Skip to main content

Calcolatore24

Page 1

ricalcolo DELLE RETRIBUZIONI OPERAIE CON L' ORARIO SETTIMANALE A 40 ORE

PREMESSA

Al raggiungimento delle 40 ore settimanali, il sistema di compensi per riduzione orario di lavoro viene sostituito dal ricalcolo della retribuzione diretta dei singoli lavoratori.

A tale scopo i singoli elementi costituenti in quel momento la normale retribuzione vengono maggiorati del 20%.

Con il ricalcolo delle retribuzioni le parti non hanno inteso determinare alcuna perdita di guadagno nè alcun vantaggio per i lavoratori.

In sostanza, dal 1° dicembre 72, a fronte di 40 ore di lavoro, l'operaio, deve percepire una retribuzione pari a ore 48 di lavoro effettivo.

Le voci interessate al ricalcolo sono:

Paga oraria (minimo più superminimo)

Contingenza (in vigore)

Cottimo (Lira-punto)

Cottimo (guadagno minimo 15%)

Cottimo

minimo 20%)

Tutte queste voci ad eccezione della prima (paga oraria) l'operaio le troverà ricalcolate in apposite tabelle e in altra parte del giornaletto.

La paga oraria poichè si differenzia da operaio a operaio, l'interessato la può ricalcolare maggiorando la paga di novembre del 20% o con più facilità moltiplicandola per 1,2.

Esempio di ricalcolo della paga oraria

Paga oraria rilevata dal listino di novembre = L. 500, dal 1° dicembre sarà L. 500 x 1,2 = L. 600.

Esempio di ricalcolo della busta paga

Supponiamo che un lavoratore di 3' categoria abbia elencato i dati salariali del proprio listino paga del mese di novembre e che corrispondano a quelli da noi elencati a sinistra del prospetto qui sotto riprodotto. Supponendo per maggiore chiarezza che il passo di cottimo realizzato nel mese di novembre sia Passo = 75 con un utile di cottimo pari a L. 100 orarie e che a dicembre abbia fatto ancora esattamente lo stesso passo si avrà:

Paga di novembre

540,00

Supponendo ancora che il lavoratore sopracitato nel mese di dicembre abbia lavorato 17 giornate pari a

dicembre 1972
il calcolatore
L.
Paga oraria
450,00 Paga di dicembre (x 1,2) = L.
Contingenza 77,37
biennali Cottimo » 100,00 (x
= »
Indennità di mensa Scatti biennali 17,10 (x 1,2) = » 20,52 Indennità di nocivo Indennità di mensa 3,75 (x 1,2) = » 4,50
(attese
(x 1,2) = » 92,85 Scatti
1,2)
120,00

ore 136, la sua retribuzione ricalc oiatae inerente alle sole ore lavorate sarà (le festività le spiegheremo più sotto):

1) Importo ore lavorative paga oraria 540.00 contingenza 92,85

632,85 x ore 136 - L. 86.068

5) Premio su ore controllate (cottimo)

120,00 x ore 136 _ L. 13.320

7) Scatti biennali

20,52 x ore 136 L. 2.791

17) Indennità di mensa

36,00 x gg. 17 _ L.

compreso, devono essere pagate in ragione di ore 8 giornaliere con retribuzione ricalcolata.

Infatti, se al lavoratore spettano 40 ore di retribuzione ricalcolata dal lunedì al venerdì compreso è evidente che la festività deve essere un quinto di ore 40 pari a ore 8 giornaliere di paga ricalcolata.

In pratica il lavoratore deve percepire un uguale salario settimanale sia che nella settimana non cadano festività, sia che nella settimana cadano una o piu festività.

Esempio:

Un lavoratore con paga ricalcolata di L. 700 in una settimana dove non cadono festività percepisce L. 700 x 612 ore 40 - L. 28.000.

Totale L. 105.971

FESTIVITA'

Da più operai ci viene chiesto come verranno pagate con il ricalcolo le Festività e la Gratifica Natalizia, lo spieghiamo con qualche esempio:

Premessa

Dal Contratto Nazionale di lavoro!

Resta fermo che. attraverso la riduzione effettiva dell'orario di lavoro ed il relativo ricalcolo delle retribuzioni orarie degli operai, le parti non hanno inteso, a prescindere dall'aumento salariale tabellare, determinare alcuna perdita di guadagno nè alcun vantaggio per i lavoratori.

Per cui la corretta interpretazione del pagamento delle festività è questa!

1) Festività cadenti in giornata lavorativa sono le festività che cadono dal lunedì al venerdì

Se nella settimana successiva cade una festività ha diritto di percepire la stessa quantità di salario per cui deve essere pagato così:

ore lavorate L. 700 x ore 32 --= L. 22.400 festività L. 700 x ore 8 = L. 5 600

TOTALE

L. 28.000

E' da respingere la tesi dell'Assolombarda che le festività cadenti in giornata lavorativa debbano essere pagate in ragione di ore 6,66.

2) Festività cadenti in giornata non lavorativa Sono le festività che cadono in sabato o domenica e che saranno pagate ín ragione di ore 8 giornaliere di paga non ricalcolata corrispondenti a ore 6,66 di paga ricalcolata.

Prendendo, ancora una volta, a prestito i dati salariali dell'operaio di 3' cat., riportati nell'esempio di ricalcolo della busta paga, dove il passo di cottimo realizzato nel mese di novembre è di L. 100 orarie, possiamo fare i 4 esempi caratteristici che più ricorrono in fabbrica.

N.B. - Le 4 o 5 lire di differenza sono dovute agli arrotondamenti del ricalcolo.

NORMALISTI

Se cade in giornata non lavorativa Con paga non ricalcolata Con paga ricalcolata 450,00 paga oraria x 1,2 = 540,00 77,37 contingenza x 1,2 = 92,85 100,00 cottimo mese precedente x 1,2 = 120,00 17,10 scatti biennali x 1,2 = 20,52 3,75 Indennità di mensa x 1,2 = 4,50 648,22 x ore 8 = L. 5.186 777,87 x ore 6,66 = L. 5.181 , Se cade in giornata lavorativa 777,87 x ore 8 = L. 6.223

NORMALISTA

voGLifl yr/ VtiEkTO O i sT t PENDIO P1ASSi.. ..•cHE SctoPER►1 • ChE LEI tii0 o PERA10..•• • Mq CNE Lei ~LIR . L AUREARSI COME N t O Fl6-1.03 1 queSto e Tt1/40PPo.
IN REP. NOCIVO Se cade in giornata non lavorativa Con paga non ricalcolata Con paga ricalcolata 450.00 paga oraria x 1,2 = 540,00 77,37 contingenza x 1,2 = 92,85 100,00 cottimo mese precedente x 1,2 = 120,00 17,10 scatti biennali x 1,2 = 20,52 3,75 indennità di mensa x 1.2 = 4,50 30,00 nocivo orario x 1,2 = 36,00 678,22 x ore 8 :2= L. 5.426 813,87 x ore 6,66 = L. 5.420 Se cade in giornata lavorativa 813,87 x ore 8 = L. 6.511 TURNISTA SETTORE PULIZIE (Turno fisso) Se cade in giornata non lavorativa Con paga non ricalcolata Con paga ricalcolata • 450,00 paga oraria 77,37 contingenza 100,00 cottimo mese precedente 17,10 scatti biennali 3,75 indennità di mensa x 1,2 = 540,00 x 1,2 = 92,85 x 1,2 = 120,00 x 1,2 = 20,52 x 1,2 = 4,50 648,22 x ore 8 = L. 5.186 magg. per notturno + 777,87 x ore 6,66 magg. per notturno = L. 5.181 + " 30% = 7,5% 30% = 7,5% 5.186 x 7,5% = L. 389 = 5.181 x 7,5% -= L. 389 = Totale L. 5.575 Totale L. 5.570 777,87 x ore 8 magg. per notturno = L. 6.223 .4Se cade in giornata lavorativa 30% = 7,5°,0 6.223 x 7,5% = L. 467 -= Totale L. 6.690'

REP. T.A. (Turni

GRATIFICA NATALIZIA

Non verrà pagata in ragione di ore 208 ma in ragione di ore 173,33. Come per le festività questo non deve diminuire il salario, i conteggi sotto riportati lo dimostrano.

Con riferimento ai dati salariali e alle note sulle fe"Stività più sopra riportate possiamo fare anche per la Gratifica: 4 esempi carattersitici.

N.B. - Le poche lire di differenza sono dovute agli arrotondamenti del ricalcolo.

