Skip to main content

Dibattito unitario14

Page 1

Dibattito Unitario

DOPO 4 MESI DI LOTTA

CONQUISTATO POSITIVO ACCORDO di gruppo per 12.000 lavoratori

Il 28 dicembre — dopo oltre 4 mesi di lotta, con 54 ore di sciopero e grandi manifestazioni a Sesto e Milano — al termine di 3 giornate di intense trattative all'Asso lombarda di Milano, tra Direzione e F.L.M., veniva rag— giunto un'ipotesi di accordò per tutto il gruppo Magne— ti Marcali.

I delegati degli oltre 12.000 lavoratori che attivamen— te hanno partecipato alle trattative in tutte le sue fa— si — aziendali e Assolonbarda— approvavano detta ipote— si di accordo, come successivamente facevano, a stragran de maggioranza, le assemblee di tutti gli stabilimenti del gruppo Magneti Marelli.

Prima di esaminare i contenuti dell'accordo (firmato il 4 gennaio) è doveroso sottolineare come questo importan te risultato sia frutto della combattiva e unitaria par tecipazione alla lotta di tutti i lavoratori del reparti e degli uffici ed In particolare delle lavoratrici.

I lavoratori della Magneti Morelli hanno saputo unitaria mente raccogliere la sfida della FIAT e, senza farsi in— timidire dal colisso dell'auto e dalla sopraggiunta cri— si energetica, portare a termine positivamente questa dura • lunga vertenza aziendale.

Nelle pagine seguenti viene riportato integralmente il testo dell'accordo, nonchè una tabella riassuntiva con 1a costruzione delle nuove strutture retributive; dalla quale, quindi, è anche possibile ricavare per ogni lavo— ratore i benefici economici derivanti dall'accordo.

Quali sono i contenuti essenziali dell'accordo 7

In rimo Imo o : a decorrere dal 1° gennaio 1975, ad eguale nuova categoria (livello), indipendentemente dal 10 stabilimento o sedi, ogni lavoratore percepirà fonda

mentalmente uno stesso stipendio mensile.

Cib si realizzerà gradualmente attraverso il nuovo 13° elemento', le perequazioni, il consolidamento e il con— globamento di una quota di cottimo pari al 71 della media dello stabilimento di Crescenzago.

Secondo punto qualitativo è quello relativo alla mobili— tà professionale, che ad esempio, con 3400 passaggi en— tro il settembre 1975 dalla ex 3° operai,' al nuovo 3° li— vello, porterà inevitabilmente a non avere più — In pro spetti va — lavoratori addetti alla produzione al l° ed al 2° livello.

Se a ciò si uniscono gli oltre 1300 passaggi di catego— ria degli altri livelli, la ricomposizione e l'arricchi— mento professionale delle mansioni, la verifica periodi— ca con i consigli di fabbrica, si comprende 11 valore qualitativamente nuovo che si è introdotto nella fabbri ca circa l'inquadramento professionale unico dei lavora tori.

Il non essere più assillati — in terzo luogo— da. quel la che sarà la retribuzione finale mensile (in partico— lare per i cottimisti tndividuali) avendo consolidato ben il 71 % della media di cottimo, rende più sereno e tranquillo il lavoro per migliaia di addetti alla produ— zione.

l'aver fissatoin 150 lire, per tutti• gli stabilimenti e filiali, il buono pasto ed in 75 lire l'indennità di ■en sa ha aperto— in quarto luogo— la strada per conquista re la gratuità della mensa, quale salario In natura e servizio sociale.

In quinto luogo l'aver aumentato II premio di produzio— ne di 1.50.009 per il solo 1973, il terminare l'Interi..

