Digital Listing Kit 8041 E Pageau Rd

Page 1

Subject

Data Provided By:

First American Title Ins Co

Property 8041 E Pageau Rd Tucson AZ 85715 APN: 133-09-1910
© 2023 CoreLogic. All rights reserved

LIMITATION OF LIABILITY FOR INFORMATIONAL REPORTS

IMPORTANT -- PLEASE READ CAREFULLY:

This report is not an insured product or service or a representation of the condition of title to real property. It is not an abst ract, legal opinion, opinion of title, title insurance commitment or preliminary report, or any form of Title Insurance or Guaranty. This report is issued exclusively for the benefit of the Applicant therefor and may not be used or relied upon by any other person. This report may not be reproduced in any manner without First American or Title Security's prior written consent. First American or Title Security does not represent or warrant that the information herein is complete or free from error, and the information herein is provided without any warranties of any kind, as-is, and with all faults. As a material part of the consideration given in exchange for the issuance of this report, recipient agrees that First American or Title Security's sole liability for any loss or damage caused by an error or omission due to inaccurate information or negligence in preparing this report shall be limited to the fee charged for the report. Recipient accepts this report with this limitation and agrees that First American or Title Security would not have issued this report but for the limitation of liability described above. First American or Title Security makes no representation or warranty as to the legality or propriety of recipient's use of the information herein.

Disclaimer

This REiSource report is provided "as is" without warranty of any kind, either express or implied, including without limitations any warrantees of merchantability or fitness for a particular purpose. There is no representation of warranty that this information is complete or free from error, and the provider does not assume, and expressly disclaims, any liability to any person or entity for loss or damage caused by errors or omissions in this REiSource report without a title insurance policy.

The information contained in the REiSource report is delivered from your Title Company, who reminds you that you have the right as a consumer to compare fees and serviced levels for Title, Escrow, and all other services associated with property ownership, and to select providers accordingly. Your home is the largest investment you will make in your lifetime and you should demand the very best.

Data Provided By: First American Title Ins Co
© 2023 CoreLogic. All rights reserved

Subject Property :   8041 E Pageau Rd Tucson AZ 85715

Owner Information

Owner Name : Prateeka Sri Ananda / Nanjappan Suguna

Mailing Address : 8041 E Pageau Rd, Tucson AZ 85715-5137 C041

Vesting Codes : / / Community Property

Owner Occupied Indicator : O

Location Information

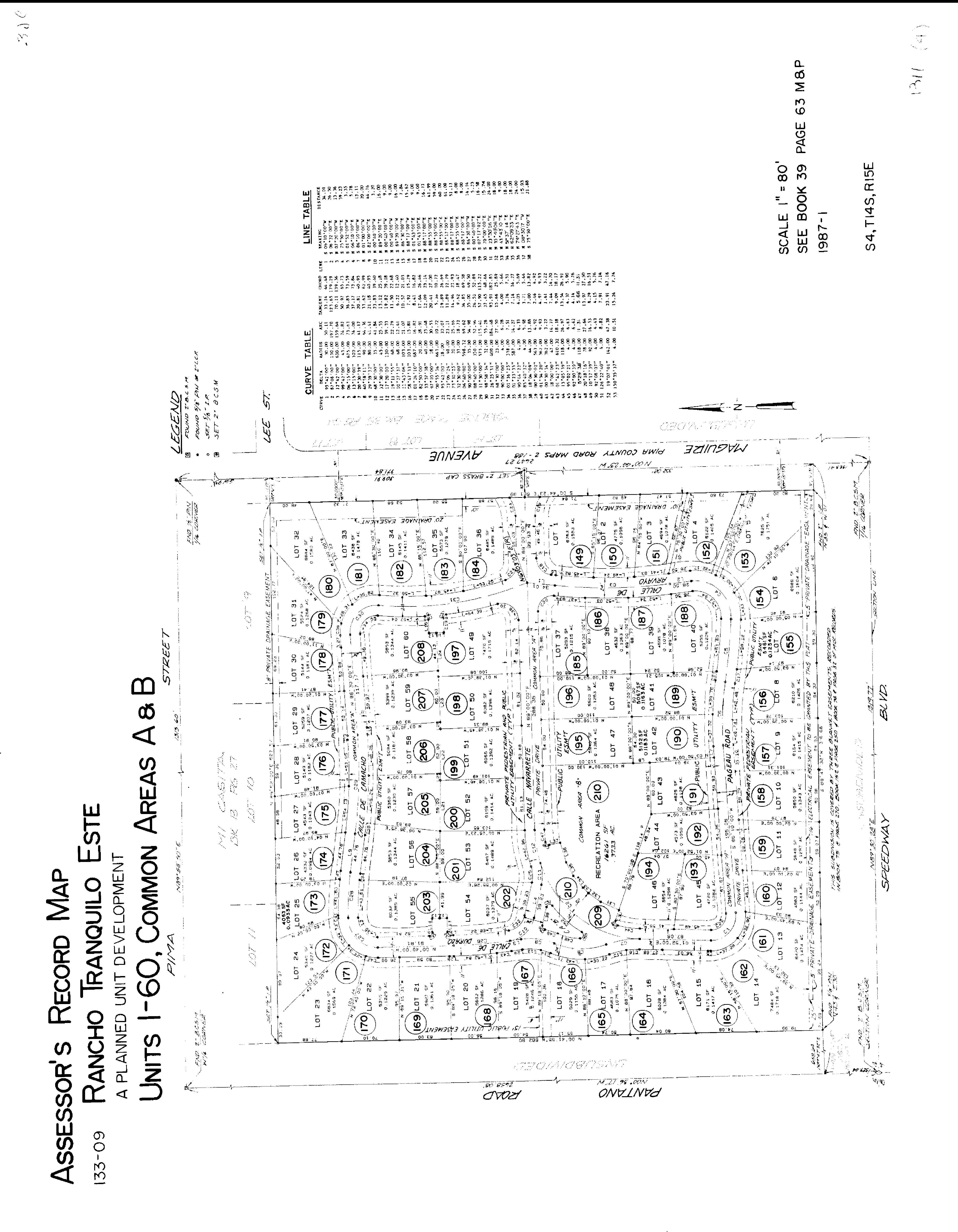
Legal Description : Rancho Tranquilo Este Lot 43

