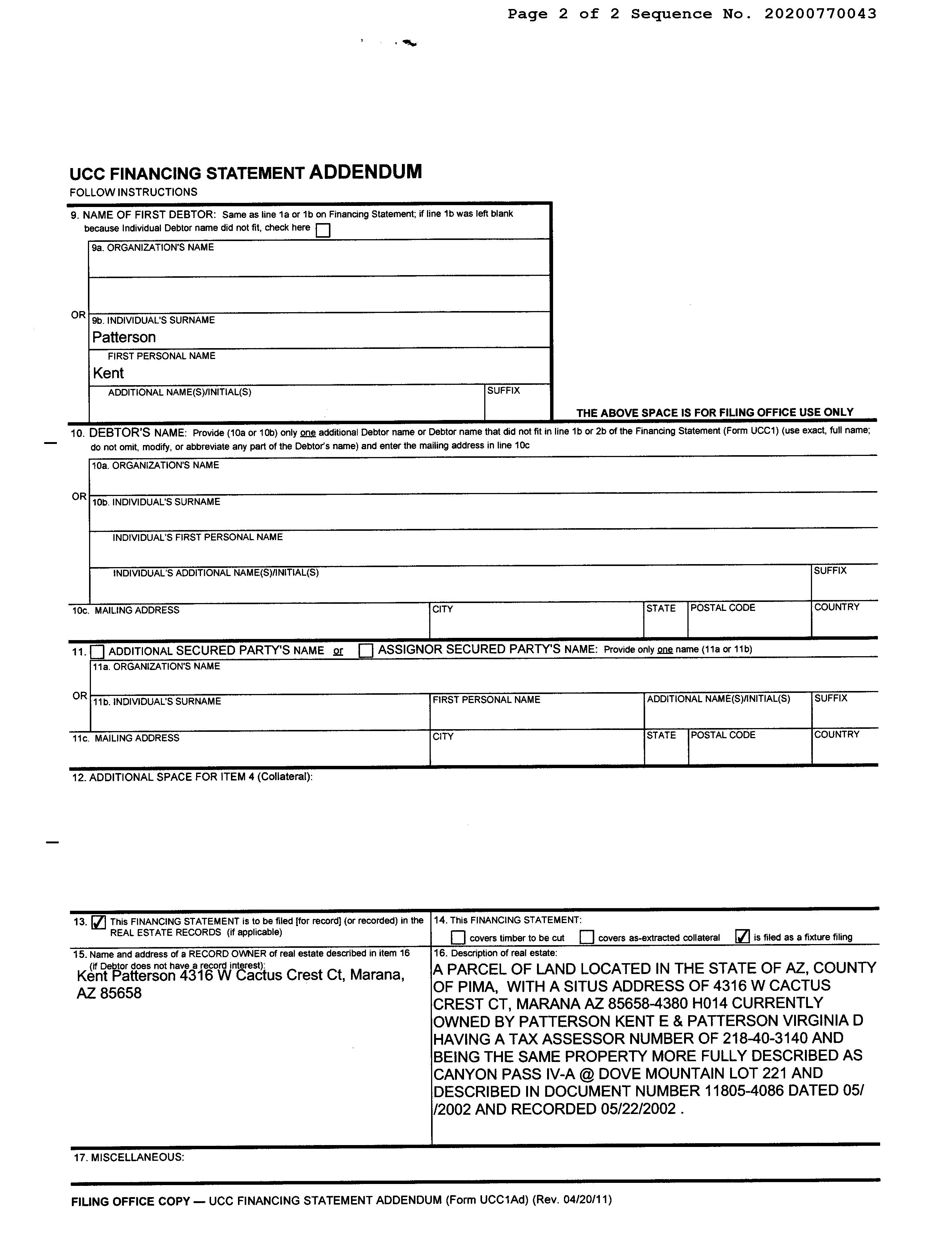
4316 W Cactus Crest Ct, Marana, AZ 85658

Page 1

The Internet Crime Complaint Center @ www.ic3.gov

The National White Collar Crime Center @ http://www.nw3c.org/research

PROTECT YOURSELF VERIFY AND NOTIFY

ONLINE RESOURCES:

• If you receive an email requesting personal/financial information or asking you to download, click on a link, send, and/or do anything that may seem unusual to you, call your escrow officer immediately prior to acting on the suspicious email to verify the validity of the email.

Client Date Client Date

Criminals are targeting social media and email to steal information. This is particularly common in real estate transactions because sensitive data, including social security numbers, bank account numbers, and wire instructions are often sent by electronic means. We do not want you to be the next victim of wire fraud. Money wired to a fraudulent account is stolen money that typically cannot be recovered. Additionally, there is generally no insurance for this loss. You may never get the money back.

• It is imperative that this call be made to a number obtained in person from the individual or through other reliable means, not from a number provided in the email or the wiring instructions

On Guard Online @ www.onguardonline.gov

• If you receive an email containing wire transfer instructions, immediately call your escrow officer to ensure the validity of the instructions.

• Never direct, accept or allow anyone in the transaction to consent to receiving transfer instructions without a direct personal telephone call to the individual allegedly providing the instructions.

DO NOT TRUST EMAILS SEEKING PERSONAL/FINANCIAL INFORMATION

The undersigned acknowledges receipt of this Wire Fraud Advisory.

WIRE FRAUD ADVISORY

DO NOT TRUST EMAILS CONTAINING WIRE INSTRUCTIONS

Before you wire funds to any party (including your lawyer, title agent, mortgage broker, or real estate agent) personally meet them or call a verified telephone number (not the telephone number in the email) to confirm before you act!

TRUST YOUR SOURCE OF INFORMATION

The Federal Bureau of Investigation @ https://www.fbi.gov/scams and safety

Immediately notify your banking institution and Settlement/Title Company if you are a victim of wire fraud.

There are many online sources that can provide useful information regarding similar topics including, but not limited to, the following sites:

LIMITATION OF LIABILITY FOR INFORMATIONAL REPORTS

This report is not an insured product or service or a representation of the condition of title to real property. It is not an abst ract, legal opinion, opinion of title, title insurance commitment or preliminary report, or any form of Title Insurance or Guaranty. This report is issued exclusively for the benefit of the Applicant therefor and may not be used or relied upon by any other person. This report may not be reproduced in any manner without First American or Title Security's prior written consent. First American or Title Security does not represent or warrant that the information herein is complete or free from error, and the information herein is provided without any warranties of any kind, as-is, and with all faults. As a material part of the consideration given in exchange for the issuance of this report, recipient agrees that First American or Title Security's sole liability for any loss or damage caused by an error or omission due to inaccurate information or negligence in preparing this report shall be limited to the fee charged for the report. Recipient accepts this report with this limitation and agrees that First American or Title Security would not have issued this report but for the limitation of liability described above. First American or Title Security makes no representation or warranty as to the legality or propriety of recipient's use of the information herein.

IMPORTANT -- PLEASE READ CAREFULLY:

Subject Property 4316 W Cactus Crest Ct APN:AZMarana85658218-40-3140

First

Data Provided By: American Title Ins Co

© 2022 CoreLogic. All rights reserved

Data Provided By: First American Title Ins Co

© 2022 CoreLogic. All rights reserved

This REiSource report is provided "as is" without warranty of any kind, either express or implied, including without limitations any warrantees of merchantability or fitness for a particular purpose. There is no representation of warranty that this information is complete or free from error, and the provider does not assume, and expressly disclaims, any liability to any person or entity for loss or damage caused by errors or omissions in this REiSource report without a title insurance policy.

The information contained in the REiSource report is delivered from your Title Company, who reminds you that you have the right as a consumer to compare fees and serviced levels for Title, Escrow, and all other services associated with property ownership, and to select providers accordingly. Your home is the largest investment you will make in your lifetime and you should demand the very best.

