Skip to main content

Tribuna sindacale4

Page 1

Bollettino unitario dei Consigli di Fabbrica della Siemens Elettra

Documento sull'ipotesi di piattaforma

Il rinnovo del contratto del Metalmecc,nici si colloca in una fase caratterizzata da un ampio attacco padronale che tenta la rivinciti sullo coneuiste realizzate dai lavoratori nel corso di questi anni .

Gli obiettivi centrali del contrattacco padronale sinot i Consigli di Fabbrica e la contrattazione aziendale .

Il padronato vorrebbe svuotare i Consigli di Fabbrica , diventati in questi anni le nuove strutture di base del sindacato, togliendo loro il carattere di profonde e democratica partecipazione di tutti i lavoratori. Nello stesso terpn il padronato tende a regolamentare e a limitare il diritto di contrattazione nelle aziende ponendo quindi un vincolo allo stesso diritto di sciopero; esso è intenzionato quindi a riproporre quella pregiudiziale che già abbiamo sconfitto con le dure lotte dello ultimo contratto .

Questo tentativo si inquadra in un preciso disegno politico portato avanti dalle forze conservatrici del nostro paese, e trova conferra negli attacchi polizieschi,ai picchetti IBM-SIRTI e nella sospensione di centinaia di lavoratori 'responsabili' di aver effettuato scioperi articolati in tutte le lotte di questi mesi .

E' necessaria quindi la massima mobilitazione perchè nello scontro che si va delineando vengano salva§uardati gli strumenti che i lavoratori si sono dati in questi ultimi anni, per conquistare' I loro obiettivi.

IPOTESI DI PIATTAFORMA

In questo quadro il Coordinamento dei Consigli di Fabbrica della Siemens Elettra, presa visione dalla elaborazione compiuta dagli Esecutivi Naziohali Unitari, delle proposte della Assemblea Nazionale dei delegati di Brescia presenta l'insieme della ipotesi di piattaforma contrattuale con delle precisazioni effettuaté in sede di Coordinamento e invita tutti i lavoratori della Siemens Elettra ad una ampia e approfondita consultazione .

1972
TRIBUNA SINDACALE UNITARIA n•10 luglio
PER LA CONSULTAZIONE DEL RINNOVO DEL CONTRATTO NAZIONALE UI IMORO

CLSIE1 L'IMADRAMENTO UNICO MEI Definizione

L'inquadramento unico significa che operai e impiegati vanno classificati insieme su un'unica scala di categorie, che si supera anche sul piano formale la divisione In caste . Non significa categoria unica o Ea2a unica e, come vedremo più avanti non significa almeno per ora totale parità normativa ( anche se comporta notevoli passi avanti ).

I ErinciEl della rivendicazione dell'inquadramento unico sono intersecazione tra ex categorie opekale e ex categorie impiegatizie ( e cioè non ci saranno tutti gli impiegati sopra e gli operai sotto ) ;

diminuzione del numero delle categorie rispetto alle attuali ( da 7 a 11 a seconda delle fabbriche ) ;

ma qui

gol

superare le forti distanze attuali tra minimo sindacale degli operai di prima o seconda e minimo degli impiegati di seconda o terza ;

impedire che gruppi notevoli di impiegati e operai restino a vita nelle categorie intermedie o inferiori;

affrontare il problema del forte sfasamento tra minimo sindacale e superminime specialmente nelle categorie medie e superiori.

PROBLEMI PARTICOLARI

Per le piccole aziende dovè l'incentivo rappresenta spesso una quota minimi* del salario e per le grandi aziende dove si è già centrattato il trasferimento in paga base di una parte notevole del salario variabile , l'ipotesi dell'assorbimento crea problemi di non facile soluzione .

L'ipotesi di assorbimento vale anche per gli operai attualmente in 3° categoria 7

ALCUNE CONSEGUENZE Sii de Nel dibattito occorre sottolineare che, come conseguenza dell'inquadramento unico avremo ai miglioramenti dell'indennità di contingenza per gli operai inseriti coh gli impleg' zi, ti in categorie comuni ;

l'assorbimento della parte variabile del salario è un passo avanti sulla strada de sueeramento del cottimo .

lo e un (o 9i te di

to, imi 1191 Pei
riduzione della distanza tra il parametro ( cioè minimo sindacale ) della prima categoria e quello dell'ultima ; grosso modo si tratta di ridurre le distanze a 100-200 ; il minimo della prima categoria non dovrà essere più che doppio di qual.' lo dell'ultima . ( il che implica alcuni aggiornamenti salariali per la categoria inferiore ) Noi
si a i vei
Ci proponiamo di rivendicare cinque categorie . Ciò com9orta grossi problemi prati' a) ci :

MENSILI ZZAZIONE

e Mensilizzazione del salario operaio non signitica soltanto un adeguamento formale n ma l'anticipo della malattia e infortunio e la garanzia del salario ( copertura della quota non pagata dalla cassa integrazione ), sia che questa venga richiesta nel contratto, sia che venga contrattata a livello intercategoriale .

