Skip to main content

L'eco sindacato6

Page 1

del L'ECO NDACATO

IL UOVO CONTRATTO PUNTO DI PARTENZA PER RISOLVERE I NUMEROSI PROBLEMI AZIENDALI

CONTINUANO LE TRATTATIVE PER LA STESURA DEFINITIVA DEL CONTRATTO DI LAVORO

La firma del contratto cdn (e aziende metalmeccaniche a partecipazione statale rappresenta un momento decisivo nella situazione sindacale italiana di oggi. Dopo la firma del contratto degli edili e quelli di diversi settori alimentaristi il contratto Intersind segna la sconfitta della manovra padronale che cercava di centralizzare tutte le trattative ad un unico tavolo: quello della politica dei redditi. Per ques.to il contratto Intersind è un risultato importante per tutti e particolarmente per i metalmeccanici delle aziende private che lottano ancora per imporre una soluzione , positiva alla Confindustria.

Sul merito di questo accordo molti lavoratori hanno espresso riserve per quanto riguarda la soluzione salariale e noi ci sentiamo di condividere queste riserve, anche se siamo convinti comunque che sul piano dei miglioramenti economici e della riduzione d'orario dei solidi passi avanti sono stati compiuti, tenendo conto anche del successo importante conseguito nella linea di avvicinamento dei trattamenti operai a quelli degli impiegati.

Certo il contratto firmato all'Intersind è una chiara affermazione della nostra linea di rafforzamento ed estensione del potere del sindacato nell'azienda e dei diritti sindacali dei lavoratori.

Le conquiste raggiunte ci permettono di affermare la nostra presenza di contestazione e dí

controllo in modi diversi su tutti gli aspetti della condizione di lavoro. Abbiamo gli strumenti adatti per intervenire sui cottimi, sulle qualifiche, sui "problemi del lavoro disagiato, sulla definizione dell'orario aziendale e su altre questioni ancora.

Questo ci permetterà di fare di questo contratto la base per la nostra azione di fabbrica. Non sarà una amministrazione burocratica, sappiamomo che usare i poteri e i diritti conquistati significherà scontrarsi con la volontà delle direzioni aziendali.

Questo contratto ci permetterà comunque di affrontare da basi solide, di diritti conquistati, i problemi con i quali ci siamo scontrati nella fabbrica negli ultimi anni: i cottimi, le qualifiche, la nocività e quelli che si apriranno sicuramente nel futuro.

Il contratto Intersind è il risultato della grande lotta che abbiamo condotto all'insegna dell'unità di tutti i lavorator nella fabbrica.

Consolidiamo questa unità aderendo al S;ridacato. Solo il contributo diretto di idee e di impegno di tutti coloro che sono stati i protagonisti della lotta può farci avanzare concretamente nella nostra battaglia per la costruzione della unità sindacale verso sempre più grandi affermazioni del potere sindacale nella fabbrica e nella società.

1LL-5. :TINO DEL COMITATO 1 •.' -)URDINAMENTO delle SEZIONI SINDACALI A F. I, O. M. della B R

VERSO LA PARITÀ

Solo da alcune settimane abbiamo concluso la bàttaglia per la conquista del nuovo contratto di lavoro che l'Intersind ostinatamente ci negava e che la Confindustria ancora rifiuta ai nostri fratelli di classe, i metalmeccanici delle aziende private.

Ogni nostro passo avanti non ci è mai stati regalato da nessuno, ma è sempre stato il frutto di nostre conquiste reali con dure lotte e sacrifici.

