8591 W. Moses Drive

Page 1

Subject Property

Data Provided By:

First American Title Ins Co

W Moses Dr Tucson AZ 85735 APN: 212-34-2360
8591
© 2023 CoreLogic. All rights reserved

LIMITATION OF LIABILITY FOR INFORMATIONAL REPORTS

IMPORTANT -- PLEASE READ CAREFULLY:

This report is not an insured product or service or a representation of the condition of title to real property. It is not an abst ract, legal opinion, opinion of title, title insurance commitment or preliminary report, or any form of Title Insurance or Guaranty. This report is issued exclusively for the benefit of the Applicant therefor and may not be used or relied upon by any other person. This report may not be reproduced in any manner without First American or Title Security's prior written consent. First American or Title Security does not represent or warrant that the information herein is complete or free from error, and the information herein is provided without any warranties of any kind, as-is, and with all faults. As a material part of the consideration given in exchange for the issuance of this report, recipient agrees that First American or Title Security's sole liability for any loss or damage caused by an error or omission due to inaccurate information or negligence in preparing this report shall be limited to the fee charged for the report. Recipient accepts this report with this limitation and agrees that First American or Title Security would not have issued this report but for the limitation of liability described above. First American or Title Security makes no representation or warranty as to the legality or propriety of recipient's use of the information herein.

Disclaimer

This REiSource report is provided "as is" without warranty of any kind, either express or implied, including without limitations any warrantees of merchantability or fitness for a particular purpose. There is no representation of warranty that this information is complete or free from error, and the provider does not assume, and expressly disclaims, any liability to any person or entity for loss or damage caused by errors or omissions in this REiSource report without a title insurance policy.

The information contained in the REiSource report is delivered from your Title Company, who reminds you that you have the right as a consumer to compare fees and serviced levels for Title, Escrow, and all other services associated with property ownership, and to select providers accordingly. Your home is the largest investment you will make in your lifetime and you should demand the very best.

Data Provided By: First American Title Ins Co
© 2023 CoreLogic. All rights reserved

