Digital Listing Kit 5751 N Kolb Unit 5104

Page 1

Data Provided By: First American Title Ins Co

5751 N Kolb Rd # 5 Tucson AZ 85750 APN: 114-65-0380
Subject Property
© 2023 CoreLogic. All rights reserved

LIMITATION OF LIABILITY FOR INFORMATIONAL REPORTS

IMPORTANT -- PLEASE READ CAREFULLY:

This report is not an insured product or service or a representation of the condition of title to real property. It is not an abst ract, legal opinion, opinion of title, title insurance commitment or preliminary report, or any form of Title Insurance or Guaranty. This report is issued exclusively for the benefit of the Applicant therefor and may not be used or relied upon by any other person. This report may not be reproduced in any manner without First American or Title Security's prior written consent. First American or Title Security does not represent or warrant that the information herein is complete or free from error, and the information herein is provided without any warranties of any kind, as-is, and with all faults. As a material part of the consideration given in exchange for the issuance of this report, recipient agrees that First American or Title Security's sole liability for any loss or damage caused by an error or omission due to inaccurate information or negligence in preparing this report shall be limited to the fee charged for the report. Recipient accepts this report with this limitation and agrees that First American or Title Security would not have issued this report but for the limitation of liability described above. First American or Title Security makes no representation or warranty as to the legality or propriety of recipient's use of the information herein.

Disclaimer

This REiSource report is provided "as is" without warranty of any kind, either express or implied, including without limitations any warrantees of merchantability or fitness for a particular purpose. There is no representation of warranty that this information is complete or free from error, and the provider does not assume, and expressly disclaims, any liability to any person or entity for loss or damage caused by errors or omissions in this REiSource report without a title insurance policy.

The information contained in the REiSource report is delivered from your Title Company, who reminds you that you have the right as a consumer to compare fees and serviced levels for Title, Escrow, and all other services associated with property ownership, and to select providers accordingly. Your home is the largest investment you will make in your lifetime and you should demand the very best.

Data Provided By: First American Title Ins Co
© 2023 CoreLogic. All rights reserved

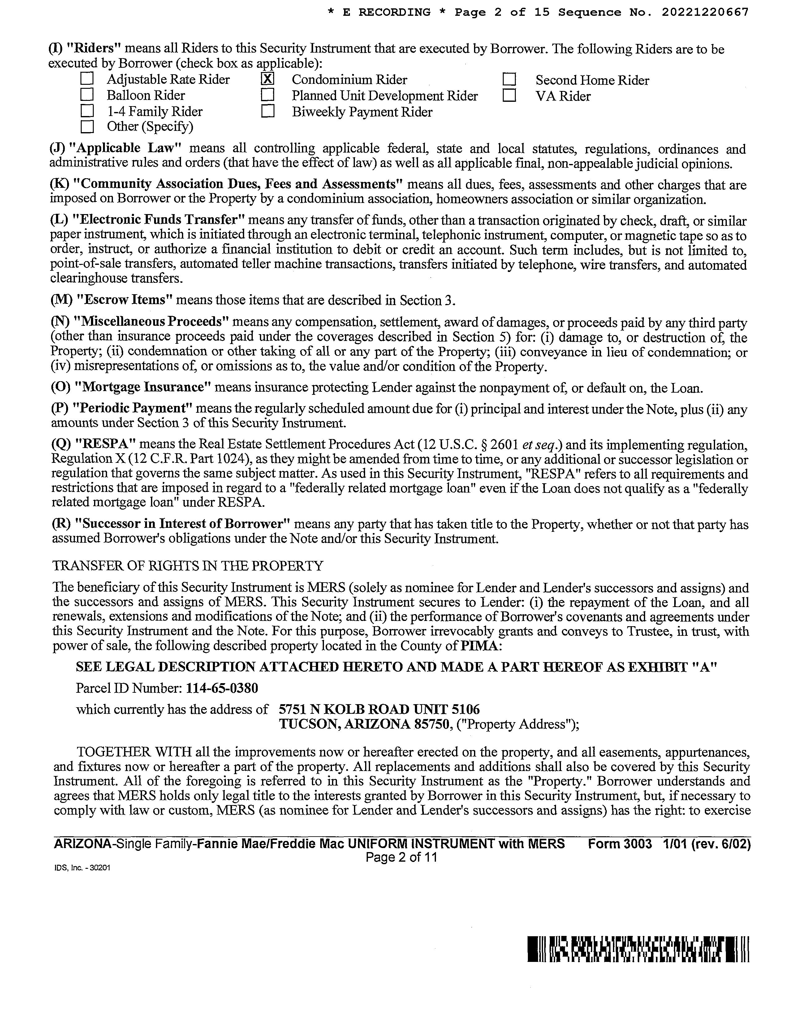
Subject Property :   5751 N Kolb Rd # 5 Tucson AZ 85750

