Cochise 101-37-097

Page 1

Data Provided By: First American Title Ins Co

Subject Property AZ APN: 101-37-097
© 2023 CoreLogic. All rights reserved

LIMITATION OF LIABILITY FOR INFORMATIONAL REPORTS

IMPORTANT -- PLEASE READ CAREFULLY:

This report is not an insured product or service or a representation of the condition of title to real property. It is not an abst ract, legal opinion, opinion of title, title insurance commitment or preliminary report, or any form of Title Insurance or Guaranty. This report is issued exclusively for the benefit of the Applicant therefor and may not be used or relied upon by any other person. This report may not be reproduced in any manner without First American or Title Security's prior written consent. First American or Title Security does not represent or warrant that the information herein is complete or free from error, and the information herein is provided without any warranties of any kind, as-is, and with all faults. As a material part of the consideration given in exchange for the issuance of this report, recipient agrees that First American or Title Security's sole liability for any loss or damage caused by an error or omission due to inaccurate information or negligence in preparing this report shall be limited to the fee charged for the report. Recipient accepts this report with this limitation and agrees that First American or Title Security would not have issued this report but for the limitation of liability described above. First American or Title Security makes no representation or warranty as to the legality or propriety of recipient's use of the information herein.

Disclaimer

This REiSource report is provided "as is" without warranty of any kind, either express or implied, including without limitations any warrantees of merchantability or fitness for a particular purpose. There is no representation of warranty that this information is complete or free from error, and the provider does not assume, and expressly disclaims, any liability to any person or entity for loss or damage caused by errors or omissions in this REiSource report without a title insurance policy.

The information contained in the REiSource report is delivered from your Title Company, who reminds you that you have the right as a consumer to compare fees and serviced levels for Title, Escrow, and all other services associated with property ownership, and to select providers accordingly. Your home is the largest investment you will make in your lifetime and you should demand the very best.

Data Provided By: First American Title Ins Co
© 2023 CoreLogic. All rights reserved

Subject Property :    AZ

Owner Information

Owner Name : Adams Peggy / Nacker Robert

Mailing Address : 85 Hughes Ave, Lawrenceville NJ 08648-3765 C090

Location Information

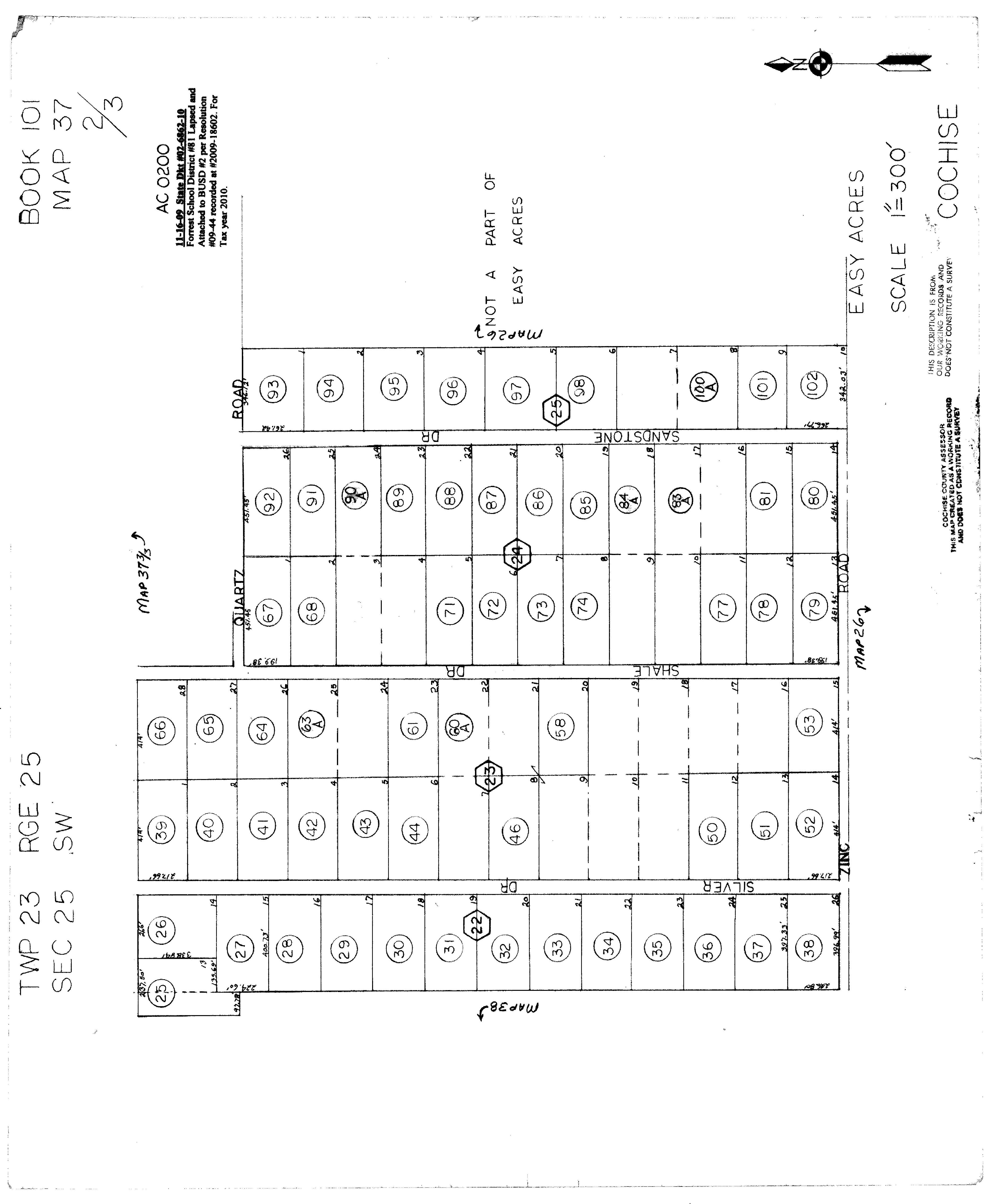
Legal Description : Easy Acres Lot 5 Blk 25

County : Cochise, Az

Census Tract / Block : 11.00 / 1

Legal Lot : 5

Legal Block : 25

Last Market Sale Information

Recording/Sale Date : 06/22/2007 / 06/00/2007

Sale Price : $32,000

Seller Name : Adams Michael C

Prior Sale Information

Prior Rec/Sale Date : 11/04/2005 / 10/25/2005

Prior Sale Price : $38,000

Prior Doc Number : 1142830

APN : 101-37-097

Subdivision : Easy Acres

Munic/Township : Bisbee

Document # : 620982

Deed Type : Warranty Deed

Prior Deed Type : Warranty Deed

Prior Lender : Private Individual

Prior 1st Mtg Amt/Type : $28,000 / Private Party

Use : Residential Lot Lot Acres : 1.00 State Use : Vacant-
RU-4 Lot Size : 43,560
Property Information Land
residential Zoning :
Tax Year : 2022 Current Assessed Year :
Value :
Property Tax : $53.56 Current Year Total Value :
Taxable
Tax Rate Area : 0200 Current Year Land Value :
Market Value :
02/15/2023 © 2023 CoreLogic. All rights reserved
Tax Information Total Value : $3,500
2023 Land
$3,500
$525 Total
Value : $525
$525 Assessed Year : 2022
$3,500 Customer Name : Jeremiah Stiffler Customer Company Name : First American Prepared On :

Sales Comparables

9 Comparable Properties Found

APN: 101-37-097 Cochise County Data as of: 02/09/2023
Subject Property Search Criteria
PROPERTY SUMMARY
COMPARABLE
Sale Price / Type: $32,000 / Confirmed Sale / Rec Date: 06/19/2007 / 06/22/2007 Year Built / Eff: Lot Area: 43,560 Sq Ft Bedrooms: Assessed Value: $525 Living Area: Baths (F / H): 0 / Land Use: Vacant -Residential Land Pool: Total Rooms: Owner Name: Adams Peggy / Nacker Robert Mailing Address: 85 Hughes Ave, Lawrence Township, NJ 08648-3765 County: Cochise Zoning: Stories: APN: 101-37-097 Acres: 2 00 Roof Material: Subdivision: Easy Acres Cooling: Prior Sale Price: $38,000 Census Tct / Blk: Fireplace: Prior Sale Date: 10/25/2005 1st Mtg / Type: $0 / Parking Type: Prior Rec Date: 11/04/2005 Res / Comm Units: Flood Zone Code: X Prior Sale Doc #: 2005 42830 # Months Back: 12 Distance From Subject: 9 75 mi Living Area Difference: 15 0 + / - Land Use: Same As Subject Subject Low Average High Price $32,000 $15,500 $38,922 $67,500 Living Area 1,183 1,183 1,183 Price / Sq Ft $14 $14 $14 Bedrooms Baths 0 0 0 Lot Area 43,560 Sq Ft 0 Sq Ft 18,013 Sq Ft 43,560 Sq Ft Stories 1 1 1 Year Built 1906 1906 1906 Distance 6 30 mi 8 48 mi 9 73 mi © 2023 DATA TRACE INFORMATION SERVICES LLC AND/OR ITS AFFILIATES. ALL RIGHTS RESERVED. PAGE 1 OF 5

Sales Comparables

APN: 101-37-097 Cochise County Data as of: 02/09/2023 s S
1 2 4 5 9 Report a map error # MI ST Address Sold Sold For Listed Listed At Sq Ft $ / Sq Ft Bds / Bths Lot Size Age 1 6 30 07/05/2022 $52,800 8,996 2 6 81 $26,000 43,560 3 7 66 104 B St, Bisbee, AZ 85603-1008 08/18/2022 $16,000 1,183 $14 43,560 117 4 7 68 103 B St, Bisbee, AZ 85603-1007 07/22/2022 $16,000 6,970 5 9 03 $15,500 6,323 6 9 70 09/21/2022 $47,500 43,560 7 9 71 05/25/2022 $54,000 5,227 8 9 72 06/01/2022 $55,000 3,920 9 9 73 05/09/2022 $67,500 0 L: Listed R: REO RS: REO Sale SS: Short Sale D: Default A: Auction © 2023 DATA TRACE INFORMATION SERVICES LLC AND/OR ITS AFFILIATES. ALL RIGHTS RESERVED. PAGE 2 OF 5
#1 - 6 30 Miles From Subject Comp #2 - 6 81 Miles From Subject Comp #3 - 7 66 Miles From Subject 104 B St, Bisbee, AZ 85603-1008 Sale Price / Type: $52,800 / Sale / Rec Date: 07/05/2022 / 07/15/2022 Year Built / Eff: Lot Area: 8,996 Sq Ft Bedrooms: Assessed Value: $76 Living Area: Baths (F / H): 0 / Land Use: Vacant -Residential Land Pool: Total Rooms: Owner Name: Horikawa Kanetomo / Horikawa Asako S Mailing Address: 83 Belhaven Ave #127, Daly City, CA 94015-3944 County: Cochise Zoning: Stories: APN: 407-73-395 Acres: 0 21 Roof Material: Subdivision: Cochise Cooling: Prior Sale Price: Census Tct / Blk: Fireplace: Prior Sale Date: 1st Mtg / Type: Parking Type: Prior Rec Date: 12/02/1993 Res / Comm Units: Flood Zone Code: X Prior Sale Doc #: Sale Price / Type: $26,000 / Sale / Rec Date: / 11/15/2022 Year Built / Eff: Lot Area: 43,560 Sq Ft Bedrooms: Assessed Value: $2,029 Living Area: Baths (F / H): 0 / Land Use: Vacant -Residential Land Pool: Total Rooms: Owner Name: Maran Jessie
Mailing Address: Po Box 5065 #St, Portland, OR 97208-5065 County: Cochise Zoning: Stories: APN: 101-11-112A Acres: 1 00 Roof Material: Subdivision: Warren Townsite Cooling: Prior Sale Price: $17,500 Census Tct / Blk: Fireplace: Prior Sale Date: 11/11/2021 1st Mtg / Type: Parking Type: Prior Rec Date: 11/15/2021 Res / Comm Units: Flood Zone Code: X Prior Sale Doc #: 2021 30151 Sale Price / Type: $16,000 / Sale / Rec Date: 08/18/2022 / 08/30/2022 Year Built / Eff: 1906 / Lot Area: 43,560 Sq Ft Bedrooms: Assessed Value: $1,260 Living Area: 1,183 Sq Ft Baths (F / H): 0 / Land Use: Vacant -Residential Land Pool: Total Rooms: Owner Name: McKee Kevin Mailing Address: 114 E Palmdale St #2, Tucson, AZ 85714-1865 County: Cochise Zoning: Stories: 1 APN: 103-68-019A Acres: 1 00 Roof Material: Composition Subdivision: Saginaw Addition Cooling: Refrigeration Prior Sale Price: $25,000 Census Tct / Blk: 001100 / 1059 Fireplace: Prior Sale Date: 1st Mtg / Type: Parking Type: Prior Rec Date: 03/14/1988 Res / Comm Units: 1 / Flood Zone Code: X Prior Sale Doc #: © 2023 DATA TRACE INFORMATION SERVICES LLC AND/OR ITS AFFILIATES. ALL RIGHTS RESERVED. PAGE 3 OF 5
Comp
/ Helmick Catherine

1286 E Jefferson Rd, Huachuca City, AZ 85616-8117

Mario V / Valenzuela Rebecca A

11871 N 76th Ln, Peoria, AZ 85345-8292

Comp
03 Miles From Subject Comp #6
From Subject Sale Price / Type:
Sale / Rec Date: 07/22/2022
Year Built / Eff: Lot Area: 6,970 Sq Ft Bedrooms: Assessed Value: $1,260 Living Area: Baths (F / H): 0 / Land Use: Vacant -Residential Land Pool: Total Rooms: Owner Name:
Mailing
County:
Zoning: Stories: APN: 103-68-127 Acres: 0 16 Roof Material: Subdivision: Saginaw
Cooling: Prior Sale Price: $1,500 Census Tct / Blk: 001100 / 1058 Fireplace: Prior Sale Date: 1st Mtg / Type: Parking Type: Prior Rec Date: 10/20/1989 Res / Comm Units: Flood Zone Code: X Prior Sale Doc #: Sale Price / Type: $15,500 / Sale / Rec Date: / 08/10/2022 Year Built / Eff: Lot Area: 6,323 Sq Ft Bedrooms: Assessed Value: $3,150 Living Area: Baths (F / H): 0 / Land Use: Vacant -Residential Land Pool: Total Rooms: Owner Name:
Mailing Address:
County: Cochise Zoning: Stories: APN: 102-15-135 Acres: 0 14 Roof Material: Subdivision: Sierra Bonita Estates Cooling: Prior Sale Price: $28,900 Census Tct / Blk: Fireplace: Prior Sale Date: 1st Mtg / Type: Parking Type: Prior Rec Date: 05/31/2005 Res / Comm Units: Flood Zone Code: X Prior Sale Doc #: 2005 19189 Sale Price / Type: $47,500 / Sale / Rec Date: 09/21/2022 / 09/30/2022 Year Built / Eff: Lot Area: 43,560 Sq Ft Bedrooms: Assessed Value: $1,680 Living Area: Baths (F / H): Land Use: Vacant -Residential Land Pool: Total Rooms: Owner Name: Tamara Thomas Trust / Thomas Tamara Mailing Address: Po Box 1327 #322, Bisbee, AZ 85603-2327 County: Cochise Zoning: Stories: APN: 103-63-135B Acres: 1 00 Roof Material: Subdivision: Cooling: Prior Sale Price: Census Tct / Blk: Fireplace: Prior Sale Date: 1st Mtg / Type: Parking Type: Prior Rec Date: Res / Comm Units: Flood Zone Code: X Prior Sale Doc #: © 2023 DATA TRACE INFORMATION SERVICES LLC AND/OR ITS AFFILIATES. ALL RIGHTS RESERVED. PAGE 4 OF 5
Comp #4 - 7 68 Miles From Subject 103 B St, Bisbee, AZ 85603-1007
#5 - 9
- 9 70 Miles
$16,000 /
/ 07/25/2022
Ulmer Brian
Address:
Cochise
Addition
Valenzuela
#7 - 9 71 Miles From Subject Comp #8 - 9 72 Miles From Subject Comp #9 - 9 73 Miles From Subject Sale Price / Type: $54,000 / Sale / Rec Date: 05/25/2022 / 06/03/2022 Year Built / Eff: Lot Area: 5,227 Sq Ft Bedrooms: Assessed Value: $4,200 Living Area: Baths (F / H): Land Use: Vacant -Residential Land Pool: Total Rooms: Owner Name: Brewery Horse LLC Mailing Address: Po Box 325, Wrightsville, PA 17368-325 County: Cochise Zoning: Stories: APN: 103-63-139D Acres: 0 12 Roof Material: Subdivision: Cooling: Prior Sale Price: $297,000 Census Tct / Blk: Fireplace: Prior Sale Date: 05/19/2022 1st Mtg / Type: Parking Type: Prior Rec Date: 05/23/2022 Res / Comm Units: Flood Zone Code: Prior Sale Doc #: 2022 12700 Sale Price / Type: $55,000 / Sale / Rec Date: 06/01/2022 / 06/03/2022 Year Built / Eff: Lot Area: 3,920 Sq Ft Bedrooms: Assessed Value: $4,200 Living Area: Baths (F / H): Land Use: Vacant -Residential Land Pool: Total Rooms: Owner Name: Brewery Horse LLC Mailing Address: Po Box 325, Wrightsville, PA 17368-325 County: Cochise Zoning: Stories: APN: 103-63-139C Acres: 0 90 Roof Material: Subdivision: Cooling: Prior Sale Price: Census Tct / Blk: Fireplace: Prior Sale Date: 1st Mtg / Type: Parking Type: Prior Rec Date: Res / Comm Units: Flood Zone Code: Prior Sale Doc #: Sale Price / Type: $67,500 / Sale / Rec Date: 05/09/2022 / 05/12/2022 Year Built / Eff: Lot Area: 0 Sq Ft Bedrooms: Assessed Value: $2,205 Living Area: Baths (F / H): Land Use: Vacant -Residential Land Pool: Total Rooms: Owner Name: Bennett Street LLC Mailing Address: Po Box 892, Bisbee, AZ 85603-892 County: Cochise Zoning: Stories: APN: 103-63-174A Acres: 0 00 Roof Material: Subdivision: Cooling: Prior Sale Price: Census Tct / Blk: Fireplace: Prior Sale Date: 1st Mtg / Type: Parking Type: Prior Rec Date: Res / Comm Units: Flood Zone Code: X Prior Sale Doc #: © 2023 DATA TRACE INFORMATION SERVICES LLC AND/OR ITS AFFILIATES. ALL RIGHTS RESERVED. PAGE 5 OF 5
Comp