Subject Property :   8591 W Moses Dr Tucson AZ 85735

Owner Information

Owner Name : Custer Steven H

Mailing Address : 8591 W Moses Dr, Tucson AZ 85735-1527 R090

Vesting Codes : / / Joint Tenants

Owner Occupied Indicator : O

Location Information

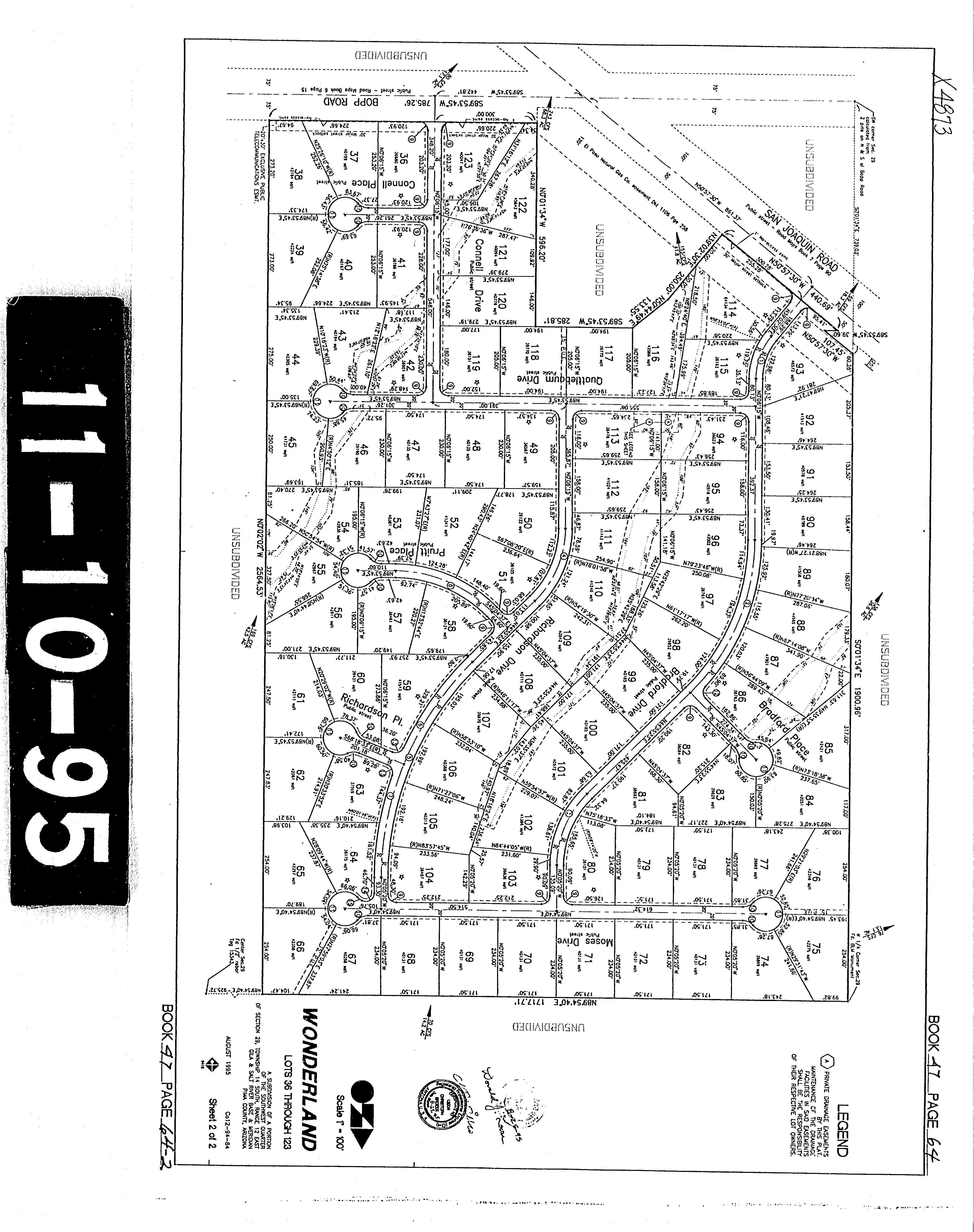
Legal Description : Wonderland Lot 0076

County : Pima, Az

Census Tract / Block : 44.34 / 2

Township-Range- Sect : 14S-12E-29

Legal Book/Page : 47-64

Legal Lot : 76

Market Area : 311

Last Market Sale Information

Recording/Sale Date : 01/24/1997 / 08/00/1996

Sale Price : $33,900

Document # : 10468-1321

Title Company : Old Republic Title

Lender : Lender Seller

Seller Name : Old Republic Title 10766

Property Characteristics

Year Built / Eff : 1998 / 1998 # of Stories : 1

Property Information

APN : 212-34-2360

Subdivision : Wonderland

Map Reference : 29-14S-12E

School District : Tucson Unified

Munic/Township : Tucson Unified

Deed Type : Special Warranty Deed

1st Mtg Amount/Type : $29,900 / Cnv

Land Use : Mobile Home Zoning : GR-1

County Use : Mf Home Subaffixed Mf Home Lot Acres : 0.98

Construction : Steel/wood

Lot Size : 42,576

State Use : Mf Home Subaffixed Mf Home

Customer
: First American Title
Prepared On : 07/24/2023 © 2023 CoreLogic. All rights reserved
Customer Name : Kariann Keomaka
Company Name
Insurance Company
Tax Information Total Value : $105,235 Property Tax : $1,513.88 Current Year Total Value : $11,709 Total Taxable Value : $10,524 Tax Rate Area : 0102 Current Year Improvement Value : $7,009 Assessed Year : 2022 Market Value : $105,235 Current Year Land Value : $4,700 Tax Year : 2022 Current Assessed Year : 2024
Customer Company Name : First American Title Insurance Company Prepared On : 07/24/2023 © 2023 CoreLogic. All rights reserved
Customer Name : Kariann Keomaka
Criteria Subject Property Low High Average Sale Price $33,900 $50,000 $321,000 $195,538 Bldg/Living Area Price Per Square Foot Year Built 1998 1984 1999 1994 Lot Size 42,576 16,009 94,090 41,105 Bedrooms Bathrooms Stories 1 1 1 1 Total Assessed Value $105,235 $16,732 $120,960 $54,668 Distance From Subject 0 0.17 0.97 0.59 Summary of Comparables # Address Sale Price Total Assessed Value Sale Date Bed Bath Living Area Lot Size Year Built Dist (Miles) Zoning S 8591 W Moses Dr 33,900 105,235 01/24/1997 42,576 1998 GR-1 1 3333 S Bradford Dr 225,000 95,353 09/30/2022 41,252 1997 0.17 GR-1 2 3593 S Bradford Dr 274,741 100,815 09/14/2022 37,153 1996 0.25 GR-1 3 3663 S Heifner Pl 235,000 85,820 08/26/2022 39,268 1995 0.32 GR-1 4 3743 S Heifner Pl 168,000 55,050 01/13/2023 40,884 1995 0.38 GR-1 5 3374 S San Joaquin Rd 95,000 18,968 01/17/2023 43,560 1996 0.38 GR-1 6 3783 S Heifner Pl 220,000 62,423 06/13/2023 39,890 1995 0.4 GR-1 7 8362 W Connell Pl 285,000 78,940 05/26/2023 42,408 1996 0.45 GR-1 8 3230 S San Joaquin Rd 321,000 120,960 05/25/2023 46,174 1997 0.46 GR-1 9 3925 S Calico Ln 135,000 27,783 04/13/2023 48,352 1986 0.56 GR-1 10 9130 W Bruce St 230,000 40,078 05/12/2023 16,009 1998 0.69 GR-1 11 8000 W Lost Acres Pl 208,000 58,254 02/02/2023 43,560 1992 0.72 GR-1 12 9155 W Ira St 255,000 48,037 05/26/2023 16,009 1999 0.81 GR-1 13 8957 W Bopp Rd 72,500 30,095 05/08/2023 94,090 1997 0.82 GR-1 Customer Name : Kariann Keomaka Customer Company Name : First American Title Insurance Company Prepared On : 07/24/2023 © 2023 CoreLogic. All rights reserved
Sales Analysis
14 4001 S Mark Ave 50,000 26,980 04/17/2023 43,560 1989 0.87 GR-1 15 9230 W George St 70,000 21,531 06/15/2023 16,009 1984 0.88 GR-1 16 3840 S Leonard Ave 249,900 41,534 11/22/2022 47,045 1996 0.96 GR-1 17 4326 S Calico Ln 230,000 16,732 07/25/2022 43,560 1994 0.97 GR-1 Distressed Sales = Map Customer Name : Kariann Keomaka Customer Company Name : First American Title Insurance Company Prepared On : 07/24/2023 © 2023 CoreLogic. All rights reserved