Disclaimer

Map Reference : 19-11S-13E

Owner Name : Patterson Kent E / Patterson Virginia D Mailing Address : 4316 W Cactus Crest Ct, Marana AZ 85658-4380 H014

Subject Property :   4316 W Cactus Crest Ct Marana AZ 85658

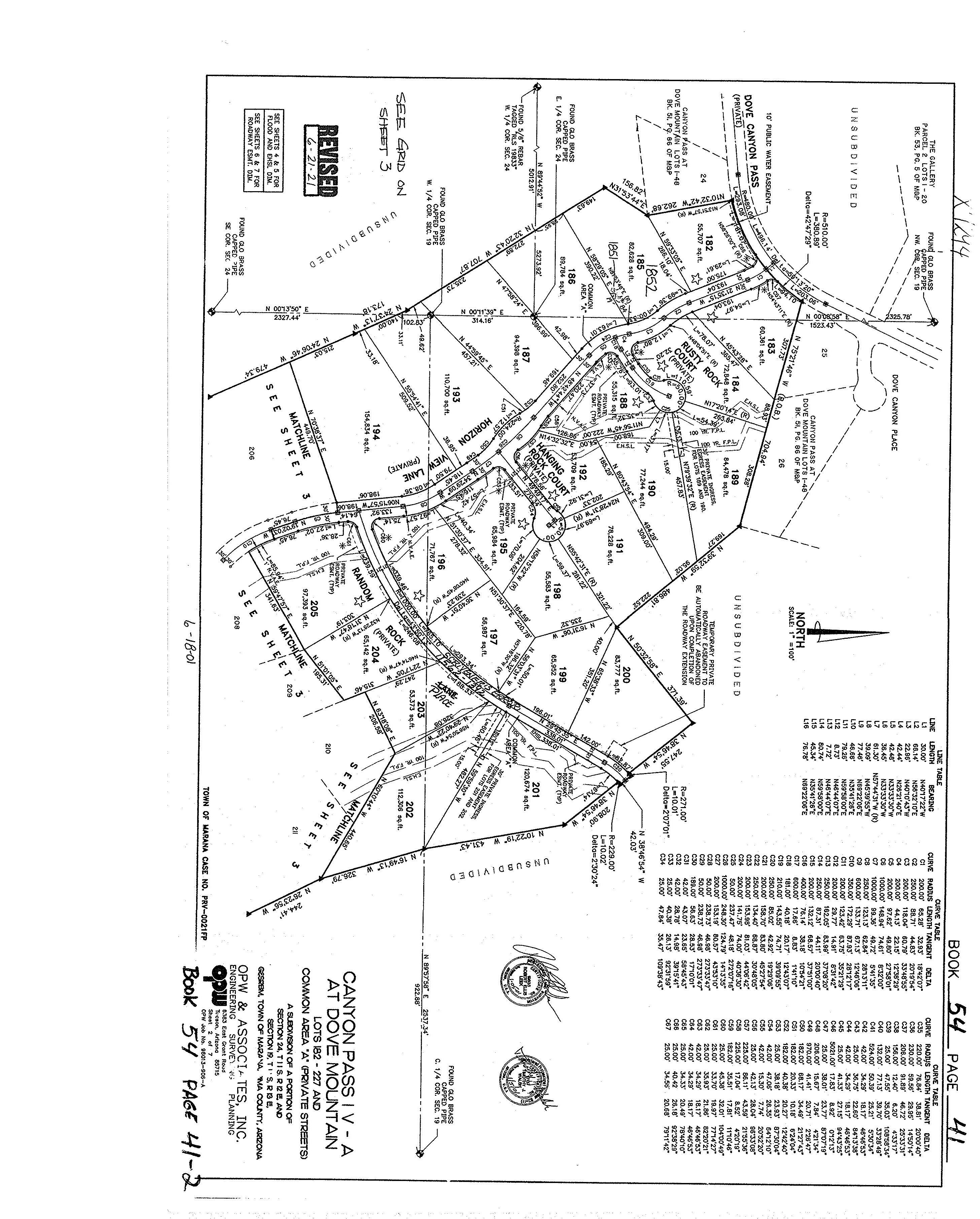
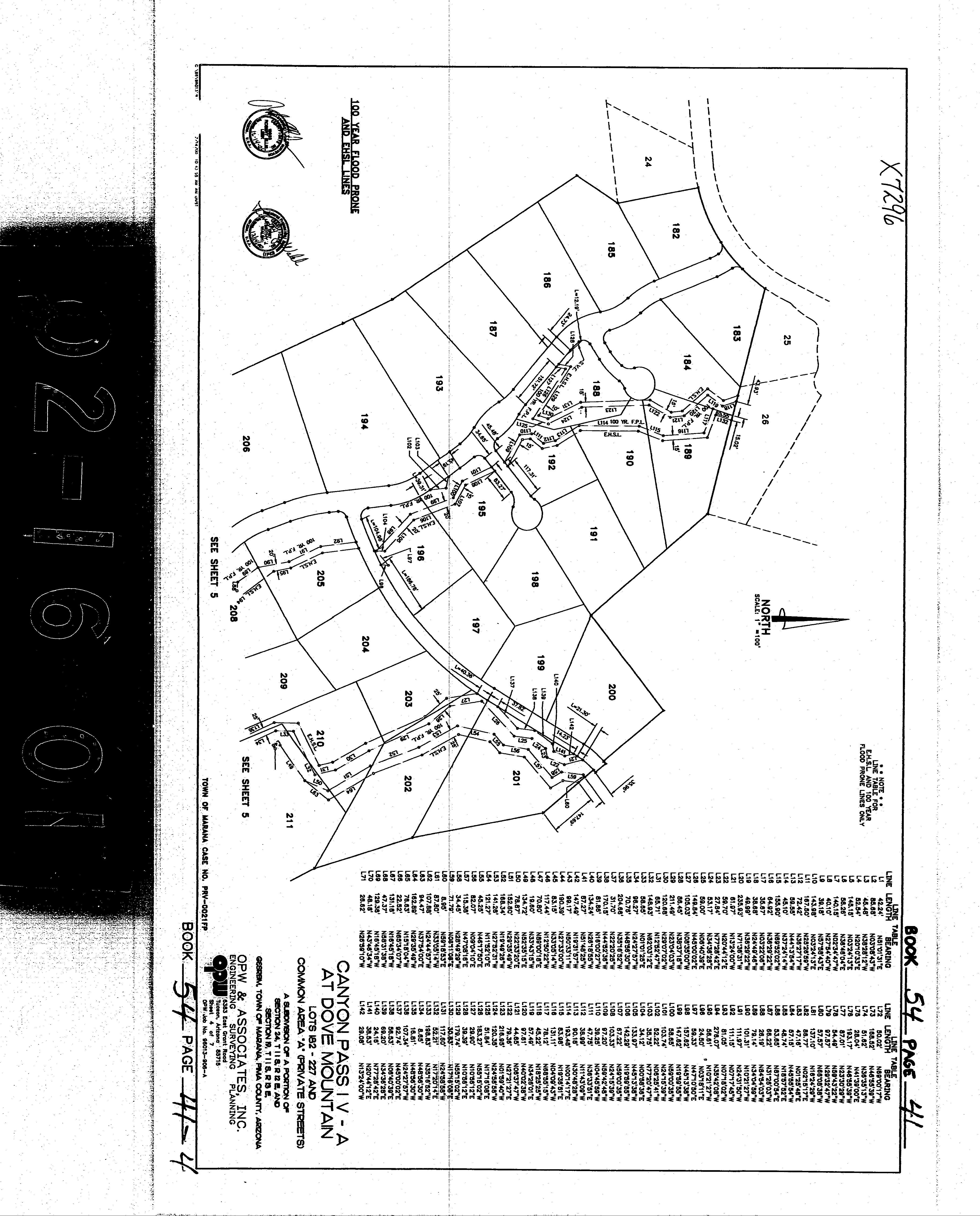
Subdivision : Canyon Pass Iv-a/dove Mountain