MOBILITAI TRA CAThOURIE

n Una volta attuato l'inquadramento unico il problema centrale diventa quelle di impedire che una massa di operai ( specie quelli di produzione ) e di impiegati tspecialda Perciò non è sufficiente prevedere qualche scatto automatico di salario dentro le catemente le donne e gli amministrativi di terza ) resti ingabbiata ai livelli inferiori.

gorie , occorre rivendicare una mobilità tra le categorie . t'cco le varie soluzioni :

Mobiliti professionale : si rivendica che i lavoratori ( operai e impiegati ) siamo mesl.' si in grado di acquisire nozioni teorico pratiche che consentano il passaggio a mansioni a a più alto contenuto professionale e di conseguenza a categorie suaeriori . Ciò può avvenire : (o)

tP a) copertura del posti di lavoro più qualificati che si rendono liberi per naturale avvicendamento ;

b) rotazione su posti di lavoro a più alto contenuto professionale ;

C) rotazione su pesti di lavoro analogo livello ma con diverse contenuto professionale e ( quindi non si tratta di rotazione sulla catena di montaggio che ha un valore semmai di riduzione della monotonia, ma non di acquisizione di professionalità ) ; ricomposizione di mansioni e creazione di mansioni a più alto contenuto professionale; passaggio da mansioni individuali a lavoro complesso di gruppo ; qualificazione teorico pratica per mansioni nuove .

LI probabile che stabilendo questi principi e contrattandoli più precisamente a livello aziendale si riapra una possibilità di mobilità professionale e salariale agli operai e impiegati di terza, nelle fabbriche dove l'organizzazione dèl lavoro consente già ora un intervento modificatore o quanto meno regolatore da parte del sindacato .

LI chiare che la mobilità ha senso pieno soltanto quando è insieme salariale e professionale, tuttavia sarebbe illusorio pensare ad una modifica generalizzata in tempi brevi della tendenza alla dequalificazione del lavoro specialmente nella produzione in serie .

Per questo riscdilamo che con la rivendicazione di passaggi di catAoria fondati sulla Professionalità, masse di operaie e operai addetti alla produzione restino discriminati ai livelli inferiori della scala categoriale senza possibilità di effettiva riqualificaeg zione .

( o) LI ovvio che questi criteri sono da specificare a livello aziendale .

Già oggi il passaggio in seconda di molti impiegati si può imporre sulla base della giusta valutazione del loro apporto professionale ( per esempio molte impiegate sono sottovalutate )

Comunque nel lavoro impiegatizio è possibile rivendicare quasi ovunque una diversa distribuzione del lavoro che elimini i posti più dequalificati .

In assenza di una risposta aziendale alla rivendicazione di riqualificazione, bisogne imporre il passaggio per gli operai di terza all'attuale seconda, attenuando quantomeno una ingiustificabile discriminazione retributiva .

CONCLUSIONI Si

L'inquadramento unico ha rappresentato e certamente rappresenterà un notevole passo PI avanti unificatore in tutte quelle realtà dove le paghe di posto frantumavano i lavoratori , e là dove è possibile garantire una mobilità professionale reale .

Se vogliamo che non resti un fatto formale e rappresenti un passo avanti anche per quella larga parte della categoria che opera in condizioni di accentuata dequalificazione dobbiamo spezzare il ghetto degli operai ( e operaie ) di terza e degli impiegati di terza garantendo una mobilità di categorie .

In caso contrario l'unificazione sarà piuttosto formale e accentuerà le contraddizioni.

L'inquadramento unico deve essere accompagnato da sostanziali passi in avanti anche nel piano delle parità normative ( ferie e indennità di anzianità J

ELEMENTI DI PAXITA' NORMATIVA

L'ipotesi non prevede il raggiungimento della completa parità normativa, ma il conseguimento dei seguenti obbiettivi :

Ferie

Parità piena operai-impiegati e incremento del numero delle ferie nelle seguenti misure: e

4 settimane per anzianità di lavoro non di servizio fino al 10° anno

Per anzianità di lavoro si intende l'anzianità maturata dal lavoratore sommando gli ari- o ni di lavoro da lui prestati presso ogni Ditta ; 1

5 settimane per anzianità di lavoro oltre il IO° anno

La settimana si intende di cinque giorni di otto ore ciascuno; fatte salde le condizioni 3 di miglior favore acquisite .

Anzianità

avvicinamento del trattamento degli operai a quello degli impiegati mediante l'istitu' A zione di un nuovo scaglione con due misure :

per anzianità fino a 10° anni 150 ore ( al posto delle 48 ore per il l° anno e del' C le 88,30 per quelli sucessivi previste dal contratto attuale ;

per anzianità oltre i 10 anni una mensilità ( al posto delle 130 ore e delle 150 previste rispettivamente dal contratto attuale . Per quanto riguarda gli aumenti periodici di anzianità in vista di una ristrutturazione e di una parificazione di questo istituto si propone l'elatorazione ii una piattaforma comune con le altre categorie dell'industkia da gestire a livello intercenfederale .

Trasferimenti

Consenso del lavoratore per il trasferimento al di fuori del comprensorio per il quale è avvenuta l'assunzione e definizione di procedura per gli altri casi .

Uranio di Lavoro

Il problema dell'orario di lavoro è intimamente legato a due obiettivi, uno esterno e l'altro interno alla fabbrica :

do 9' PI cl di 91 d; 91

l'obiettivo esterno è quello di aumentare l'occupazione e favorire l'aumento degli organici di lavoro;

l'obiettivo interno è quello di consolidare e bloccare a 40 ore l'attuale settimana lavorativa .

