Digital Home Book 7657 S Constellation Way

Page 1

7657SConstellationWay
QueenCreek,AZ85142

LIMITATION OF LIABILITY FOR INFORMATIONAL REPORTS

IMPORTANT -- PLEASE READ CAREFULLY:

This report is not an insured product or service or a representation of the condition of title to real property. It is not an abst ract, legal opinion, opinion of title, title insurance commitment or preliminary report, or any form of Title Insurance or Guaranty. This report is issued exclusively for the benefit of the Applicant therefor and may not be used or relied upon by any other person. This report may not be reproduced in any manner without First American or Title Security's prior written consent. First American or Title Security does not represent or warrant that the information herein is complete or free from error, and the information herein is provided without any warranties of any kind, as-is, and with all faults. As a material part of the consideration given in exchange for the issuance of this report, recipient agrees that First American or Title Security's sole liability for any loss or damage caused by an error or omission due to inaccurate information or negligence in preparing this report shall be limited to the fee charged for the report. Recipient accepts this report with this limitation and agrees that First American or Title Security would not have issued this report but for the limitation of liability described above. First American or Title Security makes no representation or warranty as to the legality or propriety of recipient's use of the information herein.

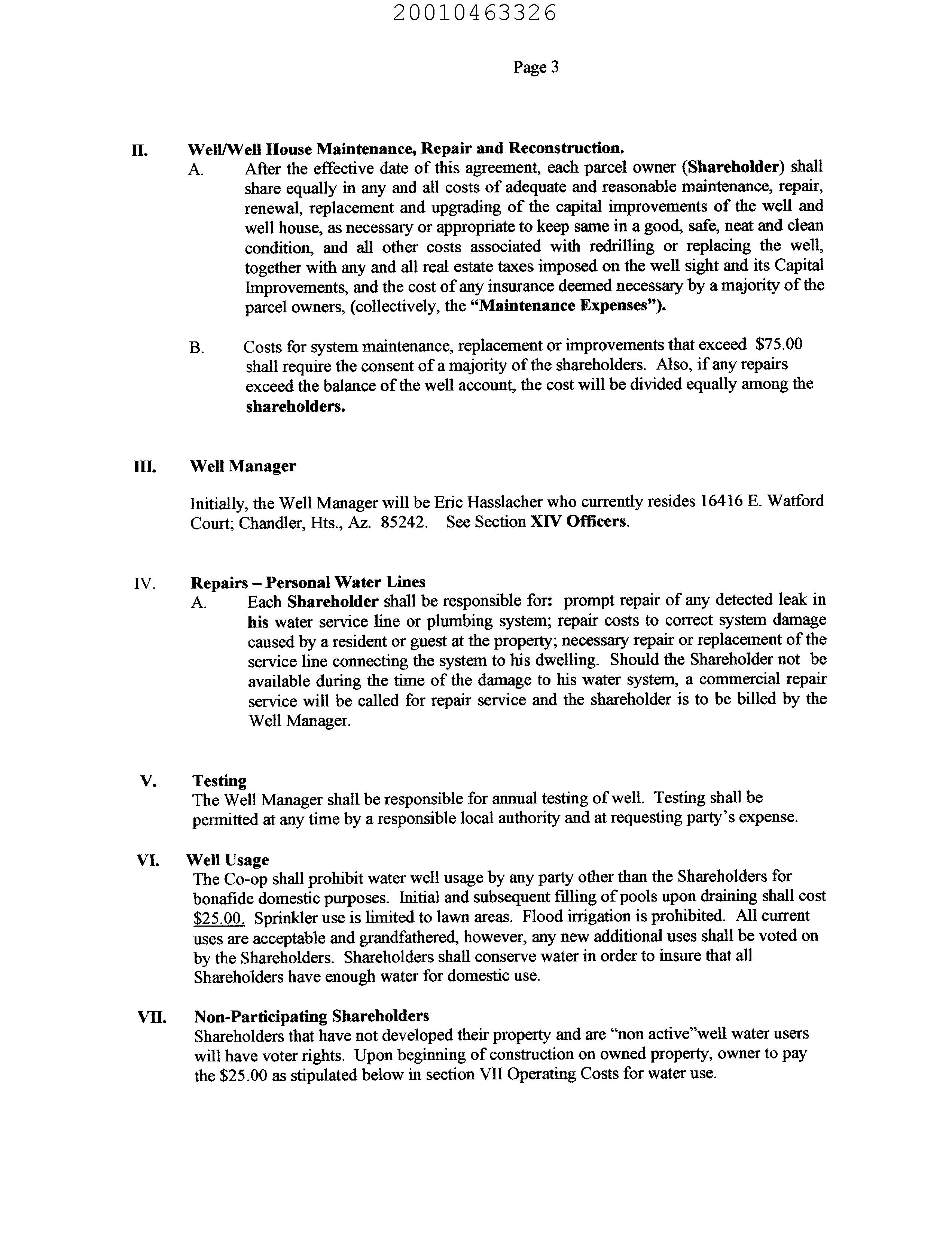
Subject

Data Provided By: First American Title Ins Co

S Constellation Way Queen Creek AZ 85142 APN: 304-86-038-E
Property 7657
© 2023 CoreLogic. All rights reserved

Disclaimer

This REiSource report is provided "as is" without warranty of any kind, either express or implied, including without limitations any warrantees of merchantability or fitness for a particular purpose. There is no representation of warranty that this information is complete or free from error, and the provider does not assume, and expressly disclaims, any liability to any person or entity for loss or damage caused by errors or omissions in this REiSource report without a title insurance policy.

