Digital Listing Kit 12569 N Sunrise Shadow Drive

Page 1

Subject Property 12569 N Sunrise Shadow Dr Marana AZ 85658 APN: 218-55-4590 Data Provided By: First American Title Ins Co © 2023 CoreLogic. All rights reserved

LIMITATION OF LIABILITY FOR INFORMATIONAL REPORTS

IMPORTANT -- PLEASE READ CAREFULLY:

This report is not an insured product or service or a representation of the condition of title to real property. It is not an abst ract, legal opinion, opinion of title, title insurance commitment or preliminary report, or any form of Title Insurance or Guaranty. This report is issued exclusively for the benefit of the Applicant therefor and may not be used or relied upon by any other person. This report may not be reproduced in any manner without First American or Title Security's prior written consent. First American or Title Security does not represent or warrant that the information herein is complete or free from error, and the information herein is provided without any warranties of any kind, as-is, and with all faults. As a material part of the consideration given in exchange for the issuance of this report, recipient agrees that First American or Title Security's sole liability for any loss or damage caused by an error or omission due to inaccurate information or negligence in preparing this report shall be limited to the fee charged for the report. Recipient accepts this report with this limitation and agrees that First American or Title Security would not have issued this report but for the limitation of liability described above. First American or Title Security makes no representation or warranty as to the legality or propriety of recipient's use of the information herein.

Disclaimer

This REiSource report is provided "as is" without warranty of any kind, either express or implied, including without limitations any warrantees of merchantability or fitness for a particular purpose. There is no representation of warranty that this information is complete or free from error, and the provider does not assume, and expressly disclaims, any liability to any person or entity for loss or damage caused by errors or omissions in this REiSource report without a title insurance policy.

The information contained in the REiSource report is delivered from your Title Company, who reminds you that you have the right as a consumer to compare fees and serviced levels for Title, Escrow, and all other services associated with property ownership, and to select providers accordingly. Your home is the largest investment you will make in your lifetime and you should demand the very best.

Data Provided By: First American Title Ins Co
© 2023 CoreLogic. All rights reserved

Subject Property :

12569 N Sunrise

Owner Information

Shadow Dr Marana AZ 85658

Owner Name : Chavira Lorraine

Mailing Address : 12569 N Sunrise Shadow Dr, Marana AZ 85658-4808 H018

Owner Occupied Indicator : O

Location Information

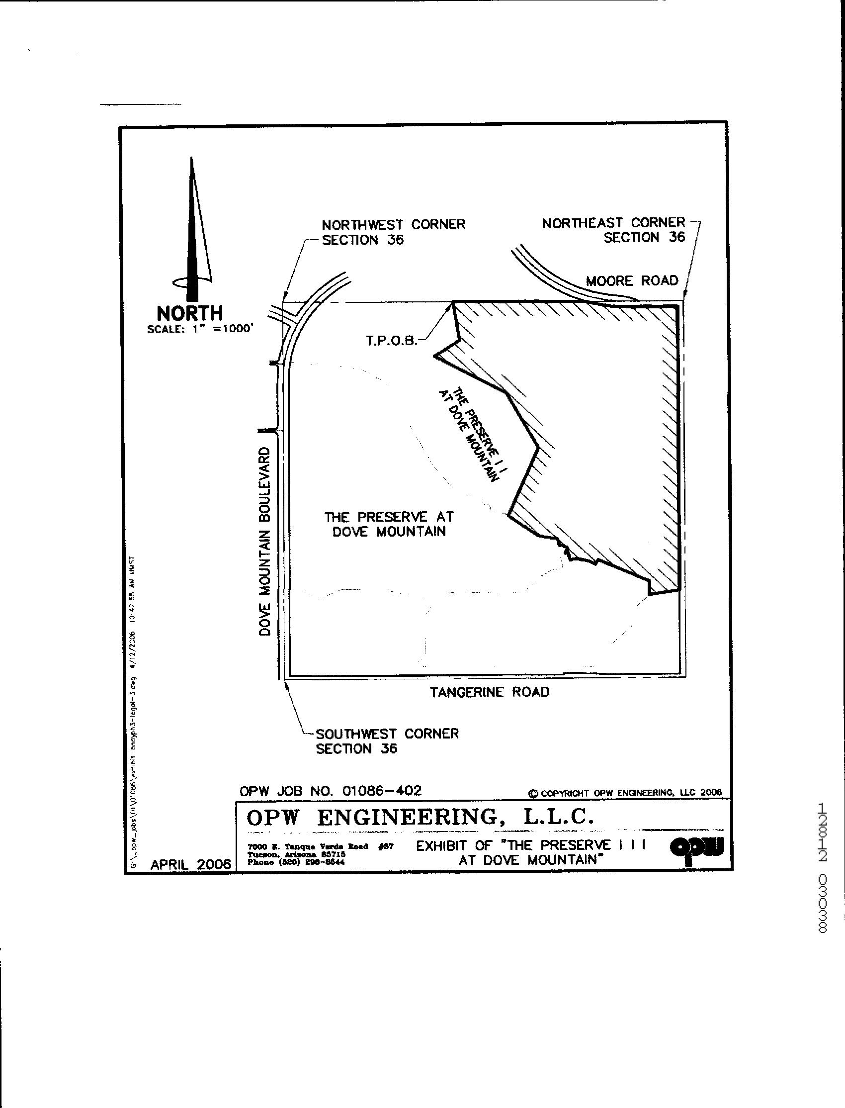
Legal Description : Preserve Iii At Dove Mountain Lot 429 County : Pima, Az APN : 218-55-4590

Census Tract / Block : 46.50 / 3

Township-Range- Sect : 11S-12E-36

Legal Book/Page : 61-54

Subdivision : Preserve Iii/dove Mountain

Map Reference : 36-11S-12E

School District : Marana

Legal Lot : 429 Munic/Township : Marana

Market Area : 424

Last Market Sale Information

Recording/Sale Date : 08/13/2020 / 08/04/2020 1st Mtg Amount/Type : $308,750 / Cnv

Sale Price : $325,000 1st Mtg Document # : 2260305

Document # : 2260304

1st Mtg Term : 30

Deed Type : Warranty Deed Price Per SqFt : $166.24

Title Company : Catalina Title Agcy

Lender : Sunstreet Mtg Llc

Seller Name : Welsh Ralph & Agnes L

Prior Sale Information

Prior Rec/Sale Date : 03/06/2013 / 03/05/2013

Prior Sale Price : $265,990

Prior Doc Number : 650700

Prior Deed Type : Special Warranty Deed

Prior Lender : Universal American Mtg Co Llc

Prior 1st Mtg Amt/Type : $50,000 / Va

Customer Name : Chantel Cortez

Customer Company Name : FIRST AMERICAN TITLE

Prepared On : 01/13/2023

CoreLogic.

