Listing Kit 4780 E. Little Wing Rd.

Page 1

Data Provided By: First American Title Ins Co

Property 4780 E Little Wing Rd Dragoon AZ 85609 APN: 208-55-001B
Subject
© 2023 CoreLogic. All rights reserved

WIRE FRAUD ALERT THINK DIFFERENTLY

Email-based, real estate fraud schemes are on the rise. One common scenario is altering wiring instructions with the intention of rerouting funds.

Keeping this in mind, First American Title is changing the way we receive payment information. It is imperative that we are familiar with the people in our transactions.

RELYING ON EMAIL ALONE IS NO LONGER AN OPTION.

Fraudsters often use email to send falsified wire instructions to unsuspecting victims. Please warn your buyers and sellers to only follow wire instructions they receive personally from First American Title.

Additionally, we will not accept disbursement instructions for seller or buyer funds via email OR from any third party (attorney, real estate agent, etc).

ALTERNATIVE INSTRUCTIONS?

If your buyer or seller receives alternative wiring instructions that appear to be from First American Title, make sure they contact their escrow officer at a trusted phone number for confirmation.

Know that our wiring instructions do not change so any communication is suspect. Our banking institution is First American Trust.

IN SHORT – wire instructions will not be accepted by email. New wire instructions must be hand-carried or uploaded to the First American Secure Portal.

Thank you for joining First American Title in fostering a secure real estate transaction process. Have questions or concerns? Please contact our office or your escrow officer.

For more information please contact your First American representative. www.firstam.com

01100180621
NOT TRUST EMAILED INSTRUCTIONS YOU
IN THE REAL ESTATE CLOSING PROCESS
DO
SHOULD BE AWARE OF PRECAUTIONS
First American Title Insurance Company, and the operating divisions thereof, make no express or implied warranty respecting the information presented and assume no responsibility for errors or omissions. First American, the eagle logo, First American Title, and firstam.com are registered trademarks or trademarks of First American Financial Corporation and/or its affiliates. ©2023 First American Financial Corporation and/or its affiliates. All rights reserved. NYSE: FAF

LIMITATION OF LIABILITY FOR INFORMATIONAL REPORTS

IMPORTANT -- PLEASE READ CAREFULLY:

This report is not an insured product or service or a representation of the condition of title to real property. It is not an abst ract, legal opinion, opinion of title, title insurance commitment or preliminary report, or any form of Title Insurance or Guaranty. This report is issued exclusively for the benefit of the Applicant therefor and may not be used or relied upon by any other person. This report may not be reproduced in any manner without First American or Title Security's prior written consent. First American or Title Security does not represent or warrant that the information herein is complete or free from error, and the information herein is provided without any warranties of any kind, as-is, and with all faults. As a material part of the consideration given in exchange for the issuance of this report, recipient agrees that First American or Title Security's sole liability for any loss or damage caused by an error or omission due to inaccurate information or negligence in preparing this report shall be limited to the fee charged for the report. Recipient accepts this report with this limitation and agrees that First American or Title Security would not have issued this report but for the limitation of liability described above. First American or Title Security makes no representation or warranty as to the legality or propriety of recipient's use of the information herein.

Disclaimer

This REiSource report is provided "as is" without warranty of any kind, either express or implied, including without limitations any warrantees of merchantability or fitness for a particular purpose. There is no representation of warranty that this information is complete or free from error, and the provider does not assume, and expressly disclaims, any liability to any person or entity for loss or damage caused by errors or omissions in this REiSource report without a title insurance policy.

The information contained in the REiSource report is delivered from your Title Company, who reminds you that you have the right as a consumer to compare fees and serviced levels for Title, Escrow, and all other services associated with property ownership, and to select providers accordingly. Your home is the largest investment you will make in your lifetime and you should demand the very best.

Data Provided By: First American Title Ins Co
© 2023 CoreLogic. All rights reserved

Subject Property :   4780 E Little Wing Rd Dragoon AZ 85609

Owner Information

Owner Name : Griswold Sharon Lyon

Mailing Address : Po Box 422, Dragoon AZ 85609-0422 B003

Location Information

Legal Description : Tex Canyon Ranch Rep Of Survey Bk4 Pg99 Por Lot1 Desc As Fllws; Beg At Sw Cor Of Said Lot Thn E469.50' N650' W469.50' S0deg 32mine650' To Pob Sec18-16-23