PICCOLE FABBRICHE

Viene ribadito il concetto della uguaglianza dei miglioramenti che il contratto deve assicurare tanto per i lavoratori delle piccole quanto per quelli delle medie e grandi fabbriche . Non possiamo perè trascurare le discriminazioni a svantaggio delle Piccole imprese determinata dalla attuale politica economica, ne possiamo trascurare che il recupero di tale svantaggio a danno dei lavoratori ( salari inferiori,condizioni di lavoro peggiori ) ha spesso assunto dimensioni tali da rendere fruttuosa per i grandi gruppi industriali un'utilizzazione diretta e subordinata della piccola impresa

Lo sfruttamento intensivo dei lavoratori della piccola impresa ha cioè corrisposto ad un pih aspro attacco contro i lavoratori delle grandi .

Clè premesso rivendichiamo che nei confronti della piccola impresa venga attuata da parte del Governo una politica economica che assicuri la parità con èe aziende più grandi .( erediti agevolati - tariffe ridotte per l'approvvigionamento dell'energia ecc.

LOTTE SOCIALI

L'aumento del costo del lavoro che deriverà dal nuovo contratto non dovrà essere recuperato nè sulla pelle dei lavoratori nè di quella dei pensionati , del disoccupati ecc ...

E' pertanto necessario parallelamente alle rivendicazioni contrattuali individuare obbiettivi di lotta generallAuall:

1) Sviluppo dell'occupazione e del mezzogiorno ;

‘) Contenimento dei prezzi; Rivalutazione delle pensioni.

Nello stesso tempo devono essere valorizzati e puntualizzati i movimenti che sono stati sviluppati a livello territoriale .

A) Per la scuola . gratuità degli studi per i figli dei lavoratori ( tasse.libri.ecc.)

8) Per i traseortiL gratuità del trasporto casa-lavoro. casa-scuola

C) Per la salutet realizzazione della Unità Sanitaria Locale

1,) Per la casa. attuazione della legge 1971 per i risultati che consente di raggiungere e prime iniziative significative per la definizione dell'equo canone