Owner Information

Owner Name : Nguyen Chi Phuong / Tran Diep Ngoc

Mailing Address : 2718 E Blanton Dr, Tucson AZ 85716-1513 C024

Vesting Codes : / / Joint Tenants

Owner Occupied Indicator : A

Location Information

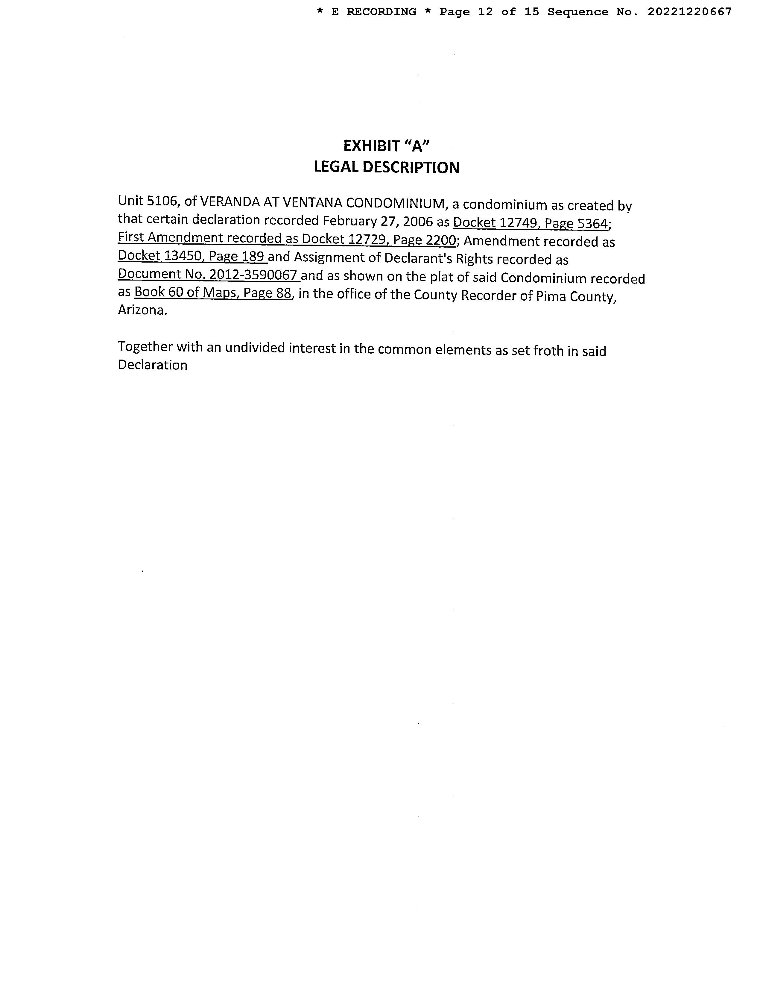
Legal Description : Veranda At Ventana Condominium Unit 5106 .183% Int Common Element

County : Pima, Az

Census Tract / Block : 47.22 / 1

Township-Range- Sect : 13S-15E-7

Legal Book/Page : 60-88

Legal Lot : 5106

Market Area : 12

Owner Transfer Information

Recording/Sale Date : 07/28/2022 / 04/29/2022

Document # : 2090601

Last Market Sale Information

Recording/Sale Date : 05/02/2022 / 04/28/2022

Sale Price : $210,000

Document # : 1220665

Deed Type : Warranty Deed

Title Company : Premier Title Agency

Lender : Sunstreet Mtg Llc

Seller Name : Whittington William P & Cind

Prior Sale Information

Prior Rec/Sale Date : 04/08/2014 / 03/14/2014

Prior Sale Price : $83,900

APN : 114-65-0380

Subdivision : Veranda/ventana Condo

Map Reference : 07-13S-15E

School District : Catalina Foothills

Munic/Township : Catalina Foothills

Deed Type : Warranty Deed

1st Mtg Amount/Type : $189,000 / Cnv

1st Mtg Document # : 1220667

1st Mtg Term : 30

Price Per SqFt : $299.57

Prior Doc Number : 980202

Prior Deed Type : Warranty Deed

Customer
Customer Name : Chantel Cortez
Company Name : FIRST AMERICAN TITLE Prepared On : 06/09/2023 © 2023 CoreLogic. All rights reserved

Property Characteristics

Gross Area : 701 Parking Type : Garage Patio Type : Covered Patio

Living Area : 701 Roof Material : Tile Air Cond : Refrigeration

Total Rooms : 5 Heat Type : Forced Air Quality : Fair Year Built / Eff : 1996

Cooling Type : Forced Air Condition : Average

# of Stories : 1 Exterior wall : Frame Wood Bath Fixtures : 3

Property Information

Land Use : Condominium Zoning : TR Lot Size : 831

County Use : Condominiumstownhouse Lot Acres : 0.02 State Use : Condominiumstownhouse

Tax Information

Total Value : $107,040 Property Tax : $1,088.21

Total Taxable Value : $9,348 Tax Rate Area : 1600

Assessed Year : 2022 Market Value : $107,040

Tax Year : 2022

Current Assessed Year : 2024

Current Year Total Value : $16,251

Current Year Improvement Value :