7.006ac Affixed/2005 - 1998 28x72 Oakwood Sr#hotx10a02784a&b

County : Cochise, Az

Census Tract / Block : 3.05 / 1

Legal Lot : 1

Last Market Sale Information

Recording/Sale Date : 04/21/2020 / 04/10/2020

Sale Price : $127,000

Document # : 7825

Title Company : Pioneer Title Agency

Seller Name : Bishop Richard G

Prior Sale Information

Prior Rec/Sale Date : 02/11/2005 / 02/10/2005

Prior Sale Price : $155,000

Property Characteristics

Gross Area : 2,016 # of Stories : 1

Living Area : 2,016

Above Grade : 2016

Year Built / Eff : 1998

Property Information

APN : 208-55-001B

Subdivision : Texas Canyon Ranch

Munic/Township : Benson/spvh

Deed Type : Warranty Deed

Price Per SqFt : $63

Prior Doc Number : 204776

Prior Deed Type : Warranty Deed

Roof Material : Composition Shingle

Construction : Steel/wood

Heat Type : Forced Air

Land Use : Manufactured Home Lot Size : 305,356

Lot Acres : 7.01

Cooling Type : Forced Air

Exterior wall : Hardboard

Quality : Average

State Use : Unsecured Mf Home-5+ Acres

Customer Name : Jeremiah Stiffler

Customer Company Name : First American Prepared On : 09/21/2023

© 2023 CoreLogic. All rights reserved

Information Total Value : $69,388 Improve % : 65% Current Assessed Year : 2024 Land Value : $24,217 Tax Year : 2022 Current Year Total Value : $8,846 Improvement Value : $45,171 Property Tax : $871.26 Current Year Improvement Value : $4,742 Total Taxable Value : $6,939 Tax Rate Area : 0900 Current Year Land Value : $4,104 Assessed Year : 2022 Market Value : $69,388
Tax
Customer Company Name : First American Prepared On : 09/21/2023 © 2023 CoreLogic. All rights reserved
Customer Name : Jeremiah Stiffler
Sales Analysis Criteria Subject Property Low High Average Sale Price $127,000 $264,900 $317,000 $290,950 Bldg/Living Area 2016 1716 2296 2006 Price Per Square Foot $63 $115 $185 $150.05 Year Built 1998 2000 2000 2000 Lot Size 305,356 696,089 745,747 720,918 Bedrooms Bathrooms Stories 1 Total Assessed Value $69,388 $75,812 $84,815 $80,314 Distance From Subject 0 0.76 4.38 2.57 Summary of Comparables # Address Sale Price Total Assessed Value Sale Date Bed Bath Living Area Lot Size Year Built Dist (Miles) Zoning S 4780 E Little Wing Rd 127,000 69,388 04/21/2020 2,016 305,356 1998 1 2001 N Red Rock Rd 317,000 84,815 11/29/2022 1,716 696,089 2000 0.76 2 3079 N Golden Rule Rd 264,900 75,812 09/30/2022 2,296 745,747 2000 4.38 Distressed Sales = Customer Name : Jeremiah
Customer Company Name : First American Prepared On : 09/21/2023 © 2023 CoreLogic. All rights reserved
Stiffler

Customer Name : Jeremiah Stiffler

Customer Company Name : First American Prepared On : 09/21/2023

© 2023 CoreLogic. All rights reserved

Map

Customer Name : Jeremiah Stiffler

Customer Company Name : First American Prepared On : 09/21/2023

© 2023 CoreLogic. All rights reserved

Subject Property :   4780 E Little Wing Rd Dragoon AZ 85609

Customer Name : Jeremiah Stiffler

Customer Company Name : First American Prepared On : 09/21/2023

© 2023 CoreLogic. All rights reserved

4761 E LITTLE WING RD Distance 0.14 Miles

Owner Name : Plauster Kathryn

Sale Date : 09/12/2007

Total Value : $77,103

Recording Date : 09/27/2007

Sale Price  : $186,000

Property Tax : $836.12

Land Use : Manufactured Home Lot Acres : 5.86

Stories : 1 Living Area : 1,344

Yr Blt / Eff Yr Blt : 2004 / APN : 208-55-003E

4784 E LITTLE WING RD Distance 0.15 Miles

Owner Name : Selff B

Sale Date : 08/00/2005

Total Value : $345,881

Recording Date : 08/05/2005

Sale Price  : $56,000

Property Tax : $3,474.30

Land Use : Sfr Lot Acres : 20.70

Stories : 1

Living Area : 5,431

Yr Blt / Eff Yr Blt : 2005 / APN : 208-55-001C

Subdivision  : Texas Canyon Ranch Prcl 1

2099 N JOHNSON RD Distance 0.15 Miles

Owner Name : Sutton Andrew H

Sale Date : 02/00/2006

Total Value : $118,212

Recording Date : 02/22/2006

Sale Price  : $290,000

Property Tax : $1,521.74

Land Use : Manufactured Home Lot Acres : 31.17

Stories : 1

Living Area : 1,680

Yr Blt / Eff Yr Blt : 1999 / APN : 208-55-004B

Subdivision  : Texas Canyon Ranch

4757 E LITTLE WING RD Distance 0.19 Miles

Owner Name : Hensley Michael Lee

Total Value : $135,434

Land Use : Mobile Home Lot

Property Tax : $1,468.58

Lot Acres : 4.13

Living Area : 3,116

Stories : 1 APN : 208-55-003F

Yr Blt / Eff Yr Blt  : 2006 /

© 2023 CoreLogic. All rights reserved

Customer Name : Jeremiah Stiffler Customer Company Name : First American Prepared On : 09/21/2023

4789 E LITTLE WING RD Distance 0.2 Miles

Owner Name : Chandos Ralph A

Sale Date : 12/06/2004

Total Value : $301,715

Recording Date : 12/10/2004

Sale Price  : $85,000

Property Tax : $3,480.72

Land Use : Sfr Lot Acres : 40.10

Yr Blt / Eff Yr Blt : 2010 / Living Area : 5,528

Subdivision : Texas Canyon Ranch

APN : 208-55-002

2041 N JOHNSON RD Distance 0.26 Miles

Owner Name : Schwizer Robert W

Sale Date : 03/27/2020

Total Value : $106,087

Land Use : Manufactured Home

Stories : 1

Yr Blt / Eff Yr Blt : 2008 /

Recording Date : 05/14/2020

Sale Price  : $189,000

Property Tax : $1,150.34

Lot Acres : 10.00

Living Area : 2,560

APN : 208-55-003D

2122 N JOHNSON RD Distance 0.34 Miles

Owner Name : Moleski Richard

Sale Date : 09/00/2005

Total Value : $45,514

Land Use : Mobile Home Lot

Recording Date  : 09/22/2005

Sale Price  : $137,900

Property Tax : $493.56

Lot Acres : 5.19

APN : 208-55-004C

CoreLogic.
rights
Customer Name : Jeremiah Stiffler Customer Company Name : First American Prepared On : 09/21/2023
© 2023
All
reserved
Census Tract / block: 3.05 / 1     Year: 2020 Household Population Population by Age Count: 2,297 0 - 11 Estimate Current Year: 2,297 12 - 17 Estimate in 5 Years: 2,297 18 - 24 0.78% Growth Last 5 Years: 25 - 64 45.23% Growth Last 10 Years: 65 - 74 16.76% 75+ Household Size Household Income Current Year: 1,034 0 - $25,000 17.89% Average Current Year: 2.22 $25,000 - $35,000 1.84% Estimate in 5 Years: 1,034 $35,000 - $50,000 13.93% Growth Last 5 Years: $50,000 - $75,000 32.21% Growth Last 10 Years: $75,000 - $100,000 14.7% Male Population: 51.59% Above $100,000 19.44% Female Population: 48.41% Average Household Income: $58,777 Married People: 66.92% Unmarried People: 33.08% Housing Median Mortgage Payments Home Values Under $300: 17.28% Below $100,000: 21.51% $300 - $799: 36.5% $100,000 - $150,000: 14.87% $800 - $1,999: 43.02% $150,000 - $200,000: 14.19% Over $2,000: 3.2% $200,000 - $300,000: 24.14% Median Home Value: $198,900 $300,000 - $500,000: 10.76% Unit Occupied Owner: 84.53% Above $500,000: 14.53% Median Mortgage: $964
© 2023 CoreLogic.
rights reserved
Customer Name : Jeremiah Stiffler Customer Company Name : First American Prepared On : 09/21/2023
All
Rent Payments Year Built Unit Occupied Renter: 15.47% 1999 - 2000 Median Gross Rent: $709 1995 - 1998 Less Than $499 28.13% 1990 - 1994 $500 - $749 68.13% 1980 - 1989 16.5% $750 - $999 0% 1970 - 1979 15.76% $1000 and Over 3.75% 1900 - 1969 1.54% Education Enrollment Public Pre-Primary School: 0% Not Enrolled in School: 83.45% Private Pre-Primary School: 0% Not A High School Graduate: 1.46% Public School: 16.55% Graduate Of High School: 16% Private School: 0% Attended Some College: 27.51% Public College: 1.21% College Graduate: 47.5% Private College: 0% Graduate Degree: 7.52% Workforce Occupation: Manager/Prof: 52.09% Private Worker: 59.11% Technical: Government Worker: 30.36% Sales: 14.3% Self Employed Worker: 1.62% Administrative: Unpaid Family Worker: 5.4% Private House Hold: Farming: 13.63% Service: 14.84% Skilled: Protective Services: Blue-Collar: 18.76% Commute Time Less Than 15 Min: 11.16% 15 min - 28 min: 8.98% 30 min - 57 min: 35.51% Over 60 min: 44.35% Customer Name : Jeremiah Stiffler Customer Company Name : First American Prepared On : 09/21/2023 © 2023 CoreLogic. All rights reserved

Customer Name : Jeremiah Stiffler

Customer Company Name : First American Prepared On : 09/21/2023

© 2023 CoreLogic. All rights reserved

Customer Name : Jeremiah Stiffler

Customer Company Name : First American Prepared On : 09/21/2023

© 2023 CoreLogic. All rights reserved

Customer Name : Jeremiah Stiffler

Customer Company Name : First American Prepared On : 09/21/2023

© 2023 CoreLogic. All rights reserved

Data Provided By: First American Title Ins Co

Property AZ APN: 208-55-001D
Subject
© 2023 CoreLogic. All rights reserved

Disclaimer

This REiSource report is provided "as is" without warranty of any kind, either express or implied, including without limitations any warrantees of merchantability or fitness for a particular purpose. There is no representation of warranty that this information is complete or free from error, and the provider does not assume, and expressly disclaims, any liability to any person or entity for loss or damage caused by errors or omissions in this REiSource report without a title insurance policy.

The information contained in the REiSource report is delivered from your Title Company, who reminds you that you have the right as a consumer to compare fees and serviced levels for Title, Escrow, and all other services associated with property ownership, and to select providers accordingly. Your home is the largest investment you will make in your lifetime and you should demand the very best.

Data Provided By: First American Title Ins Co
© 2023 CoreLogic. All rights reserved

Subject Property :    AZ

Owner Information

Owner Name : Griswold Sharon Lyon

Mailing Address : Po Box 422, Dragoon AZ 85609-0422 B003

Location Information

Legal Description : Texas Canyon Ranch Rep Of Survey Bk4 Pg99 Por Lot 1 By M&b Com Atnw Cor Said Lot 1 Thn S0deg 30min E (r-s0deg 32min E) 674.05' N89deg 46min E469.50' To Pob Thn Cont N89deg 46min E851.04' S0deg 30min E (r-s0deg 32min E) 650' S89deg 46min W (r-s89deg 44min W) 851.03' N0deg 30min W650' To Pob Sec

18-16-23 12.699ac (re: R/s Bk26 Pg101

County : Cochise, Az

Census Tract / Block : 3.05 / 1

Township-Range- Sect : 16-23-18

Legal Lot : 1

Last Market Sale Information

Recording/Sale Date : 04/21/2020 / 04/10/2020

APN : 208-55-001D

Map Reference : 181623 / 181623

Munic/Township : Benson/spvh

Document # : 7825 Sale Price : $127,000 Deed Type : Warranty Deed

Title Company : Pioneer Title Agency

Seller Name : Bishop Richard G

Prior Sale Information

Prior Rec/Sale Date : 08/05/2005 / 08/00/2005

Prior Sale Price : $35,750

Property Information

Land Use : Vacant Land (nec) Lot Size : 553,212

Lot Acres : 12.70

Tax Information

Total Value : $26,262 Tax Year : 2022

Prior Doc Number : 828947

Prior Deed Type : Warranty Deed

State Use : Vacantundetermined

Current Assessed Year : 2024

Land Value : $26,262 Property Tax : $494.64 Current Year Total Value : $5,627

Total Taxable Value : $3,939 Tax Rate Area : 0900

Assessed Year : 2022 Market Value : $26,262

Current Year Land Value : $5,627

Customer Name : Jeremiah Stiffler

Customer Company Name : First American Prepared On : 09/21/2023

© 2023 CoreLogic. All rights reserved

Customer Name : Jeremiah Stiffler

Customer Company Name : First American Prepared On : 09/21/2023

© 2023 CoreLogic. All rights reserved

No comparables data for selected property.

Customer Name : Jeremiah Stiffler

Customer Company Name : First American Prepared On : 09/21/2023

© 2023 CoreLogic. All rights reserved

No street map for selected property.

Customer Name : Jeremiah Stiffler

Customer Company Name : First American Prepared On : 09/21/2023

© 2023 CoreLogic. All rights reserved

4780 E LITTLE WING RD Distance 0.12 Miles

Owner Name : Griswold Sharon Lyon Recording Date : 04/21/2020

Sale Date : 04/10/2020 Sale Price  : $127,000

Total Value : $69,388 Property Tax : $871.26

Land Use : Manufactured Home Lot Acres : 7.01

Stories : 1 Living Area : 2,016

Yr Blt / Eff Yr Blt : 1998 / APN : 208-55-001B

Subdivision  : Texas Canyon Ranch

4784 E LITTLE WING RD Distance 0.13 Miles

Owner Name : Selff B Recording Date : 08/05/2005

Sale Date : 08/00/2005 Sale Price  : $56,000

Total Value : $345,881 Property Tax : $3,474.30

Land Use : Sfr Lot Acres : 20.70

Stories : 1 Living Area : 5,431

Yr Blt / Eff Yr Blt : 2005 / APN : 208-55-001C

Subdivision  : Texas Canyon Ranch Prcl 1

4789 E LITTLE WING RD Distance 0.19 Miles

Owner Name : Chandos Ralph A Recording Date : 12/10/2004

Sale Date : 12/06/2004 Sale Price  : $85,000

Total Value : $301,715

Land Use : Sfr

Yr Blt / Eff Yr Blt : 2010 /

Subdivision : Texas Canyon Ranch

Property Tax : $3,480.72

Lot Acres : 40.10

Living Area : 5,528

APN : 208-55-002

4761 E LITTLE WING RD Distance 0.23 Miles

Owner Name : Plauster Kathryn

Sale Date : 09/12/2007

Total Value : $77,103

Recording Date : 09/27/2007

Sale Price  : $186,000

Property Tax : $836.12

Land Use : Manufactured Home Lot Acres : 5.86

Stories : 1

Living Area : 1,344

Yr Blt / Eff Yr Blt : 2004 / APN : 208-55-003E

Customer Name : Jeremiah Stiffler

Customer Company Name : First American Prepared On : 09/21/2023

© 2023 CoreLogic. All rights reserved

2099 N JOHNSON RD Distance 0.27 Miles

Owner Name : Sutton Andrew H

Recording Date : 02/22/2006

Sale Date : 02/00/2006 Sale Price  : $290,000

Total Value : $118,212

Property Tax : $1,521.74

Land Use : Manufactured Home Lot Acres : 31.17

Stories : 1 Living Area : 1,680

Yr Blt / Eff Yr Blt : 1999 / APN : 208-55-004B

Subdivision  : Texas Canyon Ranch

4757 E LITTLE WING RD Distance 0.3 Miles

Owner Name : Hensley Michael Lee Property Tax : $1,468.58

Total Value : $135,434 Lot Acres : 4.13

Land Use : Mobile Home Lot Living Area : 3,116

Stories : 1 APN : 208-55-003F

Yr Blt / Eff Yr Blt  : 2006 /

2041 N JOHNSON RD Distance 0.33 Miles

Owner Name : Schwizer Robert W

Recording Date : 05/14/2020

Sale Date : 03/27/2020 Sale Price  : $189,000

Total Value : $106,087 Property Tax : $1,150.34

Land Use : Manufactured Home Lot Acres : 10.00

Stories : 1 Living Area : 2,560

Yr Blt / Eff Yr Blt : 2008 / APN : 208-55-003D

1989 N JOHNSON RD Distance 0.43 Miles

Owner Name : Hagemann Bonnie L White Property Tax : $653.44

Total Value : $34,699 Lot Acres : 7.02

Land Use : Residential (nec) APN : 208-55-007

Customer Name : Jeremiah Stiffler

Customer Company Name : First American Prepared On : 09/21/2023

© 2023 CoreLogic. All rights reserved

Census Tract / block: 3.05 / 1     Year: 2020 Household Population Population by Age Count: 2,297 0 - 11 Estimate Current Year: 2,297 12 - 17 Estimate in 5 Years: 2,297 18 - 24 0.78% Growth Last 5 Years: 25 - 64 45.23% Growth Last 10 Years: 65 - 74 16.76% 75+ Household Size Household Income Current Year: 1,034 0 - $25,000 17.89% Average Current Year: 2.22 $25,000 - $35,000 1.84% Estimate in 5 Years: 1,034 $35,000 - $50,000 13.93% Growth Last 5 Years: $50,000 - $75,000 32.21% Growth Last 10 Years: $75,000 - $100,000 14.7% Male Population: 51.59% Above $100,000 19.44% Female Population: 48.41% Average Household Income: $58,777 Married People: 66.92% Unmarried People: 33.08% Housing Median Mortgage Payments Home Values Under $300: 17.28% Below $100,000: 21.51% $300 - $799: 36.5% $100,000 - $150,000: 14.87% $800 - $1,999: 43.02% $150,000 - $200,000: 14.19% Over $2,000: 3.2% $200,000 - $300,000: 24.14% Median Home Value: $198,900 $300,000 - $500,000: 10.76% Unit Occupied Owner: 84.53% Above $500,000: 14.53% Median Mortgage: $964
© 2023 CoreLogic.
rights reserved
Customer Name : Jeremiah Stiffler Customer Company Name : First American Prepared On : 09/21/2023
All
Rent Payments Year Built Unit Occupied Renter: 15.47% 1999 - 2000 Median Gross Rent: $709 1995 - 1998 Less Than $499 28.13% 1990 - 1994 $500 - $749 68.13% 1980 - 1989 16.5% $750 - $999 0% 1970 - 1979 15.76% $1000 and Over 3.75% 1900 - 1969 1.54% Education Enrollment Public Pre-Primary School: 0% Not Enrolled in School: 83.45% Private Pre-Primary School: 0% Not A High School Graduate: 1.46% Public School: 16.55% Graduate Of High School: 16% Private School: 0% Attended Some College: 27.51% Public College: 1.21% College Graduate: 47.5% Private College: 0% Graduate Degree: 7.52% Workforce Occupation: Manager/Prof: 52.09% Private Worker: 59.11% Technical: Government Worker: 30.36% Sales: 14.3% Self Employed Worker: 1.62% Administrative: Unpaid Family Worker: 5.4% Private House Hold: Farming: 13.63% Service: 14.84% Skilled: Protective Services: Blue-Collar: 18.76% Commute Time Less Than 15 Min: 11.16% 15 min - 28 min: 8.98% 30 min - 57 min: 35.51% Over 60 min: 44.35% Customer Name : Jeremiah Stiffler Customer Company Name : First American Prepared On : 09/21/2023 © 2023 CoreLogic. All rights reserved

Customer Name : Jeremiah Stiffler

Customer Company Name : First American Prepared On : 09/21/2023

© 2023 CoreLogic. All rights reserved

Customer Name : Jeremiah Stiffler

Customer Company Name : First American Prepared On : 09/21/2023

© 2023 CoreLogic. All rights reserved

Customer Name : Jeremiah Stiffler

Customer Company Name : First American Prepared On : 09/21/2023

© 2023 CoreLogic. All rights reserved

SEARCHED BY: + FIRST AMERICAN TITLE,FC0,JSTI

SEARCHED DATE: 09/21/2023 09:55 AM PDT,R9C8

PARCEL:  208-55-001B

PARCEL: 208-55-001B

SITUS: 4780 E LITTLE WING RD DRAGOON 85609-2026

MAIL: PO BOX 454 COMFORT TX 78013-0454

LEGAL: TEX CANYON RANCH REP OF SURVEY BK4 PG99 POR LOT1 DESC AS FLLWS; BEG AT SW COR OF SAID LOT THN E469.50' N650' W469.50' S0DEG 32MINE650' TO POB SEC18-16-23 7.006AC AFFIXED/2005 - 1998 28X72 OAKWOOD SR#HOTX10A02784A&B

CURRENT OWNER(S)

GRISWOLD SHARON LYON

ADDITIONAL PROPERTY INFORMATION

STANDARD LAND USE: MANUFACTURED HOME

ACQ DATE: 2020-04-21

DOC#:  2020 7825

END SEARCH

PAGE 1 OF 1
INVESTIGATIVE SEARCH RESULTS COCHISE, AZ

SEARCHED BY: + FIRST AMERICAN TITLE,FC0,JSTI

SEARCHED DATE: 09/21/2023 09:56 AM PDT,R9C8

PARCEL:  208-55-001D

PARCEL: 208-55-001D

MAIL: PO BOX 422 DRAGOON AZ 85609-0422

LEGAL: TEXAS CANYON RANCH REP OF SURVEY BK4 PG99 POR LOT 1 BY M&B COM ATNW COR SAID LOT 1 THN S0DEG 30MIN E (R-S0DEG 32MIN E) 674.05' N89DEG 46MIN E469.50' TO POB THN CONT N89DEG 46MIN E851.04' S0DEG 30MIN E (R-S0DEG 32MIN E) 650' S89DEG 46MIN W (R-S89DEG 4

CURRENT OWNER(S)

GRISWOLD SHARON LYON

ADDITIONAL PROPERTY INFORMATION STANDARD LAND USE: VACANT LAND (NEC)

ACQ DATE: 2005-08-05

DOC#:  2005 28947

END SEARCH

PAGE 1 OF 1
INVESTIGATIVE SEARCH RESULTS COCHISE, AZ
COCHISE, AZ Document:AFF AFX 2003.44456 Page:1 of 3 Printed on:9/21/2023 10:09 AM Branch :FC0 User :JSTI
COCHISE, AZ Document:AFF AFX 2003.44456 Page:2 of 3 Printed on:9/21/2023 10:09 AM Branch :FC0 User :JSTI
COCHISE, AZ Document:AFF AFX 2003.44456 Page:3 of 3 Printed on:9/21/2023 10:09 AM Branch :FC0 User :JSTI
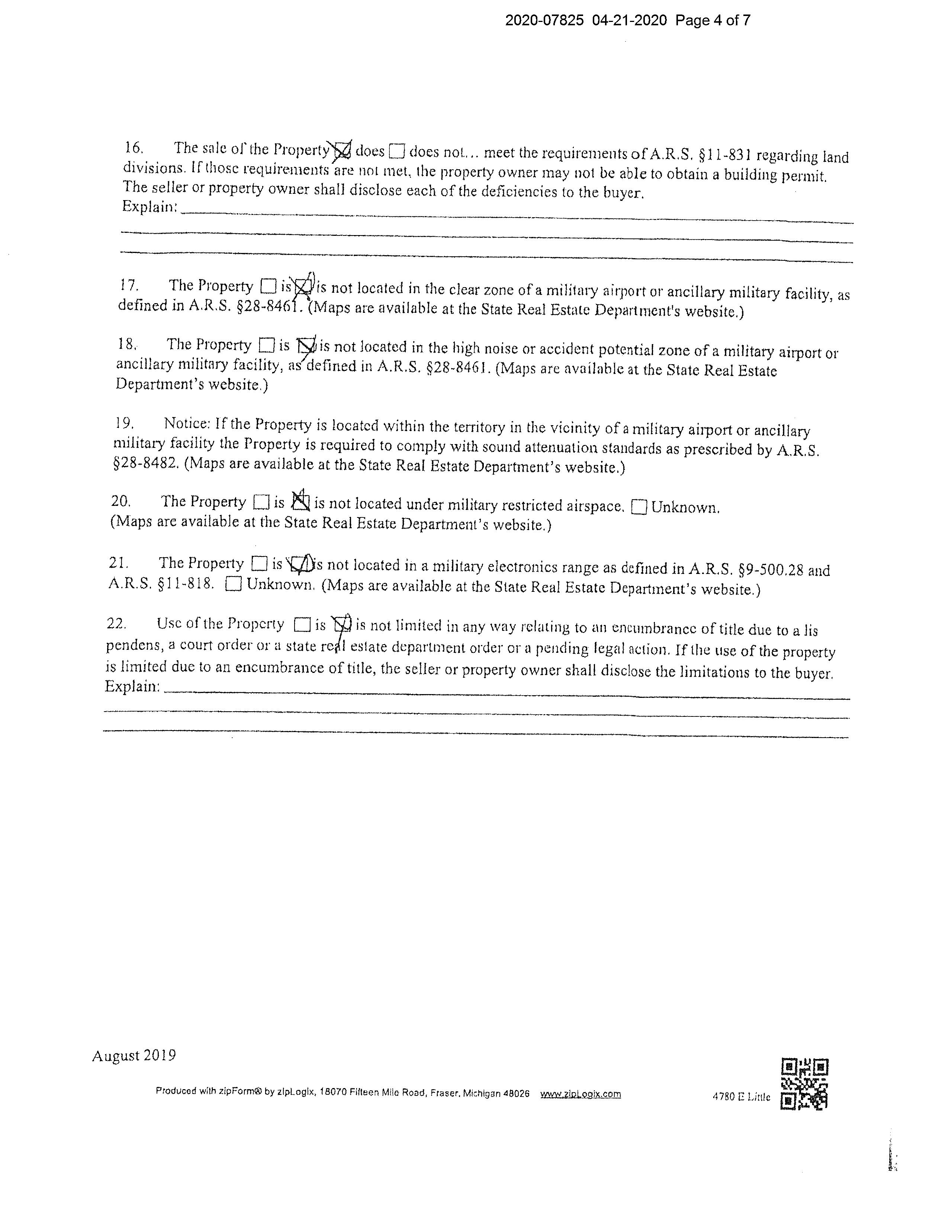
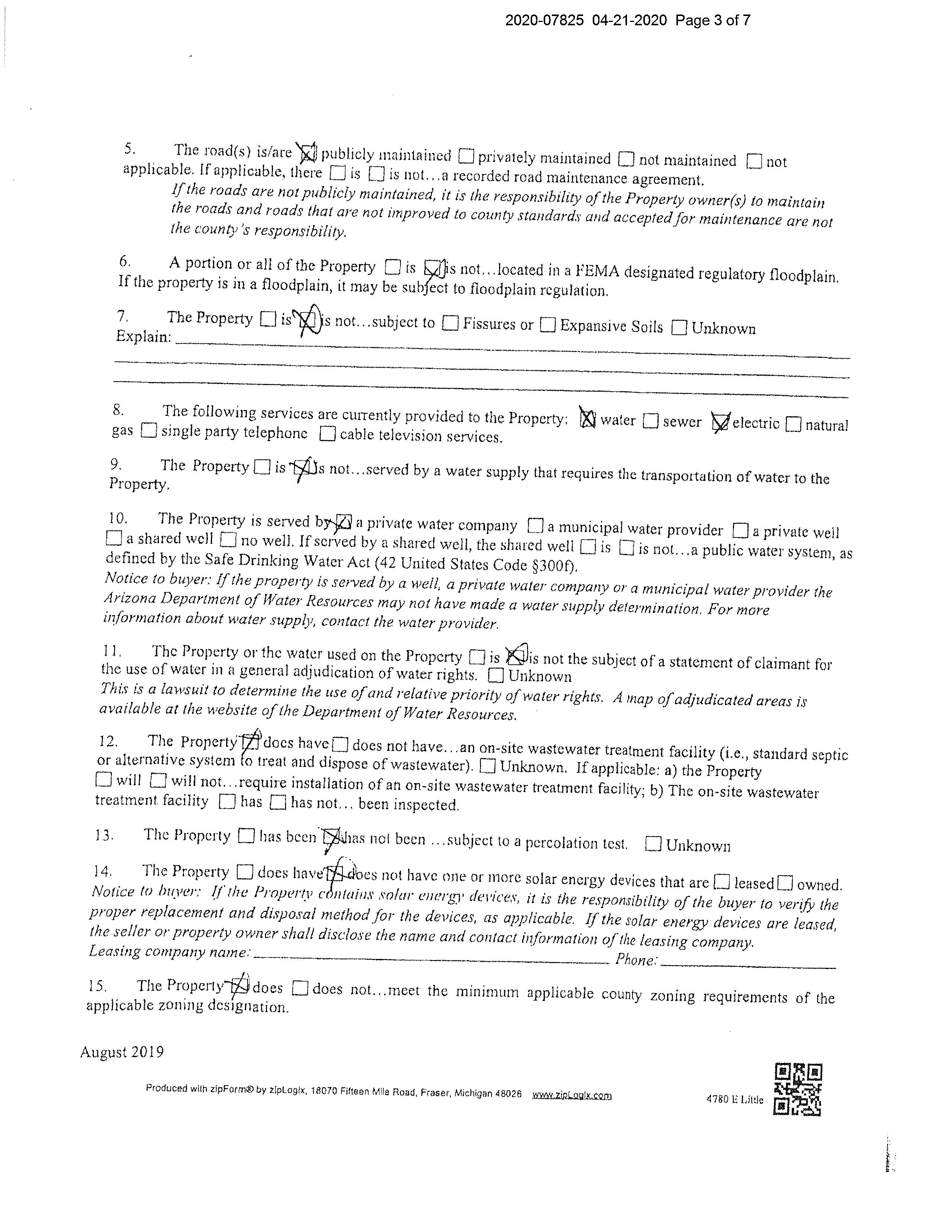
COCHISE, AZ Document:DED WAR 2020.7825 Page:1 of 7 Printed on:9/21/2023 10:09 AM Branch :FC0 User :JSTI
COCHISE, AZ Document:DED WAR 2020.7825 Page:2 of 7 Printed on:9/21/2023 10:09 AM Branch :FC0 User :JSTI
COCHISE, AZ Document:DED WAR 2020.7825 Page:3 of 7 Printed on:9/21/2023 10:09 AM Branch :FC0 User :JSTI
COCHISE, AZ Document:DED WAR 2020.7825 Page:4 of 7 Printed on:9/21/2023 10:09 AM Branch :FC0 User :JSTI
COCHISE, AZ Document:DED WAR 2020.7825 Page:5 of 7 Printed on:9/21/2023 10:09 AM Branch :FC0 User :JSTI
COCHISE, AZ Document:DED WAR 2020.7825 Page:6 of 7 Printed on:9/21/2023 10:09 AM Branch :FC0 User :JSTI
COCHISE, AZ Document:DED WAR 2020.7825 Page:7 of 7 Printed on:9/21/2023 10:09 AM Branch :FC0 User :JSTI
COCHISE, AZ Document:DOT 2022.14331 Page:1 of 6 Printed on:9/21/2023 10:09 AM Branch :FC0 User :JSTI
COCHISE, AZ Document:DOT 2022.14331 Page:2 of 6 Printed on:9/21/2023 10:09 AM Branch :FC0 User :JSTI
COCHISE, AZ Document:DOT 2022.14331 Page:3 of 6 Printed on:9/21/2023 10:09 AM Branch :FC0 User :JSTI
COCHISE, AZ Document:DOT 2022.14331 Page:4 of 6 Printed on:9/21/2023 10:09 AM Branch :FC0 User :JSTI
COCHISE, AZ Document:DOT 2022.14331 Page:5 of 6 Printed on:9/21/2023 10:09 AM Branch :FC0 User :JSTI
COCHISE, AZ Document:DOT 2022.14331 Page:6 of 6 Printed on:9/21/2023 10:09 AM Branch :FC0 User :JSTI

Turn static files into dynamic content formats.

Create a flipbook
Issuu converts static files into: digital portfolios, online yearbooks, online catalogs, digital photo albums and more. Sign up and create your flipbook.
Listing Kit 4780 E. Little Wing Rd. by FirstAmAZ - Issuu