County : Pima, Az

Census Tract / Block : 40.32 / 2

Township-Range- Sect : 14S-15E-4

Legal Book/Page : 39-63

Legal Lot : 43

Market Area : 13

Owner Transfer Information

Recording/Sale Date : 02/26/2021 / 02/04/2021

APN : 133-09-1910

Subdivision : Tranquillo Estates Rho

Map Reference : 04-14S-15E

School District : Tucson Unified

Munic/Township : Tucson Unified

Deed Type : Quit Claim Deed

Document # : 570859 1st Mtg Document # : 570860

Last Market Sale Information

Recording/Sale Date : 05/29/2020 / 05/19/2020 1st Mtg Amount/Type : $217,979 / Fha

Sale Price : $222,000 1st Mtg Document # : 1501254

Document # : 1501252 1st Mtg Term : 30

Deed Type : Warranty Deed Price Per SqFt : $153.21

Title Company : Title Sec Agcy Llc

Lender : Plaza Hm Mtg Inc

Seller Name : Lenhardt Stephen

Prior Sale Information

Prior Rec/Sale Date : 07/17/2013 / 07/16/2013

Prior Sale Price : $175,000

Prior Doc Number : 1980597

Prior Deed Type : Warranty Deed

Prior Lender : Fairway Independent Mtg Corp

Prior 1st Mtg Amt/Type : $131,250 / Conv

Customer
: Chantel
Customer
Name : FIRST
TITLE Prepared On : 06/05/2023 © 2023 CoreLogic. All rights reserved
Name
Cortez
Company
AMERICAN

Property Characteristics

Gross Area : 1,449

Living Area : 1,449

Total Rooms : 7

Year Built / Eff : 1987

# of Stories : 1.5

Parking Type : Garage

Property Information

Land Use : Sfr

County Use : Single Fam Resurban Subd

Tax Information

Garage Capacity : 2

Roof Material : Asphalt

Patio Type : Covered Patio

Air Cond : Refrigeration

Heat Type : Forced Air Quality : Fair

Cooling Type : Forced Air Condition : Average

Exterior wall : Frame Wood Bath Fixtures : 7

Zoning : R-1

Lot Acres : 0.11

Lot Size : 4,726

State Use : Single Fam Resurban Subd

Total Value : $163,848 Property Tax : $1,998.94 Current Year Total Value : $23,948

Total Taxable Value : $16,365

Assessed Year : 2022

Tax Year : 2022

Tax Rate Area : 0150 Current Year Improvement Value :