Gross Area : 5,220

Recording/Sale Date : 11/14/2019 / 11/13/2019

Legal Lot : 221

Property Information

Legal Description : Canyon Pass Iv-a @ Dove Mountain Lot 221

Location Information

Exterior wall : Stucco Bath Fixtures : 15

Customer Name : Jeremiah Stiffler

County : Pima, Az

Heat Type : Forced Air Quality : Fair

# of Stories : 1

APN : 218-40-3140

Legal Book/Page : 54-41

Township-Range- Sect : 11S-13E-19

Living Area : 5,220

Total Rooms : 8

Census Tract / Block : 46.49 / 1

Pool : Pool

Owner Transfer Information

Cooling Type : Forced Air Condition : Excellent

Munic/Township : Marana

Owner Information

© 2022 CoreLogic. All rights reserved

County Use : Single Fam Resrural Subd Lot Acres : 1.76

Capacity :Garage 3

Vesting Codes : / / Trust Owner OccupiedIndicator : O

Deed Type : Special Warranty Deed Document # : 3180554

State Use : Single Fam Resrural Subd

Land Use : Sfr

Parking Type : Garage Patio Type : Covered Patio Pool Size : 450

Roof Material : Built-up Air Cond : Refrigeration

Property Characteristics

Year Built / Eff : 2005

School District : Marana

Zoning : F Lot Size : 76,538

Market Area : 424

Customer Company Name : First American Prepared On : 09/09/2022

Total TaxableValue : $127,416

Tax Year : 2021 Current AssessedYear : 2023

Tax Information

Current YearValue :Total $148,623

Customer Company Name : First American Prepared On : 09/09/2022

Assessed Year : 2021 Market Value : $1,308,914

Tax Rate Area : 0612 Current ImprovementYearValue : $148,572

Customer Name : Jeremiah Stiffler

Total Value : $1,308,914 Property Tax : $19,943.03

Current YearValue :Land $50

© 2022 CoreLogic. All rights reserved

Sale Price $2,200,000 $2,438,000 $2,319,000

© 2022 CoreLogic. All rights reserved

Year Built 2005 2009 2012 2011 Lot Size 76,538 33,697 58,231 45,964 5 6 6 1 1 1 Assessed Value $1,104,590 $1,461,022 $1,282,806

Bldg/Living Area 5220 5008 5016 5012

Customer Company Name : First American Prepared On : 09/09/2022

Average

of Comparables # Address Sale Price TotalValueAssessed Sale Date Bed Bath Living Area Lot Size YearBuilt (Miles)Dist Zoning

Price Per Square Foot $439 $486 $462.67

$1,308,914

Sales Analysis

Customer Name : Jeremiah Stiffler

2 14303 N Rocking Ridge Ct 2,438,000 1,104,590 02/01/2022 6 5,016 33,697 2012 0.74 F

1 14091 N Horizon View Ln 2,200,000 1,461,022 04/19/2022 5 5,008 58,231 2009 0.3 F

Sales =

Total

Summary

BathroomsBedrooms 5

5

S 4316 W Cactus Crest Ct 1,308,914 5,220 76,538 2005 F

Criteria Subject Property Low High

Stories 1

Distressed

Distance From Subject 0 0.3 0.74 0.52

Map

Customer Name : Jeremiah Stiffler

Customer Company Name : First American Prepared On : 09/09/2022

© 2022 CoreLogic. All rights reserved

Subject Property: 4316 W Cactus Crest Ct Marana Az 85658

Living Area: 5,220

Deed Type: Warranty Deed

Customer Name : Jeremiah Stiffler

Owner Name: Chase Mitchell S / APN / Alternate APN: 218-40-2750 /

Year Built / Eff: 2012 / Rec. Date / Price: 02/01/2022 / $2,438,000 Living Area: 5,016

Total Tax Value: $1,461,022 Bath(F/H): /

Owner Name: Patterson Kent E /Patterson Virginia D

#2   14303 N Rocking Ridge Ct Marana Az 85658

# of units: Document #: 320122 Bedrooms: Pool: Pool

Details of Comparables

APN / Alternate APN: 218-40-3140 / Deed Type:

Year Built / Eff: 2005 / Rec. Date / Price: / $

#1   14091 N Horizon View Ln Marana Az 85658

# of units: Document #: 1090203 Bedrooms: Pool: Pool

Land Use: Sfr Subdivision / Tract: Canyon Pass Iv-a/ dove Mountain / Lot Size: 76,538

Year Built / Eff: 2009 / Rec. Date / Price: 04/19/2022 / $2,200,000 Living Area: 5,008

Land Use: Sfr Subdivision / Tract: Gallery Prcl 02 / Lot Size: 33,697

Total Tax Value: $1,104,590 Bath(F/H): /

Land Use: Sfr Subdivision / Tract: Canyon Pass Iv-a/ dove Mountain / Lot Size: 58,231

Customer Company Name : First American Prepared On : 09/09/2022

APN / Alternate APN: 218-40-1590 / Deed Type: Warranty Deed

© 2022 CoreLogic. All rights reserved

# of units: Document #: Bedrooms: Pool: Pool Total Tax Value: $1,308,914 Bath(F/H): /

Owner Name: Ansley Peter /Ansley Cheryl

Customer Name : Jeremiah Stiffler

Property :   4316 W Cactus Crest Ct

Customer Company Name : First American Prepared On : 09/09/2022

© 2022 CoreLogic. All rights reserved

AZ 85658

Subject Marana

Customer Company Name : First American Prepared On : 09/09/2022

Customer Name : Jeremiah Stiffler

© 2022 CoreLogic. All rights reserved

SchoolsArizona For detailed information and statistics on Arizona schools please go ©2021FirstFirsthttps://azreportcards.azed.gov/toAmericanTitleInsuranceCompany,andtheoperatingdivisionsthereof,makenoexpressorimpliedwarrantyrespectingtheinformationpresentedandassumenoresponsibilityforerrorsoromissions.American,theeaglelogo,FirstAmericanTitle,andfirstam.comareregisteredtrademarksortrademarksofFirstAmericanFinancialCorporationand/oritsaffiliates.FirstAmericanFinancialCorporationand/oritsaffiliates.Allrightsreserved.NYSE:FAF05117910421

39

06

UNIFIED 2101

111

51 ALTAR

08

11

05249570321 AIRPORTINT'LTUCSON Air Force WSilverbellRd SSantaRitaRd NMtLemmon Hwy ESascoRd NF38 W Avra Valley Rd E Grand Va ey DrNAguirreRd dRkLNuce dRWNentzNWatermanMountainRd RdAnwayN W El Tiro Rd NTricoRd W Tucker Rd W Rudas l Rd W Manvi e Rd SSanJoaquinRdWBopp Rd W Snyder H l RddRSMarsear W Park Rd W Hermans RdW Hermans Rd W Guy St W Bush Rd SGaveyRd eaCNRinconado SWmoRd SShawRd SSierritaMountainRd SKobRdW TwinButtes Rd W Mcgee Ranch Rd ESstancaDr

