previsti per la 675;

del concreto avvio dei programmi di riconversione e di investimenti previsti per Bagnoli, Gioia Tauro, Apomi 2, Aeritalia, ecc.; della sollecita attuazione delle leggi di piano in particolare per l'agricoltura, per i trasporti, l'edilizia, l'agro-alimentare, l'energia; un impulso programmatico all'intervento straordinario nel mezzogiorno a partire dalle zone interne impegni per la riforma politico-istituzionale delle PP.SS. e per definire concreti piani di investimento dell'IRI per il Mezzogiorno; di un piano straordinario di investimenti per le aree meridionali e in particolare per Napoli, rispetto alla drammatica situazione economica e sociale e della disoccupazione per l'area napoletana, anche attraverso una applicazione straordinaria della legge 285 per un piano ampio di formazione professionale finalizzata, su scala nazionale, per i giovani disoccupati del mezzogiorno.

A sostegno di tali obiettivi e della piattaforma della Federazione CGIL-CISL-UIL nei confronti del governo, le iniziative di lotta già sviluppatesi nel corso di queste settimane a livello settoriale e territoriale trovano un fondamentale momento di unificazione con lo sciopero dei lavoratori della industria e del Mezzogiorno, e la giornata di lotta dei metalmeccanici del giorno 16 novembre. L'articolazione della lotta dei metalmeccanici sarà attuata con astensione dal lavoro fino a 4 ore.

In particolare i lavoratori delle aziende a PP.SS. dei settori previsti dalla 675 e delle fabbriche del Mezzogiorno effettueranno 4 ore di sciopero mentre per le fabbriche, gruppi e territori dove sono in corso iniziative di lotta le modalità di attuazione saranno definite a livello locale anche in rapporto alle decisioni assunte dalle strutture regionali della Fe-

derazione CGIL-CISL-UIL.

Il Comitato Direttivo decide, inoltre, che il massimo sforzo vada realizzato per assicurare continuità e organicità sul piano settoriale, intersettoriale, di gruppo, territoriale e nazionale, alla iniziativa e alla lotta del movimento sindacale sia per conseguire risultati concreti, sia per determinare un organico quadro di riferimento nel quale collocare la lotta per il rinnovo del cc, tratto di lavoro.

Il Comitato Direttivo della F.L.M. ribadisce il carattere avanzato dalla ipotesi di piattaforma contrattuale e riconferma l'unitarietà delle rivendicazioni sulla la parte, sull'orario e sul salario come parti inscindibili del progetto di politica contrattuale definito dal consiglio generale.

Il Comitato Direttivo respinge le interpretazioni e le strumentalizzazioni sulla proposta di piattaforma contrattuale definita dal C.G.U. ed in particolare sull'orario.

Ribadiamo che la nostra proposta sull'orario ai lavoro per questo rinnovo contrattuale, che dovrà essere verificata e definita dalla consultazione, è imperniata su riduzioni certe da ottenere nel contratto nazionale e contrattando, a livello articolato, le modalità di attuazione sul mantenimento dell'utilizzo degli impianti al Nord e ampliamento degli impianti al Sud; sul rinvio alla contrattazione articolata per riduzioni di orario per l'area non interessata da riduzioni certe. Inoltre, considera necessario avviare un confronto di merito con le forze politiche, con le istituzioni, con le regioni del mezzogiorno, con le forze sociali, con i disoccupati, per una valutazione della piattaforma ed anche per costruire le condizioni per schierare a sostegno della lotta dei metalmeccanici il più ampio fronte di forze decisivo per battere le posizioni padronali che — fin da adesso — nei fatti si schierano sostanzialmente su posizioni di netto rifiuto del rinnovo del contratto di lavoro.

Il Comitato Direttivo F.L.M., nel sollecitare i lavoratori metalmeccanici a caratterizzare le lotte di queste settimane con una partecipazione ampia e consapevole alle iniziative ed alle manifestazioni in tutto il Paese e in particolare nel Mezzogiorno, impegna la categoria a fare della consultazione sulla piattaforma un momento essenziale di dibattito reale, di partecipazione democratica e di unità. In questo senso il Comitato Direttivo impegna tutte le strutture in un grande sforzo di sostegno e di presenza nelle realtà del mezzogiorno per una esplicita espressione del significato politico che vogliamo assegnare al dibattito sull'ipotesi di piattaforma.

2

Comunicato della Segreteria

Nazionale FLM sullo sciopero del 16/11

La F.L.M. prende atto delle decisioni assunte dal Direttivo Nazionale della Federazione CGIL-CISL-UIL relativamente alle modalità dello sciopero del 16 Novembre, pertanto:

«Il giorno 16 Novembre si svolgerà uno sciopero generale di 4 ore con il mantenimento dei servizi Pubblici in tutte le giorni meridionali e nel Lazio, a sostegno della piattaforma. Durante lo sciopero si svolgeranno grandi manifestazioni di lavoratori occupati disoccupati e giovani in tutte le province del Mezzogiorno a cui parteciperanno dirigenti nazionali della Federazione Unitaria.

In tutto il resto del territorio nazionale i lavoratori della industria effettueranno uno sciopero a sostegno degli obiettivi dei lavoratori del mezzogiorno della durata di 1 ora con assemblea nei luoghi di lavoro».

Bentivogli - Galli - Mattina

Segretari Generali F.L.M.

10/11/1978

VERTENZA TERRITORIALE

Netta

chiusura dell'Assolombarda - Proseguono gli incontri con l'API

Si sono svolti nella giornata di Mercoledì 8 Novembre i due previsti incontri fra la F.L.M. Provinciale e le Associazioni padronali milanesi, Assolombarda ed API, sui punti della vertenza territoriale.

L'Assolombarda si è ripresentata al tavolo di trattative, dopo più di un mese, con un atteggiamento di netta chiusura su tutti i punti presentati dalla F.L.M. e cioè, mobilità interaziendale contrattata e collocazione dei lavoratori UNIDAL, ristrutturazione settoriale e comparti produttivi, decentramento e lavoro a domicilio, occupazione giovanile, ambiente di lavoro.

L'A.I.L. si è, dunque, rimangiata di fatto gli impegni assunti nell'incontro precedente in base ai quali avrebbe dovuto presentare proposte di merito, a Partire dalla mobilità.

In altre parole l'Assolombarda si è nascosta in Modo opportunistico dietro la scusa del confronto "aperto» a livello nazionale tra CGIL-CISL-UIL e Confindustria pur di non entrare nel merito dei problemi occupazionali e produttivi presenti a Milano e Posti nella vertenza territoriale.

La F.L.M. Milanese dichiara che questo atteggiamento dell'A.I.L. non può che essere visto come un comportamento particolare negativo alla vigilia del

confronto sul contratto.

Se l'Assolombarda non modificherà la sua posizione, si renderà inevitabile un ulteriore inasprimento del programma di lotta deciso dal Consiglio Generale provinciale F.L.M, in base al quale è in atto lo sciopero degli straordinari per tutto il mese di Novembre.

A questo proposito, la F.L.M. chiama i consigli di fabbrica e tutti i lavoratori ad un maggiore impegno per la piena e completa attuazione pratica della parola d'ordine «non un minuto di straordinario» varata per questa battaglia sulla vertenza territoriale. Nell'incontro con l'API la discussione è proseguita secondo il calendario di lavoro prefissato, ossia su ambiente di lavoro a domicilio. Ancora una volta l'API ha però cercato di non concretizzare suoi impegni sulle questioni aperte nella vertenza e, pur dicendosi disposta a discuterne, ha semplicemente preso atto dei problemi aperti senza però garantire nessuna prospettiva di soluzione immediata. Mentre per l'A.11. non c'è nessun impegno di nuovo incontro né nessuna ipotesi di lavoro, con l'API c'è in programma un nuovo incontro in cui essa formulerà una ipotesi di intesa sul punto «ambiente di lavoro».