"mq
na4 gennaio 1974
BOLLETTINO DEL COORDINAMENTO DEI CONSIGLI DI FABBRICA DEL GRU PPO MAGNETI MARELLI

perequazione entro solo 12 mesi unitamente alle 5.50C li re mensili minime, consente di garantire significativi benefici economici a tutti (anche se non sono quelli ri— chiesti) ed avere libera la contrattazione aziendale. Investimenti per 7,5 miliardi, 600 nuovi posti di lavoro al Sud e la garanzia dei livelli di occupazione ad Ales— sandria e a Corpi, costituiscono il sesto e più importan te punto dell'accordo.

Altri risultati sono la malattia e l'infortunio in busta paga, gli scatti degli impiegati e- àllri protleci minori. I limiti principali sono la non completa perequazione delle categorie più alte degli ex impiegati, le festivi— tà (sabato ex impiegati e non completo), intervallo pa—

in conclusione, un accordo importante tanto più se sarà ben gestito— in particolare per quanto riguarda l'inqua dramento unico — dal consigli di fabbrica con la parteci nazione di tutti i lavoratori.

l'intera vertenza aziendale, condotta in un momento dif— ficile, con tutte le sue esperienze, (interne ed esterne) di definizione delle richieste, di conduzione della lot— ta e delle trattative, deve costituire un momento di ri— flessione e di patrimonio per tutti i lavoratori ed un Insegnamento per le future battaglie del mondo del lavo— ro.

RINNOVIAMO I CONSIGLI !

Sulla base delle positive esperienze realizzata anche,alla Magneti Marelli, in particolare nel corso dell'ul— timo rinnovo contrattuale prima e della vertenza azienda le di gruppo dopo con la sempre maggior partecipazione dei lavoratori alla vita del sindacato attraverso i dele gati, ci apprestiamo nelle prossime settimane a rinnova— re i consigli di fabbrica.

Ciò avviene al termine della nostra vertenze aziendale come ci eravamo prefissi.

Oggi è più che mai necessaria una presenza articolata del sindacato al fini di saper rispondere e interpretare le aspettative dei lavoratori sul piano della iniziativa rivendicativa e soprattUtto nel saper dare una risposta che porti a soluzione i problemi della condizione dei lavoratori a livello di società.

E' chiaro che quando partiamo di Consigli di Fabbrica intendiamo l'insieme dei delegati eletti dai lavoratori dei vari gruppi omogenei di reparto e ufficio.

Compito dei delegati è sostanzialmente di rappresentare lavoratori a livello di reparto e di ufficio per por— tare a conoscenza e confrontare con l'intero consiglio di fabbrica le esigenze e le indicazioni dei lavoratori rappresentati.

Inoltre dal momento che i lavoratori sono iscritti e organizzati nel sindacate, o meglio sono il sindacato, è naturale che contribuiscano ad elaborare le linee sindacali. Il Consiglio di Fabbrica e i singoli dele— gati, di conseguenza, mon sono una cosa astratta al di fuori del sindacato e del movimento operaio In genere come qualcuno, anche se delegato, vuol far credere e ad dirittura agisce contro il sindacato.

Per queste noi sosteniamo sempre che chi è contro il sindacato è contro i lavoratori. Con questo spirito

9.! • ng, • 1N tl sindacato'Chlaia tutti i lavoratori ad eleggerei propri delegati di reparto e ufficio nonchè al rinnovo del Consiglio di Fabbrica.

tbNin s u/oy.qn fb 3v“.s,Ce10' úanJibC efm,nlafQ C ih

T ,3y
fipah
Amig34hi ,i4i4eh t Oitio23a'n'ab Oafnei,t fiorAitnoz anca
t
07#1. /3NQ 4° u elolleìO ty.b a*nemahenhituAnf ,(4irevfl) aflaQity