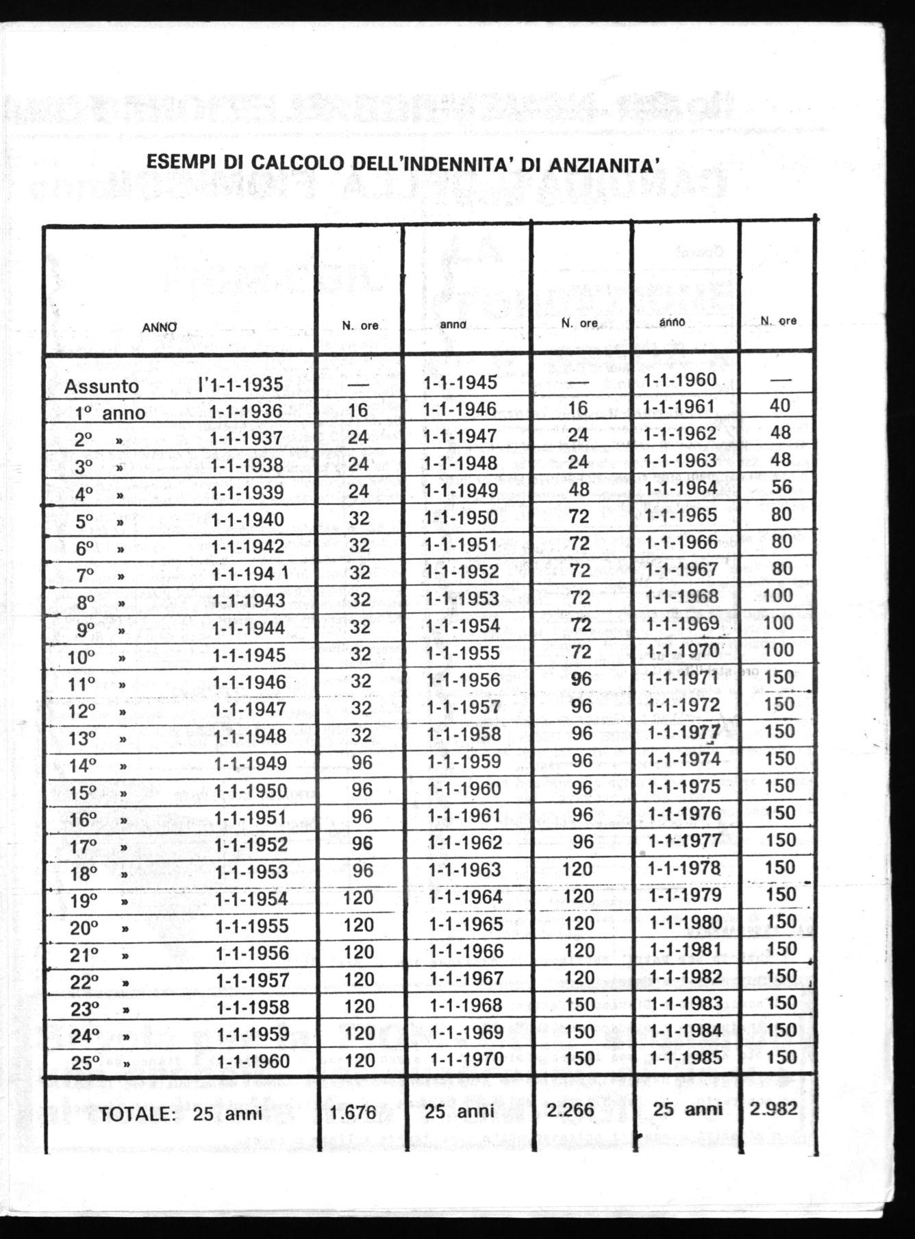
Per questo iniziamo da questo numero; ad esaminare i vari istituti del contratto di lavoro nel loro evolversi nel corso degli anni mediante un raffronto dei diversi contratti di lavoro stipulati dalla Liberazione in poi, in che ognuno possa valutare obbiettivamente i passi avanti compiuti con la nostra lotta diretta dal sindacato.

Pnichè è attualmente ancora in corso di stesura definitiva l'intero nuovo contratto, incominciamo con due istituti già definiti: l'indennità di anzianità e gli scatti biennali degli operai.

La tabella e gli esempi di calcolo dell'indennità di anzianità che pubblichiamo in queste pagine, mostrano chiaramente quale sia stata l'evoluzione dell'indennità di anzianità, anche se rimane tutt'ora aperto il problema relativo all'anzianità maturata negli anni trascorsi.

Ricordiamo che per effettuare il calcolo dell'indennità di anzianità si usano:

— le ore stabilite dal contratto del 1936 (con la mag-

giorazione di 8 ore) per l'anzianità anteriore al 15 gennaio 1948;

le ore stabilite dal contratto del 1959 per l'anzianità dal 15 gennaio 1948 al 31 dicembre 1962

le ore stabilite dal contratto del 1962 per l'anzianità dal 1.o gennaio 1963 al 31 dicembre 1966

le ore stabilite dai contratto del novembre 1966 per l'anzianità a partire dal 1.o gennaia 1967.