3

Nota dell'ufficio studi FLM sul convegno di presentazione dell'indagine sulle aziende metalmeccaniche milanesi

Dopo il Convegno del giorno 23 Ottobre dove abbiamo letteralmente «bombardato» i presenti con una valanga di numeri e di informazioni sull'indagine svolta in provincia, cogliamo questa occasione per tentare di mettere in luce gli aspetti e gli obiettivi più significativi.

Le motivazioni che hanno indotto la Segreteria F.L.M. ad assumere questo impegno di notevole portata sono state da un lato l'esigenza di conoscere con più precisione alcuni aspetti specifici ogget-' to del dibattito contrattuale, dall'altro quella di effettuare una analisi il più possibile approfondita del tessuto metalmeccanico milanese basata su dati aggiornabili periodicamente, dando continuità al lavoro di ricerca iniziato nel '75.

Alla fine della seconda fase di rilevazione attualmente in corso saranno, quindi, oltre 600 le aziende metalmeccaniche entrate nel campione che, a quel punto, comprendendo circa il 90% dei metalmeccanici milanesi, perderà i connotati del campione per avvicinarsi ad una vera fotografia della situazione provinciale.

Questo è l'aspetto più importante ed ambizioso dell'iniziativa: la rilevazione annuale dei dati più importanti nelle 600 aziende per ottenere possibilità di analisi sulla dinamica dei vari fenomeni.

Questo per quanto riguarda l'indagine da svolgere «nelle fabbriche», ma una parte non meno importante dell'indagine si sta svolgendo «sulle fabbriche».

Sono infatti in corso l'analisi e la riclassificazione delle voci di bilancio degli ultimi quattro anni di 100 società, le più grosse e significative del nostro campione originale, per giungere alla omogeneizzazione delle stesse attraverso la creazione di indici che consentano confronti storici sull'andamento degli aspetti economico/finanziari sia delle società stesse, sia dei comparti produttivi di appartenenza. Poiché i numeri, da soli, non dicono mai o quasi

mai «una» verità ma si prestano a diverse letture è importante che questi dati vengano portati alla discussione ed al giudizio dei lavoratori: solo questo filtro consente la «vera» interpretazione dei fenomeni.

Per questa ragione, non tanto per mancanza di tempo, abbiamo volutamente evitato di commentare ogni risultato ed ogni dato con dei giudizi di ordine sindacale e politico.

Qualcuno può pensare, forse a ragione, che iniziare un lavoro di questa portata senza aver definito a priori non solo l'oggetto della ricerca ma anche il «cosa» si vuole dihicstrare, sia un limite a causa di dispersioni notevoli se non di confusione. Può essere vero. Anche per questo rivendichiamo però per quanto possii.Ae un carattere di scientificità alle caratteristiche ed alla metodologia di quest'indagine.

Ma l'iniziativa promossa con l'indagine della F.L.M. di Milano ha anche queste motivazioni: coinvolgere nell'analisi dei temi sindacali il maggior numero possibile di delegati e di lavoratori; mettere a disposizione dei funzionari di zona strumenti più snelli ed efficaci di conoscenza; proporre alle altre provincie, almeno a livello regionale, un'unico metodo di lavoro in coerenza con le scelte fatte. Crediamo che sia opportuno quindi fare alcuni sforzi per avere anche noi dati con i quali replicare e siamo convinti che ciò sia possibile per confutare quelli errati o strumentali che ad ogni piè sospinto ci vengono proposti.

Almeno tentiamo di dare risposte serie e credibili a chi ci accusa troppo spesso di essere un movimento fatto prevalentemente di «slogans» e di eccessivo velleitarismo. Questo sul tavolo del confronto, ma crediamo che siano modi per coinvolgere maggiormente gli stessi lavoratori sul terreno della lotta.

la
V
Q si T tu v st ti e in
G d d

CONVEGNO SULLE SOCIETÀ DI PROGETTAZIONE

il primo Convegno delle Società di progettazione «Engineering» si è svolto a Milano il 18.10.78 presso la F.L.M. Provinciale, con la presenza di Claudio Sabattini, Segretario Nazionale della F.L.M. Questo convegno ha rappresentato per la F.L.M. Provinciale e di zona (Centro Direzionale dove si è formato il gruppo di studio) un momento di riflessione comune sulla importanza di queste società. Tale iniziativa si inserisce nel dibattito pre-contrattuale, per analizzare i rapporti dei tecnici con il lavoro, ma soprattutto per esaminare il ruolo di queste aziende nel quadro delle modificazioni produttive, tecnologiche e di organizzazione del lavoro Che caratterizzano l'attuale fase di riorganizzazione industriale.

Vi hanno partecipato 200 delegati di grandi aziende milanesi, compresi i delegati della Italim pianti di Genova, e delegati chimici della Snam Progetti, Technimont, Euteco, oltre ad alcuni delegati edili e del commercio, tra i 45 C.d.F. presenti. La relazione, a nome del gruppo di studio, è stata svolta da Claudio Acquistapace (DIMI-ALTECH-GROUP); sono state fatte altre comunicazioni preparate da

delegati del gruppo su: preparazione del convegno, quanto guadagnano le società di progettazione, prima parte del contratto di lavoro, appunti di lavoro sulle società di progettazione, società di ingegneria e piani di settore, i tecnici nelle società di progettazione, la condizione femminile in un'azienda di progettazione. I numerosi interventi hanno posto molti spunti e analisi, di cui solo ad atti pubblicati sarà possibile apprezzare la ricchezza di contributo.

I punti decisivi sono stati: la costruzione del settore, la continuità del lavoro, invertire le tendenze dell'associazione padronale (OICE) di formare un contratto dei servizi, appronfimento dei temi riguardanti il trasferimento di tecnologia e ricerca (Knowhow) e il ruolo qualificato degli investimenti e il controllo della committenza pubblica. In pratica si tratta di definire il ruolo che le società di ingegneria possono svolgere in una società industrializzata, in una fase di transizione, per il rinnovamento e lo sviluppo della nostra economia e della nostra cultura tecnica.

CONVEGNO SULLA CONDIZIONE FEMMINILE

Nel convegno tenutosi il 10 Novembre su «donnalavoro - contratto» sono stati definiti, sulla base del documento di organizzazione F.L.M. approvato a Rimini, i criteri per la costituzione del coordinamento provinciale delle delegate.

Il coordinamento provinciale sarà composto da circa 300 delegate nominate dagli attivi di zona dei quali faranno parte tutte le delegate di zona e sarà aperto alle lavoratrici. Il numero delle delegate di zona che entreranno a far parte del Coordinamento Provinciale sono decise sulla base del numero delle lavoratrici occupate nella zona stessa.

Del coordinamento faranno parte anche le dirigenti dell'apparato provinciale.

Al suo interno il Coordinamento eleggerà un numero limitato di compagne che formeranno il gruppo esecutivo.

Le modalità di lavoro, verranno definite nella prima riunione del Coordinamento Provinciale.

I coordinamenti di zona sono pregati di inviare al più presto all'organizzazione provinciale F.L.M. i nominativi delle delegate facenti parte del Coordinamento Provinciale, affinché esso possa essere convocato al più presto possibile.

Degli atti del convegno uscirà un numero di Consiglio di Fabbrica.

è o fi t-
5

CONSULTAZIONE CONTRATTUALE

Le ASSEMBLEE DI CONSULTAZIONE DELLE ZONE SI DEVONO CONCLUDERE ENTRO E NON OLTRE IL 1° DICEMBRE e dovranno eleggere i delegati alla Assemblea Regionale. Ad essa parteciperanno,di diritto, i membri del Consiglio Generale Unitario Regionale più un numero di delegati eletti nelle Assemblee di zona di rapporto a 1 delegato ogni 500 iscritti o frazione superióre a 250. La F.L.M. di Milano e provincia deve eleggere n. 371 delegati in base ai suoi iscritti così suddivisi:

6 DICEMBRE: COMITATO DIRETTIVO F.L.M• REGIONALE per discutere la relazione all'Assemblea Regionale 11-12-13 DICEMBRE: Assemblea Regionale per la CONSULTAZIONE CONTRATTUALE che al terrà presso il Cinema CIAK, Via Sangallo, 33.

Redazione: Piazza Umanitaria n. 5 - tel. 54.68.020/1/3/4, Milano.

Direttore responsabile: Walter Galbusera.

Direttori: Donato Di Meo, Renato Luceti, Piergiorgio Tiboni.

Autorizzazione del Tribunale di Milano n. 344 del 28 settembre 1971. Spedizione in abbonamento postale - Gruppo 3°. 6

BOVISA CUSANO GORGONZOLA LEG NANO MONZA ROMANA SEMPIONE SOLARI CENTRO D. DESIO LAMBRATE LODI RHO S. SIRO SESTO VIMERCATE TOTALE 14 21 18 21 22 26 51 28 19 19 9 13 30 56 17 371

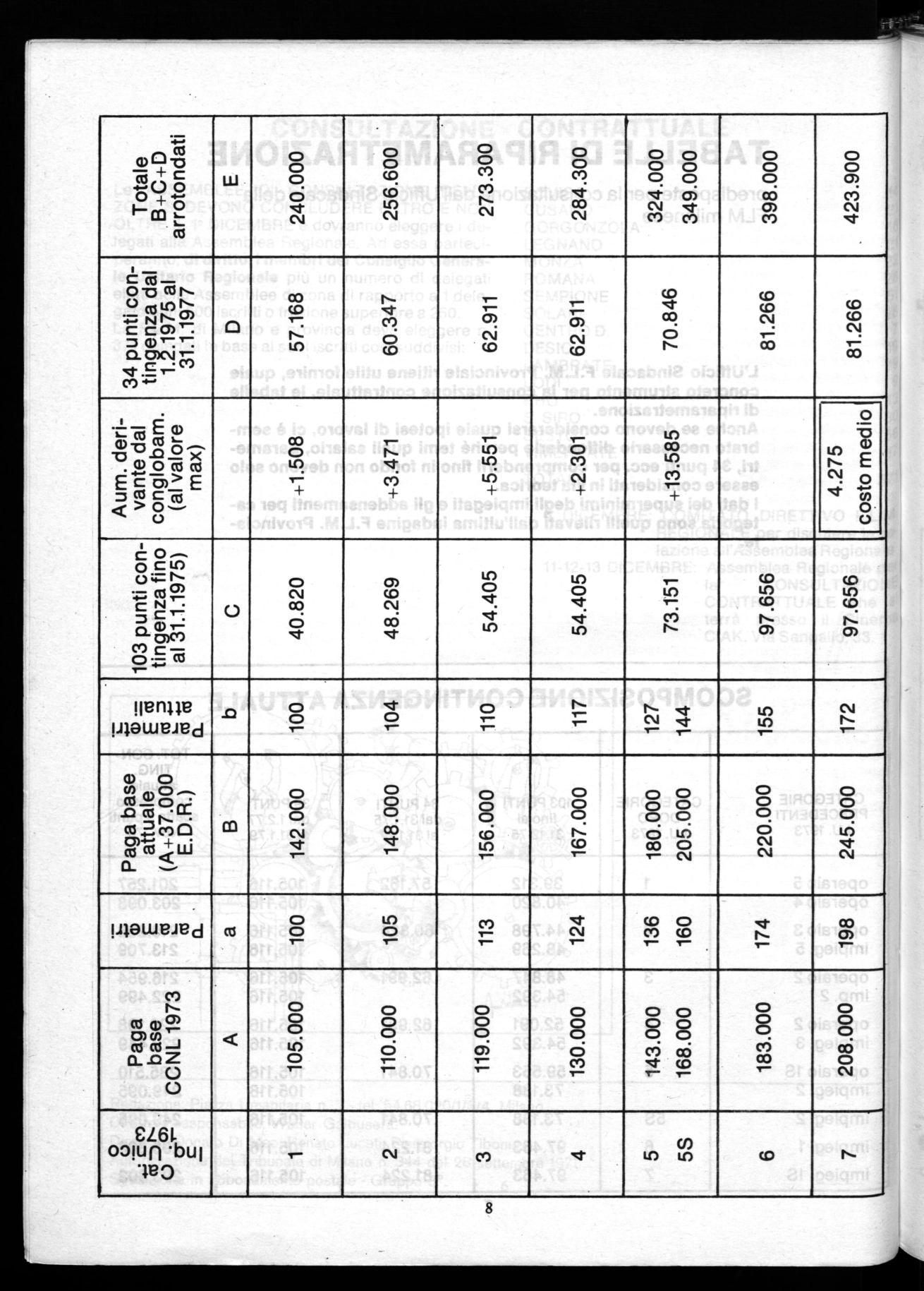
TABELLE DI RIPARAMETRAZIONE

predisposte per la consultazione dall'Ufficio Sindacale della FLM milanese

L'Ufficio Sindacale F.L.M. Provinciale ritiene utile fornire, quale concreto strumento per la consultazione contrattuale, le tabelle di riparametrazione.

Anche se devono considerarsi quale ipotesi di lavoro, ci è sembrato necessario diffonderle perché temi quali salario, parametri, 34 punti ecc. per comprenderli fino in fondo non devono solo essere considerati in via teorica.

I dati dei superminimi degli impiegati e gli addensamenti per categoria sono quelli rilevati dall'ultima indagine F.L.M. Provinciale.

SCOMPOSIZIONE CONTINGENZA ATTUALE

CATEGORIE PRECEDENTI I.U. 1973CATEGORIE DOPO I.U. 1973 103 PUNTI fino al 31.12.75 34 PUNTI dal 31.1.75 al 31.1.77 39 PUNTI dal 1.2.77 al 31.1.79 TOT. CONTING. attuale compresso scatto 5 punti Nov. '78 operaio 5 1 39.312 57.162 105.116 . 201.257 operaio 4 40.820 105.116 203.098 operaio 3 2 44.798 60.324 105.116 210.238 impieg. 5 48.269 105.116 213.709 operaio 2 3 48.847 62.991 105.116 216.954 imp. 2 54.392 105.116 222.499 operaio 2 4 52.091 62.991 105.116 220.198 impieg. 3 54.392 105.116 222.449 operaio 1S 5 59.553 70.841 105.116 235.510 impieg. 2 73.138 105.116 249.095 impieg. 2 5S 73.138 70.841 105.116 249.095 impieg. 1 6 97.463 81.224 105.116 293.803 impieg. 1S 7 97.463 81.224 105.116 293.803 l a 7
To ta le B+ C+ D a rro to n da t i W 2 4 0. 000 25 6. 60 0 2 7 3. 3 0 0 284. 300 324. 000 3 4 9. 000 398. 000 423. 900 3 4 p u n t i co nt ing e nza da l 1. 2. 1975 a l 3 1. 1. 19 77 5 7. 168 o 6 0. 3 4 7 I— 5 N N co 1— 5 cp 70. 8 4 6 8 1. 26 6 8 1. 26 6 Aum. der iv an te da l cong lo bam. (a l va lore max) (O o 7 L'i.Nc (v) + + 5. 55 1 E. ci, c.i + in co Lr) c.,-; 7 4. 2 75 cos to me d io 103 p u n t i c ont ing e nza fino a l 3 1. 1. 19 75) O 40. 820 48. 269 in o -e nt: LO in in mo in 73. 151 co ir) co N: a) CO L.r) co O) nenue pieweied n o O ,— nr , O -a T-1-N. ,-1t-- .4-zr 1— ,.-. in ,— C\J , Pag a ba se a t tu a le ( A+ 3 7. 0 0 0 E. D. R. ) ca 142. 000 148. 000 156. 000 O O O N:. CO T- 180. 00 0 20 5. 000 2 2 0. 00 0 245. 000 plaweied c3 o O T ir) O /-e) IInr al Tco o C9 CO T 'T Nti l03 O) T Pag a base C CNL 19 7 3 < 105. 000 110. 000 19.1 000 130. 000 143. 00 0 168. 000 18 3. 00 0 o o o cià o C\J_ oopn 'bui leO 1CL6L N cg TI- in in in CO N-
o LiT N T'""-•"" a) E g V) "Ri i O co ccs -r- ari h- 03 I6 056 O O O O C \I nr codi 0 O CO CO 03 LI) 0; Q E o -J I o X O o O 0 = O o oi O N CD 'T' T cú 5 4(r) O g D Z O O O O O CO Lri T 1--C\I ci) O O Lci IPO TES I « A»: AU MEN TO U GU ALE PER TU TTI DI L. 15. 0 00 00 r---.. Lo ' M T03 co.. co " N- 1.6 co co ' co_ cri 2 g cm_ ( r: 1 c% r= CO ") c‘i . 22. 800 op. 2. 500 20. 300 imp. 1 15. 800 7. 000 7. 500 29. 800 19. 300 18. 000 3 4. 500900 3 9. 45 0 i 9. 000 42. 600 42. 800 106. 000 o o o o r,-. ,ci ci E — o o C") h-: C9 4 3. 500 op.imp. ci E o. , 18. 5 00 8 2. 2 5 0 3 3. 250 6 6. 000 37. 800 5 2. 300 58. 500 33. 500 9 7. 250 48. 250 8 O CO 3 11. 100 o o co CO n CI) 3 82. 5 00 4 46. 2 50 5 04. 900 N N 1— N Cr) T-O LO 1— LO N. 1— CO O) "-O O M co 03 N O O C O) O) CM 3 39. 000 3 64. 000 4 13. 900 438. 900 0") nr Lr) J CO .:" o tr) r... o co r---Cos to me d io r ip arame traz io ne L. 20. 58 4 ir) E cTs z o o a)" co ao tr) CD C c .í .! oati g 9
o « B»: AU MEN TO U GU ALE PE R TUTT Cos to me d io r ip arame tr az ion e L. 2 2. 390 Cn .m 5 "E E D Cd -r._a) O ca > à-) 03 a) CO c c o ci 0 0 cc) o IPO TESI ASSORB IMENTO SU PERMIN. IN DIVIDU AL E Au me n to non % Ca teg. assor bibiIn dag ine le FLM ( PX) N o ,- CO T ci d b o o o 03 ai tri 21. 400 35, 70 8. 10 0 1, 58 32. 400 17, 68 19. 600 5, 3 1 9. 000 37. 000 9, 8 4 42. 600 3. 40 0 11, 86 3, 8 1 42. 800 43. 200 4, 0 1 1, 2 a) N r: cr3 CO c.i I Me dia sup erm in. in dag ine F. L. M. I I 00 ° 0 co co ci ai 2. 500 15. 800 7. 500 19. 300 o 0 o CO o 170. 000 ci ci oE ci ci oE ci ci oE ci_ ci oE ci ci oE 2 -r. a) cw 0, 9 5r) I t74 N a co U i a_ I 14. 600 23. 900 38. 900 46. 000 21. 000 8 6. 0 0 0 36. 100 70. 900 a) cE cii 0 0 U 5) .r._. 0 20. 00 0 3 4. 6 00 43. 900 58. 900 o o o CO co 41. 000 10 6. 0 0 0 0 o 1CO co 90. 900 ia) E c (ti O ca N 0. (C3 EE rj) Z o O O o CO N 2 9 1. 200 3 17. 200 3 43. 20 0 o 0 O ci 0) Cr) 455. 000 5 14. 800 (h a u) a) --.- -.-. 9 ..-. E Ó 4.-• o. . Z L- ....., CL * O O T— N ,-T— N N T— N e) 1— O Lo 1— LO N"r-00 C» 1— + (1) a) 0 Tu 8 ci i- N 2 0 CD O • o CD N 0 0 CO (O h.• C\l 293. 300 30 4. 30 0 3 4 4. 000 o 0 O ai CD CO 418. 900 i 44 3. 900 a) O O c 0) D O 03 Ci r' O C C» 1-• N CO "zt LO '' r•-• CO LO '' cg CO N10

Turn static files into dynamic content formats.

Create a flipbook
Consiglio di fabbricaFLM73 by fondazioneisec - Issuu