01

EDesertDove

20

SHelvetiaRdUNIFIED N. Well Road, Ajo, AZ 85321 520.387.5618 VALLEY S. Sasabe Road, Tucson, AZ 85736 520.822.1484 W. Wetmore, Tucson, AZ 85705 520.696.5000 FOOTHILS E. River Road, Tucson, AZ 85718 520.209.7500 CONTINENTAL ELEMENTARY 1991 E. Whitehouse Canyon, Green Valley, AZ 85614 520.625.4581 FLOWING WELLS UNIFIED 1556 W. Prince Road, Tucson, AZ 85705 520.696.8800 MARANA UNIFIED 11279 W. Grier Road, Marana, AZ 85653 520.682.3243 PIMA COUNTY JTED 2855 W. Master Pieces Dr, Tucson, AZ 85741 520.352.5833 SAHUARITA UNIFIED W. Sahuarita Road, Sahuarita, AZ 85629 520.625.3502 SUNNYSIDE UNIFIED 2238 E. Ginter Road, Tucson, AZ 85706 520.545.2000

TANQUE VERDE UNIFIED 2300 N. Tanque Verde Loop, Tucson, AZ 85749 520.749.5751 TUCSON UNIFIED 1010 E. 10th Street, Tucson, AZ 85717 520.225.6000 VAIL UNIFIED 10701 E. Mary Ann Cleveland Way, Tucson, AZ 85747 520.879.2000

First American Title Insurance Company, and the operating divisions thereof, make no express or implied warranty respecting the information presented and assume no responsibility for errors or omissions. First American, the eagle logo, First American Title, and firstam.com are registered trademarks or trademarks of First American Financial Corporation and/or its affiliates. ©2021 First American Financial Corporation and/or its affiliates. All rights reserved. NYSE: FAF

30

12

ELEMENTARY 10105

10 AMPHITHEATER UNIFIED 701

350

E Hemlock Dr BNearCanyonRdW E Camino Del Cerro E Fairmount St SSwanRd NFrontageRd W Emigh Rd W Fort Lowe Rd dSPNumptationR E Nona Rd Ch efButteRd Lo al Ave NTricoRd SCattleTankRd Evalyn Rd SOwlHeadRanchRdGasLineRd PSecanRd NTrcoRd W Bayard Rd dRSSandaro WillowSpringsRd N Dove Mountain Blvd

WAnamax Mine Rd dRhRiGWacaanc Road424 WRagged Top Rd W Ruby Star Dr WBritten RanchRd W Pima Mine Rd S Mcgee RanchRd E Edw n Rd SGuildRd 80 NKINNEYRD SPICACHOHWYE BAUMGARTNER RD SNANDARIORDNANWAYRD W VALENCIA RD W MOORE RD W INA RD ESN1TAV E SUNRISE DR E SNYDER RDNSILVERBELLRD TRSNOLDIERLE RIVER RDE PRINCE RD E SPEEDWAY BLVD SFREEMANRDE 22ND ST E 22ND ST W IRVINGTON RD SNOGALESHWY W VALENCIA RDSMISSIONRDWSPEEDWAY BLVD SOLDSPANISHTRL W NARANJA DR W TWIN PEAKS RD W PICTURE ROCKS RD W MANVILLE RD SKINNEYRD W MILE WIDE RD E SAHUARITA RD NTRICORD OSSANDARRD PARK LINK DR SOLDNOGALESHWY GUOSHHTONRD ADCSLAANADRW HELMET PEAK RD WAJOHWY RNASNWD RDKOLBS SHOUGHTONRD W TANGERINE RD E GRANT RD SHOUGHTONRD 95 WAJOHWY E VALENCIA RD NORACLERD I-10 I-19 77 77 77 86 86 286 10 19 10 10 Corona de Tucson AdobesCasas Catalina Green Valley Oracle Picture Rocks Three Points VailSummit TanqueVerde SahuaritaTucson Red Rock Saddlebrooke Marana Oro Valley Rillito SummerhavenWillow Canyon Oracle Junction Cortaro Continental Littletown 20 30 13 15 51 39 12 01 01 08 10 16 11 06 PIMA COUNTY School District Information This map is provided for general location only. Please contact school districts for actual street boundaries SCHOOL DISTRICTS 15 AJO

16 CATALINA

13

School District : Leman Academy Of Excellence Inc. (92730)

Lowest Grade : K Highest Grade : 8th Kindergarten : Yes School Enrollment : Enrollment : 749 Total Expenditure/Student :

Dove Mountain K-8 Distance 2.11 Miles

Public Schools :

Lowest Grade : Pre-K

Highest Grade : 8th Kindergarten : Yes School Enrollment : Enrollment : 837

Telephone : (520) 912-4005

5650 W Moore Rd Marana AZ 85658

Richard B Wilson Junior School Distance 3.53 Miles

Telephone : (520) 579-4500

School District : Amphitheater Unified District (4406)

Lowest Grade : Pre-K

Highest Grade : 8th Kindergarten : Yes School Enrollment : Enrollment : 1017

Total Expenditure/Student : 132

© 2022 CoreLogic. All rights reserved

2330 W Glover Rd Oro Valley AZ 85742

Elementary Schools

Customer Name : Jeremiah Stiffler

Customer Company Name : First American Prepared On : 09/09/2022

Telephone : (520) 696-5800

School District : Marana Unified District (4404)

1410 W Tangerine Rd Oro Valley AZ 85755

Leman Academy Of Excellence-oro Valley Arizona Distance 4.2 Miles

Total Expenditure/Student : 269

Lowest Grade : 9th Highest Grade : 12th School Enrollment : Enrollment : 0

2475 W Naranja Dr Oro Valley AZ 85742

Total Expenditure/Student : 132

Distance 4.02 Miles

Total Expenditure/Student : Advanced Placement : No

2475 W Naranja Dr Oro Valley AZ 85742

Telephone : (520) 696-3902

Telephone : (520) 696-3902

School District : Amphitheater Unified District (4406)

Lowest Grade : Pre-K Highest Grade : 5th Kindergarten : Yes School Enrollment : Enrollment : 444

Highest Grade : 12th School Enrollment : Enrollment : 1713

School District : Pima County Jted (89380)

Distance 4.02 Miles

The Innovation Academy Distance 4.47 Miles

Customer Name : Jeremiah Stiffler

Lowest Grade : 9th

825 W Desert Fairways Dr Oro Valley AZ 85755

Advanced Placement : No

High School

School District : Amphitheater Unified District (4406)

Pcjted - Ironwood Ridge High School

Total Expenditure/Student : 132

Telephone : (520) 269-4610

High IronwoodSchoolsRidge

Customer Company Name : First American Prepared On : 09/09/2022

© 2022 CoreLogic. All rights reserved

Wake And Bake Bakery L.l.c. 12875 N Bass Canyon Dr Marana Az (928) 514-1233 1.46

Customer Name : Jeremiah Stiffler

Cliff Hey Entertainment Llc 13088 N Pier Mountain Rd Marana Az (520) 440-2346 1.13

Restaurant Solutions 5346 W Lace Cactus Pl Marana Az (520) 638-6221 1.77

Escalante Gallery Llc 14000 N Dove Mtn Blvd Marana Az (520) 744-4700 1.39

Name Address Telephone Distance (Miles)

Eating / Drinking

Pussycat Gelato 13820 N Heritage Cyn Dr Marana Az (480) 203-8676 0.97

Zachary M Shnek 13198 N Pier Mountain Rd Marana Az (520) 579-0798 0.98

Healthcare Solutions Bureau Llc 13322 N Heritage Gtwy Ave Marana Az (520) 904-1192 1.26

Customer Company Name : First American Prepared On : 09/09/2022

Vistoso Mortgage, Llc 12400 N Fallen Shadows Dr Marana Az (520) 744-8736 2.07

Local

Pusch Ridge Home Loans 3450 W Moore Rd Tucson Az (520) 531-8731 1.68

Banks / Financial

Health Care Services

Safety & Health Training International 5221 W Arid Canyon Dr Marana Az (520) 579-7889 1.17

