635 W. Las Lomitas

Page 1

Data Provided By: First American Title Ins Co

635 W Las Lomitas Rd Tucson AZ 85704 APN: 102-18-0470
Subject Property
© 2023 CoreLogic. All rights reserved

LIMITATION OF LIABILITY FOR INFORMATIONAL REPORTS

IMPORTANT -- PLEASE READ CAREFULLY:

This report is not an insured product or service or a representation of the condition of title to real property. It is not an abst ract, legal opinion, opinion of title, title insurance commitment or preliminary report, or any form of Title Insurance or Guaranty. This report is issued exclusively for the benefit of the Applicant therefor and may not be used or relied upon by any other person. This report may not be reproduced in any manner without First American or Title Security's prior written consent. First American or Title Security does not represent or warrant that the information herein is complete or free from error, and the information herein is provided without any warranties of any kind, as-is, and with all faults. As a material part of the consideration given in exchange for the issuance of this report, recipient agrees that First American or Title Security's sole liability for any loss or damage caused by an error or omission due to inaccurate information or negligence in preparing this report shall be limited to the fee charged for the report. Recipient accepts this report with this limitation and agrees that First American or Title Security would not have issued this report but for the limitation of liability described above. First American or Title Security makes no representation or warranty as to the legality or propriety of recipient's use of the information herein.

Disclaimer

This REiSource report is provided "as is" without warranty of any kind, either express or implied, including without limitations any warrantees of merchantability or fitness for a particular purpose. There is no representation of warranty that this information is complete or free from error, and the provider does not assume, and expressly disclaims, any liability to any person or entity for loss or damage caused by errors or omissions in this REiSource report without a title insurance policy.

The information contained in the REiSource report is delivered from your Title Company, who reminds you that you have the right as a consumer to compare fees and serviced levels for Title, Escrow, and all other services associated with property ownership, and to select providers accordingly. Your home is the largest investment you will make in your lifetime and you should demand the very best.

Data Provided By: First American Title Ins Co
© 2023 CoreLogic. All rights reserved

Subject Property :   635 W Las Lomitas Rd Tucson AZ 85704

Owner Information

Owner Name : Tucson Houses Llc

Mailing Address : 2007 E Grant Rd, Tucson AZ 85719-3410 C025

Owner Occupied Indicator : A

Location Information

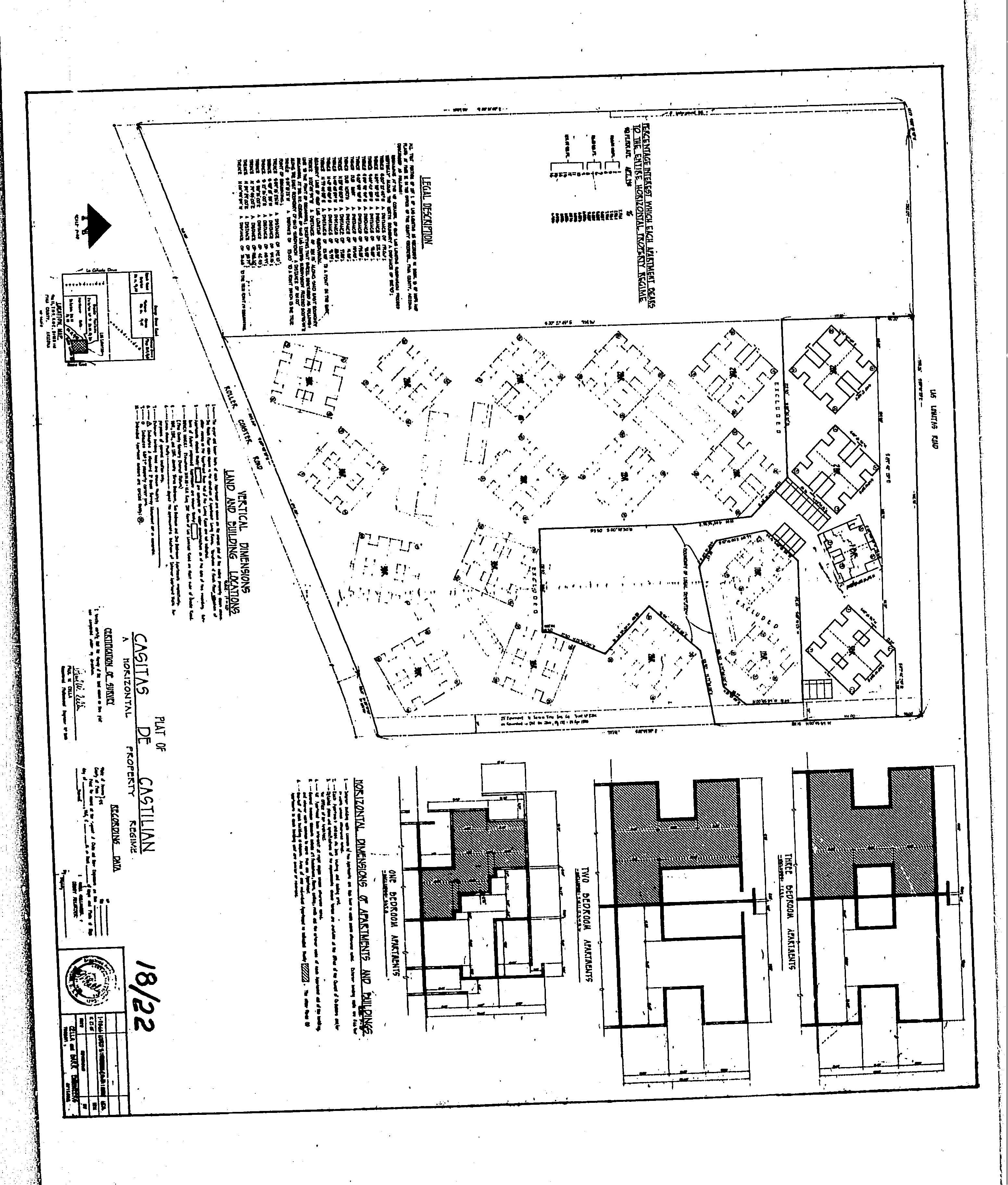
Legal Description : Casitas De Castilian Apt No 28 & Und 1/120 Int In Common Elements