LI SCATTI RIENNAti

L'istituto degli scatti biennali per gli operai è stato introdotto per la prima volta con il contratto del 1962 con l'istituzione di 4 scatti i primi due dell'1,50% e del 2% per i due bienni successivi.

Con questo contratto i primi due scatti sono stati rivalutati al 2% Conseguentemente - poichè l'anzianità utile per questo istituto è quella maturata dal 1.o gennaio 1963 - per l'operaio già occupato prima del '63 e che aveva già compiuto i 20 anni, a partire dal 1.o novembre 1966 l'aumento del 2% della paga base contrattuale alle seguenti scadenze:

1.o scatto il 1.o gennaio 1965

2.o scatto il 1.o gennaio 196

3.o scatto il 1.o gennaio 1969

4.o scatto ilto gennaio 197

Per l'operaio assunto dopo il 1963 e q» til bia compiuto i 20 anni dopo tale data il calcolo d i ibenni decorre dal giorno dell'assunione o dal compimento del 20.o arino.

1-8) - Con il contratto del 1948 si è stabilito che l'indennità di anzianità prevista dal contratto del 1936 per gli anno precedenti al 1948 fosse maggiorata di ore 8 all'anno.

N.
- _ . Anzianità 1.o anno dal 2.o al 4o anno dal 5.o al 10.o anno dall'H.° al 15.o anno A dal 16.o al 18.o anno , E1~~11W 32 (+8) Oltre il 18.0 anno Contratto del 1936 8 (+8)* 16 (+8) 24 (+8) 24 (+8) 32 (+8) Ccntratto del 1 5-1-1 9 40 32 48 72 96 96 120 Contratto del 23-10-1959 40 48 72 96 96 120 Contratto del 20-11-1962 56 56 80 104 120 120 Contratto del novembre 1966 100 100 100 150 150 150
ORE PER OGNI ANNO
ANNO N. ore anno -• N. ore ._ anno N. ore 4 Assunto I'1-1-1935 1-1-1945 — 1-1-1960 — — 1° anno 1-1-1936 16 1-1-1946 16 1-1-1961 40 2° » 1-1-1937 24 1-1-1947 24 1-1-1962 48 3° » 1-1-1938 24 1-1-1948 24 1-1-1963 48 4° » 1-1-1939 24 1-1-1949 48 1-1-1964 56 o-5° » 1-1-1940 32 1-1-1950 72 1-1-1965 806° » 1-1-1942 _ 321-1-1951 72 1-1-1966 80 7° » 1-1-194 1 32 1-1-1952 72 1-1-1967 80 W80 » 1-1-1943 32 1-1-1953 72 1-1-1968 100 9° » 1-1-1944 32 1-1-1954 72 1-1-1969 100 10° » 1-1-1945 32 1-1-1955 72 1-1-1970 100 11° » 12° » 1-1-1946 1-1-1947 32 32 1-1-1956 1-1-1957 96 96 1-1-1971 1-1-1972 150 150 13° » 1-1-1948 32 1-1-1958 96 1-1-197/ 150 14° » 1-1-1949 96 1-1-1959 96 1-1-1974 150 15° » 1-1-1950 96 1-1-1960 96 1-1-1975 150 ' 16° » 1-1-1951 96 1-1-1961 96 1-1-1976 150 17° » 1-1-1952 96 1-1-1962 96 1-1-1977 150 18° » 1-1-1953 96 1-1-1963 120 1-1-1978 11-1-1979 150 1-50 19° » 1-1-1954 120 1-1-1964 1-1-1965 120 20° » 1-1-1955 120 120 1-1-1980 150 ' 21° » 1-1-1956 120 1-1-1966 120 1-1-1981 150 di o 22° » 1-1-1957 120 1-1-1967 120 1-1-1982 150 I 23° » 1-1-1958 120 1-1-1968 150 1-1-1983 150 24° » 1-1-1959 120 1-1-1969 150 1-1-1984 150 25° » 1-1-1960 120 1-1-1970 150 1-1-1985 150 TOTALE: 25 anni 1.676 25 anni 2.266 25 anni e 2.982
ESEMPI DI CALCOLO DELL'INDENNITA' DI ANZIANITA'

IL 30lNOVEMBRE ELEZIONI FOND

CANDIDATI DELLA FIOM-CGIL

LISTA FIOM

CONSIGLIERI

LORO Umberto P2 Ferrovi

pc4 NEGRI Dante Fucine

1,:4

:4

FERRARI° Romano Teri

MATE' Mario ElettromE 1

TERNI Armando Termc

omec ccanica mec

SINDACO EFFETTIVO la NOVELLI Giacomo Fu(

SINDACO SUPPLENTE

Oprai aria ire aria

NESPOLI Pietro Ferrov g.4 t

DAL REGOLAMENTO

impiegati

LISTA FIOM

CONSIGLIERI e RATTI Gino ì Termomec ,

SINDACO EFFETTIVA NOVELLI Giacomo! Fuc ›"..1

SINDACO SUPPLENTE

I, NESPOLI Pietro Ferrovie

tanica ine ria

Il votante non potrai esprimere la designazione di 'pini_ di • :

- 5 nominativi a Consigliere

- 1 nominativo a Sindaco Effettivo

- i nominativo a Sindaco Supplente

Il voto ai esprime con la apposizione di un segno (croce o similare) a fianco del noiinativo delle persone prescelte s• eaae.sono comprese tra quelle menzionate o. in caso contrario, con la' norkttura del loro Cognome • nome nelle apposite righe in bianco.

I nominativi 'presosi ti potranno anche appartenere liste diverse.

" E. BREDA „ 1966-1969

come votare FIOM-CGIL

Mercoledì 30 novembre gli operai e impiegati degli stabilimenti di Sesto S. Giovanni, Saronno e Brescia si recheranno alle urne per eleggere i membri del Consiglio e d i Sindaci — parte lavoratori — della Fondazione Ernesto Breda, per il prossimo quadriennio così come richiesto e sollecitalo dalla F.i.O.M. sin dal mesi di giugno. Si tratta di eleggere 5 Consiglieri, un Sindaco effettivo e un Sindaco supplente che — unitamente ai 6 consiglieri, ai 2 Sindaci effettivi ed ai due Sindaci supplenti nominati dalla Finanziaria Brida - avranno il compito di dirigere ed amministrare questo Ente assistenziale aziendale.

La F.I.O.M. - C.G.I.L. nel momento stesso in cui invita tutti i lavoratori a recarsi alle urne per compiere li loro dovere, è certa che, come per il passato, gli operai e impiegati daranno il loro voto ai candidati che essa ~presenta e che sono stati scelti democraticamente attraverso delle riunioni di attivisti dei diversi stabilimenti e successivamente nella riunione del Comitato di Coordinamento F.I.O.M. della Brada.

Dobbiamo rammentare che, contrariamente i quanto avviene nelle elezioni per le Committioni lederne, in questo caso non vi è voto di lista. MI bensl bisogna votare i singoli candidati mediante una crocetta nel quadratino a fianco dr nome di ogni singolocandidato.

Pertanto facciamo appello ai lavoratori perchè diano il loro voto ai candidati presentati dilla FJ.O.M.

LA FONDAZIONE " E. BREDA „

La Fondazioni Ernesto Breda è sorta negli anni '20 ed eretta ad Ente Morale nel giugno del 1922. ll suo Statuto • regolamento è stato varie volte modificato e quello attualmente in vigore è stato approvato con Decreto del Presidente della Repubblica del 19 giugno 1957.

Secondo lo Statuto in vigore la Fondazione dovrebbe assolvere ai seguenti scopi: cure climatiche (marine, montane, ecc.) per i figli dei dipendenti iscritti, per i dipendenti - e ro familiari; premi di studio per I dipendenti e loro figli: sussidi per l'assistenza in caso di gravidanza e puerperio, assegni di assistenza per l'allattamento materno e per cure ai neonati.

Ma negli ultimi anni la stessa ha limitato la sua attività all'invioisi bambini alle colonie ed ai premi di studio.

Questa l'attività svolta nel 1965:

invio bambini alle colonie marine e montane:

n. 66 bambini gas colonie madri* impiantali (2 mesi);

n. 341 bambini alle colonie mariti* estive (1 mese);

n. 141 bambini alle colonie montane estive (1 mese);

"

n. 548 divise gratuite il bambltel inviati alle coionie.

premi di studio a:

n. 41S lavroatori che studiano;

n. 138 figli dl lavoratori.

La spesa constssiva del 1965 è stata di 26 milioni • 700 mila Ire.

)AZIONE
cos
Si vota per la FIOM CGIL segnando una crocetta nel quadratino di fianco ai nomi della lista FICINI

COMMISSIONE INTERNA

In queste settimane è scaduto il mandato annuale delle Commissioni Interne della Termomeccanica ed Elettromeccanica che come si ricorderà, furono elette negli ultimi mesi del 1965.

In base al nuovo Accordo Interconfederale, che regola i compiti e le funzioni delle Commissioni Interne, si dovrà quindi precedere al rinnovo delle stesse per il prossimo biennio,

Da settimane nei vari reparti e uffici vi è in corso una discussione, un dibattito fra gli operai e gli impiegati sul modo di eleggere i propri rappresentanti in questo importante organismo aziendale.

Questo dibattito parte dall'importante positiva esperienza della battaglia per il rinnovo del contratto di lavoro che è stata condotta unitariamente e dai loro sindacati e quindi sottolinea giustamente l'esigenza di compiere un nuovo passo avanti sulla strada dell'unità in occasione del rinnovo delle Commissioni Interne mediante la presentazione di liste unitarie.

La F.I.O.M. non solo condivide e sostiene questa proposta. discussa fra i lavoratori, e contenuta in una petizione sottoscritta da numerosi operai, ma la proprone ufficialmente - attraverso questo bollettino - alla FIMCISL ed alla UILM - UIL.

Riteniamo che le elezioni alla Elettromeccanica e alla Termomeccanica posasno avvenire attraverso la presentazione di liste unitarie e che la scelta dei candidati debba avvenire unitariamente e democraticamente mediante assemblee degli operai e impiegati delle due fabbriche, che contemporaneamente dibattano ed indichino le linee di attività ed i problemi che dovranno portare avanti le future Commissipni Interne. Quindi liste e programmi unitari; questaWroposta che la F.I.O.M. - C.G.I.L. fa alla F.I.M. - C.I.S.L. ed alla U.I.L.M. - U.I.L. in modo di fare un ulteriore passo avanti sulla strada della costruzione della unità sindacale con i fatti e non con le parole.

La F.O.M. - C.G.I.L. propone altresì alle altre organizzazioni sindacali che le elezioni si tengano contemporaneamente nei due stabilimenti nel periodo fra il 15 e 20 gennaio prossimo quando tutti i lavoratori sono in fabbrica.

F. A. S.

Fin dal mese di giugno la F.I.O.M. di Sesto San Giòvanni ha invitato la F.I.M. - C.I.S.L., I'U.I.L.M. - U.I.L. e le Commissioni Interne dei diversi stabilimenti Breda ed il Consiglio del F.A.S. (Fondo Assistenza Speciale) ad incontrarsi per esaminare la necessità di: elaborare un nuovo statuto del F.A.S. elaborare un regolamento del F.A.S. staiblire le modalità e la data per le elezioni del nuovo Consiglio, essendo quello in carica scaduto.

I mesi sono trascorsi, ma detta riunione non è ancora stata fatta 'e quindi non si è potuto ne esaminare il problema dello statuto e regolamento ne procedere all'elezione del nuovo Consiglio.

Noi riteniamo che attualmente - conclusasi la vertenza contrattuale - non si debba ulteriormente perdere de (tempo, ma rapidamente incontrarsi e decidere in merito alfine di essere in grado di iniziare il nuovo anno sociale 1967 con una nuova regolamentazione delle prestazioni assistenzaili del F.A.S.

Ho stabilito il bilancio con il quale possiamo vivere, ma dovresti lavo= rare due turni al giorno per arrivar ci...

dopo fine.« innorazione cogli° reilere se ll licenziano:

OPERAI E CONTADINI UNITI CONTRO IL CAROVITA E LA SPECULAZIONE!

Con questa iniziativa, la FIOM - CGIL, di Milano, intende assolvere ad una delle funzioni di tutela del potere d'acquisto dei lavoratori oggi fortemente intaccato dal continuo rincaro del costo della vita che falcidia le già insufficienti retribuzioni.

E' stato aperto un secondo fronte nell'azione del nostro sindacato, per la valorizzazione e la difesa dell'unico patrimonio che hanno i lavoratori, la loro forza lavoro.

Oggi noi siamo stati impegnati in una dura lotta contrattuale che non ha precedenti e che ha avuto come obbiettivo il miglioramento delle condizioni di lavoro e di vita dei lavoratori.

L'apertura di questo secondo fronte risponde alla necessità di impedire che i frutti della lotta appena conclusa vengano annullati.

Pur su fronti diversi, operai e contadini, si battono contro l'unico nemico che ha un unico 'obiettivo, sfruttare gli altri per il suo massimo profitto.

Attraverso questo ponte si collegano due importanti categorie di lavoratori, operai e contadini, da questa unità possono nascere profique intese nel reciproco interesse.

Con questi acquisti, i lavoratori, evitano che migliai di quintali di frutta vada distrutta o accapparrati dalla speculazione, che a sua volta farebbe, più avanti, gravare la sue taglia sui consumatori.

La nostra iniziativa deve avere successo, per dare subito della buona frutta a bassi prezzi e per creare una corrente di scambio che eviti, nei mesi a venire, i prezzi imposti dagli speculatori.

Il cosidetto ponte verde tra Milano e Ferrara è soltanto l'inizio di una collaborazione destinato a durare tutto l'anno e non solo per la frutta. Questo contatto fra lavoratori-consumatori e produttori associati nella cooperazione agricola dimostra quanto siano assurde le attuali strutture distributive che generano altrettante assurde speculazioni; è la prova che i prodotti agricoli, che costituiscono la stragrande maggioranza della nostra dieta e assorbono buona parte della nostra spesa, possono essere acquistati a prezzi che mettono tali prodotti alla portata di tutte le famiglie.

Sappiamo che vi sono famiglie nelle quali non si mangia frutta e altre dove éconsumata In misura insufficiente persino dai bambini. Tutto questo accade per l'alto prezzo della frutta.

La favola che i prodotti agricoli sono cari per colpa dei contadini e che i prodotti industriali costano troppo per colpa degli operai avrà una secca smentita con i fatti.

LISTINO DEI PREZZI mele: Abbondanza Imperatore Golden. Delicios pere: 500 Kg. 10 500" 8 1000 " 10 1000 " 10 La fmttaè confezionata in speciali cassette di cartone. Le prenotazioni si effettuano presso la Sezione Sindacale Aziendale FIOM Passagrassana 1000 Abate Fetel. DI 1000 ff 10 10
i -.A 0* i #. ,• i .nr—^

(Dal discorso pronunciato da Agostino Novella il 20 ottobre a Roma, nella Sala della Proimitatemi del Campidoglio, nel corso della celebrazione del Sessantesimo anniversario della Confederazione Generale del Lavoro).

e ...Le spinte unitarie che oggi avvertiamo nascono chiaramente da una maggiore, più vasta

più intensa partecipazione delle masse lavoratrici alle lotte sindacali. Passi in avanti sia in rapporto al periodo prefascista, sia rispetto al 1944-48 hanno fatto i1 rapporto democratico tra t lavoratori e i sindacati, e l'autonomia dei sindacati rispetto al padronato, al governo e ai partiti.

Ma la battaglia per l'autonomia del sindacato è ancora da vincere e si tratta di una battaglia che condiziona tutti gli sviluppi dell'unità sindacale. Vi sono ancora tra i sindacati ed i partiti forme di collegamento negative da superare il più rapidamente possibile anche attraverso decisioni concrete.

Agiscono ancora sul sindacato influenze parMiche che ne condizionano direttamente e immediatamente l'iniziativa. e l'attività, che sono fficili a vincersi e che 'costituiscono una minaccia permanente all'unità e all'iniziativa autonoma del sindacato. Sono p~ali, naturalmente, anche influenze ideologiche di più vasta portata che in modo sia pure indiretto concorrono all'orientamento delle varie organizzazioni sinclnralk, anch'esse difficili a superarsi, ma che, tuttavia, se si è d'accordo sul carattere non ideologico che deve necessariamente assumere un sindacato unitario, non costituiscono un ostacolo nreaiudiziale ad-IPS processo unitario...

E' chiaro,~infine, che l'unità sindacale, intesa nel senso dell'unità organica, non può sottrarsi ad impegni programmatici ed implica quindi grossi problemi di metodo demecratico' e di cont ti su queste guestioni che si discute oggi ed è in ordine ad esse. che le soluzioni appaiono oggettivamente ptiS,difActil da raggiungere. Possianio però dire che, oggi, anche su questi problemi alcuni avvicinamenti risultano possibili. .

E questo è l'aspetto nuovo, positivo della. politica unitaria a dei • dialogo unitario attuai- 4; mente in corso tra i sindacati. Ciò ci fa dire che ai più alti livelli toccati dall'unità d'azione nelle lotte di molte categorie, si aggiunge la maturazione di situazioni nuoze nei rapporti tra le Confederazioni,. tali da aprire all'unita sindacale nuove prospettive, anche se è giusto affermare che i facili ottimismi non sono opportuni.

Noi pensiamo che. occorre guardare alla situazione con senso realistico, tenendo ben,,presente che l'autonomia del sindacato nei 'confronti dei partiti Implica o comunque • si ac compagna all'esigenza dell'autonomia del Sin dacato nei confronti dei governi ».

Agostino Notielte.

della società Italiana. Ecco perché bisogna iscriversi alla CGIL.

Lavorate sodo, dunque, compagni e amici, e soprattutto lottate insieme, rimanete uniti. Il sindacato vuol dire unione, compattezza, Uniamoci con tutti gli altri lavoratori: ciò è in nostro potere, in ciò sta la nostra forza, questo è il nostro credo.

Lo so, cari compagni . . .

‘ Lo se, cari compagni, che la vita del militante sindacale di base è una vita di sacrifici. Conosco le amarezze, le delusioni, il tempo talvolta che richiede l'attività sindacale, con risultati non sempre del tutto soddisfacenti. Conosco bene tutto questo, perché anéh'io sone stato attivista sindacale: quindi, tutto quello che voi fate, che voi soffrite, di cui qualche volta, però, avete anche soddisfazione, io l'ho fatto.

`.zii attivisti del nostro sindacato, però, possono avere la profonda soddisfazione di servire una causa veramente alta. Il nostro sindacato

lotta per l'unità d'azione e per l'unità sindacale, e la lotta per l'unità è un aspetto della grande lotta fra 1 lavoratori, da una parte, e il grande padronato, dall'altra.

L'operaio che capisca questo problema deve giungere alla comprensione che essere iscritti e militare attivamente nel sindacato di classe significa migliorare la propria posizione lavorativa, la propria condizione sociale, significa migliorare la condizione -economica e civile della sua famiglia, significa migliorare le prospettive di sviluppo e di progresao dei suoi figliuoli, significa la~rare per ma propenso generale

Lavorate con tenacia, con pazienza: come il piccolo ruscello contribtdsce a ingrossare il grande fiume, a renderlo travolgente, così anche ogni piccolo contributo di ogni ~mie confluisce nel maestoso ~e della nostra storici, serve a rafforzare l'azione organizzata dei lavora. in italiani, la nostra bella famiglia sindacale, h nostra CGIL, stransento della vainra rara, garaizeia del nostre. coma» avvenre.

Qualnie 41* h piena conaapevolessa di aeraire quatta che -è lana -grande catigg e una causa giusta, ognuno paik' dire - a se *team, dire a igu ropria donna,, # propri 13affermare dl fante ailla cietà, di avere compiate Mito fl proprio donne.

Buon lavi" compagni

Giuseppe De Vittorio

Dall'ultimo disco; se pronunciato da Di Vittorio — la mattina del 3 novembre 1957, poche ore prima di morire — ai chrtgenti e agii attétristi sindacali di Lecco.

Turn static files into dynamic content formats.

Create a flipbook