TESTO INTEGRALE DELL'ACCORDO

Addì 28 dicembre 1973, in Milano tra l'Associazione Ind.Lomb.in persona dell'Avv Salvatore Arengi che rappresenta ed assiste la ditta Fabbrica Italiana MAGNETI MARELLI presente nelle persone del Sigg. : Dott.Domenico La Monica, Dott.Pietro Scardillo, Sig.Plerlutgi (sella e i Sindacati Provinciali dei lavoratori FIMI—FIOMUILM presenti nelle persone dei Sigg. : Antonio Pizzinato, Guido Laudini, Giampiero Colombo, Rino Caviglioli e Donato Di Mea presenti le Rappresentanze Sindacali Aziendali degli stabilimenti F.I.M.M., Sesto S.Glovanni, Batterie Sesto, Crescenza go, Alessandria, Carpi, Romano Lombardo, Potenza, Torino, S.Salvo, Filiali si è convenuto quanto segue :

Il premio di produzione di cui all'art. 9 della Disciplina Generale — Sezione 2° — del CCNL 19.4.1973 viene elevato per l'anno 1973 dalle attuali L.152.500 a 1.202.500 annue procapite comprensive di tutti gli istituti contrattuali. La differenza fra la somma suddetta e quanto già corrisposto a questo titolo, verrà erogata col saldo di dicembre 1973.

A tutti i dipendenti in forza alla data del 31.10.1973 verrà riconosciuto con decorrenza primo novembre 1973 un miglio— ramento economico di 1.5.500 mensili che confluirà nel terzo elemento di cui al capoverso seguente.

Viene istituito un nuovo terzo elemento per la costituzione del quale verranno utilizzati fino a concorrenza— oltre all'importo di 1.5.500 di cui al capoverso precedente — gli importi seguenti per la parte residuata dopo l'applicazione dell'inquadramento unico di cui al CCNL :

— vecchio terzo elemento aziendale

quota garantita ex quarto elemento aziendale

— vecchie quote di compartecipazione al cottimo

— percentuale mancato Incentivo per gli impiegati e C.S.

nelle seguenti misure

— eventuale superminimo individuale.

Gli importi del suddetto terzo elemento restano fissati nelle misure e con le decorrenze indicate nella tabella allega— ta.

Resta confermato che, anche in funzione di quanto sopra, s'intende adempiuta la garanzia di cui all'art. 16— Parte operai — del CCNL 8.1.1970 richiamato dall'art. 4 lettera a) del CCNL 19.4.1973.

Pertanto la nuova struttura retributiva risulta articolata come segue :

P) Minimo tabellare

Superminimo individuale

Nuovo terzo elemento

Indennità di contingenza

Aumenti periodici di anzianità

Aumenti periodici di anzianità congelati come da accordo 21.6.1972 (lavoratori ex impiegati e C.S.)

9) Utile di cottimo o nuova compartecipazione fissa per economisti, C.S. e impiegati nelle misure indicate nella tabel la allegata

Supermtnimo collettivo di categoria (limitatamente agli ex impiegati 1° e 2° e C.S.1° che verranno inquadrati nel 5°.e 6° livello) nell'intera misura del 5 % del minimi in vigore al 31.ottobre 1973 Indennità di mensa

1) Altre indennità.

'h applicazione delle norme contrattuali e in relazione alle capacità tecnico—professionali acquisite, i seguenti grup— pi di lavoratori saranno inseriti, con decorrenza 1.11.1973, nei livelli appresso indicati :

quota di cottimo
: ex operai 4° categoria L. 13.770 ex operai 3° categoria L. 14.228 ex operai 2° categoria L. 15.096 ex operai 1° categoria L. 16.604 ex operai 1° S categoria L. 17.195

n. 79 ex operai 4° categoria al 2° livello (categoria)

n. 204 ex operai 2° categoria al 4° livello (categoria)

n. 245 ex operai 10 categoria al 5° livello (categoria)

n. 78 ex impiegati 4° categoria al 3° livello (categoria)

n. 305 ex impiegati 3° categoria al 4° livello (categoria)

n. 190 ex impiegati 3° categoria al 5° livello (categoria)

n. 75 ex impiegati 2° e C.S.1° al 5° livello S(categoria)

n. 75 ex impiegati 2° categoria al 6° livello (categoria)

n. 55 ex impiegati 1° categoria al 7° livello (categoria)

Gli altri lavoratori verranno inseriti nelle categorie corrispondenti alle norme dl cui al nuovo inquadramento unico. L'azienda favorirà lo sviluppo delle capacità professionali — anche attraverso l'arricchimento e la ricomposizione del— le mansioni nonchè l'avvicendamento in più posti di lavoro — degli operai inquadrati nella 2° categoria in modo da con— sentire agli stessi di essere gradualmente inseriti In posizioni di 3° categoria.

