720 W Roller Coaster Rd, Tucson, AZ 85704

Page 1

Subject Property

Data Provided By:

First American Title Ins Co

720 W Roller Coaster Rd Tucson AZ 85704 APN: 102-18-1070
© 2023 CoreLogic. All rights reserved

LIMITATION OF LIABILITY FOR INFORMATIONAL REPORTS

IMPORTANT -- PLEASE READ CAREFULLY:

This report is not an insured product or service or a representation of the condition of title to real property. It is not an abst ract, legal opinion, opinion of title, title insurance commitment or preliminary report, or any form of Title Insurance or Guaranty. This report is issued exclusively for the benefit of the Applicant therefor and may not be used or relied upon by any other person. This report may not be reproduced in any manner without First American or Title Security's prior written consent. First American or Title Security does not represent or warrant that the information herein is complete or free from error, and the information herein is provided without any warranties of any kind, as-is, and with all faults. As a material part of the consideration given in exchange for the issuance of this report, recipient agrees that First American or Title Security's sole liability for any loss or damage caused by an error or omission due to inaccurate information or negligence in preparing this report shall be limited to the fee charged for the report. Recipient accepts this report with this limitation and agrees that First American or Title Security would not have issued this report but for the limitation of liability described above. First American or Title Security makes no representation or warranty as to the legality or propriety of recipient's use of the information herein.

Disclaimer

This REiSource report is provided "as is" without warranty of any kind, either express or implied, including without limitations any warrantees of merchantability or fitness for a particular purpose. There is no representation of warranty that this information is complete or free from error, and the provider does not assume, and expressly disclaims, any liability to any person or entity for loss or damage caused by errors or omissions in this REiSource report without a title insurance policy.

The information contained in the REiSource report is delivered from your Title Company, who reminds you that you have the right as a consumer to compare fees and serviced levels for Title, Escrow, and all other services associated with property ownership, and to select providers accordingly. Your home is the largest investment you will make in your lifetime and you should demand the very best.

Data Provided By: First American Title Ins Co
© 2023 CoreLogic. All rights reserved

Subject Property :   720 W Roller Coaster Rd Tucson AZ 85704

Owner Information

Owner Name : Ballesteros Frank Trujillo

Mailing Address : 720 W Roller Coaster Rd, Tucson AZ 85704-3859 C005

Vesting Codes : Unmarried Man / / Living Trust

Owner Occupied Indicator : O

Location Information

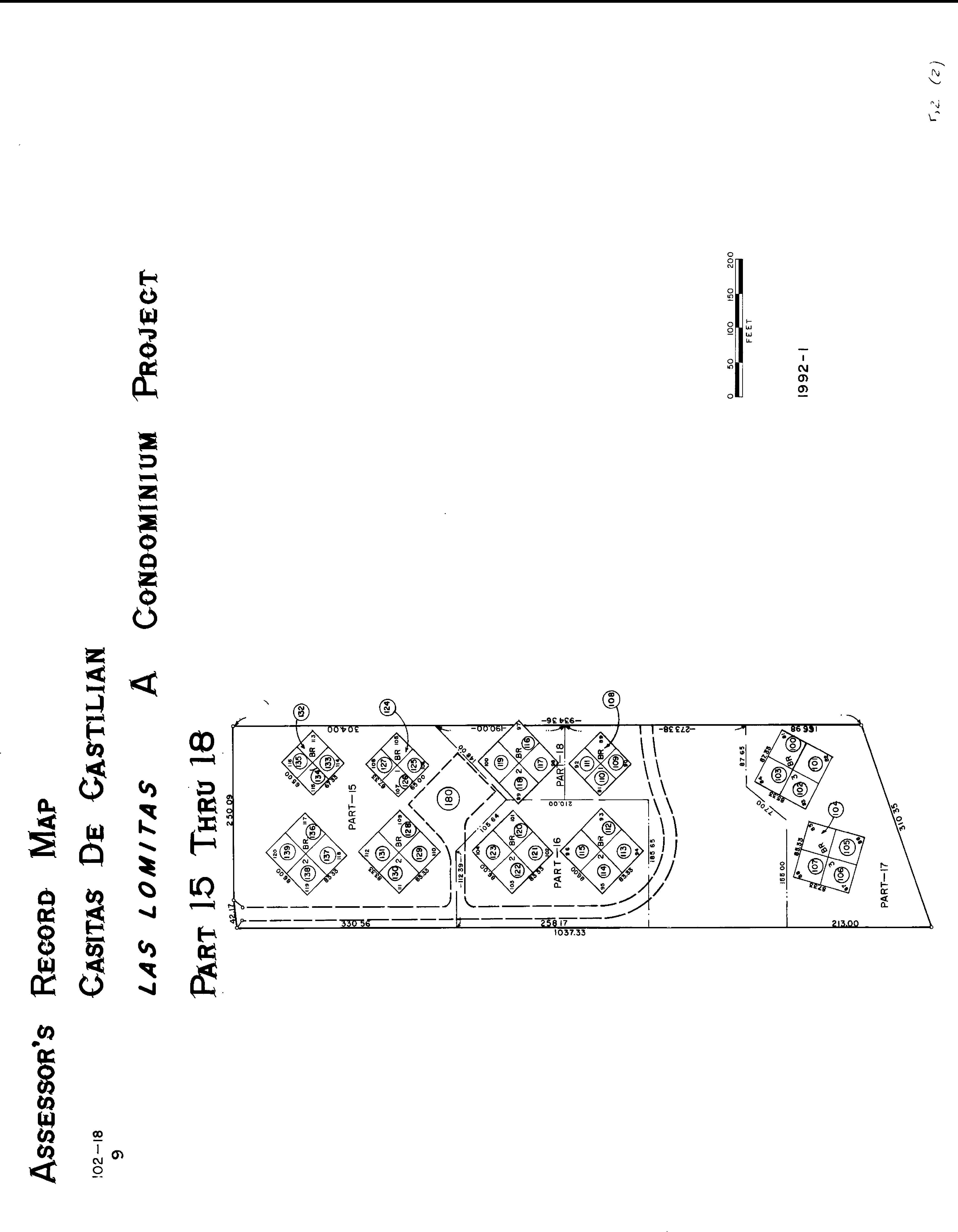
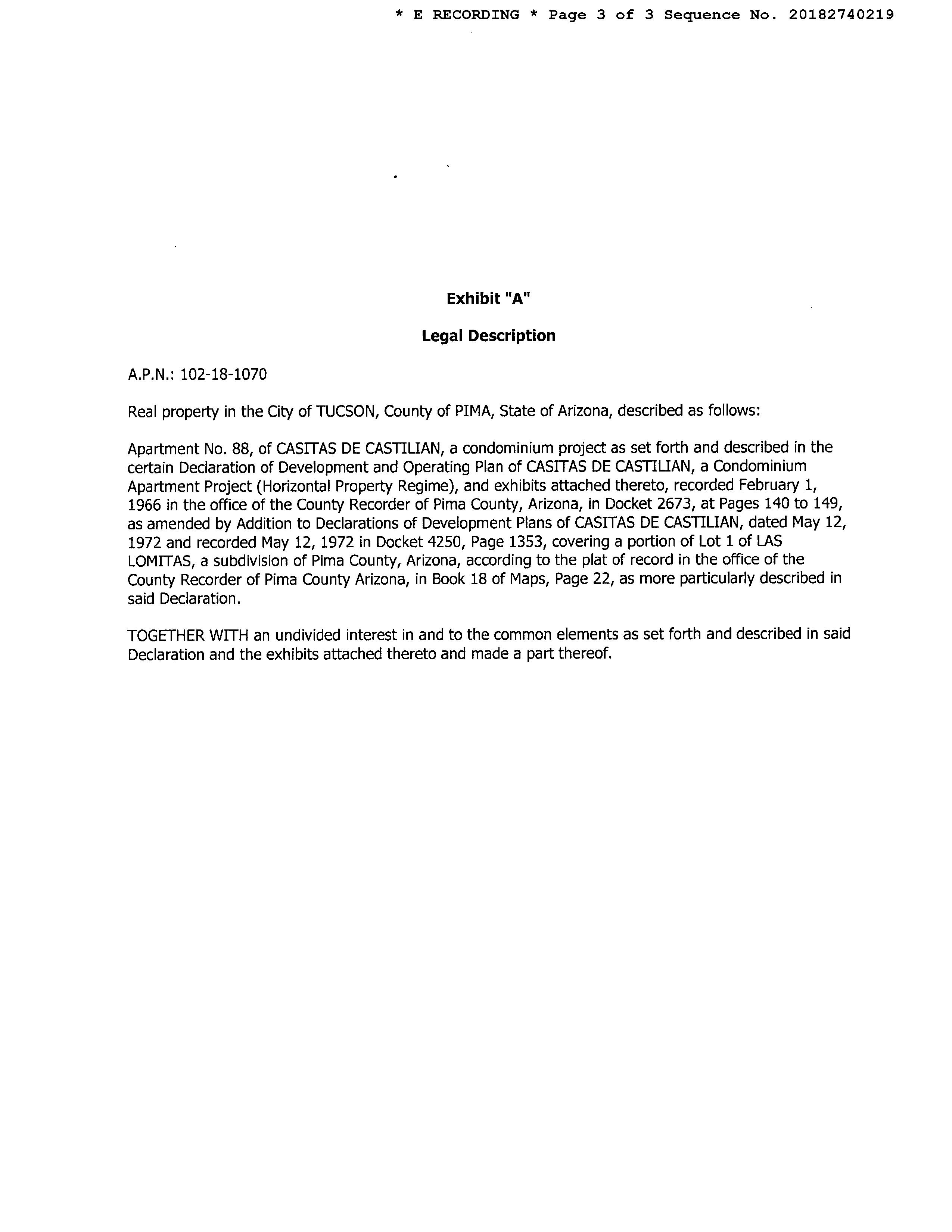
Legal Description : Casitas De Castilian Apt No 88 & Und 1/120 Int In Common Elements Historic Property (potential Additional Tax) Per Ars 42-12104(a)

County : Pima, Az

Census Tract / Block : 46.18 / 1

Township-Range- Sect : 13S-13E-11

Legal Book/Page : 18-22

Legal Lot : 88

Market Area : 15

Owner Transfer Information

Recording/Sale Date : 08/05/2022 / 07/26/2022

Document # : 2170471

Last Market Sale Information

Recording/Sale Date : 09/18/1995 / 09/00/1995

Sale Price : $145,000

Document # : 10130-1384

Deed Type : Warranty Deed

Title Company : Fidelity National Title Insura

Lender : Transpacific Mtg & Inv Ltd

Seller Name : Richardson Maurice L

Prior Sale Information

Prior Rec/Sale Date : / 03/22/1990

Prior Sale Price : $115,000

APN : 102-18-1070

Subdivision : Casitas De Castilian

Map Reference : 11-13S-13E

School District : Amphitheater

Munic/Township : Amphitheater

Deed Type : Special Warranty Deed

Transfer Document # : 141430

1st Mtg Amount/Type : $137,750 / Cnv

1st Mtg Int. Rate/Type : / Fixed Rate Loan

Price Per SqFt : $58.02

Prior Deed Type : Warranty Deed

Customer Name : Jeremiah Stiffler

Customer Company Name : First American Prepared On : 05/16/2023

© 2023 CoreLogic. All rights reserved

Property Characteristics

Gross Area : 2,499 Parking Type : None Patio Type : None

Living Area : 2,499 Roof Material : Built-up Air Cond : Refrigeration

Total Rooms : 6 Heat Type : Forced Air Quality : Fair Year Built / Eff : 1972

Cooling Type : Forced Air Condition : Excellent

# of Stories : 1 Exterior wall : Slump Bath Fixtures : 13

Property Information

Land Use : Condominium Zoning : CR-4 Lot Size : 1,542 County Use : Condominiumstownhouse Lot Acres : 0.04 State Use : Condominiumstownhouse

Tax Information

Total Value : $235,103 Property Tax : $3,017.33

Total Taxable Value : $22,858 Tax Rate Area : 1008

Assessed Year : 2022 Market Value : $235,103

Tax Year : 2022

Current Assessed Year : 2024

Current Year Total Value : $18,791

Current Year Improvement Value :

$18,766

Current Year Land Value : $25

Customer Company Name : First American Prepared On : 05/16/2023 © 2023 CoreLogic. All rights reserved

Customer Name : Jeremiah Stiffler
Analysis Criteria Subject Property Low High Average Sale Price $145,000 $370,000 $680,000 $462,050 Bldg/Living Area 2499 2152 2670 2370 Price Per Square Foot $58.02 $160 $255 $193.80 Year Built 1972 1974 2000 1978 Lot Size 1,542 1,574 4,800 2,962 Bedrooms Bathrooms 5 2 3 3 Stories 1 1 2 2 Total Assessed Value $235,103 $220,744 $282,339 $261,585 Distance From Subject 0 0.72 2.46 1.7 Summary of Comparables # Address Sale Price Total Assessed Value Sale Date Bed Bath Living Area Lot Size Year Built Dist (Miles) Zoning S 720 W Roller Coaster Rd 145,000 235,103 09/18/1995 5 2,499 1,542 1972 CR-4 1 5112 N Pueblo Villas Dr 399,900 220,744 09/01/2022 2 2,445 4,093 1974 0.72 CR-4 2 740 E Placita Del Mirador 389,000 267,269 02/28/2023 3 2,430 2,510 1975 1.6 CR-4 3 700 E Placita Leslie 527,500 262,961 06/15/2022 3 2,618 2,696 1974 1.6 CR-4 4 840 E Placita Del Mirador 420,000 245,483 02/24/2023 3 2,172 2,453 1975 1.64 CR-4 5 835 E Placita Del Mirador 680,000 282,339 06/15/2022 3 2,670 3,010 1975 1.64 CR-4 6 840 E Placita Leslie 380,000 265,561 11/14/2022 3 2,154 2,557 1974 1.65 CR-4 7 515 E Roger Rd 370,000 266,080 06/02/2022 2 2,152 1,574 2000 2.32 R-2 8 7534 N Palm Cir 530,000 282,239 05/01/2023 2 2,316 4,800 1974 2.46 CR-4 Distressed Sales = Customer Name : Jeremiah Stiffler Customer Company Name : First American Prepared On : 05/16/2023 © 2023 CoreLogic. All rights reserved
Sales

Customer Name : Jeremiah Stiffler

Customer Company Name : First American Prepared On : 05/16/2023

© 2023 CoreLogic. All rights reserved

Map

Customer Name : Jeremiah Stiffler

Customer Company Name : First American Prepared On : 05/16/2023

© 2023 CoreLogic. All rights reserved

Subject Property :   720 W Roller Coaster Rd Tucson AZ 85704

Customer Name : Jeremiah Stiffler

Customer Company Name : First American Prepared On : 05/16/2023

© 2023 CoreLogic. All rights reserved

800 W ROLLER COASTER RD Distance 0.04 Miles

Owner Name : Stanley Mary Gwendolyn Subdivision : Northern Hills Estates

Sale Date : 06/21/2019

Total Value : $241,188

Bed / Bath : / 2

Land Use : Sfr

Stories : 1

Recording Date : 06/28/2019

Sale Price  : $310,000

Property Tax : $2,679.65

Lot Acres : 0.91

Living Area : 1,525

Yr Blt / Eff Yr Blt : 1972 / APN : 102-17-0940

656 W ROLLER COASTER RD Distance 0.05 Miles

Owner Name : Blum Mitchell A

Sale Date : 04/16/2018

Total Value : $141,608

Bed / Bath : / 2

Land Use : Condominium

Stories : 1

Subdivision : Casitas De Castilian

Recording Date : 04/20/2018

Sale Price  : $130,000

Property Tax : $1,654

Lot Acres : 0.04

Living Area : 1,318

Yr Blt / Eff Yr Blt : 1967 / APN : 102-18-0940

650 W ROLLER COASTER RD Distance 0.05 Miles

Owner Name : Noyes Carol Ann

Sale Date : 09/00/2002

Total Value : $141,608

Bed / Bath : / 2

Subdivision : Casitas De Castilian

Recording Date : 09/20/2002

Sale Price  : $95,000

Property Tax : $1,654

Land Use : Condominium Lot Acres : 0.04

Stories : 1

Living Area : 1,318

Yr Blt / Eff Yr Blt : 1967 / APN : 102-18-0930

654 W ROLLER COASTER RD Distance 0.05 Miles

Owner Name : Berman Elena A

Sale Date : 12/11/2020

Total Value : $157,786

Bed / Bath : / 2

Subdivision : Casitas De Castilian

Recording Date : 12/15/2020

Sale Price  : $186,000

Property Tax : $1,654

Land Use : Condominium Lot Acres : 0.03

Stories : 1

Living Area : 1,483

Yr Blt / Eff Yr Blt : 1967 / APN : 102-18-0950

Customer Name : Jeremiah Stiffler

Customer Company Name : First American Prepared On : 05/16/2023

© 2023 CoreLogic. All rights reserved

664 W ROLLER COASTER RD Distance 0.05 Miles

Owner Name : Armstrong Richard Subdivision : Casitas De Castilian

Sale Date : 04/18/2022

Total Value : $96,808

Bed / Bath : / 1

Recording Date : 04/21/2022

Sale Price  : $272,000

Property Tax : $1,183.69

Land Use : Condominium Lot Acres : 0.03

Stories : 1

Living Area : 814

Yr Blt / Eff Yr Blt : 1969 / APN : 102-18-0990

724 W ROLLER COASTER RD Distance 0.05 Miles

Owner Name : Anderson Richard C Subdivision : Casitas De Castilian

Sale Date : 06/00/2005

Total Value : $145,837

Bed / Bath : / 2

Recording Date : 06/17/2005

Sale Price  : $105,000

Property Tax : $1,958.17

Land Use : Condominium Lot Acres : 0.04

Stories : 1

Living Area : 1,355

Yr Blt / Eff Yr Blt : 1972 / APN : 102-18-1130

5712 N BONITA DR Distance 0.05 Miles

Owner Name : Dong Roy T

Total Value : $249,802

Bed / Bath : / 2

Subdivision : Northern Hills Estates

Recording Date : 08/05/1966

Property Tax : $2,802.83

Land Use : Sfr Lot Acres : 1.06

Stories : 1

Living Area : 1,761

Yr Blt / Eff Yr Blt : 1963 / APN : 102-17-0980

652 W ROLLER COASTER RD Distance 0.06 Miles

Owner Name : Landau Virginia I Subdivision : Casitas De Castilian

Sale Date : 06/00/1996

Total Value : $141,608

Bed / Bath : / 2

Recording Date : 06/28/1996

Sale Price  : $92,000

Property Tax : $1,654

Land Use : Condominium Lot Acres : 0.04

Stories : 1

Living Area : 1,318

Yr Blt / Eff Yr Blt : 1967 / APN : 102-18-0920

Customer Company Name : First American Prepared On : 05/16/2023

© 2023 CoreLogic. All rights reserved

Customer Name : Jeremiah Stiffler

658 W ROLLER COASTER RD Distance 0.06 Miles

Owner Name : Soda Annie Subdivision : Casitas De Castilian

Sale Date : 02/00/2005

Total Value : $95,264

Bed / Bath : / 1

Land Use : Condominium

Stories : 1

Recording Date : 03/31/2005

Sale Price  : $92,500

Property Tax : $1,024.60

Lot Acres : 0.03

Living Area : 794

Yr Blt / Eff Yr Blt : 1969 / APN : 102-18-0960

662 W ROLLER COASTER RD # 79 Distance 0.06 Miles

Owner Name : Neff Deborah L

Sale Date : 02/08/2018

Total Value : $96,808

Bed / Bath : / 1

Subdivision : Casitas De Castilian

Recording Date : 02/14/2018

Sale Price  : $116,900

Property Tax : $1,047.71

Land Use : Condominium Lot Acres : 0.03

Stories : 1

Living Area : 814

Yr Blt / Eff Yr Blt : 1969 / APN : 102-18-0980

© 2023
rights
Customer Name : Jeremiah Stiffler Customer Company Name : First American Prepared On : 05/16/2023
CoreLogic. All
reserved
Census Tract / block: 46.18 / 1     Year: 2018 Household Population Population by Age Count: 3,109 0 - 11 Estimate Current Year: 3,067 12 - 17 Estimate in 5 Years: 2,903 18 - 24 7.69% Growth Last 5 Years: -6.08% 25 - 64 50.4% Growth Last 10 Years: -113.07% 65 - 74 15.66% 75+ Household Size Household Income Current Year: 1,530 0 - $25,000 19.93% Average Current Year: 1.94 $25,000 - $35,000 11.7% Estimate in 5 Years: 1,706 $35,000 - $50,000 18.95% Growth Last 5 Years: 8.43% $50,000 - $75,000 23.01% Growth Last 10 Years: -4.86% $75,000 - $100,000 12.16% Male Population: 43.17% Above $100,000 14.25% Female Population: 56.83% Average Household Income: $49,625 Married People: 46.16% Unmarried People: 53.84% Housing Median Mortgage Payments Home Values Under $300: 3.98% Below $100,000: 6.97% $300 - $799: 37.61% $100,000 - $150,000: 31.42% $800 - $1,999: 52.43% $150,000 - $200,000: 26.55% Over $2,000: 5.97% $200,000 - $300,000: 20.91% Median Home Value: $167,600 $300,000 - $500,000: 11.39% Unit Occupied Owner: 59.08% Above $500,000: 2.77% Median Mortgage: $783
©
Customer Name : Jeremiah Stiffler Customer Company Name : First American Prepared On : 05/16/2023
2023 CoreLogic. All rights reserved
Rent Payments Year Built Unit Occupied Renter: 40.92% 1999 - 2000 Median Gross Rent: $956 1995 - 1998 Less Than $499 0% 1990 - 1994 $500 - $749 3.05% 1980 - 1989 14.99% $750 - $999 60.17% 1970 - 1979 25% $1000 and Over 36.78% 1900 - 1969 30.74% Education Enrollment Public Pre-Primary School: 1.03% Not Enrolled in School: 82.41% Private Pre-Primary School: 0.76% Not A High School Graduate: 5.17% Public School: 15.93% Graduate Of High School: 23.98% Private School: 1.66% Attended Some College: 26.89% Public College: 8.23% College Graduate: 28.87% Private College: 0.66% Graduate Degree: 15.1% Workforce Occupation: Manager/Prof: 42.13% Private Worker: 70.28% Technical: Government Worker: 12.47% Sales: 23.56% Self Employed Worker: 0.72% Administrative: Unpaid Family Worker: 7.48% Private House Hold: Farming: 6.3% Service: 18.57% Skilled: Protective Services: Blue-Collar: 15.75% Commute Time Less Than 15 Min: 25.94% 15 min - 28 min: 35.59% 30 min - 57 min: 36.55% Over 60 min: 1.92% Customer Name : Jeremiah Stiffler Customer Company Name : First American Prepared On : 05/16/2023 © 2023 CoreLogic. All rights reserved

Customer Name : Jeremiah Stiffler

Customer Company Name : First American Prepared On : 05/16/2023

© 2023 CoreLogic. All rights reserved

Customer Name : Jeremiah Stiffler

Customer Company Name : First American Prepared On : 05/16/2023

© 2023 CoreLogic. All rights reserved

Customer Name : Jeremiah Stiffler

Customer Company Name : First American Prepared On : 05/16/2023

© 2023 CoreLogic. All rights reserved

Arizona Schools For detailed information and statistics on Arizona schools please go to https://azreportcards.azed.gov/ First American Title Insurance Company, and the operating divisions thereof, make no express or implied warranty respecting the information presented and assume no responsibility for errors or omissions. First American, the eagle logo, First American Title, and firstam.com are registered trademarks or trademarks of First American Financial Corporation and/or its affiliates. ©2021 First American Financial Corporation and/or its affiliates. All rights reserved. NYSE: FAF 05117910421

PIMA COUNTY

School District Information

This map is provided for general location only. Please contact school districts for actual street boundaries

05249570321 TUCSON INT'L AIRPORT Air Force WSilverbellRd SSantaRitaRd N M t L emmon Hwy ESascoRd NF38 W Avra Valley Rd E Grand Va ey Dr NAguirre R d N L u c k e R d N W e n t z R d N Wa terman Mounta i n R d N Anway Rd W El Tiro Rd N Trico Rd W Tucker Rd W Rudas l Rd W Manvi e Rd SSanJoaquinRd WBopp Rd W Snyder H l Rd S M a r s e a r R d W Park Rd W Hermans Rd W Hermans Rd W Guy St W Bush Rd S G a v e y R d N C a e R i n c o n a d o S W m o R d S Shaw Rd S Sierrita Mountain Rd S K o b R d W TwinButtes Rd W Mcgee Ranch Rd S E s t a n c a D r EDesertDove E Hemlock Dr N Bea r C a n y o n R d W E Camino Del Cerro E Fairmount St S Swan Rd NFrontageRd W Emigh Rd W Fort Lowe Rd N P u m p S t a t ion dR E Nona Rd Ch efButteRd Lo al Ave N Trico Rd S Cattle Tank Rd Evalyn Rd SOwlHead R a n c h Rd GasLineRd S P ec a n R d N T r c o R d W Bayard Rd S S a n d a r o R d W i l l owSpri n gsRd N Dove Mountain Blvd SHelvetiaRd WAnamax Mine Rd W G a c i a R a n hc R d Road424 WRagged Top Rd W Ruby Star Dr WBritten RanchRd W Pima Mine Rd S Mcgee Ranch R d E Edw n Rd SGuildRd 8 0 NKINNEYRD S PICACHO HWY E BAUMGARTNER RD N S A N D A R I O R D N ANWAY RD W VALENCIA RD W MOORE RD W INA RD N 1 S T A V E E SUNRISE DR E SNYDER RD NSILVERBELLRD N S O L D I E R T R L E RIVER RD E PRINCE RD E SPEEDWAY BLVD S FREEMAN RD E 22ND ST E 22ND ST W IRVINGTON RD S N O G A L E S H W Y W VALENCIA RD SMISSIONRD W SPEEDWAY BLVD S O L D S P A N I S H T RL W NARANJA DR W TWIN PEAKS RD W PICTURE ROCKS RD W MANVILLE RD SKINNEYRD W MILE WIDE RD E SAHUARITA RD N TRICO RD S S A N D A R O R D PARK LINK DR S OLD N O G ALES HW Y S H O U G H T O N R D S L A C A N A D A DR W HELMET PEAK RD WAJOHWY N S W A N R D S KOLB RD S HOUGHTON RD W TANGERINE RD E GRANT RD S H O U G H T O N R D 9 5 WAJOHWY E VALENCIA RD NORACLE R D I10 I-19 77 77 77 86 86 286 10 19 10 10 Corona de Tucson Casas Adobes Catalina Green Valley Oracle Picture Rocks Three Points Vail Summit Tanque Verde Tucson Sahuarita Red Rock Saddlebrooke Marana Oro Valley Rillito Summerhaven Willow Canyon Oracle Junction Cortaro Continental Littletown 20 30 13 15 51 39 12 01 01 08 10 16 11 06
SCHOOL DISTRICTS 15 AJO UNIFIED 111 N. Well Road, Ajo, AZ 85321 520.387.5618 51 ALTAR VALLEY ELEMENTARY 10105 S. Sasabe Road, Tucson, AZ 85736 520.822.1484 10 AMPHITHEATER UNIFIED 701 W. Wetmore, Tucson, AZ 85705 520.696.5000 16 CATALINA FOOTHILS UNIFIED 2101 E. River Road, Tucson, AZ 85718 520.209.7500 39 CONTINENTAL ELEMENTARY 1991 E. Whitehouse Canyon, Green Valley, AZ 85614 520.625.4581 08 FLOWING WELLS UNIFIED 1556 W. Prince Road, Tucson, AZ 85705 520.696.8800 06 MARANA UNIFIED 11279 W. Grier Road, Marana, AZ 85653 520.682.3243 11 PIMA COUNTY JTED 2855 W. Master Pieces Dr, Tucson, AZ 85741 520.352.5833 30 SAHUARITA UNIFIED 350 W. Sahuarita Road, Sahuarita, AZ 85629 520.625.3502 12 SUNNYSIDE UNIFIED 2238 E. Ginter Road, Tucson, AZ 85706 520.545.2000 13 TANQUE VERDE UNIFIED 2300 N. Tanque Verde Loop, Tucson, AZ 85749 520.749.5751 01 TUCSON UNIFIED 1010 E. 10th Street, Tucson, AZ 85717 520.225.6000 20 VAIL UNIFIED 10701 E. Mary Ann Cleveland Way, Tucson, AZ 85747 520.879.2000 First American Title Insurance Company, and the operating divisions thereof, make no express or implied warranty respecting the information presented and assume no responsibility for errors or omissions. First American, the eagle logo, First American Title, and firstam.com are registered trademarks or trademarks of First American Financial Corporation and/or its affiliates. ©2021 First American Financial Corporation and/or its affiliates. All rights reserved. NYSE: FAF

SEARCH PARAMETERS

PARCEL:  102-18-1070

PARCEL: 102-18-1070

FRANK TRUJILLO BALLESTEROS

SITUS: 720 W ROLLER COASTER RD PC

MAIL: 720 W ROLLER COASTER RD

LEGAL: CASITAS DE CASTILIAN APT NO 88 & UND 1/120 INT IN COMMON ELEMENTS

ADDITIONAL PROPERTY INFORMATION

END SEARCH

+ FIRST AMERICAN TITLE, FC0, JSTI PIMA, AZ 05/16/2023  01:22PM  R9C8  INVESTIGATIVE SEARCH RESULTS PAGE 1 OF 1
INSTRUMENT REC DATE
AFFIDAVIT    2022 471 08/05/2022
OWNER:
BLOCK 0
PLAT: LOT 00088
CURRENT TAXES INFORMATION THROUGH 04/28/2023 LAND IMPR EXEMPT RATE AREA SPECIAL DISTRICTS PRIMARY  22,858  0  0  8.9703  1008 SECONDARY  50  23,460  0  5.9433  2022 TOTAL TAX BILLED 3,017.33 2022  TAX AMT TAX DUE INTEREST DATE PAID TOTAL DUE FIRST HALF  1,508.67  0.00  0.00  10/24/2022  0.00  SECOND HALF  1,508.66  0.00  0.00  04/24/2023  0.00  TOTAL CURRENT TAXES DUE 05/23 0.00 06/23 0.00 IMPROVEMENTS BYPASS  BLDG SQFT  2,499 FULL CASH VALUE  235,103 YEAR BUILT  1972 LAND USE  07 40 NUMBER OF STORIES  4.0 LOT SIZE  1 STDLT STORIES HEIGHT  0 SCHOOL DISTRICT  1008 EXTERIOR WALLS  SLUMP BLOCK LAND FULL CASH VALUE  502 GRADE MATERIALS IMPR FULL CASH VALUE  234,601 SALES SALE DATE SALE AMOUNT INSTRUMENT TYPE SELLER NAME VALIDITY 09/18/1995 145,000    10130 1384 WD RICHARDSON M L TRUSTEE
STANDARD LAND USE: CONDOMINIUM
Page 1 of 2 05/16/2023 1:25 PM
Page 2 of 2 05/16/2023 1:25 PM
Page 1 of 2 05/16/2023 1:25 PM
Page 2 of 2 05/16/2023 1:25 PM
Page 1 of 2 05/16/2023 1:25 PM
Page 2 of 2 05/16/2023 1:25 PM
Page 1 of 3 05/16/2023 1:25 PM
Page 2 of 3 05/16/2023 1:25 PM
Page 3 of 3 05/16/2023 1:25 PM
Page 1 of 3 05/16/2023 1:25 PM
Page 2 of 3 05/16/2023 1:25 PM
Page 3 of 3 05/16/2023 1:25 PM
Page 1 of 2 05/16/2023 1:25 PM
Page 2 of 2 05/16/2023 1:25 PM
Page 1 of 2 05/16/2023 1:25 PM
Page 2 of 2 05/16/2023 1:25 PM
Page 1 of 6 05/16/2023 1:25 PM
Page 2 of 6 05/16/2023 1:25 PM
Page 3 of 6 05/16/2023 1:25 PM
Page 4 of 6 05/16/2023 1:25 PM
Page 5 of 6 05/16/2023 1:25 PM
Page 6 of 6 05/16/2023 1:25 PM
Page 1 of 3 05/16/2023 1:25 PM
Page 2 of 3 05/16/2023 1:25 PM
Page 3 of 3 05/16/2023 1:25 PM
Page 1 of 2 05/16/2023 1:25 PM
Page 2 of 2 05/16/2023 1:25 PM
Page 1 of 2 05/16/2023 1:25 PM
Page 2 of 2 05/16/2023 1:25 PM
Page 1 of 3 05/16/2023 1:25 PM
Page 2 of 3 05/16/2023 1:25 PM
Page 3 of 3 05/16/2023 1:25 PM
Page 1 of 3 05/16/2023 1:25 PM
Page 2 of 3 05/16/2023 1:25 PM
Page 3 of 3 05/16/2023 1:25 PM
Page 1 of 18 05/16/2023 1:25 PM
Page 2 of 18 05/16/2023 1:25 PM
Page 3 of 18 05/16/2023 1:25 PM
Page 4 of 18 05/16/2023 1:25 PM
Page 5 of 18 05/16/2023 1:25 PM
Page 6 of 18 05/16/2023 1:25 PM
Page 7 of 18 05/16/2023 1:25 PM
Page 8 of 18 05/16/2023 1:25 PM
Page 9 of 18 05/16/2023 1:25 PM
Page 10 of 18 05/16/2023 1:25 PM
Page 11 of 18 05/16/2023 1:25 PM
Page 12 of 18 05/16/2023 1:25 PM
Page 13 of 18 05/16/2023 1:25 PM
Page 14 of 18 05/16/2023 1:25 PM
Page 15 of 18 05/16/2023 1:25 PM
Page 16 of 18 05/16/2023 1:25 PM
Page 17 of 18 05/16/2023 1:25 PM
Page 18 of 18 05/16/2023 1:25 PM

Turn static files into dynamic content formats.

Create a flipbook
Issuu converts static files into: digital portfolios, online yearbooks, online catalogs, digital photo albums and more. Sign up and create your flipbook.