© 2022 CoreLogic. All rights reserved

Name Address Telephone Distance (Miles)

Tucson Federal Credit Union 12100 N Thornydale Rd Marana Az (520) 572-3748 2.26

Peak Health Partners Inc. 13775 N Heritage Cyn Dr Marana Az (612) 554-9870 0.82

AttractionsBusiness/Recreation

The Gallery Sports Club 13965 N Dove Mtn Blvd Marana Az (520) 744-6900 1.21

Name Address Telephone Distance (Miles)

Ciao Down Llc 12663 N Fallen Shadows Dr Marana Az (520) 250-4690 1.6

J Ron Leasing Systems 12673 N Wild Indigo Dr Marana Az (610) 262-1457 2.04

Name Address Telephone Distance (Miles)

Wieck Chamber Singers & Orchestra 3965 W Moore Rd Tucson Az (520) 794-5373 1.45

Anytime Fitness Group, Llc 1066 W Tortolita Mtn Cir Oro Valley Az (520) 907-6983 3.01

© 2022 CoreLogic. All rights reserved

The Body Of Christ - Marana Inc 3615 W Tailspin Pl Marana Az (520) 344-9659 2.09

Name Address Telephone Distance (Miles)

Glory International Ministries 13121 N High Hawk Dr Marana Az (520) 744-8153 1.01

Organizations / Associations

Arctic Structures, Llc 13634 N Hidden Rock Pl Marana Az (907) 835-5990 0.32

Anytime Fitness 12040 N Thornydale Rd Marana Az (520) 579-2601 2.33

Rincon Community Church, Inc. 12747 N Rain Shadow Ct Marana Az (520) 256-0692 1.78

Name Address Telephone Distance (Miles)

Bed & Breakfast Tulip Tree Inn 13649 N Gold Cholla Pl Marana Az (260) 316-0946 1.0

Arizona Assembly Hall Of Jehovah's Witnesses, Inc. 12976 N Kenosha Bluff Dr Marana Az (520) 400-9273 1.12

Personal Services

Valdez Properties, Llc 13634 N Hidden Rock Pl Marana Az (907) 835-5990 0.32

The Ritz-carlton Hotel Company L L C 15000 N Secret Springs Dr Marana Az (520) 572-3000 2.39

Name Address Telephone Distance (Miles)

On Your Left Fitness Arizona, Inc. 2391 W Tangerine Rd Oro Valley Az (520) 241-9141 3.23

Hospitality

Shopping

Name Address Telephone Distance (Miles)

Douglass Coaching, Llc 4397 W Cayton House Ct Marana Az (520) 744-2184 0.12

Snap-on Inc 2695 W Cougar Canyon Trl Tucson Az (520) 219-6824 2.03

Smith's Food & Drug Centers, Inc. 12100 N Thornydale Rd Marana Az (520) 572-6040 2.26

Evolvingu Llc 12330 N Pathfinder Dr Marana Az (520) 419-5419 2.12

Neo Herbal Care, Llc 12986 N High Hawk Dr Marana Az (520) 579-5236 1.27

Customer Name : Jeremiah Stiffler

Customer Company Name : First American Prepared On : 09/09/2022

Bed / Bath : / 4 Property Tax : $15,182.77

Yr Blt / Eff Yr Blt : 2008 /

Total Value : $978,907

Stories : 1 APN : 218-40-3150

Customer Name : Jeremiah Stiffler

© 2022 CoreLogic. All rights reserved

Owner Name : Mc Chesney Wyman Living Trust

Land Use : Sfr Lot Acres : 1.06

Sale Date : 12/15/2020

APN : 218-40-3170

Total Value : $114,000 Property Tax : $2,639.60

13964 N COPPER SUNSET DR Distance 0.07 Miles

Owner Name : Erickson Family

Sale Price  : $470,000

Yr Blt / Eff Yr Blt : 2005 /

Bed / Bath : / 6 Lot Acres : 2.23

4315 W CACTUS CREST CT Distance 0.05 Miles

Owner Name : Hart Subdivision : Canyon Pass Iv-a/dove Mountain

Recording Date : 12/30/2020

4319 W CACTUS CREST CT Distance 0.05 Miles

Subdivision : Canyon Pass Iv-a/dove Mountain

Recording Date : 06/26/2006

Subdivision : Canyon Pass Iv-a/dove Mountain

Stories : 1 Living Area : 4,348

Yr Blt / Eff Yr Blt  : 2008 /

Recording Date : 09/03/2013

Sale Date : 03/00/2006

Total Value : $1,567,499

13987 N COPPER SUNSET DR Distance 0.05 Miles

Owner Name : Peel David

Sale Price  : $1,200,000

Total Value : $1,011,810

Land Use : Sfr Lot Acres : 1.35

APN : 218-40-3000

Sale Date : 08/08/2013

Stories : 1 Living Area : 4,177

Sale Price  : $915,000

Subdivision : Canyon Pass Iv-a/dove Mountain

Property Tax : $24,058.06

Land Use : Residential Acreage Lot Acres : 1.81

APN : 218-40-3130

Customer Company Name : First American Prepared On : 09/09/2022

Land Use : Sfr Living Area : 6,871

Bed / Bath : / 5 Property Tax : $15,713.21

Sale Date : 10/26/2018

Land Use : Residential Acreage Lot Acres : 1.07

Stories : 1 Living Area : 4,224

4397 W CAYTON HOUSE CT Distance 0.1 Miles

Total Value : $110,000

Owner Name : Salah Maher Z

Recording Date : 10/11/2007

Land Use : Residential Acreage Lot Acres : 2.05

Sale Date : 09/17/2007

Yr Blt / Eff Yr Blt : 2007 / APN : 218-40-3010

Sale Price  : $229,500

Recording Date : 03/31/2006

Total Value : $111,000 Property Tax : $2,559.67

Subdivision : Canyon Pass Iv-a/dove Mountain

Owner Name : Carlson Kristofer K

Subdivision : Canyon Pass Iv-a/dove Mountain

Property Tax : $2,533.07

Customer Company Name : First American Prepared On : 09/09/2022

Total Value : $112,000

Subdivision : Canyon Pass Iv-a/dove Mountain APN : 218-40-3160

Land Use : Sfr Lot Acres : 1.58

Sale Date : 03/00/2006

APN : 218-40-318A

Land Use : Residential Acreage Lot Acres : 1.45

Recording Date : 02/18/2021

© 2022 CoreLogic. All rights reserved

13921 N COPPER SUNSET DR Distance 0.09 Miles

13986 N COPPER SUNSET DR Distance 0.1 Miles

Sale Price  : $500,000

Owner Name : Douglass Steven James & Subdivision : Canyon Pass Iv-a/dove Mountain

Sale Date : 02/10/2021

13942 N COPPER SUNSET DR Distance 0.08 Miles

Recording Date : 10/31/2018

APN : 218-40-3120

Owner Name : Menick Frederick J

Property Tax : $2,586.26

Customer Name : Jeremiah Stiffler

Total Value : $1,006,753

Sale Price  : $1,695,000

Bed / Bath : / 6 Property Tax : $15,631.65

Sale Price  : $130,000

Customer Company Name : First American Prepared On : 09/09/2022

No demographics data for selected property.