Tale gradualità verrà tosi realizzata :

Il passaggio alla 3° categoria non presuppone necessariamente il cambiamento delle mansioni; i lavoratori anche dopo la acquisizione della 3° categoria non potranno rifiutare di ruotare su qualsiasi posizione di lavoro.

Per quanto concerne la mobilità professionale tra le varie categorie l'azienda si baserà sul riconoscimento e la valo— rizzazione delle capacità di ogni lavoratore sia attraverso l'addestramento professionale che attraverso l'attribuzione di diversi compiti operativi e l'arricchimento delle mansioni.

L'azienda verificherà periodicamente con il comitato di Coordinamento e le R.S.A. di ciascun stabilimento i criteri re— lativi all'applicazione dell'inquadramento unico anche in relazione a eventuali casi controversi.

Il primo di tali incontri avrà luogo entro il 30.4.1974.

L'azienda, in attesa di soluzioni a livello nazionale, concorderà con il Comitato di Coordinamento delle R.S.A. le mo— dalità pratiche di anticipazione delle indennità di malattia e di infortunio per conto degli Enti interessati a decor— rere dal 1° ■aggio 1974.

Con decorrenza 1.1.1974 il prezzo del buono pasto viene unificato per tutte le Unità aziendali a L. 150 giornaliere procapite e la indennità giornaliera di mensa viene unificata ed elevata in tutte le Unità a L. 75.

Per le filiali e gli uffici di presidenza l'azienda si impegna ad adottare, entro I tempi tecnici necessari, e comunque non oltre il 30.6.1974, soluzioni in coerenza con quanto sopra detto (buono pasto L.150— Indennità giornaliera L.75). Si conferma che, con tempi e modalità compatibili con la natura degli impianti, nonchè con il rispetto delle convenzio— ni preesistenti e comunque entro 11 30.6.1975, l'azienda effettuerà il passaggio alla gestione diretta di tutte le mense.

La tabella dietetica in atto formerà oggetto di periodico esame con le R.S.A.

In relazione ai presumibili sviluppi dell'azienda — sempre che la situazione di mercato del comparii produttivi cui la azienda è interessata si evolva normalmente — oltre agli investimenti già attuati per complessivi 40 miliardi di lire e che hanno comportato un incremento di occupazione di 2350 unità, l'azienda prevede nel quadriennio 1974/1977 altri investimenti nelle aree meridionali citate nel documento aziendale inviato alle R.S.A. 11 12.11.1973 di cui parte già in corso di attuazione per circa 7 miliardi e 500 milioni, con la creazione di circa 600 nuovi posti di lavoro. Viene confermata la caratteristica di unità produttiva per gli stabilimenti di Carpi (per 11 quale sono allo studio so— luzioni per assicurare una produzione di base) ed Alessandria, con la salvaguardia degli attuali livelli di occupazione.

Letto, confermato e sottoscritto.