Milano. 18 Luglio 1972

>ne :he t LI' el'
COORDINAMENTO GRUPPO SIEMENSELETTRA
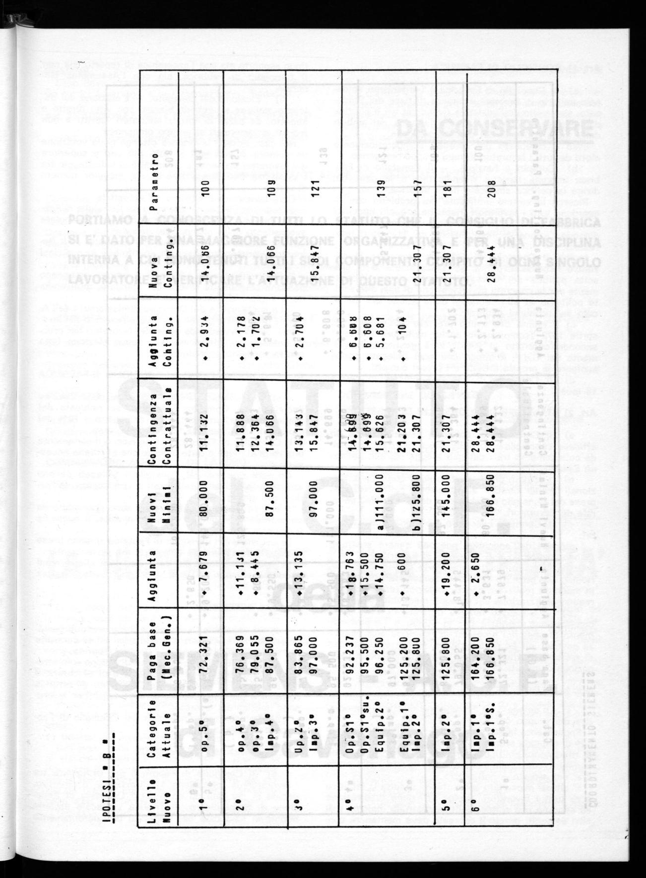
Param e tro O CO I •.• • Nuova Co n ting. CO CO CO la— v— CO CO c) 4. e— 15 8 47 21. 307 +i-.é -.I. • CO C‘J ni -,-, C o -• Ch 0, ...0C CID cc) 1"-. • r...1 O r• v-• ••• cz i-- 1re...i es.• r.1 • co O co (O • co O co CO • -4" «=, ''''" • 28. 44 4 2 8. 4 44 Con ting en za Con tra tto C.4 ...., •••• -• qCO OD "r". .-CO C.3 CO co O ...d. r -.9. 0 r.1 r 1 3 14 3 15. 6 26 15 8 4 7 14. 6 9 9 1 4. 699 21. 2 03 21. 03 7 Nuo v i m in im i 0) (O M • co r— p O 111 . rco 0 0 0 • rm 0 0 CO • (c) rs.1 r 0 Ln CO • co CO rAgg iun ta 4. 04 8 8. 45 5 tr) cs, r0 ?,) tf) r- M1 + 4. r••• CO ILI) • r" r•I • c••• c=i "3 • O e, • O p CO • 0 LO CO r..i • Pag a bas e ( MG) v— N r., • N rO) (O r) • co r0 c2 ,r) • M1 CO in Lr) cz, • o) C- 8 3. 86 5 96. 2 50 91. 0 09 92. 23 7 9 5. 500 1 2 5. 2 00 12 5. 8 00 16 4. 2 0 0 16 6. 8 50 ... • -I-. te U e • 0. 0 O cr3 O • CI. 0 O oh BUO IZ ii poJdi p ' d o e t ' d o t e , a ‘• — 0.— 0 O V) IV C.1 0 "*" • 0. a rogm, O fn 4 ° l oop. 1 °s up. op. C S 1 2 ° imp. ' d nsoL . 0:1 9 1 0 L og
• • I t -4-, W m L C M ,.-O_ Nu ova Co n tin9 . 4-lo ,----, • (".J .r.-00 • U-) v- 15. 8 47 ..., r", • v-<V .44. • OD ev A Agg iu n ta 7.4 C -4- .- •-- 37 OD •••• "*", r-- C e,, CO -7 O O r..1 -4- r- r..§ t-- .-- r- -•• • • v- N V- • CD i • • • • • Con tigg en za Con tra t to 11. 132 1 1. 8 88 12. 36 4 13. 1 43 15. 626 14. 0 66 1 5. 8 47 14. 6 89 15. 841 O C.") is28. 444 2 8. 4 44 Cr, LO O N O m • -On• .r, ..1 • v-N Nuo v i i;; In ici i 79. 05 5 9/. 000 ! CD P P 1.0 O O OD An cc) • -• tr) • CO ,-N v<10 .«.--Le3 p M Li P P O ...-• c r•1 rsCr) :n v• r -- m in r• ,..-.., • c---, • ,,,,., co • = • • : 3 • CO ...1 C.., (-V ••-• «...0 C', 1 I- 01 v- v- M CY, Cf, • • • • • • • • • ,C Pag a bas e ( MG) 7 2. 3 / 1 / 5. 36 9 79. 0 5 5 .0 2,2X) C:3 P 1.5 P cs.J in O P -,--, •••••• ,-) e..i cp c:..3 C.) 9 5. 500 125. 2 00 1 25. 8 00 :--.• O N O l-r3 C: • 7., CO • (O r-c=r, OD • r-Cr) • ?•.ii 2) • --0) • -4CO r• (e3 () r • • • • • • • • Q. O. • c3- • • O. Ci. 2, • (3. o O. E E^ CI. C .-"• D. CD. E D O Ci o o O o .- • v-- ED ••-• til -.-, (p OC') O o 3 n.; Cr) O _O O 3 O 1C Cr) • Cr) *^ o o o CD .0 4- 7 3 :V U? r" ,--• .- M .---• C., C rs.4 r "0 1.-3 :V 0 m 3 4. O ..f, • Ij E A LLE LORO LAVORATOR
Param e tr o o O T o vnr-N r C,1 rh ,CO (O nO O) nNuova Co n ting. CO tO C> .1. v-P.-t* CO CO vrO c,"> • n-C•4 r0 C.") • IN 21. 307 -a* -eh +h • CO C,.I t0 -•• C 7 CA C0 IC ..i.• c, O) • N • CO r. n• N • V = r1-• •• AF c> rN • OD o CO • (O • 00 o CO • CO • vCO CO • CO • *h 0 — • Con ting e nza Co n tra tto 11. 1 32 11. 8 88 12. 364 14. 066 Z., ..i. q• t” .-,..• +t M • CO -. O) O) CO • -# -C7) O) CO • -4. r CO "I CO • In r r-•> O N • 1N rsO en • 1-N L O E • LZ 28. 444 18. 4 44 .I••• E «..., = — 113 •••• X. O 7 = 87. 500 97. 000 C3 O O • Tvn1=1 0 CO • CO N n- 14 5. 000 1 66. 85 0 Agg iu n ta O) r1-• CO r • lr., q• nr • CO CO +é • CO • 0 e> tr• m r • t'" (O r... • o r • O o In • CO r • C3 tr) r• .4 n• = O CO • O CO N • czn n-• O 0 0 N • Pag a bas e ( PG) nrCV r" • N M1 O) CO t*" • 0 ti 0 CO p • Crt rp C:3 CO • 1..» CO 83. 865 97. 000 rC., e...i • C,4 O) o p CO • CO O) CD 0 N • GO O) O 0 N • CO ?V r O O CO • un N r O O CO • CO C‘i r O 0 cv • -.1. tO -O CO CO • CO co ....-m 0 t> 1 ° 5 °op. 4 °op. 3 °op. 4 °1'9. • O. o o c../ o CGI • • O. E ..o :•"/ d a i o Z L S3 Z S 3 d o S ol or o 1-.3 • O. o — o ** o 1-• m. o — o CO 0 0 o 1-• 0. E — H W i O e o-