Market Value : $163,848

Current Assessed Year : 2024

$23,897

Current Year Land Value : $50

©
All rights
Customer Name : Chantel Cortez Customer Company Name : FIRST AMERICAN TITLE Prepared On : 06/05/2023
2023 CoreLogic.
reserved
Criteria Subject Property Low High Average Sale Price $222,000 $155,000 $410,000 $316,620 Bldg/Living Area 1449 1319 1651 1506 Price Per Square Foot $153.21 $106 $264 $210.50 Year Built 1987 1964 2019 1984 Lot Size 4,726 4,462 17,912 7,951 Bedrooms Bathrooms 3 2 3 2 Stories 1.5 1 2 1 Total Assessed Value $163,848 $156,728 $258,678 $187,851 Distance From Subject 0 0.02 0.72 0.43 Summary of Comparables # Address Sale Price Total Assessed Value Sale Date Bed Bath Living Area Lot Size Year Built Dist (Miles) Zoning S 8041 E Pageau Rd 222,000 163,848 05/29/2020 3 1,449 4,726 1987 R-1 1 8040 E Pageau Rd 309,000 163,848 03/17/2023 3 1,449 5,240 1987 0.02 R-1 2 1451 N Calle De Arvayo 280,000 156,728 04/04/2023 3 1,319 5,151 1987 0.03 R-1 3 8021 E Calle Navarrete 266,500 163,848 12/29/2022 3 1,449 5,917 1987 0.05 R-1 4 8040 E Calle De Camacho 294,500 156,728 12/06/2022 3 1,319 5,178 1987 0.06 R-1 5 8081 E Calle De Camacho 310,000 159,798 07/01/2022 3 1,449 4,811 1987 0.1 R-1 6 1570 N Rachel Pl 205,000 203,513 02/02/2023 2 1,651 7,699 1984 0.19 R-1 7 1415 N Sarnoff Dr 390,000 188,233 07/06/2022 2 1,518 13,421 1972 0.38 R-1 8 1427 N Sarnoff Dr 347,900 177,760 12/16/2022 2 1,604 14,186 1972 0.42 R-1 9 8052 E 2nd St 284,000 176,892 02/24/2023 2 1,600 9,261 1965 0.42 R-1 10 7739 E Pima St 298,500 174,694 12/02/2022 2 1,479 8,582 1972 0.43 R-1 11 7931 E Hawthorne St 325,000 168,562 07/12/2022 2 1,580 8,602 1964 0.46 R-1 Customer Name : Chantel Cortez Customer Company Name : FIRST AMERICAN TITLE Prepared On : 06/05/2023 © 2023 CoreLogic. All rights reserved
Sales Analysis
12 7582 E Chalkboard Ct 410,000 258,678 10/07/2022 2 1,563 5,299 2019 0.6 13 8041 E Star Glory Dr 365,000 200,945 11/01/2022 2 1,579 6,614 1993 0.62 R-1 14 8183 E Star Glory Dr 365,000 187,137 05/03/2023 3 1,632 6,968 1990 0.62 R-2 15 7559 E Chalkboard Ct 385,000 247,042 07/25/2022 2 1,457 4,999 2019 0.63 16 7511 E Chalkboard Ct 365,000 257,476 09/09/2022 2 1,552 4,462 2019 0.69 17 8402 E Rosewood St 155,000 179,769 05/01/2023 2 1,457 7,652 1968 0.7 R-1 18 8254 E Brent Pl 295,000 157,564 12/23/2022 3 1,345 8,275 1966 0.71 R-1 19 2150 N Colter Dr 350,000 210,408 04/17/2023 2 1,560 17,912 1973 0.72 RX-2 20 8581 E Lee Pl 332,000 167,387 04/18/2023 2 1,553 8,796 1971 0.72 R-1 Distressed Sales = Customer Name : Chantel Cortez Customer Company Name : FIRST AMERICAN TITLE Prepared On : 06/05/2023 © 2023 CoreLogic. All rights reserved

Customer Name : Chantel Cortez

Customer Company Name : FIRST AMERICAN TITLE Prepared On : 06/05/2023

© 2023 CoreLogic. All rights reserved

Map

Details of Comparables

Subject Property: 8041 E Pageau Rd Tucson Az 85715

Owner Name: Prateeka Sri Ananda /Nanjappan Suguna

/ Alternate APN: 133-09-1910 / Deed Type: Warranty Deed

#1   8040 E Pageau Rd Tucson Az 85715

Owner Name: Mock Jeffry H /Mock Melinda

#2   1451 N Calle De Arvayo Tucson Az 85715

Owner Name: Qiu Ming F /

Land Use: Sfr Subdivision / Tract: Tranquillo Estates Rho
Lot Size: 4,726 Year Built / Eff: 1987 / Rec. Date / Price: 05/29/2020 / $222,000 Living Area: 1,449 # of units: Document #:
Bedrooms: Pool: Total Tax Value:
Bath(F/H): /
APN
/
1501252
$163,848
APN
Land Use: Sfr Subdivision / Tract: Tranquillo Estates Rho / Lot Size: 5,240 Year Built / Eff: 1987 / Rec. Date / Price: 03/17/2023 / $309,000 Living Area: 1,449 # of units: Document #: 760409 Bedrooms: Pool: Total Tax Value:
Bath(F/H): /
/ Alternate APN: 133-09-1580 / Deed Type: Warranty Deed
$163,848
APN
Warranty Deed Land Use: Sfr Subdivision / Tract: Tranquillo Estates Rho / Lot Size: 5,151 Year Built / Eff: 1987 / Rec. Date / Price: 04/04/2023 / $280,000 Living Area: 1,319 # of units: Document #: 940269 Bedrooms: Pool: Total Tax Value: $156,728 Bath(F/H): /
Name: Gleason Christopher J / APN / Alternate APN: 133-09-2020 / Deed Type: Warranty Deed Land Use: Sfr Subdivision / Tract: Tranquillo Estates Rho / Lot Size: 5,917 Year Built / Eff: 1987 / Rec. Date / Price: 12/29/2022 / $266,500 Living Area: 1,449 # of units: Document #: 3630621 Bedrooms: Pool: Total Tax Value: $163,848 Bath(F/H): / #4   8040 E Calle De Camacho
Az 85715 Owner Name: Ozmert Gurcan / APN / Alternate APN: 133-09-2050 / Deed Type: Warranty Deed Land Use: Sfr Subdivision / Tract: Tranquillo Estates Rho / Lot Size: 5,178 Year Built / Eff: 1987 / Rec. Date / Price: 12/06/2022 / $294,500 Living Area: 1,319 # of units: Document #: 3400094 Bedrooms: Pool: Total Tax Value: $156,728 Bath(F/H): / Customer Name : Chantel Cortez Customer Company Name : FIRST AMERICAN TITLE Prepared On : 06/05/2023 © 2023 CoreLogic. All rights reserved
/ Alternate APN: 133-09-1880 / Deed Type:
#3   8021 E Calle Navarrete Tucson Az 85715 Owner
Tucson