Stab.ti Prov.Milano Altri Stabilimenti — 1° novembre 1973 n. 700 n. 150 — 1° luglio 1974 n. 370 n. 300 — 1° gennaio 1975 n. 450 n. 400 — 1° settembre 1975 n. 580 n. 450 n. 2100 n. 1300

1° operaio 4°

operaio 3° E impleg.

operalo 2°

3° E

impleg. 3°

operaio 10 E

C.S. 2°

impieg. 3°

operalo 10 E

5° operaio 1°S

C.S. 1° impieg. 2°

impieg. 2°

6° impleg. 10 I r -7 impieg.9

a) g e. come da intese precedentemente raggiunte, dal 1° gennaio 1974 la Direzione conferma

che le festività cadenti Jul lunedì al venerdì di ciascuna settimana verranno compen

sate, ai lavoratori. ex operai, con un importo pari a 7h e 40' della retribuzione glo____ baie. n

b) Si conferma' altresì che per gli stabilimenti FIVRE di Pavia e di 'Firenze il verbale che verrà redatto a conclusnne delle trattative in corso, che l'azienda si impegma a completare ll più presto possibile, assicurerà con gli opportuni adattamenti benefici economici e normativi analoghi a quelli globalmente previsti dall'accordo stlpu lato in data odierna presso l'Associazione Industriale Lombarda.

e) Si conferma, infine, chi a livello aziendaie sarà proseguito l'esime relativo al pro blela dei

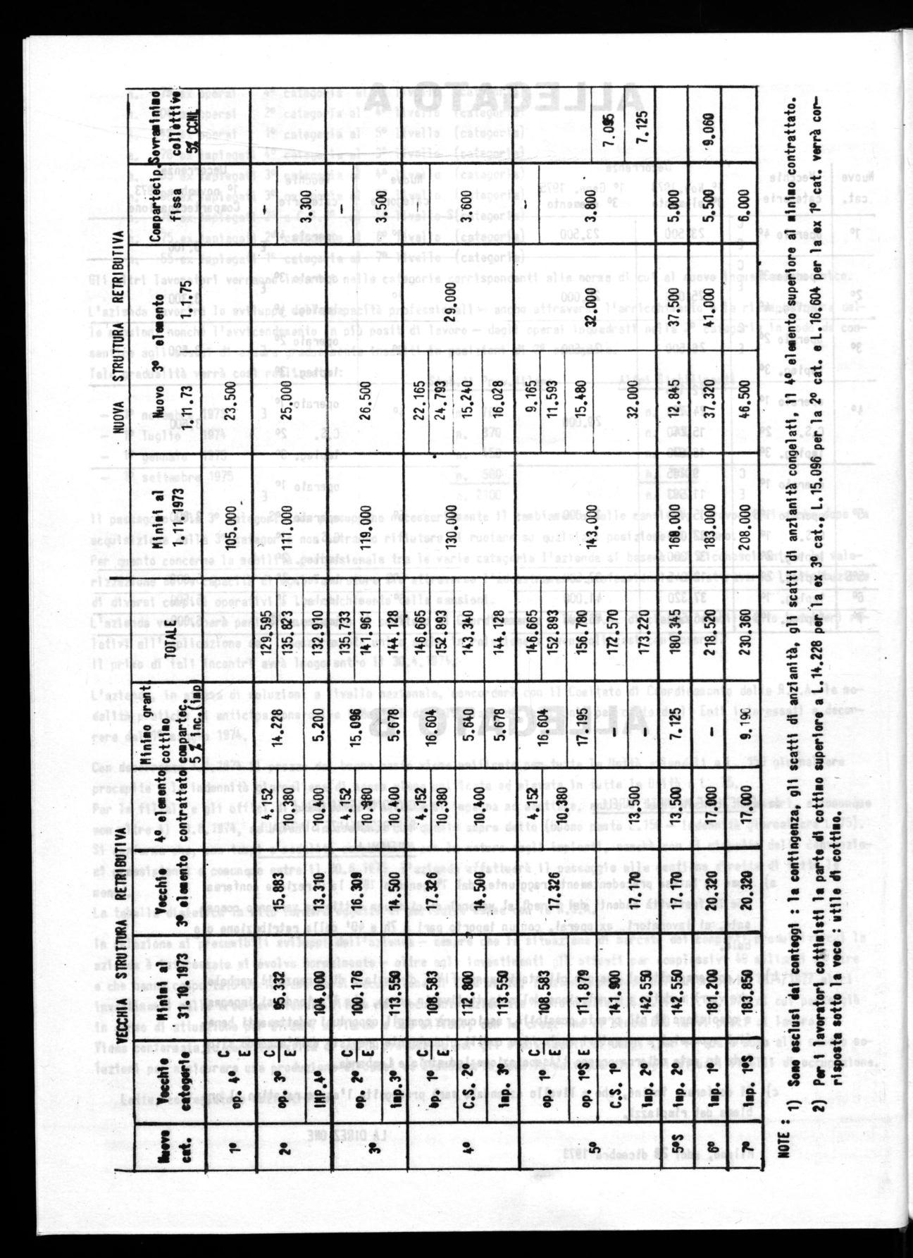
A Q. ••••• Vecchie categorie Nuove cat. ì----1r-TALLEGATO
3 ( , , C; 3 ti» , 11ecor-renze Pi0;4.1913 1° Genn. 19753° elemento 3° elemento -- '2' I 134-'44 33Q 'te 7 2 , „.„ "Decorrenze 1° novembre 1973 Compartecipazione Nuove ^ Vecchie categorie categorie l° operaio 4° C i 23.500 E, 23.500 , 20 40 operalo 3° impleg. 4° operalo 2°-, , Impleg. 30 C i E ' 25.000 í. ----25.000 C E26.500 . , r 26.500 — - ' , operaio 10 C.S. 2° impleg. 3° C ' 22.165 15.240 16.028 24.793 ... .. 292100 -..---1.--5° operaio 1° operaio 1°S C.S. 10 Impieg. 2 0 C E 9.165 11.593 15.460 I 32.000 ; 32.00G V,000 , 5°S 6° impieg. 2° 12.845 37.500 impieg. 1° 37.320 41.000 impieg. 1°S 46.50G 46.500 .500 k2 h000, I 1 . I . i , ,..,, § LA i •:•:. i : "` 4;.; i ....,-' !I .. ''',7 I:? ' , -2 i A: ,, :i.,; i .-'.,; i '.:.2 ; 5.:" ' -•: : i '''J -? - i.- t L. 3 —4 I í9 •A I ---1"-''''''''' Y.L.••••••••k*"...M.F...A4,•••••••••••+•ISM4*.30,••,• ~17.4.1.11 P0.14.0.11.62,•••••••••••4204.0 ....II .1. 0,...,•~1A i ' ML' I i ALLEGATO B •Wg. ì :: 4 , ig 19 X ! I ' uso. ka i i I I i I i .....4. .,- ...i... .r.L.-e, w.......nrile t> z.....,_, t ,..t. ,..{.• . ; • _., i ,..._ ! .,.. :. i I ,..,, i i ! ,..,,,,, , , ,t,,,, , : -, z , , kl i c:', , ., da DIREZIONE MAGNETI MCELLI r ,.-., ..... 1.,_ a COORDINAMENTO DELLE -LA t,.2 .45.. .43 -4,- c4, -a ír i ,42, :3 i I I I 1 RAPPRESENTANZE SINDACALI i z . * 43... O ; • 5 I ' 4.. NFIN AZIENDALI :-.!.• ; 7 `r) e tr e ,P„: :., 1,s .--,.., v
..e c 1... 0. - . ,,,,,
h/
Allk
3.500 3.600 3.100 PII 14 ttl Z54.,
3.300
i 4: i
' LA DIREZIONE 29 dicembre 1973Le 5 .45 et:' ' ; t
c a t. ve rr à c or — X L. 0 ••••• (O CO • • (O CNI C> ••.. (43 L. •C. O, (O O CF> C.) • qC...I O 04 •••• • i.* CO I.J :"'0 -I-. X -•-• • CU C) CO CO L. O) Q. CO 0,4 — • O rN C O 0 ••• "V L. L. C> 0. O • .10.• f; e;a 4.. O O 1.> h 0. '49" • I••• O O I> 0 L. 7 O — • O ••• ...• O •••• O L. O 3> ~ 0 O O O 00 11( 0 ••• 4. O O 1. C O • 44 fi L. •••• • a l m in imo c o n tra t ta to. i 4l ° e leme n to sup er io re la c on ting e nza, g li sc a t ti • RET RIBUTI VA p n 4> ..- ..n .•-• •-a ..- ••• m e -O 8 , — V o 4..* L? la p — Lr) I. 9. 0 60 i Co mp ar tec ip. I fis sa 4 c:3 r3..,• O 8 1 c., co 0 O • en c3 ; O co 0 r" co I 5. 00 0 8 In (ff 8 Nu o vo 3° e le men to 1. 11. 73 I 1. 1. 75 Ó O 0> "1 C> 8 M 3 7. 50 0 4 1. 0 00 ) 8 • M CV 25. 0 00 26. 500 1.0) CO ,-• rse 0,1 M` 0 O> -4 r- CM , • -.* L.C) <V 003 "i O • (O 0il, 0 0• C>> M 01 W)• 0a-2 -.1. (0)• 0- 3 2. 000 + In t CO CV v0 CM C0) tsM • r.0 .el.-. m O N..-. •-Ili • ••• C 1.~ •••• • 1E r O 0 C.) O • In r 1 1 1. 000 1 19. 000 CD 0 0 CD M VO CD CD 00 vé.)CID O O CD • CO t- 1 83. 0 00 20 8. 00 0 W 0 in ) ) • C3) CM t M r.• CO • W> 0") ICD 0Co • CM el 1-•.> C> r•-• • LO e") 1 00 Q> • 0.4. t03, C,4 ,r-4.4,r' LO <C> CO • CO .4. r C> 0: 03 • Cy in tO 4M M -4 e03 CV r -4-4<CO 0 • CO .4 (t) O I 15 2. 893 CO rr4.1D Lf> ,0 rW) • 1T r CD CV "i • 40) l+ 1 1 80. 3 45 O "11 W) • 03 v"4 230. 360 Min imo g ra n t c o tt imo c omp a r tec. 5 % inc„ (im 1 4. 228 . 5. 200 CO O u", .-c rco • 16. 60 4 o co • cn 5. 6 78 cia rO) --r1-» I I 7. 1 25 I e5, • an I 4 ° e le me n to c o n tra t ta to CNA Cr) 0• ...e CD 03 M cD• 1 * 0 CD mré cr I CNO Cr) 0• ..1. CD • CD r 10. 400 2 r• .d.. 2 M • O r 40010. N 0• -4> 0 9 C0> d 1 • 0 CD • e , 1~ (n 8 CD M 1 O • ^ Ir O 8 N11~ • e +.4 • III. •5/ f., I g o IN • C> e° CO• — 0 -• M ini, — CA g vz —. 0 S • -• »,. 10 5;1 • — C> R • or -(O "4 «.." r— . e 12 • r g • fs — 20. 3 20 2 ,,,,, ••• r- 41111 10> 1...! — • g • ■• V" /C C., U • iR 8 • cc. r—. 8 53 in • C> I•• e., N ccr O .,§ 1-N 53 IO i- 10 58. 83 1 11. 879 § • rii. r- 1 4 2. 550 41 2. 550 18 1. 200 53 03 CO -• e ••• V t% it 2: 0.• 0 O L.) W «P • CI. O C> le'l W • e • •• •OM ..., CSI LO g. • t g, CL Ili ••• VI W•0. O o * d m ' oZ 3 . 3 LA W OI-. • CL O • • La.1 H C> .-Q. O C>T• ir, • (..) O ed • CL O ••• O r•c • CL CI ••• o ••• • O. O ••• O" • 11 • O. O ••• • i I . _ i . ed L o «é :, «.." N ?O it

Turn static files into dynamic content formats.

Create a flipbook