Pa ra me tro O 0 Ie) O r -• tv r 01 m r kr) I-CO r c0 O cv Nuova Co n t cm co 1 5. 847 1-21. 3 07 -423 (O O -Re C> C) M .4k. • • -41-d• 1.. ,• cv Co cv Ag g iun ta Co ht I ng. -* CO Ni +é 33 CO -• 4* m "... ce W re 0 CO c) O) .- r.- r-- 23 (O un e-• • •• • • cv "41- (v CO :0in • • • • • •• • Con ting e nza Con tra t tua le ?si M) i 11. 8 88 12. 364 1 4. 0 66 -., .4» n-1---eh CO 14 Ad g 14. 6 9 4 15. 626 21. 203 21. 307 21. 307 -49. -d• -4-.4 -eh .41• • • • • 41... :•1, 1-14, -CO c..4 CO cv 0 00' 08 87. 5 00 0 C) 0 W C) 1 4 5. 000 0 in ..— > O e ea „„.. o «O c:a • r-0) 0 • .-1..CO • in !V lCO • co CO 1.= 33 --. .--,. M -O Ag g iun ta 01, 4-- " in C3 O Ce 0 C) r-- *-3 -i- m (O cz. In C> C3 in (O a-- -.dr ,-- i.- Le h- CO (V CO l • • • • • • • • • M1 1- CO M CO Le -4. Cn r..I 1.- 1-- r r r 14. • • • • * • • • • Pag a bas e ( ile c. Ge n. ) 1r. CV M 76. 36 9 79. 05 5 8 7. 500 83. 865 97. 000 rs m "i Ce ,=, ce 0 te CV O C) 0 W c..4 CO C> C) CO 1 64. 2 00 16 6. 8 50 • (v e--• cv O) • Le O) • CO O) • in in ..".1 "4 • in "4 1.. 1 . 1~ Ca teg or ie A ttua le • = VI 0 es4 O 4-• CO3 O o o O • O o o o o o •••• O C.5 i•••• T- o. O. CV CV v- -• Le arr r•, • IN • V) C/) .- ..-. • • • • • • Q. • Q. • • Q O O. Q. O. O. O. 0. O. O 0. 0 0. 0. O' CT O O el O O O O— M O CI L" W ....• -.I Live l lo Nuov o O O O O O O 1.. 4,3 ..), +è J) CO O
LaJ L•J C") Agg iun ta Nuova Con ting. Para me tro = 0 v02 C> ve-N eO) r" vI,11> v-. CC r CO O N CO CO CO • +t vCO tO O • .4i- 15. 8 47 P.. 0 C., • .1,-e...8 r. O CN Vi 1,2 -....ct ...10• CO N -d• CS, O) • C....1 • CS)rtr• N • N o r-• .1-• +é o t.14 • CO o (O •(O • CO o CO • CO • CD (O -4f• •• CO • vCO (O CO • 4 = v• Con ting enza Con tra ttua le 11. 1 32 11. 888 •••• GO CS, • N nCO CO c=, • -4n- 13. 14 3 15. 8 47 Crl CI CO • -eh nO) C7) CO • -41. nr-dCO • .n nCO N CO • CO n(.3 C> N • nN f'S 0 e2 • 1N 21. 307 28. 444 28. 4 44 Nuov i Min im i 8 0. 000 87. 500 9 7. 000 0 0 C> • ,-vvC> C> CO • Ln r''./ v-- 145. 000 CI CO CO • CO CO I0 ~ C O ..-.. C7, C7, -cC 02 r.o • I• Il'.3 cc> • f'2 • CO -eh -f • CO ,c-• • . 1 3. 1 45 '?", CO r•-• • CO li 0 p CO • CO r • C=3 C) CO • CO N • C2 CO Ln • 02 N • 0 (=, (O • 0 o N • O) v• C> 1-r) CO • N • Pag a bas e ( M. G. ) 72. 3 21 76. 359 79. 05 5 8 7. 500 8 3. 865 97. 000 irs. C., csi • N 0) 0 ez CO • CO C7> C> CO C:> • rs O> C> In N • <D C7) C> o N • CO N 0 o CO • 1) :v 125. 8 00 C> o N • -at o -t, CO • (O o • -1-• (0 U • O. O o CO 0 n• O. O o -* • in. O 0 CI O N • O. O ..0 -ch l • O. O O IV O .t., • n-1 0 O O CI ..--.. • 0. O o -• O All• o • O. 0 O -..._ • O. ••-• E ..-. -O O t., .--• f•J cn (.3OSO C.3 • M. •-• E — -0 O 0.4 .-• <o • O E 0 rs.1 O .0 • Cl. O ••• 0 eO 10 • CI. = CI O n-
DA CONSERVARE PORTIAMO A CONOSCENZA DI TUTTI LO STATUTO CHE IL CONSIGLIO DI FABBRICA SI E' DATO PER UNA MAGGIORE FUNZIONE ORGANIZZATIVA E PER UNA DISCIPLINA INTERNA A CUI SONO TENUTI TUTTI I SUOI COMPONENTI. COMPITO DI OGNI SINGOLO LAVORATORE E' VERIFICARE L'ATTUAZIONE DI QUESTO STATUTO. STATUTO del Cuci E della SIEMENS - A. C. F. di Cavenago Lt3t. ArilltsCH tí,ario)ìcrfriotril:. r,l, ,(191": ha ;ì •w bs fg ginernilidgg ib prteis tk.-,p3i-nérilty,eary.:4( ,ht!ne4 &Di/l:1011 qttut ib i ameicht ruteo3 e ,