© 2022 CoreLogic. All rights reserved

Customer Name : Jeremiah Stiffler

PRIMARY  127,416  0  0  9.6812  0612 SECONDARY  50  130,841  0  6.4416

PARCEL: 218-40-3140

INTEREST

IMPROVEMENTS BYPASS  BLDG SQFT  5,220 FULL CASH VALUE  1,308,914 YEAR BUILT  2005 LAND USE  01 63 NUMBER OF STORIES  1.0 LOT SIZE  1 STDLT STORIES HEIGHT  0 SCHOOL DISTRICT  0612 EXTERIOR WALLS  STUCCO LAND FULL CASH VALUE  502 GRADE MATERIALS IMPR FULL CASH VALUE  1,308,412 SALES NO SALES ADDITIONAL PROPERTY INFORMATION STANDARD LAND USE: SFR

SEARCH PARAMETERS

TOTAL CURRENT TAXES DUE 09/22 0.00 10/22 0.00

OWNER: PATTERSON KENT E & VIRGINIA D CP/RS     11805 4086 05/22/2002

INFORMATION THROUGH 07/28/2022 LAND IMPR EXEMPT RATE AREA SPECIAL DISTRICTS

PARCEL:  218-40-3140

END SEARCH

MAIL: 4316 W CACTUS CREST CT  MARANA AZ 85658-4380

INSTRUMENT REC DATE

CURRENT TAXES

SITUS: 4316 W CACTUS CREST CT MAR

PLAT: LOT 00221 BLOCK

2021  TAX AMT TAX DUE DATE PAID TOTAL DUE FIRST HALF  9,971.52  0.00  0.00  09/16/2021  0.00  SECOND HALF  9,971.51  0.00  0.00  09/16/2021  0.00

2021 TOTAL TAX BILLED 19,943.03

+ FIRST AMERICAN TITLE, FC0, JSTI PIMA, AZ 09/09/2022  01:31PM  R9C8  INVESTIGATIVE SEARCH RESULTS PAGE 1 OF 1

LEGAL: CANYON PASS IV-A @ DOVE MOUNTAIN LOT 221

Page 1 of 4 09/09/2022 1:35 PM

Page 2 of 4 09/09/2022 1:35 PM

Page 3 of 4 09/09/2022 1:35 PM

Page 4 of 4 09/09/2022 1:35 PM

Page 1 of 2 09/09/2022 1:35 PM

Page 2 of 2 09/09/2022 1:35 PM

Page 1 of 2 09/09/2022 1:35 PM

Page 2 of 2 09/09/2022 1:35 PM

ConditionsCovenants,&Restrictions

This information is furnished without fee and without benefit of a complete title search. No liability is assumed by First American Title or Title Security. If it is desired that liability be assumed, you may apply for a policy of title insurance with First American Title Insurance Company.

Restrictions indicating a preference, limitation or discrimination based on race, color, religion, sex, handicap, familial status, or national origin are hereby deleted to the extent such restrictions violate 42 USC 3604(c).

Thank you for the opportunity to be of service.

Page 1 of 7 09/09/2022 1:32 PM

Page 2 of 7 09/09/2022 1:32 PM

Page 3 of 7 09/09/2022 1:32 PM

Page 4 of 7 09/09/2022 1:32 PM

Page 5 of 7 09/09/2022 1:32 PM

Page 6 of 7 09/09/2022 1:32 PM

Page 7 of 7 09/09/2022 1:32 PM

Page 1 of 5 10/03/2014 2:58 PM

Page 2 of 5 10/03/2014 2:58 PM

Page 3 of 5 10/03/2014 2:58 PM

Page 4 of 5 10/03/2014 2:58 PM

Page 5 of 5 10/03/2014 2:58 PM

Page 1 of 5 10/03/2014 2:58 PM

Page 2 of 5 10/03/2014 2:58 PM

Page 3 of 5 10/03/2014 2:58 PM

Page 4 of 5 10/03/2014 2:58 PM

Page 5 of 5 10/03/2014 2:58 PM

Page 1 of 4 10/03/2014 2:58 PM

Page 2 of 4 10/03/2014 2:58 PM

Page 3 of 4 10/03/2014 2:58 PM

Page 4 of 4 10/03/2014 2:58 PM

Page 1 of 6 10/03/2014 2:58 PM

Page 2 of 6 10/03/2014 2:58 PM

Page 3 of 6 10/03/2014 2:58 PM

Page 4 of 6 10/03/2014 2:58 PM

Page 5 of 6 10/03/2014 2:58 PM

Page 6 of 6 10/03/2014 2:58 PM

Page 1 of 39 10/03/2014 2:58 PM

Page 2 of 39 10/03/2014 2:58 PM

Page 3 of 39 10/03/2014 2:58 PM

Page 4 of 39 10/03/2014 2:58 PM

Page 5 of 39 10/03/2014 2:58 PM

Page 6 of 39 10/03/2014 2:58 PM

Page 7 of 39 10/03/2014 2:58 PM

Page 8 of 39 10/03/2014 2:58 PM

Page 9 of 39 10/03/2014 2:58 PM

Page 10 of 39 10/03/2014 2:58 PM

Page 11 of 39 10/03/2014 2:58 PM

Page 12 of 39 10/03/2014 2:58 PM

Page 13 of 39 10/03/2014 2:58 PM

Page 14 of 39 10/03/2014 2:58 PM

Page 15 of 39 10/03/2014 2:58 PM

Page 16 of 39 10/03/2014 2:58 PM

Page 17 of 39 10/03/2014 2:58 PM

Page 18 of 39 10/03/2014 2:58 PM

Page 19 of 39 10/03/2014 2:58 PM

Page 20 of 39 10/03/2014 2:58 PM

Page 21 of 39 10/03/2014 2:58 PM

Page 22 of 39 10/03/2014 2:58 PM

Page 23 of 39 10/03/2014 2:58 PM

Page 24 of 39 10/03/2014 2:58 PM

Page 25 of 39 10/03/2014 2:58 PM

Page 26 of 39 10/03/2014 2:58 PM

Page 27 of 39 10/03/2014 2:58 PM

Page 28 of 39 10/03/2014 2:58 PM

Page 29 of 39 10/03/2014 2:58 PM

Page 30 of 39 10/03/2014 2:58 PM

Page 31 of 39 10/03/2014 2:58 PM

Page 32 of 39 10/03/2014 2:58 PM

Page 33 of 39 10/03/2014 2:58 PM

Page 34 of 39 10/03/2014 2:58 PM

Page 35 of 39 10/03/2014 2:58 PM

Page 36 of 39 10/03/2014 2:58 PM

Page 37 of 39 10/03/2014 2:58 PM

Page 38 of 39 10/03/2014 2:58 PM

Page 39 of 39 10/03/2014 2:58 PM

Page 1 of 7 10/03/2014 2:58 PM

Page 2 of 7 10/03/2014 2:58 PM

Page 3 of 7 10/03/2014 2:58 PM

Page 4 of 7 10/03/2014 2:58 PM

Page 5 of 7 10/03/2014 2:58 PM

Page 6 of 7 10/03/2014 2:58 PM

Page 7 of 7 10/03/2014 2:58 PM

Page 1 of 8 10/03/2014 2:58 PM

Page 2 of 8 10/03/2014 2:58 PM

Page 3 of 8 10/03/2014 2:58 PM

Page 4 of 8 10/03/2014 2:58 PM

Page 5 of 8 10/03/2014 2:58 PM

Page 6 of 8 10/03/2014 2:58 PM

Page 7 of 8 10/03/2014 2:58 PM

Page 8 of 8 10/03/2014 2:58 PM

Page 1 of 87 10/03/2014 2:58 PM

Page 2 of 87 10/03/2014 2:58 PM

Page 3 of 87 10/03/2014 2:58 PM

Page 4 of 87 10/03/2014 2:58 PM

Page 5 of 87 10/03/2014 2:58 PM

Page 6 of 87 10/03/2014 2:58 PM

Page 7 of 87 10/03/2014 2:58 PM

Page 8 of 87 10/03/2014 2:58 PM

Page 9 of 87 10/03/2014 2:58 PM

Page 10 of 87 10/03/2014 2:58 PM

Page 11 of 87 10/03/2014 2:58 PM

Page 12 of 87 10/03/2014 2:58 PM

Page 13 of 87 10/03/2014 2:58 PM

Page 14 of 87 10/03/2014 2:58 PM

Page 15 of 87 10/03/2014 2:58 PM

Page 16 of 87 10/03/2014 2:58 PM

Page 17 of 87 10/03/2014 2:58 PM

Page 18 of 87 10/03/2014 2:58 PM

Page 19 of 87 10/03/2014 2:58 PM

Page 20 of 87 10/03/2014 2:58 PM

Page 21 of 87 10/03/2014 2:58 PM

Page 22 of 87 10/03/2014 2:58 PM

Page 23 of 87 10/03/2014 2:58 PM

Page 24 of 87 10/03/2014 2:58 PM

Page 25 of 87 10/03/2014 2:58 PM

Page 26 of 87 10/03/2014 2:58 PM

Page 27 of 87 10/03/2014 2:58 PM

Page 28 of 87 10/03/2014 2:58 PM

Page 29 of 87 10/03/2014 2:58 PM

Page 30 of 87 10/03/2014 2:58 PM

Page 31 of 87 10/03/2014 2:58 PM

Page 32 of 87 10/03/2014 2:58 PM

Page 33 of 87 10/03/2014 2:58 PM

Page 34 of 87 10/03/2014 2:58 PM

Page 35 of 87 10/03/2014 2:58 PM

Page 36 of 87 10/03/2014 2:58 PM

Page 37 of 87 10/03/2014 2:58 PM

Page 38 of 87 10/03/2014 2:58 PM

Page 39 of 87 10/03/2014 2:58 PM

Page 40 of 87 10/03/2014 2:58 PM

Page 41 of 87 10/03/2014 2:58 PM

Page 42 of 87 10/03/2014 2:58 PM

Page 43 of 87 10/03/2014 2:58 PM

Page 44 of 87 10/03/2014 2:58 PM

Page 45 of 87 10/03/2014 2:58 PM

Page 46 of 87 10/03/2014 2:58 PM

Page 47 of 87 10/03/2014 2:58 PM

Page 48 of 87 10/03/2014 2:58 PM

Page 49 of 87 10/03/2014 2:58 PM

Page 50 of 87 10/03/2014 2:58 PM

Page 51 of 87 10/03/2014 2:58 PM

Page 52 of 87 10/03/2014 2:58 PM

Page 53 of 87 10/03/2014 2:58 PM

Page 54 of 87 10/03/2014 2:58 PM

Page 55 of 87 10/03/2014 2:58 PM

Page 56 of 87 10/03/2014 2:58 PM

Page 57 of 87 10/03/2014 2:58 PM

Page 58 of 87 10/03/2014 2:58 PM

Page 59 of 87 10/03/2014 2:58 PM

Page 60 of 87 10/03/2014 2:58 PM

Page 61 of 87 10/03/2014 2:58 PM

Page 62 of 87 10/03/2014 2:58 PM

Page 63 of 87 10/03/2014 2:58 PM

Page 64 of 87 10/03/2014 2:58 PM

Page 65 of 87 10/03/2014 2:58 PM

Page 66 of 87 10/03/2014 2:58 PM

Page 67 of 87 10/03/2014 2:58 PM

Page 68 of 87 10/03/2014 2:58 PM

Page 69 of 87 10/03/2014 2:58 PM

Page 70 of 87 10/03/2014 2:58 PM

Page 71 of 87 10/03/2014 2:58 PM

Page 72 of 87 10/03/2014 2:58 PM

Page 73 of 87 10/03/2014 2:58 PM

Page 74 of 87 10/03/2014 2:58 PM

Page 75 of 87 10/03/2014 2:58 PM

Page 76 of 87 10/03/2014 2:58 PM

Page 77 of 87 10/03/2014 2:58 PM

Page 78 of 87 10/03/2014 2:58 PM

Page 79 of 87 10/03/2014 2:58 PM

Page 80 of 87 10/03/2014 2:58 PM

Page 81 of 87 10/03/2014 2:58 PM

Page 82 of 87 10/03/2014 2:58 PM

Page 83 of 87 10/03/2014 2:58 PM

Page 84 of 87 10/03/2014 2:58 PM

Page 85 of 87 10/03/2014 2:58 PM

Page 86 of 87 10/03/2014 2:58 PM

Page 87 of 87 10/03/2014 2:58 PM

Page 1 of 20 10/03/2014 2:58 PM

Page 2 of 20 10/03/2014 2:58 PM

Page 3 of 20 10/03/2014 2:58 PM

Page 4 of 20 10/03/2014 2:58 PM

Page 5 of 20 10/03/2014 2:58 PM

Page 6 of 20 10/03/2014 2:58 PM

Page 7 of 20 10/03/2014 2:58 PM

Page 8 of 20 10/03/2014 2:58 PM

Page 9 of 20 10/03/2014 2:58 PM

Page 10 of 20 10/03/2014 2:58 PM

Page 11 of 20 10/03/2014 2:58 PM

Page 12 of 20 10/03/2014 2:58 PM

Page 13 of 20 10/03/2014 2:58 PM

Page 14 of 20 10/03/2014 2:58 PM

Page 15 of 20 10/03/2014 2:58 PM

Page 16 of 20 10/03/2014 2:58 PM

Page 17 of 20 10/03/2014 2:58 PM

Page 18 of 20 10/03/2014 2:58 PM

Page 19 of 20 10/03/2014 2:58 PM

Page 20 of 20 10/03/2014 2:58 PM

Page 1 of 20 10/03/2014 2:58 PM

Page 2 of 20 10/03/2014 2:58 PM

Page 3 of 20 10/03/2014 2:58 PM

Page 4 of 20 10/03/2014 2:58 PM

Page 5 of 20 10/03/2014 2:58 PM

Page 6 of 20 10/03/2014 2:58 PM

Page 7 of 20 10/03/2014 2:58 PM

Page 8 of 20 10/03/2014 2:58 PM

Page 9 of 20 10/03/2014 2:58 PM

Page 10 of 20 10/03/2014 2:58 PM

Page 11 of 20 10/03/2014 2:58 PM

Page 12 of 20 10/03/2014 2:58 PM

Page 13 of 20 10/03/2014 2:58 PM

Page 14 of 20 10/03/2014 2:58 PM

Page 15 of 20 10/03/2014 2:58 PM

Page 16 of 20 10/03/2014 2:58 PM

Page 17 of 20 10/03/2014 2:58 PM

Page 18 of 20 10/03/2014 2:58 PM

Page 19 of 20 10/03/2014 2:58 PM

Page 20 of 20 10/03/2014 2:58 PM

Page 1 of 27 10/03/2014 2:58 PM

Page 2 of 27 10/03/2014 2:58 PM

Page 3 of 27 10/03/2014 2:58 PM

Page 4 of 27 10/03/2014 2:58 PM

Page 5 of 27 10/03/2014 2:58 PM

Page 6 of 27 10/03/2014 2:58 PM

Page 7 of 27 10/03/2014 2:58 PM

Page 8 of 27 10/03/2014 2:58 PM

Page 9 of 27 10/03/2014 2:58 PM

Page 10 of 27 10/03/2014 2:58 PM

Page 11 of 27 10/03/2014 2:58 PM

Page 12 of 27 10/03/2014 2:58 PM

Page 13 of 27 10/03/2014 2:58 PM

Page 14 of 27 10/03/2014 2:58 PM

Page 15 of 27 10/03/2014 2:58 PM

Page 16 of 27 10/03/2014 2:58 PM

Page 17 of 27 10/03/2014 2:58 PM

Page 18 of 27 10/03/2014 2:58 PM

Page 19 of 27 10/03/2014 2:58 PM

Page 20 of 27 10/03/2014 2:58 PM

Page 21 of 27 10/03/2014 2:58 PM

Page 22 of 27 10/03/2014 2:58 PM

Page 23 of 27 10/03/2014 2:58 PM

Page 24 of 27 10/03/2014 2:58 PM

Page 25 of 27 10/03/2014 2:58 PM

Page 26 of 27 10/03/2014 2:58 PM

Page 27 of 27 10/03/2014 2:58 PM

to the Title & Escrow Process in Arizona Home Seller’s Guide

