Digital Listing Kit 2550 E River Road #4105

Page 1

Subject

Data Provided By: First American Title Ins Co

Property 2550 E River Rd # 4105 Tucson AZ 85718 APN: 108-24-1320
© 2023 CoreLogic. All rights reserved

LIMITATION OF LIABILITY FOR INFORMATIONAL REPORTS

IMPORTANT -- PLEASE READ CAREFULLY:

This report is not an insured product or service or a representation of the condition of title to real property. It is not an abst ract, legal opinion, opinion of title, title insurance commitment or preliminary report, or any form of Title Insurance or Guaranty. This report is issued exclusively for the benefit of the Applicant therefor and may not be used or relied upon by any other person. This report may not be reproduced in any manner without First American or Title Security's prior written consent. First American or Title Security does not represent or warrant that the information herein is complete or free from error, and the information herein is provided without any warranties of any kind, as-is, and with all faults. As a material part of the consideration given in exchange for the issuance of this report, recipient agrees that First American or Title Security's sole liability for any loss or damage caused by an error or omission due to inaccurate information or negligence in preparing this report shall be limited to the fee charged for the report. Recipient accepts this report with this limitation and agrees that First American or Title Security would not have issued this report but for the limitation of liability described above. First American or Title Security makes no representation or warranty as to the legality or propriety of recipient's use of the information herein.

Disclaimer

This REiSource report is provided "as is" without warranty of any kind, either express or implied, including without limitations any warrantees of merchantability or fitness for a particular purpose. There is no representation of warranty that this information is complete or free from error, and the provider does not assume, and expressly disclaims, any liability to any person or entity for loss or damage caused by errors or omissions in this REiSource report without a title insurance policy.

The information contained in the REiSource report is delivered from your Title Company, who reminds you that you have the right as a consumer to compare fees and serviced levels for Title, Escrow, and all other services associated with property ownership, and to select providers accordingly. Your home is the largest investment you will make in your lifetime and you should demand the very best.

Data Provided By: First American Title Ins Co
© 2023 CoreLogic. All rights reserved

Subject Property :   2550 E River Rd # 4105 Tucson AZ 85718

Owner Information

Owner Name : Park Yoon Woo / Lee Mimi Lim

Mailing Address : 4980 S Alma School Rd #1, Chandler AZ 85248-5559 R035

Vesting Codes : / / Community Property

Owner Occupied Indicator : A

Location Information

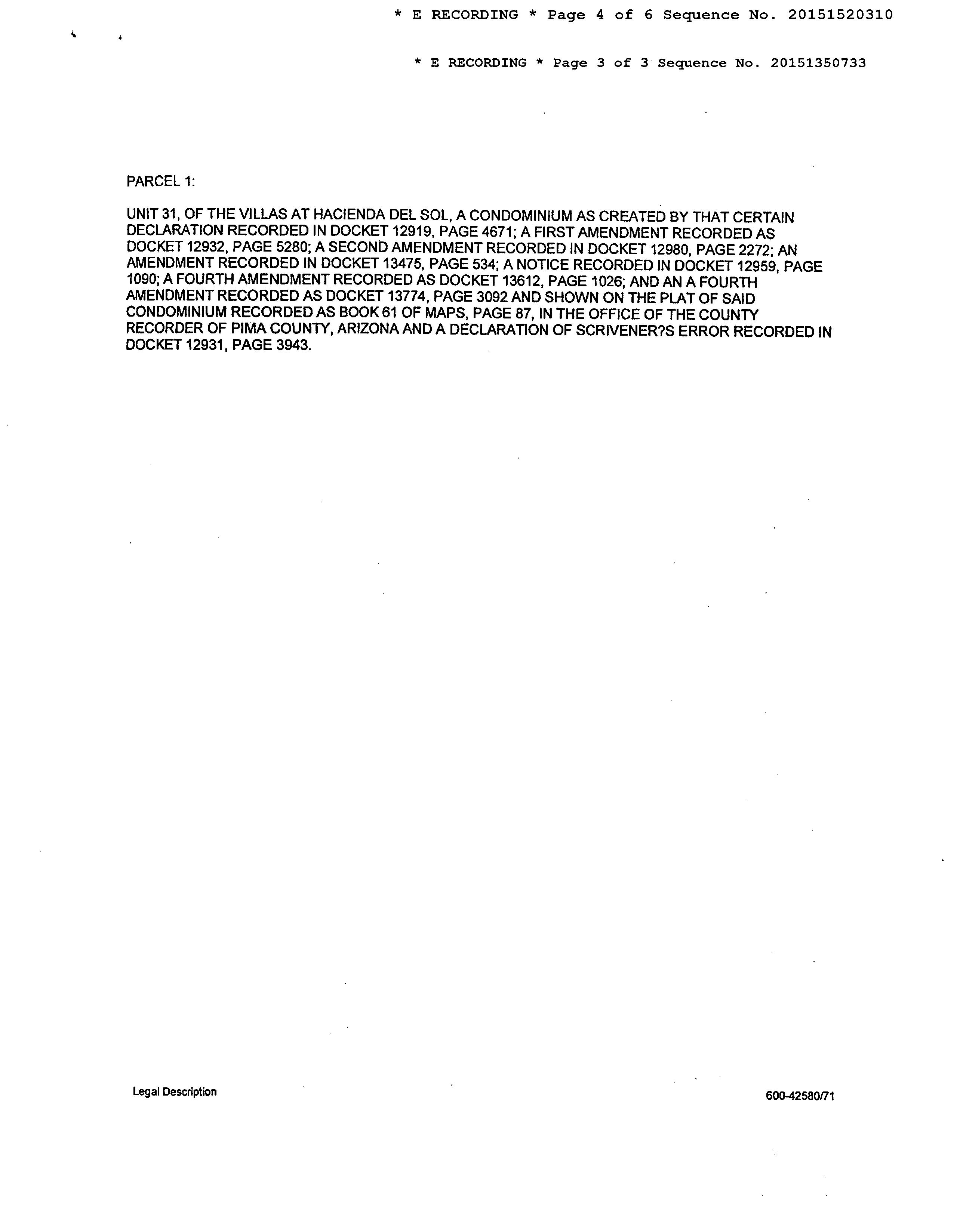
Legal Description : Villas At Hacienda Del Sol Condominium Unit 31 & 1/218 % Int In Common Element