County : Pima, Az

Census Tract / Block : 46.18 / 1

Township-Range- Sect : 13S-13E-11

Legal Book/Page : 18-22

Legal Lot : 28

Market Area : 15

Last Market Sale Information

Recording/Sale Date : 09/27/2022 / 09/21/2022

Sale Price : $168,000

Document # : 2700117

Title Company : Stewart Title & Tr/tucson

Seller Name : Coe Barbara A

Prior Sale Information

Prior Rec/Sale Date : 12/09/2005 / 10/00/2005

Prior Sale Price : $117,500

Property Characteristics

Gross Area : 795

Living Area : 795

Total Rooms : 4

Year Built / Eff : 1968

Parking Type : None

APN : 102-18-0470

Subdivision : Casitas De Castilian

Map Reference : 11-13S-13E

School District : Amphitheater

Munic/Township : Amphitheater

Deed Type : Warranty Deed

Price Per SqFt : $211.32

Prior Doc Number : 12697-8892

Prior Deed Type : Warranty Deed

Patio Type : None

Roof Material : Built-up Air Cond : Refrigeration

Heat Type : Forced Air Quality : Fair

Cooling Type : Forced Air Condition : Excellent # of Stories : 1

Exterior wall : Adobe Bath Fixtures : 3

© 2023 CoreLogic. All rights reserved

Customer Name : Kariann Keomaka Customer Company Name : First American Title Insurance Company Prepared On : 05/22/2023

