9828 E. Forgotten Trail

Page 1

LIMITATION OF LIABILITY FOR INFORMATIONAL REPORTS

IMPORTANT -- PLEASE READ CAREFULLY:

This report is not an insured product or service or a representation of the condition of title to real property. It is not an abst ract, legal opinion, opinion of title, title insurance commitment or preliminary report, or any form of Title Insurance or Guaranty. This report is issued exclusively for the benefit of the Applicant therefor and may not be used or relied upon by any other person. This report may not be reproduced in any manner without First American or Title Security's prior written consent. First American or Title Security does not represent or warrant that the information herein is complete or free from error, and the information herein is provided without any warranties of any kind, as-is, and with all faults. As a material part of the consideration given in exchange for the issuance of this report, recipient agrees that First American or Title Security's sole liability for any loss or damage caused by an error or omission due to inaccurate information or negligence in preparing this report shall be limited to the fee charged for the report. Recipient accepts this report with this limitation and agrees that First American or Title Security would not have issued this report but for the limitation of liability described above. First American or Title Security makes no representation or warranty as to the legality or propriety of recipient's use of the information herein.

Subject

Data Provided By:

First American Title Ins Co

Property 9828 E Forgotten Hills Dr Scottsdale AZ 85262 APN: 219-61-121
© 2023 CoreLogic. All rights reserved

Disclaimer

This REiSource report is provided "as is" without warranty of any kind, either express or implied, including without limitations any warrantees of merchantability or fitness for a particular purpose. There is no representation of warranty that this information is complete or free from error, and the provider does not assume, and expressly disclaims, any liability to any person or entity for loss or damage caused by errors or omissions in this REiSource report without a title insurance policy.

The information contained in the REiSource report is delivered from your Title Company, who reminds you that you have the right as a consumer to compare fees and serviced levels for Title, Escrow, and all other services associated with property ownership, and to select providers accordingly. Your home is the largest investment you will make in your lifetime and you should demand the very best.

Data Provided By: First American Title Ins Co
© 2023 CoreLogic. All rights reserved

Subject Property :   9828 E Forgotten Hills Dr Scottsdale AZ 85262

Owner Information

Owner Name : Flanagan

Mailing Address : 4655 Cypress Glen Pl, San Diego CA 92130-2414 C003

Vesting Codes : / / Trust

Owner Occupied Indicator : A

Location Information

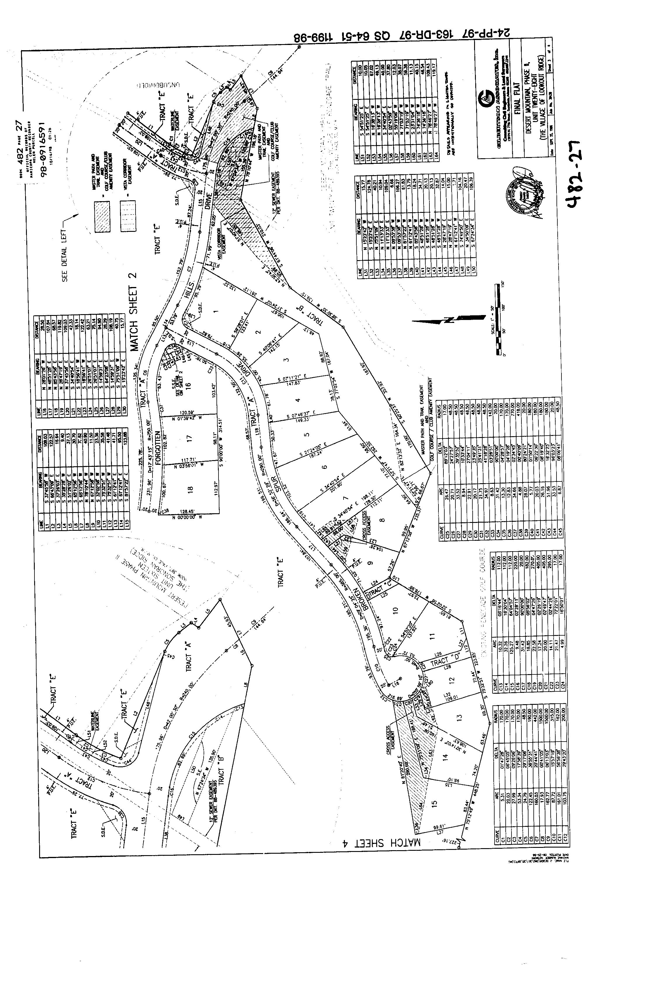
Legal Description : Lot 35 Desert Mountain Phase 2 Unit 28 Mcr 482-27