NORMALISTA Con paga non ricalcolata 450,00 paga oraria 77,37 contingenza 100,00 cottimo mese novembre 17,10 scatti biennali 3,75 indennità di mensa Con paga ricalcolata x 1,2 = 540,00 x 1,2 = 92,85 x 1,2 = 120,00 x 1,2 = 20,52 x 1,2 = 4,50 648,22 x ore 208 = L. 134.830 777,87 x ore 173,33 = L. 134.828 NORMALISTA IN REP. NOCIVO Con paga non ricalcolata 450,00 paga oraria x 1,2 = 540,00 77,37 contingenza x 1,2 = 92,85 100,00 cottimo mese novembre x 1.2 = 120,00 17,10 scatti biennali x 1,2 = 20,52 3,75 indennità di mensa x 1,2 = 4,50 30,00 nocivo orario x 1,2 =-- 36,00 678,22 x ore 208 = L. 141.070 813,87 x ore 173,33 = L. 141.068 Con paga ricalcolata
alternati) Se cade in giornata non lavorativa Con paga non ricalcolata Con paga ricalcolata 450,00 paga oraria x 1,2 -- 540,00 77,37 contingenza x 1,2 = 92,85 100,00 cottimo mese precedente x 1,2 = 120,00 17,10 scatti biennali x 1,2 = 20,52 3,75 indennità di mensa x 1,2 = 4,50 648,22 x ore 8 = L. 5.186 magg. per notturno 777,87 x ore 6,66 magg. per notturno L. 5.181 --i15°/a = 3,75% 15% = 3,75% 5.186 x 3,75% = L. 194 5.181 x 3,75% = L. 194 Totale L. 5.380 Totale L. 5.375 777,87 x ore 8 magg. per notturno = L. 6.223 -iSe cade in giornata lavorativa 1 5 % = 3,75% 6.223 x 3,75% =_. L. 233 = Totale L. 6.456
TURNISTA
=L.134.830 648,22xore208 magg.pernotturno 30%=7,5% magg.pernotturno 30% = 7,5°'0
SETTORE PULIZIE (Turno fisso) Con paga non ricalcolata Con paga ricalcolata 450,00 paga oraria 77,37 contingenza 100,00 cottimo novembre 17,10 scatti biennali 3,75 indennità di mensa x 1,2 = 540,00 x 1,2 = 92,85 x 1,2 = 120,00 x 1,2 = 20,52 x 1,2 = 4,50 + 777,87 x ore 173,33 = 134.830 x 7,5% = L. 10.112 = 134.828 x 7,5% Totale L. 144.942 Totale L. 134.828 + = L. 10.112 = L. 144.940 TURNISTA REP. T.A. (Turni alternati) Con paga ricalcolata x 1,2 = 540,00 x 1,2 = 92,85 x 1,2 = 120,00 x 1,2 = 20,52 x 1,2 = 4,50 + 777,87 x ore 173,33 --- L. 134.828 + magg. per notturno 15% = 3,75% 134.828 x 3,75% = L. 5.056 = Totale L. 139.886 648,22 x ore 208 = L. 134.830 magg. per notturno 15% = 3,75% 134.830 x 3,75% = L. 5.056 = Totale L. 139.884 Con paga non ricalcolata 450,00 paga oraria 77,37 contingenza 100,00 cottimo novembre 17,10 scatti biennali 3,75 indennità di mensa CONTINGENZA MINIMO DI PAGA CONTRATTUALE fino al 30-11-72 dal l" Dicembre 1972 cat. L. 443,45 x 1,2 L. 532,15 cat. L. 403,00 x 1,2 L. 483,85 cat. L. 380,05 x 1,2 L. 456,10 cat. L. 82,25 x 1,2 L. 98,70 cat. L. 77,37 x 1,2 L. 92,85 x 1,2 fino al 30-11-72 1' 92,06 cat. L. dal 1" Dicembre 1972 L. 110,47
TURNISTA

SCATTI BIENNALI

Premessa

Gli operai per ogni biennio di anzianità di servizio prestato dopo il compimento del 20" anno di età e nella medesima categoria di appartenenza hanno diritto ad una maggiorazione nella misura dell'1,50% della paga minima tabellare oraria della categoria cui appartengono.

L'importo orario dei bienni con il ricalcolo diventa:

Nella stessa categoria si possono maturare fino a tre scatti cioè al compimento del 2" anno 1,5%, al compimento del 4" anno altro 1,5%, 3% totale e al compimento del 6" anno altro 1,5% = 45% totale. Gli aumenti decorreranno dal 1" del mese immediatamente successivo a quello in cui si compie il biennio di anzianità.

COTTIMISTI

Attese

Nelle lavorazioni a cottimo le attese sono retribuite in due modi:

1) al 1000/o cioè con la media personale di cottimo

realizzato in quella lavorazione.

2) Al 20% del minimo contrattuale della categoria di appartenenza

Per il primo caso non vi è bisogno di conteggi, per il secondo vedi prospetto qui sotto riprodotto:

Minimo garantito di cottimo

In caso di tempi assegnati troppo stringati dove il lavoratore non riesce a raggiungere un utile di cottimo orario pari al 15% del minimo contrattuale della

2' categoria operaia che è L. 72,58 (L. 403,20 x 15% = L. 72,58), l'azienda deve elevare l'utile di cottimo, per quella bolla di lavorazione, a L. 72,58 orarie.

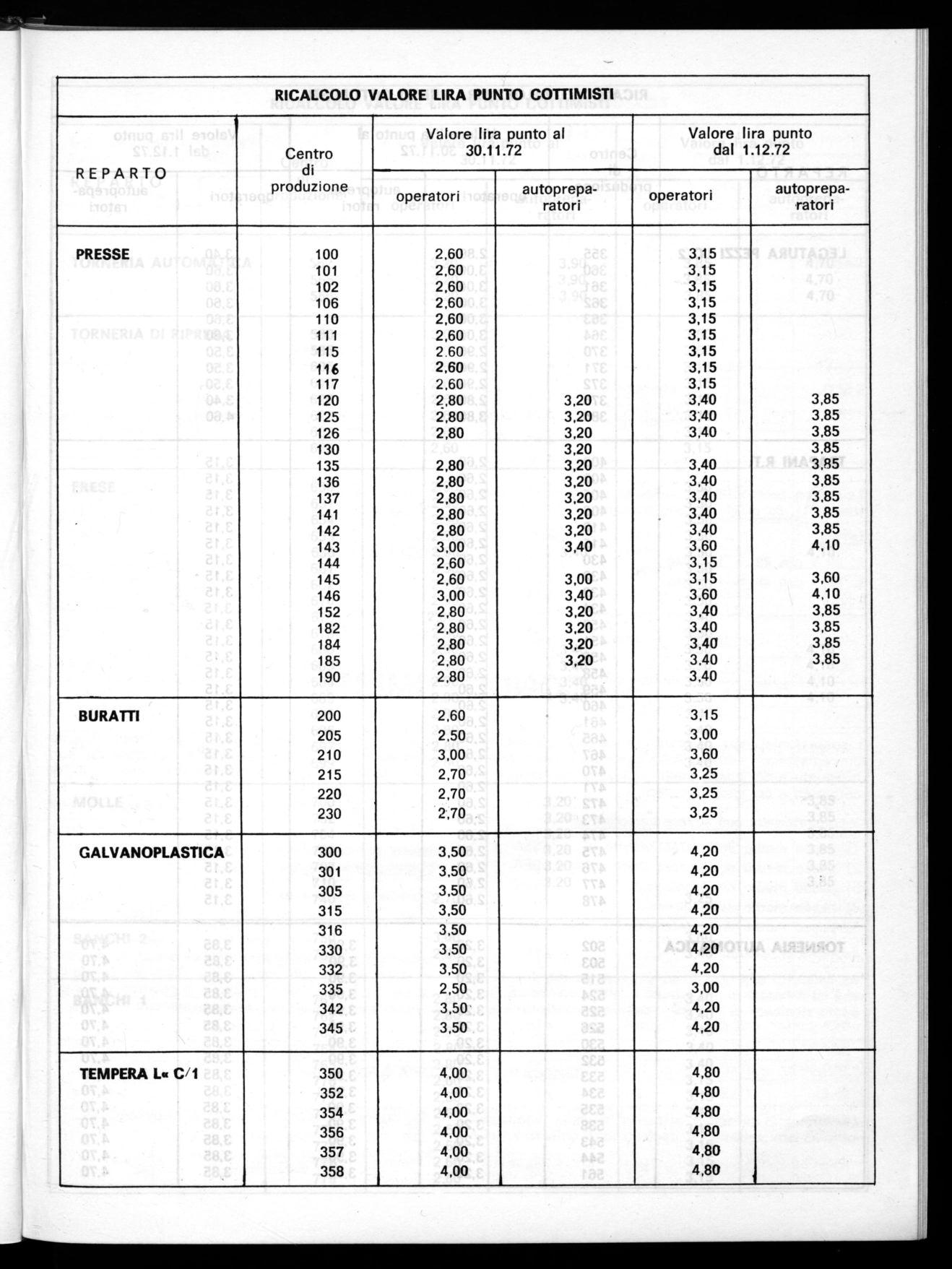
Valore Lira-Punto

Anche il valore lira-punto deve essere ricalcolato maggiorandolo del 20%, o più facilmente lo si ottiene moltiplicandolo per 1,2.

Allo scopo riportiamo nella tabella qui sotto e divisi per reparti, i centri di produzione e i corrispondenti

valori lira-punto in atto al 30.11.1972 e quanto saranno dal 1° dicembre 1972ivalori lira-punto ricalcolati.

Esempio di calcolo dell'utile di cottimo.

L'operaia del reparto Presse che lavora al centro di produzione n. 100 e che a novembre aveva un valore lira-punto di 2,60 ha raggiunto sia nel mese di novembre che nel mese di dicembre il passo 80, il guadagno di cottimo del mese di novembre sarà diL . 78 orarie, quello di dicembre di L. 94,5 orarie.

Novembre passo 80 - 50 = 30; L. 2,60 x 30 = L. 78 orarie.

Dicembre passo 80 - 50 = 30; L. 3,15 x 30 = L. 94,5 orarie.

Minimo tabellare Lire 1,5% L. 3% L. 4,5% I. categoria L. 532,15 L. 7,98 L. 15,96 L. 23,95 categoria » 483,85 L. 7,26 L. 14,52 L. 21,77 categoria » 456,10 L. 6,84 L. 13,68 L. 20,52
MINIMO CONTRATTUALE ATTESE = L ORARIE categoria L. 532,15 x 20% = L. 106,45 categoria L. 483,85 x 20% = L. 96,80 3" categoria L. 456,10 x 20' = L. 91,25
Centro Valorelirapuntoal 30.11.72 Valorelirapunto dal1.12.72 REPARTO di produzione operatori autopreparatori operatori autopreparatori PRESSE 100 2,60 3,15 101 2,60 3,15 102 2,60 3,15 106 2,60 3,15 110 2,60 3,15 111 2,60 3,15 115 2.60 3,15 116 2,60 3,15 117 2,60 3,15 120 2,80 3,20 3,40 3,85 125 2,80 3,20 3,40 3,85 126 2,80 3,20 3,40 3,85 130 3,20 3,85 135 2,80 3,20 3,40 3,85 136 2,80 3,20 3,40 3,85 137 2,80 3,20 3,40 3,85 141 2,80 3,20 3,40 3,85 142 2,80 3,20 3,40 3,85 143 3,00 3,40 3,60 4,10 144 2,60 3,15 145 2,60 3,00 3,15 3,60 146 3,00 3,40 3,60 4,10 152 2,80 3,20 3,40 3,85 182 2,80 3,20 3.40 3,85 184 2,80 3,20 3,40 3,85 185 2,80 3,20 3,40 3,85 190 2,80 3,40 BURATTI 200 2,60 3,15 205 2,50 3,00 210 3,00 3,60 215 2,70 3,25 220 2,70 3,25 230 2,70 3,25 GALVANOPLASTICA 300 3,50 4,20 301 3,50 4,20 305 3,50 4,20 315 3,50 4,20 316 3,50 4,20 330 3,50 4,20 332 3,50 4,20 335 2,50 3,00 342 3,50 4,20 345 3,50 4,20 TEMPERA L« C/1 350 4,00 4,80 352 4,00 4,80 354 4,00 4,80 356 4,00 4,80 357 4,00 4,80 358 4,00 4,80
RICALCOLO VALORE LIRA PUNTO COTTIMISTI
Centro Valorelirapuntoal 30.11.72 Valorelirapunto dal1.12.72 REPARTO di produzione operatori autoprepa- operatori autopreparatori ratori LEGATURA PEZZI LC, 2 355 2,80 3,40 360 3,00 3,60 361 3,00 3,60 362 3,00 3,60 363 3,00 3,60 364 3,00 3,60 370 2,90 3,50 371 2,90 3,50 372 2,90 3,50 , 375 2,80 3,40 380 3,80 4,60 TRAPANI R.T. 400 2,60 3.15 402 2,60 3,15 405 2,60 3,15 406 2,60 3,15 410 2,60 3,15 415 2,60 3,15 430 2,60 3,15 432 2,60 3,15 433 2,60 3,15 434 2,60 3,15 450 2,60 3,15 451 2,60 3,15 455 2,60 3,15 458 2,60 3,15 459 c 2,60 3,15 460 2,60 3,15 461 2,60 3,15 465 2,60 3,15 467 2,60 3,15 470 2,60 3,15 471 2,60 3,15 472 2.60 3,15 473 2,60 3,15 474 2.60 3,15 475 2,60 3,15 476 2,60 3,15 477 2,60 3,15 478 2,60 3,15 TORNERIA AUTOMATICA 502 3,20 3,90 3,85 4,70 503 3,20 3,90 3,85 4,70 515 3,20 3,90 3,85 4,70 524 3,20 3,90 3,85 4,70 525 3,20 3,90 3,85 4,70 526 3,20 3,90 3,85 4,70 530 3,20 3,90 3,85 4,70 532 3,20 3,90 3,85 4,70 533 3,20 3,90 3,85 4,70 534 3,20 3,90 3,85 4,70 535 3,20 3,90 3,85 4,70 538 3,20 3,90 3,85 4,70 543 3,20 3,90 3,85 4,70 544 3,20 3,90 3,85 4,70 561 3,20 3,90 3,85 4,70
RICALCOLO VALORE LIRA PUNTO COTTIMISTI

RICALCOLO VALORE LIRA PUNTO COTTIMISTI

Centro Valorelirapuntoal 30.11.72 Valoreliirapunto dal1.12.72 REPARTO di produzione operatori autoprepa- operatori autopreparatori ratori TORNERIA AUTOMATICA 562 3,20 3,90 3,85 4,70 565 3,20 3,90 3,85 4,70 566 3,20 3,90 3,85 4,70 TORNERIA DI RIPRESA 580 3,00 ' 3,60 585 300 3,60 605 2,60 3,15 610 2,60 3.15 620 2,60 3,15 623 2.60 3,15 632 2,60 3,15 635 2,60 3,15 FRESE 650 2,90 3,50 651 2,90 3.50 654 2,90 3,50 655 2,90 3,50 656 2.90 3,40 3,50 4,10 661 2,90 3,50 662 2.90 3,50 670 2,90 3,50 678 2.80 3,40 679 2,90 3.50 680 2,90 3,40 3.50 4,10 683 2.90 3,40 3,50 4,10 684 2.90 3,40 3.50 4,10 689 2.90 3.40 3.50 4,10 695 2.80 3,40 696 2,80 3,40 697 2,80 3,40 699 2,80 3,40 MOLLE 700 3,20 3,85 702 3,20 3,85 704 3,20 3,85 706 3,20 , 3,85 707 3,20 3,85 710 3,20 3,85 740 2,70 3,25 BANCHI 2 750 3,00 3,60 751 2,80 3,40 BANCHI 1 761 2.80 3,40 762 2,80 3,40 763 2,80 3,40 764 2,80 3,40 765 2.80 3,40 770 2,60 3,15 771 2,60 3,15 772 2,60 3,15 773 2,60 3,15 774 2,60 3,15 776 2,60 3,15 779 2,60 3,15

Le catene, premontaggi e collaudo macchine che sono in fase di assestamento e che hanno l'utile di cottimo fisso di L. 80 orarie devono passare dal 10 dicembre a L. 96 orarie.

Infatti :

L. 80 x ore 48 = L. 3.840

L. 96 x ore 40 = L. 3.840

CONCOTTIMISTI

I concottimisti che lavorano senza bolla di cottimo percepiscono il cottimo sulla base del proprio valore lira-punto e del passo medio realizzato dal gruppo di cottimisti a cui sono vincolati.

Il concottimista può essere vincolato al: passo medio dello stabilimento STA passo medio del settore fabbricazione SFA passo medio del Montaggio SMO passo medio della torneria TA passo medio della catena SO

Esempio di calcolo:

Se l'addetto alla centrifuga del reparto torneria (TA) che ha il centro di produzione n. 909 e un Valore Lirapunto ricalcato di L. 3,85 desidera controllare che

il suo utile di concottimo pagato sia quanto gli è dovuto, deve rilevare il passo medio realizzato dal Rep. Torneria (TA),dalla tabella affissa nel corridoio vicino al Rep. Attrezzeria.

Supponendo che il passo rilevato sia Passo = 74,7, il suo utile sarà:

passo 74,7 — 50 = 24,7

L. 3,85 x 24,7 = L. 94,10 orarie

Il cottimo mensile sarà:

L. 94,10 x ore lavorate = L. mensili.

E' evidente che sarà opportuno che oltre alla tabella esposta nel corridoio, non sempre a portata di mano, si operi al fine che nella busta paga del lavoratore ci sia un listino con il passo e il relativo conteggio dell'utile di concottimo orario e mensile.

IMPIEGATI E CATEGORIA SPECIALE

Gli impiegati avendo lo stipendio mensile ragguaglia- dell'orario settimanale a parità di stipendio. to a 48 ore settimanali usufruiscono della riduzione

REPARTO Centro di produzione Valore lira punto al 30.11.72 Valore lira punto dal 1.12.72 operatori autopreparatori operatori autopreparatori BANCHI 1 789 2,60 3,15 790 2,60 3,15 791 2,60 3,15 792 2,60 3,15 794 2,80 3,40 797 2,60 3,15 S.M.O. Montaggio 4,50 5,40 Premontaggio 3,80 4,60 Imballaggio 3,80 4,60 Collaudo 4,00 4,80
RICALCOLO VALORE LIRA PUNTO COTTIMISTI

RICALCOLO VALORI LIRA PUNTO - CONCOTTIMISTI

f
Settore Reparto Squadra Mansioni Vincolati al passo medio Centro di produzione , Valore Lra punto fino al 30-11-72 dal 1-12-72 A.F. Autista e fattorino STA 900 2,80 3,40 SFA Operatore di reparto SFA 905 3,70 4.45 Controllo di reparto SFA 905 3,20 3,85 Manovale di reparto SFA 907 3,20 3,85 Pulizia e sistemazione ferri trancia Rep. Pressé SFA 908 3,20 3,85 Addetto alla centrifuga Rep. T.A. T.A. 909 3,20 3,85 Addetto alla costruzione cam e calibri T.A. STA 910 3,00 3,60 Aggiustatore Rep. Banchi SFA 915 3,50 4,20 Aggiustatore Rep. Banchi al montaggio SFA 916 3,50 4,20 Addetto al lavaggio pezzi Rep. Banchi SFA 917 3,20 3,85 A.T. Attrezzisti STA 925 3,00 3,60 Manovale STA 926 2,80 3,40 M.A. Addetti alla manutenzione STA 930 3,00 3,60 PULIZIAAddetti al servizio pulizia STA 935 2,80 3,40 SMO Manovale di reparto SMO 940 3,20 3,85 Addetto al controllo gruppo scatola SO. 941 2.80 3,40 GOG. Operatore STA 945 3,50 4,20 Operaio STA 946 3,20 3,85 Manovale STA 947 2,80 3,40 Addetto alla manutenzione e distribuzione calibri STA 948 3,00 3,60 C.S. Addetto alla selezione pezzi STA 950 3,00 3,60 CAMP. Costruzione campioni STA 955 3,00 3,60 A.C. Riparatori STA 960 3,00 3,60 SEL Operai STA 962 3,00 3,60 A.L. Sollecitatore STA 965 3.00 3,60 Pesatore STA 966 3,00 3,60 Manovale avanzamento lavori STA 967 3,00 3,60 MP Addetti al magazzino STA 970 3,00 3,60 Addetto alla distribuzione utensili STA 971 3,00 3,60 Addetti al taglio lamiere e nastri STA 972 3,00 3,60 M.G. Addetti al magazzino generale STA 975 .3.00 3,60 MO Addetti al magazzino officina STA 978 3,00 3,60 MR Addetti al magazzino ricambi STA 980 3,00 3,60 RIC Addetti alla ricevitoria STA 982 3,00 3,60 PRO Addetto alla riproduzione cicli, disegni, bolle STA 986 3,50 4,20 SO Addetti alla sorveglianza STA 990 2,80 3,40 SPE Addetta al centralino telefonico STA 991 3,00 3,60 MENSA Addetti mensa STA 993 2,80 3,40 MS Autista fattorino STA 995 2,80 3,40 Addetti spedizioni macchine per l'Italia STA 996 3,00 3,60 • Addetti spedizioni macchine per l'esportazione STA 998 3,00 3,60

BASTA CON LO STERMINIO !

NIXON Per il futuro di tutti HITLER

ALLA BRUTALE violenza, i dirigenti degli Stati Uniti aggiungono ora l'insulto dell' ipocrisia: insulto alla coscienza e all'intelligenza di ogni persona civile, d'ogni essere pensante. Dopo aver massacrato per una settima na di seguito, ininterrottamente il Vietnam del Nord, dopo aver assassinato centinaia e centinaia di • persone e aver distrutto case, ospedali, villaggi, città, Nixon ha compiuto il magnanimo gesto di concedere una « tregua » natalizia. E subito ha ordinata._ ai suoi piloti di violarla, il primo dispaccio inviato da Hanoi informa che i bombardieri yankee hanno martellato nella notte di Natale due distretti peri-felici :della capitale, Tanh Tri e Hai Ba, seminando la morte e facendo vittime anche tra i cittadini cattolici che si recavano ad assistere alla messa di mezzanotte.

Poi, sembra, i banditi imperialisti si sono presi qualche ora di riposo, e si sono raccolti a bere e forse perfino 'a pregare attorno agli abeti illuminati nei loro aeroporti e sulle loro portaerei. Ieri, Santo Stefano, hanno ridato il via al genopidio. Ma — ecco l'insulto — mentre le bombe ricominciavano a piovere sulle popolazioni, gli strumenti della propaganda si ri-

mettevano anch'essi in movimento. Le agenzie di stampa americane hanno proclamato che « la tregua originariamente prevista per 24 ore è stata prolungata di ora in ora nella vana attesa da parte del Presidente Nixon di un cenno di disponibilità nordvietnamita alla ripresa delle trattative segrete ». Non ricordiamo d' aver mai letto frase più cinica e nauseante di questa. Davvero bisogna risalire ai tempi atroci di Hitler per trovare una simile improntitudine umana e politica.

da rievocare l'antica, eterna favola del lupo e dell'agnello, se questo « agnello » non stesse dimostrando. una volta di più. d'aver solidi denti e coraggio indomabile, e d'essere ben capace di tener testa all'aggressore.

tivo che sentono comune. Paole lI ha parlato, uomini politici di varie tendenze si sono pronunciati. qualche giornale benpensante non ha potuto evitare stavolta di esprimersi nel senso che i suoi lettori evidentemente attendevano.

Nixon ha ingannato il suo Paese e il mondo intero. Ha Condotto una lunga trattativa tramite il suo emissario personale. ha concluso un accordo perfezionandolo in ogni dettaglio, e lo ha poi tirato in lungo per bassissimi fini elettorali, e infine — una volta reinsediatosi alla Casa Bianca — lo ha volgarmente stracciato. In ogni angolo della terra il suo tradimento ha suscitato lo sdegno aperto negli onesti, l'imbarazzo pierao dei servi, E ora, dopo aver calpestato le unanimi speranze di pace e aver rimesso in moto il barbaro meccanismo della strage, costui ha l'ardire di dichiarare: attendo « un cenno di disponibilità » da parte di coloro che sto assassinando! Ci sarebbe,

TUTTO QUESTO dimostra più che mai quale rischio il mondo stia correndo. Non dot:i biamo stancarci di ripetere e di far capire che se la protervia USA dovesse prevalere sul Vietnam, l'umanità intera sarebbe colpita, e assai oscure sarebbero le sorti della pace e della democrazia in tutti i punti del globo. Perciò la lotta al fianco dell'eroico Viet• nam non è soltanto un dOveroso impegno di solidarietà, ma è lotta di tutti per il futuro di tutti.

Anche. in queste giornate che Nixon non ha voluto fossero giornate di serenità e di festa, il popolo italiano, i lavoratori. i giovani.

hanno fatto il loro dovere internazionalista. Nei quartieri cittadini, nei paesi, nelle campagne si sono fatte veglie, si sono innalzate tende. si è manifestato, si sono raccolte firme in appoggio alla azione politica e parlamentare delle sinistre. La mobilitazione è stata larga, comunisti. socialisti, cattolici si sono trovati uniti per un obiet-

CIO' E' IMPORTANTE. e non rallenteremo i nostri sforzi perchè si faccia ancora di più. parche in ogni dove trovino voce la volontà di pace e la rabbia antimperialista delle masse. Soprattutto opel reremo affinchè abbia infine termine il silenzio intollerabile del governo italiano. L'atteggiamento tuttora mantenuto. al di là delle mezze parole e dei piccoli ammiccamenti. dinanzi a una tragedia di cosi vasta portata è di per sè sufficiente a definire un governo, che già tanti atti qualificano in senso antipopolare e antidemocratico. Occorrono posizioni esplicite, chiare dissociaDoni di responsabilità. Parlare nell'orecchio dell'alleato -- come dice di aver fatto Andreotti — può provocare al massimo un di prurito. Il Paese chiede ben altro. Chiede che l'Italia contribuisca attivilmente k può farlo, ha l'autorità e il prestigio per farlo) a far cessare la strage e ed aprire la via di una giusta pace. IL C. d. F. AUGURA A TUTTI I LAVORATORI UN 1973 CHE

FERMIAMO LA MANO ALL' IMPERIALISMO AMERICANO
VEDA la sconfitta: DELLA DIREI. LAGOMARSINO per la speculazione sull' area e la vittoria dei lavoratori per il mantenimento dell' occupazione aziend. DEL GOVERNO E PADRONATO ITALIANO per maggiori e più avanzate conquiste sociali per la classe operaia

Turn static files into dynamic content formats.

Create a flipbook