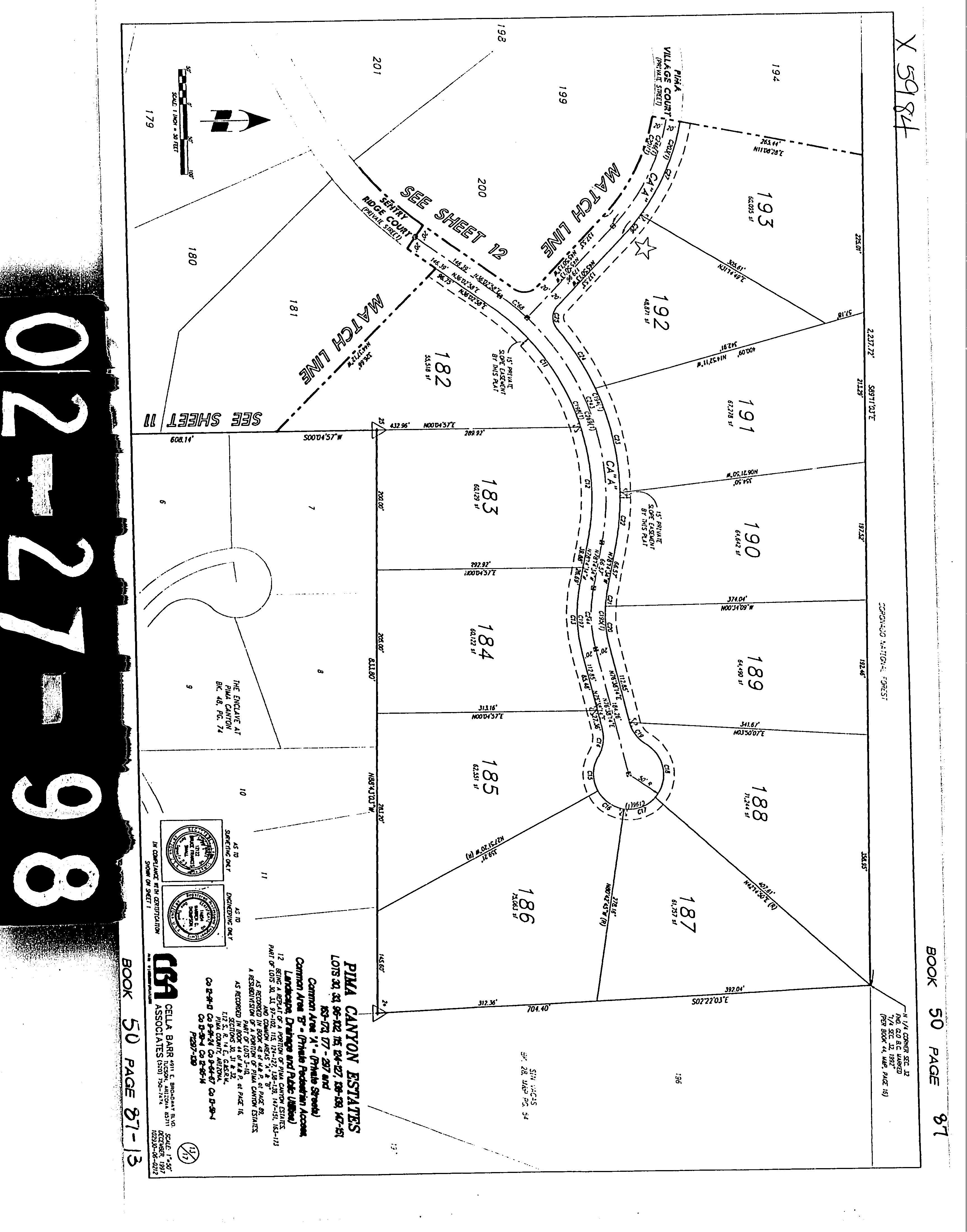
7964 N. Pima Village Court

Page 1

©2021 First American Financial Corporation and/or its affiliates. All rights reserved. | NYSE: FAF 05252610821 COVENANTS, CONDITIONS & RESTRICTIONS prepared for : First American Title Insurance Company, and the operating divisions thereof, make no express or implied warranty respecting the information presented and assume no responsibility for errors or omissions. First American, the eagle logo, First American Title, and firstam.com are registered trademarks or trademarks of First American Financial Corporation and/or its affiliates.

LIMITATION OF LIABILITY FOR INFORMATIONAL REPORTS

IMPORTANT -- PLEASE READ CAREFULLY:

This report is not an insured product or service or a representation of the condition of title to real property. It is not an abst ract, legal opinion, opinion of title, title insurance commitment or preliminary report, or any form of Title Insurance or Guaranty. This report is issued exclusively for the benefit of the Applicant therefor and may not be used or relied upon by any other person. This report may not be reproduced in any manner without First American or Title Security's prior written consent. First American or Title Security does not represent or warrant that the information herein is complete or free from error, and the information herein is provided without any warranties of any kind, as-is, and with all faults. As a material part of the consideration given in exchange for the issuance of this report, recipient agrees that First American or Title Security's sole liability for any loss or damage caused by an error or omission due to inaccurate information or negligence in preparing this report shall be limited to the fee charged for the report. Recipient accepts this report with this limitation and agrees that First American or Title Security would not have issued this report but for the limitation of liability described above. First American or Title Security makes no representation or warranty as to the legality or propriety of recipient's use of the information herein.

Page 1 of 18 07/19/2023 11:38 AM
Page 2 of 18 07/19/2023 11:38 AM
Page 3 of 18 07/19/2023 11:38 AM
Page 4 of 18 07/19/2023 11:38 AM
Page 5 of 18 07/19/2023 11:38 AM
Page 6 of 18 07/19/2023 11:38 AM
Page 7 of 18 07/19/2023 11:38 AM
Page 8 of 18 07/19/2023 11:38 AM
Page 9 of 18 07/19/2023 11:38 AM
Page 10 of 18 07/19/2023 11:38 AM
Page 11 of 18 07/19/2023 11:38 AM
Page 12 of 18 07/19/2023 11:38 AM
Page 13 of 18 07/19/2023 11:38 AM
Page 14 of 18 07/19/2023 11:38 AM
Page 15 of 18 07/19/2023 11:38 AM
Page 16 of 18 07/19/2023 11:38 AM
Page 17 of 18 07/19/2023 11:38 AM
Page 18 of 18 07/19/2023 11:38 AM
Page 1 of 54 05/20/2014 9:57 AM
Page 2 of 54 05/20/2014 9:57 AM
Page 3 of 54 05/20/2014 9:57 AM
Page 4 of 54 05/20/2014 9:57 AM
Page 5 of 54 05/20/2014 9:57 AM
Page 6 of 54 05/20/2014 9:57 AM
Page 7 of 54 05/20/2014 9:57 AM
Page 8 of 54 05/20/2014 9:57 AM
Page 9 of 54 05/20/2014 9:57 AM
Page 10 of 54 05/20/2014 9:57 AM
Page 11 of 54 05/20/2014 9:57 AM
Page 12 of 54 05/20/2014 9:57 AM
Page 13 of 54 05/20/2014 9:57 AM
Page 14 of 54 05/20/2014 9:57 AM
Page 15 of 54 05/20/2014 9:57 AM
Page 16 of 54 05/20/2014 9:57 AM
Page 17 of 54 05/20/2014 9:57 AM
Page 18 of 54 05/20/2014 9:57 AM
Page 19 of 54 05/20/2014 9:57 AM
Page 20 of 54 05/20/2014 9:57 AM
Page 21 of 54 05/20/2014 9:57 AM
Page 22 of 54 05/20/2014 9:57 AM
Page 23 of 54 05/20/2014 9:57 AM
Page 24 of 54 05/20/2014 9:57 AM
Page 25 of 54 05/20/2014 9:57 AM
Page 26 of 54 05/20/2014 9:57 AM
Page 27 of 54 05/20/2014 9:57 AM
Page 28 of 54 05/20/2014 9:57 AM
Page 29 of 54 05/20/2014 9:57 AM
Page 30 of 54 05/20/2014 9:57 AM
Page 31 of 54 05/20/2014 9:57 AM
Page 32 of 54 05/20/2014 9:57 AM
Page 33 of 54 05/20/2014 9:57 AM
Page 34 of 54 05/20/2014 9:57 AM
Page 35 of 54 05/20/2014 9:57 AM
Page 36 of 54 05/20/2014 9:57 AM
Page 37 of 54 05/20/2014 9:57 AM
Page 38 of 54 05/20/2014 9:57 AM
Page 39 of 54 05/20/2014 9:57 AM
Page 40 of 54 05/20/2014 9:57 AM
Page 41 of 54 05/20/2014 9:57 AM
Page 42 of 54 05/20/2014 9:57 AM
Page 43 of 54 05/20/2014 9:57 AM
Page 44 of 54 05/20/2014 9:57 AM
Page 45 of 54 05/20/2014 9:57 AM
Page 46 of 54 05/20/2014 9:57 AM
Page 47 of 54 05/20/2014 9:57 AM
Page 48 of 54 05/20/2014 9:57 AM
Page 49 of 54 05/20/2014 9:57 AM
Page 50 of 54 05/20/2014 9:57 AM
Page 51 of 54 05/20/2014 9:57 AM
Page 52 of 54 05/20/2014 9:57 AM
Page 53 of 54 05/20/2014 9:57 AM
Page 54 of 54 05/20/2014 9:57 AM
Page 1 of 61 05/20/2014 9:57 AM
Page 2 of 61 05/20/2014 9:57 AM
Page 3 of 61 05/20/2014 9:57 AM
Page 4 of 61 05/20/2014 9:57 AM
Page 5 of 61 05/20/2014 9:57 AM
Page 6 of 61 05/20/2014 9:57 AM
Page 7 of 61 05/20/2014 9:57 AM
Page 8 of 61 05/20/2014 9:57 AM
Page 9 of 61 05/20/2014 9:57 AM
Page 10 of 61 05/20/2014 9:57 AM
Page 11 of 61 05/20/2014 9:57 AM
Page 12 of 61 05/20/2014 9:57 AM
Page 13 of 61 05/20/2014 9:57 AM
Page 14 of 61 05/20/2014 9:57 AM
Page 15 of 61 05/20/2014 9:57 AM
Page 16 of 61 05/20/2014 9:57 AM
Page 17 of 61 05/20/2014 9:57 AM
Page 18 of 61 05/20/2014 9:57 AM
Page 19 of 61 05/20/2014 9:57 AM
Page 20 of 61 05/20/2014 9:57 AM
Page 21 of 61 05/20/2014 9:57 AM
Page 22 of 61 05/20/2014 9:57 AM
Page 23 of 61 05/20/2014 9:57 AM
Page 24 of 61 05/20/2014 9:57 AM
Page 25 of 61 05/20/2014 9:57 AM
Page 26 of 61 05/20/2014 9:57 AM
Page 27 of 61 05/20/2014 9:57 AM
Page 28 of 61 05/20/2014 9:57 AM
Page 29 of 61 05/20/2014 9:57 AM
Page 30 of 61 05/20/2014 9:57 AM
Page 31 of 61 05/20/2014 9:57 AM
Page 32 of 61 05/20/2014 9:57 AM
Page 33 of 61 05/20/2014 9:57 AM
Page 34 of 61 05/20/2014 9:57 AM
Page 35 of 61 05/20/2014 9:57 AM
Page 36 of 61 05/20/2014 9:57 AM
Page 37 of 61 05/20/2014 9:57 AM
Page 38 of 61 05/20/2014 9:57 AM
Page 39 of 61 05/20/2014 9:57 AM
Page 40 of 61 05/20/2014 9:57 AM
Page 41 of 61 05/20/2014 9:57 AM
Page 42 of 61 05/20/2014 9:57 AM
Page 43 of 61 05/20/2014 9:57 AM
Page 44 of 61 05/20/2014 9:57 AM
Page 45 of 61 05/20/2014 9:57 AM
Page 46 of 61 05/20/2014 9:57 AM
Page 47 of 61 05/20/2014 9:57 AM
Page 48 of 61 05/20/2014 9:57 AM
Page 49 of 61 05/20/2014 9:57 AM
Page 50 of 61 05/20/2014 9:57 AM
Page 51 of 61 05/20/2014 9:57 AM
Page 52 of 61 05/20/2014 9:57 AM
Page 53 of 61 05/20/2014 9:57 AM
Page 54 of 61 05/20/2014 9:57 AM
Page 55 of 61 05/20/2014 9:57 AM
Page 56 of 61 05/20/2014 9:57 AM
Page 57 of 61 05/20/2014 9:57 AM
Page 58 of 61 05/20/2014 9:57 AM
Page 59 of 61 05/20/2014 9:57 AM
Page 60 of 61 05/20/2014 9:57 AM
Page 61 of 61 05/20/2014 9:57 AM
Page 1 of 4 05/20/2014 9:57 AM
Page 2 of 4 05/20/2014 9:57 AM
Page 3 of 4 05/20/2014 9:57 AM
Page 4 of 4 05/20/2014 9:57 AM
Page 1 of 4 05/20/2014 9:57 AM
Page 2 of 4 05/20/2014 9:57 AM
Page 3 of 4 05/20/2014 9:57 AM
Page 4 of 4 05/20/2014 9:57 AM
Page 1 of 1 05/20/2014 9:57 AM

Turn static files into dynamic content formats.

Create a flipbook
Issuu converts static files into: digital portfolios, online yearbooks, online catalogs, digital photo albums and more. Sign up and create your flipbook.