Disclaimer:This report is not an insured product or service or a representation of the condition of title to real property. It is not an abstract, legal opinion,opinionoftitle,titleinsurance,commitmentorpreliminaryreport,oranyformoftitleinsuranceorguaranty.Estimatedpropertyvaluesare: (i) based on available data; (ii) are not guaranteed or warranted; (iii) do not constitute an appraisal; and (iv) should not be relied upon in lieu of an appraisal.This report is issued exclusively for the benefit of the applicant therefor, and may not be used or relied upon by any other person. This report may not be reproduced in any manner without the issuing party's prior written consent. The issuing party does not represent or warrant that the information herein is complete or free from error, and the information herein is provided without any warranties of any kind, as-is, and with all faults. As a material part of the consideration given in exchange for the issuance of this report, recipient agrees that the issuing party's sole liability for any loss or damage caused by an error or omission due to inaccurate information or negligence in preparing this report shall be limited to the fee charged for the report. Recipient accepts this report with this limitation and agrees that the issuing party would not have issued this report but forthelimitationofliability described above. Theissuingpartymakesnorepresentation orwarrantyastothelegality orpropriety ofrecipient's use oftheinformationherein.

Customer Name : Jeremiah Stiffler

Customer Company Name : First American Prepared On : 02/15/2023

© 2023 CoreLogic. All rights reserved

No street map for selected property.

Customer Name : Jeremiah Stiffler

Customer Company Name : First American Prepared On : 02/15/2023

© 2023 CoreLogic. All rights reserved

Arizona Schools For detailed information and statistics on Arizona schools please go to https://azreportcards.azed.gov/ First American Title Insurance Company, and the operating divisions thereof, make no express or implied warranty respecting the information presented and assume no responsibility for errors or omissions. First American, the eagle logo, First American Title, and firstam.com are registered trademarks or trademarks of First American Financial Corporation and/or its affiliates. ©2021 First American Financial Corporation and/or its affiliates. All rights reserved. NYSE: FAF 05117910421

Customer Name : Jeremiah Stiffler

Customer Company Name : First American Prepared On : 02/15/2023

© 2023 CoreLogic. All rights reserved

No local schools data for selected property.
Local Business Attractions / Recreation Name Address Telephone Distance (Miles) Desert Oasis Campground Llc 5311 W Double Adobe Rd Mc Neal Az (520) 979-6650 4.32 W Double Inc 5057 W Double Adobe Rd Mc Neal Az (520) 364-4000 4.55 Eating / Drinking Name Address Telephone Distance (Miles) Copper Rainbow Bistro Llc 5311 W Double Adobe Rd Mc Neal Az (520) 979-6650 4.32 Customer Name : Jeremiah Stiffler Customer Company Name : First American Prepared On : 02/15/2023 © 2023 CoreLogic. All rights reserved

4885 N

Owner Name : Junipero Properties Llc

Sale Date : 10/06/2015

Total Value : $2,660

Land Use : Residential (nec)

Distance 0.1 Miles

Recording Date : 10/19/2015

Sale Price  : $14,000

Property Tax : $40.70

Lot Acres : 1.00

Subdivision : Easy Acres APN : 101-37-095

DR Distance 0.12 Miles

Owner Name : Basgen Stephen

Sale Date : 03/24/2022

Total Value : $73,485

Land Use : Mobile Home Lot

Yr Blt / Eff Yr Blt : 2007 /

Recording Date : 04/18/2022

Sale Price  : $175,000

Property Tax : $200.16

Lot Acres : 4.18

Living Area : 2,128

Subdivision : Easy Acres APN : 101-37-100A

1 CAMPBELL AVE # C SANDSTONE
On
02/15/2023 © 2023 CoreLogic. All rights reserved
Customer Name : Jeremiah Stiffler Customer Company Name
: First American Prepared
:
Census Tract / block: 11.00 / 1     Year: 2018 Household Population Population by Age Count: 3,186 0 - 11 Estimate Current Year: 2,993 12 - 17 Estimate in 5 Years: 2,329 18 - 24 3.86% Growth Last 5 Years: -12.9% 25 - 64 45.1% Growth Last 10 Years: -123.36% 65 - 74 19.99% 75+ Household Size Household Income Current Year: 1,477 0 - $25,000 33.04% Average Current Year: 2.13 $25,000 - $35,000 17.2% Estimate in 5 Years: 1,068 $35,000 - $50,000 17.87% Growth Last 5 Years: -5.21% $50,000 - $75,000 14.15% Growth Last 10 Years: -3.55% $75,000 - $100,000 7.04% Male Population: 45.39% Above $100,000 10.7% Female Population: 54.61% Average Household Income: $34,821 Married People: 48.23% Unmarried People: 51.77% Housing Median Mortgage Payments Home Values Under $300: 20.87% Below $100,000: 43.85% $300 - $799: 45.1% $100,000 - $150,000: 32.6% $800 - $1,999: 33.08% $150,000 - $200,000: 17.5% Over $2,000: 0.96% $200,000 - $300,000: 3.85% Median Home Value: $107,200 $300,000 - $500,000: 2.02% Unit Occupied Owner: 70.41% Above $500,000: 0.19% Median Mortgage: $580
Customer Name : Jeremiah Stiffler
©
Customer Company Name : First American Prepared On : 02/15/2023
2023 CoreLogic. All rights reserved
Rent Payments Year Built Unit Occupied Renter: 29.59% 1999 - 2000 Median Gross Rent: $793 1995 - 1998 Less Than $499 1.95% 1990 - 1994 $500 - $749 45.4% 1980 - 1989 2.55% $750 - $999 33.43% 1970 - 1979 5.89% $1000 and Over 19.22% 1900 - 1969 84.83% Education Enrollment Public Pre-Primary School: 0.48% Not Enrolled in School: 80.04% Private Pre-Primary School: 0.38% Not A High School Graduate: 15.43% Public School: 18.71% Graduate Of High School: 26.49% Private School: 1.24% Attended Some College: 24.86% Public College: 1.94% College Graduate: 24.45% Private College: 0% Graduate Degree: 8.77% Workforce Occupation: Manager/Prof: 28.71% Private Worker: 52.63% Technical: Government Worker: 28.08% Sales: 27.81% Self Employed Worker: 7.7% Administrative: Unpaid Family Worker: 9.06% Private House Hold: Farming: 6.88% Service: 23.91% Skilled: Protective Services: Blue-Collar: 19.57% Commute Time Less Than 15 Min: 49.42% 15 min - 28 min: 23.12% 30 min - 57 min: 26.4% Over 60 min: 1.06% Customer Name : Jeremiah Stiffler Customer Company Name : First American Prepared On : 02/15/2023 © 2023 CoreLogic. All rights reserved

Customer Name : Jeremiah Stiffler

Customer Company Name : First American Prepared On : 02/15/2023

© 2023 CoreLogic. All rights reserved

Customer Name : Jeremiah Stiffler

Customer Company Name : First American Prepared On : 02/15/2023

© 2023 CoreLogic. All rights reserved

Customer Name : Jeremiah Stiffler

Customer Company Name : First American Prepared On : 02/15/2023

© 2023 CoreLogic. All rights reserved

SEARCHED BY: + FIRST AMERICAN TITLE,FC0,JSTI

SEARCHED DATE: 02/15/2023 02:49 PM PST,R9C8

PARCEL:  101-37-097

PARCEL: 101-37-097

SITUS: 3234 DESERT STORM

MAIL: 85 HUGHES AVE LAWRENCEVILLE NJ 08648-3765

LEGAL: EASY ACRES LOT 5 BLK 25

CURRENT OWNER(S)

ADAMS PEGGY ACQ DATE: 2007-06-22

NACKER ROBERT

ADDITIONAL PROPERTY INFORMATION

STANDARD LAND USE: RESIDENTIAL LOT

END SEARCH

DOC#:  2007 20982

PAGE 1 OF 1
INVESTIGATIVE SEARCH RESULTS COCHISE, AZ
COCHISE, AZ Document:DED WAR 2005.42830 Page:1 of 2 Printed on:2/15/2023 3:55 PM Branch :FC0 User :JSTI
COCHISE, AZ Document:DED WAR 2005.42830 Page:2 of 2 Printed on:2/15/2023 3:55 PM Branch :FC0 User :JSTI
COCHISE, AZ Document:DED WAR 2007.20982 Page:1 of 4 Printed on:2/15/2023 3:55 PM Branch :FC0 User :JSTI
COCHISE, AZ Document:DED WAR 2007.20982 Page:2 of 4 Printed on:2/15/2023 3:55 PM Branch :FC0 User :JSTI
COCHISE, AZ Document:DED WAR 2007.20982 Page:3 of 4 Printed on:2/15/2023 3:55 PM Branch :FC0 User :JSTI
COCHISE, AZ Document:DED WAR 2007.20982 Page:4 of 4 Printed on:2/15/2023 3:55 PM Branch :FC0 User :JSTI
COCHISE, AZ Document:DED JTN 2015.19016 Page:1 of 3 Printed on:2/15/2023 3:55 PM Branch :FC0 User :JSTI
COCHISE, AZ Document:DED JTN 2015.19016 Page:2 of 3 Printed on:2/15/2023 3:55 PM Branch :FC0 User :JSTI
COCHISE, AZ Document:DED JTN 2015.19016 Page:3 of 3 Printed on:2/15/2023 3:55 PM Branch :FC0 User :JSTI

Turn static files into dynamic content formats.

Create a flipbook
Issuu converts static files into: digital portfolios, online yearbooks, online catalogs, digital photo albums and more. Sign up and create your flipbook.