Art. 1) CONSIGLIO DI FABBRICA

Il Consiglio di Fabbrica è l'organismo sindacale unitario di fabbrica e istanza di base del Sindacato, strumento dell'iniziativa rivendicat iva e politica dei lavoratori dentro e fuori la fabbrica nell'ambito delle linee politiche del sindacato stesso.

Esso è composto dai delegati democraticamente eletti da tutti i lavoratori di ogni gruppo omogeneo.

Compiti e funzioni. — Il Consiglio di Fabbrica imposta l'azione rivendicativa e la gestisce, dirige la politica sindacale nella fabbrica.

Ricerca la sintesi unificante dei problemi che riguardano tutti i lavoratori, risponde a quelli specifici di reparto o di gruppo; li affronta decidendo e coordinando l'azione di mobilitazione dei lavoratori interessati.

Inoltre il Consiglio di Fabbrica promuove le iniziative necessarie per la sensibilizzazione e la crescita politica dei lavoratori, contribuisce efficacemente per la concreta partecipazione di essi alle scelte politiche ed alle decisioni della azione del Sindacato sui problemi generali.

Il monte ore annuo previsto dall'accordo 18 aprile 1972 (comprensivo anche delle ore spettanti secondo contratto ai RAS), sarà gestito collegialmente dal C.d.F. in modo che ogni delegato possa iwolgere la proptim attività e i propri compiti.

Il Consiglio di Fabbrica rimarrà in carica 18 mesi.

Art. 2) STRUTTURE DEL CONSIGLIO DI FABBRICA

Il Consiglio di Fabbrica per assicurare un efficace coordinamento della sua attività ed un rapido collegamento tra i delegati elegge nel suo ambito un Esecutivo.

I compiti dell'Esecutivo sono operativi e funzionali quindi limitati all'attuazione delle decisioni prese dal Consiglio di Fabbrica e dall'assemblea generale dei lavoratori.

Il Comitato Esecutivo è composto da 9 membri.

I membri dell'esecutivo possono essere sostituiti in ogni momento dal Consiglio di Fabbrica.

Si riafferma comunque il criterio della verifica periodica non oltre i 6 mesi dei componenti l'Esecutivo' in modo da realizzare con la rotazione una più ampia responsabilizzazione dei delegati medesimi.

Il Consiglio nomina di volta in volta delle commissioni operative per lo studio e l'approfondimento di specifici problemi in relazione alle esigenze contrattuali ed organizzative; inoltre in occasione di trattative, procederà alla designazione della delegazione composta di delegati.

Art. 3) IL DELEGATO

a) Il delegato è l'espressione diretta e democratica del gruppo omogeneo.

Rappresenta la forza dell'unità del gruppo, la capacità di risposta pronta all'iniziativa padronale, il punto di riferimento politico. Esercita un potere di controllo e d'intervento sulle condizioni di lavoro nella squadra, nel reparto e nell'ufficio.

E' altresì impegnato sui problemi di tutta la fabbrica e di tutti i lavoratori, svolge un'azione di direzione ed esprime una sintesi politica costruita insieme agli altri delegati; perciò il delegato deve mantenere con-

tinuo rapporto sia con l'assemblea di reparto, sia con il Consiglio di Fabbrica, sia con l'Assemblea Generale.

Elezione del Delegato. — L'elezione del delegato avviene su scheda bianca, con voto diretto e segreto, da parte di tutti i lavoratori iscritti e non iscritti appartenenti al gruppo omogeneo.

Nel caso nessun lavoratore ottenga nella votazione un numero di voti pari al 50% più uno o superiore dei lavoratori presenti, si procederà al ballottaggio fra i primi tre che hanno riportato il maggior numero di voti.

Ogni lavoratore è elettore ed eleggibile.

ll Comitato Elettorale nominato dal Consiglio di Fabbrica garantirà la corretta procedura ed il regolare svolgimento delle elezioni dei delegati.

Revoca e sostituzione del delegato. — Il Delegato di gruppo omogeneo è sostituibile in qualsiasi momento.

Il 50% del reparto, ufficio o il gruppo omogeneo possono chiedere la revoca del delegato, motivandone le ragioni al Consiglio di Fabbrica.

La sostituzione del Delegato dimissionario dall'Azienda o dal Consiglio di Fabbrica o revocato dai lavoratori, dovrà avvenire da parte dei lavoratori del oruppo interessato, attraverso una nuova elezione fatta con le modalità sopradescritte.

Art. 4) CONVOCAZIONE del CONSIGLIO di FABBRICA

Il Consiglio di Fabbrica viene convocato su decisione del Comitato Esecutivo, su richiesta del Sindacato e da almeno 1/4 dei delegati o il 10% dei dipendenti motivandone l'ordine del giorno.

Il Consiglio di Fabbrica si riunisce ordinariamente una volta al mese e tutte le volte che si ritiene necessario.

Ad ogni riunione del Consiglio i Delegati devono essere preventivamente portati a conoscenza dell'ordine del giorno.

Le riunioni del Consiglio sono presiedute da un presidente nominato di volta in volta, il quale ha il compito di dirigere il dibattito.

Le decisioni del Consiglio di Fabbrica saranno prese a maggioranza assoluta (50%+1) dei partecipanti. E' facoltà del Consiglio far partecipare alle riunioni lavoratori che non ne fanno parte, con diritto di parola ma non di voto.

Art. 5) L'ASSEMBLEA

L'assemblea generale è il momento di partecipazione dei lavoratori alle decisioni ed al controllo dell'azione sindacale dentro e fuori la fabbrica.

L'assemblea di reparto o di gruppo è lo strumento fondamentale di conoscenza e di elaborazioni dei problemi, di dibattito e di confronto di tutte le opinioni e pertanto occasione importante per la crescita politica dei lavoratori.

L'assemblea viene convocata dal Consiglio di Fabbrica o dal Sindacato.

Art. 6) GIORNALE DI FABBRICA

a) li Consiglio di Fabbrica, per sviluppare tra i lavoratori la formazione, l'informazione, il dibattito, decide di dar vita ad un proprio Comitato di Redazione di Stabilimento, di Tribuna sindacale unitaria bollettino sindacale del Comitato di Coordinamento

SIEMENS.

Esso deve essere una tribuna aperta al confronto fra tutti i lavoratori e le Organizzazioni Sindacali.

Art. 7) APPROVAZIONE E MODIFICA DELLO STATUTO

a) Lo Statuto deve essere approvato dal Consi-

Colombo Giulia

Testa Anna

Sala Teresina

Graziano Severino

Mapelli Virginia

Cereda Maria

Ciocca Giovanna

Chiaratti Gloria

Cardinale Armando

glio di Fabbrica con una maggioranza qualificata di 2/3 dei delegati.

Lo statuto può essere modificato su proposta dei delegati. Le proposte di modifica dovranno essere sottoposte alla verifica del Consiglio di Fabbrica e per essere approvato dovranno ottenere la maggioranza dei 2/3 dei delegati.

DIRIGENTI RAPPRESENTANTI AZIENDALI SINDACALI UNITARI

Martinelli Elda

Sala Giovanni

Stucchi Luigi

Villa Carlo

Mauri Loredana

Bonfanti Luigia

Locatelli M. Teresa

Cerri Luisa

Arosio Gelsomina

Chiarello Ida

Tassan Luciana

Visconti Giuseppina

Bettinelli Loredana

Domenicalli Nello

Roberti Lia

Casella Giuseppe

Locatelli Mario

Saletti Rita

ESECUTIVO DEGLI ORGANISMI DIRIGENTI DELLE RAPPRESENTANZE SINDACALI AZIENDALI UNITARIE

Cardinale Armando Castelli M. Teresa

Villa Carlo Stucchi Luigi

Graziano Severino Colombo Giulia

COMITATO DI COORDINAMENTO UNITARIO

Testa Anna

Bonfanti Luigia

Cereda Maria

COMMISSIONE QUALIFICHE

Tassan Luciana Visconti Giuseppina Sala Teresina Visconti Giuseppina

Graziano Severino Cardinale Armando

COMMISSIONE AMBIENTE DI LAVORO

Villa Carlo Stucchi Luigi

COMMISSIONI COTTIMI

Mapelli Virginia Testa Anna

Castelli M. Teresa Martinelli Elda

LA NUOVA LEGGE SULLA MATERNITA'

E' in vigore dal 18 gennaio del corrente anno la nuova legge per la tutela della maternità. L'elemento innovativo di fondo rispetto alla precedente legge — che forse rappresentò una grande conquista per tutto il movimento sindacale e democratico italiano — è dato dal fatto che oggi, tutte le lavoratrici di tutti i settori, hanno diritto ad essere tutelate ed assistite (sebbene con alcune differenziazioni) in caso di maternità.

Vediamo, in questa nota, di fornire alcuni elementi fra i più importanti contenuti nella nuova legge.

1) Divieto di licenziamento

Dall'inizio della gestazione e fino ad un anno di età del bambino è fatto divieto all'azienda di licenziare la lavoratrice. Per impedire il licenziamento non è necessaria la presentazione del certificato medico ma basta la, oggettiva condizione dello stato di gravidanza.

Nel caso in cui la lavoratrice fosse stata licen-

ziata in stato di gravidanza, essa ha diritto ad essere riassunta purchè, entro 90 giorni dalla data del licenziamento, presenti una documentazione che „comprovi che al momento del licenziamento era in stato di gravidanza.

Se il licenziamento fosse stato attuato dall'azienda, anche prima della data in cui va in vigore la nuova legge e cioè il 18 gennaio 1972, se non sono trascorsi 90 giorni dalla data del licenziamento, il licenziamento deve essere revocato, purchè a quell'epoca si possa sempre provare che la lavoratrice era incinta.

Divieto di sospensione

La lavoratrice in stato di gravidanza o puerperio può essere sospesa solo nel caso in cui venga sospesa l'attività di tutta l'azienda o di un reparto che abbia autonomia funzionale.

Lavori insalubri o faticosi

Durante tutto il periodo di gestazione e fino a

sette mesi dopo il parto è vietato adibire le lavoratrici al trasporto e al sollevamento di pesi, ma anche a tutti, in genere, quei lavori che siano pericolosi, faticosi o insalubri.

Per l'organizzazione sindacale la pericolosità, la faticosità, la insalubrità, non possono essere stabilite con regole generali, valevoli per tutte indistintamente le lavoratrici, ma debbono essere riferite alla situazione ed alla determinazione soggettive della singola lavoratrice.

La legge prevede che nei casi sopraindicati come nel caso in cui sia accertato dall'Ispettorato del lavoro che le condizioni di lavoro o ambientali siano pregiudizievoli alla salute della donna, le lavoratrici vengano spostate ad altre mansioni anche inferiori, mantenendo però invariata la qualifica e la retribuzione.

4) Durata del periodo di astensione obbligatoria dal lavoro

Rispetto alla legge precedente vi è una modifica: la durata di assenza obbligatoria prima del parto è oggi di due mesi; dopo il parto è oggi di tre mesi (la legge precedente stabiliva 3 mesi prima del parto; 2 mesi dopo il parto).

Per le lavoratrici in stato di gravidanza che hanno iniziato il periodo di astensione obbligatoria prima' del 18 gennaio 1972 della durata di 3 mesi prima del parto — come stabiliva la vecchia legge — si specifica che questo periodo di assenza non viene interrotto dalle nuove disposizioni. E resta comunque valido che dopo il parto, il periodo di assenza obbligatoria è di 3 mesi.

Le lavoratrici che erano a casa prima della

I diritti della lavoratrice madre

entrata in vigore della nuova legge (18 gennaio 1972), al compimento del secondo mese di assenza dopo il parto, debbono inviare alla azienda una lettera raccomandata in cui comunicano che rimangono assenti « a sensi di legge » senza specificare se si tratti di assenza obbligatoria o facoltativa. '

Durata del periodo di astensione facoltativa dal lavoro dopo il parto.

Questo periodo è della durata di 6 mesi e non è considerato sospensivo del rapporto di lavoro. Indennizzo per il periodo di assenza obbligatoria e facoltativa

A tutte le lavoratrici in assenza obbligatoria prevista dalla legge, prima e dopo il parto, viene corrisposta una indennità maternità giorn&iera pari all'80 per cento della retribuzione.

Nei casi in cui, o per esigenze organizzattiè contingenti dell'azienda o per particolari ragioni di carattere personale' della lavoratrice, l'orario medio effettivamente praticato risulti inferiore a quello previsto dal contratto di lavoro della categoria, dovrà essere comunque garantito il minimo di ore contrattuali.

Durante il periodo di assenza facoltativa dopo il parto, alla lavoratrice verrà corrisposta a partire però dall'i gennaio 1973 una indennità pari al 30 per cento della retribuzione. Alle lavoratrici in assenza facoltativa prima dell'I gennaio '73 continuerà ad essere corrisposta l'indennità di disoccupazione.

Periodi di permesso retribuiti dal datore di lavoro

La nuova legge stabilisce che gli attuali periodi di permesso (due periodi di riposo giornalieri di un'ora ciascuno) potranno essere ora cumulabili nel corso della giornata (esempio: uscire 2 ore prima; oppure entrare al lavoro 2 ore dopo) e potranno essere usufruite fino a quando il bambino non ha compiuto il primo anno di vita.

Ciò che è poi particolarmente innovativo e importante è dato dal fatto che questi permessi debbono essere concessi sia se la lavoratrice allatti il suo bambino naturalmente, sia che lo allatti artificialmente.

Il permesso si riduce ad un'ora quando l'orario giornaliero di lavoro è inferiore alle 6 ore.

Anticipo del periodo di astensione obbligatoria dal lavoro e suo indennizzo

In precedenza, i periodi di astensione obbligatoria anticipata, venivano considerati alla stregua di una comune malattia e retribuiti come tali. Con la nuova legge sono previsti due tipi di anticipo di assenza obbligatoria.

Il primo tipo ha la durata di I mese e la lavoratrice può usufruirne se è occupata in lavori che in relazione all'avanzata gravidanza siano da ritenersi gravosi o possano pregiudicare la gravidanza stessa.

Il secondo tipo che può essere costituito da uno o più periodi la cui durata è stabilita caso per caso dall'Ispettorato del lavoro, spetta quando: sorgano complicazioni nella gestazione; preesistano forme morbose che possano aggravarsi a causa della gravidanza; esistano condizioni di lavoro o di ambiente che possano nuocere alla salute della donna e del bambino; la lavoratrice non possa essere spostata ad altre mansioni.

La retribuzione spettante alla lavoratrice in questi due tipi di anticipo di assenza obbligatoria, è pari all'80 per cento della retribuzione.

9) In caso di malattia del bambino di età inferiore ai 3 anni

La lavoratrice ha diritto a rimanere a casa ma purtroppo senza percepire retribuzione. Le assenze -sono computate nell'anzianità di servizio, ma mon per le ferie e la tredicesima mensilità. Il certificato medico che attesta la malattia del bambins,p0 essere redatto da un medico di libera scelta, della lavoratrice.

Lo spazio' non ci consente di porre in risalto considerazioni di valore più generale sulla nuova legge. Potremo riprendere l'argomento anche su richiesta dei nostri lettori. Ci preme ricordare a tutti i delegati, aì CdF, agli attivisti sindacali, che tutte le norme della precedente legge sulla maternità sono abrogate; che con l'entrata in vigore della nuova legge sono fatte salve in ogni caso, le condizioni di maggior favore stabilite da regolamenti, leggi, contratti e da ogni altra disposizione (esempio: anche condizioni migliori conquistate a livello di azienda)?

Turn static files into dynamic content formats.

Create a flipbook