9227 N Red Diamond Ave

Page 1

©2021 First American Financial Corporation and/or its affiliates. All rights reserved. NYSE: FAF 05252610821 COVENANTS, CONDITIONS & RESTRICTIONS PREPARED FOR : First American Title Insurance Company, and the operating divisions thereof, make no express or implied warranty respecting the information presented and assume no responsibility for errors or omissions. First American, the eagle logo, First American Title, and firstam.com are registered trademarks or trademarks of First American Financial Corporation and/or its affiliates. 9227 N. Red Diamond Avenue Tucson, AZ 85742

LIMITATION OF LIABILITY FOR INFORMATIONAL REPORTS

IMPORTANT -- PLEASE READ CAREFULLY:

This report is not an insured product or service or a representation of the condition of title to real property. It is not an abst ract, legal opinion, opinion of title, title insurance commitment or preliminary report, or any form of Title Insurance or Guaranty. This report is issued exclusively for the benefit of the Applicant therefor and may not be used or relied upon by any other person. This report may not be reproduced in any manner without First American or Title Security's prior written consent. First American or Title Security does not represent or warrant that the information herein is complete or free from error, and the information herein is provided without any warranties of any kind, as-is, and with all faults. As a material part of the consideration given in exchange for the issuance of this report, recipient agrees that First American or Title Security's sole liability for any loss or damage caused by an error or omission due to inaccurate information or negligence in preparing this report shall be limited to the fee charged for the report. Recipient accepts this report with this limitation and agrees that First American or Title Security would not have issued this report but for the limitation of liability described above. First American or Title Security makes no representation or warranty as to the legality or propriety of recipient's use of the information herein.

Branch:FC0,User:LMRAComment:StationId:RL13 PIMA,AZPage1of14Printedon5/22/202311:07:14AM Document:SUBDIVISION_MAP55.42
Branch:FC0,User:LMRAComment:StationId:RL13 PIMA,AZPage2of14Printedon5/22/202311:07:18AM Document:SUBDIVISION_MAP55.42
Branch:FC0,User:LMRAComment:StationId:RL13 PIMA,AZPage3of14Printedon5/22/202311:07:23AM Document:SUBDIVISION_MAP55.42
Branch:FC0,User:LMRAComment:StationId:RL13 PIMA,AZPage4of14Printedon5/22/202311:07:28AM Document:SUBDIVISION_MAP55.42
Branch:FC0,User:LMRAComment:StationId:RL13 PIMA,AZPage5of14Printedon5/22/202311:07:34AM Document:SUBDIVISION_MAP55.42
Branch:FC0,User:LMRAComment:StationId:RL13 PIMA,AZPage6of14Printedon5/22/202311:07:40AM Document:SUBDIVISION_MAP55.42
Branch:FC0,User:LMRAComment:StationId:RL13 PIMA,AZPage7of14Printedon5/22/202311:07:46AM Document:SUBDIVISION_MAP55.42
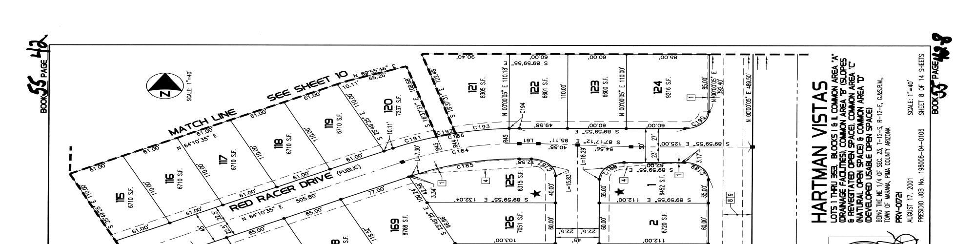
Branch:FC0,User:LMRAComment:StationId:RL13 PIMA,AZPage8of14Printedon5/22/202311:07:49AM Document:SUBDIVISION_MAP55.42
Branch:FC0,User:LMRAComment:StationId:RL13 PIMA,AZPage9of14Printedon5/22/202311:07:52AM Document:SUBDIVISION_MAP55.42
Branch:FC0,User:LMRAComment:StationId:RL13 PIMA,AZPage10of14Printedon5/22/202311:07:55AM Document:SUBDIVISION_MAP55.42
Branch:FC0,User:LMRAComment:StationId:RL13 PIMA,AZPage11of14Printedon5/22/202311:07:58AM Document:SUBDIVISION_MAP55.42
Branch:FC0,User:LMRAComment:StationId:RL13 PIMA,AZPage12of14Printedon5/22/202311:08:01AM Document:SUBDIVISION_MAP55.42
Branch:FC0,User:LMRAComment:StationId:RL13 PIMA,AZPage13of14Printedon5/22/202311:08:04AM Document:SUBDIVISION_MAP55.42
Branch:FC0,User:LMRAComment:StationId:RL13 PIMA,AZPage14of14Printedon5/22/202311:08:10AM Document:SUBDIVISION_MAP55.42
Branch:FC0,User:LMRAComment:StationId:RL13 PIMA,AZPage1of5Printedon5/22/202311:08:10AM Document:RESREL13356.1895
Branch:FC0,User:LMRAComment:StationId:RL13 PIMA,AZPage2of5Printedon5/22/202311:08:10AM Document:RESREL13356.1895
Branch:FC0,User:LMRAComment:StationId:RL13 PIMA,AZPage3of5Printedon5/22/202311:08:10AM Document:RESREL13356.1895
Branch:FC0,User:LMRAComment:StationId:RL13 PIMA,AZPage4of5Printedon5/22/202311:08:10AM Document:RESREL13356.1895
Branch:FC0,User:LMRAComment:StationId:RL13 PIMA,AZPage5of5Printedon5/22/202311:08:11AM Document:RESREL13356.1895
Branch:FC0,User:LMRAComment:StationId:RL13 PIMA,AZPage1of16Printedon5/22/202311:08:11AM Document:RES13820.1342
Branch:FC0,User:LMRAComment:StationId:RL13 PIMA,AZPage2of16Printedon5/22/202311:08:11AM Document:RES13820.1342
Branch:FC0,User:LMRAComment:StationId:RL13 PIMA,AZPage3of16Printedon5/22/202311:08:11AM
Document:RES13820.1342
Branch:FC0,User:LMRAComment:StationId:RL13 PIMA,AZPage4of16Printedon5/22/202311:08:11AM
Document:RES13820.1342
Branch:FC0,User:LMRAComment:StationId:RL13 PIMA,AZPage5of16Printedon5/22/202311:08:12AM Document:RES13820.1342
Branch:FC0,User:LMRAComment:StationId:RL13 PIMA,AZPage6of16Printedon5/22/202311:08:12AM Document:RES13820.1342
Branch:FC0,User:LMRAComment:StationId:RL13 PIMA,AZPage7of16Printedon5/22/202311:08:12AM Document:RES13820.1342
Branch:FC0,User:LMRAComment:StationId:RL13 PIMA,AZPage8of16Printedon5/22/202311:08:12AM Document:RES13820.1342
Branch:FC0,User:LMRAComment:StationId:RL13 PIMA,AZPage9of16Printedon5/22/202311:08:12AM Document:RES13820.1342
Branch:FC0,User:LMRAComment:StationId:RL13 PIMA,AZPage10of16Printedon5/22/202311:08:12AM Document:RES13820.1342
Branch:FC0,User:LMRAComment:StationId:RL13 PIMA,AZPage11of16Printedon5/22/202311:08:13AM Document:RES13820.1342
Branch:FC0,User:LMRAComment:StationId:RL13 PIMA,AZPage12of16Printedon5/22/202311:08:13AM Document:RES13820.1342
Branch:FC0,User:LMRAComment:StationId:RL13 PIMA,AZPage13of16Printedon5/22/202311:08:13AM Document:RES13820.1342
Branch:FC0,User:LMRAComment:StationId:RL13 PIMA,AZPage14of16Printedon5/22/202311:08:13AM Document:RES13820.1342
Branch:FC0,User:LMRAComment:StationId:RL13 PIMA,AZPage15of16Printedon5/22/202311:08:13AM Document:RES13820.1342
Branch:FC0,User:LMRAComment:StationId:RL13 PIMA,AZPage16of16Printedon5/22/202311:08:13AM Document:RES13820.1342
Page 1 of 41 12/07/2010 3:22 PM
Page 2 of 41 12/07/2010 3:22 PM
Page 3 of 41 12/07/2010 3:22 PM
Page 4 of 41 12/07/2010 3:22 PM
Page 5 of 41 12/07/2010 3:22 PM
Page 6 of 41 12/07/2010 3:22 PM
Page 7 of 41 12/07/2010 3:22 PM
Page 8 of 41 12/07/2010 3:22 PM
Page 9 of 41 12/07/2010 3:22 PM
Page 10 of 41 12/07/2010 3:22 PM
Page 11 of 41 12/07/2010 3:22 PM
Page 12 of 41 12/07/2010 3:22 PM
Page 13 of 41 12/07/2010 3:22 PM
Page 14 of 41 12/07/2010 3:22 PM
Page 15 of 41 12/07/2010 3:22 PM
Page 16 of 41 12/07/2010 3:22 PM
Page 17 of 41 12/07/2010 3:22 PM
Page 18 of 41 12/07/2010 3:22 PM
Page 19 of 41 12/07/2010 3:22 PM
Page 20 of 41 12/07/2010 3:22 PM
Page 21 of 41 12/07/2010 3:22 PM
Page 22 of 41 12/07/2010 3:22 PM
Page 23 of 41 12/07/2010 3:22 PM
Page 24 of 41 12/07/2010 3:22 PM
Page 25 of 41 12/07/2010 3:22 PM
Page 26 of 41 12/07/2010 3:22 PM
Page 27 of 41 12/07/2010 3:22 PM
Page 28 of 41 12/07/2010 3:22 PM
Page 29 of 41 12/07/2010 3:22 PM
Page 30 of 41 12/07/2010 3:22 PM
Page 31 of 41 12/07/2010 3:22 PM
Page 32 of 41 12/07/2010 3:22 PM
Page 33 of 41 12/07/2010 3:22 PM
Page 34 of 41 12/07/2010 3:22 PM
Page 35 of 41 12/07/2010 3:22 PM
Page 36 of 41 12/07/2010 3:22 PM
Page 37 of 41 12/07/2010 3:22 PM
Page 38 of 41 12/07/2010 3:22 PM
Page 39 of 41 12/07/2010 3:22 PM
Page 40 of 41 12/07/2010 3:22 PM
Page 41 of 41 12/07/2010 3:22 PM
Page 1 of 2 12/07/2010 3:22 PM
Page 2 of 2 12/07/2010 3:22 PM

Turn static files into dynamic content formats.

Create a flipbook
Issuu converts static files into: digital portfolios, online yearbooks, online catalogs, digital photo albums and more. Sign up and create your flipbook.