The information contained in the REiSource report is delivered from your Title Company, who reminds you that you have the right as a consumer to compare fees and serviced levels for Title, Escrow, and all other services associated with property ownership, and to select providers accordingly. Your home is the largest investment you will make in your lifetime and you should demand the very best.

Data Provided By: First American Title Ins Co
© 2023 CoreLogic. All rights reserved

Subject Property :   7657 S Constellation Way Queen Creek AZ 85142

Owner Information

Owner Name : Reddy Ashwin M / Vedire Isha

Mailing Address : 1608 Spanish Bay Ct, Frisco TX 75036-9001 R046

Owner Occupied Indicator : A

Location Information

Legal Description : That Por Se4 Sec 34 Daf Com At Ctr Qtr Cor Sd Sec Th E 182.47f Th S 271.76f To Tpob Th S 391.81f Th W 182.66f Th N 391.95f Th E 182.55f To Tpob Ex Any Pt Ly W/i East Watford Court Mod Mcr 993-03 & Ex That Por Sd Sec Daf Com At Ctr Qtr Cor Of Sd Sec T H S 271.76f To Pob Th E 40f Th S 391.92f Th W 40f Th N 391.95f To Pob P/f 15-0429280

County : Maricopa, Az

Census Tract / Block : 8172.00

Township-Range- Sect : 02S-06E-34

APN : 304-86-038-E

Last Market Sale Information

Recording/Sale Date : 06/08/2017 / 06/03/2017

School District : Chandler 80

Munic/Township : Gilbert

Neighbor Code : 26-009

Deed Type : Warranty Deed Sale Price : $110,000

Document # : 416231

Title Company : Fidelity Nat'l Title Agcy Inc

Seller Name : Gregan David W

Prior Sale Information

Prior Rec/Sale Date : 10/17/2012 / 10/08/2012

Prior Sale Price : $85,000

Property Information

Land Use : Residential Acreage Lot Acres : 1.22

Zoning : SF-43 Lot Size : 53,023

Price Per SqFt : $2.07

Prior Doc Number : 943174

Prior Deed Type : Warranty Deed

State Use : Vac-res-urban Non Subd

Customer
©
CoreLogic.
Customer Name : Chantel Cortez
Company Name : FIRST AMERICAN TITLE Prepared On : 06/12/2023
2023
All rights reserved
Tax Information Total Value : $174,700 Tax Year : 2022 Market Value : $174,700 Land Value : $174,700 Property Tax : $1,548.26 Current Assessed Year : 2024 Total Taxable Value : $15,476 Tax Rate Area : 800600 Current Year Total Value : $64,477 Assessed Year : 2022 Customer Name : Chantel Cortez Customer Company Name : FIRST AMERICAN TITLE Prepared On : 06/12/2023 © 2023 CoreLogic. All rights reserved

Customer Name : Chantel Cortez

Customer Company Name : FIRST AMERICAN TITLE Prepared On : 06/12/2023

© 2023 CoreLogic. All rights reserved

No street map for selected property.

Customer Name : Chantel Cortez

Customer Company Name : FIRST AMERICAN TITLE Prepared On : 06/12/2023 © 2023 CoreLogic. All rights reserved

2838 E WATFORD CT

Owner Name : Hasslacher Eric Recording Date : 06/05/2000

Sale Date : 03/14/2000

Total Value : $624,800

Bed / Bath : / 5

0.03 Miles

Sale Price  : $70,000

Property Tax : $4,551.22

Lot Acres : 1.24

Land Use : Sfr Living Area : 3,622

Stories : 1

Yr Blt / Eff Yr Blt  : 2012 / 2809 E COLDWATER BLVD

APN : 304-86-036-A

Owner Name : Sepulveda Jose K Recording Date : 12/31/2013

Sale Date : 12/21/2013

Sale Price  : $550,000

Total Value : $657,300 Property Tax : $4,751.40

Bed / Bath : / 6

Lot Acres : 0.76

Land Use : Sfr Living Area : 4,573

Stories : 1

Yr Blt / Eff Yr Blt  : 2013 / 2839 E COLDWATER BLVD

APN : 304-86-038-D

Owner Name : Oconnor Patrick F Recording Date : 10/31/2016

Sale Date : 10/27/2016 Sale Price  : $145,000

Total Value : $681,700

Bed / Bath : / 4

Land Use : Sfr

Stories : 1

0.06 Miles

Property Tax : $4,004.04

Lot Acres : 1.34

Living Area : 3,369

APN : 304-86-034

Yr Blt / Eff Yr Blt  : 2018 / 2858 E WATFORD CT Distance 0.06 Miles

Owner Name : Hartman Richard L

Sale Date : 02/15/2000

Total Value : $368,800

Bed / Bath : / 3

Land Use : Sfr

Stories : 1

Yr Blt / Eff Yr Blt  : 2001 /

Recording Date : 03/21/2000

Sale Price  : $70,000

Property Tax : $2,435.22

Lot Acres : 1.24

Living Area : 1,790

APN : 304-86-037-A

© 2023 CoreLogic. All rights reserved

Distance
Distance 0.06 Miles
Distance
Customer Name : Chantel Cortez Customer Company Name : FIRST AMERICAN TITLE Prepared On : 06/12/2023

2765 E GILLCREST RD Distance 0.06 Miles

Owner Name : Eggert Travis Subdivision : Adora Trails Prcl 7

Sale Date : 12/14/2022

Total Value : $382,700

Recording Date : 12/16/2022

Sale Price  : $625,000

Bed / Bath : / 3 Property Tax : $2,315.20

Land Use : Sfr

Lot Acres : 0.14

Stories : 2 Living Area : 2,936

Yr Blt / Eff Yr Blt : 2015 / APN : 313-19-025

2859 E COLDWATER BLVD Distance 0.08 Miles

Owner Name : Mcfarlane John

Sale Date : 05/16/2017

Recording Date : 05/17/2017

Sale Price  : $143,000

Total Value : $769,000 Property Tax : $3,880.26

Bed / Bath : / 5

Lot Acres : 1.33

Land Use : Sfr Living Area : 4,769

Stories : 2 APN : 304-86-035

Yr Blt / Eff Yr Blt  : 2018 /

7586 S CLAIBORNE AVE Distance 0.1 Miles

Owner Name : Montaverde Community Associati Property Tax : $5

Total Value : $500 Lot Acres : 1.69

Land Use : Open Space APN : 304-88-845

Subdivision  : Montaverde

2878 E WATFORD CT Distance 0.11 Miles

Owner Name : Scott W Buck

Sale Date : 11/19/2014

Recording Date : 12/11/2014

Sale Price  : $392,000

Total Value : $418,000 Property Tax : $2,913.62

Bed / Bath : / 3

Lot Acres : 1.04

Land Use : Sfr Living Area : 2,251

Stories : 1 APN : 304-86-127

Yr Blt / Eff Yr Blt  : 2000 /

Customer Name : Chantel
Customer Company Name : FIRST AMERICAN TITLE Prepared On : 06/12/2023 © 2023 CoreLogic. All rights reserved
Cortez

2888 E WATFORD CT Distance 0.11 Miles

Owner Name : Renaud Lyonel

Total Value : $609,600

Bed / Bath : / 5

Land Use : Sfr

Recording Date : 06/18/2004

Property Tax : $5,564.84

Lot Acres : 1.07

Living Area : 3,959

Stories : 1 APN : 304-86-019

Yr Blt / Eff Yr Blt  : 2006 /

2889 E COLDWATER BLVD Distance 0.11 Miles

Owner Name : Campbell James Evan

Sale Date : 06/08/2005

Total Value : $603,000

Bed / Bath : / 6

Land Use : Sfr

Recording Date : 06/14/2005

Sale Price  : $245,000

Property Tax : $4,879.06

Lot Acres : 1.02

Living Area : 3,609

Stories : 1 APN : 304-86-002-L

Yr Blt / Eff Yr Blt  : 2007 /

Customer Name : Chantel Cortez Customer Company Name : FIRST AMERICAN TITLE Prepared On : 06/12/2023 © 2023 CoreLogic. All rights reserved

Census Tract / block: 8172.00     Year: 2020

Household Population Population by Age Count: 8,289 0 - 11 Estimate Current Year: 9,622 12 - 17 Estimate in 5 Years: 17,467 18 - 24 9.9% Growth Last 5 Years: 16.06% 25 - 64 54.75% Growth Last 10 Years: -124.13% 65 - 74 4.52% 75+ Household Size Household Income Current Year: 2,607 0 - $25,000 11.43% Average Current Year: 3.18 $25,000 - $35,000 3.15% Estimate in 5 Years: 5,996 $35,000 - $50,000 2.72% Growth Last 5 Years: 22.09% $50,000 - $75,000 13.27% Growth Last 10 Years: 29.51% $75,000 - $100,000 9.09% Male Population: 51.98% Above $100,000 60.34% Female Population: 48.02% Average Household Income: $122,656 Married People: 65.82% Unmarried People: 34.18% Housing Median Mortgage Payments Home Values Under $300: 0% Below $100,000: 0% $300 - $799: 16.88% $100,000 - $150,000: 5.94% $800 - $1,999: 31.92% $150,000 - $200,000: 0.79% Over $2,000: 51.2% $200,000 - $300,000: 15.39% Median Home Value: $489,400 $300,000 - $500,000: 29.12% Unit Occupied Owner: 97.47% Above $500,000: 48.76% Median Mortgage: $1,634 Customer
Customer
Name : FIRST AMERICAN TITLE Prepared On : 06/12/2023 © 2023 CoreLogic. All rights reserved
Name : Chantel Cortez
Company
Rent Payments Year Built Unit Occupied Renter: 2.53% 1999 - 2000 Median Gross Rent: 1995 - 1998 Less Than $499 0% 1990 - 1994 $500 - $749 0% 1980 - 1989 10% $750 - $999 71.21% 1970 - 1979 3.04% $1000 and Over 28.79% 1900 - 1969 0.7% Education Enrollment Public Pre-Primary School: 0.53% Not Enrolled in School: 66.65% Private Pre-Primary School: 0.93% Not A High School Graduate: 10.52% Public School: 27.44% Graduate Of High School: 21.38% Private School: 5.91% Attended Some College: 18.58% Public College: 5.83% College Graduate: 32.21% Private College: 1.02% Graduate Degree: 17.3% Workforce Occupation: Manager/Prof: 41.19% Private Worker: 74.5% Technical: Government Worker: 11.02% Sales: 22.29% Self Employed Worker: 8.02% Administrative: Unpaid Family Worker: 2.56% Private House Hold: Farming: 10.29% Service: 13.79% Skilled: Protective Services: Blue-Collar: 22.73% Commute Time Less Than 15 Min: 16.47% 15 min - 28 min: 35.53% 30 min - 57 min: 43.52% Over 60 min: 4.47% Customer Name : Chantel Cortez Customer Company Name : FIRST AMERICAN TITLE Prepared On : 06/12/2023 © 2023 CoreLogic. All rights reserved