©
All rights reserved
2023

Property Characteristics

Gross Area : 1,955 Garage Capacity : 2

Patio Type : Covered Patio

Living Area : 1,955 Roof Material : Tile Air Cond : Refrigeration

Total Rooms : 6 Heat Type : Forced Air Quality : Good

Year Built / Eff : 2013 Cooling Type : Forced Air Condition : Excellent

# of Stories : 1 Exterior wall : Stucco Bath Fixtures : 8

Parking Type : Garage

Property Information

Land Use : Sfr Zoning : F Lot Size : 9,288

County Use : Single Fam Resrural Subd Lot Acres : 0.21

Tax Information

Total Value : $283,340

Property Tax : $3,915.43

Total Taxable Value : $27,091 Tax Rate Area : 0612

Assessed Year : 2021 Market Value : $283,340

Tax Year : 2021 Current Assessed Year : 2023

State Use : Single Fam Resrural Subd

Current Year Total Value : $34,543

Current Year Improvement Value :

$34,493

Current Year Land Value : $50

Customer Name : Chantel Cortez

Customer Company Name : FIRST AMERICAN TITLE Prepared On : 01/13/2023

© 2023 CoreLogic. All rights reserved
Sales Analysis Criteria Subject Property Low High Average Sale
Total
Distance
Summary of Comparables # Address Sale Price Total Assessed Value Sale Date Bed Bath Living Area Lot Size Year Built Dist (Miles) Zoning
Customer Name
Customer Company Name
FIRST
©
All rights reserved
Price $325,000 $365,000 $651,000 $484,200 Bldg/Living Area 1955 1752 2131 1999 Price Per Square Foot $166.24 $179 $307 $242.82 Year Built 2013 1999 2015 2009 Lot Size 9,288 5,398 11,901 7,649 Bedrooms Bathrooms 3 3 4 3 Stories 1 1 1 1
Assessed Value $283,340 $207,541 $310,190 $271,081
From Subject 0 0.12 0.68 0.54
S 12569 N Sunrise Shadow Dr 325,000 283,340 08/13/2020 3 1,955 9,288 2013 F 1 12454 N Sunrise Shadow Dr 651,000 310,190 04/29/2022 3 2,120 8,688 2010 0.12 F 2 12423 N Sunrise Shadow Dr 365,000 299,234 05/05/2022 3 2,036 7,805 2010 0.16 F 3 12206 N Meditation Dr 490,000 275,472 11/18/2022 4 2,050 6,031 2015 0.45 4 12179 N Meditation Dr 442,000 274,169 05/17/2022 4 2,050 6,300 2014 0.47 5 12941 N Cactus Bluff Pl 500,000 288,921 01/18/2022 3 1,880 9,745 2004 0.49 F 6 12340 N Lost Shadow Ct 473,000 258,659 06/27/2022 3 1,955 7,800 2005 0.5 F 7 12174 N Golden Mirror Dr 465,500 278,794 04/08/2022 4 2,088 5,403 2012 0.52 8 12146 N Meditation Dr 457,000 274,169 05/18/2022 4 2,050 5,776 2014 0.53 9 12115 N Meditation Dr 465,000 254,755 08/31/2022 3 1,800 5,499 2014 0.55
: Chantel Cortez
:
AMERICAN TITLE Prepared On : 01/13/2023
2023 CoreLogic.

10 12953 N High Hawk Dr 550,000 284,669 03/04/2022 3 2,131 11,901 2002 0.57 F

11 12123 N Golden Mirror Dr 440,000 267,640 03/17/2022 4 1,980 5,398 2013 0.57

12 12126 N Golden Mirror Dr 487,000 267,640 03/21/2022 3 1,980 5,402 2013 0.58

13 12898 N Cenozoic Dr 474,000 241,137 10/19/2022 3 2,086 11,301 2004 0.6 F

14 4698 W Cholla Bluff Dr 510,000 273,304 07/29/2022 3 2,112 7,668 2002 0.64 F

15 12892 N Mesozoic Dr 474,500 265,401 10/13/2022 3 2,086 10,184 2004 0.64 F

16 12072 N Golden Mirror Dr 515,000 279,919 08/03/2022 4 2,088 5,735 2013 0.66

17 5131 W Wild Burro Spring Dr 450,000 244,788 02/28/2022 3 2,086 8,160 2004 0.66 F

18 12053 N Golden Mirror Dr 480,000 284,510 03/17/2022 3 1,850 6,312 2013 0.67

19 13072 N Pier Mountain Rd 545,000 290,712 04/28/2022 3 1,803 8,453 1999 0.67 F

20 12905 N Mesozoic Dr 450,000 207,541 07/15/2022 3 1,752 9,409 2005 0.68 F Distressed Sales =

Customer Name : Chantel Cortez

Customer Company Name : FIRST AMERICAN TITLE Prepared On : 01/13/2023

©
All rights reserved
2023 CoreLogic.
Map
© 2023 CoreLogic. All rights reserved
Customer Name : Chantel Cortez Customer Company Name : FIRST AMERICAN TITLE Prepared On : 01/13/2023

Details of Comparables

Subject Property: 12569 N Sunrise Shadow Dr Marana Az 85658

Owner Name: Chavira Lorraine / APN / Alternate APN: 218-55-4590 / Deed Type: Warranty Deed

Land Use: Sfr Subdivision / Tract: Preserve Iii/dove Mountain / Lot Size: 9,288 Year Built / Eff: 2013 / Rec. Date / Price: 08/13/2020 / $325,000 Living Area: 1,955

# of units: Document #: 2260304 Bedrooms: Pool: Total Tax Value: $283,340 Bath(F/H): /

#1   12454 N Sunrise Shadow Dr Marana Az 85658

Owner Name: Farnham Duane A / APN / Alternate APN: 218-55-5010 / Deed Type: Warranty Deed