Property Information

Land Use : Condominium Zoning : CR-4 Lot Size : 784

County Use : Condominiumstownhouse Lot Acres : 0.02

Tax Information

Total Value : $95,264

Tax : $881.63

Use : Condominiumstownhouse

Assessed Year : 2022

Tax Year : 2022

Value : $95,264

Assessed Year : 2024

Customer Name : Kariann Keomaka

Customer Company Name : First American Title Insurance Company

Prepared On : 05/22/2023 © 2023 CoreLogic. All rights reserved

State
Property
Current
Total
Current
Improvement
Year
Value : $15,348 Total Taxable Value : $6,679 Tax Rate Area : 1008
Year
Value : $15,298
Market
Current
Year Land Value : $50
Current
Sales Analysis Criteria Subject Property Low High Average Sale Price $168,000 $60,000 $243,000 $172,003 Bldg/Living Area 795 795 912 866 Price Per Square Foot $211.32 $66 $297 $202.42 Year Built 1968 1958 1974 1970 Lot Size 784 118 2,644 912 Bedrooms Bathrooms 1 1 2 1 Stories 1 1 1 1 Total Assessed Value $95,264 $58,429 $118,307 $79,612 Distance From Subject 0 0 0.95 0.57 Summary of Comparables # Address Sale Price Total Assessed Value Sale Date Bed Bath Living Area Lot Size Year Built Dist (Miles) Zoning S 635 W Las Lomitas Rd 168,000 95,264 09/27/2022 1 795 784 1968 CR-4 1 641 W Las Lomitas Rd 225,000 97,323 08/09/2022 1 818 753 1968 0 CR-4 2 637 W Las Lomitas Rd # 26 220,000 95,264 04/14/2023 1 795 751 1968 0.01 CR-4 3 627 W Las Lomitas Rd 243,000 97,323 09/30/2022 1 819 722 1966 0.02 CR-4 4 5901 N Oracle Rd # 13 150,000 74,923 08/24/2022 1 882 949 1958 0.23 CB-1 5 6302 N Barcelona Ln # 622 149,835 58,429 04/05/2023 1 912 118 1972 0.7 TR 6 6312 N Barcelona Ln # 609 145,000 58,429 04/05/2023 1 912 118 1972 0.7 CB-1 7 6325 N Barcelona Ln # 706 60,000 58,429 12/05/2022 2 912 421 1972 0.71 TR 8 6321 N Barcelona Ct # 901 130,000 58,429 04/13/2023 1 912 445 1972 0.72 CB-1 9 6321 N Barcelona Ct # 907 144,900 58,429 06/06/2022 1 912 327 1972 0.72 CB-1 Customer Name : Kariann Keomaka Customer Company Name : First American Title Insurance Company Prepared On : 05/22/2023 © 2023 CoreLogic. All rights reserved
10 6321 N Barcelona Ct # 908 136,000 58,429 05/25/2022 2 912 324 1972 0.73 CB-1 11 5158 N Tigua Dr 225,000 118,307 10/24/2022 1 810 2,606 1974 0.76 CR-4 12 441 W Yucca Ct # 205 142,000 58,429 04/11/2023 1 912 308 1972 0.79 CB-1 13 621 W Yaqui Dr 220,000 115,586 06/22/2022 2 805 2,644 1974 0.91 CR-4 14 627 W Zia Dr 217,300 106,843 08/25/2022 1 808 2,278 1972 0.95 CR-4 Distressed Sales = Map Customer Name : Kariann Keomaka Customer Company Name : First American Title Insurance Company Prepared On : 05/22/2023 © 2023 CoreLogic. All rights reserved

Details of Comparables

Subject Property: 635 W Las Lomitas Rd Tucson Az 85704

Owner Name: Tucson Houses Llc / APN / Alternate APN: 102-18-0470 / Deed Type: Warranty Deed

Subdivision / Tract: Casitas De Castilian / Lot Size: 784

Rec. Date / Price: 09/27/2022 / $168,000 Living Area: 795

Document #: 2700117

Total Tax Value: $95,264

#1   641 W Las Lomitas Rd Tucson Az 85704

Bedrooms:

Bath(F/H): /

Owner Name: Fernandez Alexander Tadeo /Howard Charl T & Rachel N

APN / Alternate APN: 102-18-0460 / Deed Type: Warranty Deed

Subdivision / Tract: Casitas De Castilian / Lot Size: 753

Rec. Date / Price: 08/09/2022 / $225,000 Living Area: 818

Document #: 2210206

Total Tax Value: $97,323

Bedrooms:

Bath(F/H): /

#2   637 W Las Lomitas Rd # 26 Tucson Az 85704

Owner Name: Schoemehl Frederick A /Schoemehl Frederick A

APN / Alternate APN: 102-18-0450 / Deed Type: Warranty Deed

Subdivision / Tract: Casitas De Castilian / Lot Size: 751

Rec. Date / Price: 04/14/2023 / $220,000 Living Area: 795

Document #: 1040549

Total Tax Value: $95,264

#3   627 W Las Lomitas Rd Tucson Az 85704

/

Owner Name: Cill Mark / APN / Alternate APN: 102-18-0240 / Deed Type: Warranty Deed

Land Use: Condominium

Year Built / Eff: 1968 /

# of units:

Pool:

Land Use: Condominium

Year Built / Eff: 1968 /

# of units:

Pool:

Land Use: Condominium

Year Built / Eff: 1968 /

# of units:

Land Use: Condominium

Year Built / Eff: 1966 / Rec. Date / Price: 09/30/2022 / $243,000 Living Area: 819

Subdivision / Tract: Casitas De Castilian / Lot Size: 722

Document #: 2730089

Tax Value: $97,323

#4   5901 N Oracle Rd # 13 Tucson Az 85704

/

Owner Name: Sevinsky Holdings Llc / APN / Alternate APN: 102-21-0420 / Deed Type: Deed (reg)

# of units:

Land Use: Condominium

Year Built / Eff: 1958 / Rec. Date / Price: 08/24/2022 / $150,000 Living Area: 882

Subdivision / Tract: Oracle North Condo / Lot Size: 949

# of units:

Document #: 2360141 Bedrooms: Pool: Total Tax Value: $74,923

/

Customer Name : Kariann Keomaka

Customer Company Name : First American Title Insurance Company Prepared On : 05/22/2023

© 2023 CoreLogic. All rights reserved

Bedrooms:
Bath(F/H):
Pool:
Bath(F/H):
Bedrooms: Pool: Total
Bath(F/H):

#5   6302 N Barcelona Ln # 622 Tucson Az 85704

Owner Name: Williams Stanley A / APN / Alternate APN: 102-15-2490 / Deed Type: Warranty Deed