Customer Name : Chantel Cortez

Customer Company Name : FIRST AMERICAN TITLE Prepared On : 06/12/2023

© 2023 CoreLogic. All rights reserved

Customer Name : Chantel Cortez

Customer Company Name : FIRST AMERICAN TITLE Prepared On : 06/12/2023

© 2023 CoreLogic. All rights reserved

Customer Name : Chantel Cortez

Customer Company Name : FIRST AMERICAN TITLE Prepared On : 06/12/2023

© 2023 CoreLogic. All rights reserved

Sales Comparables

7 Comparable Properties Found

S Constellation Way, Queen Creek, AZ 85142 APN: 304-86-038-E Maricopa County Data as of: 06/06/2023
7657
Subject Property 7657 S Constellation Way, Queen Creek, AZ 85142 Search Criteria COMPARABLE PROPERTY SUMMARY
Sale Price / Type: $110,000 / For Sale: $575,000 Sale / Rec Date: 06/06/2017 / 06/08/2017 Year Built / Eff: Lot Area: 53,023 Sq Ft Bedrooms: Assessed Value: $174,700 Living Area: Baths (F / H): Land Use: Vacant -Residential Land Pool: Total Rooms: Owner Name: Reddy Ashwin M / Vedire Isha Mailing Address: 9830 E Thompson Peak Pkwy #910, Scottsdale, AZ 85255-6664 County: Maricopa Zoning: R-43 Stories: APN: 304-86-038-E Acres: 1 22 Roof Material: Subdivision: Cooling: Prior Sale Price: $85,000 Census Tct / Blk: 817200 / 4014 Fireplace: Prior Sale Date: 10/08/2012 1st Mtg / Type: Parking Type: Prior Rec Date: 10/17/2012 Res / Comm Units: Flood Zone Code: X Prior Sale Doc #: 2012 943174 # Months Back: 12 Distance From Subject: 1 5 mi Living Area Difference: 15.0 + / - Land Use: Same As Subject Subject Low Average High Price $575,000 $350,000 $1,109,114 $3,080,000 Living Area Price / Sq Ft Bedrooms Baths Lot Area 53,023 Sq Ft 20,586 Sq Ft 25,934 Sq Ft 43,590 Sq Ft Stories Year Built Distance 0 63 mi 0 76 mi 1 12 mi © 2023 DATA TRACE INFORMATION SERVICES LLC AND/OR ITS AFFILIATES. ALL RIGHTS RESERVED. PAGE 1 OF 5

Sales Comparables

7657 S Constellation Way, Queen Creek, AZ 85142 APN: 304-86-038-E Maricopa County Data as of: 06/06/2023 Subject Property
4 5 6 7 Report a map error # MI ST Address Sold Sold For Listed Listed At Sq Ft $ / Sq Ft Bds / Bths Lot Size Age 1 0 63 16820 E Hazeltine Way, Queen Creek, AZ 85142-8110 10/24/2022 $786,900 20,599 2 0 65 16832 E Hazeltine Way, Queen Creek, AZ 85142-8110 $875,000 20,587 3 0 67 16829 E Hazeltine Way, Queen Creek, AZ 85142-8110 11/04/2022 $786,900 20,586 4 0 67 16844 E Hazeltine Way, Queen Creek, AZ 85142-8110 11/02/2022 $1,100,000 20,587 5 0 69 16841 E Hazeltine Way, Queen Creek, AZ 85142-8110 $785,000 20,586 6 0 91 17100 E Sunnydale Dr #137, Queen Creek, AZ 85142-7702 02/04/2022 $350,000 43,590 7 1 12 7364 S Twilight Ct, Queen Creek, AZ 851421309 10/17/2019 $3,080,000 35,006 L: Listed R: REO RS: REO Sale SS: Short Sale D: Default A: Auction © 2023 DATA TRACE INFORMATION SERVICES LLC AND/OR ITS AFFILIATES. ALL RIGHTS RESERVED. PAGE 2 OF 5