#5   8081 E Calle De Camacho Tucson Az 85715

Owner Name: Bryant Arizona & Beuttler Mc Kyla /

#9   8052 E 2nd St Tucson Az 85710 Owner Name: Roth Joshua /

Owner Name: Barnes Brandon Z /Barnes Elizabeth

APN / Alternate APN:
Deed Type: Warranty Deed Land Use: Sfr Subdivision / Tract:
Lot Size: 4,811 Year Built / Eff: 1987 / Rec. Date / Price: 07/01/2022 / $310,000 Living Area: 1,449 # of units: Document #: 1820400 Bedrooms: Pool: Total Tax Value: $159,798 Bath(F/H): /
133-09-1790 /
Tranquillo Estates Rho /
APN / Alternate APN: 133-09-1130
Deed Type: Warranty Deed Land Use: Sfr Subdivision / Tract: Maguire Place / Lot Size: 7,699 Year Built / Eff: 1984 / Rec. Date / Price: 02/02/2023 / $205,000 Living Area: 1,651 # of units: Document #: 330458 Bedrooms: Pool: Total Tax Value: $203,513 Bath(F/H): /
#6   1570 N Rachel Pl Tucson Az 85715 Owner Name: Brown J G & K M Living Trust /
/
APN / Alternate APN: 133-10-2780 / Deed Type: Warranty Deed Land Use: Sfr Subdivision / Tract: Hidden Hills West / Lot Size: 13,421 Year Built / Eff: 1972 / Rec. Date / Price: 07/06/2022 / $390,000 Living Area: 1,518 # of units: Document #: 1870233 Bedrooms: Pool: Pool Total Tax Value: $188,233 Bath(F/H): /
APN / Alternate APN: 133-10-2800 / Deed Type: Warranty Deed Land Use: Sfr Subdivision / Tract: Hidden Hills West / Lot Size: 14,186 Year Built / Eff: 1972 / Rec. Date / Price: 12/16/2022 / $347,900 Living Area: 1,604 # of units: Document #: 3500360 Bedrooms: Pool: Total Tax Value: $177,760 Bath(F/H): /
APN
Alternate
Deed Type: Warranty Deed Land Use: Sfr Subdivision / Tract: Carriage Hill 03 / Lot Size: 9,261 Year Built / Eff: 1965 / Rec. Date / Price: 02/24/2023 / $284,000 Living Area: 1,600 # of units: Document #: 550462 Bedrooms: Pool: Total Tax Value: $176,892 Bath(F/H): /
#7   1415 N Sarnoff Dr Tucson Az 85715 Owner Name: De Vol John R /De Vol Noelia
#8   1427 N Sarnoff Dr Tucson Az 85715 Owner Name: Francis Myles S /
/
APN: 133-27-0610 /
#10   7739 E Pima St Tucson Az 85715
APN
Deed Type: Warranty Deed Land Use: Sfr Subdivision / Tract: Verde Vista / Lot Size: 8,582 Year Built / Eff: 1972 / Rec. Date / Price: 12/02/2022 / $298,500 Living Area: 1,479 # of units: Document #: 3360389 Bedrooms: Pool: Total Tax Value: $174,694 Bath(F/H): /
Customer
AMERICAN TITLE
©
CoreLogic.
/ Alternate APN: 133-12-1400 /
Customer Name : Chantel Cortez
Company Name : FIRST
Prepared On : 06/05/2023
2023
All rights reserved

/ #16   7511 E Chalkboard Ct Tucson Az 85715

Owner Name: Ranka Trupti Mahendra /

/ Alternate APN: 133-13-3430 /

#11   7931 E Hawthorne St Tucson Az 85710
APN / Alternate APN: 133-27-0460 / Deed Type: Warranty Deed Land Use: Sfr Subdivision / Tract: Carriage Hill 03 / Lot Size: 8,602 Year Built / Eff: 1964 / Rec. Date / Price: 07/12/2022 / $325,000 Living Area: 1,580 # of units: Document #: 1930413 Bedrooms: Pool: Total Tax Value: $168,562 Bath(F/H): / #12   7582 E Chalkboard Ct Tucson Az 85715 Owner Name:
APN / Alternate APN: 133-13-3530 / Deed Type: Warranty Deed Land Use: Sfr Subdivision / Tract: Elementary Place / Lot Size: 5,299 Year Built / Eff: 2019 / Rec. Date / Price: 10/07/2022 / $410,000 Living Area: 1,563 # of units: Document #: 2800496 Bedrooms: Pool: Total Tax Value: $258,678 Bath(F/H): / #13   8041 E Star Glory Dr Tucson Az 85715 Owner Name: Alter Todd
APN / Alternate APN: 133-09-2440 / Deed Type: Warranty Deed Land Use: Sfr Subdivision / Tract: Seneca Terrace / Lot Size: 6,614 Year Built / Eff: 1993 / Rec. Date / Price: 11/01/2022 / $365,000 Living Area: 1,579 # of units: Document #: 3050282 Bedrooms: Pool: Total Tax Value: $200,945 Bath(F/H): / #14   8183 E Star Glory Dr Tucson Az 85715 Owner Name: Oglesby Elizabeth A / APN / Alternate APN: 133-08-6580 / Deed Type: Warranty Deed Land Use: Sfr Subdivision / Tract: Eastwind / Lot Size: 6,968 Year Built / Eff: 1990 / Rec. Date / Price: 05/03/2023 / $365,000 Living Area: 1,632 # of units: Document #: 1230442 Bedrooms: Pool: Total Tax Value: $187,137 Bath(F/H): / #15   7559 E Chalkboard Ct Tucson Az 85715
C APN / Alternate APN: 133-13-3490 / Deed Type: Warranty Deed Land Use: Sfr Subdivision / Tract: Elementary Place / Lot Size: 4,999 Year Built / Eff:
Rec. Date / Price: 07/25/2022 / $385,000 Living Area: 1,457 # of units: Document
Bedrooms: Pool: Total
Bath(F/H):
Owner Name: Hamlin Philip J /Hamlin Joan E
Abbey Gail Anne /
/
Owner Name: Khan Sonia /Mythen Stephen
2019 /
#: 2060366
Tax Value: $247,042
APN
Land Use: Sfr Subdivision
4,462 Year Built
Rec. Date
09/09/2022
Living Area: 1,552 # of units: Document
Bedrooms: Pool: Total
Bath(F/H):
Customer
©
Deed Type: Warranty Deed
/ Tract: Elementary Place / Lot Size:
/ Eff: 2019 /
/ Price:
/ $365,000
#: 2520166
Tax Value: $257,476
/ Customer Name : Chantel Cortez
Company Name : FIRST AMERICAN TITLE Prepared On : 06/05/2023
2023 CoreLogic. All rights reserved

#17   8402 E Rosewood St Tucson Az 85710

Owner Name: Mendez Victor /

#18   8254 E Brent Pl Tucson Az 85710

Owner Name: Sentz Ian N /Sentz Emma

#19   2150 N Colter Dr Tucson Az 85715

Owner Name: Tiggleman Goddard & Liv /

#20   8581 E Lee Pl Tucson Az 85715

Owner Name: Kelland Shelby M /Hoogerwerf Dylan R

APN
Land Use: Sfr
/
7,652 Year Built / Eff: 1968 / Rec. Date / Price: 05/01/2023
Living Area: 1,457 # of units: Document #: 1210058 Bedrooms: Pool: Pool Total Tax Value: $179,769 Bath(F/H): /
/ Alternate APN: 133-25-1340 / Deed Type: Warranty Deed
Subdivision
Tract: Huntington Park / Lot Size:
/ $155,000
APN
Land Use: Sfr Subdivision /
8,275 Year Built / Eff: 1966 / Rec. Date / Price: 12/23/2022
Living Area: 1,345 # of units: Document #: 3570267 Bedrooms: Pool: Total Tax Value: $157,564 Bath(F/H): /
/ Alternate APN: 133-26-3300 / Deed Type: Warranty Deed
Tract: Carriage Hill 02 Resub /Lot Size:
/ $295,000
APN
Land Use: Sfr Subdivision / Tract: Saguaro Verde / Lot Size: 17,912 Year Built / Eff: 1973 / Rec. Date / Price: 04/17/2023 / $350,000 Living Area: 1,560 # of units: Document #: 1070375 Bedrooms: Pool: Total Tax Value: $210,408 Bath(F/H): /
/ Alternate APN: 133-07-1060 / Deed Type: Warranty Deed
APN
Land Use: Sfr Subdivision / Tract: Hidden Hills / Lot Size: 8,796 Year Built / Eff: 1971 / Rec. Date / Price: 04/18/2023 / $332,000 Living Area: 1,553 # of units: Document #: 1080522 Bedrooms: Pool: Total Tax Value: $167,387 Bath(F/H): / Customer
Chantel
Customer
FIRST AMERICAN TITLE
06/05/2023 © 2023 CoreLogic.
/ Alternate APN: 133-10-1580 / Deed Type: Warranty Deed
Name :
Cortez
Company Name :
Prepared On :
All rights reserved