$16,201

Current Year Land Value : $50

Customer Name :
Customer Company Name : FIRST AMERICAN TITLE Prepared On : 06/09/2023 © 2023 CoreLogic. All rights reserved
Chantel Cortez
Sales Analysis Criteria Subject Property Low High Average Sale Price $210,000 $136,500 $1,200,000 $258,594 Bldg/Living Area 701 701 732 706 Price Per Square Foot $299.57 $195 $1,712 $366.23 Year Built 1996 1996 1996 1996 Lot Size 831 401 831 767 Bedrooms Bathrooms 1 1 2 1 Stories 1 1 1 1 Total Assessed Value $107,040 $105,311 $107,040 $106,735 Distance From Subject 0 0.01 0.43 0.13 Summary of Comparables # Address Sale Price Total Assessed Value Sale Date Bed Bath Living Area Lot Size Year Built Dist (Miles) Zoning S 5751 N Kolb Rd # 5 210,000 107,040 05/02/2022 1 701 831 1996 TR 1 5751 N Kolb Rd # 5 192,500 107,040 06/15/2022 1 701 831 1996 0.01 TR 2 5751 N Kolb Rd # 5 195,000 107,040 02/09/2023 1 701 831 1996 0.01 TR 3 5751 N Kolb Rd # 7 210,000 107,040 06/21/2022 1 701 831 1996 0.03 TR 4 5751 N Kolb Rd # 7 136,500 107,040 11/14/2022 1 701 831 1996 0.04 TR 5 5751 N Kolb Rd # 19 1,200,000 107,040 10/20/2022 1 701 831 1996 0.04 TR 6 5751 N Kolb Rd # 19 187,500 107,040 05/01/2023 1 701 831 1996 0.05 TR 7 5751 N Kolb Rd # 19 180,000 107,040 05/05/2023 1 701 831 1996 0.05 TR 8 5751 N Kolb Rd # 9 190,000 107,040 05/19/2023 1 701 831 1996 0.08 TR 9 5751 N Kolb Rd # 21 190,000 107,040 03/17/2023 1 701 831 1996 0.09 CB-1 10 5751 N Kolb Rd # 21 197,000 107,040 08/26/2022 1 701 831 1996 0.09 CB-1 11 5751 N Kolb Rd # 30 190,000 107,040 09/16/2022 1 701 831 1996 0.11 CB-1 Customer Name : Chantel Cortez Customer Company Name : FIRST AMERICAN TITLE Prepared On : 06/09/2023 © 2023 CoreLogic. All rights reserved
12 5751 N Kolb Rd # 33 185,000 107,040 02/28/2023 1 701 831 1996 0.13 CB-1 13 5751 N Kolb Rd # 33 195,000 107,040 09/30/2022 1 701 831 1996 0.13 CB-1 14 5751 N Kolb Rd # 23 197,600 107,040 05/16/2023 1 701 831 1996 0.15 CB-1 15 7050 E Sunrise Dr # 18 228,000 105,311 11/16/2022 2 732 401 1996 0.43 TR 16 7050 E Sunrise Dr # 9 267,000 105,311 05/17/2023 2 732 482 1996 0.43 TR 17 7050 E Sunrise Dr # 9 255,000 105,311 09/02/2022 2 732 522 1996 0.43 TR Distressed Sales = Map Customer Name : Chantel Cortez Customer Company Name : FIRST AMERICAN TITLE Prepared On : 06/09/2023 © 2023 CoreLogic. All rights reserved

Details of Comparables

Subject Property: 5751 N Kolb Rd # 5 Tucson Az 85750

Owner Name: Nguyen Chi Phuong /Tran Diep Ngoc APN / Alternate APN: 114-65-0380 / Deed Type: Warranty Deed

#1   5751 N Kolb Rd # 5 Tucson Az 85750

Owner Name: Wolfe Jason /Wolfe Aerie

/ Alternate APN: 114-65-0390 / Deed Type: Warranty Deed

#2   5751 N Kolb Rd # 5 Tucson Az 85750

Owner Name: Scott Julie A /

/ Alternate APN: 114-65-0480 / Deed Type: Warranty Deed

#3   5751 N Kolb Rd # 7 Tucson Az 85750 Owner Name: Bunderle Bradley J /

Land Use: Condominium Subdivision / Tract: Veranda/ventana Condo / Lot Size: 831 Year Built / Eff: 1996 / Rec. Date / Price: 05/02/2022
$210,000 Living Area: 701 # of units: Document #:
Bedrooms: Pool: Total Tax Value: $107,040 Bath(F/H): /
/
1220665
APN
Land Use: Condominium Subdivision / Tract: Veranda/ventana Condo / Lot Size: 831 Year Built / Eff: 1996 / Rec. Date / Price: 06/15/2022
$192,500 Living Area: 701 # of units: Document #:
Bedrooms: Pool: Total Tax Value: $107,040 Bath(F/H): /
/
1660661
APN
Land Use: Condominium Subdivision / Tract: Veranda/ventana Condo / Lot Size: 831 Year Built / Eff: 1996 / Rec. Date / Price: 02/09/2023 / $195,000 Living Area: 701 # of units: Document #: 400326 Bedrooms: Pool: Total Tax Value: $107,040 Bath(F/H): /
APN / Alternate
Deed Type: Warranty Deed Land Use: Condominium Subdivision / Tract: Veranda/ventana Condo / Lot Size: 831 Year Built / Eff: 1996 / Rec. Date / Price: 06/21/2022 / $210,000 Living Area: 701 # of units: Document #: 1720365 Bedrooms: Pool: Total Tax Value: $107,040 Bath(F/H): / #4   5751 N Kolb Rd # 7 Tucson Az 85750
Name:
Medical Consultants Inc / APN / Alternate APN: 114-65-0710 / Deed Type: Warranty Deed Land Use: Condominium Subdivision / Tract: Veranda/ventana Condo / Lot Size: 831 Year Built / Eff: 1996 / Rec. Date / Price: 11/14/2022 / $136,500 Living Area: 701 # of units: Document #: 3180699 Bedrooms: Pool: Total Tax Value: $107,040 Bath(F/H): /
Name : Chantel Cortez Customer Company Name : FIRST AMERICAN TITLE Prepared On : 06/09/2023 © 2023 CoreLogic. All rights reserved
APN: 114-65-0580 /
Owner
Rg
Customer

Owner Name: Chioffe Misty D /Chioffe James R

Owner Name: Bridger Scott /Harris Haley

Owner Name: Riche Raymond P /Gregg Celia R

#5   5751 N Kolb Rd # 19 Tucson Az 85750
APN / Alternate APN:
Deed Type: Warranty Deed Land Use: Condominium Subdivision / Tract: Veranda/ventana Condo / Lot Size: 831 Year Built / Eff: 1996 / Rec. Date / Price: 10/20/2022 / $1,200,000 Living Area: 701 # of units: Document #: 2930325 Bedrooms: Pool: Total Tax Value: $107,040 Bath(F/H): / #6   5751 N Kolb Rd # 19 Tucson Az 85750
APN / Alternate APN:
/ Deed Type: Warranty Deed Land Use: Condominium Subdivision / Tract: Veranda/ventana Condo / Lot Size: 831 Year Built / Eff: 1996 / Rec. Date / Price: 05/01/2023 / $187,500 Living Area: 701 # of units: Document #: 1210328 Bedrooms: Pool: Total Tax Value: $107,040 Bath(F/H): / #7   5751 N Kolb Rd # 19 Tucson Az 85750
Owner Name: Slaven Robert Knowles Iii /
114-65-1760 /
Owner Name: Cox Clifford /Cox Debbie
114-65-1730
APN / Alternate APN:
Deed Type: Warranty Deed Land Use: Condominium Subdivision / Tract: Veranda/ventana Condo / Lot Size: 831 Year Built / Eff: 1996 / Rec. Date / Price: 05/05/2023 / $180,000 Living Area: 701 # of units: Document #: 1250417 Bedrooms: Pool: Total Tax Value: $107,040 Bath(F/H): / #8   5751 N Kolb Rd #
Tucson Az 85750
APN
Deed Type: Warranty
Land Use: Condominium Subdivision / Tract: Veranda/ventana Condo / Lot Size: 831 Year Built / Eff: 1996 / Rec. Date / Price: 05/19/2023 / $190,000 Living Area: 701 # of units: Document #: 1390102 Bedrooms: Pool: Total Tax Value: $107,040 Bath(F/H): / #9   5751 N Kolb Rd # 21
114-65-1820 /
9
/ Alternate APN: 114-65-0850 /
Deed
Tucson Az 85750
APN
Deed Type:
Deed Land Use: Condominium Subdivision / Tract: Veranda/ventana Condo / Lot Size: 831 Year Built / Eff: 1996 / Rec. Date / Price: 03/17/2023 / $190,000 Living Area: 701 # of units: Document #: 760170 Bedrooms: Pool: Total Tax Value: $107,040 Bath(F/H): /
AMERICAN
©
CoreLogic.
reserved
/ Alternate APN: 114-65-2000 /
Warranty
Customer Name : Chantel Cortez Customer Company Name : FIRST
TITLE Prepared On : 06/09/2023
2023
All rights
#10   5751 N Kolb Rd # 21 Tucson Az 85750 Owner Name: Leal Maritza / APN / Alternate APN: 114-65-2080 / Deed Type: Warranty Deed Land Use: Condominium Subdivision / Tract: Veranda/ventana Condo / Lot Size: 831 Year Built / Eff: 1996 / Rec. Date / Price: 08/26/2022 / $197,000 Living Area: 701 # of units: Document #: 2380570 Bedrooms: Pool: Total Tax Value: $107,040 Bath(F/H): / #11   5751 N Kolb Rd # 30 Tucson Az 85750 Owner Name: Reyes Natalie G / APN / Alternate APN: 114-65-2930 / Deed Type: Warranty Deed Land Use: Condominium Subdivision / Tract: Veranda/ventana Condo / Lot Size: 831 Year Built / Eff: 1996 / Rec. Date / Price: 09/16/2022 / $190,000 Living Area: 701 # of units: Document #: 2590461 Bedrooms: Pool: Total Tax Value: $107,040 Bath(F/H): / #12   5751 N Kolb Rd # 33 Tucson Az 85750 Owner Name: Rus Norman H /Rus Linda J APN / Alternate APN: 114-65-3160 / Deed Type: Warranty Deed Land Use: Condominium Subdivision / Tract: Veranda/ventana Condos / Lot Size: 831 Year Built / Eff: 1996 / Rec. Date / Price: 02/28/2023 / $185,000 Living Area: 701 # of units: Document #: 590069 Bedrooms: Pool: Total Tax Value: $107,040 Bath(F/H): / #13   5751 N Kolb Rd # 33 Tucson Az 85750 Owner Name: Donovan Paul / APN / Alternate APN: 114-65-3230 / Deed Type: Warranty Deed Land Use: Condominium Subdivision / Tract: Veranda/ventana Condo / Lot Size: 831 Year Built / Eff: 1996 / Rec. Date / Price: 09/30/2022 / $195,000 Living Area: 701 # of units: Document #: 2730655 Bedrooms: Pool: Total Tax Value: $107,040 Bath(F/H): / #14   5751 N Kolb Rd # 23 Tucson Az 85750 Owner Name: Don Matthew A / APN / Alternate APN: 114-65-2320 / Deed Type: Warranty Deed Land Use: Condominium Subdivision / Tract: Veranda/ventana Condo / Lot Size: 831 Year Built / Eff: 1996 / Rec. Date / Price: 05/16/2023 / $197,600 Living Area: 701 # of units: Document #: 1360142 Bedrooms: Pool: Total Tax Value: $107,040 Bath(F/H): / Customer Name : Chantel Cortez Customer Company Name : FIRST AMERICAN TITLE Prepared On : 06/09/2023 © 2023 CoreLogic. All rights reserved

Owner Name: Pursel Family Trust /

Owner Name: Ismay Joseph J /Ismay Melissa L

Owner Name: Caho Rachel /

#15   7050 E Sunrise Dr # 18 Tucson Az 85750
APN
114-15-831B
Land Use: Condominium
Condos / Lot Size: 401 Year Built / Eff: 1996 / Rec. Date / Price: 11/16/2022 / $228,000 Living Area: 732 # of units: Document #: 3200307 Bedrooms: Pool: Total Tax Value: $105,311 Bath(F/H): /
/ Alternate APN:
/114-15-8310 Deed Type: Warranty Deed
Subdivision / Tract: Pinnacle Canyon
#16   7050 E Sunrise Dr # 9 Tucson Az 85750
APN
114-15-742A
Land Use: Condominium
/ Tract: Pinnacle
Condo Ph 02 / Lot Size: 482 Year Built / Eff: 1996 / Rec. Date / Price: 05/17/2023
$267,000 Living Area: 732 # of units: Document #: 1370098 Bedrooms: Pool: Total Tax Value: $105,311 Bath(F/H): /
/ Alternate APN:
/114-15-7420 Deed Type: Warranty Deed
Subdivision
Canyon
/
#17   7050 E Sunrise Dr # 9 Tucson Az 85750
APN
114-15-739A
Land Use: Condominium Subdivision / Tract: Pinnacle
Condo Ph 02 / Lot Size: 522 Year Built / Eff: 1996 / Rec. Date / Price: 09/02/2022 / $255,000 Living Area: 732 # of units: Document #: 2450120 Bedrooms: Pool: Total Tax Value: $105,311 Bath(F/H): /
Customer
FIRST AMERICAN
06/09/2023 © 2023 CoreLogic.
/ Alternate APN:
/114-15-7390 Deed Type: Warranty Deed
Canyon
Customer Name : Chantel Cortez
Company Name :
TITLE Prepared On :
All rights reserved

Customer Name : Chantel Cortez

Customer Company Name : FIRST AMERICAN TITLE Prepared On : 06/09/2023

© 2023 CoreLogic. All rights reserved

Subject Property :   5751 N Kolb Rd # 5 Tucson AZ 85750

Customer Name : Chantel Cortez

Customer Company Name : FIRST AMERICAN TITLE Prepared On : 06/09/2023

© 2023 CoreLogic. All rights reserved

5733 N PLACITA PAISAJE Distance 0.08 Miles

Owner Name : Dohanyos Alan J Subdivision : Ventanas Del Oeste

Sale Date : 08/00/1997

Total Value : $482,206

Bed / Bath : / 4

Land Use : Sfr

Stories : 1.5

Recording Date : 09/02/1997

Sale Price  : $297,360

Property Tax : $5,013.54

Lot Acres : 0.35

Living Area : 2,899

Yr Blt / Eff Yr Blt : 1997 / APN : 114-04-7210

5747 N PLACITA PAISAJE Distance 0.08 Miles

Owner Name : Moore Spencer Subdivision : Ventanas Del Oeste

Sale Date : 06/22/2020

Total Value : $555,096

Recording Date : 07/01/2020

Sale Price  : $605,000

Bed / Bath : / 5 Property Tax : $5,862.08

Land Use : Sfr Lot Acres : 0.35

Stories : 1.5

Living Area : 3,463

Yr Blt / Eff Yr Blt : 1997 / APN : 114-04-7200

5692 N PLACITA PAISAJE Distance 0.08 Miles

Owner Name : Cho Myung K Subdivision : Ventanas Del Oeste

Sale Date : 04/00/1996

Total Value : $416,971

Bed / Bath : / 4

Recording Date : 10/17/1996

Sale Price  : $218,857

Property Tax : $4,254.10

Land Use : Sfr Lot Acres : 0.33

Stories : 1

Living Area : 2,450

Yr Blt / Eff Yr Blt : 1996 / APN : 114-04-7110

5719 N PLACITA PAISAJE Distance 0.08 Miles

Owner Name : Olson Elizabeth D

Sale Date : 07/00/1997

Total Value : $426,049

Bed / Bath : / 4

Land Use : Sfr

Stories : 1

Yr Blt / Eff Yr Blt : 1997 /

Subdivision : Ventanas Del Oeste

Recording Date : 07/22/1997

Sale Price  : $236,548

Property Tax : $4,359.78

Lot Acres : 0.32

Living Area : 2,141

APN : 114-04-7220

Customer Name : Chantel Cortez

Customer Company Name : FIRST AMERICAN TITLE Prepared On : 06/09/2023

© 2023 CoreLogic. All rights reserved

5761 N PLACITA PAISAJE Distance 0.08 Miles

Owner Name : Yi Daniel B Subdivision : Ventanas Del Oeste

Sale Date : 04/27/2021

Total Value : $422,936

Bed / Bath : / 4

Recording Date : 05/07/2021

Sale Price  : $570,000

Property Tax : $4,323.55

Land Use : Sfr Lot Acres : 0.36

Stories : 1

Living Area : 2,450

Yr Blt / Eff Yr Blt : 1996 / APN : 114-04-7190

5775 N PLACITA PAISAJE Distance 0.09 Miles

Owner Name : Broad J W Subdivision : Ventanas Del Oeste

Sale Date : 03/09/2010

Total Value : $439,706

Bed / Bath : / 4

Recording Date : 03/19/2010

Sale Price  : $560,000

Property Tax : $4,504.81

Land Use : Sfr Lot Acres : 0.36

Stories : 1.5

Living Area : 2,851

Yr Blt / Eff Yr Blt : 1996 / APN : 114-04-7180

5690 N PLACITA DELEITE Distance 0.1 Miles

Owner Name : Kaufman Craig Subdivision : Ventanas Del Oeste

Sale Date : 03/00/1997

Total Value : $532,937

Bed / Bath : / 5

Land Use : Sfr

Stories : 1.5

Yr Blt / Eff Yr Blt : 1997 /

Recording Date : 03/31/1997

Sale Price  : $314,059

Property Tax : $5,604.14

Lot Acres : 0.34

Living Area : 3,288

APN : 114-04-7230

5678 N PLACITA PAISAJE Distance 0.1 Miles

Owner Name : Gray David M

Sale Date : 02/00/2001

Total Value : $337,646

Bed / Bath : / 3

Land Use : Sfr

Subdivision : Ventanas Del Oeste

Recording Date : 02/15/2001

Sale Price  : $220,000

Property Tax : $3,303.09

Lot Acres : 0.28

Living Area : 1,711 Yr Blt / Eff Yr Blt : 1996 /

Stories : 1

APN : 114-04-7100

Customer Name : Chantel Cortez

Customer Company Name : FIRST AMERICAN TITLE Prepared On : 06/09/2023

© 2023 CoreLogic. All rights reserved

5718 N PLACITA DELEITE Distance 0.1 Miles

Owner Name : Hrica James P

Sale Date : 07/00/1998

Total Value : $376,057

Subdivision : Ventanas Del Oeste

Recording Date : 07/16/1998

Sale Price  : $217,000

Bed / Bath : / 3 Property Tax : $3,777.83

Land Use : Sfr Lot Acres : 0.33

Stories : 1

Living Area : 2,025

Yr Blt / Eff Yr Blt : 1997 / APN : 114-04-7240

5734 N PLACITA DELEITE Distance 0.11 Miles

Owner Name : Mackel Austin

Sale Date : 03/12/2019

Total Value : $475,647

Subdivision : Ventanas Del Oeste

Recording Date : 03/22/2019

Sale Price  : $511,000

Bed / Bath : / 4 Property Tax : $4,937.20

Land Use : Sfr Lot Acres : 0.44

Stories : 1.5

Living Area : 2,851

Yr Blt / Eff Yr Blt : 1996 / APN : 114-04-7250

Prepared On : 06/09/2023
2023 CoreLogic. All rights reserved
Customer Name : Chantel Cortez Customer Company Name : FIRST AMERICAN TITLE
©
Census Tract / block: 47.22 / 1     Year: 2020 Household Population Population by Age Count: 2,653 0 - 11 Estimate Current Year: 2,974 12 - 17 Estimate in 5 Years: 4,693 18 - 24 4.15% Growth Last 5 Years: 16.96% 25 - 64 35.66% Growth Last 10 Years: -85.8% 65 - 74 25.07% 75+ Household Size Household Income Current Year: 1,275 0 - $25,000 5.96% Average Current Year: 2.08 $25,000 - $35,000 6.27% Estimate in 5 Years: 1,823 $35,000 - $50,000 11.76% Growth Last 5 Years: 12.78% $50,000 - $75,000 14.98% Growth Last 10 Years: 10.7% $75,000 - $100,000 16.86% Male Population: 44.97% Above $100,000 44.16% Female Population: 55.03% Average Household Income: $84,812 Married People: 54.39% Unmarried People: 45.61% Housing Median Mortgage Payments Home Values Under $300: 1.87% Below $100,000: 1.69% $300 - $799: 33.6% $100,000 - $150,000: 0% $800 - $1,999: 36.44% $150,000 - $200,000: 0.44% Over $2,000: 28.09% $200,000 - $300,000: 10.13% Median Home Value: $448,700 $300,000 - $500,000: 49.78% Unit Occupied Owner: 88.24% Above $500,000: 37.96% Median Mortgage: $1,442
Customer
06/09/2023 © 2023 CoreLogic. All rights reserved
Customer Name : Chantel Cortez
Company Name : FIRST AMERICAN TITLE Prepared On :
Rent Payments Year Built Unit Occupied Renter: 11.76% 1999 - 2000 Median Gross Rent: $1,723 1995 - 1998 Less Than $499 0% 1990 - 1994 $500 - $749 0% 1980 - 1989 54.37% $750 - $999 0% 1970 - 1979 12.67% $1000 and Over 100% 1900 - 1969 1.26% Education Enrollment Public Pre-Primary School: 0% Not Enrolled in School: 82.43% Private Pre-Primary School: 0% Not A High School Graduate: 1.24% Public School: 7.92% Graduate Of High School: 10.65% Private School: 9.65% Attended Some College: 14.88% Public College: 2.11% College Graduate: 40.4% Private College: 0% Graduate Degree: 32.84% Workforce Occupation: Manager/Prof: 56.15% Private Worker: 54.2% Technical: Government Worker: 12.67% Sales: 19.98% Self Employed Worker: 13.52% Administrative: Unpaid Family Worker: 8.4% Private House Hold: Farming: 7.06% Service: 6.82% Skilled: Protective Services: Blue-Collar: 17.05% Commute Time Less Than 15 Min: 19.65% 15 min - 28 min: 43.19% 30 min - 57 min: 32.21% Over 60 min: 4.96% Customer Name : Chantel Cortez Customer Company Name : FIRST AMERICAN TITLE Prepared On : 06/09/2023 © 2023 CoreLogic. All rights reserved