County : Pima, Az

Census Tract / Block : 47.10 / 5

Township-Range- Sect : 13S-14E-20

Legal Book/Page : 61-87

Legal Lot : 31

Market Area : 12

Last Market Sale Information

Recording/Sale Date : 05/15/2015 / 05/06/2015

Sale Price : $162,000

Document # : 1350733

APN : 108-24-1320

Subdivision : Villas/hacienda Del Sol

Map Reference : 20-13S-14E

School District : Tucson Unified

Munic/Township : Tucson Unified

1st Mtg Amount/Type : $129,600 / Cnv

1st Mtg Document # : 1350734

1st Mtg Term : 15

Deed Type : Special Warranty Deed Price Per SqFt : $149.72

Title Company : Title Security Agency Of Arizo

Lender : Homeowners Fin'l Grp Usa Llc

Seller Name : Ccs Arizona I Llc

Property Characteristics

Gross Area : 1,082

Living Area : 1,082

Total Rooms : 4

Year Built / Eff : 2004

# of Stories : 1

Parking Type : None

Roof Material : Tile

Patio Type : Covered Patio

Air Cond : Refrigeration

Heat Type : Forced Air Quality : Good

Cooling Type : Forced Air Condition : Excellent

Exterior wall : Frame Wood Bath Fixtures : 6

Customer Name : Chantel Cortez Customer Company Name : FIRST AMERICAN TITLE Prepared On : 06/08/2023

© 2023 CoreLogic. All rights reserved

Property Information

Land Use : Condominium Zoning : R-3

County Use : Condominiumsconv From Apts Lot Acres : 0.01

Tax Information

Value : $164,868

Taxable Value : $16,223

Assessed Year : 2022

Tax Year : 2022

Tax : $2,259.51

Rate Area : 0150

Value : $164,868

Assessed Year : 2024

Size : 584

Use : Condominiumsconv From Apts

Customer Name : Chantel Cortez

Customer Company Name : FIRST AMERICAN TITLE Prepared On : 06/08/2023

2023 CoreLogic. All rights reserved

Lot
State
Property
Current
Total
Tax
Current
Improvement
Total
Year Total Value : $24,711
Year
Value : $24,661
Market
Current
Year Land Value : $50
Current
©
Sales Analysis Criteria Subject Property Low High Average Sale Price $162,000 $255,000 $335,000 $301,495 Bldg/Living Area 1082 1015 1096 1044 Price Per Square Foot $149.72 $234 $330 $289.07 Year Built 2004 1963 2009 2001 Lot Size 584 206 1,090 526 Bedrooms Bathrooms 2 1 3 2 Stories 1 1 2 1 Total Assessed Value $164,868 $125,692 $164,868 $148,144 Distance From Subject 0 0 0.62 0.23 Summary of Comparables # Address Sale Price Total Assessed Value Sale Date Bed Bath Living Area Lot Size Year Built Dist (Miles) Zoning S 2550 E River Rd # 4105 162,000 164,868 05/15/2015 2 1,082 584 2004 R-3 1 2550 E River Rd # 4202 310,000 164,868 09/29/2022 2 1,082 488 2004 0 R-3 2 2550 E River Rd # 5206 305,000 159,255 07/06/2022 2 1,036 323 2004 0.02 R-3 3 2550 E River Rd # 3102 310,000 164,868 09/23/2022 2 1,082 385 2004 0.04 R-3 4 2550 E River Rd # 20306 308,000 159,255 08/22/2022 2 1,036 373 2004 0.05 R-3 5 2550 E River Rd # 18205 314,000 164,868 11/15/2022 2 1,082 652 2004 0.06 R-3 6 2550 E River Rd # 16202 302,000 162,212 08/16/2022 2 1,036 217 2007 0.06 R-3 7 2550 E River Rd # 16201 315,000 162,212 06/28/2022 2 1,036 303 2007 0.06 R-3 8 2550 E River Rd # 16206 300,000 162,212 06/27/2022 2 1,036 206 2007 0.07 R-3 9 2550 E River Rd # 15205 300,000 162,212 08/24/2022 2 1,036 340 2007 0.08 R-3 Customer Name : Chantel Cortez Customer Company Name : FIRST AMERICAN TITLE Prepared On : 06/08/2023 © 2023 CoreLogic. All rights reserved
10 2550 E River Rd # 21106 310,000 164,868 05/24/2023 2 1,082 518 2004 0.08 R-3 11 2028 E River Rd # 205 300,000 136,150 04/26/2023 3 1,023 495 2009 0.32 R-3 12 2028 E River Rd # 203 302,500 136,150 05/23/2023 3 1,023 491 2009 0.32 R-3 13 2028 E River Rd # 100 309,900 135,546 04/11/2023 3 1,015 491 2009 0.32 R-3 14 2026 E River Rd # 102 287,500 134,634 10/07/2022 3 1,015 495 2008 0.36 R-3 15 2010 E River Rd # 202 280,000 134,358 06/20/2022 3 1,023 569 2007 0.37 R-3 16 2010 E River Rd # 105 330,000 133,760 01/19/2023 3 1,015 491 2007 0.38 R-3 17 2016 E River Rd # 105 335,000 133,760 09/26/2022 3 1,015 569 2007 0.38 R-3 18 3935 N Country Club Rd # 32b 255,000 131,837 12/01/2022 1 1,088 1,078 1964 0.52 R-2 19 3935 N Country Club Rd # 23a 266,000 125,692 08/08/2022 1 1,024 1,090 1963 0.53 R-2 20 3112 E Oasis De Palmeras 290,000 134,162 05/22/2023 3 1,096 943 1983 0.62 R-3 Distressed Sales = Customer Name : Chantel Cortez Customer Company Name : FIRST AMERICAN TITLE Prepared On : 06/08/2023 © 2023 CoreLogic. All rights reserved

Customer Name : Chantel Cortez

Customer Company Name : FIRST AMERICAN TITLE Prepared On : 06/08/2023

© 2023 CoreLogic. All rights reserved

Map

Details of Comparables

Subject Property: 2550 E River Rd # 4105 Tucson Az 85718

Owner Name: Park Yoon Woo /Lee Mimi Lim

2550 E River Rd # 4202 Tucson Az 85718

Owner Name: O Brien John /

#2   2550 E River Rd # 5206 Tucson Az 85718

Owner Name: Ocampo Carlos /Ocampo Beatriz

#4   2550 E River Rd # 20306 Tucson Az 85718 Owner Name: Nemeth Endre /Nemeth Debernyi Sophie 7 Alexa

APN
Land Use: Condominium Subdivision / Tract: Villas/hacienda Del Sol / Lot Size: 584 Year Built / Eff: 2004 / Rec. Date / Price: 05/15/2015
$162,000 Living Area: 1,082 # of units: Document #: 1350733 Bedrooms: Pool: Total Tax Value: $164,868 Bath(F/H): /
/ Alternate APN: 108-24-1320 / Deed Type: Special Warranty Deed
/
#1
APN
Land Use: Condominium Subdivision / Tract: Villas/hacienda Del Sol / Lot Size: 488 Year Built / Eff: 2004 / Rec. Date / Price: 09/29/2022
$310,000 Living Area: 1,082 # of units: Document #: 2720572 Bedrooms: Pool: Total Tax Value: $164,868 Bath(F/H): /
/ Alternate APN: 108-24-1350 / Deed Type: Warranty Deed
/
APN
Land Use: Condominium Subdivision / Tract: Villas/hacienda Del Sol / Lot Size: 323 Year Built / Eff: 2004 / Rec. Date / Price: 07/06/2022 / $305,000 Living Area: 1,036 # of units: Document #: 1870427 Bedrooms: Pool: Total Tax Value: $159,255 Bath(F/H): /
APN / Alternate
108-24-1170
Deed Type:
Deed Land Use: Condominium Subdivision / Tract: Villas/hacienda Del Sol / Lot Size: 385 Year Built / Eff: 2004 / Rec. Date / Price: 09/23/2022 / $310,000 Living Area: 1,082 # of units: Document #: 2660300 Bedrooms: Pool: Total Tax Value: $164,868 Bath(F/H): /
APN / Alternate APN: 108-24-3070
Land Use: Condominium Subdivision / Tract: Villas/hacienda Del Sol / Lot Size: 373 Year Built / Eff: 2004 / Rec. Date / Price: 08/22/2022
$308,000 Living Area: 1,036 # of units: Document #:
Bedrooms: Pool: Total Tax Value: $159,255 Bath(F/H):
Customer
Customer
AMERICAN
Prepared
06/08/2023 © 2023 CoreLogic. All rights reserved
/ Alternate APN: 108-24-1510 / Deed Type: Warranty Deed
#3   2550 E River Rd # 3102 Tucson Az 85718 Owner Name: Encanto Maria Llc /
APN:
/
Warranty
/ Deed Type: Warranty Deed
/
2340666
/
Name : Chantel Cortez
Company Name : FIRST
TITLE
On :
#5   2550 E River Rd # 18205 Tucson Az 85718 Owner Name: Fine Deborah M / APN / Alternate APN: 108-24-2860 / Deed Type: Warranty Deed Land Use: Condominium Subdivision / Tract: Villas/hacienda Del Sol / Lot Size: 652 Year Built / Eff: 2004 / Rec. Date / Price: 11/15/2022 / $314,000 Living Area: 1,082 # of units: Document #: 3190222 Bedrooms: Pool: Total Tax Value: $164,868 Bath(F/H): / #6   2550 E River Rd # 16202 Tucson Az 85718 Owner Name: Schultz Marianne Kelley / APN / Alternate APN: 108-24-2630 / Deed Type: Warranty Deed Land Use: Condominium Subdivision / Tract: Villas/hacienda Del Sol / Lot Size: 217 Year Built / Eff: 2007 / Rec. Date / Price: 08/16/2022 / $302,000 Living Area: 1,036 # of units: Document #: 2280115 Bedrooms: Pool: Total Tax Value: $162,212 Bath(F/H): / #7   2550 E River Rd # 16201 Tucson Az 85718 Owner Name: Weerasinghe Ananda /Weerasinghe Lilanganie APN / Alternate APN: 108-24-2620 / Deed Type: Warranty Deed Land Use: Condominium Subdivision / Tract: Villas/hacienda Del Sol / Lot Size: 303 Year Built / Eff: 2007 / Rec. Date / Price: 06/28/2022 / $315,000 Living Area: 1,036 # of units: Document #: 1790266 Bedrooms: Pool: Total Tax Value: $162,212 Bath(F/H): / #8   2550 E River Rd # 16206 Tucson Az 85718 Owner Name:
Paul L / APN / Alternate APN: 108-24-2670 / Deed Type: Warranty Deed Land Use: Condominium Subdivision / Tract: Villas/hacienda Del Sol / Lot Size: 206 Year Built / Eff: 2007 / Rec. Date / Price: 06/27/2022 / $300,000 Living Area: 1,036 # of units: Document #: 1780345 Bedrooms: Pool: Total Tax Value: $162,212 Bath(F/H): / #9   2550 E River Rd # 15205 Tucson Az 85718
Name: Charles Alexa / APN / Alternate APN: 108-24-2480 / Deed Type: Warranty Deed Land Use: Condominium Subdivision / Tract: Villas/hacienda Del Sol / Lot Size: 340 Year Built / Eff: 2007 / Rec. Date / Price: 08/24/2022 / $300,000 Living Area: 1,036 # of units: Document #: 2360279 Bedrooms: Pool: Total Tax Value: $162,212 Bath(F/H): /
Name : Chantel Cortez Customer Company
: FIRST AMERICAN TITLE Prepared
: 06/08/2023 © 2023 CoreLogic. All rights reserved
Edgren
Owner
Customer
Name
On

Owner Name: Picciano John V /Picciano Dawn M

#10   2550 E River Rd # 21106 Tucson Az 85718
APN / Alternate
Deed
Warranty Deed Land Use: Condominium Subdivision / Tract:
Sol / Lot Size: 518 Year Built / Eff: 2004 / Rec. Date / Price: 05/24/2023 / $310,000 Living Area: 1,082 # of units: Document #: 1440253 Bedrooms: Pool: Total Tax Value: $164,868 Bath(F/H): / #11
Az
Name:
APN / Alternate APN: 108-25-4080
Deed Type: Special Warranty Deed Land Use: Condominium Subdivision / Tract: Placita Escondida / Lot Size: 495 Year Built / Eff: 2009 / Rec. Date / Price: 04/26/2023 / $300,000 Living Area: 1,023 # of units: Document #: 1160314 Bedrooms: Pool: Total Tax Value: $136,150 Bath(F/H): /
APN / Alternate APN: 108-25-4060
Deed Type: Special Warranty Deed Land Use: Condominium Subdivision / Tract: Placita Escondida / Lot Size: 491 Year Built / Eff: 2009 / Rec. Date / Price: 05/23/2023 / $302,500 Living Area: 1,023 # of units: Document #: 1430490 Bedrooms: Pool: Total Tax Value: $136,150 Bath(F/H): / #13   2028 E River Rd # 100 Tucson Az 85718 Owner Name: Soroka-piccus Maria L / APN / Alternate APN: 108-25-3970 / Deed Type: Special Warranty Deed Land Use: Condominium Subdivision / Tract: Placita Escondida / Lot Size: 491 Year Built / Eff: 2009 / Rec. Date / Price: 04/11/2023 / $309,900 Living Area: 1,015 # of units: Document #: 1010456 Bedrooms: Pool: Total Tax Value: $135,546 Bath(F/H): / #14   2026 E River Rd # 102 Tucson Az 85718 Owner Name: Lee Nordia / APN / Alternate APN: 108-25-3390 / Deed Type: Special Warranty Deed Land Use: Condominium Subdivision / Tract: Placita Escondida / Lot Size: 495 Year Built / Eff: 2008 / Rec. Date / Price: 10/07/2022 / $287,500 Living Area: 1,015 # of units: Document #: 2800614 Bedrooms: Pool: Total Tax Value: $134,634 Bath(F/H): / Customer Name : Chantel Cortez Customer Company Name : FIRST AMERICAN TITLE Prepared On : 06/08/2023 © 2023 CoreLogic. All rights reserved
APN: 108-24-3130 /
Type:
Villas/hacienda Del
2028 E River Rd # 205 Tucson
85718 Owner
2028 River 205 Llc /
/
#12   2028 E River Rd # 203 Tucson Az 85718 Owner Name: Farhadi Dara S /
/
#15   2010 E River Rd # 202 Tucson Az 85718 Owner Name: Reese David Joseph / APN / Alternate APN: 108-25-2970 / Deed Type: Warranty Deed Land Use: Condominium Subdivision / Tract: Placita Escondida Condos / Lot Size: 569 Year Built / Eff: 2007 / Rec. Date / Price: 06/20/2022 / $280,000 Living Area: 1,023 # of units: Document #: 1710401 Bedrooms: Pool: Total Tax Value: $134,358 Bath(F/H): / #16   2010 E River Rd # 105 Tucson Az 85718 Owner Name: Fisher Arthur /Fisher Beth A APN / Alternate APN: 108-25-2940 / Deed Type: Warranty Deed Land Use: Condominium Subdivision / Tract: Placita Escondida Condos / Lot Size: 491 Year Built / Eff: 2007 / Rec. Date / Price: 01/19/2023 / $330,000 Living Area: 1,015 # of units: Document #: 190389 Bedrooms: Pool: Total Tax Value: $133,760 Bath(F/H): / #17   2016 E River Rd # 105 Tucson Az 85718 Owner Name: Carey Helda Janet / APN / Alternate APN: 108-25-3060 / Deed Type: Special Warranty Deed Land Use: Condominium Subdivision / Tract: Placita Escondida / Lot Size: 569 Year Built / Eff: 2007 / Rec. Date / Price: 09/26/2022 / $335,000 Living Area: 1,015 # of units: Document #: 2690253 Bedrooms: Pool: Total Tax Value: $133,760 Bath(F/H): / #18   3935 N Country Club Rd # 32b Tucson Az 85716 Owner Name: Tarter Buwen Trust / APN / Alternate APN: 112-01-1240 / Deed Type: Warranty Deed Land Use: Condominium Subdivision / Tract: Racquet Club Condo /Lot Size: 1,078 Year Built / Eff: 1964 / Rec. Date / Price: 12/01/2022 / $255,000 Living Area: 1,088 # of units: Document #: 3350539 Bedrooms: Pool: Total Tax Value: $131,837 Bath(F/H): / #19   3935 N Country Club Rd # 23a Tucson Az 85716 Owner Name: Lopez-hoffman Laura / APN / Alternate APN: 112-01-0990 / Deed Type: Warranty Deed Land Use: Condominium Subdivision / Tract: Racquet Club Condo /Lot Size: 1,090 Year Built / Eff: 1963 / Rec. Date / Price: 08/08/2022 / $266,000 Living Area: 1,024 # of units: Document #: 2200238 Bedrooms: Pool: Total Tax Value: $125,692 Bath(F/H): / Customer Name : Chantel Cortez Customer Company Name : FIRST AMERICAN TITLE Prepared On : 06/08/2023 © 2023 CoreLogic. All rights reserved
Owner Name: Kontogiannis
/Kontogiannis
APN / Alternate APN: 111-02-1490 / Deed Type: Warranty Deed Land Use: Condominium Subdivision / Tract: Racquet Club Village Twnhs / Lot Size: 943 Year Built / Eff: 1983 / Rec. Date / Price: 05/22/2023 / $290,000 Living Area: 1,096 # of units: Document #: 1420422 Bedrooms: Pool: Total Tax Value: $134,162 Bath(F/H): /
Chantel Cortez
FIRST AMERICAN TITLE Prepared On
06/08/2023 © 2023 CoreLogic. All rights reserved
#20   3112 E Oasis De Palmeras Tucson Az 85716
Melissa & George
George
Customer Name :
Customer Company Name :
:

Customer Name : Chantel Cortez

Customer Company Name : FIRST AMERICAN TITLE Prepared On : 06/08/2023

© 2023 CoreLogic. All rights reserved

Subject Property :   2550 E River Rd # 4105 Tucson AZ 85718

Customer Name : Chantel Cortez

Customer Company Name : FIRST AMERICAN TITLE Prepared On : 06/08/2023

© 2023 CoreLogic. All rights reserved

2550 E RIVER RD # 4202 Distance 0 Miles

Owner Name : O Brien John

Sale Date : 09/19/2022

Total Value : $164,868

Bed / Bath : / 2

Subdivision : Villas/hacienda Del Sol

Recording Date : 09/29/2022

Sale Price  : $310,000

Property Tax : $2,259.51

Land Use : Condominium Lot Acres : 0.01

Stories : 1

Living Area : 1,082

Yr Blt / Eff Yr Blt : 2004 / APN : 108-24-1350

2550 E RIVER RD # 4205 Distance 0 Miles

Owner Name : Youn Seogmin Subdivision : Villas/hacienda Del Sol

Sale Date : 05/24/2016

Total Value : $164,868

Bed / Bath : / 2

Recording Date : 05/31/2016

Sale Price  : $158,000

Property Tax : $2,259.51

Land Use : Condominium Lot Acres : 0.01

Stories : 1

Living Area : 1,082

Yr Blt / Eff Yr Blt : 2004 / APN : 108-24-1380

2550 E RIVER RD # 4102 Distance 0.01 Miles

Owner Name : Grabell Ellen Eichler

Sale Date : 06/14/2021

Total Value : $164,868

Bed / Bath : / 2

Subdivision : Villas/hacienda Del Sol

Recording Date : 07/12/2021

Sale Price  : $289,500

Property Tax : $2,259.51

Land Use : Condominium Lot Acres : 0.01

Stories : 1 Living Area : 1,082

Yr Blt / Eff Yr Blt : 2004 / APN : 108-24-1290

2550 E RIVER RD # 4203

Distance 0.01 Miles

Owner Name : Asbill Michael Miller Subdivision : Villas/hacienda Del Sol

Sale Date : 06/21/2018

Total Value : $190,124

Bed / Bath : / 2

Recording Date : 06/27/2018

Sale Price  : $215,000

Property Tax : $2,322.25

Land Use : Condominium Lot Acres : 0.01

Stories : 1

Living Area : 1,296

Yr Blt / Eff Yr Blt : 2004 / APN : 108-24-1360

Customer Name : Chantel Cortez Customer Company Name : FIRST AMERICAN TITLE Prepared On : 06/08/2023

© 2023 CoreLogic. All rights reserved

2550 E RIVER RD # 4104

Distance 0.01 Miles

Owner Name : Kyriakis Demetrio A Subdivision : Villas/hacienda Del Sol

Sale Date : 09/30/2016

Total Value : $190,124

Bed / Bath : / 2

Recording Date : 10/07/2016

Sale Price  : $195,000

Property Tax : $2,647.98

Land Use : Condominium Lot Acres : 0.02

Stories : 1

Living Area : 1,296

Yr Blt / Eff Yr Blt : 2004 / APN : 108-24-1310

2550 E RIVER RD # 4106

Distance 0.01 Miles

Owner Name : Ryan Timothy Michael Jr Subdivision : Villas/hacienda Del Sol

Sale Date : 04/06/2016

Total Value : $164,868

Bed / Bath : / 2

Recording Date : 04/11/2016

Sale Price  : $157,000

Property Tax : $1,981.56

Land Use : Condominium Lot Acres : 0.02

Stories : 1

Living Area : 1,082

Yr Blt / Eff Yr Blt : 2004 / APN : 108-24-1330

2550 E RIVER RD # 4201

Distance 0.01 Miles

Owner Name : Klein Subdivision : Villas/hacienda Del Sol

Sale Date : 05/16/2022

Total Value : $164,868

Bed / Bath : / 2

Recording Date : 05/20/2022

Sale Price  : $326,000

Property Tax : $2,259.51

Land Use : Condominium Lot Acres : 0.01

Stories : 1

Living Area : 1,082

Yr Blt / Eff Yr Blt : 2004 / APN : 108-24-1340

2550 E RIVER RD # 4206

Distance 0.01 Miles

Owner Name : Ennabe Linda F Subdivision : Villas/hacienda Del Sol

Sale Date : 12/09/2015

Total Value : $164,868

Bed / Bath : / 2

Recording Date : 12/31/2015

Sale Price  : $162,000

Property Tax : $2,259.51

Land Use : Condominium Lot Acres : 0.01

Stories : 1

Living Area : 1,082

Yr Blt / Eff Yr Blt : 2004 / APN : 108-24-1390

Customer Name : Chantel Cortez Customer Company Name : FIRST AMERICAN TITLE Prepared On : 06/08/2023

© 2023 CoreLogic. All rights reserved

2550 E RIVER RD # 4101 Distance 0.01 Miles

Owner Name : Danivas Dileep S A Subdivision : Villas/hacienda Del Sol

Sale Date : 06/24/2020

Total Value : $164,868

Bed / Bath : / 2

Recording Date : 07/07/2020

Sale Price  : $191,900

Property Tax : $2,259.51

Land Use : Condominium Lot Acres : 0.01

Stories : 1

Living Area : 1,082

Yr Blt / Eff Yr Blt : 2004 / APN : 108-24-1280

2550 E RIVER RD # 4103 Distance 0.01 Miles

Owner Name : Corley Janetta Susan Subdivision : Villas/hacienda Del Sol

Sale Date : 08/15/2013

Total Value : $190,124

Bed / Bath : / 2

Recording Date : 02/20/2014

Sale Price  : $194,642

Property Tax : $2,322.25

Land Use : Condominium Lot Acres : 0.02

Stories : 1

Living Area : 1,296

Yr Blt / Eff Yr Blt : 2004 / APN : 108-24-1300

Customer Name : Chantel Cortez Customer Company Name : FIRST AMERICAN TITLE Prepared On : 06/08/2023 © 2023 CoreLogic. All rights reserved
Census Tract / block: 47.10 / 5     Year: 2020 Household Population Population by Age Count: 3,931 0 - 11 Estimate Current Year: 4,160 12 - 17 Estimate in 5 Years: 5,215 18 - 24 11.6% Growth Last 5 Years: 7.58% 25 - 64 59.07% Growth Last 10 Years: -99.95% 65 - 74 12.8% 75+ Household Size Household Income Current Year: 2,157 0 - $25,000 28.6% Average Current Year: 1.77 $25,000 - $35,000 13.95% Estimate in 5 Years: 2,041 $35,000 - $50,000 10.52% Growth Last 5 Years: 7.14% $50,000 - $75,000 15.86% Growth Last 10 Years: -9.72% $75,000 - $100,000 6.68% Male Population: 51.95% Above $100,000 24.39% Female Population: 48.05% Average Household Income: $45,023 Married People: 34.25% Unmarried People: 65.75% Housing Median Mortgage Payments Home Values Under $300: 6.66% Below $100,000: 38.43% $300 - $799: 37.97% $100,000 - $150,000: 4.44% $800 - $1,999: 47.78% $150,000 - $200,000: 5.72% Over $2,000: 7.59% $200,000 - $300,000: 21.5% Median Home Value: $205,100 $300,000 - $500,000: 25.23% Unit Occupied Owner: 39.68% Above $500,000: 4.67% Median Mortgage: $972
Customer
AMERICAN
06/08/2023 © 2023 CoreLogic. All rights reserved
Customer Name : Chantel Cortez
Company Name : FIRST
TITLE Prepared On :
Rent Payments Year Built Unit Occupied Renter: 60.32% 1999 - 2000 Median Gross Rent: $992 1995 - 1998 Less Than $499 0% 1990 - 1994 $500 - $749 11.17% 1980 - 1989 26.76% $750 - $999 40.1% 1970 - 1979 21.19% $1000 and Over 48.74% 1900 - 1969 10.19% Education Enrollment Public Pre-Primary School: 0% Not Enrolled in School: 79.24% Private Pre-Primary School: 1.52% Not A High School Graduate: 2.19% Public School: 19.24% Graduate Of High School: 12.98% Private School: 1.52% Attended Some College: 19.1% Public College: 15.01% College Graduate: 38.61% Private College: 0% Graduate Degree: 27.11% Workforce Occupation: Manager/Prof: 55.82% Private Worker: 61.82% Technical: Government Worker: 19.11% Sales: 22.83% Self Employed Worker: 3.39% Administrative: Unpaid Family Worker: 4.08% Private House Hold: Farming: 5.51% Service: 11.07% Skilled: Protective Services: Blue-Collar: 10.29% Commute Time Less Than 15 Min: 39.75% 15 min - 28 min: 35.1% 30 min - 57 min: 25.15% Over 60 min: 0% Customer Name : Chantel Cortez Customer Company Name : FIRST AMERICAN TITLE Prepared On : 06/08/2023 © 2023 CoreLogic. All rights reserved

Customer Name : Chantel Cortez

Customer Company Name : FIRST AMERICAN TITLE Prepared On : 06/08/2023

© 2023 CoreLogic. All rights reserved

Customer Name : Chantel Cortez

Customer Company Name : FIRST AMERICAN TITLE Prepared On : 06/08/2023

© 2023 CoreLogic. All rights reserved

Customer Name : Chantel Cortez

Customer Company Name : FIRST AMERICAN TITLE Prepared On : 06/08/2023

© 2023 CoreLogic. All rights reserved

Arizona Schools For detailed information and statistics on Arizona schools please go to https://azreportcards.azed.gov/ First American Title Insurance Company, and the operating divisions thereof, make no express or implied warranty respecting the information presented and assume no responsibility for errors or omissions. First American, the eagle logo, First American Title, and firstam.com are registered trademarks or trademarks of First American Financial Corporation and/or its affiliates. ©2021 First American Financial Corporation and/or its affiliates. All rights reserved. NYSE: FAF 05117910421

PIMA COUNTY

School District Information

This map is provided for general location only. Please contact school districts for actual street boundaries

05249570321 TUCSON INT'L AIRPORT Air Force WSilverbellRd SSantaRitaRd N M t L emmon Hwy ESascoRd NF38 W Avra Valley Rd E Grand Va ey Dr NAguirre R d N L u c k e R d N W e n t z R d N Wa terman Mounta i n R d N Anway Rd W El Tiro Rd N Trico Rd W Tucker Rd W Rudas l Rd W Manvi e Rd SSanJoaquinRd WBopp Rd W Snyder H l Rd S M a r s e a r R d W Park Rd W Hermans Rd W Hermans Rd W Guy St W Bush Rd S G a v e y R d N C a e R i n c o n a d o S W m o R d S Shaw Rd S Sierrita Mountain Rd S K o b R d W TwinButtes Rd W Mcgee Ranch Rd S E s t a n c a D r EDesertDove E Hemlock Dr N Bea r C a n y o n R d W E Camino Del Cerro E Fairmount St S Swan Rd NFrontageRd W Emigh Rd W Fort Lowe Rd N P u m p S t a t ion dR E Nona Rd Ch efButteRd Lo al Ave N Trico Rd S Cattle Tank Rd Evalyn Rd SOwlHead R a n c h Rd GasLineRd S P ec a n R d N T r c o R d W Bayard Rd S S a n d a r o R d W i l l owSpri n gsRd N Dove Mountain Blvd SHelvetiaRd WAnamax Mine Rd W G a c i a R a n hc R d Road424 WRagged Top Rd W Ruby Star Dr WBritten RanchRd W Pima Mine Rd S Mcgee Ranch R d E Edw n Rd SGuildRd 8 0 NKINNEYRD S PICACHO HWY E BAUMGARTNER RD N S A N D A R I O R D N ANWAY RD W VALENCIA RD W MOORE RD W INA RD N 1 S T A V E E SUNRISE DR E SNYDER RD NSILVERBELLRD N S O L D I E R T R L E RIVER RD E PRINCE RD E SPEEDWAY BLVD S FREEMAN RD E 22ND ST E 22ND ST W IRVINGTON RD S N O G A L E S H W Y W VALENCIA RD SMISSIONRD W SPEEDWAY BLVD S O L D S P A N I S H T RL W NARANJA DR W TWIN PEAKS RD W PICTURE ROCKS RD W MANVILLE RD SKINNEYRD W MILE WIDE RD E SAHUARITA RD N TRICO RD S S A N D A R O R D PARK LINK DR S OLD N O G ALES HW Y S H O U G H T O N R D S L A C A N A D A DR W HELMET PEAK RD WAJOHWY N S W A N R D S KOLB RD S HOUGHTON RD W TANGERINE RD E GRANT RD S H O U G H T O N R D 9 5 WAJOHWY E VALENCIA RD NORACLE R D I10 I-19 77 77 77 86 86 286 10 19 10 10 Corona de Tucson Casas Adobes Catalina Green Valley Oracle Picture Rocks Three Points Vail Summit Tanque Verde Tucson Sahuarita Red Rock Saddlebrooke Marana Oro Valley Rillito Summerhaven Willow Canyon Oracle Junction Cortaro Continental Littletown 20 30 13 15 51 39 12 01 01 08 10 16 11 06
SCHOOL DISTRICTS 15 AJO UNIFIED 111 N. Well Road, Ajo, AZ 85321 520.387.5618 51 ALTAR VALLEY ELEMENTARY 10105 S. Sasabe Road, Tucson, AZ 85736 520.822.1484 10 AMPHITHEATER UNIFIED 701 W. Wetmore, Tucson, AZ 85705 520.696.5000 16 CATALINA FOOTHILS UNIFIED 2101 E. River Road, Tucson, AZ 85718 520.209.7500 39 CONTINENTAL ELEMENTARY 1991 E. Whitehouse Canyon, Green Valley, AZ 85614 520.625.4581 08 FLOWING WELLS UNIFIED 1556 W. Prince Road, Tucson, AZ 85705 520.696.8800 06 MARANA UNIFIED 11279 W. Grier Road, Marana, AZ 85653 520.682.3243 11 PIMA COUNTY JTED 2855 W. Master Pieces Dr, Tucson, AZ 85741 520.352.5833 30 SAHUARITA UNIFIED 350 W. Sahuarita Road, Sahuarita, AZ 85629 520.625.3502 12 SUNNYSIDE UNIFIED 2238 E. Ginter Road, Tucson, AZ 85706 520.545.2000 13 TANQUE VERDE UNIFIED 2300 N. Tanque Verde Loop, Tucson, AZ 85749 520.749.5751 01 TUCSON UNIFIED 1010 E. 10th Street, Tucson, AZ 85717 520.225.6000 20 VAIL UNIFIED 10701 E. Mary Ann Cleveland Way, Tucson, AZ 85747 520.879.2000 First American Title Insurance Company, and the operating divisions thereof, make no express or implied warranty respecting the information presented and assume no responsibility for errors or omissions. First American, the eagle logo, First American Title, and firstam.com are registered trademarks or trademarks of First American Financial Corporation and/or its affiliates. ©2021 First American Financial Corporation and/or its affiliates. All rights reserved. NYSE: FAF

SEARCH PARAMETERS

PARCEL:  108-24-1320

PARCEL: 108-24-1320

OWNER: PARK YOON W/MIMI L

SITUS: 2550 E RIVER RD TU

MAIL: 4980 S ALMA SCHOOL RD #1

CHANDLER AZ 85248

PLAT: LOT 00031 BLOCK

LEGAL: VILLAS AT HACIENDA DEL SOL CONDOMINIUM UNIT 31 & 1/218 % INT IN COMMON ELEMENT

END SEARCH

PIMA, AZ 06/08/2023  09:54AM  NKFE  INVESTIGATIVE SEARCH RESULTS PAGE 1 OF 1
+ FIRST AMERICAN TITLE, FC0, CCOR
INSTRUMENT REC DATE
AFFIDAVIT    2015 1350733 05/15/2015
CURRENT TAXES INFORMATION THROUGH 05/28/2023 LAND IMPR EXEMPT RATE AREA SPECIAL DISTRICTS PRIMARY  16,223  0  0  11.1537  0150 SECONDARY  50  16,437  0  2.7742  2022 TOTAL TAX BILLED 2,259.51 2022  TAX AMT TAX DUE INTEREST DATE PAID TOTAL DUE FIRST HALF  1,129.76  0.00  0.00  10/24/2022  0.00  SECOND HALF  1,129.75  1,129.75  30.13  1,159.88  TOTAL CURRENT TAXES DUE 06/23 1,159.88 07/23 1,174.94 (ESTIMATED) IMPROVEMENTS BYPASS  BLDG SQFT  1,082 FULL CASH VALUE  164,868 YEAR BUILT  2004 LAND USE  07 43 NUMBER OF STORIES  4.0 LOT SIZE  1,082 SQ FT STORIES HEIGHT  0 SCHOOL DISTRICT  0150 EXTERIOR WALLS  FRAME WOOD LAND FULL CASH VALUE  502 GRADE MATERIALS IMPR FULL CASH VALUE  164,366 SALES SALE DATE SALE AMOUNT INSTRUMENT TYPE SELLER NAME VALIDITY 05/15/2015 162,000    2015 1350733 SW CCS ARIZONA I LLC ADDITIONAL PROPERTY INFORMATION STANDARD LAND USE: CONDOMINIUM

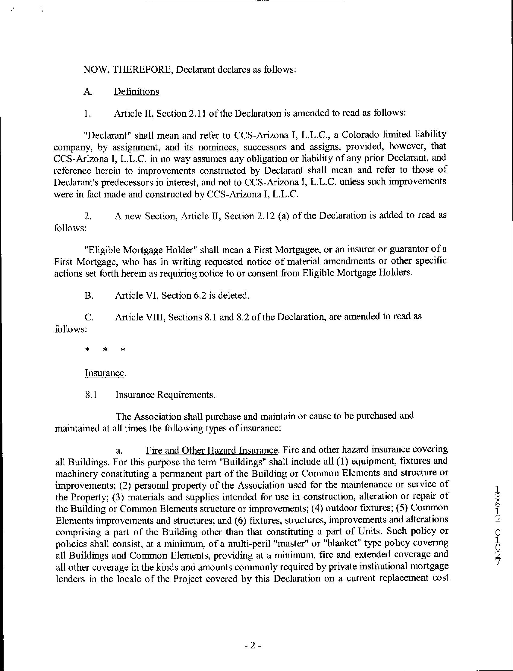
Covenants, Conditions & Restrictions

Thank you for the opportunity to be of service.

Restrictions indicating a preference, limitation or discrimination based on race, color, religion, sex, handicap, familial status, or national origin are hereby deleted to the extent such restrictions violate 42 USC 3604(c).

This information is furnished without fee and without benefit of a complete title search. No liability is assumed by First American Title or Title Security. If it is desired that liability be assumed, you may apply for a policy of title insurance with First American Title Insurance Company.
Page 1 of 61 11/04/2010 9:59 AM
Page 2 of 61 11/04/2010 9:59 AM
Page 3 of 61 11/04/2010 9:59 AM
Page 4 of 61 11/04/2010 9:59 AM
Page 5 of 61 11/04/2010 9:59 AM
Page 6 of 61 11/04/2010 9:59 AM
Page 7 of 61 11/04/2010 9:59 AM
Page 8 of 61 11/04/2010 9:59 AM
Page 9 of 61 11/04/2010 9:59 AM
Page 10 of 61 11/04/2010 9:59 AM
Page 11 of 61 11/04/2010 9:59 AM
Page 12 of 61 11/04/2010 9:59 AM
Page 13 of 61 11/04/2010 9:59 AM
Page 14 of 61 11/04/2010 9:59 AM
Page 15 of 61 11/04/2010 9:59 AM
Page 16 of 61 11/04/2010 9:59 AM
Page 17 of 61 11/04/2010 9:59 AM
Page 18 of 61 11/04/2010 9:59 AM
Page 19 of 61 11/04/2010 9:59 AM
Page 20 of 61 11/04/2010 9:59 AM
Page 21 of 61 11/04/2010 9:59 AM
Page 22 of 61 11/04/2010 9:59 AM
Page 23 of 61 11/04/2010 9:59 AM
Page 24 of 61 11/04/2010 9:59 AM
Page 25 of 61 11/04/2010 9:59 AM
Page 26 of 61 11/04/2010 9:59 AM
Page 27 of 61 11/04/2010 9:59 AM
Page 28 of 61 11/04/2010 9:59 AM
Page 29 of 61 11/04/2010 9:59 AM
Page 30 of 61 11/04/2010 9:59 AM
Page 31 of 61 11/04/2010 9:59 AM
Page 32 of 61 11/04/2010 9:59 AM
Page 33 of 61 11/04/2010 9:59 AM
Page 34 of 61 11/04/2010 9:59 AM
Page 35 of 61 11/04/2010 9:59 AM
Page 36 of 61 11/04/2010 9:59 AM
Page 37 of 61 11/04/2010 9:59 AM
Page 38 of 61 11/04/2010 9:59 AM
Page 39 of 61 11/04/2010 9:59 AM
Page 40 of 61 11/04/2010 9:59 AM
Page 41 of 61 11/04/2010 9:59 AM
Page 42 of 61 11/04/2010 9:59 AM
Page 43 of 61 11/04/2010 9:59 AM
Page 44 of 61 11/04/2010 9:59 AM
Page 45 of 61 11/04/2010 9:59 AM
Page 46 of 61 11/04/2010 9:59 AM
Page 47 of 61 11/04/2010 9:59 AM
Page 48 of 61 11/04/2010 9:59 AM
Page 49 of 61 11/04/2010 9:59 AM
Page 50 of 61 11/04/2010 9:59 AM
Page 51 of 61 11/04/2010 9:59 AM
Page 52 of 61 11/04/2010 9:59 AM
Page 53 of 61 11/04/2010 9:59 AM
Page 54 of 61 11/04/2010 9:59 AM
Page 55 of 61 11/04/2010 9:59 AM
Page 56 of 61 11/04/2010 9:59 AM
Page 57 of 61 11/04/2010 9:59 AM
Page 58 of 61 11/04/2010 9:59 AM
Page 59 of 61 11/04/2010 9:59 AM
Page 60 of 61 11/04/2010 9:59 AM
Page 61 of 61 11/04/2010 9:59 AM
Page 1 of 4 11/04/2010 9:59 AM
Page 2 of 4 11/04/2010 9:59 AM
Page 3 of 4 11/04/2010 9:59 AM
Page 4 of 4 11/04/2010 9:59 AM
Page 1 of 4 11/04/2010 9:59 AM
Page 2 of 4 11/04/2010 9:59 AM
Page 3 of 4 11/04/2010 9:59 AM
Page 4 of 4 11/04/2010 9:59 AM
Page 1 of 3 11/04/2010 9:59 AM
Page 2 of 3 11/04/2010 9:59 AM
Page 3 of 3 11/04/2010 9:59 AM
Page 1 of 4 11/04/2010 9:59 AM
Page 2 of 4 11/04/2010 9:59 AM
Page 3 of 4 11/04/2010 9:59 AM
Page 4 of 4 11/04/2010 9:59 AM
Page 1 of 2 11/04/2010 9:59 AM
Page 2 of 2 11/04/2010 9:59 AM
Page 1 of 12 11/04/2010 9:59 AM
Page 2 of 12 11/04/2010 9:59 AM
Page 3 of 12 11/04/2010 9:59 AM
Page 4 of 12 11/04/2010 9:59 AM
Page 5 of 12 11/04/2010 9:59 AM
Page 6 of 12 11/04/2010 9:59 AM
Page 7 of 12 11/04/2010 9:59 AM
Page 8 of 12 11/04/2010 9:59 AM
Page 9 of 12 11/04/2010 9:59 AM
Page 10 of 12 11/04/2010 9:59 AM
Page 11 of 12 11/04/2010 9:59 AM
Page 12 of 12 11/04/2010 9:59 AM
Page 1 of 4 11/04/2010 9:59 AM
Page 2 of 4 11/04/2010 9:59 AM
Page 3 of 4 11/04/2010 9:59 AM
Page 4 of 4 11/04/2010 9:59 AM

Turn static files into dynamic content formats.

Create a flipbook
Issuu converts static files into: digital portfolios, online yearbooks, online catalogs, digital photo albums and more. Sign up and create your flipbook.