5035 E. Glenn Street

Page 1

Subject Property

Data Provided By:

First American Title Ins Co

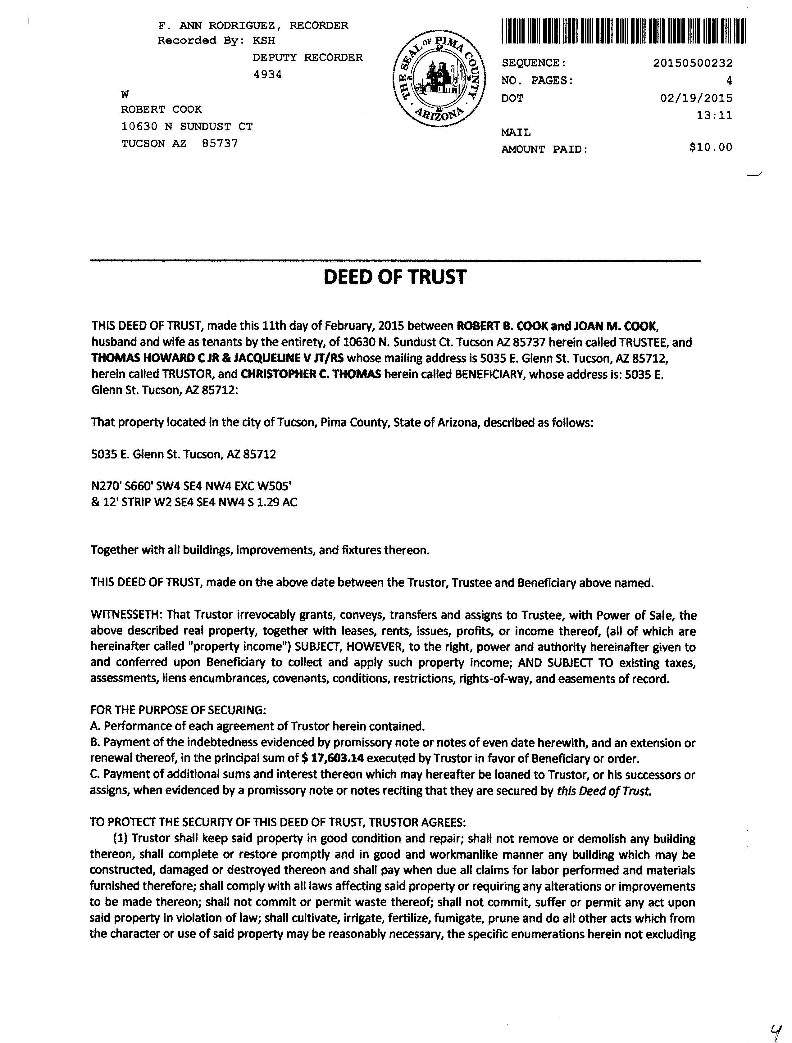
5035 E Glenn St Tucson AZ 85712 APN: 110-10-0380
© 2023 CoreLogic. All rights reserved

LIMITATION OF LIABILITY FOR INFORMATIONAL REPORTS

IMPORTANT -- PLEASE READ CAREFULLY:

This report is not an insured product or service or a representation of the condition of title to real property. It is not an abst ract, legal opinion, opinion of title, title insurance commitment or preliminary report, or any form of Title Insurance or Guaranty. This report is issued exclusively for the benefit of the Applicant therefor and may not be used or relied upon by any other person. This report may not be reproduced in any manner without First American or Title Security's prior written consent. First American or Title Security does not represent or warrant that the information herein is complete or free from error, and the information herein is provided without any warranties of any kind, as-is, and with all faults. As a material part of the consideration given in exchange for the issuance of this report, recipient agrees that First American or Title Security's sole liability for any loss or damage caused by an error or omission due to inaccurate information or negligence in preparing this report shall be limited to the fee charged for the report. Recipient accepts this report with this limitation and agrees that First American or Title Security would not have issued this report but for the limitation of liability described above. First American or Title Security makes no representation or warranty as to the legality or propriety of recipient's use of the information herein.

Disclaimer

This REiSource report is provided "as is" without warranty of any kind, either express or implied, including without limitations any warrantees of merchantability or fitness for a particular purpose. There is no representation of warranty that this information is complete or free from error, and the provider does not assume, and expressly disclaims, any liability to any person or entity for loss or damage caused by errors or omissions in this REiSource report without a title insurance policy.

The information contained in the REiSource report is delivered from your Title Company, who reminds you that you have the right as a consumer to compare fees and serviced levels for Title, Escrow, and all other services associated with property ownership, and to select providers accordingly. Your home is the largest investment you will make in your lifetime and you should demand the very best.

Data Provided By: First American Title Ins Co
© 2023 CoreLogic. All rights reserved

Subject Property :   5035 E Glenn St Tucson AZ 85712

Owner Information

Owner Name : Thomas Jacqueline V

Foreclosure Status: AUCTION

Mailing Address : 5035 E Glenn St, Tucson AZ 85712-1214 C030

Owner Occupied Indicator : O

Location Information

Legal Description : N270' S660' Sw4 Se4 Nw4 Exc W505' & 12' Strip In W2 Se4 Se4 Nw4 S 1.29 Ac Sec 35-13-14

County : Pima, Az

Census Tract / Block : 29.04 / 1

Township-Range- Sect : 13S-14E-35

Market Area : 50

Last Market Sale Information

Recording/Sale Date : 12/13/2001 / 11/30/2001

Sale Price : $40,000

Document # : 11695-3585

Title Company : Fidelity National Title

Seller Name : Thomas Christopher

Prior Sale Information

Prior Rec/Sale Date : 11/25/1992

Prior Doc Number : 9425-244

Property Characteristics

Gross Area : 2,733

Living Area : 2,733

Total Rooms : 7

Year Built / Eff : 1967

# of Stories : 1

Garage Capacity : 2

APN : 110-10-0380

Map Reference : 35-13S-14E

School District : Tucson Unified

Munic/Township : Tucson Unified

Deed Type : Warranty Deed

Price Per SqFt : $14.64

Prior Deed Type : Deed (reg)

Pool : Pool

Roof Material : Roll Composition Air Cond : Refrigeration

Heat Type : Forced Air Quality : Good

Cooling Type : Forced Air Condition : Excellent

Exterior wall : Adobe Bath Fixtures : 9

Parking Type : Garage Patio Type : None

Pool Size : 450

Customer Name : Kariann Keomaka

Customer Company Name : First American Title Insurance Company

Prepared On : 07/28/2023

© 2023 CoreLogic. All rights reserved

Property Information

Land Use : Sfr Zoning : R-1

County Use : Single Fam Resurban Non Subd

Tax Information

Lot Acres : 1.30

Total Value : $503,269 Property Tax : $6,409.46

Total Taxable Value : $50,327 Tax Rate Area : 0150

Assessed Year : 2022

Tax Year : 2022

Foreclosure Information

Foreclosure Stage : AUCTION

Doc# : 1030214

Market Value : $503,269

Current Assessed Year : 2024

Recording Date : 04/13/2023

Original Mtg Date : 11/23/1993

Attorney Name : TIFFANY & BOSCO PA

Lot Size : 56,587

State Use : Single Fam Resurban Non Subd

Current Year Total Value : $63,664

Current Year Improvement Value :

$63,613

Current Year Land Value : $50

Auction Date : 07/13/2023

Original Mtg Doc# : 206740

Original Mtg Amt/Type : $150,000

Trustee Name : LEONARD J MCDONALD

Auction City : TUCSON

Customer Name : Kariann Keomaka Customer Company Name : First American Title Insurance Company Prepared On : 07/28/2023
© 2023 CoreLogic. All rights reserved
Analysis Criteria Subject Property Low High Average Sale Price $40,000 $325,000 $985,000 $647,946 Bldg/Living Area 2733 2328 3010 2517 Price Per Square Foot $14.64 $128 $386 $255.90 Year Built 1967 1954 2018 1976 Lot Size 56,587 8,358 250,470 44,716 Bedrooms Bathrooms 3 2 5 3 Stories 1 1 1 1 Total Assessed Value $503,269 $227,447 $653,419 $405,310 Distance From Subject 0 0.07 0.9 0.42 Summary of Comparables # Address Sale Price Total Assessed Value Sale Date Bed Bath Living Area Lot Size Year Built Dist (Miles) Zoning S 5035 E Glenn St 40,000 503,269 12/13/2001 3 2,733 56,587 1967 R-1 1 2928 N Old Fort Lowell Ct 732,517 521,641 11/16/2022 5 2,485 11,415 2018 0.07 R-1 2 4918 E Glenn St 325,000 272,367 10/27/2022 2 2,547 11,082 1963 0.14 R-1 3 4950 E Pie Allen Ct 985,000 653,419 06/15/2023 4 2,552 14,815 2002 0.25 R-1 4 2657 N Arcadia Ave 450,000 227,447 09/28/2022 2 2,415 8,358 1962 0.27 R-1 5 4966 E Asa Carr Way 900,000 614,186 03/24/2023 4 3,010 14,705 2003 0.3 RX-2 6 5349 E Fort Lowell Rd 665,000 386,558 12/06/2022 3 2,475 21,380 1963 0.51 HRX-2 7 4511 E San Carlos Pl N 380,000 285,747 12/15/2022 3 2,328 43,425 1955 0.57 R-1 8 2542 N San Carlos Pl 495,000 286,048 01/12/2023 2 2,447 26,793 1954 0.74 R-1 9 5042 E Calle Chueca 899,000 400,376 06/20/2023 3 2,396 250,470 1967 0.9 SR Distressed Sales = Customer Name : Kariann Keomaka Customer Company Name : First American Title Insurance Company Prepared On : 07/28/2023 © 2023 CoreLogic. All rights reserved
Sales

Customer Name : Kariann Keomaka

Customer Company Name : First American Title Insurance Company Prepared On : 07/28/2023

© 2023 CoreLogic. All rights reserved

Map

Details of Comparables

E Glenn St Tucson Az 85712
APN / Alternate APN: 110-10-0380 / Deed Type: Warranty Deed Land Use: Sfr Subdivision / Tract: / Lot Size: 56,587 Year Built / Eff: 1967 / Rec. Date / Price: 12/13/2001 / $40,000 Living Area: 2,733 # of units: Document #: 11695-3585 Bedrooms: Pool: Pool Total Tax Value: $503,269 Bath(F/H): / #1   2928 N Old Fort Lowell Ct Tucson Az 85712
Name:
/Zandomeni Paula APN / Alternate APN: 110-10-3270 / Deed Type: Warranty Deed Land Use: Sfr Subdivision / Tract: 5020 Fort Lowell / Lot Size: 11,415 Year Built / Eff: 2018 / Rec. Date / Price: 11/16/2022 / $732,517 Living Area: 2,485 # of units: Document #: 3200086 Bedrooms: Pool: Total Tax Value: $521,641 Bath(F/H): / #2   4918 E Glenn St Tucson Az 85712
Name: Larson Ryan
Elizabeth APN / Alternate APN: 110-11-1100 / Deed Type: Warranty Deed Land Use: Sfr Subdivision / Tract: Glenn Heights / Lot Size: 11,082 Year Built / Eff: 1963 / Rec. Date / Price: 10/27/2022 / $325,000 Living Area: 2,547 # of units: Document #: 3000628 Bedrooms: Pool: Pool Total Tax Value: $272,367 Bath(F/H): / #3   4950 E Pie Allen Ct Tucson Az 85712 Owner Name: Chapman Trust / APN / Alternate APN: 110-10-1540 / Deed Type: Warranty Deed Land Use: Sfr Subdivision / Tract: Valley Ranch / Lot Size: 14,815 Year Built / Eff: 2002 / Rec. Date / Price: 06/15/2023 / $985,000 Living Area: 2,552 # of units: Document #: 1660180 Bedrooms: Pool: Total Tax Value: $653,419 Bath(F/H): / #4   2657 N Arcadia Ave Tucson Az 85712 Owner Name: Chagnon Michelle S / APN / Alternate APN: 110-11-0320 / Deed Type: Warranty Deed Land Use: Sfr Subdivision / Tract: Glenn Heights / Lot Size: 8,358 Year Built / Eff: 1962 / Rec. Date / Price: 09/28/2022 / $450,000 Living Area: 2,415 # of units: Document #: 2710108 Bedrooms: Pool: Total Tax Value: $227,447 Bath(F/H): / Customer Name : Kariann Keomaka Customer Company Name : First American Title Insurance Company Prepared On : 07/28/2023 © 2023 CoreLogic. All rights reserved
Subject Property: 5035
Owner Name: Thomas Jacqueline V /
Owner
Tomizuka John
Owner
/Larson
#5   4966 E Asa Carr Way Tucson Az 85712 Owner Name: Chapman Trust / APN / Alternate APN: 110-10-1610 / Deed Type: Warranty Deed Land Use: Sfr Subdivision / Tract: Valley Ranch / Lot Size: 14,705 Year Built / Eff: 2003 / Rec. Date / Price: 03/24/2023 / $900,000 Living Area: 3,010 # of units: Document #: 830168 Bedrooms: Pool: Total Tax Value: $614,186 Bath(F/H): / #6   5349 E Fort Lowell Rd Tucson Az 85712 Owner Name: Chenault Jennifer /Chenault Mark APN / Alternate APN: 110-09-018A / Deed Type: Warranty Deed Land Use: Sfr Subdivision / Tract: / Lot Size: 21,380 Year Built / Eff: 1963 / Rec. Date / Price: 12/06/2022 / $665,000 Living Area: 2,475 # of units: Document #: 3400108 Bedrooms: Pool: Pool Total Tax Value: $386,558 Bath(F/H): / #7   4511 E San Carlos Pl N Tucson Az 85712 Owner Name: Rock Canyon Capital Llc / APN / Alternate APN: 110-08-2110 / Deed Type: Warranty Deed Land Use: Sfr Subdivision / Tract: San Carlos / Lot Size: 43,425 Year Built / Eff: 1955 / Rec. Date / Price: 12/15/2022 / $380,000 Living Area: 2,328 # of units: Document #: 3490353 Bedrooms: Pool: Pool Total Tax Value: $285,747 Bath(F/H): / #8   2542 N San Carlos Pl Tucson Az 85712
APN / Alternate APN: 110-08-2390 / Deed Type: Warranty Deed Land Use: Sfr Subdivision / Tract: San Carlos / Lot Size: 26,793 Year Built / Eff: 1954 / Rec. Date / Price: 01/12/2023 / $495,000 Living Area: 2,447 # of units: Document #: 120357 Bedrooms: Pool: Pool Total Tax Value: $286,048 Bath(F/H): / #9
APN
Warranty Deed Land Use: Sfr Subdivision / Tract:
Estates / Lot Size: 250,470 Year Built / Eff: 1967 / Rec. Date / Price: 06/20/2023 / $899,000 Living Area: 2,396 # of units: Document #: 1710193 Bedrooms: Pool: Pool Total Tax Value: $400,376 Bath(F/H): /
Owner Name: Billings Tyler S /Wallin Julia N
5042 E Calle Chueca Tucson Az 85718 Owner Name: Chadwick Deering Trust /
/ Alternate APN: 109-24-036B / Deed Type:
Flecha Caida Ranch
Customer Name : Kariann Keomaka Customer Company Name : First American Title Insurance Company Prepared On : 07/28/2023 © 2023 CoreLogic. All rights reserved

Customer Name : Kariann Keomaka

Customer Company Name : First American Title Insurance Company

Prepared On : 07/28/2023

© 2023 CoreLogic. All rights reserved

Subject Property :   5035 E Glenn St Tucson AZ 85712

Customer Name : Kariann Keomaka

Customer Company Name : First American Title Insurance Company

Prepared On : 07/28/2023

© 2023 CoreLogic. All rights reserved

4950 E GLENN ST Distance 0.11 Miles

Owner Name : Capgrow Holdings Jv Sub Ii Llc Subdivision : Glenn Heights

Sale Date : 10/00/2016

Total Value : $210,414

Recording Date : 10/17/2016

Sale Price  : $3,577,000

Bed / Bath : / 2 Property Tax : $2,797.12

Land Use : Sfr

Stories : 1

Lot Acres : 0.23

Living Area : 1,891

Yr Blt / Eff Yr Blt : 1959 / APN : 110-11-1050

4934 E GLENN ST Distance 0.12 Miles

Owner Name : Vergara Michael A Subdivision : Glenn Heights

Sale Date : 06/27/2016

Total Value : $262,875

Bed / Bath : / 2

Land Use : Sfr

Stories : 1

Recording Date : 07/07/2016

Sale Price  : $230,000

Property Tax : $3,113.97

Lot Acres : 0.22

Living Area : 2,409

Yr Blt / Eff Yr Blt : 1959 / APN : 110-11-1080

4926 E GLENN ST Distance 0.12 Miles

Owner Name : Bellemare Daniel W Subdivision : Glenn Heights

Total Value : $203,612

Bed / Bath : / 2

Land Use : Sfr

Stories : 1

Recording Date : 08/23/1994

Property Tax : $2,374.77

Lot Acres : 0.23

Living Area : 1,832

Yr Blt / Eff Yr Blt : 1959 / APN : 110-11-1090

4942 E GLENN ST Distance 0.13 Miles

Owner Name : Darland Gregory Subdivision : Glenn Heights

Sale Date : 10/00/2009

Total Value : $239,589

Recording Date : 10/23/2009

Sale Price  : $275,000

Bed / Bath : / 2 Property Tax : $2,835.04

Land Use : Sfr

Stories : 1

Lot Acres : 0.24

Living Area : 2,328

Yr Blt / Eff Yr Blt : 1959 / APN : 110-11-1060

Customer Company Name : First American Title Insurance Company Prepared On : 07/28/2023

© 2023 CoreLogic. All rights reserved

Customer Name : Kariann Keomaka

4938 E GLENN ST Distance 0.14 Miles

Owner Name : Jenkins David G Subdivision : Glenn Heights

Sale Date : 11/21/2018

Total Value : $222,919

Bed / Bath : / 2

Recording Date : 11/30/2018

Sale Price  : $107,000

Property Tax : $2,617.97

Land Use : Sfr Lot Acres : 0.25

Stories : 1

Living Area : 1,819

Yr Blt / Eff Yr Blt : 1959 / APN : 110-11-1070

4910 E GLENN ST Distance 0.14 Miles

Owner Name : Amerson Rentals Llc Subdivision : Glenn Heights

Sale Date : 07/21/2003

Total Value : $192,892

Bed / Bath : / 2

Recording Date : 07/22/2003

Sale Price  : $103,447

Property Tax : $2,545

Land Use : Sfr Lot Acres : 0.22

Stories : 1

Living Area : 1,795

Yr Blt / Eff Yr Blt : 1959 / APN : 110-11-1120

4918 E GLENN ST Distance 0.14 Miles

Owner Name : Larson Ryan Subdivision : Glenn Heights

Sale Date : 10/26/2022

Total Value : $272,367

Bed / Bath : / 2

Land Use : Sfr

Stories : 1

Recording Date : 10/27/2022

Sale Price  : $325,000

Property Tax : $3,212.23

Lot Acres : 0.25

Living Area : 2,547

Yr Blt / Eff Yr Blt : 1963 / APN : 110-11-1100

2841 N ORLANDO AVE Distance 0.15 Miles

Owner Name : Botelho Subdivision : Venice Add

Sale Date : 01/17/2014

Total Value : $1,005,259

Bed / Bath : / 4

Land Use : Sfr

Stories : 1

Recording Date : 01/24/2014

Sale Price  : $1,250,000

Property Tax : $11,332.68

Lot Acres : 1.65

Living Area : 5,886

Yr Blt / Eff Yr Blt : 1983 / APN : 110-05-121A

07/28/2023

© 2023 CoreLogic. All rights reserved

Customer Name : Kariann Keomaka Customer Company Name : First American Title Insurance Company Prepared On :

2742 N ARCADIA AVE

Distance 0.15 Miles

Owner Name : Wenger Robert Earle Subdivision : Glenn Heights

Sale Date : 08/23/2011

Total Value : $197,313

Recording Date : 08/23/2011

Sale Price  : $110,000

Bed / Bath : / 2 Property Tax : $2,291.70

Land Use : Sfr Lot Acres : 0.23

Stories : 1

Living Area : 1,800

Yr Blt / Eff Yr Blt : 1959 / APN : 110-11-1130

4949 E ALTA VISTA ST Distance 0.15 Miles

Owner Name : Enikov Eniko T Subdivision : Glenn Heights

Sale Date : 06/15/2000

Total Value : $209,667

Recording Date : 07/13/2000

Sale Price  : $129,500

Bed / Bath : / 2 Property Tax : $2,416.26

Land Use : Sfr Lot Acres : 0.23

Stories : 1

Living Area : 1,832

Yr Blt / Eff Yr Blt : 1959 / APN : 110-11-1210

© 2023
rights reserved
Customer Name : Kariann Keomaka Customer Company Name : First American Title Insurance Company Prepared On : 07/28/2023
CoreLogic. All
Household Population Population by Age Count: 3,268 0 - 11 Estimate Current Year: 3,324 12 - 17 Estimate in 5 Years: 3,557 18 - 24 5.88% Growth Last 5 Years: -1.47% 25 - 64 41.37% Growth Last 10 Years: -129.96% 65 - 74 20.5% 75+ Household Size Household Income Current Year: 1,682 0 - $25,000 18.43% Average Current Year: 1.77 $25,000 - $35,000 13.5% Estimate in 5 Years: 1,540 $35,000 - $50,000 19.74% Growth Last 5 Years: -0.59% $50,000 - $75,000 13.56% Growth Last 10 Years: -18.36% $75,000 - $100,000 8.44% Male Population: 45.87% Above $100,000 26.34% Female Population: 54.13% Average Household Income: $47,262 Married People: 41.71% Unmarried People: 58.29% Housing Median Mortgage Payments Home Values Under $300: 6.98% Below $100,000: 16.29% $300 - $799: 42.7% $100,000 - $150,000: 7.97% $800 - $1,999: 45.48% $150,000 - $200,000: 23.72% Over $2,000: 4.83% $200,000 - $300,000: 32.95% Median Home Value: $204,000 $300,000 - $500,000: 15.85% Unit Occupied Owner: 66.41% Above $500,000: 3.22% Median Mortgage: $902
Customer
© 2023 CoreLogic. All rights reserved
Census Tract / block: 29.04 / 1     Year: 2020
Customer Name : Kariann Keomaka
Company Name : First American Title Insurance Company Prepared On : 07/28/2023
Rent Payments Year Built Unit Occupied Renter: 33.59% 1999 - 2000 Median Gross Rent: $972 1995 - 1998 Less Than $499 8.15% 1990 - 1994 $500 - $749 11.67% 1980 - 1989 27.7% $750 - $999 37.04% 1970 - 1979 22.98% $1000 and Over 43.15% 1900 - 1969 42.82% Education Enrollment Public Pre-Primary School: 0% Not Enrolled in School: 87.47% Private Pre-Primary School: 0.78% Not A High School Graduate: 4.03% Public School: 10.67% Graduate Of High School: 13.39% Private School: 1.87% Attended Some College: 20.46% Public College: 4.54% College Graduate: 39.51% Private College: 0.78% Graduate Degree: 22.61% Workforce Occupation: Manager/Prof: 49.3% Private Worker: 61.96% Technical: Government Worker: 13.08% Sales: 29.3% Self Employed Worker: 4.69% Administrative: Unpaid Family Worker: 6.64% Private House Hold: Farming: 3.57% Service: 13.85% Skilled: Protective Services: Blue-Collar: 7.55% Commute Time Less Than 15 Min: 32.91% 15 min - 28 min: 46.53% 30 min - 57 min: 20.56% Over 60 min: 0% Customer Name : Kariann Keomaka Customer Company Name : First American Title Insurance Company Prepared On : 07/28/2023 © 2023 CoreLogic. All rights reserved

Customer Name : Kariann Keomaka

Customer Company Name : First American Title Insurance Company

Prepared On : 07/28/2023

© 2023 CoreLogic. All rights reserved

Customer Name : Kariann Keomaka

Customer Company Name : First American Title Insurance Company

Prepared On : 07/28/2023

© 2023 CoreLogic. All rights reserved

Customer Name : Kariann Keomaka

Customer Company Name : First American Title Insurance Company

Prepared On : 07/28/2023

© 2023 CoreLogic. All rights reserved

Arizona Schools For detailed information and statistics on Arizona schools please go to https://azreportcards.azed.gov/ First American Title Insurance Company, and the operating divisions thereof, make no express or implied warranty respecting the information presented and assume no responsibility for errors or omissions. First American, the eagle logo, First American Title, and firstam.com are registered trademarks or trademarks of First American Financial Corporation and/or its affiliates. ©2021 First American Financial Corporation and/or its affiliates. All rights reserved. NYSE: FAF 05117910421

PIMA COUNTY

School District Information

This map is provided for general location only. Please contact school districts for actual street boundaries

05249570321 TUCSON INT'L AIRPORT Air Force WSilverbellRd SSantaRitaRd N M t L emmon Hwy ESascoRd NF38 W Avra Valley Rd E Grand Va ey Dr NAguirre R d N L u c k e R d N W e n t z R d N Wa terman Mounta i n R d N Anway Rd W El Tiro Rd N Trico Rd W Tucker Rd W Rudas l Rd W Manvi e Rd SSanJoaquinRd WBopp Rd W Snyder H l Rd S M a r s e a r R d W Park Rd W Hermans Rd W Hermans Rd W Guy St W Bush Rd S G a v e y R d N C a e R i n c o n a d o S W m o R d S Shaw Rd S Sierrita Mountain Rd S K o b R d W TwinButtes Rd W Mcgee Ranch Rd S E s t a n c a D r EDesertDove E Hemlock Dr N Bea r C a n y o n R d W E Camino Del Cerro E Fairmount St S Swan Rd NFrontageRd W Emigh Rd W Fort Lowe Rd N P u m p S t a t ion dR E Nona Rd Ch efButteRd Lo al Ave N Trico Rd S Cattle Tank Rd Evalyn Rd SOwlHead R a n c h Rd GasLineRd S P ec a n R d N T r c o R d W Bayard Rd S S a n d a r o R d W i l l owSpri n gsRd N Dove Mountain Blvd SHelvetiaRd WAnamax Mine Rd W G a c i a R a n hc R d Road424 WRagged Top Rd W Ruby Star Dr WBritten RanchRd W Pima Mine Rd S Mcgee Ranch R d E Edw n Rd SGuildRd 8 0 NKINNEYRD S PICACHO HWY E BAUMGARTNER RD N S A N D A R I O R D N ANWAY RD W VALENCIA RD W MOORE RD W INA RD N 1 S T A V E E SUNRISE DR E SNYDER RD NSILVERBELLRD N S O L D I E R T R L E RIVER RD E PRINCE RD E SPEEDWAY BLVD S FREEMAN RD E 22ND ST E 22ND ST W IRVINGTON RD S N O G A L E S H W Y W VALENCIA RD SMISSIONRD W SPEEDWAY BLVD S O L D S P A N I S H T RL W NARANJA DR W TWIN PEAKS RD W PICTURE ROCKS RD W MANVILLE RD SKINNEYRD W MILE WIDE RD E SAHUARITA RD N TRICO RD S S A N D A R O R D PARK LINK DR S OLD N O G ALES HW Y S H O U G H T O N R D S L A C A N A D A DR W HELMET PEAK RD WAJOHWY N S W A N R D S KOLB RD S HOUGHTON RD W TANGERINE RD E GRANT RD S H O U G H T O N R D 9 5 WAJOHWY E VALENCIA RD NORACLE R D I10 I-19 77 77 77 86 86 286 10 19 10 10 Corona de Tucson Casas Adobes Catalina Green Valley Oracle Picture Rocks Three Points Vail Summit Tanque Verde Tucson Sahuarita Red Rock Saddlebrooke Marana Oro Valley Rillito Summerhaven Willow Canyon Oracle Junction Cortaro Continental Littletown 20 30 13 15 51 39 12 01 01 08 10 16 11 06
SCHOOL DISTRICTS 15 AJO UNIFIED 111 N. Well Road, Ajo, AZ 85321 520.387.5618 51 ALTAR VALLEY ELEMENTARY 10105 S. Sasabe Road, Tucson, AZ 85736 520.822.1484 10 AMPHITHEATER UNIFIED 701 W. Wetmore, Tucson, AZ 85705 520.696.5000 16 CATALINA FOOTHILS UNIFIED 2101 E. River Road, Tucson, AZ 85718 520.209.7500 39 CONTINENTAL ELEMENTARY 1991 E. Whitehouse Canyon, Green Valley, AZ 85614 520.625.4581 08 FLOWING WELLS UNIFIED 1556 W. Prince Road, Tucson, AZ 85705 520.696.8800 06 MARANA UNIFIED 11279 W. Grier Road, Marana, AZ 85653 520.682.3243 11 PIMA COUNTY JTED 2855 W. Master Pieces Dr, Tucson, AZ 85741 520.352.5833 30 SAHUARITA UNIFIED 350 W. Sahuarita Road, Sahuarita, AZ 85629 520.625.3502 12 SUNNYSIDE UNIFIED 2238 E. Ginter Road, Tucson, AZ 85706 520.545.2000 13 TANQUE VERDE UNIFIED 2300 N. Tanque Verde Loop, Tucson, AZ 85749 520.749.5751 01 TUCSON UNIFIED 1010 E. 10th Street, Tucson, AZ 85717 520.225.6000 20 VAIL UNIFIED 10701 E. Mary Ann Cleveland Way, Tucson, AZ 85747 520.879.2000 First American Title Insurance Company, and the operating divisions thereof, make no express or implied warranty respecting the information presented and assume no responsibility for errors or omissions. First American, the eagle logo, First American Title, and firstam.com are registered trademarks or trademarks of First American Financial Corporation and/or its affiliates. ©2021 First American Financial Corporation and/or its affiliates. All rights reserved. NYSE: FAF

TAX SEARCH REPORT

Area Code: 150

Parcel Number: 110-10-03806

Situs Address: 5035 E GLENN ST

Owners Name: Address: THOMAS JACQUELINE V 5035 E GLENN ST TUCSON AZ 85712-1214

Tax Rate: 13.9279

Docket Book:

Page: 9425 244

Recorded: 11/25/1992

Legal: N270' S660' SW4 SE4 NW4 EXC W505' & 12' STRIP

IN W2 SE4 SE4 NW4 S 1.29 AC SEC 35-13-14

2022 TAXES UPDATED THRU 07/15/2023

Full Cash Taxable Value

Exemption Net Assessed $503,269.00 $0.00 $50,327.00

2022 TOTAL TAX = $6,409.46

*** 2022 TAXES ROLLED OVER SEE BACK TAX INFORMATION ***

NO LIABILITY BACK TAX INFORMATION UPDATED THRU 07/15/2023

** NO DELINQUENT TAXES FOR THIS PARCEL **

UPDATED THRU DATES: ASSESSMENTS RESOLUTIONS CITY OF TUCSON:

** NO ASSESSMENTS **

** NO RESOLUTIONS **

** NO SOLD ASSESSMENTS **

Section:
Range:
Book: Page: Block: Lot: 0 0
Township:
35 13S 14E
ORO VALLEY: PIMA COUNTY: 07/15/2023 07/15/2023 07/15/2023 07/15/2023 07/15/2023 07/15/2023 Friday, 28 July 2023 10:32 AM Printed: Order: INQUIRY
Ratio 10%
Page 1 of1
Page 1 of 4 07/28/2023 10:31 AM
Page 2 of 4 07/28/2023 10:31 AM
Page 3 of 4 07/28/2023 10:31 AM
Page 4 of 4 07/28/2023 10:31 AM
Page 1 of 9 07/28/2023 10:31 AM
Page 2 of 9 07/28/2023 10:31 AM
Page 3 of 9 07/28/2023 10:31 AM
Page 4 of 9 07/28/2023 10:31 AM
Page 5 of 9 07/28/2023 10:31 AM
Page 6 of 9 07/28/2023 10:31 AM
Page 7 of 9 07/28/2023 10:31 AM
Page 8 of 9 07/28/2023 10:31 AM
Page 9 of 9 07/28/2023 10:31 AM
Page 1 of 2 07/28/2023 10:31 AM
Page 2 of 2 07/28/2023 10:31 AM
Page 1 of 4 07/28/2023 10:31 AM
Page 2 of 4 07/28/2023 10:31 AM
Page 3 of 4 07/28/2023 10:31 AM
Page 4 of 4 07/28/2023 10:31 AM
Page 1 of 3 07/28/2023 10:31 AM
Page 2 of 3 07/28/2023 10:31 AM
Page 3 of 3 07/28/2023 10:31 AM
Page 1 of 2 07/28/2023 10:31 AM
Page 2 of 2 07/28/2023 10:31 AM
Page 1 of 1 07/28/2023 10:31 AM
Page 1 of 1 07/28/2023 10:31 AM
Page 1 of 7 07/28/2023 10:31 AM
Page 2 of 7 07/28/2023 10:31 AM
Page 3 of 7 07/28/2023 10:31 AM
Page 4 of 7 07/28/2023 10:31 AM
Page 5 of 7 07/28/2023 10:31 AM
Page 6 of 7 07/28/2023 10:31 AM
Page 7 of 7 07/28/2023 10:31 AM
Page 1 of 4 07/28/2023 10:31 AM
Page 2 of 4 07/28/2023 10:31 AM
Page 3 of 4 07/28/2023 10:31 AM
Page 4 of 4 07/28/2023 10:31 AM
Page 1 of 6 07/28/2023 10:31 AM
Page 2 of 6 07/28/2023 10:31 AM
Page 3 of 6 07/28/2023 10:31 AM
Page 4 of 6 07/28/2023 10:31 AM
Page 5 of 6 07/28/2023 10:31 AM
Page 6 of 6 07/28/2023 10:31 AM
Page 1 of 7 07/28/2023 10:31 AM
Page 2 of 7 07/28/2023 10:31 AM
Page 3 of 7 07/28/2023 10:31 AM
Page 4 of 7 07/28/2023 10:31 AM
Page 5 of 7 07/28/2023 10:31 AM
Page 6 of 7 07/28/2023 10:31 AM
Page 7 of 7 07/28/2023 10:31 AM
Page 1 of 7 07/28/2023 10:31 AM
Page 2 of 7 07/28/2023 10:31 AM
Page 3 of 7 07/28/2023 10:31 AM
Page 4 of 7 07/28/2023 10:31 AM
Page 5 of 7 07/28/2023 10:31 AM
Page 6 of 7 07/28/2023 10:31 AM
Page 7 of 7 07/28/2023 10:31 AM
Page 1 of 2 07/28/2023 10:31 AM
Page 2 of 2 07/28/2023 10:31 AM
Page 1 of 3 07/28/2023 10:31 AM
Page 2 of 3 07/28/2023 10:31 AM
Page 3 of 3 07/28/2023 10:31 AM
Page 1 of 2 07/28/2023 10:31 AM
Page 2 of 2 07/28/2023 10:31 AM
Page 1 of 4 07/28/2023 10:31 AM
Page 2 of 4 07/28/2023 10:31 AM
Page 3 of 4 07/28/2023 10:31 AM
Page 4 of 4 07/28/2023 10:31 AM
Page 1 of 1 07/28/2023 10:31 AM
Page 1 of 2 07/28/2023 10:31 AM
Page 2 of 2 07/28/2023 10:31 AM
Page 1 of 3 07/28/2023 10:31 AM
Page 2 of 3 07/28/2023 10:31 AM
Page 3 of 3 07/28/2023 10:31 AM
Page 1 of 7 07/28/2023 10:31 AM
Page 2 of 7 07/28/2023 10:31 AM
Page 3 of 7 07/28/2023 10:31 AM
Page 4 of 7 07/28/2023 10:31 AM
Page 5 of 7 07/28/2023 10:31 AM
Page 6 of 7 07/28/2023 10:31 AM
Page 7 of 7 07/28/2023 10:31 AM
Page 1 of 2 07/28/2023 10:31 AM
Page 2 of 2 07/28/2023 10:31 AM
Page 1 of 3 07/28/2023 10:31 AM
Page 2 of 3 07/28/2023 10:31 AM
Page 3 of 3 07/28/2023 10:31 AM
Page 1 of 7 07/28/2023 10:31 AM
Page 2 of 7 07/28/2023 10:31 AM
Page 3 of 7 07/28/2023 10:31 AM
Page 4 of 7 07/28/2023 10:31 AM
Page 5 of 7 07/28/2023 10:31 AM
Page 6 of 7 07/28/2023 10:31 AM
Page 7 of 7 07/28/2023 10:31 AM
Page 1 of 4 07/28/2023 10:31 AM
Page 2 of 4 07/28/2023 10:31 AM
Page 3 of 4 07/28/2023 10:31 AM
Page 4 of 4 07/28/2023 10:31 AM
Page 1 of 7 07/28/2023 10:31 AM
Page 2 of 7 07/28/2023 10:31 AM
Page 3 of 7 07/28/2023 10:31 AM
Page 4 of 7 07/28/2023 10:31 AM
Page 5 of 7 07/28/2023 10:31 AM
Page 6 of 7 07/28/2023 10:31 AM
Page 7 of 7 07/28/2023 10:31 AM
Page 1 of 2 07/28/2023 10:31 AM
Page 1 of 7 07/28/2023 10:31 AM
Page 2 of 7 07/28/2023 10:31 AM
Page 3 of 7 07/28/2023 10:31 AM
Page 4 of 7 07/28/2023 10:31 AM
Page 5 of 7 07/28/2023 10:31 AM
Page 6 of 7 07/28/2023 10:31 AM
Page 7 of 7 07/28/2023 10:31 AM
Page 1 of 7 07/28/2023 10:31 AM
Page 2 of 7 07/28/2023 10:31 AM
Page 3 of 7 07/28/2023 10:31 AM
Page 4 of 7 07/28/2023 10:31 AM
Page 5 of 7 07/28/2023 10:31 AM
Page 6 of 7 07/28/2023 10:31 AM
Page 7 of 7 07/28/2023 10:31 AM
Page 1 of 7 07/28/2023 10:31 AM
Page 2 of 7 07/28/2023 10:31 AM
Page 3 of 7 07/28/2023 10:31 AM
Page 4 of 7 07/28/2023 10:31 AM
Page 5 of 7 07/28/2023 10:31 AM
Page 6 of 7 07/28/2023 10:31 AM
Page 7 of 7 07/28/2023 10:31 AM
Page 1 of 7 07/28/2023 10:31 AM
Page 2 of 7 07/28/2023 10:31 AM
Page 3 of 7 07/28/2023 10:31 AM
Page 4 of 7 07/28/2023 10:31 AM
Page 5 of 7 07/28/2023 10:31 AM
Page 6 of 7 07/28/2023 10:31 AM
Page 7 of 7 07/28/2023 10:31 AM
Page 1 of 7 07/28/2023 10:31 AM
Page 2 of 7 07/28/2023 10:31 AM
Page 3 of 7 07/28/2023 10:31 AM
Page 4 of 7 07/28/2023 10:31 AM
Page 5 of 7 07/28/2023 10:31 AM
Page 6 of 7 07/28/2023 10:31 AM
Page 7 of 7 07/28/2023 10:31 AM
Page 1 of 7 07/28/2023 10:31 AM
Page 2 of 7 07/28/2023 10:31 AM
Page 3 of 7 07/28/2023 10:31 AM
Page 4 of 7 07/28/2023 10:31 AM
Page 5 of 7 07/28/2023 10:31 AM
Page 6 of 7 07/28/2023 10:31 AM
Page 7 of 7 07/28/2023 10:31 AM
Page 1 of 4 07/28/2023 10:31 AM
Page 2 of 4 07/28/2023 10:31 AM
Page 3 of 4 07/28/2023 10:31 AM
Page 4 of 4 07/28/2023 10:31 AM
Page 1 of 4 07/28/2023 10:31 AM
Page 2 of 4 07/28/2023 10:31 AM
Page 3 of 4 07/28/2023 10:31 AM
Page 4 of 4 07/28/2023 10:31 AM
Page 1 of 9 07/28/2023 10:31 AM
Page 2 of 9 07/28/2023 10:31 AM
Page 3 of 9 07/28/2023 10:31 AM
Page 4 of 9 07/28/2023 10:31 AM
Page 5 of 9 07/28/2023 10:31 AM
Page 6 of 9 07/28/2023 10:31 AM
Page 7 of 9 07/28/2023 10:31 AM
Page 8 of 9 07/28/2023 10:31 AM
Page 9 of 9 07/28/2023 10:31 AM
Page 1 of 2 07/28/2023 10:31 AM
Page 2 of 2 07/28/2023 10:31 AM
Page 1 of 1 07/28/2023 10:31 AM
Page 1 of 2 07/28/2023 10:31 AM
Page 2 of 2 07/28/2023 10:31 AM

Turn static files into dynamic content formats.

Create a flipbook
Issuu converts static files into: digital portfolios, online yearbooks, online catalogs, digital photo albums and more. Sign up and create your flipbook.