Way,

Creek, AZ 85142-8110

Miele Anthony V / Beebe Anterre

16820 E Hazeltine Way, Queen Creek, AZ 85142-8110

AZ 85142-8110

Keishla Marie / Shuck Tanner Edward

Po Box 8127 #Pl, Scottsdale, AZ 85252-8127

AZ 85142-8110

Thomas Alexander / Moss Cassandra Daniell

16829 E Hazeltine Way, Queen Creek, AZ 85142-8110

16829
Type:
Sale / Rec Date: 10/24/2022
10/31/2022 Year Built / Eff: Lot Area: 20,599 Sq Ft Bedrooms: Assessed Value: $57,000 Living Area: Baths (F / H): Land Use: Vacant -Residential Land Pool: Total Rooms: Owner Name:
Mailing Address:
County: Maricopa Zoning: Stories: APN: 304-87-056-C Acres: 0 47 Roof Material: Subdivision: Cooling: Prior Sale Price: Census Tct / Blk: 816402 / 1019 Fireplace: Prior Sale Date: 1st Mtg / Type: $708,210 / Conventional Parking Type: Prior Rec Date: Res / Comm Units: Flood Zone Code: X Prior Sale Doc #: Sale Price / Type: $875,000 / Sale / Rec Date: / 12/07/2022 Year Built / Eff: Lot Area: 20,587 Sq. Ft. Bedrooms: Assessed Value: $56,900 Living Area: Baths (F / H): Land Use: Vacant -Residential Land Pool: Total Rooms: Owner Name:
Mailing Address:
County: Maricopa Zoning: Stories: APN: 304-87-056-B Acres: 0 47 Roof Material: Subdivision: Cooling: Prior Sale Price: Census Tct / Blk: 816402 / 1019 Fireplace: Prior Sale Date: 1st Mtg / Type: $525,000 / Conventional Parking Type: Prior Rec Date: Res / Comm Units: Flood Zone Code: X Prior Sale Doc #: Sale Price / Type: $786,900 / Sale / Rec Date: 11/04/2022 / 11/07/2022 Year Built / Eff: Lot Area: 20,586 Sq Ft Bedrooms: Assessed Value: $57,000 Living Area: Baths (F / H): Land Use: Vacant -Residential Land Pool: Total Rooms: Owner Name:
Mailing Address:
County: Maricopa Zoning: Stories: APN: 304-87-056-E Acres: 0 47 Roof Material: Subdivision: Cooling: Prior Sale Price: Census Tct / Blk: 816402 / 1019 Fireplace: Prior Sale Date: 1st Mtg / Type: $718,124 / Veterans Affairs Parking Type: Prior Rec Date: Res / Comm Units: Flood Zone Code: X Prior Sale Doc #: © 2023 DATA TRACE INFORMATION SERVICES LLC AND/OR ITS AFFILIATES. ALL RIGHTS RESERVED. PAGE 3 OF 5
Comp #1 - 0 63 Miles From Subject 16820 E Hazeltine
Queen
Comp #2 - 0 65 Miles From Subject 16832 E Hazeltine Way, Queen Creek,
Comp #3 - 0 67 Miles From Subject
E Hazeltine Way, Queen Creek,
Sale Price /
$786,900 /
/
Baez-Rivera
Moss

Comp #4 - 0 67 Miles From Subject

16844 E Hazeltine Way, Queen Creek, AZ 85142-8110

Sale Price /

Type: $1,100,000 /

16844 E Hazeltine Way, Queen Creek, AZ 85142-8110

17100

William / Goggia Katie L

Sale / Rec Date: 11/02/2022
Year Built / Eff: Lot Area: 20,587 Sq Ft Bedrooms: Assessed Value: $56,900 Living Area: Baths (F / H): Land Use: Vacant -Residential Land Pool: Total Rooms: Owner
Mailing Address:
County: Maricopa Zoning: Stories: APN: 304-87-056-D Acres: 0 47 Roof Material: Subdivision: Cooling: Prior Sale Price: Census Tct / Blk: 816402 / 1019 Fireplace: Prior Sale Date: 1st Mtg / Type: $880,000 / Conventional Parking Type: Prior Rec Date: Res / Comm Units: Flood Zone Code: X Prior Sale Doc #: Sale Price / Type: $785,000 / Sale / Rec Date: / 02/14/2023 Year Built / Eff: Lot Area: 20,586 Sq. Ft. Bedrooms: Assessed Value: $57,000 Living Area: Baths (F / H): Land Use: Vacant -Residential Land Pool: Total Rooms: Owner Name: Goggia
Mailing Address: 16841 E Hazeltine Way,
Comp #5 - 0 69 Miles From Subject 16841 E Hazeltine Way, Queen Creek, AZ 85142-8110 Comp #6 - 0 91 Miles From Subject County: Maricopa Zoning: Stories: APN: 304-87-056-F Acres: 0 47 Roof Material: Subdivision: Cooling: Prior Sale Price: Census Tct / Blk: 816402 / 1019 Fireplace: Prior Sale Date: 1st Mtg / Type: $615,000 / Conventional Parking Type: Prior Rec Date: Res / Comm Units: Flood Zone Code: X Prior Sale Doc #: Sale Price / Type: $350,000 / Sale / Rec Date: 02/04/2022 / 04/21/2023 Year Built / Eff: Lot Area: 43,590 Sq Ft Bedrooms: Assessed Value: $151,100 Living Area: Baths (F / H): Land Use: Vacant -Residential Land Pool: Total Rooms: Owner Name: Williamson Jonathan / Nichols Molly Mailing Address: 3474 E Turnberry Dr, Gilbert, AZ 85298-9117 County: Maricopa Zoning: M-H Stories: APN: 304-87-417-D Acres: 1 00 Roof Material: Subdivision: Cooling: Prior Sale Price: $370,000 Census Tct / Blk: 816400 / 2024 Fireplace: Prior Sale Date: 02/04/2022 1st Mtg / Type: $280,000 / Conventional Parking Type: Prior Rec Date: 03/18/2022 Res / Comm Units: Flood Zone Code: X Prior Sale Doc #: 2022 248010 © 2023 DATA TRACE INFORMATION SERVICES LLC AND/OR ITS AFFILIATES. ALL RIGHTS RESERVED. PAGE 4 OF 5
E Sunnydale Dr #137, Queen Creek, AZ 85142-7702
/ 11/04/2022
Name:
Pagnozzi Matthew T / Pagnozzi Melissa Maria
Queen Creek, AZ 85142-8110

Owner Name: Wesson Brandon Matthew / Wesson Stacy Kristen

Comp #7 - 1 12 Miles From Subject
$3,080,000
Sale
Rec Date: 10/17/2019
Year Built / Eff: Lot Area: 35,006 Sq Ft Bedrooms: Assessed Value: $200,700 Living Area: Baths (F / H): Land
Pool: Total Rooms:
County:
Zoning: R-15 Stories: APN:
Acres: 0 80 Roof Material: Subdivision:
Estates Cooling: Prior Sale Price: $555,000 Census Tct / Blk: 816400 / 2010 Fireplace: Prior Sale Date: 10/17/2019 1st Mtg / Type: $2,464,000 / Conventional Parking Type: Prior Rec Date: 10/22/2019 Res / Comm Units: Flood Zone Code: X Prior Sale Doc #: 2019 843324 © 2023 DATA TRACE INFORMATION SERVICES LLC AND/OR ITS AFFILIATES. ALL RIGHTS RESERVED. PAGE 5 OF 5
7364 S Twilight Ct, Queen Creek, AZ 85142-1309 Sale Price / Type:
/
/
/ 01/03/2023
Use: Vacant -Residential Land
Mailing Address: 7364 S Twilight Ct, Queen Creek, AZ 85142-1309
Maricopa
304-87-428
Santan Sunrise

Disclaimer:This report is not an insured product or service or a representation of the condition of title to real property. It is not an abstract, legal opinion,opinionoftitle,titleinsurance,commitmentorpreliminaryreport,oranyformoftitleinsuranceorguaranty.Estimatedpropertyvaluesare: (i) based on available data; (ii) are not guaranteed or warranted; (iii) do not constitute an appraisal; and (iv) should not be relied upon in lieu of an appraisal.This report is issued exclusively for the benefit of the applicant therefor, and may not be used or relied upon by any other person. This report may not be reproduced in any manner without the issuing party's prior written consent. The issuing party does not represent or warrant that the information herein is complete or free from error, and the information herein is provided without any warranties of any kind, as-is, and with all faults. As a material part of the consideration given in exchange for the issuance of this report, recipient agrees that the issuing party's sole liability for any loss or damage caused by an error or omission due to inaccurate information or negligence in preparing this report shall be limited to the fee charged for the report. Recipient accepts this report with this limitation and agrees that the issuing party would not have issued this report but forthelimitationofliability described above. Theissuingpartymakesnorepresentation orwarrantyastothelegality orpropriety ofrecipient's use oftheinformationherein.

Arizona Schools For detailed information and statistics on Arizona schools please go to https://azreportcards.azed.gov/ First American Title Insurance Company, and the operating divisions thereof, make no express or implied warranty respecting the information presented and assume no responsibility for errors or omissions. First American, the eagle logo, First American Title, and firstam.com are registered trademarks or trademarks of First American Financial Corporation and/or its affiliates. ©2021 First American Financial Corporation and/or its affiliates. All rights reserved. NYSE: FAF 05117910421

SEARCH PARAMETERS

PARCEL:  304-86-038E

PARCEL: 304-86-038E 3

OWNER: REDDY ASHWIN M& VEDIRE ISHA

SITUS: 7657 S CONSTELLATION WAY QUEEN CREEK

MAIL: 9830 E THOMPSON PEAK PKWY

SCOTTSDALE AZ 85255

SECTION: 34 TWP 2S RNG 6E

LEGAL: THAT POR SE4 SEC 34 DAF COM AT CTR QTR COR SD SEC TH E 182.47F TH S 271.76F TO TPOB TH S 391.81F TH W 182.66F TH N 391.95F TH E 182.55F TO TPOB EX ANY PT LY W/I EAST WATFORD COURT MOD MCR 993-03 & EX THAT POR SD SEC DAF COM AT CTR QTR COR OF SD SEC TH S 271.76F TO POB TH E 40F TH S 391.92F TH W 40F TH N 391.95F TO POB P/F 15-0429280  CURRENT TAXES

ADDITIONAL PROPERTY INFORMATION

STANDARD LAND USE:

END SEARCH

INFORMATION THROUGH 06/02/2023

MARICOPA, AZ 06/12/2023  12:17PM  NKFE  INVESTIGATIVE SEARCH RESULTS PAGE 1 OF 1
+ FIRST AMERICAN TITLE, FC0, CCOR
INSTRUMENT REC DATE
2017 416231 06/08/2017
LAND IMPR EXEMPT RATE AREA SPECIAL DISTRICTS PRIMARY  15,476  0  0  5.8612  800600  30001  SECONDARY  26,205  0  0  4.1431  2022 TOTAL TAX BILLED 1,548.26 2022  TAX AMT TAX DUE INTEREST DATE PAID TOTAL DUE FIRST HALF  774.13  0.00  0.00  11/18/2022  0.00  SECOND HALF  774.13  0.00  0.00  11/18/2022  0.00  TOTAL CURRENT TAXES DUE 06/23 0.00 07/23 0.00 IMPROVEMENTS LAND USE  00 12 LAND FULL CASH VALUE  174,700 LOT SIZE  1.217 ACRES IMPROV FULL CASH VALUE  0 SCHOOL DISTRICT  800600 SALES SALE DATE SALE AMOUNT INSTRUMENT TYPE SELLER NAME VALIDITY 06/08/2017 110,000    2017 416231 WD GREGAN DAVID W & JANELLE R
RESIDENTIAL LOT

We are providing the requested information without CC&Rs. Unfortunately, we are unable to confirm CC&Rs at this time, possibly because:

 The property is too complex to obtain CC&Rs without a complete title examination

 The property is sectional, whereas there are no “standard” subdivision‐type restrictions

 A recorded plat may not exist

 The recorded plat may be older, with limited information available, or

 Recorded CC&Rs may not exist.

Once escrow is opened, the property will be thoroughly examined. CC&Rs and other matters that may “run with the land” will be disclosed in Schedule B of the Commitment for Title Insurance.

If you have questions, or need additional information at this time, please contact your First American or Title Security Account Manager or Escrow Officer.

Turn static files into dynamic content formats.

Create a flipbook
Issuu converts static files into: digital portfolios, online yearbooks, online catalogs, digital photo albums and more. Sign up and create your flipbook.