Southwest Gas www.swgas.com1.877.860.6020 Cox www.cox.com602.277.1000 Direct TV www.directv.com1.888.777.2454 Dish Network www.dishnetwork.com1.800.823.4929 CenturyLink www.centurylink.com800.366.8201 AT&T www.att.com1.800.222.0300 Verizon www.connecttoverizon.com1.877.300.4498 Salt River Project www.srpnet.com602.236.8888 APS www.aps.com602.371.7171 Your Escrow Number Your New City/State/ZipAddress Real Estate Agent Name Email Assistant Email Company Phone Address Fax Insurance CompanyPrevious Phone Previous Agent No.Policy New Company Phone New Agent No.Policy Home CompanyWarranty No.Policy First American Title Escrow Officer Email Escrow Assistant Email Address Phone City/State/Zip Fax 02 Quick Reference 03 Welcome 04 Benefits of Using a REALTOR ® 05 Key Professionals 06 Preparing Your Home for Sale 07 Staging Your Home for Show 09 Terms You Should Know 10 The Life of an Escrow 11 Closing Costs: Who Pays What 12 The Escrow Process 14 Understanding Title Insurance 16 Consider This 17 Closing Your Escrow 18 Planning Your Move Q uick Reference Table of Contents Utilities and Services

First American Title has a direct office or agent near you, offering convenient locations throughout Arizona. We also have an extensive network of offices and agents throughout the United States, and internationally.

Count On Us For Convenience

AZ Sellers Guide | 3

Count on First American Title

Count On Us To Meet Your Needs

Count On Us For Stability

Welcome to the home-selling process. Throughout this process, you can count on First American Title to guide you smoothly through your transaction and provide expert answers to your questions. We are happy to serve you.

First American Title’s professionals are proud to provide the title insurance that assures people’s home ownership. Backed by First American Title Insurance Company, your transaction will be expertly completed in accordance with state-specific underwriting standards and state and federal regulatory requirements.

First American Title is the principal subsidiary of First American Financial Corporation, and one of the largest suppliers of title insurance services in the nation. With roots dating back to 1889, we’ve served families for generations.

First American Financial Corporation offers more than title insurance and escrow services through its subsidiaries. Our subsidiaries also provide property data, title plant records and images, home warranties, property and casualty insurance, and banking, trust and advisory services.

Count On Us For Service

› Can advertise effectively for the best results.

Benefits4 of using a Professional REALTOR ®

- need to hire a real estate attorney? If so, do you know what the cost will be and how much liability they will assume in the transaction?

- have arrangements with an escrow and title company, home warranty company, pest-control service and lender to assist you with the transaction?

Are you...

- know how to advertise effectively and what the costs will be?

› Knows how to price your home realistically, to give you the highest price possible within your time frame.

› Knows how to go toe-to-toe in negotiations.

- aware that prospective buyers and bargain hunters will expect you to lower your cost because there’s no REALTOR® involved?

› Will listen to your needs, respect your opinions and allow you to make your own decisions.

FOR SALE BY OWNER

- concerned about having strangers walking through your home?

Do you...

› Maintains errors-and-omissions insurance.

› Understands market conditions and has access to information not available to the average homeowner.

Many people believe they can save a considerable amount of money by selling their homes themselves. It may seem like a good idea at the time, but while you may be willing to take on the task, are you qualified? The following are some questions to help you realistically assess what’s involved.

- prepared to give up your evenings and weekends to show your home to potential buyers and “just-looking” time wasters?

Before you make the decision to try to sell your home alone, consider the benefits a REALTOR ® can provide that you may not be aware of.

› Is experienced in creating demand for homes and how to show them to advantage.

› Is always “on-call,” answering the phone at all hours, and showing homes evenings and weekends.

- have the knowledge, patience, and sales skills needed to sell your home?

- understand the steps of an escrow and what’s required of you and the buyer?

A REALTOR ® :

- know how to determine whether or not a buyer can qualify for a loan?

› Can remain objective when presenting offers and counter-offers on your behalf.

› Is experienced with resolving problems to facilitate a successful closing on your home.

AZ Sellers Guide |

› Knows how to screen potential buyers and eliminate those who can’t qualify or are looking for bargain-basement prices.

Only you can determine whether you should attempt to sell your home—probably your largest investment—all alone. Talk with a REALTOR® before you decide. You may find working with a professional is a lot less expensive and much more beneficial than you ever imagined!

- know how to determine your home’s current market value?

- aware that every time you leave your home, you are taking it off the market until you return?

- understand the various types of loans buyers may choose and the advantages and disadvantages for the seller?

- familiar enough with real estate regulations to prepare a binding sales contract? Counter-offers?

› Can help protect your rights, particularly important with the increasingly complicated real estate laws and regulations.

- aware of conditions in the marketplace today that affect value and length of time to sell?

AZ Sellers Guide | 5

Key Professionals Involved in Your Transaction

ESCROW OFFICER

A key role of the listing agent or broker is to form a legal relationship with the homeowner to sell the property and place the property in the Multiple Listing Service.

A real estate agent is licensed by the state to represent parties in the transfer of property. Every REALTOR ® is a real estate agent, but not every real estate agent has the professional designation of a REALTOR.®

A REALTOR ® is a licensed real estate agent and a member of the National Association of REALTORS,® a real estate trade association. REALTORS ® also belong to their state and local Association of REALTORS.®

LISTING AGENT

TITLE COMPANY

REAL ESTATE AGENT

MULTIPLE LISTING SERVICE (MLS)

These are the people who carry out the title search and examination, work with you to eliminate the title exceptions you are not willing to take subject to, and provide the policy of title insurance regarding title to the real property.

The MLS is a database of properties listed for sale by REALTORS ® who are members of the local Association of REALTORS.® Information on an MLS property is available to thousands of REALTORS ®

An escrow officer leads the facilitation of your escrow, including escrow instructions preparation, document preparation, funds disbursement, and more.

REALTOR ®

BUYER'S AGENT

A key role of the buyer’s agent or broker is to work with the buyer to locate a suitable property and negotiate a successful home purchase.

Make sure the front steps are clear and hazard-free. Make sure the doorbell works properly and has a pleasant sound.

YOURFORPREPARINGSALEHOME

Make your entry inviting: Paint your front door and buy a new front door mat.

Clean and organize the garage, and ensure the door is in good working order.

Check stucco walls for cracks and discoloration.

Ensure that all exterior lights are working.

Brighten the appearance inside by painting walls, cleaning windows and window coverings, and removing sunscreens.

Repair or replace loud ventilating fans. Replace worn shower curtains.

AZ Sellers Guide | 6

Mow and edge the lawn regularly, and trim the shrubs.

Clean household appliances and make sure they work properly.

Air conditioners/heaters, evaporative coolers, hot water heater should be clean, working and inspected if necessary. Replace filters.

Inspect fences, gates and latches. Repair or replace as needed.

First impressions have a major impact on potential buyers. Try to imagine what potential buyers will see when they approach your house for the first time and walk through each room. Ask your REALTOR ® for advice; they know the marketplace and what helps a home sell. