Digital Home Book 871 W Calle Calca

Page 1

HOME BOOK

PREPARED FOR:

WIRE FRAUD ALERT THINK DIFFERENTLY

Email-based, real estate fraud schemes are on the rise. One common scenario is altering wiring instructions with the intention of rerouting funds.

Keeping this in mind, First American Title is changing the way we receive payment information. It is imperative that we are familiar with the people in our transactions.

RELYING ON EMAIL ALONE IS NO LONGER AN OPTION.

Fraudsters often use email to send falsified wire instructions to unsuspecting victims. Please warn your buyers and sellers to only follow wire instructions they receive personally from First American Title.

Additionally, we will not accept disbursement instructions for seller or buyer funds via email OR from any third party (attorney, real estate agent, etc).

ALTERNATIVE INSTRUCTIONS?

If your buyer or seller receives alternative wiring instructions that appear to be from First American Title, make sure they contact their escrow officer at a trusted phone number for confirmation.

Know that our wiring instructions do not change so any communication is suspect. Our banking institution is First American Trust.

IN SHORT – wire instructions will not be accepted by email. New wire instructions must be hand-carried or uploaded to the First American Secure Portal.

Thank you for joining First American Title in fostering a secure real estate transaction process. Have questions or concerns? Please contact our office or your escrow officer.

01100180621
IN THE REAL ESTATE CLOSING PROCESS For more information please contact your First American representative. www.firstam.com First American Title Insurance Company, and the operating divisions thereof, make no express or implied warranty respecting the information presented and assume no responsibility for errors or omissions. First American, the eagle logo, First American Title, and firstam.com are registered trademarks or trademarks of First American Financial Corporation and/or its affiliates. ©2023 First American Financial Corporation and/or its affiliates. All rights reserved. NYSE: FAF
DO NOT TRUST EMAILED INSTRUCTIONS YOU SHOULD BE AWARE OF PRECAUTIONS

LIMITATION OF LIABILITY FOR INFORMATIONAL REPORTS

IMPORTANT -- PLEASE READ CAREFULLY:

This report is not an insured product or service or a representation of the condition of title to real property. It is not an abstract, legal opinion, opinion of title, title insurance commitment or preliminary report, or any form of Title Insurance or Guaranty. This report is issued exclusively for the benefit of the Applicant therefor and may not be used or relied upon by any other person. This report may not be reproduced in any manner without First Americans prior written consent. First American does not represent or warrant that the information herein is complete or free from error, and the information herein is provided without any warranties of any kind, as-is, and with all faults. As a material part of the consideration given in exchange for the issuance of this report, recipient agrees that First Americans sole liability for any loss or damage caused by an error or omission due to inaccurate information or negligence in preparing this report shall be limited to the fee charged for the report. Recipient accepts this report with this limitation and agrees that First American would not have issued this report but for the limitation of liability described above. First American makes no representation or warranty as to the legality or propriety of recipient's use of the information herein.

Subject Property

871 W Calle Calca Sahuarita AZ 85629

APN: 303-83-6070

Data Provided By: First American Title Ins Co

© 2024 CoreLogic. All rights reserved

Disclaimer

This REiSource report is provided "as is" without warranty of any kind, either express or implied, including without limitations any warrantees of merchantability or fitness for a particular purpose. There is no representation of warranty that this information is complete or free from error, and the provider does not assume, and expressly disclaims, any liability to any person or entity for loss or damage caused by errors or omissions in this REiSource report without a title insurance policy.

The information contained in the REiSource report is delivered from your Title Company, who reminds you that you have the right as a consumer to compare fees and serviced levels for Title, Escrow, and all other services associated with property ownership, and to select providers accordingly. Your home is the largest investment you will make in your lifetime and you should demand the very best.

Data
First American Title Ins Co
Provided By:
© 2024 CoreLogic. All rights reserved

Subject Property :   871 W Calle Calca Sahuarita AZ 85629

Owner Information

Owner Name : Jacquez Erica L

Mailing Address : 871 W Calle Calca, Sahuarita AZ 85629-0907 R010

Owner Occupied Indicator : O

Location Information

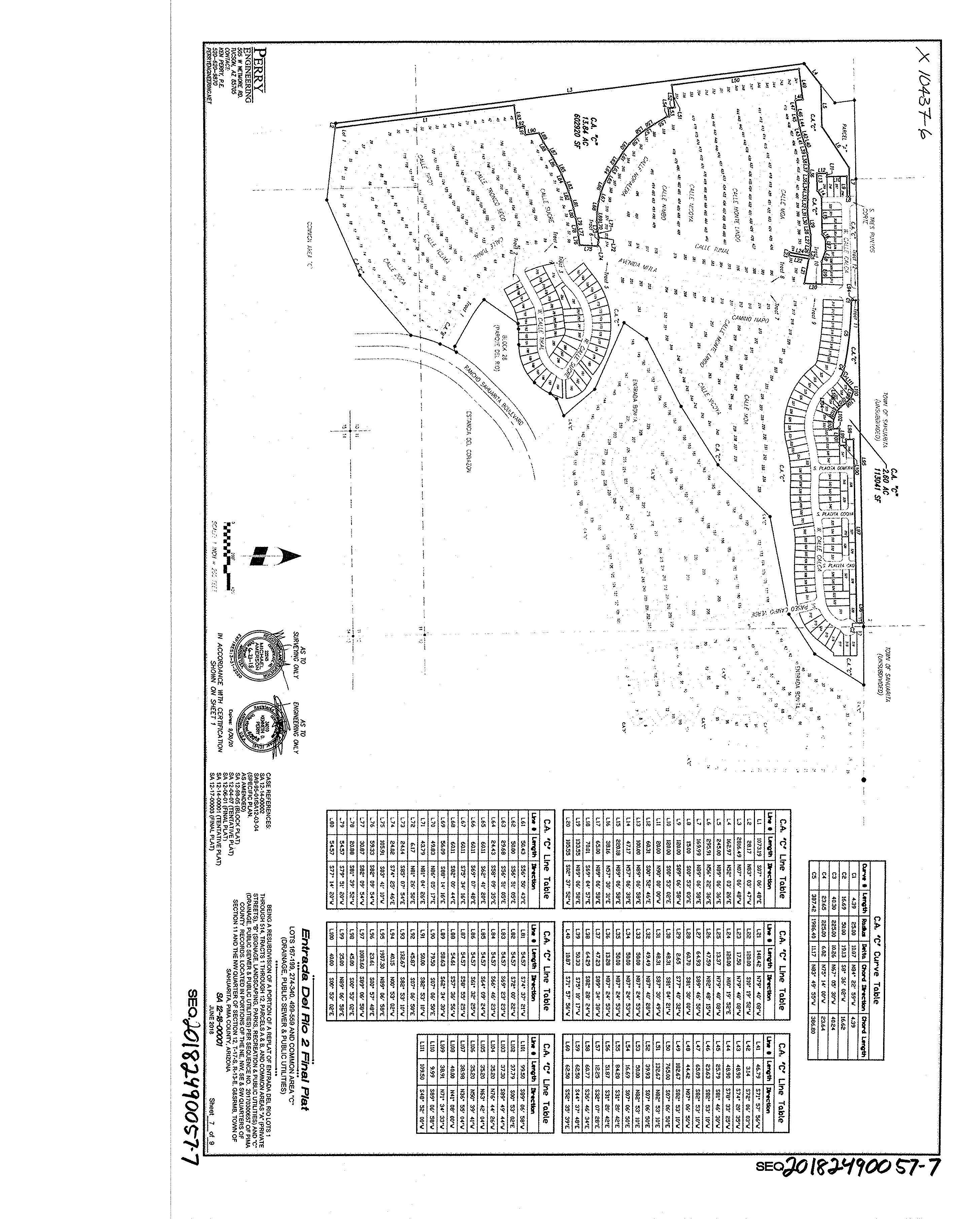
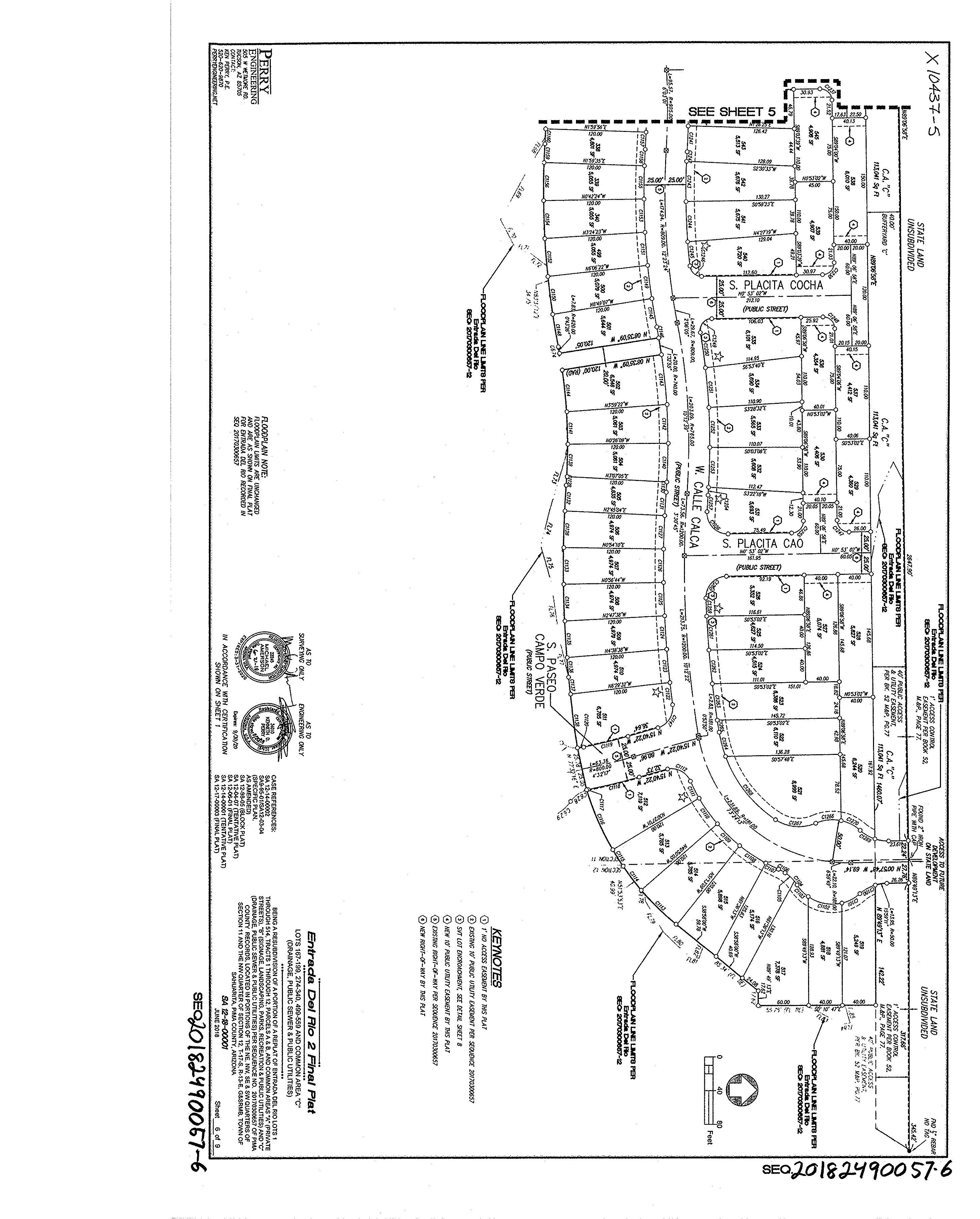
Legal Description : Entrada Del Rio 2 Sq20182490057 Lot 318

County : Pima, Az

Census Tract / Block : 43.36 / 2

Township-Range- Sect : 17S-13E-11

Legal Lot : 318

Last Market Sale Information

Recording/Sale Date : 08/10/2022 / 07/11/2022

Sale Price : $324,807

Document # : 2220617

Deed Type : Special Warranty Deed

Title Company : Title Sec Agcy Llc

Seller Name : Kb Home Sales-tucson Inc

Prior Sale Information

Prior Rec/Sale Date : 06/03/2021 / 06/00/2021

Prior Sale Price : $6,785,000

Property Characteristics

Gross Area : 1,465 Garage Capacity : 2

Living Area : 1,465

Total Rooms : 5

Year Built / Eff : 2023

# of Stories : 1

APN : 303-83-6070

Subdivision : Entrada Del Rio 2

Map Reference : 11-17S-13E

1st Mtg Amount/Type : $253,845 / Cnv

1st Mtg Document # : 2220618

1st Mtg Term : 30

Price Per SqFt : $221.71

Prior Doc Number : 1540871

Prior Deed Type : Special Warranty Deed

Patio Type : Covered Patio

Roof Material : Tile

Heat Type : Forced Air

Cooling Type : Forced Air

Air Cond : Refrigeration

Quality : Fair

Condition : Excellent

Exterior wall : Frame Wood Bath Fixtures : 7

Parking Type : Garage Customer Name : Jeremiah Stiffler

Customer Company Name : First American Prepared On : 06/17/2024

© 2024
All rights reserved
CoreLogic.

Property Information

Land Use : Sfr

Use : Single Fam Resurban Subd

Information

Assessed Year : 2023

2023

Acres : 0.11

Use : Single Fam Resurban Subd

Lot
Tax
Total
Property Tax :
Current Year
Value :
Total Taxable Value :
Market Value :
Current Year Improvement Value :
State
County
Lot Size : 4,891
Value : $35,393
$853.16
Total
$25,911
$4,661
$35,393
$25,861
Current
Current
Customer Name : Jeremiah Stiffler Customer Company Name : First American Prepared On
06/17/2024 © 2024 CoreLogic. All rights reserved
Assessed Year : 2025
Year Land Value : $50 Tax Year :
:
Sales
Criteria Subject Property Low High Average Sale Price $324,807 $302,500 $350,000 $323,745 Bldg/Living Area 1465 1262 1620 1460 Price Per Square Foot $221.71 $197 $246 $222.65 Year Built 2023 2021 2023 2023 Lot Size 4,891 4,347 7,118 5,465 Bedrooms Bathrooms 3 2 3 3 Stories 1 1 1 1 Total Assessed Value $35,393 $32,993 $232,291 $50,710 Distance From Subject 0 0.13 0.32 0.23 Summary of Comparables # Address Sale Price Total Assessed Value Sale Date Bed Bath Living Area Lot Size Year Built Dist (Miles) Zoning S 871 W Calle Calca 324,807 35,393 08/10/2022 3 1,465 4,891 2023 1 979 W Calle Calca 350,000 35,393 06/30/2023 3 1,465 4,701 2023 0.13 2 995 W Calle Calca 310,000 35,393 03/28/2024 3 1,262 4,800 2023 0.14 3 718 W Calle Calca 308,960 32,993 07/10/2023 3 1,262 5,675 2023 0.17 4 713 W Calle Calca 318,783 32,993 07/19/2023 3 1,620 5,062 2023 0.18 5 705 W Calle Calca 330,865 32,993 07/21/2023 3 1,465 4,965 2023 0.19 6 686 W Calle Calca 331,000 32,993 11/22/2023 3 1,620 6,101 2023 0.2 7 15311 S Placita Cocha 332,496 32,993 06/30/2023 3 1,465 4,347 2023 0.2 8 678 W Calle Calca 329,990 32,993 03/29/2024 3 1,465 5,690 2023 0.21 9 689 W Calle Calca 343,198 32,993 07/28/2023 3 1,465 6,547 2023 0.21 10 15303 S Placita Cocha 330,000 32,993 09/13/2023 3 1,383 4,414 2023 0.21 11 15304 S Placita Cao 310,212 32,993 09/21/2023 3 1,465 4,360 2023 0.23 12 657 W Calle Calca 310,081 32,993 07/19/2023 3 1,465 4,975 2023 0.24 13 646 W Calle Calca 320,754 32,993 08/16/2023 3 1,465 5,351 2023 0.26 Customer Name : Jeremiah Stiffler Customer Company Name : First American Prepared On : 06/17/2024 © 2024 CoreLogic. All rights reserved
Analysis
14 15313 S Placita Cao 308,662 32,993 08/03/2023 3 1,465 5,077 2023 0.26 15 1045 W Calle Moa 322,000 232,291 06/27/2023 2 1,590 6,554 2021 0.27 16 617 W Calle Calca 319,995 32,993 08/15/2023 3 1,465 6,785 2023 0.28 17 558 W Calle Calca 329,541 32,993 08/10/2023 3 1,620 6,242 2023 0.29 18 911 W Calle Sucre 302,500 183,239 01/05/2024 3 1,262 4,630 2021 0.29 19 615 W Calle Calca 329,000 32,993 04/18/2024 3 1,465 7,118 2023 0.3 20 591 W Calle Calca 336,872 32,993 09/25/2023 3 1,465 5,898 2023 0.32 Distressed Sales = Map Customer Name : Jeremiah Stiffler Customer Company Name : First American Prepared On : 06/17/2024 © 2024 CoreLogic. All rights reserved

Details of Comparables

Subject Property: 871 W Calle Calca Sahuarita Az 85629

Owner Name: Jacquez Erica L / APN / Alternate APN: 303-83-6070 / Deed Type: Special Warranty Deed

Subdivision / Tract: Entrada Del Rio 2 / Lot Size: 4,891

Rec. Date / Price: 08/10/2022 / $324,807 Living Area: 1,465

Document #: 2220617

Total Tax Value: $35,393

#1   979 W Calle Calca Sahuarita Az 85629

Land Use: Sfr

Year Built / Eff: 2023 /

# of units:

Bedrooms: Pool:

Bath(F/H): /

Owner Name: Morris Margaret Thelma / APN / Alternate APN: 303-83-5930 / Deed Type: Warranty Deed

Subdivision / Tract: Entrada Del Rio 2 / Lot Size: 4,701

Rec. Date / Price: 06/30/2023 / $350,000 Living Area: 1,465

Document #: 1810906

Total Tax Value: $35,393

#2   995 W Calle Calca Sahuarita Az 85629

Land Use: Sfr

Year Built / Eff: 2023 /

# of units:

Bedrooms: Pool:

Bath(F/H): /

Owner Name: Meritage Homes Of Arizona Inc / APN / Alternate APN: 303-83-5910 / Deed Type: Warranty Deed

Subdivision / Tract: Entrada Del Rio 2 / Lot Size: 4,800

Rec. Date / Price: 03/28/2024 / $310,000 Living Area: 1,262

Document #: 880693

Total Tax Value: $35,393

#3   718 W Calle Calca Sahuarita Az 85629

Bedrooms:

Bath(F/H): /

Owner Name: Murillo Jose Luis /Murillo Robles Jennifer Vazq Z

APN / Alternate APN: 303-83-6720 / Deed Type: Special Warranty Deed

Subdivision / Tract: Entrada Del Rio 2 / Lot Size: 5,675

Land Use: Sfr

Year Built / Eff: 2023 /

# of units:

Pool:

Land Use: Sfr

Year Built / Eff: 2023 / Rec. Date / Price: 07/10/2023 / $308,960 Living Area: 1,262

Document #: 1910006

Total Tax Value: $32,993

#4   713 W Calle Calca Sahuarita Az 85629

Bedrooms:

Bath(F/H): /

Owner Name: Leanos Kristine M / APN / Alternate APN: 303-83-6300 / Deed Type: Special Warranty Deed

Subdivision / Tract: Entrada Del Rio 2 / Lot Size: 5,062

Rec. Date / Price: 07/19/2023 / $318,783 Living Area: 1,620

Document #: 2000498

Total Tax Value: $32,993

Bedrooms:

Bath(F/H): /

# of units:

Pool:

Land Use: Sfr

Year Built / Eff: 2023 /

# of units:

Pool:

Name : Jeremiah Stiffler

Company Name : First American Prepared On : 06/17/2024

Customer
Customer
© 2024 CoreLogic. All rights reserved

#5   705 W Calle Calca Sahuarita Az 85629

Owner Name: Fuller Debra M / APN / Alternate APN: 303-83-6310 / Deed Type: Special Warranty Deed

Subdivision / Tract: Entrada Del Rio 2 / Lot Size: 4,965

Land Use: Sfr

Year Built / Eff: 2023 / Rec. Date / Price: 07/21/2023 / $330,865 Living Area: 1,465

Document #: 2020272

Total Tax Value: $32,993

#6   686 W Calle Calca Sahuarita Az 85629

# of units:

Bedrooms: Pool:

Bath(F/H): /

Owner Name: Boyer Jarred / APN / Alternate APN: 303-83-6660 / Deed Type: Special Warranty Deed Land Use: Sfr

Subdivision / Tract: Entrada Del Rio 2 / Lot Size: 6,101

Year Built / Eff: 2023 / Rec. Date / Price: 11/22/2023 / $331,000 Living Area: 1,620

Document #: 3260358

Total Tax Value: $32,993

# of units:

Bedrooms: Pool:

Bath(F/H): /

#7   15311 S Placita Cocha Sahuarita Az 85629

Owner Name: Moore Jenes W Jr / APN / Alternate APN: 303-83-6670 / Deed Type: Special Warranty Deed Land Use: Sfr

Subdivision / Tract: Entrada Del Rio 2 / Lot Size: 4,347

Rec. Date / Price: 06/30/2023 / $332,496 Living Area: 1,465

Document #: 1810991

Total Tax Value: $32,993

#8   678 W Calle Calca Sahuarita Az 85629

Bedrooms:

Bath(F/H): /

Owner Name: Brazie Joyce L /Brazie Lawrence APN / Alternate APN: 303-83-6650 / Deed Type: Special Warranty Deed

Subdivision / Tract: Entrada Del Rio 2 / Lot Size: 5,690

Rec. Date / Price: 03/29/2024 / $329,990 Living Area: 1,465

Document #: 890545

Total Tax Value: $32,993

#9   689 W Calle Calca Sahuarita Az 85629

Bedrooms:

Bath(F/H): /

Owner Name: Robles Maria D /Rocha Jorge Urbina Cp & R

APN / Alternate APN: 303-83-6330 / Deed Type: Special Warranty Deed

Subdivision / Tract: Entrada Del Rio 2 / Lot Size: 6,547

Year Built / Eff: 2023 /

# of units:

Pool:

Land Use: Sfr

Year Built / Eff: 2023 /

# of units:

Pool:

Land Use: Sfr

Year Built / Eff: 2023 / Rec. Date / Price: 07/28/2023 / $343,198 Living Area: 1,465

Document #: 2090503

Total Tax Value: $32,993

Bedrooms:

Bath(F/H): /

#10   15303 S Placita Cocha Sahuarita Az 85629

Owner Name: Escamilla Clarissa /Escamilla Aaron

APN / Alternate APN: 303-83-6680 / Deed Type: Special Warranty Deed

Subdivision / Tract: Entrada Del Rio 2 / Lot Size: 4,414

Rec. Date / Price: 09/13/2023 / $330,000 Living Area: 1,383

Document #: 2560528

Total Tax Value: $32,993

Bedrooms:

Bath(F/H): /

# of units:

Pool:

Land Use: Sfr

Year Built / Eff: 2023 /

# of units:

Pool:

Customer Name : Jeremiah Stiffler

Customer Company Name : First American Prepared On : 06/17/2024

© 2024 CoreLogic. All rights reserved

#11   15304 S Placita Cao Sahuarita Az 85629

Owner Name: White Wesley R / APN / Alternate APN: 303-83-6600 / Deed Type: Special Warranty Deed

Subdivision / Tract: Entrada Del Rio 2 / Lot Size: 4,360

Land Use: Sfr

Year Built / Eff: 2023 / Rec. Date / Price: 09/21/2023 / $310,212 Living Area: 1,465

Document #: 2640614

Total Tax Value: $32,993

#12   657 W Calle Calca Sahuarita Az 85629

Bedrooms:

Bath(F/H): /

Owner Name: Rodriguez-moreno Arianna I /Windom Jonathon J

# of units:

Pool:

APN / Alternate APN: 303-83-6370 / Deed Type: Special Warranty Deed Land Use: Sfr

Subdivision / Tract: Entrada Del Rio 2 / Lot Size: 4,975

Rec. Date / Price: 07/19/2023 / $310,081 Living Area: 1,465

Document #: 2000003

Total Tax Value: $32,993

#13   646 W Calle Calca Sahuarita Az 85629

Owner Name: Lee Gun /Lee Gabriela A

Bedrooms:

Bath(F/H): /

Year Built / Eff: 2023 /

# of units:

Pool:

APN / Alternate APN: 303-83-6570 / Deed Type: Special Warranty Deed Land Use: Sfr

Subdivision / Tract: Entrada Del Rio 2 / Lot Size: 5,351

Rec. Date / Price: 08/16/2023 / $320,754 Living Area: 1,465

Document #: 2280555

Total Tax Value: $32,993

Bedrooms:

Bath(F/H): /

#14   15313 S Placita Cao Sahuarita Az 85629

Owner Name: Kimbrough Camille /Kimbrough Maurice

APN / Alternate APN: 303-83-6580 / Deed Type: Special Warranty Deed

Subdivision / Tract: Entrada Del Rio 2 / Lot Size: 5,077

Year Built / Eff: 2023 /

# of units:

Pool:

Land Use: Sfr

Year Built / Eff: 2023 / Rec. Date / Price: 08/03/2023 / $308,662 Living Area: 1,465

Document #: 2150529

Total Tax Value: $32,993

#15   1045 W Calle Moa Sahuarita Az 85629

Bedrooms:

Bath(F/H): /

Owner Name: Pedde Allen R / APN / Alternate APN: 303-83-4120 / Deed Type: Warranty Deed

Subdivision / Tract: Entrada Del Rio / Lot Size: 6,554

Rec. Date / Price: 06/27/2023 / $322,000 Living Area: 1,590

Document #: 1780070

Total Tax Value: $232,291

#16   617 W Calle Calca Sahuarita Az 85629

Bedrooms:

Bath(F/H): /

Owner Name: Henning Sherrilyn / APN / Alternate APN: 303-83-6420 / Deed Type: Special Warranty Deed

Subdivision / Tract: Entrada Del Rio 2 / Lot Size: 6,785

# of units:

Pool:

Land Use: Sfr

Year Built / Eff: 2021 /

# of units:

Pool:

Land Use: Sfr

Year Built / Eff: 2023 / Rec. Date / Price: 08/15/2023 / $319,995 Living Area: 1,465

Document #: 2270601

Total Tax Value: $32,993

Bedrooms:

Bath(F/H): /

# of units:

Pool:

Name : Jeremiah Stiffler Customer Company Name : First American Prepared On : 06/17/2024

Customer
© 2024 CoreLogic. All rights reserved

#17   558 W Calle Calca Sahuarita Az 85629

Owner Name: Nigut Cooper R /Hickman Shannon A

APN / Alternate APN: 303-83-6510 / Deed Type: Special Warranty Deed

Subdivision / Tract: Entrada Del Rio 2 / Lot Size: 6,242

Land Use: Sfr

Year Built / Eff: 2023 / Rec. Date / Price: 08/10/2023 / $329,541 Living Area: 1,620

Document #: 2220413

Total Tax Value: $32,993

#18   911 W Calle Sucre Sahuarita Az 85629

Owner Name: In John /In Hannah

Bedrooms:

Bath(F/H): /

APN / Alternate APN: 303-83-5820 / Deed Type: Warranty Deed

Subdivision / Tract: Entrada Del Rio 2 / Lot Size: 4,630

# of units:

Pool:

Land Use: Sfr

Year Built / Eff: 2021 / Rec. Date / Price: 01/05/2024 / $302,500 Living Area: 1,262

Document #: 50177

Total Tax Value: $183,239

#19   615 W Calle Calca Sahuarita Az 85629

# of units:

Bedrooms: Pool:

Bath(F/H): /

Owner Name: Goodwin Elisabeth H / APN / Alternate APN: 303-83-6430 / Deed Type: Warranty Deed

Subdivision / Tract: Entrada Del Rio 2 / Lot Size: 7,118

Land Use: Sfr

Year Built / Eff: 2023 / Rec. Date / Price: 04/18/2024 / $329,000 Living Area: 1,465

Document #: 1090502

Total Tax Value: $32,993

#20   591 W Calle Calca Sahuarita Az 85629

# of units:

Bedrooms: Pool:

Bath(F/H): /

Owner Name: Saejao Ou T / APN / Alternate APN: 303-83-6460 / Deed Type: Special Warranty Deed

Subdivision / Tract: Entrada Del Rio 2 / Lot Size: 5,898

Land Use: Sfr

Year Built / Eff: 2023 / Rec. Date / Price: 09/25/2023 / $336,872 Living Area: 1,465

Document #: 2680557

Total Tax Value: $32,993

# of units:

Bedrooms: Pool:

Bath(F/H): /

Customer
Stiffler Customer Company
Prepared
© 2024 CoreLogic. All rights reserved
Name : Jeremiah
Name : First American
On : 06/17/2024
Subject
W
AZ 85629 Customer Name : Jeremiah Stiffler Customer Company Name : First American Prepared On : 06/17/2024 © 2024 CoreLogic. All rights reserved
Property :   871
Calle Calca Sahuarita

863 W CALLE CALCA

Owner Name : Campbell Anthony L

Sale Date : 07/11/2022

0.01 Miles

Subdivision : Entrada Del Rio 2

Recording Date : 09/09/2022

Total Value : $35,393 Sale Price  : $349,526

Bed / Bath : / 3 Property Tax : $853.16

Land Use : Sfr

Stories : 1

Acres : 0.11

Area : 1,465 Yr Blt / Eff Yr Blt : 2023 /

879 W CALLE CALCA

Owner Name : Solorzano Minh

Sale Date : 01/25/2022

303-83-6080

Subdivision : Entrada Del Rio 2

0.01 Miles

Recording Date : 04/20/2022

Total Value : $35,393 Sale Price  : $342,178

Bed / Bath : / 3

Land Use : Sfr

Stories : 1

Tax : $853.16

Acres : 0.11

Area : 1,728 Yr Blt / Eff Yr Blt : 2023 / APN : 303-83-6060

855 W CALLE CALCA

Owner Name : Lucero Andrea K

Sale Date : 07/11/2022

Total Value : $35,393

Bed / Bath : / 3

Land Use : Sfr

0.02 Miles

Subdivision : Entrada Del Rio 2

Recording Date : 08/30/2022

Sale Price  : $352,191

Property Tax : $853.16

Acres : 0.11

Stories : 1 Living Area : 1,728

Yr Blt / Eff Yr Blt : 2023 / APN : 303-83-6090

887 W CALLE CALCA

Owner Name : Lippincott Gregory M

Sale Date : 01/25/2022

Distance 0.02 Miles

Subdivision : Entrada Del Rio 2

Recording Date : 04/13/2022

Total Value : $35,393 Sale Price  : $369,678

Bed / Bath : / 3

Property Tax : $853.16

Land Use : Sfr Lot Acres : 0.11

Stories : 1 Living Area : 1,728

Yr Blt / Eff Yr Blt : 2023 / APN : 303-83-6050 Customer Name : Jeremiah Stiffler Customer Company Name : First American Prepared On : 06/17/2024

Distance
Lot
Living
APN :
Distance
Property
Lot
Living
Distance
Lot
© 2024 CoreLogic. All rights reserved

895 W CALLE CALCA

Owner Name : Schaffhauser Alexis L

Sale Date : 01/25/2022

0.02 Miles

Subdivision : Entrada Del Rio 2

Recording Date : 04/25/2022

Total Value : $35,393 Sale Price  : $321,898

Bed / Bath : / 3

Land Use : Sfr

Stories : 1

Blt / Eff Yr Blt : 2023 /

847 W CALLE CALCA

Owner Name : Scalzullo Valentina

Sale Date : 10/06/2022

Tax : $853.16

Acres : 0.11

Area : 1,465

303-83-6040

Subdivision : Entrada Del Rio 2

0.02 Miles

Recording Date : 11/10/2022

Total Value : $35,393 Sale Price  : $349,990

Bed / Bath : / 3

Land Use : Sfr

Stories : 1

Blt / Eff Yr Blt : 2023 /

903 W CALLE CALCA

Owner Name : Baker Mattie C

Sale Date : 01/25/2022

Tax : $853.16

Acres : 0.15

Area : 1,383

Subdivision : Entrada Del Rio 2

0.03 Miles

Recording Date : 06/23/2022

Total Value : $35,393 Sale Price  : $346,751

Bed / Bath : / 3

Land Use : Sfr

Property Tax : $853.16

Acres : 0.11

Stories : 1 Living Area : 1,465

Yr Blt / Eff Yr Blt : 2023 / APN : 303-83-6030

839 W CALLE CALCA Distance 0.03 Miles

Owner Name : Coleman Robert M

Sale Date : 07/11/2022

Subdivision : Entrada Del Rio 2

Recording Date : 10/07/2022

Total Value : $35,393 Sale Price  : $354,630

Bed / Bath : / 3

Property Tax : $853.16

Land Use : Sfr Lot Acres : 0.14

Stories : 1 Living Area : 1,728

Yr Blt / Eff Yr Blt : 2023 / APN : 303-83-6110 Customer Name : Jeremiah Stiffler Customer Company Name : First American Prepared On : 06/17/2024

Distance
Property
Lot
Living
APN :
Yr
Distance
Property
Lot
Living
Yr
APN : 303-83-6100
Distance
Lot
© 2024 CoreLogic. All rights reserved

911 W CALLE CALCA

Owner Name : Almaguer Robert C

Sale Date : 05/05/2022

Subdivision : Entrada Del Rio 2

Recording Date : 06/22/2022

Total Value : $35,393 Sale Price  : $344,877

Bed / Bath : / 3

Land Use : Sfr

Tax : $853.16

Acres : 0.11 Stories : 1

Blt / Eff Yr Blt : 2023 /

919 W CALLE CALCA

Owner Name : Hernandez Derek T

Sale Date : 01/11/2023

Area : 1,728

303-83-6020

Subdivision : Entrada Del Rio 2

Recording Date : 04/28/2023

Total Value : $35,393 Sale Price  : $345,058

Bed / Bath : / 3

Land Use : Sfr

Tax : $853.16

Acres : 0.13 Stories : 1

Blt / Eff Yr Blt : 2023 /

303-83-6010

Name : Jeremiah Stiffler

Company Name : First American Prepared On : 06/17/2024

Distance
0.04 Miles
Property
Lot
Living
APN :
Yr
Distance 0.05 Miles
Property
Lot
Living
Yr
©
rights reserved
Area : 1,465
APN :
Customer
Customer
2024 CoreLogic. All

Census Tract / block: 43.36 / 2     Year: 2020

Household Population Population by Age Count: 3,702 0 - 11 Estimate Current Year: 3,702 12 - 17 Estimate in 5 Years: 3,702 18 - 24 10.7% Growth Last 5 Years: 25 - 64 49.86% Growth Last 10 Years: 65 - 74 9.32% 75+ Household Size Household Income Current Year: 1,122 0 - $25,000 5.88% Average Current Year: 3.3 $25,000 - $35,000 3.57% Estimate in 5 Years: 1,122 $35,000 - $50,000 1.78% Growth Last 5 Years: $50,000 - $75,000 7.75% Growth Last 10 Years: $75,000 - $100,000 34.85% Male Population: 42.25% Above $100,000 46.17% Female Population: 57.75% Average Household Income: $98,080 Married People: 53.38% Unmarried People: 46.62% Housing Median Mortgage Payments Home Values Under $300: 0% Below $100,000: 0% $300 - $799: 5.18% $100,000 - $150,000: 0.93% $800 - $1,999: 71.61% $150,000 - $200,000: 28.19% Over $2,000: 23.21% $200,000 - $300,000: 53.47% Median Home Value: $227,700 $300,000 - $500,000: 14.51% Unit Occupied Owner: 86.01% Above $500,000: 2.9% Median Mortgage: Customer Name : Jeremiah Stiffler Customer Company Name : First American Prepared On : 06/17/2024 © 2024 CoreLogic. All rights reserved
Rent
Year Built Unit Occupied Renter: 13.99% 1999 - 2000 Median Gross Rent: $1,758 1995 - 1998 Less Than $499 0% 1990 - 1994 $500 - $749 0% 1980 - 1989 0% $750 - $999 0% 1970 - 1979 0% $1000 and Over 100% 1900 - 1969 0% Education Enrollment Public Pre-Primary School: 0.92% Not Enrolled in School: 65.24% Private Pre-Primary School: 1.31% Not A High School Graduate: 4.75% Public School: 28.61% Graduate Of High School: 18.06% Private School: 6.15% Attended Some College: 25.74% Public College: 12.35% College Graduate: 31.42% Private College: 0% Graduate Degree: 20.02% Workforce Occupation: Manager/Prof: 40.87% Private Worker: 63.19% Technical: Government Worker: 20.99% Sales: 23.07% Self Employed Worker: 4.35% Administrative: Unpaid Family Worker: 7.71% Private House Hold: Farming: 6.49% Service: 25.51% Skilled: Protective Services: Blue-Collar: 10.55% Commute Time Less Than 15 Min: 9.78% 15 min - 28 min: 39.29% 30 min - 57 min: 50.06% Over 60 min: 0.87% Customer Name : Jeremiah Stiffler Customer Company Name : First American Prepared On : 06/17/2024 © 2024 CoreLogic. All rights reserved
Payments
Customer
Customer
© 2024 CoreLogic. All rights reserved
Name : Jeremiah Stiffler
Company Name : First American Prepared On : 06/17/2024
Customer
Customer
© 2024 CoreLogic. All rights reserved
Name : Jeremiah Stiffler
Company Name : First American Prepared On : 06/17/2024
Customer
Customer
First
Prepared On
© 2024 CoreLogic. All rights reserved
Name : Jeremiah Stiffler
Company Name :
American
: 06/17/2024

Arizona Schools

For detailed information and statistics on Arizona schools please go to https://azreportcards.azed.gov/ First American Title Insurance Company, and the operating divisions thereof, make no express or implied warranty respecting the information presented and assume no responsibility for errors or omissions. First American, the eagle logo, First American Title, and firstam.com are registered trademarks or trademarks of First American Financial Corporation and/or its affiliates. ©2021 First American Financial Corporation and/or its affiliates. All rights reserved. NYSE: FAF 05117910421

PIMA COUNTY

05249570321 TUCSON INT'L AIRPORT Air Force WSilverbellRd SSantaRitaRd N M t L emmon Hwy ESascoRd NF38 W Avra Valley Rd E Grand Va ey Dr NAguirre R d N L u c k e R d N W e n t z R d N Wa terman Mounta i n R d N Anway Rd W El Tiro Rd N Trico Rd W Tucker Rd W Rudas l Rd W Manvi e Rd SSanJoaquinRd WBopp Rd W Snyder H l Rd S M a r s e a r R d W Park Rd W Hermans Rd W Hermans Rd W Guy St W Bush Rd S G a v e y R d N C a e R i n c o n a d o S W m o R d S Shaw Rd S Sierrita Mountain Rd S K o b R d W TwinButtes Rd W Mcgee Ranch Rd S E s t a n c a D r EDesertDove E Hemlock Dr N Bea r C a n y o n R d W E Camino Del Cerro E Fairmount St S Swan Rd NFrontageRd W Emigh Rd W Fort Lowe Rd N P u m p S t a t ion dR E Nona Rd Ch efButteRd Lo al Ave N Trico Rd S Cattle Tank Rd Evalyn Rd SOwlHead R a n c h Rd GasLineRd S P ec a n R d N T r c o R d W Bayard Rd S S a n d a r o R d W i l l owSpri n gsRd N Dove Mountain Blvd SHelvetiaRd WAnamax Mine Rd W G a c i a R a n hc R d Road424 WRagged Top Rd W Ruby Star Dr WBritten RanchRd W Pima Mine Rd S Mcgee Ranch R d E Edw n Rd SGuildRd 8 0 NKINNEYRD S PICACHO HWY E BAUMGARTNER RD N S A N D A R I O R D N ANWAY RD W VALENCIA RD W MOORE RD W INA RD N 1 S T A V E E SUNRISE DR E SNYDER RD NSILVERBELLRD N S O L D I E R T R L E RIVER RD E PRINCE RD E SPEEDWAY BLVD S FREEMAN RD E 22ND ST E 22ND ST W IRVINGTON RD S N O G A L E S H W Y W VALENCIA RD SMISSIONRD W SPEEDWAY BLVD S O L D S P A N I S H T RL W NARANJA DR W TWIN PEAKS RD W PICTURE ROCKS RD W MANVILLE RD SKINNEYRD W MILE WIDE RD E SAHUARITA RD N TRICO RD S S A N D A R O R D PARK LINK DR S OLD N O G ALES HW Y S H O U G H T O N R D S L A C A N A D A DR W HELMET PEAK RD WAJOHWY N S W A N R D S KOLB RD S HOUGHTON RD W TANGERINE RD E GRANT RD S H O U G H T O N R D 9 5 WAJOHWY E VALENCIA RD NORACLE R D I10 I-19 77 77 77 86 86 286 10 19 10 10 Corona de Tucson Casas Adobes Catalina Green Valley Oracle Picture Rocks Three Points Vail Summit Tanque Verde Tucson Sahuarita Red Rock Saddlebrooke Marana Oro Valley Rillito Summerhaven Willow Canyon Oracle Junction Cortaro Continental Littletown 20 30 13 15 51 39 12 01 01 08 10 16 11 06
School District Information This map is provided for general location only. Please contact school districts for actual street boundaries SCHOOL DISTRICTS 15 AJO UNIFIED 111 N. Well Road, Ajo, AZ 85321 520.387.5618 51 ALTAR VALLEY ELEMENTARY 10105 S. Sasabe Road, Tucson, AZ 85736 520.822.1484 10 AMPHITHEATER UNIFIED 701 W. Wetmore, Tucson, AZ 85705 520.696.5000 16 CATALINA FOOTHILS UNIFIED 2101 E. River Road, Tucson, AZ 85718 520.209.7500 39 CONTINENTAL ELEMENTARY 1991 E. Whitehouse Canyon, Green Valley, AZ 85614 520.625.4581 08 FLOWING WELLS UNIFIED 1556 W. Prince Road, Tucson, AZ 85705 520.696.8800 06 MARANA UNIFIED 11279 W. Grier Road, Marana, AZ 85653 520.682.3243 11 PIMA COUNTY JTED 2855 W. Master Pieces Dr, Tucson, AZ 85741 520.352.5833 30 SAHUARITA UNIFIED 350 W. Sahuarita Road, Sahuarita, AZ 85629 520.625.3502 12 SUNNYSIDE UNIFIED 2238 E. Ginter Road, Tucson, AZ 85706 520.545.2000 13 TANQUE VERDE UNIFIED 2300 N. Tanque Verde Loop, Tucson, AZ 85749 520.749.5751 01 TUCSON UNIFIED 1010 E. 10th Street, Tucson, AZ 85717 520.225.6000 20 VAIL UNIFIED 10701 E. Mary Ann Cleveland Way, Tucson, AZ 85747 520.879.2000 First American Title Insurance Company, and the operating divisions thereof, make no express or implied warranty respecting the information presented and assume no responsibility for errors or omissions. First American, the eagle logo, First American Title, and firstam.com are registered trademarks or trademarks of First American Financial Corporation and/or its affiliates. ©2021 First American Financial Corporation and/or its affiliates. All rights reserved. NYSE: FAF

PARCEL:  303-83-6070

PARCEL: 303-83-6070

OWNER: JACQUEZ ERICA

SITUS: 871 W CALLE CALCA SAH

PLAT: LOT 00318 BLOCK

SEARCH PARAMETERS

LEGAL: ENTRADA DEL RIO 2 SQ20182490057 LOT 318

2022 2220617 08/10/2022

2022 2220617 SW KB HOME SALES-TUCSON INC 12/01/2020 1,060,000    2020 3361051 SW LANDMARK TITLE ASSURANCE A M

END SEARCH

+ FIRST AMERICAN TITLE, FC0, JSTI PIMA, AZ 06/17/2024  10:15AM  R9C8  INVESTIGATIVE SEARCH RESULTS PAGE 1 OF 1
INSTRUMENT REC DATE
AFFIDAVIT
INFORMATION THROUGH 05/28/2024 LAND IMPR EXEMPT RATE AREA SPECIAL DISTRICTS PRIMARY  4,661  0  0  8.8572  3011 SECONDARY  5,309  0  0  9.4474  2023 TOTAL TAX BILLED 853.16 2023  TAX AMT TAX DUE INTEREST DATE PAID TOTAL DUE FIRST HALF  426.58  0.00  0.00  10/26/2023  0.00  SECOND HALF  426.58  0.00  0.00  04/30/2024  0.00  TOTAL CURRENT TAXES DUE 06/24 0.00 07/24 0.00 IMPROVEMENTS BLDG SQFT  0 FULL CASH VALUE  35,393 YEAR BUILT  0 LAND USE  00 73 NUMBER OF STORIES LOT SIZE  1 STDLT STORIES HEIGHT  0 SCHOOL DISTRICT  3011 EXTERIOR WALLS LAND FULL CASH VALUE  35,393 GRADE MATERIALS IMPR FULL CASH VALUE  0 SALES SALE DATE SALE AMOUNT INSTRUMENT TYPE SELLER NAME VALIDITY
324,807
CURRENT TAXES
08/10/2022
Page 1 of 2 06/17/2024 10:16 AM
Page 2 of 2 06/17/2024 10:16 AM
Page 1 of 18 06/17/2024 10:16 AM
Page 2 of 18 06/17/2024 10:16 AM
Page 3 of 18 06/17/2024 10:16 AM
Page 4 of 18 06/17/2024 10:16 AM
Page 5 of 18 06/17/2024 10:16 AM
Page 6 of 18 06/17/2024 10:16 AM
Page 7 of 18 06/17/2024 10:16 AM
Page 8 of 18 06/17/2024 10:16 AM
Page 9 of 18 06/17/2024 10:16 AM
Page 10 of 18 06/17/2024 10:16 AM
Page 11 of 18 06/17/2024 10:16 AM
Page 12 of 18 06/17/2024 10:16 AM
Page 13 of 18 06/17/2024 10:16 AM
Page 14 of 18 06/17/2024 10:16 AM
Page 15 of 18 06/17/2024 10:16 AM
Page 16 of 18 06/17/2024 10:16 AM
Page 17 of 18 06/17/2024 10:16 AM
Page 18 of 18 06/17/2024 10:16 AM

Covenants, Conditions & Restrictions

Thank you for the opportunity to be of service.

Restrictions indicating a preference, limitation or discrimination based on race, color, religion, sex, handicap, familial status, or national origin are hereby deleted to the extent such restrictions violate 42 USC 3604(c).

This information is furnished without fee and without benefit of a complete title search. No liability is assumed by First American Title. If it is desired that liability be assumed, you may apply for a policy of title insurance with First American Title Insurance Company.

Page 1 of 9 06/17/2024 10:16 AM
Page 2 of 9 06/17/2024 10:16 AM
Page 3 of 9 06/17/2024 10:16 AM
Page 4 of 9 06/17/2024 10:16 AM
Page 5 of 9 06/17/2024 10:16 AM
Page 6 of 9 06/17/2024 10:16 AM
Page 7 of 9 06/17/2024 10:16 AM
Page 8 of 9 06/17/2024 10:16 AM
Page 9 of 9 06/17/2024 10:16 AM
Page 1 of 150 06/17/2024 11:09 AM
Page 2 of 150 06/17/2024 11:09 AM
Page 3 of 150 06/17/2024 11:09 AM
Page 4 of 150 06/17/2024 11:09 AM
Page 5 of 150 06/17/2024 11:09 AM
Page 6 of 150 06/17/2024 11:09 AM
Page 7 of 150 06/17/2024 11:09 AM
Page 8 of 150 06/17/2024 11:09 AM
Page 9 of 150 06/17/2024 11:09 AM
Page 10 of 150 06/17/2024 11:09 AM
Page 11 of 150 06/17/2024 11:09 AM
Page 12 of 150 06/17/2024 11:09 AM
Page 13 of 150 06/17/2024 11:09 AM
Page 14 of 150 06/17/2024 11:09 AM
Page 15 of 150 06/17/2024 11:09 AM
Page 16 of 150 06/17/2024 11:09 AM
Page 17 of 150 06/17/2024 11:09 AM
Page 18 of 150 06/17/2024 11:09 AM
Page 19 of 150 06/17/2024 11:09 AM
Page 20 of 150 06/17/2024 11:09 AM
Page 21 of 150 06/17/2024 11:09 AM
Page 22 of 150 06/17/2024 11:09 AM
Page 23 of 150 06/17/2024 11:09 AM
Page 24 of 150 06/17/2024 11:09 AM
Page 25 of 150 06/17/2024 11:09 AM
Page 26 of 150 06/17/2024 11:09 AM
Page 27 of 150 06/17/2024 11:09 AM
Page 28 of 150 06/17/2024 11:09 AM
Page 29 of 150 06/17/2024 11:09 AM
Page 30 of 150 06/17/2024 11:09 AM
Page 31 of 150 06/17/2024 11:09 AM
Page 32 of 150 06/17/2024 11:09 AM
Page 33 of 150 06/17/2024 11:09 AM
Page 34 of 150 06/17/2024 11:09 AM
Page 35 of 150 06/17/2024 11:09 AM
Page 36 of 150 06/17/2024 11:09 AM
Page 37 of 150 06/17/2024 11:09 AM
Page 38 of 150 06/17/2024 11:09 AM
Page 39 of 150 06/17/2024 11:09 AM
Page 40 of 150 06/17/2024 11:09 AM
Page 41 of 150 06/17/2024 11:09 AM
Page 42 of 150 06/17/2024 11:09 AM
Page 43 of 150 06/17/2024 11:09 AM
Page 44 of 150 06/17/2024 11:09 AM
Page 45 of 150 06/17/2024 11:09 AM
Page 46 of 150 06/17/2024 11:09 AM
Page 47 of 150 06/17/2024 11:09 AM
Page 48 of 150 06/17/2024 11:09 AM
Page 49 of 150 06/17/2024 11:09 AM
Page 50 of 150 06/17/2024 11:09 AM
Page 51 of 150 06/17/2024 11:09 AM
Page 52 of 150 06/17/2024 11:09 AM
Page 53 of 150 06/17/2024 11:09 AM
Page 54 of 150 06/17/2024 11:09 AM
Page 55 of 150 06/17/2024 11:09 AM
Page 56 of 150 06/17/2024 11:09 AM
Page 57 of 150 06/17/2024 11:09 AM
Page 58 of 150 06/17/2024 11:09 AM
Page 59 of 150 06/17/2024 11:09 AM
Page 60 of 150 06/17/2024 11:09 AM
Page 61 of 150 06/17/2024 11:09 AM
Page 62 of 150 06/17/2024 11:09 AM
Page 63 of 150 06/17/2024 11:09 AM
Page 64 of 150 06/17/2024 11:09 AM
Page 65 of 150 06/17/2024 11:09 AM
Page 66 of 150 06/17/2024 11:09 AM
Page 67 of 150 06/17/2024 11:09 AM
Page 68 of 150 06/17/2024 11:09 AM
Page 69 of 150 06/17/2024 11:09 AM
Page 70 of 150 06/17/2024 11:09 AM
Page 71 of 150 06/17/2024 11:09 AM
Page 72 of 150 06/17/2024 11:09 AM
Page 73 of 150 06/17/2024 11:09 AM
Page 74 of 150 06/17/2024 11:09 AM
Page 75 of 150 06/17/2024 11:09 AM
Page 76 of 150 06/17/2024 11:09 AM
Page 77 of 150 06/17/2024 11:09 AM
Page 78 of 150 06/17/2024 11:09 AM
Page 79 of 150 06/17/2024 11:09 AM
Page 80 of 150 06/17/2024 11:09 AM
Page 81 of 150 06/17/2024 11:09 AM
Page 82 of 150 06/17/2024 11:09 AM
Page 83 of 150 06/17/2024 11:09 AM
Page 84 of 150 06/17/2024 11:09 AM
Page 85 of 150 06/17/2024 11:09 AM
Page 86 of 150 06/17/2024 11:09 AM
Page 87 of 150 06/17/2024 11:09 AM
Page 88 of 150 06/17/2024 11:09 AM
Page 89 of 150 06/17/2024 11:09 AM
Page 90 of 150 06/17/2024 11:09 AM
Page 91 of 150 06/17/2024 11:09 AM
Page 92 of 150 06/17/2024 11:09 AM
Page 93 of 150 06/17/2024 11:09 AM
Page 94 of 150 06/17/2024 11:09 AM
Page 95 of 150 06/17/2024 11:09 AM
Page 96 of 150 06/17/2024 11:09 AM
Page 97 of 150 06/17/2024 11:09 AM
Page 98 of 150 06/17/2024 11:09 AM
Page 99 of 150 06/17/2024 11:09 AM
Page 100 of 150 06/17/2024 11:09 AM
Page 101 of 150 06/17/2024 11:09 AM
Page 102 of 150 06/17/2024 11:09 AM
Page 103 of 150 06/17/2024 11:09 AM
Page 104 of 150 06/17/2024 11:09 AM
Page 105 of 150 06/17/2024 11:09 AM
Page 106 of 150 06/17/2024 11:09 AM
Page 107 of 150 06/17/2024 11:09 AM
Page 108 of 150 06/17/2024 11:09 AM
Page 109 of 150 06/17/2024 11:09 AM
Page 110 of 150 06/17/2024 11:09 AM
Page 111 of 150 06/17/2024 11:09 AM
Page 112 of 150 06/17/2024 11:09 AM
Page 113 of 150 06/17/2024 11:09 AM
Page 114 of 150 06/17/2024 11:09 AM
Page 115 of 150 06/17/2024 11:09 AM
Page 116 of 150 06/17/2024 11:09 AM
Page 117 of 150 06/17/2024 11:09 AM
Page 118 of 150 06/17/2024 11:09 AM
Page 119 of 150 06/17/2024 11:09 AM
Page 120 of 150 06/17/2024 11:09 AM
Page 121 of 150 06/17/2024 11:09 AM
Page 122 of 150 06/17/2024 11:09 AM
Page 123 of 150 06/17/2024 11:09 AM
Page 124 of 150 06/17/2024 11:09 AM
Page 125 of 150 06/17/2024 11:09 AM
Page 126 of 150 06/17/2024 11:09 AM
Page 127 of 150 06/17/2024 11:09 AM
Page 128 of 150 06/17/2024 11:09 AM
Page 129 of 150 06/17/2024 11:09 AM
Page 130 of 150 06/17/2024 11:09 AM
Page 131 of 150 06/17/2024 11:09 AM
Page 132 of 150 06/17/2024 11:09 AM
Page 133 of 150 06/17/2024 11:09 AM
Page 134 of 150 06/17/2024 11:09 AM
Page 135 of 150 06/17/2024 11:09 AM
Page 136 of 150 06/17/2024 11:09 AM
Page 137 of 150 06/17/2024 11:09 AM
Page 138 of 150 06/17/2024 11:09 AM
Page 139 of 150 06/17/2024 11:09 AM
Page 140 of 150 06/17/2024 11:09 AM
Page 141 of 150 06/17/2024 11:09 AM
Page 142 of 150 06/17/2024 11:09 AM
Page 143 of 150 06/17/2024 11:09 AM
Page 144 of 150 06/17/2024 11:09 AM
Page 145 of 150 06/17/2024 11:09 AM
Page 146 of 150 06/17/2024 11:09 AM
Page 147 of 150 06/17/2024 11:09 AM
Page 148 of 150 06/17/2024 11:09 AM
Page 149 of 150 06/17/2024 11:09 AM
Page 150 of 150 06/17/2024 11:09 AM
Page 1 of 5 06/17/2024 10:19 AM
Page 2 of 5 06/17/2024 10:19 AM
Page 3 of 5 06/17/2024 10:19 AM
Page 4 of 5 06/17/2024 10:19 AM
Page 5 of 5 06/17/2024 10:19 AM
to the Title & Escrow Process in Arizona Home Seller’s Guide
Southwest Gas 1.877.860.6020 www.swgas.com Cox 602.277.1000 www.cox.com Direct TV 1.888.777.2454 www.directv.com Dish Network 1.800.823.4929 www.dishnetwork.com CenturyLink 800.366.8201 www.centurylink.com AT&T 1.800.222.0300 www.att.com Verizon 1.877.300.4498 www.connecttoverizon.com Salt River Project 602.236.8888 www.srpnet.com APS 602.371.7171 www.aps.com Your Escrow Number Your New Address City/State/Zip Real Estate Agent Name Email Assistant Email Company Phone Address Fax Insurance Previous Company Phone Previous Agent Policy No. New Company Phone New Agent Policy No. Home Warranty Company Policy No. First American Title Escrow Officer Email Escrow Assistant Email Address Phone City/State/Zip Fax 02 Quick Reference 03 Welcome 04 Benefits of Using a REALTOR ® 05 Key Professionals 06 Preparing Your Home for Sale 07 Staging Your Home for Show 09 Terms You Should Know 10 The Life of an Escrow 11 Closing Costs: Who Pays What 12 The Escrow Process 14 Understanding Title Insurance 16 Consider This 17 Closing Your Escrow 18 Planning Your Move Q uick Reference Table of Contents Utilities and Services

Count on First American Title

Welcome to the home-selling process. Throughout this process, you can count on First American Title to guide you smoothly through your transaction and provide expert answers to your questions. We are happy to serve you.

Count On Us For Service

First American Title’s professionals are proud to provide the title insurance that assures people’s home ownership. Backed by First American Title Insurance Company, your transaction will be expertly completed in accordance with state-specific underwriting standards and state and federal regulatory requirements.

Count On Us For Stability

First American Title is the principal subsidiary of First American Financial Corporation, and one of the largest suppliers of title insurance services in the nation. With roots dating back to 1889, we’ve served families for generations.

Count On Us For Convenience

First American Title has a direct office or agent near you, offering convenient locations throughout Arizona. We also have an extensive network of offices and agents throughout the United States, and internationally.

Count On Us To Meet Your Needs

First American Financial Corporation offers more than title insurance and escrow services through its subsidiaries. Our subsidiaries also provide property data, title plant records and images, home warranties, property and casualty insurance, and banking, trust and advisory services.

AZ Sellers Guide | 3

Benefits of using a Professional REALTOR ®

Before you make the decision to try to sell your home alone, consider the benefits a REALTOR ® can provide that you may not be aware of.

A REALTOR ® :

› Understands market conditions and has access to information not available to the average homeowner.

› Can advertise effectively for the best results.

› Knows how to price your home realistically, to give you the highest price possible within your time frame.

› Is experienced in creating demand for homes and how to show them to advantage.

› Knows how to screen potential buyers and eliminate those who can’t qualify or are looking for bargain-basement prices.

› Knows how to go toe-to-toe in negotiations.

› Is always “on-call,” answering the phone at all hours, and showing homes evenings and weekends.

› Can remain objective when presenting offers and counter-offers on your behalf.

› Maintains errors-and-omissions insurance.

› Will listen to your needs, respect your opinions and allow you to make your own decisions.

› Can help protect your rights, particularly important with the increasingly complicated real estate laws and regulations.

› Is experienced with resolving problems to facilitate a successful closing on your home.

Only you can determine whether you should attempt to sell your home—probably your largest investment—all alone. Talk with a REALTOR® before you decide. You may find working with a professional is a lot less expensive and much more beneficial than you ever imagined!

FOR SALE BY OWNER

Many people believe they can save a considerable amount of money by selling their homes themselves. It may seem like a good idea at the time, but while you may be willing to take on the task, are you qualified? The following are some questions to help you realistically assess what’s involved.

Do you...

- have the knowledge, patience, and sales skills needed to sell your home?

- know how to determine your home’s current market value?

- know how to determine whether or not a buyer can qualify for a loan?

- understand the steps of an escrow and what’s required of you and the buyer?

- need to hire a real estate attorney? If so, do you know what the cost will be and how much liability they will assume in the transaction?

- know how to advertise effectively and what the costs will be?

- understand the various types of loans buyers may choose and the advantages and disadvantages for the seller?

- have arrangements with an escrow and title company, home warranty company, pest-control service and lender to assist you with the transaction?

Are you...

- aware of conditions in the marketplace today that affect value and length of time to sell?

- concerned about having strangers walking through your home?

- familiar enough with real estate regulations to prepare a binding sales contract? Counter-offers?

- aware that every time you leave your home, you are taking it off the market until you return?

- aware that prospective buyers and bargain hunters will expect you to lower your cost because there’s no REALTOR® involved?

- prepared to give up your evenings and weekends to show your home to potential buyers and “just-looking” time wasters?

AZ Sellers Guide | 4

Key Professionals Involved in Your Transaction

REALTOR ®

A REALTOR ® is a licensed real estate agent and a member of the National Association of REALTORS,® a real estate trade association. REALTORS ® also belong to their state and local Association of REALTORS.®

REAL ESTATE AGENT

A real estate agent is licensed by the state to represent parties in the transfer of property. Every REALTOR ® is a real estate agent, but not every real estate agent has the professional designation of a REALTOR.®

LISTING AGENT

A key role of the listing agent or broker is to form a legal relationship with the homeowner to sell the property and place the property in the Multiple Listing Service.

BUYER'S AGENT

A key role of the buyer’s agent or broker is to work with the buyer to locate a suitable property and negotiate a successful home purchase.

MULTIPLE LISTING SERVICE (MLS)

The MLS is a database of properties listed for sale by REALTORS ® who are members of the local Association of REALTORS.® Information on an MLS property is available to thousands of REALTORS ®

TITLE COMPANY

These are the people who carry out the title search and examination, work with you to eliminate the title exceptions you are not willing to take subject to, and provide the policy of title insurance regarding title to the real property.

ESCROW OFFICER

An escrow officer leads the facilitation of your escrow, including escrow instructions preparation, document preparation, funds disbursement, and more.

AZ Sellers Guide | 5

PREPARING FOR SALE YOUR HOME

First impressions have a major impact on potential buyers. Try to imagine what potential buyers will see when they approach your house for the first time and walk through each room. Ask your REALTOR ® for advice; they know the marketplace and what helps a home sell. Here are some tips to present your home in a positive manner:

Mow and edge the lawn regularly, and trim the shrubs.

Make your entry inviting: Paint your front door and buy a new front door mat.

Paint or replace the mailbox, if needed.

If screens or windows are damaged, replace or repair them.

Repair or replace worn shutters and other exterior trim.

Make sure the front steps are clear and hazard-free. Make sure the doorbell works properly and has a pleasant sound.

Ensure that all exterior lights are working.

Check stucco walls for cracks and discoloration.

Remove any oil and rust stains from the driveway and garage.

Clean and organize the garage, and ensure the door is in good working order.

Shampoo carpeting or replace if worn. Clean tile floors, particularly the caulking.

Brighten the appearance inside by painting walls, cleaning windows and window coverings, and removing sunscreens.

Repair leaky faucets and caulking in bathtubs and showers.

Repair or replace loose knobs on doors and cabinets. If doors stick or squeak, fix them.

Make sure toilet seats look new and are firmly attached.

Repair or replace loud ventilating fans.

Replace worn shower curtains.

Rearrange furniture to make rooms appear larger. If possible, remove and/or store excess furniture, and avoid extension cords in plain view.

Remove clutter throughout the house. Organize and clean out closets.

Clean household appliances and make sure they work properly.

Air conditioners/heaters, evaporative coolers, hot water heater should be clean, working and inspected if necessary. Replace filters.

Check the pool and/or spa equipment and pumps. Make sure all are working properly and that the pool and/or spa are kept clean.

Inspect fences, gates and latches. Repair or replace as needed.

AZ Sellers Guide | 6

Staging your home for Show

To make the best impression, keep your home clean, neat, uncluttered and in good repair. Please review this list prior to each showing:

Keep everything clean. A messy or dirty home will cause prospective buyers to notice every flaw.

Clear all clutter from counter tops.

Let the light in. Raise shades, open blinds, pull back the curtains and turn on the lights.

Get rid of odors such as tobacco, pets, cooking, etc., but don’t overdo air fresheners or potpourri. Fresh baked bread and cinnamon can make a positive impact.

Send pets away or secure them away from the house, and be sure to clean up after them.

Close the windows to eliminate street noise.

If possible you, your pets, and your children should be gone while your home is being shown.

Clean trash cans and put them out of sight.

If you must be present while your home is shown, keep noise down. Turn off the TV and radio. Soft, instrumental music is fine, but avoid vocals.

Keep the garage door closed and the driveway clear. Park autos and campers away from your home during showings

Hang clean attractive guest towels in the bathrooms.

Check that sink and tub are scrubbed and unstained.

Make beds with attractive spreads.

Stash or throw out newspapers, magazines, junk mail.

AZ Sellers Guide | 7
AZ Sellers Guide | 8

Terms You Should Know

Appraisal

An estimate of value of property resulting from analysis of facts about the property; an opinion of value.

Annual Percentage Rate (APR)

The borrower’s costs of the loan term expressed as a rate. This is not their interest rate.

Beneficiary

The recipient of benefits, often from a deed of trust; usually the lender.

Closing Disclosure (CD)

Closing Disclosure form designed to provide disclosures that will be helpful to borrowers in understanding all of the costs of the transaction. This form will be given to the consumer three (3) business days before closing.

Close of Escrow

Generally the date the buyer becomes the legal owner and title insurance becomes effective.

Comparable Sales

Sales that have similar characteristics as the subject real property, used for analysis in the appraisal. Commonly called “comps.”

Consummation

Occurs when the borrower becomes contractually obligated to the creditor on the loan, not, for example, when the borrower becomes contractually obligated to a seller on a real estate transaction. The point in time when a borrower becomes contractually obligated to the creditor on the loan depends on applicable State law. Consummation is not the same as close of escrow or settlement.

Deed of Trust

An instrument used in many states in place of a mortgage.

Deed Restrictions

Limitations in the deed to a parcel of real property that dictate certain uses that may or may not be made of the real property.

Disbursement Date

The date the amounts are to be disbursed to a buyer and seller in a purchase transaction or the date funds are to be paid to the borrower or a third party in a transaction that is not a purchase transaction.

Earnest Money Deposit

Down payment made by a purchaser of real property as evidence of good faith; a deposit or partial payment.

Easement

A right, privilege or interest limited to a specific purpose that one party has in the land of another.

Endorsement

As to a title insurance policy, a rider or attachment forming a part of the insurance policy expanding or limiting coverage.

Hazard Insurance

Real estate insurance protecting against fire, some natural causes, vandalism, etc., depending upon the policy. Buyer often adds liability insurance and extended coverage for personal property.

Impounds

A trust type of account established by lenders for the accumulation of borrower’s funds to meet periodic payments of taxes, mortgage insurance premiums and/or future insurance policy premiums, required to protect their security.

Legal Description

A description of land recognized by law, based on government surveys, spelling out the exact boundaries of the entire parcel of land. It should so thoroughly identify a parcel of land that it cannot be confused with any other.

Lien

A form of encumbrance that usually makes a specific parcel of real property the security for the payment of a debt or discharge of an obligation. For example, judgments, taxes, mortgages, deeds of trust.

Loan Estimate (LE)

Form designed to provide disclosures that will be helpful to borrowers in understanding the key features, costs and risks of the mortgage loan for which they are applying. Initial disclosure to be given to the borrower three (3) business days after application.

Mortgage

The instrument by which real property is pledged as security for repayment of a loan.

PITI

A payment that includes Principal, Interest, Taxes, and Insurance.

Power of Attorney

A written instrument whereby a principal gives authority to an agent. The agent acting under such a grant is sometimes called an “Attorney-in-Fact.”

Recording

Filing documents affecting real property with the appropriate government agency as a matter of public record.

Settlement statement

Provides a complete breakdown of costs involved in a real estate transaction.

TRID

TILA-RESPA Integrated Disclosures

AZ Sellers Guide | 9

The Life Of An Escrow

THE BUYER

Chooses a Real Estate Agent

Gets pre-approval letter from Lender and provides to Real Estate Agent.

Makes offer to purchase. Upon acceptance, opens escrow and deposits earnest money.

Finalizes loan application with Lender. Receives a Loan Estimate from Lender.

Completes and returns opening package from First American Title.

Schedules inspections and evaluates findings. Reviews title commitment/ preliminary report.

Provides all requested paperwork to Lender (bank statements, tax returns, etc.) All invoices and final approvals should be to the lender no later than 10 days prior to loan consummation.

Lender (or Escrow Officer) prepares CD and delivers to Buyer at least 3 days prior to loan consummation.

Escrow officer or real estate agent contacts the buyer to schedule signing appointment.

Buyer consummates loan, executes settlement documents, & deposits funds via wire transfer.

Documents are recorded and the keys are delivered!

THE SELLER

Chooses a Real Estate Agent

Accepts Buyer’s offer to purchase.

Completes and returns opening package from First American Title, including information such as forwarding address, payoff lender contact information and loan numbers.

Orders any work for inspections and/or repairs to be done as required by the purchase agreement.

Escrow officer or real estate agent contacts the seller to schedule signing appointment.

Documents are recorded and all proceeds from sale are received.

THE ESCROW OFFICER

Upon receipt of order and earnest money deposit, orders title examination.

Requests necessary information from buyers and sellers via opening packages.

Reviews title commitment / preliminary report.

Upon receipt of opening packages, orders demands for payoffs. Contacts buyer or seller when additional information is required for the title commitment/ preliminary report.

All demands, invoices, and fees must be collected and sent to lender at least 10 days prior to loan consummation.

Coordinates with lender on the preparation of the CD.

Reviews all documents, demands, and instructions and prepares settlement statements and any other required documents.

Schedules signing appointment and informs buyer of funds due at settlement.

Once loan is consummated, sends funding package to lender for review.

Prepares recording instructions and submits docs for recording.

Documents are recorded and funds are disbursed. Issues final settlement statement.

THE LENDER

Accepts Buyer’s application and begins the qualification process. Provides Buyer with Loan Estimate.

Orders and reviews title commitment / preliminary report, property appraisal, credit report, employment and funds verification.

Collects information such as title commitment / preliminary report, appraisal, credit report, employment and funds verification. Reviews and requests additional information for final loan approval.

Underwriting reviews loan package for approval.

Coordinates with Escrow Officer on the preparation of the Closing Disclosure, which is delivered to Buyer at least 3 days prior to loan consummation.

Delivers loan documents to escrow.

Upon review of signed loan documents, authorizes loan funding.

AZ Sellers Guide | 10

Closing Costs: Who Pays What

AZ Sellers Guide | 11 CASH FHA VA CONV 1. Downpayment BUYER BUYER BUYER BUYER 2. Termite (Wood Infestation) Inspection (negotiable except on VA) SELLER 3. Property Inspection (if requested by buyer) BUYER BUYER BUYER BUYER 4. Property Repairs, if any (negotiable) SELLER SELLER SELLER SELLER 5. New Loan Origination Fee (negotiable) BUYER BUYER BUYER 6. Discount Points (negotiable) BUYER BUYER BUYER 7. Credit Report BUYER BUYER BUYER 8. Appraisal or Extension Fee (negotiable) BUYER BUYER BUYER 9. Existing Loan Payoff SELLER SELLER SELLER SELLER 10. Existing Loan Payoff Demand SELLER SELLER SELLER SELLER 11. Loan Prepayment Penalty (if any) SELLER SELLER SELLER SELLER 12. Next Month’s PITI Payment BUYER BUYER BUYER 13. Prepaid Interest (approx. 30 days) BUYER BUYER BUYER 14. Reserve Account Balance (Credit seller / Charge buyer) PRORATE PRORATE PRORATE 15. FHA MIP, VA Funding Fee, PMI Premium BUYER BUYER BUYER 16. Assessments payoff or proration (sewer, paving, etc.) SELLER 17. Taxes PRORATE PRORATE PRORATE PRORATE 18. Tax Impounds BUYER BUYER BUYER 19. Tax Service Contract SELLER SELLER BUYER 20. Fire/Hazard Insurance BUYER BUYER BUYER BUYER 21 Flood Insurance BUYER BUYER BUYER 22. Homeowners Association (HOA) Transfer Fee BUYER or SELLER BUYER or SELLER BUYER or SELLER BUYER or SELLER 23. HOA/Disclosure Fee SELLER SELLER SELLER SELLER 24 Current HOA Payment PRORATE PRORATE PRORATE PRORATE 25. Next Month’s HOA Payment BUYER BUYER BUYER BUYER 26. Home Warranty Premium (negotiable) BUYER or SELLER BUYER or SELLER BUYER or SELLER BUYER or SELLER 27. REALTORS®’ Commissions SELLER SELLER SELLER SELLER 28. EAGLE Homeowners Title Policy SELLER SELLER SELLER SELLER 29. Lenders Title Policy and Endorsements BUYER BUYER BUYER 30. Escrow Fee (NOTE: Charge seller on VA Loan) SPLIT SPLIT SELLER SPLIT 31. Recording Fees (Flat rate) SPLIT SPLIT SPLIT SPLIT 32. Reconveyance/Satisfaction Fee SELLER SELLER SELLER SPLIT 33. Courier/Express Mail Fees SPLIT SPLIT SELLER SPLIT THIS CHART INDICATES WHO CUSTOMARILY PAYS WHAT COSTS Note: Prorated items will appear on Closing Statement as charges for one and credits for the other.

The Escrow Process

WHAT IS AN ESCROW?

The escrow is the process of having a neutral party manage the exchange of money for real property. The escrow holder is known as an escrow or settlement officer or agent. The buyer deposits funds and the seller deposits a deed with the escrow holder along with all of the other documents required to remove all "contingencies" (conditions and approvals) in the purchase agreement prior to closing.

HOW IS AN ESCROW OPENED?

Once a purchase agreement is signed by all necessary parties, the agent representing the party who will pay the fee selects an escrow holder and the buyer's earnest money deposit and contract are submitted to the escrow holder. From this point, the escrow holder will follow the mutual written instructions of the buyer and seller, maintaining a neutral stance to ensure that neither party has an unfair advantage over the other. The escrow holder also follows the instructions of the Buyer's new lender, the seller's existing lender, and both parties' agents. The escrow holder ensures the transparency of the transaction, while carefully maintaining the privacy of the consumers.

AZ Sellers Guide | 12

Your Escrow Professional May:

Open escrow and deposit good faith funds into an escrow account

Conduct a title search to determine the ownership and title status of the real property

Review the title commitment and begin the process of working with you and the title officer to eliminate the title exceptions the buyer and the buyer’s new lender are not willing to take subject to. This includes ordering a payoff demand from your existing lender.

Coordinate with the buyer’s lender on the preparation of the Closing Disclosure (CD)

Prorate fees, such as real property taxes, per the contract and prepare the settlement statement

Set separate appointments allowing the buyer and seller to sign documents and deposit funds

Review documents and ensure all conditions are fulfilled and certain legal requirements are met

Request funds from buyer and buyer’s new lender

When all funds are deposited and conditions met, record documents with the County Recorder to transfer the real property to the buyer

After recording is confirmed, close escrow and disburse funds, including proceeds, loan payoffs, tax payments, and more

Prepare and send final documents to all parties

AZ Sellers Guide | 13

Understanding Title Insurance

The Title Industry & Title Insurance in Brief

Prior to the development of the title industry in the late 1800s, a home-buyer received a grantor’s warranty, attorney’s title opinion, or abstractor’s certificate as assurance of home ownership. The buyer relied on the financial integrity of the grantor, attorney, or abstractor for protection. Today, home-buyers look primarily to title insurance to provide this protection. Title insurance companies are regulated by state statute. They are required to post financial guarantees to ensure that any claims will be paid in a timely fashion. They also must maintain their own “title plants” which house duplicates of recorded deeds, mortgages, plats, and other pertinent county property records.

WHAT IS TITLE INSURANCE?

Title insurance provides coverage for certain losses due to defects in the title that, for the most part, occurred prior to your ownership. Title insurance protects against defects such as prior fraud or forgery that might go undetected until after closing and possibly jeopardize your ownership and investment.

WHY IS TITLE INSURANCE NEEDED?

Title insurance insures buyers against the risk that they did not acquire marketable title from the seller. It is primarily designed to reduce risk or loss caused by defects in title from the past. A loan policy of title insurance protects the interest of the mortgage lender, while an owner’s policy protects the equity of you, the buyer, for as long as you or your heirs (in certain policies) own the real property.

WHEN IS THE PREMIUM DUE?

You pay for your owner’s title insurance policy only once, at the close of escrow. Who pays for the owner’s policy and loan policy varies depending on local customs.

AZ Sellers Guide | 14

a)

b)

AZ Sellers Guide | 15 Compare First American’s Eagle Policy® for Owners EAGLE ALTA Standard or CLTA Protection from: 1 Someone else owns an interest in your title 2 A document is not properly signed 3 Forgery, fraud, duress in the chain of title 4 Defective recording of any document 5 There are restrictive covenants 6 There is a lien on your title because there is:
a deed of trust
a judgement, tax, or special assessment
a charge by a homeowner’s association 7 Title is unmarketable 8 Mechanics lien 9 Forced removal of a structure because it: a) extends on another property and/or easement b) violates a restriction in Schedule B c) violates an existing zoning law* 10 Cannot use the land for a Single-Family Residence because the use violates a restriction in Schedule B or a zoning ordinance 11 Unrecorded lien by a homeowners association 12 Unrecorded easements 13 Building permit violations* 14 Restrictive covenant violations 15 Post-policy forgery 16 Post-policy encroachment 17 Post-policy damage from extraction of minerals or water 18 Lack of vehicular and pedestrian access 19 Map not consistent with legal description 20 Post-policy adverse possession Compare First American’s Eagle Policy® for Owners EAGLE ALTA Standard or CLTA 21 Post-policy prescriptive easement 22 Covenant violation resulting in your title reverting to a previous owner 23 Violation of building setback regulations 24 Discriminatory covenants Other benefits: 25 Pays rent for substitute land or facilities 26 Rights under unrecorded leases 27 Plain language statements of policy coverage and restrictions 28 Compliance with Subdivision Map Act 29 Coverage for boundary wall or fence encroachment* 30 Added ownership coverage leads to enhanced marketability 31 Insurance coverage for a lifetime 32 Post-policy inflation coverage with automatic increase in value up to 150% over five years 33 Post-policy Living Trust coverage * Deductible and maximum limits apply. Not available to investors on 1- to 4-unit residential properties. Coverage may vary based on an individual policy. As with any insurance contract, the insuring provisions express the coverage afforded by the title insurance policy and there are exceptions, exclusions and conditions to coverage that limit or narrow the coverage afforded by the policy. Also, some coverage may not be available in a particular area or transaction due to legal, regulatory, or underwriting considerations. Please contact a First American representative for further information. The services described above are typical basic services. The services provided to you may be different due to the specifics of your transaction or the location of the real property involved.
c)

Consider This

One escrow transaction could involve more than 20 individuals, including real estate agents, buyers, sellers, attorneys, escrow officer, escrow technician, title officer, loan officer, loan processor, loan underwriter, home inspector, termite inspector, insurance agent, home warranty representative, contractor, roofer, plumber, pool service, and so on. And often, one transaction depends on another.

When you consider the number of people involved, you can imagine the opportunities for delays and mishaps. Your experienced escrow team can’t prevent unforeseen problems from arising; however, they can help smooth out the process.

AZ Sellers Guide | 16

Closing Your Escrow

THE CLOSING DISCLOSURE

Once the loan is approved and all invoices and paperwork have been provided, the lender and escrow officer will collaborate on the preparation of the Closing Disclosure (CD). In order to close on time, all paperwork and invoices should be submitted at least 10 days prior to the expected close of escrow date. The borrower must receive the CD at least three days* prior to consummation of the loan (typically the signing date). The escrow officer will also prepare an estimated settlement statement and inform the buyer of the balance of the down payment and closing costs needed to close escrow. *For purposes of the Closing Disclosure“business day” is defined as every day except Sundays and Federal legal holidays.

THE CLOSING OR SIGNING APPOINTMENT

The escrow holder will contact you or your agent to schedule a closing or signing appointment. In some states, this is the "close of escrow." In some others, the close of escrow is either the day the documents record or that funds are disbursed. Ask your escrow holder if you would like clarification about your state's laws.

You will have a chance to review the settlement statement and supporting documentation. This is your opportunity to ask questions and clarify terms. You should review the settlement statement carefully and report discrepancies to the escrow officer. This includes any payments that may have been missed. You are responsible for all charges incurred even if overlooked by the escrow holder, so it's better to bring these to their attention before closing.

The escrow holder is obligated by law to have the designated amount of money before releasing any funds. If you have questions or foresee a problem, let your escrow holder know immediately.

DON'T FORGET YOUR IDENTIFICATION

You will need valid identification with your photo I.D. on it when you sign documents that need to be notarized (such as a deed). A driver's license is preferred. You will also be asked to provide your social security number for tax reporting purposes, and a forwarding address.

WHAT HAPPENS NEXT?

If the buyer is obtaining a new loan, the buyer’s signed loan documents will be returned to the lender for review. The escrow holder will ensure that all contract conditions have been met and will ask the lender to "fund the loan."

If the loan documents are satisfactory, the lender will send funds directly to the escrow holder. When the loan funds are received, the escrow holder will verify that all necessary funds are in. Escrow funds will be disbursed to the seller and other appropriate payees. Then, the REALTOR® will present the keys to the property to the buyer.

AZ Sellers Guide | 17

Planning your move

SIX WEEKS BEFORE:

Create an inventory sheet of items to move.

Research moving options You’ll need to decide if yours is a do-it-yourself move or if you’ll be using a moving company.

Request moving quotes Solicit moving quotes from as many moving companies and movers as possible. There can be a large difference between rates and services within moving companies.

Discard unnecessary items Moving is a great time for ridding yourself of unnecessary items. Have a yard sale or donate unnecessary items to charity.

Packing materials. Gather moving boxes and packing materials for your move.

Contact insurance companies. (Life, Health, Fire, Auto) You’ll need to contact your insurance agent to cancel/transfer your insurance policy. Do not cancel your insurance policy until you have and closed escrow on the sale.

Seek employer benefits. If your move is work-related, your employer may provide funding for moving expenses. Your human resources rep should have information on this policy.

Changing Schools. If changing schools, contact new school for registration process.

FOUR WEEKS BEFORE:

Contact utility companies Set utility turnoff date, seek refunds and deposits and notify them of your new address.

Obtain your medical records. Contact your doctors, physicians, dentists and other medical specialists who may currently be retaining any of your family’s medical records. obtain these records or make plans for them to be delivered to your new medical facilities.

Note food inventory levels Check your cupboards, refrigerator and freezer to use up as much of your perishable food as possible.

Service small engines for your move by extracting gas and oil from the machines. This will reduce the chance to catch fire during your move.

Protect jewelry and valuables. Transfer jewelry and valuables to safety deposit box so they can not be lost or stolen during your move.

Borrowed and rented items. Return items which you may have borrowed or rented. Collect items borrowed to others.

ONE WEEK BEFORE:

Plan your itinerary. Make plans to spend the entire day at the house or at least until the movers are on their way. Someone will need to be around to make decisions. Make plans for kids and pets to be at the sitters for the day.

Change of address. Visit USPS for change of address form.

Bank accounts Notify bank of address change. Make sure to have a money order for paying the moving company if you are transferring or closing accounts.

Service automobiles If automobiles will be driven long distances, you’ll want to have them serviced for a trouble-free drive.

Cancel services. Notify any remaining service providers (newspapers, lawn services, etc) of your move.

Start packing. Begin packing for your new location.

Travel items. Set aside items you’ll need while traveling and those needed until your new home is established. Make sure these are not packed in the moving truck!

Scan your furniture. Check furniture for scratches and dents before so you can compare notes with your mover on moving day.

Prepare Floor Plan. Prepare floor plan for your new home. This will help avoid confusion for you and your movers.

MOVING DAY:

Review the house. Once the house is empty, check the entire house (closets, the attic, basement, etc) to ensure no items are left or no home issues exist.

Sign the bill of lading. Once your satisfied with the mover’s packing your items into the truck, sign the bill of lading. If possible, accompany your mover while the moving truck is being weighed.

Double check with your mover. Make sure your mover has the new address and your contact information should they have any questions during your move.

Vacate your home. Make sure utilities are off, doors and windows are locked and notify your real estate agent you’ve left the property.

AZ Sellers Guide | 18

Your Notes:

AZ Sellers Guide | 19

Your Notes:

AZ Sellers Guide | 20

Your Notes:

AZ Sellers Guide | 21

1 SUN CITY WES T

623.299.3644

13940 W. Meeker Blvd, #119

Sun City West, AZ 85375

N of Meeker Blvd W of R.H. Johnson

2 THE LEGENDS

623.537.1608

20241 N. 67th Ave, #A-2 Glendale, AZ 85308

E side 67th Ave/N of 101

3 ANTHEM

623.551.3265

39508 N. Daisy Mountain Dr, #128 Anthem, AZ 85086 NE corner Daisy Mtn Dr/Gavilan Peak Pkwy

4 TATUM RIDGE

480.515 4369

11211 N Tatum Blvd, #A150 Phoenix, AZ 85028

N of Shea, E side of Tatum

5 CAREFREE

480.575.6609

7202 E. Carefree Dr, Bldg 1, #1 Carefree, AZ 85377

NE corner of Tom Darlington/Carefree Dr.

6 SCOTTSDALE FORUM

480.551.0480

6263 N. Scottsdale Rd, #110 Scottsdale, AZ 85250 E Side Scottsdale/S of Lincoln

7 DC CROSSING

480.563.9034

18291 N. Pima Rd, #145 Scottsdale, AZ 85255

SE corner of Pima/Legacy

8 CHANDLER PORTICO

480.777.0051

2121 W. Chandler Blvd., #215 Chandler, AZ 85224

SW Corner Chandler Blvd./Dobson Rd.

9 GILBERT SAN TAN

480.777.0614

1528 E. Williams Field Rd. #101 Gilbert, AZ 85295

NW corner of Williams Field Rd./Val Vista Rd.

10 MESA

480.401.3738

1630 S. Stapley Dr, #123 Mesa, AZ 85204 N of Baseline / W of Stapley

11 RED MOUNTAIN

480.534.3599

1135 N. Recker Rd, #103 Mesa, AZ 85205

SE corner of Recker & Brown

12 GOLD CANYON

480.288.0883

6877 South Kings Ranch Rd, #5 Gold Canyon, AZ 85118

E of 60/South Side Kings Ranch Rd.

Central Arizona

1 4 3 2 6 12 10 5 8 7 11 9 CRISMON SIGNAL BUTTE GOLDFIELD OLDWESTHWY SKINGSRANCH
First American Title Branch Locator
AZ Sellers Guide | 22
05110280223 For more information please contact your First American representative. www.firstam.com First American Title Insurance Company, and the operating divisions thereof, make no express or implied warranty respecting the information presented and assume no responsibility for errors or omissions. First American, the eagle logo, First American Title, and firstam.com are registered trademarks or trademarks of First American Financial Corporation and/or its affiliates. ©2023 First American Financial Corporation and/or its affiliates. All rights reserved. NYSE: FAF

Turn static files into dynamic content formats.

Create a flipbook
Issuu converts static files into: digital portfolios, online yearbooks, online catalogs, digital photo albums and more. Sign up and create your flipbook.