Customer Name : Chantel Cortez

Customer Company Name : FIRST AMERICAN TITLE Prepared On : 06/09/2023

© 2023 CoreLogic. All rights reserved

Customer Name : Chantel Cortez

Customer Company Name : FIRST AMERICAN TITLE Prepared On : 06/09/2023

© 2023 CoreLogic. All rights reserved

Customer Name : Chantel Cortez

Customer Company Name : FIRST AMERICAN TITLE Prepared On : 06/09/2023

© 2023 CoreLogic. All rights reserved

Arizona Schools For detailed information and statistics on Arizona schools please go to https://azreportcards.azed.gov/ First American Title Insurance Company, and the operating divisions thereof, make no express or implied warranty respecting the information presented and assume no responsibility for errors or omissions. First American, the eagle logo, First American Title, and firstam.com are registered trademarks or trademarks of First American Financial Corporation and/or its affiliates. ©2021 First American Financial Corporation and/or its affiliates. All rights reserved. NYSE: FAF 05117910421

PIMA COUNTY

School District Information

This map is provided for general location only. Please contact school districts for actual street boundaries

05249570321 TUCSON INT'L AIRPORT Air Force WSilverbellRd SSantaRitaRd N M t L emmon Hwy ESascoRd NF38 W Avra Valley Rd E Grand Va ey Dr NAguirre R d N L u c k e R d N W e n t z R d N Wa terman Mounta i n R d N Anway Rd W El Tiro Rd N Trico Rd W Tucker Rd W Rudas l Rd W Manvi e Rd SSanJoaquinRd WBopp Rd W Snyder H l Rd S M a r s e a r R d W Park Rd W Hermans Rd W Hermans Rd W Guy St W Bush Rd S G a v e y R d N C a e R i n c o n a d o S W m o R d S Shaw Rd S Sierrita Mountain Rd S K o b R d W TwinButtes Rd W Mcgee Ranch Rd S E s t a n c a D r EDesertDove E Hemlock Dr N Bea r C a n y o n R d W E Camino Del Cerro E Fairmount St S Swan Rd NFrontageRd W Emigh Rd W Fort Lowe Rd N P u m p S t a t ion dR E Nona Rd Ch efButteRd Lo al Ave N Trico Rd S Cattle Tank Rd Evalyn Rd SOwlHead R a n c h Rd GasLineRd S P ec a n R d N T r c o R d W Bayard Rd S S a n d a r o R d W i l l owSpri n gsRd N Dove Mountain Blvd SHelvetiaRd WAnamax Mine Rd W G a c i a R a n hc R d Road424 WRagged Top Rd W Ruby Star Dr WBritten RanchRd W Pima Mine Rd S Mcgee Ranch R d E Edw n Rd SGuildRd 8 0 NKINNEYRD S PICACHO HWY E BAUMGARTNER RD N S A N D A R I O R D N ANWAY RD W VALENCIA RD W MOORE RD W INA RD N 1 S T A V E E SUNRISE DR E SNYDER RD NSILVERBELLRD N S O L D I E R T R L E RIVER RD E PRINCE RD E SPEEDWAY BLVD S FREEMAN RD E 22ND ST E 22ND ST W IRVINGTON RD S N O G A L E S H W Y W VALENCIA RD SMISSIONRD W SPEEDWAY BLVD S O L D S P A N I S H T RL W NARANJA DR W TWIN PEAKS RD W PICTURE ROCKS RD W MANVILLE RD SKINNEYRD W MILE WIDE RD E SAHUARITA RD N TRICO RD S S A N D A R O R D PARK LINK DR S OLD N O G ALES HW Y S H O U G H T O N R D S L A C A N A D A DR W HELMET PEAK RD WAJOHWY N S W A N R D S KOLB RD S HOUGHTON RD W TANGERINE RD E GRANT RD S H O U G H T O N R D 9 5 WAJOHWY E VALENCIA RD NORACLE R D I10 I-19 77 77 77 86 86 286 10 19 10 10 Corona de Tucson Casas Adobes Catalina Green Valley Oracle Picture Rocks Three Points Vail Summit Tanque Verde Tucson Sahuarita Red Rock Saddlebrooke Marana Oro Valley Rillito Summerhaven Willow Canyon Oracle Junction Cortaro Continental Littletown 20 30 13 15 51 39 12 01 01 08 10 16 11 06
SCHOOL DISTRICTS 15 AJO UNIFIED 111 N. Well Road, Ajo, AZ 85321 520.387.5618 51 ALTAR VALLEY ELEMENTARY 10105 S. Sasabe Road, Tucson, AZ 85736 520.822.1484 10 AMPHITHEATER UNIFIED 701 W. Wetmore, Tucson, AZ 85705 520.696.5000 16 CATALINA FOOTHILS UNIFIED 2101 E. River Road, Tucson, AZ 85718 520.209.7500 39 CONTINENTAL ELEMENTARY 1991 E. Whitehouse Canyon, Green Valley, AZ 85614 520.625.4581 08 FLOWING WELLS UNIFIED 1556 W. Prince Road, Tucson, AZ 85705 520.696.8800 06 MARANA UNIFIED 11279 W. Grier Road, Marana, AZ 85653 520.682.3243 11 PIMA COUNTY JTED 2855 W. Master Pieces Dr, Tucson, AZ 85741 520.352.5833 30 SAHUARITA UNIFIED 350 W. Sahuarita Road, Sahuarita, AZ 85629 520.625.3502 12 SUNNYSIDE UNIFIED 2238 E. Ginter Road, Tucson, AZ 85706 520.545.2000 13 TANQUE VERDE UNIFIED 2300 N. Tanque Verde Loop, Tucson, AZ 85749 520.749.5751 01 TUCSON UNIFIED 1010 E. 10th Street, Tucson, AZ 85717 520.225.6000 20 VAIL UNIFIED 10701 E. Mary Ann Cleveland Way, Tucson, AZ 85747 520.879.2000 First American Title Insurance Company, and the operating divisions thereof, make no express or implied warranty respecting the information presented and assume no responsibility for errors or omissions. First American, the eagle logo, First American Title, and firstam.com are registered trademarks or trademarks of First American Financial Corporation and/or its affiliates. ©2021 First American Financial Corporation and/or its affiliates. All rights reserved. NYSE: FAF