Land Use: Sfr Subdivision / Tract: Preserve Iii/dove Mountain / Lot Size: 8,688 Year Built / Eff: 2010 / Rec. Date / Price: 04/29/2022 / $651,000 Living Area: 2,120

# of units: Document #: 1190814 Bedrooms: Pool: Total Tax Value: $310,190 Bath(F/H): /

#2   12423 N Sunrise Shadow Dr Marana Az 85658

Owner Name: Ellis Julie J / APN / Alternate APN: 218-55-4460 / Deed Type: Warranty Deed Land Use: Sfr Subdivision / Tract: Preserve Iii/dove Mountain / Lot Size: 7,805 Year Built / Eff: 2010 / Rec. Date / Price: 05/05/2022 / $365,000 Living Area: 2,036

# of units: Document #: 1250332 Bedrooms: Pool: Total Tax Value: $299,234 Bath(F/H): /

#3

12206 N Meditation Dr Marana Az 85658

Owner Name: Baptista Marilyn J / APN / Alternate APN: 218-55-7160 / Deed Type: Warranty Deed Land Use: Sfr Subdivision / Tract: Preserve Iv/dove Mountain / Lot Size: 6,031 Year Built / Eff: 2015 / Rec. Date / Price: 11/18/2022 / $490,000 Living Area: 2,050

# of units: Document #: 3220195 Bedrooms: Pool: Total Tax Value: $275,472 Bath(F/H): /

#4   12179

N Meditation Dr Marana Az 85658

Owner Name: Hilby Family Trust / APN / Alternate APN: 218-55-6660 / Deed Type: Warranty Deed

Land Use: Sfr Subdivision / Tract: Preserve Iv/dove Mountain / Lot Size: 6,300 Year Built / Eff: 2014 / Rec. Date / Price: 05/17/2022 / $442,000 Living Area: 2,050

# of units: Document #: 1370242 Bedrooms: Pool: Total Tax Value: $274,169 Bath(F/H): /

Customer Name : Chantel Cortez

Customer Company Name : FIRST AMERICAN TITLE Prepared On : 01/13/2023

© 2023
All rights reserved
CoreLogic.

#5

12941 N Cactus Bluff Pl Marana Az 85658

Owner Name: Miller E L & M B Joint Trust / APN / Alternate APN: 218-53-2030 / Deed Type: Warranty Deed Land Use: Sfr Subdivision / Tract: Bluffs At Dove Mountain Ph 02 / Lot Size: 9,745 Year Built / Eff: 2004 / Rec. Date / Price: 01/18/2022 / $500,000 Living Area: 1,880

# of units: Document #: 180803 Bedrooms: Pool: Pool Total Tax Value: $288,921 Bath(F/H): /

#6

12340 N Lost Shadow Ct Marana Az 85658

Owner Name: Freed David W /Freed Kimberly A APN / Alternate APN: 218-55-1430 / Deed Type: Warranty Deed Land Use: Sfr Subdivision / Tract: Preserve/dove Mountain / Lot Size: 7,800 Year Built / Eff: 2005 / Rec. Date / Price: 06/27/2022 / $473,000 Living Area: 1,955

# of units: Document #: 1780343 Bedrooms: Pool: Total Tax Value: $258,659 Bath(F/H): /

#7

12174 N Golden Mirror Dr Marana Az 85658

Owner Name: Owens Daniel W /Owens Jody L APN / Alternate APN: 218-55-6480 / Deed Type: Warranty Deed Land Use: Sfr Subdivision / Tract: Preserve Iv/dove Mountain / Lot Size: 5,403 Year Built / Eff: 2012 / Rec. Date / Price: 04/08/2022 / $465,500 Living Area: 2,088

# of units: Document #: 980156 Bedrooms: Pool: Total Tax Value: $278,794 Bath(F/H): /

#8

12146 N Meditation Dr Marana Az 85658

Owner Name: Correa Derek F /Van Den Broeke Annie APN / Alternate APN: 218-55-7060 / Deed Type: Warranty Deed Land Use: Sfr Subdivision / Tract: Preserve Iv/dove Mountain / Lot Size: 5,776 Year Built / Eff: 2014 / Rec. Date / Price: 05/18/2022 / $457,000 Living Area: 2,050

# of units: Document #: 1380177 Bedrooms: Pool: Total Tax Value: $274,169 Bath(F/H): /

#9   12115 N Meditation Dr Marana Az 85658

Owner Name: Mcelhaney Family Livin / APN / Alternate APN: 218-55-6760 / Deed Type: Warranty Deed Land Use: Sfr Subdivision / Tract: Preserve Iv/dove Mountain / Lot Size: 5,499 Year Built / Eff: 2014 / Rec. Date / Price: 08/31/2022 / $465,000 Living Area: 1,800

# of units: Document #: 2430827 Bedrooms: Pool: Total Tax Value: $254,755 Bath(F/H): /

Customer Company Name : FIRST AMERICAN TITLE Prepared On : 01/13/2023

Customer Name : Chantel Cortez
© 2023 CoreLogic. All rights reserved

#10   12953 N High Hawk Dr Marana Az 85658

Owner Name: Wood Tray C /Wood Stephanie A APN / Alternate APN: 218-43-5010 / Deed Type: Warranty Deed Land Use: Sfr Subdivision / Tract: Bluffs Dove Mountain / Lot Size: 11,901 Year Built / Eff: 2002 / Rec. Date / Price: 03/04/2022 / $550,000 Living Area: 2,131

# of units: Document #: 630349 Bedrooms: Pool: Total Tax Value: $284,669 Bath(F/H): /

#11   12123 N Golden Mirror Dr Marana Az 85658

Owner Name: Motchnik Tania / APN / Alternate APN: 218-55-5990 / Deed Type: Warranty Deed Land Use: Sfr Subdivision / Tract: Preserve Iv/dove Mountain / Lot Size: 5,398 Year Built / Eff: 2013 / Rec. Date / Price: 03/17/2022 / $440,000 Living Area: 1,980

# of units: Document #: 760527 Bedrooms: Pool: Total Tax Value: $267,640 Bath(F/H): / #12

12126 N Golden Mirror Dr Marana Az 85658

Owner Name: Parkinson Steven P /Parkinson Marcia L APN / Alternate APN: 218-55-6400 / Deed Type: Warranty Deed Land Use: Sfr Subdivision / Tract: Preserve Iv/dove Mountain / Lot Size: 5,402 Year Built / Eff: 2013 / Rec. Date / Price: 03/21/2022 / $487,000 Living Area: 1,980

# of units: Document #: 800170 Bedrooms: Pool: Total Tax Value: $267,640 Bath(F/H): /

#13   12898 N Cenozoic Dr Marana Az 85658

Owner Name: Watson William /Watson Elizabeth APN / Alternate APN: 218-40-4530 / Deed Type: Warranty Deed Land Use: Sfr Subdivision / Tract: Quail Crossing 02 At Dove Mountain / Lot Size: 11,301 Year Built / Eff: 2004 / Rec. Date / Price: 10/19/2022 / $474,000 Living Area: 2,086

# of units: Document #: 2920177 Bedrooms: Pool: Total Tax Value: $241,137 Bath(F/H): /

#14   4698 W Cholla Bluff Dr Marana Az 85658

Owner Name: Hand Carmen / APN / Alternate APN: 218-53-2780 / Deed Type: Warranty Deed Land Use: Sfr Subdivision / Tract: Bluffs At Dove Mountain Ph 02 / Lot Size: 7,668 Year Built / Eff: 2002 / Rec. Date / Price: 07/29/2022 / $510,000 Living Area: 2,112

# of units: Document #: 2100389 Bedrooms: Pool: Total Tax Value: $273,304 Bath(F/H): /

Customer Name : Chantel Cortez

Customer Company Name : FIRST AMERICAN TITLE

Prepared On : 01/13/2023

© 2023 CoreLogic. All rights reserved

#15

12892 N Mesozoic Dr Marana Az 85658

Owner Name: Vincent Troy N /Vincent Martha APN / Alternate APN: 218-40-4420 / Deed Type: Warranty Deed Land Use: Sfr Subdivision / Tract: Quail Crossing 02 At Dove Mountain / Lot Size: 10,184 Year Built / Eff: 2004 / Rec. Date / Price: 10/13/2022 / $474,500 Living Area: 2,086

# of units: Document #: 2860340 Bedrooms: Pool: Pool Total Tax Value: $265,401 Bath(F/H): /

#16

12072 N Golden Mirror Dr Marana Az 85658

Owner Name: Kime Dorothy J / APN / Alternate APN: 218-55-6310 / Deed Type: Warranty Deed Land Use: Sfr Subdivision / Tract: Preserve Iv/dove Mountain / Lot Size: 5,735 Year Built / Eff: 2013 / Rec. Date / Price: 08/03/2022 / $515,000 Living Area: 2,088

# of units: Document #: 2150109 Bedrooms: Pool: Total Tax Value: $279,919 Bath(F/H): /

#17

5131 W Wild Burro Spring Dr Marana Az 85658

Owner Name: Steve R Yasuda Llc / APN / Alternate APN: 218-40-3970 / Deed Type: Warranty Deed Land Use: Sfr Subdivision / Tract: Quail Crossing 02 At Dove Mountain / Lot Size: 8,160 Year Built / Eff: 2004 / Rec. Date / Price: 02/28/2022 / $450,000 Living Area: 2,086

# of units: Document #: 590652 Bedrooms: Pool: Total Tax Value: $244,788 Bath(F/H): /

#18

12053 N Golden Mirror Dr Marana Az 85658

Owner Name: Davis John F Iii /Moses Debra S APN / Alternate APN: 218-55-6100 / Deed Type: Warranty Deed Land Use: Sfr Subdivision / Tract: Preserve Iv/dove Mountain / Lot Size: 6,312 Year Built / Eff: 2013 / Rec. Date / Price: 03/17/2022 / $480,000 Living Area: 1,850

# of units: Document #: 760324 Bedrooms: Pool: Pool Total Tax Value: $284,510 Bath(F/H): /

#19   13072

N Pier Mountain Rd Marana Az 85658

Owner Name: Pier Mountain Llc / APN / Alternate APN: 218-43-4050 / Deed Type: Warranty Deed Land Use: Sfr Subdivision / Tract: Bluffs Dove Mountain / Lot Size: 8,453 Year Built / Eff: 1999 / Rec. Date / Price: 04/28/2022 / $545,000 Living Area: 1,803

# of units: Document #: 1180563 Bedrooms: Pool: Pool Total Tax Value: $290,712 Bath(F/H): /

Customer Company Name : FIRST AMERICAN TITLE Prepared On : 01/13/2023

Customer Name : Chantel Cortez
© 2023 CoreLogic. All rights reserved

#20

Owner Name: Springate Jay / APN / Alternate APN: 218-40-4380 / Deed Type: Warranty Deed

Land Use: Sfr Subdivision / Tract: Quail Crossing 02 At Dove Mountain / Lot Size: 9,409

Year Built / Eff: 2005 / Rec. Date / Price: 07/15/2022 / $450,000 Living Area: 1,752

# of units: Document #: 1960882 Bedrooms: Pool: Total Tax Value: $207,541 Bath(F/H): /

12905 N Mesozoic Dr Marana Az 85658 Customer Name : Chantel Cortez
©
All rights reserved
Customer Company Name : FIRST AMERICAN TITLE Prepared On : 01/13/2023
2023 CoreLogic.
Subject Property :   12569 N Sunrise Shadow Dr
AZ 85658 Customer Name : Chantel Cortez Customer Company Name
FIRST AMERICAN TITLE Prepared On
01/13/2023 © 2023 CoreLogic. All rights reserved
Marana
:
:

Customer Name : Chantel Cortez Customer Company Name : FIRST AMERICAN TITLE Prepared On : 01/13/2023 © 2023 CoreLogic. All rights reserved

Arizona Schools

For detailed information and statistics on Arizona schools please go to https://azreportcards.azed.gov/ First American Title Insurance Company, and the operating divisions thereof, make no express or implied warranty respecting the information presented and assume no responsibility for errors or omissions. First American, the eagle logo, First American Title, and firstam.com are registered trademarks or trademarks of First American Financial Corporation and/or its affiliates. ©2021 First American Financial Corporation and/or its affiliates. All rights reserved. NYSE: FAF 05117910421

85629 520.625.3502

SUNNYSIDE UNIFIED 2238 E. Ginter Road, Tucson, AZ 85706 520.545.2000

TANQUE VERDE UNIFIED 2300 N. Tanque Verde Loop, Tucson, AZ 85749 520.749.5751

TUCSON UNIFIED 1010 E. 10th Street, Tucson, AZ 85717 520.225.6000

VAIL UNIFIED 10701 E. Mary Ann Cleveland Way, Tucson, AZ 85747 520.879.2000

05249570321 TUCSON INT'L AIRPORT Air Force WSilverbellRd SSantaRitaRd N M t L emmon Hwy ESascoRd NF38 W Avra Valley Rd E Grand Va ey Dr NAguirre R d N L u c k e R d N W e n t z R d N Wa terman Mounta i n R d N Anway Rd W El Tiro Rd N Trico Rd W Tucker Rd W Rudas l Rd W Manvi e Rd SSanJoaquinRd WBopp Rd W Snyder H l Rd S M a r s e a r R d W Park Rd W Hermans Rd W Hermans Rd W Guy St W Bush Rd S G a v e y R d N C a e R i n c o n a d o S W m o R d S Shaw Rd S Sierrita Mountain Rd S K o b R d W TwinButtes Rd W Mcgee Ranch Rd S E s t a n c a D r EDesertDove E Hemlock Dr N Bea r C a n y o n R d W E Camino Del Cerro E Fairmount St S Swan Rd NFrontageRd W Emigh Rd W Fort Lowe Rd N P u m p S t a t ion dR E Nona Rd Ch efButteRd Lo al Ave N Trico Rd S Cattle Tank Rd Evalyn Rd SOwlHead R a n c h Rd GasLineRd S P ec a n R d N T r c o R d W Bayard Rd S S a n d a r o R d W i l l owSpri n gsRd N Dove Mountain Blvd SHelvetiaRd WAnamax Mine Rd W G a c i a R a n hc R d Road424 WRagged Top Rd W Ruby Star Dr WBritten RanchRd W Pima Mine Rd S Mcgee Ranch R d E Edw n Rd SGuildRd 8 0 NKINNEYRD S PICACHO HWY E BAUMGARTNER RD N S A N D A R I O R D N ANWAY RD W VALENCIA RD W MOORE RD W INA RD N 1 S T A V E E SUNRISE DR E SNYDER RD NSILVERBELLRD N S O L D I E R T R L E RIVER RD E PRINCE RD E SPEEDWAY BLVD S FREEMAN RD E 22ND ST E 22ND ST W IRVINGTON RD S N O G A L E S H W Y W VALENCIA RD SMISSIONRD W SPEEDWAY BLVD S O L D S P A N I S H T RL W NARANJA DR W TWIN PEAKS RD W PICTURE ROCKS RD W MANVILLE RD SKINNEYRD W MILE WIDE RD E SAHUARITA RD N TRICO RD S S A N D A R O R D PARK LINK DR S OLD N O G ALES HW Y S H O U G H T O N R D S L A C A N A D A DR W HELMET PEAK RD WAJOHWY N S W A N R D S KOLB RD S HOUGHTON RD W TANGERINE RD E GRANT RD S H O U G H T O N R D 9 5 WAJOHWY E VALENCIA RD NORACLE R D I10 I-19 77 77 77 86 86 286 10 19 10 10 Corona de Tucson Casas Adobes Catalina Green Valley Oracle Picture Rocks Three Points Vail Summit Tanque Verde Tucson Sahuarita Red Rock Saddlebrooke Marana Oro Valley Rillito Summerhaven Willow Canyon Oracle Junction Cortaro Continental Littletown 20 30 13 15 51 39 12 01 01 08 10 16 11 06 PIMA COUNTY School District Information This map is provided for general location only. Please contact school districts for actual street boundaries SCHOOL DISTRICTS 15 AJO UNIFIED 111 N. Well Road, Ajo, AZ 85321 520.387.5618 51 ALTAR VALLEY ELEMENTARY 10105 S. Sasabe Road, Tucson, AZ 85736 520.822.1484 10 AMPHITHEATER UNIFIED 701 W. Wetmore, Tucson, AZ 85705 520.696.5000 16 CATALINA FOOTHILS UNIFIED 2101 E. River Road, Tucson, AZ 85718 520.209.7500 39 CONTINENTAL ELEMENTARY 1991 E. Whitehouse Canyon, Green Valley, AZ 85614
08 FLOWING WELLS UNIFIED 1556 W. Prince Road, Tucson, AZ 85705 520.696.8800 06 MARANA UNIFIED 11279 W. Grier Road, Marana, AZ 85653
11 PIMA COUNTY JTED 2855 W. Master Pieces Dr, Tucson, AZ 85741
30 SAHUARITA UNIFIED 350 W. Sahuarita Road,
First American Title Insurance Company, and the operating divisions thereof, make no express or implied warranty respecting the information presented and assume no responsibility for errors or omissions. First American, the eagle logo, First American Title, and firstam.com are registered trademarks or trademarks of First American Financial Corporation and/or its affiliates. ©2021 First American Financial Corporation and/or its affiliates. All rights reserved. NYSE: FAF
520.625.4581
520.682.3243
520.352.5833
Sahuarita, AZ
12
13
01
20

Public Schools :

Elementary Schools

Dove Mountain K-8 Distance 1.3 Miles 5650 W Moore Rd Marana AZ 85658

Telephone : (520) 579-4500

Lowest Grade : Pre-K

School District : Marana Unified District (4404)

Highest Grade : 8th

Kindergarten : Yes School Enrollment : Enrollment : 837 Total Expenditure/Student : 269

Customer Name : Chantel Cortez

Customer Company Name : FIRST AMERICAN TITLE Prepared On : 01/13/2023

© 2023 CoreLogic. All rights reserved

Attractions / Recreation

Name Address

Telephone Distance (Miles)

Cliff Hey Entertainment Llc 13088 N Pier Mountain Rd Marana Az (520) 440-2346 0.7

Twinetime Entertainment Llc 4688 W Tangerine Rd # 162 Marana Az (520) 248-5354 0.71