Use: Condominium Subdivision / Tract: Barcelona Manor

/ Lot Size: 118

/ Price: 04/05/2023 / $149,835 Living Area: 912

/

#6   6312 N Barcelona Ln # 609 Tucson Az 85704

Owner Name: Gebow Charles S / APN / Alternate APN: 102-15-2360 / Deed Type: Warranty Deed

Built / Eff: 1972 /

Use: Condominium Subdivision / Tract: Barcelona Manor

/ Lot Size: 118

/ $145,000 Living Area: 912

/

#7   6325 N Barcelona Ln # 706 Tucson Az 85704

Owner Name: Celaya Ricardo A /Alonzo-marin Lillian APN / Alternate APN: 102-15-2570 / Deed Type: Special Warranty Deed

Built / Eff: 1972 /

Use: Condominium

/ Tract: Barcelona Manor

/ Lot Size: 421

Owner Name: Njikem Carolprisca /

/ Alternate APN: 102-15-3000 / Deed Type: Warranty Deed

Built / Eff: 1972 /

Use: Condominium

/ Tract: Barcelona Manor

/ Lot Size: 445

Owner Name: Shaikh Mohammed /Tahir Mahjabeen Jafri

/ Alternate APN: 102-15-3060 / Deed Type: Warranty Deed

Built / Eff: 1972 /

Use: Condominium

/ Tract: Barcelona Manor

/ Lot Size: 327

Tax Value: $58,429

/

Built / Eff: 1972 /

Customer Name : Kariann Keomaka Customer Company Name : First American Title Insurance Company Prepared On : 05/22/2023 © 2023 CoreLogic. All rights reserved

Land
Condo
Year
Rec. Date
# of units:
Bedrooms: Pool: Total
Bath(F/H):
Document #: 950239
Tax Value: $58,429
Land
Condo
Year
Rec. Date
# of units: Document
Bedrooms: Pool: Total
Bath(F/H):
/ Price: 04/05/2023
#: 950598
Tax Value: $58,429
Land
Condo
Year
Rec. Date / Price: 12/05/2022
$60,000 Living Area: 912 # of units: Document #:
Bedrooms: Pool: Total Tax Value:
Bath(F/H):
Subdivision
/
3390471
$58,429
/ #8   6321 N Barcelona Ct # 901 Tucson Az 85704
Land
Subdivision
Condo
Year
Rec. Date / Price: 04/13/2023
$130,000 Living Area: 912 # of units: Document
Bedrooms: Pool: Total
Bath(F/H):
#9
APN
/
#: 1030307
Tax Value: $58,429
/
6321 N Barcelona Ct # 907 Tucson Az 85704
Land
Subdivision
Condo
Year
Rec. Date
Price: 06/06/2022
Living
# of units: Document
Bedrooms: Pool: Total
Bath(F/H):
APN
/
/ $144,900
Area: 912
#: 1570769

#10   6321 N Barcelona Ct # 908 Tucson Az 85704

Owner Name: Ramsay Alison /Hartung Gary

Owner Name: Cheek Lynne M /

Owner Name: Day Michael C /

APN
Land Use: Condominium Subdivision /
Condo
Year Built / Eff: 1972 / Rec. Date / Price: 05/25/2022
Living Area: 912 # of units: Document #: 1450265 Bedrooms: Pool: Total Tax Value: $58,429 Bath(F/H): /
/ Alternate APN: 102-15-3070 / Deed Type: Warranty Deed
Tract: Barcelona Manor
/ Lot Size: 324
/ $136,000
#11   5158 N Tigua Dr Tucson Az 85704
APN
Land Use: Condominium Subdivision / Tract:
Size: 2,606 Year Built / Eff: 1974 / Rec. Date / Price: 10/24/2022
Living Area: 810 # of units: Document #: 2970558 Bedrooms: Pool: Total Tax Value: $118,307 Bath(F/H): /
/ Alternate APN: 105-08-2080 / Deed Type: Warranty Deed
Pueblo Villas / Lot
/ $225,000
#12   441 W Yucca Ct # 205 Tucson Az 85704
APN
Alternate
Land Use: Condominium Subdivision / Tract:
Condo / Lot Size:
Year Built / Eff: 1972 / Rec. Date / Price: 04/11/2023 / $142,000 Living Area: 912 # of units: Document #: 1010200 Bedrooms: Pool: Total Tax Value: $58,429 Bath(F/H): / #13   621 W Yaqui Dr Tucson Az 85704 Owner Name: Olson Margaret Earlene / APN / Alternate APN: 105-08-1480 / Deed Type: Warranty Deed Land Use: Condominium Subdivision / Tract: Pueblo Villas / Lot Size: 2,644 Year Built / Eff: 1974 / Rec. Date / Price: 06/22/2022 / $220,000 Living Area: 805 # of units: Document #: 1730279 Bedrooms: Pool: Total Tax Value: $115,586 Bath(F/H): / #14   627 W Zia Dr Tucson Az 85704 Owner Name: Ryan Maureen / APN / Alternate APN: 105-08-1360 / Deed Type: Warranty Deed Land Use: Condominium Subdivision / Tract: Pueblo Villas / Lot Size: 2,278 Year Built / Eff: 1972 / Rec. Date / Price: 08/25/2022 / $217,300 Living Area: 808 # of units: Document #: 2370234 Bedrooms: Pool: Total Tax Value: $106,843 Bath(F/H): / Customer Name : Kariann Keomaka Customer Company Name : First American Title Insurance Company Prepared On : 05/22/2023 © 2023 CoreLogic. All rights reserved
/
APN: 102-15-1360 / Deed Type: Warranty Deed
Barcelona Manor
308

Customer Name : Kariann Keomaka

Customer Company Name : First American Title Insurance Company Prepared On : 05/22/2023

© 2023 CoreLogic. All rights reserved

Subject Property :   635 W Las Lomitas Rd Tucson AZ 85704

Customer Name : Kariann Keomaka

Customer Company Name : First American Title Insurance Company

Prepared On : 05/22/2023

© 2023 CoreLogic. All rights reserved

641 W LAS LOMITAS RD Distance 0 Miles

Owner Name : Fernandez Alexander Tadeo

Sale Date : 07/27/2022

Total Value : $97,323

Bed / Bath : / 1

Subdivision : Casitas De Castilian

Recording Date : 08/09/2022

Sale Price  : $225,000

Property Tax : $1,048.61

Land Use : Condominium Lot Acres : 0.02

Stories : 1

Living Area : 818

Yr Blt / Eff Yr Blt : 1968 / APN : 102-18-0460

637 W LAS LOMITAS RD # 26 Distance 0.01 Miles

Owner Name : Schoemehl Frederick A Subdivision : Casitas De Castilian

Sale Date : 04/12/2023

Total Value : $95,264

Bed / Bath : / 1

Recording Date : 04/14/2023

Sale Price  : $220,000

Property Tax : $1,020.65

Land Use : Condominium Lot Acres : 0.02

Stories : 1

Living Area : 795

Yr Blt / Eff Yr Blt : 1968 / APN : 102-18-0450

639 W LAS LOMITAS RD Distance 0.01 Miles

Owner Name : Dexter Robert B

Sale Date : 04/16/2018

Total Value : $97,323

Bed / Bath : / 1

Subdivision : Casitas De Castilian

Recording Date : 04/26/2018

Sale Price  : $92,500

Property Tax : $1,184.71

Land Use : Condominium Lot Acres : 0.02

Stories : 1

Living Area : 818

Yr Blt / Eff Yr Blt : 1968 / APN : 102-18-0440

© 2023 CoreLogic. All rights reserved

Customer Name : Kariann Keomaka Customer Company Name : First American Title Insurance Company Prepared On : 05/22/2023

615 W LAS LOMITAS RD # 29 Distance 0.02 Miles

Owner Name : Hayes Jeanne Subdivision : Casitas De Castilian

Sale Date : 04/19/2013

Total Value : $114,831

Bed / Bath : / 1

Recording Date : 05/15/2013

Sale Price  : $63,000

Property Tax : $1,287.68

Land Use : Condominium Lot Acres : 0.02

Stories : 1

Living Area : 1,012

Yr Blt / Eff Yr Blt : 1968 / APN : 102-18-0480

611 W LAS LOMITAS RD Distance 0.02 Miles

Owner Name : Ornelas Sally M Subdivision : Casitas De Castilian

Sale Date : 10/16/2000

Total Value : $116,375

Bed / Bath : / 1

Recording Date : 10/20/2000

Sale Price  : $73,000

Property Tax : $1,307.52

Land Use : Condominium Lot Acres : 0.02

Stories : 1

Living Area : 1,028

Yr Blt / Eff Yr Blt : 1968 / APN : 102-18-0490

617 W LAS LOMITAS RD Distance 0.02 Miles

Owner Name : Weaver Subdivision : Casitas De Castilian

Total Value : $112,771

Bed / Bath : / 1

Recording Date : 05/28/1993

Property Tax : $1,423.21

Land Use : Condominium Lot Acres : 0.02

Stories : 1

Living Area : 989

Yr Blt / Eff Yr Blt : 1968 / APN : 102-18-0510

633 W LAS LOMITAS RD Distance 0.02 Miles

Owner Name : Mutart Linda S Subdivision : Casitas De Castilian

Sale Date : 04/23/2010

Total Value : $96,293

Bed / Bath : / 1

Recording Date : 04/30/2010

Sale Price  : $72,000

Property Tax : $1,030.77

Land Use : Condominium Lot Acres : 0.02

Stories : 1

Living Area : 809

Yr Blt / Eff Yr Blt : 1966 / APN : 102-18-0260

© 2023 CoreLogic. All rights reserved

Customer Name : Kariann Keomaka Customer Company Name : First American Title Insurance Company Prepared On : 05/22/2023

627 W LAS LOMITAS RD Distance 0.02 Miles

Owner Name : Cill Mark Subdivision : Casitas De Castilian

Sale Date : 09/22/2022

Total Value : $97,323

Recording Date : 09/30/2022

Sale Price  : $243,000

Bed / Bath : / 1 Property Tax : $1,177.58

Land Use : Condominium Lot Acres : 0.02

Stories : 1

Living Area : 819

Yr Blt / Eff Yr Blt : 1966 / APN : 102-18-0240

609 W LAS LOMITAS RD Distance 0.02 Miles

Owner Name : Van De Voorde Annouk M Subdivision : Casitas De Castilian

Sale Date : 06/00/2004

Total Value : $98,868

Bed / Bath : / 1

Recording Date : 07/26/2004

Sale Price  : $73,500

Property Tax : $1,071.73

Land Use : Condominium Lot Acres : 0.02

Stories : 1

Living Area : 836

Yr Blt / Eff Yr Blt : 1968 / APN : 102-18-0500

607 W LAS LOMITAS RD Distance 0.02 Miles

Owner Name : Barrowman Tr Subdivision : Casitas De Castilian

Sale Date : 12/00/1984

Total Value : $162,720

Bed / Bath : / 2

Recording Date : 12/31/1984

Sale Price  : $86,400

Property Tax : $1,955.63

Land Use : Condominium Lot Acres : 0.03

Stories : 1

Living Area : 1,579

Yr Blt / Eff Yr Blt : 1966 / APN : 102-18-0220

Customer Name : Kariann Keomaka Customer Company Name : First American Title Insurance Company Prepared On : 05/22/2023

© 2023 CoreLogic. All rights reserved

Census Tract / block: 46.18 / 1     Year: 2018 Household Population Population by Age Count: 3,109 0 - 11 Estimate Current Year: 3,067 12 - 17 Estimate in 5 Years: 2,903 18 - 24 7.69% Growth Last 5 Years: -6.08% 25 - 64 50.4% Growth Last 10 Years: -113.07% 65 - 74 15.66% 75+ Household Size Household Income Current Year: 1,530 0 - $25,000 19.93% Average Current Year: 1.94 $25,000 - $35,000 11.7% Estimate in 5 Years: 1,706 $35,000 - $50,000 18.95% Growth Last 5 Years: 8.43% $50,000 - $75,000 23.01% Growth Last 10 Years: -4.86% $75,000 - $100,000 12.16% Male Population: 43.17% Above $100,000 14.25% Female Population: 56.83% Average Household Income: $49,625 Married People: 46.16% Unmarried People: 53.84% Housing Median Mortgage Payments Home Values Under $300: 3.98% Below $100,000: 6.97% $300 - $799: 37.61% $100,000 - $150,000: 31.42% $800 - $1,999: 52.43% $150,000 - $200,000: 26.55% Over $2,000: 5.97% $200,000 - $300,000: 20.91% Median Home Value: $167,600 $300,000 - $500,000: 11.39% Unit Occupied Owner: 59.08% Above $500,000: 2.77% Median Mortgage: $783
Customer
05/22/2023 © 2023 CoreLogic. All rights reserved
Customer Name : Kariann Keomaka
Company Name : First American Title Insurance Company Prepared On :
Rent Payments Year Built Unit Occupied Renter: 40.92% 1999 - 2000 Median Gross Rent: $956 1995 - 1998 Less Than $499 0% 1990 - 1994 $500 - $749 3.05% 1980 - 1989 14.99% $750 - $999 60.17% 1970 - 1979 25% $1000 and Over 36.78% 1900 - 1969 30.74% Education Enrollment Public Pre-Primary School: 1.03% Not Enrolled in School: 82.41% Private Pre-Primary School: 0.76% Not A High School Graduate: 5.17% Public School: 15.93% Graduate Of High School: 23.98% Private School: 1.66% Attended Some College: 26.89% Public College: 8.23% College Graduate: 28.87% Private College: 0.66% Graduate Degree: 15.1% Workforce Occupation: Manager/Prof: 42.13% Private Worker: 70.28% Technical: Government Worker: 12.47% Sales: 23.56% Self Employed Worker: 0.72% Administrative: Unpaid Family Worker: 7.48% Private House Hold: Farming: 6.3% Service: 18.57% Skilled: Protective Services: Blue-Collar: 15.75% Commute Time Less Than 15 Min: 25.94% 15 min - 28 min: 35.59% 30 min - 57 min: 36.55% Over 60 min: 1.92% Customer Name : Kariann Keomaka Customer Company Name : First American Title Insurance Company Prepared On : 05/22/2023 © 2023 CoreLogic. All rights reserved

Customer Name : Kariann Keomaka

Customer Company Name : First American Title Insurance Company

Prepared On : 05/22/2023

© 2023 CoreLogic. All rights reserved

Customer Name : Kariann Keomaka

Customer Company Name : First American Title Insurance Company

Prepared On : 05/22/2023

© 2023 CoreLogic. All rights reserved

Customer Name : Kariann Keomaka

Customer Company Name : First American Title Insurance Company

Prepared On : 05/22/2023

© 2023 CoreLogic. All rights reserved

PIMA COUNTY

School District Information

This map is provided for general location only. Please contact school districts for actual street boundaries

05249570321 TUCSON INT'L AIRPORT Air Force WSilverbellRd SSantaRitaRd N M t L emmon Hwy ESascoRd NF38 W Avra Valley Rd E Grand Va ey Dr NAguirre R d N L u c k e R d N W e n t z R d N Wa terman Mounta i n R d N Anway Rd W El Tiro Rd N Trico Rd W Tucker Rd W Rudas l Rd W Manvi e Rd SSanJoaquinRd WBopp Rd W Snyder H l Rd S M a r s e a r R d W Park Rd W Hermans Rd W Hermans Rd W Guy St W Bush Rd S G a v e y R d N C a e R i n c o n a d o S W m o R d S Shaw Rd S Sierrita Mountain Rd S K o b R d W TwinButtes Rd W Mcgee Ranch Rd S E s t a n c a D r EDesertDove E Hemlock Dr N Bea r C a n y o n R d W E Camino Del Cerro E Fairmount St S Swan Rd NFrontageRd W Emigh Rd W Fort Lowe Rd N P u m p S t a t ion dR E Nona Rd Ch efButteRd Lo al Ave N Trico Rd S Cattle Tank Rd Evalyn Rd SOwlHead R a n c h Rd GasLineRd S P ec a n R d N T r c o R d W Bayard Rd S S a n d a r o R d W i l l owSpri n gsRd N Dove Mountain Blvd SHelvetiaRd WAnamax Mine Rd W G a c i a R a n hc R d Road424 WRagged Top Rd W Ruby Star Dr WBritten RanchRd W Pima Mine Rd S Mcgee Ranch R d E Edw n Rd SGuildRd 8 0 NKINNEYRD S PICACHO HWY E BAUMGARTNER RD N S A N D A R I O R D N ANWAY RD W VALENCIA RD W MOORE RD W INA RD N 1 S T A V E E SUNRISE DR E SNYDER RD NSILVERBELLRD N S O L D I E R T R L E RIVER RD E PRINCE RD E SPEEDWAY BLVD S FREEMAN RD E 22ND ST E 22ND ST W IRVINGTON RD S N O G A L E S H W Y W VALENCIA RD SMISSIONRD W SPEEDWAY BLVD S O L D S P A N I S H T RL W NARANJA DR W TWIN PEAKS RD W PICTURE ROCKS RD W MANVILLE RD SKINNEYRD W MILE WIDE RD E SAHUARITA RD N TRICO RD S S A N D A R O R D PARK LINK DR S OLD N O G ALES HW Y S H O U G H T O N R D S L A C A N A D A DR W HELMET PEAK RD WAJOHWY N S W A N R D S KOLB RD S HOUGHTON RD W TANGERINE RD E GRANT RD S H O U G H T O N R D 9 5 WAJOHWY E VALENCIA RD NORACLE R D I10 I-19 77 77 77 86 86 286 10 19 10 10 Corona de Tucson Casas Adobes Catalina Green Valley Oracle Picture Rocks Three Points Vail Summit Tanque Verde Tucson Sahuarita Red Rock Saddlebrooke Marana Oro Valley Rillito Summerhaven Willow Canyon Oracle Junction Cortaro Continental Littletown 20 30 13 15 51 39 12 01 01 08 10 16 11 06
SCHOOL DISTRICTS 15 AJO UNIFIED 111 N. Well Road, Ajo, AZ 85321 520.387.5618 51 ALTAR VALLEY ELEMENTARY 10105 S. Sasabe Road, Tucson, AZ 85736 520.822.1484 10 AMPHITHEATER UNIFIED 701 W. Wetmore, Tucson, AZ 85705 520.696.5000 16 CATALINA FOOTHILS UNIFIED 2101 E. River Road, Tucson, AZ 85718 520.209.7500 39 CONTINENTAL ELEMENTARY 1991 E. Whitehouse Canyon, Green Valley, AZ 85614 520.625.4581 08 FLOWING WELLS UNIFIED 1556 W. Prince Road, Tucson, AZ 85705 520.696.8800 06 MARANA UNIFIED 11279 W. Grier Road, Marana, AZ 85653 520.682.3243 11 PIMA COUNTY JTED 2855 W. Master Pieces Dr, Tucson, AZ 85741 520.352.5833 30 SAHUARITA UNIFIED 350 W. Sahuarita Road, Sahuarita, AZ 85629 520.625.3502 12 SUNNYSIDE UNIFIED 2238 E. Ginter Road, Tucson, AZ 85706 520.545.2000 13 TANQUE VERDE UNIFIED 2300 N. Tanque Verde Loop, Tucson, AZ 85749 520.749.5751 01 TUCSON UNIFIED 1010 E. 10th Street, Tucson, AZ 85717 520.225.6000 20 VAIL UNIFIED 10701 E. Mary Ann Cleveland Way, Tucson, AZ 85747 520.879.2000 First American Title Insurance Company, and the operating divisions thereof, make no express or implied warranty respecting the information presented and assume no responsibility for errors or omissions. First American, the eagle logo, First American Title, and firstam.com are registered trademarks or trademarks of First American Financial Corporation and/or its affiliates. ©2021 First American Financial Corporation and/or its affiliates. All rights reserved. NYSE: FAF
Arizona Schools For detailed information and statistics on Arizona schools please go to https://azreportcards.azed.gov/ First American Title Insurance Company, and the operating divisions thereof, make no express or implied warranty respecting the information presented and assume no responsibility for errors or omissions. First American, the eagle logo, First American Title, and firstam.com are registered trademarks or trademarks of First American Financial Corporation and/or its affiliates. ©2021 First American Financial Corporation and/or its affiliates. All rights reserved. NYSE: FAF 05117910421

SEARCH PARAMETERS

PARCEL:  102-18-0470

PARCEL: 102-18-0470

TUCSON HOUSES LLC

SITUS: 635 W LAS LOMITAS RD TUCSON  MAIL: 2007 E GRANT RD

LOT 00028 BLOCK

CASITAS DE CASTILIAN APT NO 28 & UND 1/120 INT IN COMMON ELEMENTS

ADDITIONAL PROPERTY INFORMATION STANDARD LAND USE:

END SEARCH

+ FIRST AMERICAN TITLE, FC0, KWAL PIMA, AZ 05/22/2023  08:53AM  TCI1  INVESTIGATIVE SEARCH RESULTS PAGE 1 OF 1
INSTRUMENT REC DATE OWNER:
AFFIDAVIT    2022 117 09/27/2022
PLAT:
0 LEGAL:
CURRENT TAXES INFORMATION THROUGH 04/28/2023 LAND IMPR EXEMPT RATE AREA SPECIAL DISTRICTS PRIMARY  6,679  0  0  8.9703  1008 SECONDARY  50  9,476  0  5.9433  2022 TOTAL TAX BILLED 881.63 2022  TAX AMT TAX DUE INTEREST DATE PAID TOTAL DUE FIRST HALF  440.82  0.00  0.00  10/06/2022  0.00  SECOND HALF  440.81  0.00  0.00  10/06/2022  0.00  TOTAL CURRENT TAXES DUE 05/23 0.00 06/23 0.00 IMPROVEMENTS BYPASS  BLDG SQFT  795 FULL CASH VALUE  95,264 YEAR BUILT  1968 LAND USE  07 40 NUMBER OF STORIES  4.0 LOT SIZE  1 STDLT STORIES HEIGHT  0 SCHOOL DISTRICT  1008 EXTERIOR WALLS  ADOBE LAND FULL CASH VALUE  502 GRADE MATERIALS IMPR FULL CASH VALUE  94,762 SALES SALE DATE SALE AMOUNT INSTRUMENT TYPE SELLER NAME VALIDITY 09/27/2022 168,000    2022 117 WD COE BARBARA ANN 12/09/2005 117,500    12697 8892 WD SCHOTTER DANIEL K / 12/11/1997 57,500    10690 1898 D BECKER CLARKE/DOLORES C 01/02/1996 55,000    10201 1656 JD KAHN RICHARD W/EVELYN L
CONDOMINIUM
Page 1 of 3 05/22/2023 8:56 AM
Page 2 of 3 05/22/2023 8:56 AM
Page 3 of 3 05/22/2023 8:56 AM
Page 1 of 2 05/22/2023 8:56 AM
Page 2 of 2 05/22/2023 8:56 AM

Covenants, Conditions & Restrictions

Thank you for the opportunity to be of service.

Restrictions indicating a preference, limitation or discrimination based on race, color, religion, sex, handicap, familial status, or national origin are hereby deleted to the extent such restrictions violate 42 USC 3604(c).

This information is furnished without fee and without benefit of a complete title search. No liability is assumed by First American Title or Title Security. If it is desired that liability be assumed, you may apply for a policy of title insurance with First American Title Insurance Company.
Page 1 of 2 05/22/2023 8:56 AM
Page 2 of 2 05/22/2023 8:56 AM

Turn static files into dynamic content formats.

Create a flipbook
Issuu converts static files into: digital portfolios, online yearbooks, online catalogs, digital photo albums and more. Sign up and create your flipbook.