County : Maricopa, Az Subdivision : Desert Mountain Ph 2 Unit 28

Census Tract / Block : 101.02 / 3

Township-Range- Sect : 06N-05E-29

Legal Lot : 35

APN : 219-61-121

Last Market Sale Information

Recording/Sale Date : 11/26/2013 / 11/19/2013

Sale Price : $785,000

Document # : 1016478

Title Company : Security Title Agency

Seller Name : Ahn Dong H & Malsun L

Prior Sale Information

Prior Rec/Sale Date : 02/24/2005 / 02/04/2005

Prior Sale Price : $920,000

Property Characteristics

Gross Area : 3,382

Living Area : 3,382

Total Rooms : 6

Year Built / Eff : 2000

# of Stories : 1

Garage Capacity : 2

Map Reference : 48227

School District : Cave Creek 93

Munic/Township : Scottsdale

Neighbor Code : 20-005

Deed Type : Warranty Deed

Price Per SqFt : $232.11

Prior Doc Number : 223399

Prior Deed Type : Warranty Deed

Pool : Pool

Roof Material : Tile Air Cond : Refrigeration

Heat Type : Forced Air Quality : Excellent

Cooling Type : Forced Air Condition : Average

Exterior wall : Frame/stucco Bath Fixtures : 13

Parking Type : Garage Patio Type : Covered Patio

Customer Name : Kariann Keomaka Customer Company Name : First American Title Insurance Company Prepared On : 02/28/2023 © 2023 CoreLogic. All rights reserved

Property Information

Land Use : Townhouse/ rowhouse Lot Size : 10,945 Sewer Type : Public Service
R-4R Water Type : Type Unknown State Use : Twnhse Default Code ( 6 ) Lot Acres : 0.25 Tax Information Total Value : $983,700 Improve % : 80% Current Assessed Year : 2023 Land Value : $196,700 Tax Year : 2022 Current Year Total Value : $133,120 Improvement Value : $787,000 Property Tax : $5,522.96 Current Year Improvement Value : $106,500 Total Taxable Value : $94,021 Tax Rate Area : 931400 Current Year Land Value : $26,620 Assessed Year : 2022 Market Value : $983,700 Customer Name : Kariann Keomaka Customer Company Name : First American Title Insurance Company Prepared On : 02/28/2023 © 2023 CoreLogic. All rights reserved
Zoning :
Criteria Subject Property Low High Average Sale Price $785,000 $2,050,000 $2,320,000 $2,209,000 Bldg/Living Area 3382 2960 3382 3150 Price Per Square Foot $232.11 $665 $752 $702.92 Year Built 2000 1999 2000 1999 Lot Size 10,945 10,485 14,155 12,754 Bedrooms Bathrooms 5 4 5 5 Stories 1 1 1 1 Total Assessed Value $983,700 $885,300 $1,088,600 $977,240 Distance From Subject 0 0.09 0.18 0.13 Summary of Comparables # Address Sale Price Total Assessed Value Sale Date Bed Bath Living Area Lot Size Year Built Dist (Miles) Zoning S 9828 E Forgotten Hills Dr 785,000 983,700 11/26/2013 5 3,382 10,945 2000 R-4R 1 9741 E Forgotten Hills Dr 2,320,000 983,700 12/30/2022 5 3,382 11,865 2000 0.09 R-4R 2 9807 E Broken Spur Dr 2,250,000 1,088,600 04/26/2022 5 3,382 13,505 1999 0.1 R-4R 3 9819 E Broken Spur Dr 2,225,000 984,600 05/03/2022 4 2,960 13,760 1999 0.1 R-4R 4 9975 E Broken Spur Dr 2,200,000 885,300 05/10/2022 4 2,960 14,155 1999 0.17 R-4R 5 9927 E Lookout Mountain Dr 2,050,000 944,000 05/16/2022 5 3,067 10,485 2000 0.18 R-4R Distressed Sales = Customer Name : Kariann Keomaka Customer Company Name : First American Title Insurance Company Prepared On : 02/28/2023 © 2023 CoreLogic. All rights reserved
Sales Analysis

Customer Name : Kariann Keomaka

Customer Company Name : First American Title Insurance Company

Prepared On : 02/28/2023

© 2023 CoreLogic. All rights reserved

Map

Details of Comparables

Subject Property: 9828 E Forgotten Hills Dr Scottsdale Az 85262

Owner Name: Flanagan /

#1   9741 E Forgotten Hills Dr Scottsdale Az 85262

Owner Name: Ladd David /Sandquist Ronda

#2   9807 E Broken Spur Dr Scottsdale Az 85262

Owner Name: Mcintire Lee /Mcintire Susan

#3   9819 E Broken Spur Dr Scottsdale Az 85262

Owner Name: Schwalbach Susan J /

#4   9975 E Broken Spur Dr Scottsdale Az 85262

Owner Name: Ferguson James P /

APN
Alternate
Deed Type: Warranty Deed Land Use: Townhouse/rowhouse Subdivision / Tract: Desert Mountain Ph 2 Unit 28 / Lot Size: 10,945 Year Built / Eff: 2000 / Rec. Date / Price: 11/26/2013 / $785,000 Living Area: 3,382 # of units: Document #: 1016478 Bedrooms: Pool: Pool Total Tax Value: $983,700 Bath(F/H): /
/
APN: 219-61-121 /
APN
Deed Type: Warranty Deed Land Use: Townhouse/rowhouse Subdivision / Tract: Desert Mountain Ph 2 Unit 28 / Lot Size: 11,865 Year Built / Eff: 2000 / Rec. Date / Price: 12/30/2022 / $2,320,000 Living Area: 3,382 # of units: Document #: 918539 Bedrooms: Pool: Total Tax Value: $983,700 Bath(F/H): /
/ Alternate APN: 219-61-113 /
APN / Alternate APN: 219-61-101
Deed Type: Warranty Deed Land Use: Townhouse/rowhouse Subdivision / Tract: Desert Mountain Ph 2 Unit 28 / Lot Size: 13,505 Year Built / Eff: 1999 / Rec. Date / Price: 04/26/2022 / $2,250,000 Living Area: 3,382 # of units: Document #: 364118 Bedrooms: Pool: Pool Total Tax Value: $1,088,600 Bath(F/H): /
/
APN / Alternate APN: 219-61-100 / Deed Type: Warranty Deed Land Use: Townhouse/rowhouse Subdivision / Tract: Desert Mountain Ph 2 Unit 28 / Lot Size: 13,760 Year Built / Eff: 1999 / Rec. Date / Price: 05/03/2022 / $2,225,000 Living Area: 2,960 # of units: Document #: 387209 Bedrooms: Pool: Pool Total Tax Value: $984,600 Bath(F/H): /
APN / Alternate APN: 219-61-087
Deed Type: Warranty Deed Land Use: Townhouse/rowhouse Subdivision / Tract: Desert Mountain Ph 2 Unit 28 / Lot Size: 14,155 Year Built / Eff: 1999 / Rec. Date / Price: 05/10/2022 / $2,200,000 Living Area: 2,960 # of units: Document #: 406401 Bedrooms: Pool: Pool Total Tax Value: $885,300 Bath(F/H): / Customer Name
Keomaka Customer Company Name : First American Title Insurance Company Prepared On : 02/28/2023 © 2023 CoreLogic. All rights reserved
/
: Kariann

#5   9927 E Lookout Mountain Dr Scottsdale Az 85262

Owner Name: Keith E Kruegar /Krueger Rebecca E

Customer Name : Kariann Keomaka

Customer Company Name : First American Title

APN / Alternate APN: 219-61-127 / Deed Type: Warranty Deed Land Use: Townhouse/rowhouse Subdivision / Tract: Desert Mountain Ph 2 Unit 28 / Lot Size: 10,485 Year Built / Eff: 2000 / Rec. Date / Price: 05/16/2022 / $2,050,000 Living Area: 3,067 # of units: Document #: 423231 Bedrooms: Pool: Total Tax Value: $944,000 Bath(F/H): /
Prepared
© 2023 CoreLogic. All rights reserved
Insurance Company
On : 02/28/2023

Subject Property :   9828 E Forgotten Hills Dr Scottsdale AZ 85262

Customer Name : Kariann Keomaka

Customer Company Name : First American Title Insurance Company Prepared On : 02/28/2023

© 2023 CoreLogic. All rights reserved

Customer Name : Kariann Keomaka

Customer Company Name : First American Title Insurance Company Prepared On : 02/28/2023

© 2023 CoreLogic. All rights reserved

Arizona Schools For detailed information and statistics on Arizona schools please go to https://azreportcards.azed.gov/ First American Title Insurance Company, and the operating divisions thereof, make no express or implied warranty respecting the information presented and assume no responsibility for errors or omissions. First American, the eagle logo, First American Title, and firstam.com are registered trademarks or trademarks of First American Financial Corporation and/or its affiliates. ©2021 First American Financial Corporation and/or its affiliates. All rights reserved. NYSE: FAF 05117910421

Customer Name : Kariann Keomaka

Customer Company Name : First American Title Insurance Company Prepared On : 02/28/2023

© 2023 CoreLogic. All rights reserved

No local schools data for selected property.
Local Business Attractions / Recreation Name Address Telephone Distance (Miles) Desert Saguaro Ventures L.l.c. 10187 E Nolina Trl Scottsdale Az (480) 488-1363 0.45 Mountain Desert, Llc 9792 E Larry Hughes Dr Scottsdale Az (480) 595-4080 0.5 C2 East Meets West Lacrosse Ll 10131 E Groundcherry Ln Scottsdale Az (480) 488-3666 0.69 Desert Mountain Club, Inc. 10550 E Desert Hills Dr Scottsdale Az (480) 488-1363 0.79 Eating / Drinking Name Address Telephone Distance (Miles) Modify Cafe 39221 N Tom Morris Rd Scottsdale Az (952) 905-0172 0.84 Health Care Services Name Address Telephone Distance (Miles) Specialty Medical Solutions, Llc 9602 E Taos Dr Scottsdale Az (630) 850-9025 0.29 North Scottsdale Health, Pllc 10310 E Rising Sun Dr Scottsdale Az (602) 492-8102 0.65 Phoenix Molecular Imaging 38484 N 94th St Scottsdale Az (602) 368-3055 0.7 Carl M. Leichter, M.d., P.c. 38375 N 102nd St Scottsdale Az (480) 634-7111 0.75 Shopping Name Address Telephone Distance (Miles) Ocullis Internet Market 10259 E Nolina Trl Scottsdale Az (480) 361-4739 0.53 Customer Name : Kariann Keomaka Customer Company Name : First American Title Insurance Company Prepared On : 02/28/2023 © 2023 CoreLogic. All rights reserved

9810 E FORGOTTEN HILLS DR Distance 0.02 Miles

Owner Name : Duvall Henry W Jr

Sale Date : 12/27/2000

Total Value : $889,700

Bed / Bath : / 4

Land Use : Townhouse/rowhouse

Stories : 1

Subdivision : Desert Mountain Ph 2 Unit 28

Recording Date : 12/29/2000

Sale Price  : $827,500

Property Tax : $4,274.76

Lot Acres : 0.24

Living Area : 2,960

Yr Blt / Eff Yr Blt : 2000 / APN : 219-61-120

9831 E FORGOTTEN HILLS DR Distance 0.03 Miles

Owner Name : Davidson Richard R Subdivision : Desert Mountain Ph 2 Unit 28

Sale Date : 01/03/2020

Total Value : $944,000

Bed / Bath : / 5

Land Use : Townhouse/rowhouse

Stories : 1

Recording Date : 01/15/2020

Sale Price  : $1,140,000

Property Tax : $5,308.62

Lot Acres : 0.17

Living Area : 3,067

Yr Blt / Eff Yr Blt : 2000 / APN : 219-61-108

9792 E FORGOTTEN HILLS DR Distance 0.03 Miles

Owner Name : Westerinen Jeff S

Sale Date : 03/07/2005

Total Value : $944,000

Bed / Bath : / 5

Land Use : Townhouse/rowhouse

Stories : 1

Subdivision : Desert Mountain Ph 2 Unit 28

Recording Date : 04/01/2005

Sale Price  : $975,000

Property Tax : $5,308.62

Lot Acres : 0.25

Living Area : 3,067

Yr Blt / Eff Yr Blt : 2000 / APN : 219-61-119

Customer Name : Kariann Keomaka

Customer Company Name : First American Title Insurance Company Prepared On : 02/28/2023

© 2023 CoreLogic. All rights reserved

9813 E FORGOTTEN HILLS DR Distance 0.03 Miles

Owner Name : Thomson Richard B Jr Subdivision : Desert Mountain Ph 2 Unit 28

Sale Date : 05/29/2009

Total Value : $983,700

Bed / Bath : / 5

Recording Date : 06/16/2009

Sale Price  : $1,300,000

Property Tax : $5,522.96

Land Use : Townhouse/rowhouse Lot Acres : 0.36

Stories : 1

Living Area : 3,382

Yr Blt / Eff Yr Blt : 2000 / APN : 219-61-109

9849 E FORGOTTEN HILLS DR Distance 0.04 Miles

Owner Name : Bastian Charles Subdivision : Desert Mountain Ph 2 Unit 28

Sale Date : 03/20/2018

Total Value : $944,000

Bed / Bath : / 5

Land Use : Townhouse/rowhouse

Stories : 1

Recording Date : 04/04/2018

Sale Price  : $925,000

Property Tax : $5,308.62

Lot Acres : 0.25

Living Area : 3,067

Yr Blt / Eff Yr Blt : 2000 / APN : 219-61-107

9795 E FORGOTTEN HILLS DR Distance 0.05 Miles

Owner Name : Chandler Albert R Subdivision : Desert Mountain Ph 2 Unit 28

Sale Date : 04/16/2018

Total Value : $944,000

Bed / Bath : / 5

Land Use : Townhouse/rowhouse

Stories : 1

Recording Date : 04/30/2018

Sale Price  : $1,150,000

Property Tax : $5,308.62

Lot Acres : 0.23

Living Area : 3,067

Yr Blt / Eff Yr Blt : 2000 / APN : 219-61-110

Customer Name : Kariann Keomaka

Customer Company Name : First American Title Insurance Company Prepared On : 02/28/2023

© 2023 CoreLogic. All rights reserved

9774 E FORGOTTEN HILLS DR Distance 0.05 Miles

Owner Name : Lane-cassaro Marlene D

Sale Date : 07/10/2008

Total Value : $944,000

Bed / Bath : / 5

Land Use : Townhouse/rowhouse

Stories : 1

Subdivision : Desert Mountain Ph 2 Unit 28

Recording Date : 07/11/2008

Sale Price  : $760,000

Property Tax : $4,598.18

Lot Acres : 0.26

Living Area : 3,067

Yr Blt / Eff Yr Blt : 2000 / APN : 219-61-118

9862 E FORGOTTEN HILLS DR Distance 0.05 Miles

Owner Name : Almon James A

Sale Date : 11/05/2004

Total Value : $983,700

Bed / Bath : / 5

Land Use : Townhouse/rowhouse

Stories : 1

Subdivision : Desert Mountain Ph 2 Unit 28

Recording Date : 11/30/2004

Sale Price  : $1,025,000

Property Tax : $5,522.96

Lot Acres : 0.33

Living Area : 3,382

Yr Blt / Eff Yr Blt : 2000 / APN : 219-61-122

9867 E FORGOTTEN HILLS DR Distance 0.05 Miles

Owner Name : Thal Douglas A

Sale Date : 12/00/1999

Total Value : $983,700

Bed / Bath : / 5

Land Use : Townhouse/rowhouse

Stories : 1

Subdivision : Desert Mountain Ph 2 Unit 28

Recording Date : 12/29/1999

Sale Price  : $900,000

Property Tax : $5,522.96

Lot Acres : 0.31

Living Area : 3,382

Yr Blt / Eff Yr Blt : 2000 / APN : 219-61-106

Customer Name : Kariann Keomaka Customer Company Name : First American Title Insurance Company Prepared On : 02/28/2023

© 2023 CoreLogic. All rights reserved

9777 E FORGOTTEN HILLS DR

Owner Name : Leseberg Mark E

Sale Date : 04/12/2021

Total Value : $944,000

Bed / Bath : / 5

Land Use : Townhouse/rowhouse

Stories : 1

Distance 0.06 Miles

Subdivision : Desert Mountain Ph 2 Unit 28

Recording Date : 04/27/2021

Sale Price  : $2,210,000

Property Tax : $5,308.62

Lot Acres : 0.23

Living Area : 3,067

Yr Blt / Eff Yr Blt : 2000 / APN : 219-61-111

Customer Name : Kariann Keomaka

Customer Company Name : First American Title Insurance Company

Prepared On : 02/28/2023

© 2023 CoreLogic. All rights reserved

Census Tract / block: 101.02 / 3     Year: 2018 Household Population Population by Age Count: 5,066 0 - 11 Estimate Current Year: 5,577 12 - 17 Estimate in 5 Years: 8,190 18 - 24 1.36% Growth Last 5 Years: 11.41% 25 - 64 46.01% Growth Last 10 Years: -74.26% 65 - 74 35.27% 75+ Household Size Household Income Current Year: 2,362 0 - $25,000 7.03% Average Current Year: 2.14 $25,000 - $35,000 7.96% Estimate in 5 Years: 3,487 $35,000 - $50,000 4.7% Growth Last 5 Years: 10.12% $50,000 - $75,000 4.53% Growth Last 10 Years: 18.75% $75,000 - $100,000 12.32% Male Population: 52.47% Above $100,000 63.46% Female Population: 47.53% Average Household Income: $135,278 Married People: 72.59% Unmarried People: 27.41% Housing Median Mortgage Payments Home Values Under $300: 0% Below $100,000: 0% $300 - $799: 20.84% $100,000 - $150,000: 0% $800 - $1,999: 30.47% $150,000 - $200,000: 0.83% Over $2,000: 48.69% $200,000 - $300,000: 5.67% Median Home Value: $971,700 $300,000 - $500,000: 13% Unit Occupied Owner: 91.83% Above $500,000: 80.5% Median Mortgage: $3,034 Customer Name : Kariann Keomaka Customer
Name : First American Title Insurance Company Prepared On : 02/28/2023 © 2023 CoreLogic. All rights reserved
Company
Rent Payments Year Built Unit Occupied Renter: 8.17% 1999 - 2000 Median Gross Rent: 1995 - 1998 Less Than $499 38.52% 1990 - 1994 $500 - $749 0% 1980 - 1989 6.66% $750 - $999 0% 1970 - 1979 0.96% $1000 and Over 61.48% 1900 - 1969 2.89% Education Enrollment Public Pre-Primary School: 0% Not Enrolled in School: 91.69% Private Pre-Primary School: 0% Not A High School Graduate: 1.33% Public School: 5.9% Graduate Of High School: 15.07% Private School: 2.41% Attended Some College: 19.23% Public College: 2.35% College Graduate: 41.9% Private College: 0.55% Graduate Degree: 22.47% Workforce Occupation: Manager/Prof: 36.57% Private Worker: 70.68% Technical: Government Worker: 3.99% Sales: 34.05% Self Employed Worker: 13.72% Administrative: Unpaid Family Worker: 10.35% Private House Hold: Farming: 4.62% Service: 16.61% Skilled: Protective Services: Blue-Collar: 12.77% Commute Time Less Than 15 Min: 16.61% 15 min - 28 min: 23.08% 30 min - 57 min: 46.9% Over 60 min: 13.41% Customer Name : Kariann Keomaka Customer Company Name : First American Title Insurance Company Prepared On : 02/28/2023 © 2023 CoreLogic. All rights reserved

Customer Name : Kariann Keomaka

Customer Company Name : First American Title Insurance Company

Prepared On : 02/28/2023

© 2023 CoreLogic. All rights reserved

Customer Name : Kariann Keomaka

Customer Company Name : First American Title Insurance Company

Prepared On : 02/28/2023

© 2023 CoreLogic. All rights reserved

Customer Name : Kariann Keomaka

Customer Company Name : First American Title Insurance Company

Prepared On : 02/28/2023

© 2023 CoreLogic. All rights reserved

SEARCH PARAMETERS

PARCEL:  219-61-121

PARCEL: 219-61-121 1

OWNER: FLANAGAN FAMILY TRUST

SITUS: 9828 E FORGOTTEN HILLS DR SCOTTSDALE

MAIL: 4655 CYPRESS GLEN PL  SAN DIEGO CA 92130

PLAT: 482 -   27 LOT    35

LEGAL: DESERT MOUNTAIN PHASE 2 UNIT 28 MCR 482-27

ADDITIONAL PROPERTY INFORMATION

END SEARCH

+ FIRST AMERICAN TITLE, FC0, KWAL MARICOPA, AZ 02/28/2023  10:39AM  TCI1  INVESTIGATIVE SEARCH RESULTS PAGE 1 OF 1
INSTRUMENT REC DATE
2013 1016478 11/26/2013
INFORMATION THROUGH 02/24/2023 LAND IMPR EXEMPT RATE AREA SPECIAL DISTRICTS PRIMARY  94,021  0  0  4.3128  931400  30001  SECONDARY  19,670  78,700  0  1.5613  2022 TOTAL TAX BILLED 5,522.96 2022  TAX AMT TAX DUE INTEREST DATE PAID TOTAL DUE FIRST HALF  2,761.48  0.00  0.00  09/29/2022  0.00  SECOND HALF  2,761.48  2,761.48  0.00  2,761.48  TOTAL CURRENT TAXES DUE 02/23 2,761.48 03/23 2,761.48 (ESTIMATED) RESIDENTIAL IMPROVEMENTS BLDG SQFT  3,382 COOLING  REFRIGERATION YEAR BUILT  2000 EXTERIOR WALLS  OTHER NUMBER OF STORIES  1.0 ROOF  TILE NUMBER OF ROOMS CONSTRUCTION CLASS  R6 NUMBER OF BATH FIXTURES  13 PHYSICAL CONDITION  OTHER PATIO (TYPE AND NUMBER)  COVERED 1 LAND USE  85 60 GARAGE (TYPE AND NUMBER)  GARAGE 2 LOT SIZE  10,945 SQ FT POOL SQ FT SCHOOL DISTRICT  931400 HEATING LAND FULL CASH VALUE  196,700 IMPR FULL CASH VALUE 787,000 SALES SALE DATE SALE AMOUNT INSTRUMENT TYPE SELLER NAME VALIDITY 11/26/2013 785,000    2013 1016478 WD AHN DONG H/MALSUN L 02/24/2005 920,000    2005 223399 WD SWARTZ LARRY A/DIANE L 04/25/2000 940,865    2000 311320 SD DESERT MOUNTAIN PROPERTIES
CURRENT TAXES
STANDARD LAND USE: TOWNHOUSE/ROWHOUSE

Covenants, Conditions & Restrictions

Thank you for the opportunity to be of service.

Restrictions indicating a preference, limitation or discrimination based on race, color, religion, sex, handicap, familial status, or national origin are hereby deleted to the extent such restrictions violate 42 USC 3604(c).

This information is furnished without fee and without benefit of a complete title search. No liability is assumed by First American Title or Title Security. If it is desired that liability be assumed, you may apply for a policy of title insurance with First American Title Insurance Company.

Turn static files into dynamic content formats.

Create a flipbook
Issuu converts static files into: digital portfolios, online yearbooks, online catalogs, digital photo albums and more. Sign up and create your flipbook.