Jones Golf Ventures, Llc 12563 N New Reflection Dr Marana Az (970) 390-9049 0.83

Wieck Chamber Singers & Orchestra 3965 W Moore Rd Tucson Az (520) 794-5373 0.99

Banks / Financial

Name Address Telephone Distance (Miles)

Vistoso Mortgage, Llc 12400 N Fallen Shadows Dr Marana Az (520) 744-8736 0.57

Eating / Drinking

Name Address Telephone Distance (Miles)

Ciao Down Llc 12663 N Fallen Shadows Dr Marana Az (520) 250-4690 0.14

Wake And Bake Bakery L.l.c. 12875 N Bass Canyon Dr Marana Az (928) 514-1233 0.56

Restaurant Solutions 5346 W Lace Cactus Pl Marana Az (520) 638-6221 0.95

Health Care Services

Name Address Telephone Distance (Miles)

Stephen C. Phillips D.m.d. P.l.l.c. 12457 N Fallen Shadows Dr Marana Az (614) 805-9512 0.46

Cassandra Harrison, M.d., P.a. 4688 W Tangerine Rd # 101 Marana Az (904) 519-8215 0.71

Stafford Psychology 4688 W Tangerine Rd Marana Az (520) 744-9336 0.71

Zachary M Shnek 13198 N Pier Mountain Rd Marana Az (520) 579-0798 0.82

Organizations / Associations

Name Address Telephone Distance (Miles)

Arizona Assembly Hall Of Jehovah's Witnesses, Inc. 12976 N Kenosha Bluff Dr Marana Az (520) 400-9273 0.58

Customer Name : Chantel Cortez

Customer Company Name : FIRST AMERICAN TITLE Prepared On : 01/13/2023

2023 CoreLogic.

Local Business
©
rights reserved
All

Glory International Ministries 13121 N High Hawk Dr Marana Az (520) 744-8153 0.72

Rincon Community Church, Inc. 12747 N Rain Shadow Ct Marana Az (520) 256-0692 0.74

Shopping

Name Address Telephone Distance (Miles)

Neo Herbal Care, Llc 12986 N High Hawk Dr Marana Az (520) 579-5236 0.54

Customer Name : Chantel Cortez

Customer Company Name : FIRST AMERICAN TITLE Prepared On : 01/13/2023

© 2023 CoreLogic. All rights reserved

12587

N SUNRISE SHADOW DR Distance 0.01 Miles

Owner Name : Coleman Kevin Andrew

Sale Date : 04/22/2013

12545

Subdivision : Preserve Iii/dove Mountain

Recording Date : 04/24/2013

Total Value : $327,133 Sale Price  : $303,000

Bed / Bath : / 3 Property Tax : $4,553.05

Land Use : Sfr Lot Acres : 0.20

Stories : 1 Living Area : 2,338

Yr Blt / Eff Yr Blt : 2013 / APN : 218-55-4600

N SUNRISE SHADOW DR Distance 0.01 Miles

Owner Name : Volk-klein Darcie R

Sale Date : 04/24/2013

Subdivision : Preserve Iii/dove Mountain

Recording Date : 04/29/2013

Total Value : $379,163 Sale Price  : $368,800

Bed / Bath : / 4 Property Tax : $5,362.05

Land Use : Sfr Lot Acres : 0.21

Stories : 1 Living Area : 2,958

Yr Blt / Eff Yr Blt : 2013 / APN : 218-55-4580

12593 N SUNRISE SHADOW DR

Owner Name : Morabito Rachel A & Jack A

Distance 0.03 Miles

Recording Date : 01/30/2013

Total Value : $405,477 Sale Price  : $355,000

Bed / Bath : / 4 Property Tax : $5,804.46

Land Use : Sfr Lot Acres : 0.20

Stories : 1 Living Area : 2,958

Yr Blt / Eff Yr Blt : 2012 / APN : 218-55-4610

Subdivision  : Preserve Iii/dove Mountain

Customer Name : Chantel Cortez

Customer Company Name : FIRST AMERICAN TITLE Prepared On : 01/13/2023

© 2023
All rights reserved
CoreLogic.

12523

N SUNRISE SHADOW DR

Owner Name : Culwell Annela

Sale Date : 04/00/2013

12572

12584

12560

Distance 0.03 Miles

Subdivision : Preserve Iii/dove Mountain

Recording Date : 07/29/2013

Total Value : $379,163 Sale Price  : $358,190

Bed / Bath : / 4 Property Tax : $5,362.05

Land Use : Sfr Lot Acres : 0.21

Stories : 1 Living Area : 2,958

Yr Blt / Eff Yr Blt : 2013 / APN : 218-55-4570

N SUNRISE SHADOW DR Distance 0.03 Miles

Owner Name : Hoeffel Douglas J

Subdivision : Preserve Iii/dove Mountain Sale Date : 11/09/2020

Recording Date : 11/19/2020

Total Value : $379,163 Sale Price  : $551,000

Bed / Bath : / 4 Property Tax : $5,362.05

Land Use : Sfr Lot Acres : 0.20

Stories : 1 Living Area : 2,958

Yr Blt / Eff Yr Blt : 2013 / APN : 218-55-4890

N SUNRISE SHADOW DR Distance 0.03 Miles

Owner Name : Rasmussen Jeffrey Don Subdivision : Preserve Iii/dove Mountain Sale Date : 03/14/2018 Recording Date : 03/15/2018

Total Value : $325,790 Sale Price  : $325,000

Bed / Bath : / 3 Property Tax : $4,526.17

Land Use : Sfr Lot Acres : 0.20

Stories : 1 Living Area : 2,338

Yr Blt / Eff Yr Blt : 2012 / APN : 218-55-4880

N SUNRISE

SHADOW

DR Distance 0.03 Miles

Owner Name : Pechart Family Living Trust

Sale Date : 04/16/2013

Subdivision : Preserve Iii/dove Mountain

Recording Date : 04/22/2013

Total Value : $283,340 Sale Price  : $266,690

Bed / Bath : / 3

Property Tax : $4,367.85

Land Use : Sfr Lot Acres : 0.20

Stories : 1 Living Area : 1,955

Yr Blt / Eff Yr Blt : 2013 / APN : 218-55-4900

Customer Name : Chantel Cortez

Customer Company Name : FIRST AMERICAN TITLE Prepared On : 01/13/2023

2023 CoreLogic.

©
All rights reserved

12542

N SUNRISE SHADOW DR Distance 0.04 Miles

Owner Name : Proffitt Gail A

Sale Date : 04/08/2013

12596

Subdivision : Preserve Iii/dove Mountain

Recording Date : 04/12/2013

Total Value : $300,207 Sale Price  : $298,390

Bed / Bath : / 3 Property Tax : $4,617.87

Land Use : Sfr Lot Acres : 0.20

Stories : 1 Living Area : 1,955

Yr Blt / Eff Yr Blt : 2013 / APN : 218-55-4910

N SUNRISE SHADOW DR Distance 0.04 Miles

Owner Name : Nagelschmidt Mark W

Recording Date : 11/30/2012

Total Value : $405,477 Sale Price  : $358,000

Bed / Bath : / 4 Property Tax : $5,804.46

Land Use : Sfr Lot Acres : 0.23 Stories : 1 Living Area : 2,958

Yr Blt / Eff Yr Blt : 2012 / APN : 218-55-4870

Subdivision  : Preserve Iii/dove Mountain

12599 N SUNRISE SHADOW DR

Owner Name : Zucarelli D Gst Exempt Trust

Sale Date : 05/09/2022

Distance 0.04 Miles

Subdivision : Preserve Iii/dove Mountain

Recording Date : 05/24/2022

Total Value : $405,477 Sale Price  : $720,000

Bed / Bath : / 4 Property Tax : $5,326.27

Land Use : Sfr Lot Acres : 0.20

Stories : 1 Living Area : 2,958

Yr Blt / Eff Yr Blt : 2012 / APN : 218-55-4620

Customer Name : Chantel Cortez

Customer Company Name : FIRST AMERICAN TITLE

Prepared On : 01/13/2023

2023 CoreLogic.

©
rights reserved
All

No demographics data for selected property.

Customer Name : Chantel Cortez

Customer Company Name : FIRST AMERICAN TITLE Prepared On : 01/13/2023

© 2023 CoreLogic. All rights reserved

SEARCH PARAMETERS

IMPROVEMENTS

BYPASS  BLDG SQFT  1,955 FULL CASH VALUE  284,774 YEAR BUILT  2013 LAND USE  01 43 NUMBER OF STORIES  1.0 LOT SIZE  1 STDLT STORIES HEIGHT  0 SCHOOL DISTRICT  0612 EXTERIOR WALLS  STUCCO LAND FULL CASH VALUE  502 GRADE MATERIALS IMPR FULL CASH VALUE  284,272

+ FIRST AMERICAN TITLE, FC0, CCOR PIMA, AZ 01/13/2023  10:28AM  NKFE  INVESTIGATIVE SEARCH RESULTS PAGE 1 OF 1
PARCEL:  218-55-4590 PARCEL: 218-55-4590 INSTRUMENT REC DATE OWNER: CHAVIRA LORRAINE  AFFIDAVIT    2020 2260304 08/13/2020  SITUS: 12569 N SUNRISE SHADOW DR MAR  MAIL: 12569 N SUNRISE SHADOW DR  MARANA AZ 85658  PLAT: LOT 00429 BLOCK LEGAL: PRESERVE III AT DOVE MOUNTAIN LOT 429  CURRENT TAXES INFORMATION THROUGH 12/28/2022 LAND IMPR EXEMPT RATE AREA SPECIAL DISTRICTS PRIMARY  28,445  0  0  8.7588  0612 SECONDARY  50  28,427  0  6.4610  2022 TOTAL TAX BILLED 3,841.94 2022  TAX AMT TAX DUE INTEREST DATE PAID TOTAL DUE FIRST HALF  1,920.97  0.00  0.00  10/24/2022  0.00  SECOND HALF  1,920.97  1,920.97  0.00  1,920.97  TOTAL CURRENT TAXES DUE 01/23 1,920.97 02/23 1,920.97 (ESTIMATED)
SALES
SALE AMOUNT
TYPE SELLER NAME VALIDITY
END SEARCH
SALE DATE
INSTRUMENT
08/13/2020 325,000    2020 2260304 WD WELSH JR RALPH & WELSH AGN 03/06/2013 265,990    2013 650700 SW T2036 08/24/2009 4,760,000    13628 2573 SW T18281-T ADDITIONAL PROPERTY INFORMATION STANDARD LAND USE: SFR

Covenants, Conditions & Restrictions

Thank you for the opportunity to be of service.

Restrictions indicating a preference, limitation or discrimination based on race, color, religion, sex, handicap, familial status, or national origin are hereby deleted to the extent such restrictions violate 42 USC 3604(c).

This information is furnished without fee and without benefit of a complete title search. No liability is assumed by First American Title or Title Security. If it is desired that liability be assumed, you may apply for a policy of title insurance with First American Title Insurance Company.

Page 1 of 1 07/31/2012 2:29 PM
Page 1 of 9 07/31/2012 2:29 PM
Page 2 of 9 07/31/2012 2:29 PM
Page 3 of 9 07/31/2012 2:29 PM
Page 4 of 9 07/31/2012 2:29 PM
Page 5 of 9 07/31/2012 2:29 PM
Page 6 of 9 07/31/2012 2:29 PM
Page 7 of 9 07/31/2012 2:29 PM
Page 8 of 9 07/31/2012 2:29 PM
Page 9 of 9 07/31/2012 2:29 PM
Page 1 of 16 07/31/2012 2:29 PM
Page 2 of 16 07/31/2012 2:29 PM
Page 3 of 16 07/31/2012 2:29 PM
Page 4 of 16 07/31/2012 2:29 PM
Page 5 of 16 07/31/2012 2:29 PM
Page 6 of 16 07/31/2012 2:29 PM
Page 7 of 16 07/31/2012 2:29 PM
Page 8 of 16 07/31/2012 2:29 PM
Page 9 of 16 07/31/2012 2:29 PM
Page 10 of 16 07/31/2012 2:29 PM
Page 11 of 16 07/31/2012 2:29 PM
Page 12 of 16 07/31/2012 2:29 PM
Page 13 of 16 07/31/2012 2:29 PM
Page 14 of 16 07/31/2012 2:29 PM
Page 15 of 16 07/31/2012 2:29 PM
Page 16 of 16 07/31/2012 2:29 PM
Page 1 of 7 07/31/2012 2:29 PM
Page 2 of 7 07/31/2012 2:29 PM
Page 3 of 7 07/31/2012 2:29 PM
Page 4 of 7 07/31/2012 2:29 PM
Page 5 of 7 07/31/2012 2:29 PM
Page 6 of 7 07/31/2012 2:29 PM
Page 7 of 7 07/31/2012 2:29 PM
Page 1 of 4 07/31/2012 2:29 PM
Page 2 of 4 07/31/2012 2:29 PM
Page 3 of 4 07/31/2012 2:29 PM
Page 4 of 4 07/31/2012 2:29 PM
Page 1 of 5 07/31/2012 2:29 PM
Page 2 of 5 07/31/2012 2:29 PM
Page 3 of 5 07/31/2012 2:29 PM
Page 4 of 5 07/31/2012 2:29 PM
Page 5 of 5 07/31/2012 2:29 PM
Page 1 of 87 07/31/2012 2:29 PM
Page 2 of 87 07/31/2012 2:29 PM
Page 3 of 87 07/31/2012 2:29 PM
Page 4 of 87 07/31/2012 2:29 PM
Page 5 of 87 07/31/2012 2:29 PM
Page 6 of 87 07/31/2012 2:29 PM
Page 7 of 87 07/31/2012 2:29 PM
Page 8 of 87 07/31/2012 2:29 PM
Page 9 of 87 07/31/2012 2:29 PM
Page 10 of 87 07/31/2012 2:29 PM
Page 11 of 87 07/31/2012 2:29 PM
Page 12 of 87 07/31/2012 2:29 PM
Page 13 of 87 07/31/2012 2:29 PM
Page 14 of 87 07/31/2012 2:29 PM
Page 15 of 87 07/31/2012 2:29 PM
Page 16 of 87 07/31/2012 2:29 PM
Page 17 of 87 07/31/2012 2:29 PM
Page 18 of 87 07/31/2012 2:29 PM
Page 19 of 87 07/31/2012 2:29 PM
Page 20 of 87 07/31/2012 2:29 PM
Page 21 of 87 07/31/2012 2:29 PM
Page 22 of 87 07/31/2012 2:29 PM
Page 23 of 87 07/31/2012 2:29 PM
Page 24 of 87 07/31/2012 2:29 PM
Page 25 of 87 07/31/2012 2:29 PM
Page 26 of 87 07/31/2012 2:29 PM
Page 27 of 87 07/31/2012 2:29 PM
Page 28 of 87 07/31/2012 2:29 PM
Page 29 of 87 07/31/2012 2:29 PM
Page 30 of 87 07/31/2012 2:29 PM
Page 31 of 87 07/31/2012 2:29 PM
Page 32 of 87 07/31/2012 2:29 PM
Page 33 of 87 07/31/2012 2:29 PM
Page 34 of 87 07/31/2012 2:29 PM
Page 35 of 87 07/31/2012 2:29 PM
Page 36 of 87 07/31/2012 2:29 PM
Page 37 of 87 07/31/2012 2:29 PM
Page 38 of 87 07/31/2012 2:29 PM
Page 39 of 87 07/31/2012 2:29 PM
Page 40 of 87 07/31/2012 2:29 PM
Page 41 of 87 07/31/2012 2:29 PM
Page 42 of 87 07/31/2012 2:29 PM
Page 43 of 87 07/31/2012 2:29 PM
Page 44 of 87 07/31/2012 2:29 PM
Page 45 of 87 07/31/2012 2:29 PM
Page 46 of 87 07/31/2012 2:29 PM
Page 47 of 87 07/31/2012 2:29 PM
Page 48 of 87 07/31/2012 2:29 PM
Page 49 of 87 07/31/2012 2:29 PM
Page 50 of 87 07/31/2012 2:29 PM
Page 51 of 87 07/31/2012 2:29 PM
Page 52 of 87 07/31/2012 2:29 PM
Page 53 of 87 07/31/2012 2:29 PM
Page 54 of 87 07/31/2012 2:29 PM
Page 55 of 87 07/31/2012 2:29 PM
Page 56 of 87 07/31/2012 2:29 PM
Page 57 of 87 07/31/2012 2:29 PM
Page 58 of 87 07/31/2012 2:29 PM
Page 59 of 87 07/31/2012 2:29 PM
Page 60 of 87 07/31/2012 2:29 PM
Page 61 of 87 07/31/2012 2:29 PM
Page 62 of 87 07/31/2012 2:29 PM
Page 63 of 87 07/31/2012 2:29 PM
Page 64 of 87 07/31/2012 2:29 PM
Page 65 of 87 07/31/2012 2:29 PM
Page 66 of 87 07/31/2012 2:29 PM
Page 67 of 87 07/31/2012 2:29 PM
Page 68 of 87 07/31/2012 2:29 PM
Page 69 of 87 07/31/2012 2:29 PM
Page 70 of 87 07/31/2012 2:29 PM
Page 71 of 87 07/31/2012 2:29 PM
Page 72 of 87 07/31/2012 2:29 PM
Page 73 of 87 07/31/2012 2:29 PM
Page 74 of 87 07/31/2012 2:29 PM
Page 75 of 87 07/31/2012 2:29 PM
Page 76 of 87 07/31/2012 2:29 PM
Page 77 of 87 07/31/2012 2:29 PM
Page 78 of 87 07/31/2012 2:29 PM
Page 79 of 87 07/31/2012 2:29 PM
Page 80 of 87 07/31/2012 2:29 PM
Page 81 of 87 07/31/2012 2:29 PM
Page 82 of 87 07/31/2012 2:29 PM
Page 83 of 87 07/31/2012 2:29 PM
Page 84 of 87 07/31/2012 2:29 PM
Page 85 of 87 07/31/2012 2:29 PM
Page 86 of 87 07/31/2012 2:29 PM
Page 87 of 87 07/31/2012 2:29 PM

Turn static files into dynamic content formats.

Create a flipbook
Issuu converts static files into: digital portfolios, online yearbooks, online catalogs, digital photo albums and more. Sign up and create your flipbook.
Digital Listing Kit 12569 N Sunrise Shadow Drive by FirstAmAZ - Issuu