Details of Comparables

Subject Property: 8591 W Moses Dr Tucson Az 85735

Owner Name: Custer Steven H /

Owner Name: Montoya Laura O /

APN
Land Use: Mobile Home Subdivision / Tract: Wonderland
Lot Size: 42,576 Year Built / Eff: 1998 /1998 Rec. Date / Price: 01/24/1997
Living Area: # of units: Document #:
Bedrooms: Pool: Total Tax Value: $105,235 Bath(F/H): / #1
/ Alternate APN: 212-34-2360 / Deed Type: Special Warranty Deed
/
/ $33,900
10468-1321
3333 S Bradford Dr Tucson Az 85735
APN
Land Use: Mobile Home Subdivision / Tract: Wonderland
Lot Size: 41,252 Year Built / Eff: 1997 /1997 Rec. Date / Price: 09/30/2022
Living Area: # of units: Document #: 2730309 Bedrooms: Pool: Total Tax Value: $95,353 Bath(F/H): / #2
APN / Alternate
Deed
Deed Land Use: Mobile Home Subdivision / Tract: Wonderland
Lot Size: 37,153 Year Built / Eff: 1996 /1996 Rec. Date / Price: 09/14/2022 / $274,741 Living Area: # of units: Document #: 2570533 Bedrooms: Pool: Total Tax Value: $100,815 Bath(F/H): / #3   3663 S Heifner Pl Tucson Az 85735 Owner Name: Hansen Mary D / APN / Alternate APN: 212-35-1340 / Deed Type: Warranty Deed Land Use: Mobile Home Subdivision / Tract: Wonderland / Lot Size: 39,268 Year Built / Eff: 1995 /1995 Rec. Date / Price: 08/26/2022
Living Area: # of units: Document #: 2380644 Bedrooms: Pool: Total Tax Value: $85,820 Bath(F/H): / #4
APN /
Deed
Land Use: Mobile Home Subdivision / Tract: Wonderland
Lot Size: 40,884 Year Built / Eff: 1995 /1995 Rec. Date /
Living Area: # of units: Document #:
Bedrooms: Pool: Total Tax Value: $55,050 Bath(F/H): / Customer Name : Kariann Keomaka Customer Company Name : First American Title Insurance Company Prepared On : 07/24/2023 © 2023 CoreLogic. All rights reserved
/ Alternate APN: 212-34-2620 / Deed Type: Warranty Deed
/
/ $225,000
3593 S Bradford Dr Tucson Az 85735 Owner Name: Brown Christina J /
APN: 212-34-2540 /
Type: Special Warranty
/
/ $235,000
3743 S Heifner Pl Tucson Az 85735 Owner Name: Gonzalez Juana V /
Alternate APN: 212-35-1320 /
Type: Warranty Deed
/
Price: 01/13/2023 / $168,000
130503

#5   3374 S San Joaquin Rd Tucson Az 85735

Owner Name: Neal Robert D /

#6   3783 S Heifner Pl Tucson Az 85735

Owner Name: Reyes Juan E /

#7   8362 W Connell Pl Tucson Az 85735

Owner Name: Hood Kevin Y /Jordan Jodie S

APN
Land Use: Mobile Home Subdivision / Tract:
Lot Size: 43,560 Year Built / Eff: 1996 /1996 Rec. Date
# of units: Document #:
Bedrooms: Pool: Total Tax Value: $18,968 Bath(F/H): /
/ Alternate APN: 212-35-110N / Deed Type: Warranty Deed
/
/ Price: 01/17/2023 / $95,000 Living Area:
170345
APN
Land Use: Mobile Home Subdivision / Tract:
Lot Size: 39,890 Year Built / Eff: 1995 /1995 Rec. Date
Living Area: # of units: Document #:
Bedrooms: Pool: Total Tax Value: $62,423 Bath(F/H): /
/ Alternate APN: 212-35-1310 / Deed Type: Warranty Deed
Wonderland /
/ Price: 06/13/2023 / $220,000
1640453
APN
Land Use: Mobile Home Subdivision / Tract: Wonderland / Lot Size: 42,408 Year Built / Eff: 1996 /1996 Rec. Date / Price: 05/26/2023 / $285,000 Living Area: # of units: Document #: 1460364 Bedrooms: Pool: Total Tax Value: $78,940 Bath(F/H): /
APN / Alternate APN: 212-35-100C /212-35-100A Deed Type: Warranty Deed Land Use: Mobile Home Subdivision / Tract: / Lot Size: 46,174 Year Built / Eff: 1997 /1997 Rec. Date / Price: 05/25/2023 / $321,000 Living Area: # of units: Document #: 1450496 Bedrooms: Pool: Gunite Total Tax Value: $120,960 Bath(F/H): / #9   3925 S Calico
/ Alternate
Deed Type: Warranty
Land Use: Mobile Home Subdivision / Tract: / Lot Size: 48,352 Year Built / Eff: 1986 /1986 Rec. Date / Price: 04/13/2023 / $135,000 Living Area: # of units: Document #: 1030067 Bedrooms: Pool: Total Tax Value: $27,783 Bath(F/H): / Customer Name : Kariann Keomaka Customer Company Name : First American Title Insurance Company Prepared On : 07/24/2023 © 2023 CoreLogic. All rights reserved
/ Alternate APN: 212-34-1990 / Deed Type: Warranty Deed
#8   3230 S San Joaquin Rd Tucson Az 85735 Owner Name: Bustamante Jessie /
Ln Tucson Az 85735 Owner Name: Mitchell Angelo / APN
APN: 212-38-0720 /
Deed

Owner Name: Gustad Dudley C /

Owner Name: Sutton Billy G Jr /Sutton Courtney

Owner Name: Whittle Brian E /Whittle Joanne L

#: 1070555

/

#15   9230 W George St Tucson Az 85735

Owner Name: Arizona Lots Llc / APN / Alternate APN: 212-37-366A / Deed Type: Warranty Deed

Use: Mobile Home

Built / Eff: 1984 /1984 Rec. Date / Price: 06/15/2023 / $70,000 Living Area:

/ Tract: Millstone Manor 06 / Lot Size: 16,009

#: 1660280

Tax Value: $21,531

/

#10   9130 W Bruce St Tucson Az 85735
APN
Land Use: Mobile Home Subdivision / Tract:
Size: 16,009 Year Built / Eff: 1998 /1998 Rec. Date / Price: 05/12/2023
Living Area: # of units: Document #: 1320313 Bedrooms: Pool: Total Tax Value: $40,078 Bath(F/H): / #11
W
Acres
85735
/ Alternate APN: 212-37-021A / Deed Type: Warranty Deed
Millstone Manor 06 / Lot
/ $230,000
8000
Lost
Pl Tucson Az
APN
Alternate
Warranty Deed Land Use: Mobile Home Subdivision / Tract: / Lot Size: 43,560 Year Built / Eff: 1992 /1992 Rec. Date / Price: 02/02/2023
Living Area: # of units: Document #: 330415 Bedrooms: Pool: Total Tax Value: $58,254 Bath(F/H): / #12
/
APN: 212-34-1200 / Deed Type:
/ $208,000
9155 W Ira St Tucson Az 85735
APN
Alternate
Warranty
Land Use: Mobile Home Subdivision / Tract: Millstone Manor
Lot Size: 16,009 Year Built / Eff: 1999 /1999 Rec. Date / Price: 05/26/2023 / $255,000 Living Area: # of units: Document #: 1460501 Bedrooms: Pool: Total Tax Value: $48,037 Bath(F/H): / #13   8957 W Bopp Rd Tucson Az 85735
Name:
APN / Alternate APN: 212-38-156B / Deed Type: Warranty Deed Land Use: Mobile Home Subdivision / Tract: / Lot Size: 94,090 Year Built / Eff: 1997 /1997 Rec. Date / Price: 05/08/2023 / $72,500 Living Area: # of units: Document #: 1280421 Bedrooms: Pool: Total Tax Value: $30,095 Bath(F/H): / #14   4001 S Mark Ave Tucson Az 85735
APN / Alternate APN:
/ Deed Type: Warranty Deed Land Use: Mobile Home Subdivision / Tract: / Lot Size: 43,560 Year Built / Eff: 1989 /1989 Rec. Date / Price: 04/17/2023
# of units: Document
Bedrooms: Pool: Total
Bath(F/H):
/
APN: 212-37-518A / Deed Type:
Deed
#6 /
Owner
Mmaz Properties Llc /
Owner Name: Suarez Adam A /
212-38-2380
/ $50,000 Living Area:
Tax Value: $26,980
Land
Year
# of units: Document
Bedrooms: Pool: Total
Bath(F/H):
Customer
Customer
: First American Title
Company Prepared On : 07/24/2023 © 2023 CoreLogic. All rights reserved
Subdivision
Name : Kariann Keomaka
Company Name
Insurance

#16   3840 S Leonard Ave Tucson Az 85735

Owner Name: Luzanilla Edmundo /Lopez Ana R M

APN / Alternate APN: 212-38-3740 / Deed Type: Warranty Deed

Subdivision / Tract: / Lot Size: 47,045

Rec. Date / Price: 11/22/2022 / $249,900 Living Area:

3260450

/

Use: Mobile Home

Built / Eff: 1996 /1996

#17   4326 S Calico Ln Tucson Az 85735

Owner Name: Schweigert Jonathan /Schweigert Seanna

APN / Alternate APN: 212-38-3210 / Deed Type: Warranty Deed

Use: Mobile Home

Subdivision / Tract: / Lot Size: 43,560 Year Built / Eff: 1994 /1994

Rec. Date / Price: 07/25/2022 / $230,000 Living Area:

2060400

Land
Year
#
Bedrooms: Pool: Total
Bath(F/H):
of units: Document #:
Tax Value: $41,534
Land
#
Bedrooms: Pool: Total
Bath(F/H):
Customer
Customer
Company Prepared On : 07/24/2023 © 2023 CoreLogic. All rights reserved
of units: Document #:
Tax Value: $16,732
/
Name : Kariann Keomaka
Company Name : First American Title Insurance

Customer Name : Kariann Keomaka

Customer Company Name : First American Title Insurance Company Prepared On : 07/24/2023

© 2023 CoreLogic. All rights reserved

Subject Property :   8591 W Moses Dr Tucson AZ 85735

8561 W MOSES DR Distance 0.03 Miles

Owner Name : Wimberly Gilbert Subdivision : Wonderland

Sale Date : 08/00/2004

Recording Date : 08/31/2004

Total Value : $72,570 Sale Price  : $74,900

Land Use : Mobile Home Property Tax : $1,032.46

Stories : 1 Lot Acres : 0.91

Yr Blt / Eff Yr Blt : 1997 / 1997

APN : 212-34-2370

8592 W MOSES DR Distance 0.04 Miles

Owner Name : Hanner Carter Cruickshank Subdivision : Wonderland

Sale Date : 02/14/2018

Recording Date : 02/16/2018

Total Value : $66,524 Sale Price  : $142,000

Land Use : Mobile Home Property Tax : $945.71

Stories : 1 Lot Acres : 0.97

Yr Blt / Eff Yr Blt : 1997 / 1997

APN : 212-34-2350

8594 W BRADFORD PL Distance 0.04 Miles

Owner Name : Jacobo Angel L Subdivision : Wonderland

Sale Date : 05/00/2004

Recording Date : 06/01/2004

Total Value : $78,982 Sale Price  : $130,000

Land Use : Mobile Home Property Tax : $1,136.14

Stories : 1 Lot Acres : 0.98

Yr Blt / Eff Yr Blt : 1997 / 1997

APN : 212-34-2440

8562 W MOSES DR Distance 0.06 Miles

Owner Name : Ellsworth Shirley A Subdivision : Wonderland

Sale Date : 10/00/2005

Recording Date : 11/14/2005

Total Value : $76,012 Sale Price  : $142,500

Land Use : Mobile Home Property Tax : $1,093.44

Stories : 1

Yr Blt / Eff Yr Blt : 1995 / 1995

Lot Acres : 0.96

APN : 212-34-2340

CoreLogic.
Customer
Name : Kariann Keomaka Customer Company Name : First American Title Insurance Company Prepared On : 07/24/2023 © 2023
All rights reserved

8531 W MOSES DR Distance 0.07 Miles

Owner Name : Klell Michael B Subdivision : Wonderland

Sale Date : 10/00/2000

Recording Date : 10/10/2000

Total Value : $83,578 Sale Price  : $83,000

Land Use : Mobile Home Property Tax : $1,202.36

Stories : 1 Lot Acres : 0.90

Yr Blt / Eff Yr Blt : 1997 / 1997

APN : 212-34-2380

8564 W BRADFORD PL Distance 0.07 Miles

Owner Name : Cassels Jack L Subdivision : Wonderland

Sale Date : 08/03/2001

Recording Date : 08/14/2001

Total Value : $94,261 Sale Price  : $108,000

Land Use : Mobile Home Property Tax : $1,355.97

Stories : 1 Lot Acres : 0.94

Yr Blt / Eff Yr Blt : 1996 / 1996

APN : 212-34-2430

8563 W BRADFORD PL Distance 0.07 Miles

Owner Name : Shafer John E Subdivision : Wonderland

Total Value : $74,042 Property Tax : $1,065.08

Land Use : Mobile Home Lot Acres : 0.99

Stories : 1 APN : 212-34-2450

Yr Blt / Eff Yr Blt  : 1998 / 1998

8532 W MOSES DR Distance 0.08 Miles

Owner Name : Tate Brian J Subdivision : Wonderland

Sale Date : 10/00/1996

Recording Date : 12/23/1996

Total Value : $72,532 Sale Price  : $35,200

Land Use : Mobile Home Property Tax : $1,043.36

Stories : 1 Lot Acres : 0.94

Yr Blt / Eff Yr Blt : 1996 / 1996

APN : 212-34-2330

Customer
Name : Kariann Keomaka Customer Company Name : First American Title Insurance Company Prepared On : 07/24/2023 © 2023 CoreLogic. All rights reserved

Distance 0.1 Miles

Owner Name : Radecki Richard V Subdivision : Wonderland

Sale Date : 03/00/1997

Total Value : $79,919

Land Use : Mobile Home

Recording Date : 04/03/1997

Sale Price  : $63,900

Property Tax : $1,149.66

Stories : 1 Lot Acres : 0.90

Yr Blt / Eff Yr Blt : 1998 / 1998

APN : 212-34-2390

Distance 0.1 Miles

Owner Name : French Louise R Subdivision : Wonderland

Sale Date : 10/14/2002

Total Value : $42,048

Recording Date : 11/20/2002

Property Tax : $511.14

Land Use : Mobile Home Lot Acres : 0.84

Stories : 1 APN : 212-34-2460

Yr Blt / Eff Yr Blt  : 1997 / 1997

8501 W MOSES DR 3402 S BRADFORD DR
Customer
: First American Title Insurance Company Prepared On : 07/24/2023 © 2023 CoreLogic. All rights reserved
Customer Name : Kariann Keomaka
Company Name
Census Tract / block: 44.34 / 2     Year: 2020 Household Population Population by Age Count: 3,238 0 - 11 Estimate Current Year: 3,238 12 - 17 Estimate in 5 Years: 3,238 18 - 24 6.39% Growth Last 5 Years: 25 - 64 47.93% Growth Last 10 Years: 65 - 74 14.58% 75+ Household Size Household Income Current Year: 1,176 0 - $25,000 17.69% Average Current Year: 2.75 $25,000 - $35,000 3.74% Estimate in 5 Years: 1,176 $35,000 - $50,000 20.15% Growth Last 5 Years: $50,000 - $75,000 12.07% Growth Last 10 Years: $75,000 - $100,000 21.6% Male Population: 45.18% Above $100,000 24.74% Female Population: 54.82% Average Household Income: $66,000 Married People: 55.35% Unmarried People: 44.65% Housing Median Mortgage Payments Home Values Under $300: 10.7% Below $100,000: 19.44% $300 - $799: 28.36% $100,000 - $150,000: 26.01% $800 - $1,999: 51.92% $150,000 - $200,000: 19.06% Over $2,000: 9.01% $200,000 - $300,000: 20.47% Median Home Value: $162,900 $300,000 - $500,000: 13.05% Unit Occupied Owner: 90.56% Above $500,000: 1.97% Median Mortgage: $928 Customer Name : Kariann Keomaka Customer Company Name : First American Title Insurance Company Prepared On : 07/24/2023 © 2023 CoreLogic. All rights reserved
Rent Payments Year Built Unit Occupied Renter: 9.44% 1999 - 2000 Median Gross Rent: $720 1995 - 1998 Less Than $499 0% 1990 - 1994 $500 - $749 60.36% 1980 - 1989 20.13% $750 - $999 0% 1970 - 1979 6.55% $1000 and Over 39.64% 1900 - 1969 3.23% Education Enrollment Public Pre-Primary School: 2.45% Not Enrolled in School: 68.93% Private Pre-Primary School: 0% Not A High School Graduate: 16.57% Public School: 28.2% Graduate Of High School: 33.82% Private School: 2.86% Attended Some College: 28.73% Public College: 2.26% College Graduate: 14.46% Private College: 0% Graduate Degree: 6.42% Workforce Occupation: Manager/Prof: 17.41% Private Worker: 74.65% Technical: Government Worker: 14.07% Sales: 38.3% Self Employed Worker: 0% Administrative: Unpaid Family Worker: 7.31% Private House Hold: Farming: 15.39% Service: 13.65% Skilled: Protective Services: Blue-Collar: 30.64% Commute Time Less Than 15 Min: 5.84% 15 min - 28 min: 34.94% 30 min - 57 min: 54.68% Over 60 min: 4.54% Customer Name : Kariann Keomaka Customer Company Name : First American Title Insurance Company Prepared On : 07/24/2023 © 2023 CoreLogic. All rights reserved

Customer Name : Kariann Keomaka

Customer Company Name : First American Title Insurance Company

Prepared On : 07/24/2023

© 2023 CoreLogic. All rights reserved

Customer Name : Kariann Keomaka

Customer Company Name : First American Title Insurance Company

Prepared On : 07/24/2023

© 2023 CoreLogic. All rights reserved

Customer Name : Kariann Keomaka

Customer Company Name : First American Title Insurance Company

Prepared On : 07/24/2023

© 2023 CoreLogic. All rights reserved

Arizona Schools For detailed information and statistics on Arizona schools please go to https://azreportcards.azed.gov/ First American Title Insurance Company, and the operating divisions thereof, make no express or implied warranty respecting the information presented and assume no responsibility for errors or omissions. First American, the eagle logo, First American Title, and firstam.com are registered trademarks or trademarks of First American Financial Corporation and/or its affiliates. ©2021 First American Financial Corporation and/or its affiliates. All rights reserved. NYSE: FAF 05117910421

PIMA COUNTY

School District Information

This map is provided for general location only. Please contact school districts for actual street boundaries

05249570321 TUCSON INT'L AIRPORT Air Force WSilverbellRd SSantaRitaRd N M t L emmon Hwy ESascoRd NF38 W Avra Valley Rd E Grand Va ey Dr NAguirre R d N L u c k e R d N W e n t z R d N Wa terman Mounta i n R d N Anway Rd W El Tiro Rd N Trico Rd W Tucker Rd W Rudas l Rd W Manvi e Rd SSanJoaquinRd WBopp Rd W Snyder H l Rd S M a r s e a r R d W Park Rd W Hermans Rd W Hermans Rd W Guy St W Bush Rd S G a v e y R d N C a e R i n c o n a d o S W m o R d S Shaw Rd S Sierrita Mountain Rd S K o b R d W TwinButtes Rd W Mcgee Ranch Rd S E s t a n c a D r EDesertDove E Hemlock Dr N Bea r C a n y o n R d W E Camino Del Cerro E Fairmount St S Swan Rd NFrontageRd W Emigh Rd W Fort Lowe Rd N P u m p S t a t ion dR E Nona Rd Ch efButteRd Lo al Ave N Trico Rd S Cattle Tank Rd Evalyn Rd SOwlHead R a n c h Rd GasLineRd S P ec a n R d N T r c o R d W Bayard Rd S S a n d a r o R d W i l l owSpri n gsRd N Dove Mountain Blvd SHelvetiaRd WAnamax Mine Rd W G a c i a R a n hc R d Road424 WRagged Top Rd W Ruby Star Dr WBritten RanchRd W Pima Mine Rd S Mcgee Ranch R d E Edw n Rd SGuildRd 8 0 NKINNEYRD S PICACHO HWY E BAUMGARTNER RD N S A N D A R I O R D N ANWAY RD W VALENCIA RD W MOORE RD W INA RD N 1 S T A V E E SUNRISE DR E SNYDER RD NSILVERBELLRD N S O L D I E R T R L E RIVER RD E PRINCE RD E SPEEDWAY BLVD S FREEMAN RD E 22ND ST E 22ND ST W IRVINGTON RD S N O G A L E S H W Y W VALENCIA RD SMISSIONRD W SPEEDWAY BLVD S O L D S P A N I S H T RL W NARANJA DR W TWIN PEAKS RD W PICTURE ROCKS RD W MANVILLE RD SKINNEYRD W MILE WIDE RD E SAHUARITA RD N TRICO RD S S A N D A R O R D PARK LINK DR S OLD N O G ALES HW Y S H O U G H T O N R D S L A C A N A D A DR W HELMET PEAK RD WAJOHWY N S W A N R D S KOLB RD S HOUGHTON RD W TANGERINE RD E GRANT RD S H O U G H T O N R D 9 5 WAJOHWY E VALENCIA RD NORACLE R D I10 I-19 77 77 77 86 86 286 10 19 10 10 Corona de Tucson Casas Adobes Catalina Green Valley Oracle Picture Rocks Three Points Vail Summit Tanque Verde Tucson Sahuarita Red Rock Saddlebrooke Marana Oro Valley Rillito Summerhaven Willow Canyon Oracle Junction Cortaro Continental Littletown 20 30 13 15 51 39 12 01 01 08 10 16 11 06
SCHOOL DISTRICTS 15 AJO UNIFIED 111 N. Well Road, Ajo, AZ 85321 520.387.5618 51 ALTAR VALLEY ELEMENTARY 10105 S. Sasabe Road, Tucson, AZ 85736 520.822.1484 10 AMPHITHEATER UNIFIED 701 W. Wetmore, Tucson, AZ 85705 520.696.5000 16 CATALINA FOOTHILS UNIFIED 2101 E. River Road, Tucson, AZ 85718 520.209.7500 39 CONTINENTAL ELEMENTARY 1991 E. Whitehouse Canyon, Green Valley, AZ 85614 520.625.4581 08 FLOWING WELLS UNIFIED 1556 W. Prince Road, Tucson, AZ 85705 520.696.8800 06 MARANA UNIFIED 11279 W. Grier Road, Marana, AZ 85653 520.682.3243 11 PIMA COUNTY JTED 2855 W. Master Pieces Dr, Tucson, AZ 85741 520.352.5833 30 SAHUARITA UNIFIED 350 W. Sahuarita Road, Sahuarita, AZ 85629 520.625.3502 12 SUNNYSIDE UNIFIED 2238 E. Ginter Road, Tucson, AZ 85706 520.545.2000 13 TANQUE VERDE UNIFIED 2300 N. Tanque Verde Loop, Tucson, AZ 85749 520.749.5751 01 TUCSON UNIFIED 1010 E. 10th Street, Tucson, AZ 85717 520.225.6000 20 VAIL UNIFIED 10701 E. Mary Ann Cleveland Way, Tucson, AZ 85747 520.879.2000 First American Title Insurance Company, and the operating divisions thereof, make no express or implied warranty respecting the information presented and assume no responsibility for errors or omissions. First American, the eagle logo, First American Title, and firstam.com are registered trademarks or trademarks of First American Financial Corporation and/or its affiliates. ©2021 First American Financial Corporation and/or its affiliates. All rights reserved. NYSE: FAF

SEARCH PARAMETERS

PARCEL:  212-34-2360

PARCEL: 212-34-2360

OWNER: CUSTER STEVEN H & JUDY M JT/RS

SITUS: 8591 W MOSES DR PC

MAIL: 8591 W MOSES DR

TUCSON AZ 85735-1527

PLAT: LOT 00076 BLOCK

LEGAL: WONDERLAND LOT 0076

ADDITIONAL PROPERTY INFORMATION

STANDARD LAND USE:

END SEARCH

+ FIRST AMERICAN TITLE, FC0, KWAL PIMA, AZ 07/24/2023  03:44PM  TCI1  INVESTIGATIVE SEARCH RESULTS PAGE 1 OF 1
INSTRUMENT REC DATE
10468 1321 01/24/1997
CURRENT TAXES INFORMATION THROUGH 06/28/2023 LAND IMPR EXEMPT RATE AREA SPECIAL DISTRICTS PRIMARY  10,524  0  0  10.6293  0102 SECONDARY  3,700  6,824  0  5.4694  2022 TOTAL TAX BILLED 1,513.88 2022  TAX AMT TAX DUE INTEREST DATE PAID TOTAL DUE FIRST HALF  756.94  0.00  0.00  10/28/2022  0.00  SECOND HALF  756.94  0.00  0.00  04/17/2023  0.00  TOTAL CURRENT TAXES DUE 07/23 0.00 08/23 0.00 IMPROVEMENTS MOBILE HOME  BLDG SQFT  0 FULL CASH VALUE  105,235 YEAR BUILT  1998 LAND USE  08 19 NUMBER OF STORIES  1.0 LOT SIZE  1 STDLT STORIES HEIGHT  0 SCHOOL DISTRICT  0102 EXTERIOR WALLS LAND FULL CASH VALUE  37,000 GRADE MATERIALS IMPR FULL CASH VALUE  68,235 SALES SALE DATE SALE AMOUNT INSTRUMENT TYPE SELLER NAME VALIDITY 01/24/1997 33,900    10468 1321 SD OLD REPUBLIC TITLE T10766
MOBILE HOME
Page 1 of 2 07/24/2023 3:48 PM
Page 2 of 2 07/24/2023 3:48 PM
Page 1 of 2 07/24/2023 3:48 PM
Page 2 of 2 07/24/2023 3:48 PM
Page 1 of 2 07/24/2023 3:48 PM
Page 2 of 2 07/24/2023 3:48 PM
Page 1 of 4 07/24/2023 3:48 PM
Page 2 of 4 07/24/2023 3:48 PM
Page 3 of 4 07/24/2023 3:48 PM
Page 4 of 4 07/24/2023 3:48 PM
Page 1 of 4 07/24/2023 3:48 PM
Page 2 of 4 07/24/2023 3:48 PM
Page 3 of 4 07/24/2023 3:48 PM
Page 4 of 4 07/24/2023 3:48 PM
Page 1 of 2 07/24/2023 3:48 PM
Page 1 of 19 07/24/2023 3:48 PM
Page 2 of 19 07/24/2023 3:48 PM
Page 3 of 19 07/24/2023 3:48 PM
Page 4 of 19 07/24/2023 3:48 PM
Page 5 of 19 07/24/2023 3:48 PM
Page 6 of 19 07/24/2023 3:48 PM
Page 7 of 19 07/24/2023 3:48 PM
Page 8 of 19 07/24/2023 3:48 PM
Page 9 of 19 07/24/2023 3:48 PM
Page 10 of 19 07/24/2023 3:48 PM
Page 11 of 19 07/24/2023 3:48 PM
Page 12 of 19 07/24/2023 3:48 PM
Page 13 of 19 07/24/2023 3:48 PM
Page 14 of 19 07/24/2023 3:48 PM
Page 15 of 19 07/24/2023 3:48 PM
Page 16 of 19 07/24/2023 3:48 PM
Page 17 of 19 07/24/2023 3:48 PM
Page 18 of 19 07/24/2023 3:48 PM
Page 19 of 19 07/24/2023 3:48 PM
Page 1 of 5 07/24/2023 3:48 PM
Page 2 of 5 07/24/2023 3:48 PM
Page 3 of 5 07/24/2023 3:48 PM
Page 4 of 5 07/24/2023 3:48 PM
Page 5 of 5 07/24/2023 3:48 PM
Page 1 of 4 07/24/2023 3:48 PM
Page 2 of 4 07/24/2023 3:48 PM
Page 3 of 4 07/24/2023 3:48 PM
Page 4 of 4 07/24/2023 3:48 PM

Covenants, Conditions & Restrictions

Thank you for the opportunity to be of service.

Restrictions indicating a preference, limitation or discrimination based on race, color, religion, sex, handicap, familial status, or national origin are hereby deleted to the extent such restrictions violate 42 USC 3604(c).

This information is furnished without fee and without benefit of a complete title search. No liability is assumed by First American Title or Title Security. If it is desired that liability be assumed, you may apply for a policy of title insurance with First American Title Insurance Company.
Page 1 of 2 07/24/2023 3:47 PM
Page 2 of 2 07/24/2023 3:47 PM
Page 1 of 4 07/12/2016 9:46 AM
Page 2 of 4 07/12/2016 9:46 AM
Page 3 of 4 07/12/2016 9:46 AM
Page 4 of 4 07/12/2016 9:46 AM

Turn static files into dynamic content formats.

Create a flipbook
Issuu converts static files into: digital portfolios, online yearbooks, online catalogs, digital photo albums and more. Sign up and create your flipbook.