Customer Name : Chantel Cortez

Customer Company Name : FIRST AMERICAN TITLE Prepared On : 06/05/2023

© 2023 CoreLogic. All rights reserved

Property :   8041 E Pageau Rd Tucson AZ 85715
Subject

Customer Name : Chantel Cortez

Customer Company Name : FIRST AMERICAN TITLE Prepared On : 06/05/2023

© 2023 CoreLogic. All rights reserved

7882 E ADAMS ST Distance 0.2 Miles

Owner Name : Wu-chan Subdivision : Pantano Terrace

Sale Date : 10/00/1995

Total Value : $247,487

Bed / Bath : / 3

Recording Date : 11/08/1995

Sale Price  : $175,000

Property Tax : $2,999.77

Land Use : Sfr Lot Acres : 0.23

Stories : 1

Living Area : 2,047

Yr Blt / Eff Yr Blt : 1996 / APN : 133-13-3230

7881 E FAIRMOUNT ST Distance 0.2 Miles

Owner Name : Renner Benjamin Subdivision : Pantano Terrace

Sale Date : 05/10/2017

Total Value : $244,852

Recording Date : 05/15/2017

Sale Price  : $240,000

Bed / Bath : / 3 Property Tax : $2,974.36

Land Use : Sfr Lot Acres : 0.24

Stories : 1

Living Area : 2,047

Yr Blt / Eff Yr Blt : 1994 / APN : 133-13-3300

7861 E ADAMS ST Distance 0.21 Miles

Owner Name : Drinnon Subdivision : Silver Shadows Estates Resub

Sale Date : 02/21/2018

Total Value : $206,785

Bed / Bath : / 2

Land Use : Sfr

Stories : 1

Recording Date : 02/23/2018

Sale Price  : $180,000

Property Tax : $2,509.83

Lot Acres : 0.20

Living Area : 1,835

Yr Blt / Eff Yr Blt : 1968 / APN : 133-13-1060

7868 E ADAMS ST Distance 0.21 Miles

Owner Name : Foster

Total Value : $251,052

Recording Date : 10/02/1995

Sale Price  : $159,800

Bed / Bath : / 3 Property Tax : $2,986.91

Land Use : Sfr

Stories : 1

Lot Acres : 0.23

Living Area : 2,047

Yr Blt / Eff Yr Blt : 1995 / APN : 133-13-3240

Subdivision  : Pantano Terrace

Customer Name : Chantel Cortez

Customer Company Name : FIRST AMERICAN TITLE Prepared On : 06/05/2023

© 2023 CoreLogic. All rights reserved

7862 E LEE ST Distance 0.21 Miles

Owner Name : Meidinger David F Subdivision : Silver Shadows Estates

Sale Date : 12/05/2018

Total Value : $196,653

Bed / Bath : / 2

Recording Date : 12/07/2018

Sale Price  : $199,000

Property Tax : $1,665.33

Land Use : Sfr Lot Acres : 0.23

Stories : 1

Living Area : 1,727

Yr Blt / Eff Yr Blt : 1969 / APN : 133-13-0830

7867 E FAIRMOUNT ST Distance 0.22 Miles

Owner Name : Serafini Cynthia Subdivision : Pantano Terrace

Sale Date : 02/23/2022

Total Value : $249,728

Bed / Bath : / 3

Recording Date : 02/23/2022

Sale Price  : $450,000

Property Tax : $3,391.57

Land Use : Sfr Lot Acres : 0.32

Stories : 1

Living Area : 2,047

Yr Blt / Eff Yr Blt : 1994 / APN : 133-13-3290

7851 E ADAMS ST Distance 0.22 Miles

Owner Name : Moody Brian F Subdivision : Silver Shadows Estates Resub

Sale Date : 05/27/2009

Total Value : $210,516

Bed / Bath : / 2

Recording Date : 06/25/2009

Sale Price  : $204,000

Property Tax : $2,571.43

Land Use : Sfr Lot Acres : 0.20

Stories : 1

Living Area : 1,783

Yr Blt / Eff Yr Blt : 1968 / APN : 133-13-1070

© 2023 CoreLogic. All rights reserved

Customer Name : Chantel Cortez Customer Company Name : FIRST AMERICAN TITLE Prepared On : 06/05/2023

7852 E LEE ST Distance 0.23 Miles

Owner Name : Jacobs Jimmy H

Sale Date : 08/19/2019

Total Value : $208,198

Bed / Bath : / 2

Subdivision : Silver Shadows Estates

Recording Date : 08/21/2019

Sale Price  : $227,000

Property Tax : $2,310.03

Land Use : Sfr Lot Acres : 0.25

Stories : 1

Living Area : 1,910

Yr Blt / Eff Yr Blt : 1966 / APN : 133-13-0820

7861 E LEE ST Distance 0.23 Miles

Owner Name : Norton Subdivision : Silver Shadows Estates

Sale Date : 10/23/1999

Total Value : $231,933

Bed / Bath : / 2

Recording Date : 10/27/1999

Sale Price  : $123,000

Property Tax : $2,676.95

Land Use : Sfr Lot Acres : 0.23

Stories : 1

Living Area : 2,185

Yr Blt / Eff Yr Blt : 1965 / APN : 133-13-0540

7853 E FAIRMOUNT ST Distance 0.23 Miles

Owner Name : Murphy Emery W

Total Value : $249,728

Bed / Bath : / 3

Subdivision : Pantano Terrace

Recording Date : 12/07/1994

Property Tax : $2,974.36

Land Use : Sfr Lot Acres : 0.23

Stories : 1

Living Area : 2,047

Yr Blt / Eff Yr Blt : 1994 / APN : 133-13-3280

Customer Name : Chantel Cortez Customer Company Name : FIRST AMERICAN TITLE Prepared On : 06/05/2023
© 2023 CoreLogic. All rights reserved
Household Population Population by Age Count: 3,748 0 - 11 Estimate Current Year: 3,941 12 - 17 Estimate in 5 Years: 4,821 18 - 24 10.51% Growth Last 5 Years: 4.03% 25 - 64 49.87% Growth Last 10 Years: -92.46% 65 - 74 9.53% 75+ Household Size Household Income Current Year: 1,871 0 - $25,000 13.84% Average Current Year: 1.98 $25,000 - $35,000 10.74% Estimate in 5 Years: 1,856 $35,000 - $50,000 17.1% Growth Last 5 Years: 3.53% $50,000 - $75,000 16.35% Growth Last 10 Years: 3.92% $75,000 - $100,000 24.96% Male Population: 53.12% Above $100,000 17% Female Population: 46.88% Average Household Income: $64,183 Married People: 33.81% Unmarried People: 66.19% Housing Median Mortgage Payments Home Values Under $300: 4.65% Below $100,000: 6.92% $300 - $799: 33.14% $100,000 - $150,000: 25.72% $800 - $1,999: 54.1% $150,000 - $200,000: 25.02% Over $2,000: 8.11% $200,000 - $300,000: 29.57% Median Home Value: $181,500 $300,000 - $500,000: 11.57% Unit Occupied Owner: 54.04% Above $500,000: 1.19% Median Mortgage: $788
Customer
06/05/2023 © 2023 CoreLogic. All rights reserved
Census Tract / block: 40.32 / 2     Year: 2020
Customer Name : Chantel Cortez
Company Name : FIRST AMERICAN TITLE Prepared On :
Rent Payments Year Built Unit Occupied Renter: 45.96% 1999 - 2000 Median Gross Rent: $1,105 1995 - 1998 Less Than $499 0% 1990 - 1994 $500 - $749 3.86% 1980 - 1989 22.63% $750 - $999 30.24% 1970 - 1979 30.75% $1000 and Over 65.9% 1900 - 1969 14.12% Education Enrollment Public Pre-Primary School: 0.53% Not Enrolled in School: 81.15% Private Pre-Primary School: 0.28% Not A High School Graduate: 2.82% Public School: 16.05% Graduate Of High School: 20.19% Private School: 2.8% Attended Some College: 27.12% Public College: 4.32% College Graduate: 31.91% Private College: 1.27% Graduate Degree: 17.96% Workforce Occupation: Manager/Prof: 55.29% Private Worker: 72.76% Technical: Government Worker: 15.32% Sales: 19.36% Self Employed Worker: 3.02% Administrative: Unpaid Family Worker: 2.54% Private House Hold: Farming: 2.86% Service: 16.18% Skilled: Protective Services: Blue-Collar: 9.17% Commute Time Less Than 15 Min: 27.66% 15 min - 28 min: 42.55% 30 min - 57 min: 27.48% Over 60 min: 2.31% Customer Name : Chantel Cortez Customer Company Name : FIRST AMERICAN TITLE Prepared On : 06/05/2023 © 2023 CoreLogic. All rights reserved

Customer Name : Chantel Cortez

Customer Company Name : FIRST AMERICAN TITLE Prepared On : 06/05/2023

© 2023 CoreLogic. All rights reserved

Customer Name : Chantel Cortez

Customer Company Name : FIRST AMERICAN TITLE Prepared On : 06/05/2023

© 2023 CoreLogic. All rights reserved

Customer Name : Chantel Cortez

Customer Company Name : FIRST AMERICAN TITLE Prepared On : 06/05/2023

© 2023 CoreLogic. All rights reserved

Arizona Schools For detailed information and statistics on Arizona schools please go to https://azreportcards.azed.gov/ First American Title Insurance Company, and the operating divisions thereof, make no express or implied warranty respecting the information presented and assume no responsibility for errors or omissions. First American, the eagle logo, First American Title, and firstam.com are registered trademarks or trademarks of First American Financial Corporation and/or its affiliates. ©2021 First American Financial Corporation and/or its affiliates. All rights reserved. NYSE: FAF 05117910421

PIMA COUNTY

School District Information

This map is provided for general location only. Please contact school districts for actual street boundaries

05249570321 TUCSON INT'L AIRPORT Air Force WSilverbellRd SSantaRitaRd N M t L emmon Hwy ESascoRd NF38 W Avra Valley Rd E Grand Va ey Dr NAguirre R d N L u c k e R d N W e n t z R d N Wa terman Mounta i n R d N Anway Rd W El Tiro Rd N Trico Rd W Tucker Rd W Rudas l Rd W Manvi e Rd SSanJoaquinRd WBopp Rd W Snyder H l Rd S M a r s e a r R d W Park Rd W Hermans Rd W Hermans Rd W Guy St W Bush Rd S G a v e y R d N C a e R i n c o n a d o S W m o R d S Shaw Rd S Sierrita Mountain Rd S K o b R d W TwinButtes Rd W Mcgee Ranch Rd S E s t a n c a D r EDesertDove E Hemlock Dr N Bea r C a n y o n R d W E Camino Del Cerro E Fairmount St S Swan Rd NFrontageRd W Emigh Rd W Fort Lowe Rd N P u m p S t a t ion dR E Nona Rd Ch efButteRd Lo al Ave N Trico Rd S Cattle Tank Rd Evalyn Rd SOwlHead R a n c h Rd GasLineRd S P ec a n R d N T r c o R d W Bayard Rd S S a n d a r o R d W i l l owSpri n gsRd N Dove Mountain Blvd SHelvetiaRd WAnamax Mine Rd W G a c i a R a n hc R d Road424 WRagged Top Rd W Ruby Star Dr WBritten RanchRd W Pima Mine Rd S Mcgee Ranch R d E Edw n Rd SGuildRd 8 0 NKINNEYRD S PICACHO HWY E BAUMGARTNER RD N S A N D A R I O R D N ANWAY RD W VALENCIA RD W MOORE RD W INA RD N 1 S T A V E E SUNRISE DR E SNYDER RD NSILVERBELLRD N S O L D I E R T R L E RIVER RD E PRINCE RD E SPEEDWAY BLVD S FREEMAN RD E 22ND ST E 22ND ST W IRVINGTON RD S N O G A L E S H W Y W VALENCIA RD SMISSIONRD W SPEEDWAY BLVD S O L D S P A N I S H T RL W NARANJA DR W TWIN PEAKS RD W PICTURE ROCKS RD W MANVILLE RD SKINNEYRD W MILE WIDE RD E SAHUARITA RD N TRICO RD S S A N D A R O R D PARK LINK DR S OLD N O G ALES HW Y S H O U G H T O N R D S L A C A N A D A DR W HELMET PEAK RD WAJOHWY N S W A N R D S KOLB RD S HOUGHTON RD W TANGERINE RD E GRANT RD S H O U G H T O N R D 9 5 WAJOHWY E VALENCIA RD NORACLE R D I10 I-19 77 77 77 86 86 286 10 19 10 10 Corona de Tucson Casas Adobes Catalina Green Valley Oracle Picture Rocks Three Points Vail Summit Tanque Verde Tucson Sahuarita Red Rock Saddlebrooke Marana Oro Valley Rillito Summerhaven Willow Canyon Oracle Junction Cortaro Continental Littletown 20 30 13 15 51 39 12 01 01 08 10 16 11 06
SCHOOL DISTRICTS 15 AJO UNIFIED 111 N. Well Road, Ajo, AZ 85321 520.387.5618 51 ALTAR VALLEY ELEMENTARY 10105 S. Sasabe Road, Tucson, AZ 85736 520.822.1484 10 AMPHITHEATER UNIFIED 701 W. Wetmore, Tucson, AZ 85705 520.696.5000 16 CATALINA FOOTHILS UNIFIED 2101 E. River Road, Tucson, AZ 85718 520.209.7500 39 CONTINENTAL ELEMENTARY 1991 E. Whitehouse Canyon, Green Valley, AZ 85614 520.625.4581 08 FLOWING WELLS UNIFIED 1556 W. Prince Road, Tucson, AZ 85705 520.696.8800 06 MARANA UNIFIED 11279 W. Grier Road, Marana, AZ 85653 520.682.3243 11 PIMA COUNTY JTED 2855 W. Master Pieces Dr, Tucson, AZ 85741 520.352.5833 30 SAHUARITA UNIFIED 350 W. Sahuarita Road, Sahuarita, AZ 85629 520.625.3502 12 SUNNYSIDE UNIFIED 2238 E. Ginter Road, Tucson, AZ 85706 520.545.2000 13 TANQUE VERDE UNIFIED 2300 N. Tanque Verde Loop, Tucson, AZ 85749 520.749.5751 01 TUCSON UNIFIED 1010 E. 10th Street, Tucson, AZ 85717 520.225.6000 20 VAIL UNIFIED 10701 E. Mary Ann Cleveland Way, Tucson, AZ 85747 520.879.2000 First American Title Insurance Company, and the operating divisions thereof, make no express or implied warranty respecting the information presented and assume no responsibility for errors or omissions. First American, the eagle logo, First American Title, and firstam.com are registered trademarks or trademarks of First American Financial Corporation and/or its affiliates. ©2021 First American Financial Corporation and/or its affiliates. All rights reserved. NYSE: FAF

SEARCH PARAMETERS

PARCEL:  133-09-1910

PARCEL: 133-09-1910

OWNER: PRATEEKA SRI ANANDA

SITUS: 8041 E PAGEAU RD TUC

MAIL: 8041 E PAGEAU RD

TUCSON AZ 85715

PLAT: LOT 00043 BLOCK

LEGAL: RANCHO TRANQUILO ESTE LOT 43

END SEARCH

06/05/2023  10:30AM  NKFE  INVESTIGATIVE SEARCH RESULTS PAGE 1 OF 1
+ FIRST AMERICAN TITLE, FC0, CCOR PIMA, AZ
INSTRUMENT REC DATE
AFFIDAVIT    2020 1501252 05/29/2020
CURRENT TAXES INFORMATION THROUGH 05/28/2023 LAND IMPR EXEMPT RATE AREA SPECIAL DISTRICTS PRIMARY  16,365  0  0  11.1537  0150 SECONDARY  50  16,335  0  2.7742  2022 TOTAL TAX BILLED 1,998.94 2022  TAX AMT TAX DUE INTEREST DATE PAID TOTAL DUE FIRST HALF  999.47  0.00  0.00  10/24/2022  0.00  SECOND HALF  999.47  0.00  0.00  04/24/2023  0.00  TOTAL CURRENT TAXES DUE 06/23 0.00 07/23 0.00 IMPROVEMENTS RESIDENTIAL  PHYSICAL CONDITION   BELOW AVE BLDG SQFT  1,449 FULL CASH VALUE  163,848 YEAR BUILT  1987 LAND USE  01 31 NUMBER OF STORIES  1.5 LOT SIZE  1 STDLT STORIES HEIGHT  0 SCHOOL DISTRICT  0150 EXTERIOR WALLS  FRAME WOOD LAND FULL CASH VALUE  502 GRADE MATERIALS IMPR FULL CASH VALUE  163,346 SALES SALE DATE SALE AMOUNT INSTRUMENT TYPE SELLER NAME VALIDITY 05/29/2020 222,000    2020 1501252 WD LENHARDT STEPHEN 07/17/2013 175,000    2013 1980597 WD COPPEL LUIS 03/01/2013 74,500    2013 600661 WD MCCORMICK LAURA M 03/31/2006 224,000    12773 1126 WD CANYON POINTE PROPERTIES L 03/12/1998 113,500    10751 1217 WD SAUNDERS THOMAS G/HEIDI C 07/31/1990 95,105    8841 2570 JD MERRILL WILLIAM E 12/01/1987 97,100    8172 1467 SD TITLE GUARANTY AGENCY 1180 ADDITIONAL PROPERTY INFORMATION STANDARD LAND USE: SFR

Turn static files into dynamic content formats.

Create a flipbook
Issuu converts static files into: digital portfolios, online yearbooks, online catalogs, digital photo albums and more. Sign up and create your flipbook.
Digital Listing Kit 8041 E Pageau Rd by FirstAmAZ - Issuu