SEARCH PARAMETERS

PARCEL:  114-65-0380

PARCEL: 114-65-0380

OWNER: NGUYEN CHI

SITUS: 5751 N KOLB RD TUCSON

MAIL: 2718 E BLANTON DR

PLAT: LOT 05106 BLOCK

LEGAL: VERANDA AT VENTANA CONDOMINIUM UNIT 5106 .183% INT COMMON ELEMENT

ADDITIONAL PROPERTY INFORMATION

END SEARCH

PIMA, AZ 06/09/2023  03:34PM  NKFE  INVESTIGATIVE SEARCH RESULTS PAGE 1 OF 1
+ FIRST AMERICAN TITLE, FC0, CCOR
INSTRUMENT REC DATE
AFFIDAVIT    2022 665 05/02/2022
CURRENT TAXES INFORMATION THROUGH 05/28/2023 LAND IMPR EXEMPT RATE AREA SPECIAL DISTRICTS PRIMARY  9,348  0  0  8.6352  1600 SECONDARY  50  10,654  0  3.0061  2022 TOTAL TAX BILLED 1,088.21 2022  TAX AMT TAX DUE INTEREST DATE PAID TOTAL DUE FIRST HALF  544.11  0.00  0.00  10/24/2022  0.00  SECOND HALF  544.10  0.00  0.00  04/24/2023  0.00  TOTAL CURRENT TAXES DUE 06/23 0.00 07/23 0.00 IMPROVEMENTS BYPASS  PHYSICAL CONDITION   BELOW AVE BLDG SQFT  701 FULL CASH VALUE  107,040 YEAR BUILT  1996 LAND USE  07 40 NUMBER OF STORIES  4.0 LOT SIZE  648 SQ FT STORIES HEIGHT  0 SCHOOL DISTRICT  1600 EXTERIOR WALLS  FRAME WOOD LAND FULL CASH VALUE  502 GRADE MATERIALS IMPR FULL CASH VALUE  106,538 SALES SALE DATE SALE AMOUNT INSTRUMENT TYPE SELLER NAME VALIDITY 05/02/2022 210,000    2022 665 WD WHITTINGTON WILLIAM PETER 04/08/2014 83,900    2014 980202 WD VERANDA AT VENTANA INVESTM 12/21/2012 7,566,964    2012 3560940 SW MONTECITO VENTANA LLC M
STANDARD LAND USE: CONDOMINIUM
Page 1 of 3 06/09/2023 3:35 PM
Page 2 of 3 06/09/2023 3:35 PM
Page 3 of 3 06/09/2023 3:35 PM
Page 1 of 3 06/09/2023 3:35 PM
Page 2 of 3 06/09/2023 3:35 PM
Page 3 of 3 06/09/2023 3:35 PM
Page 1 of 15 06/09/2023 3:35 PM
Page 2 of 15 06/09/2023 3:35 PM
Page 3 of 15 06/09/2023 3:35 PM
Page 4 of 15 06/09/2023 3:35 PM
Page 5 of 15 06/09/2023 3:35 PM
Page 6 of 15 06/09/2023 3:35 PM
Page 7 of 15 06/09/2023 3:35 PM
Page 8 of 15 06/09/2023 3:35 PM
Page 9 of 15 06/09/2023 3:35 PM
Page 10 of 15 06/09/2023 3:35 PM
Page 11 of 15 06/09/2023 3:35 PM
Page 12 of 15 06/09/2023 3:35 PM
Page 13 of 15 06/09/2023 3:35 PM
Page 14 of 15 06/09/2023 3:35 PM
Page 15 of 15 06/09/2023 3:35 PM
Page 1 of 6 06/09/2023 3:35 PM
Page 2 of 6 06/09/2023 3:35 PM
Page 3 of 6 06/09/2023 3:35 PM
Page 4 of 6 06/09/2023 3:35 PM
Page 5 of 6 06/09/2023 3:35 PM
Page 6 of 6 06/09/2023 3:35 PM

Turn static files into dynamic content formats.

Create a flipbook
Issuu converts static files into: digital portfolios, online yearbooks, online catalogs, digital photo albums and more. Sign up and create your flipbook.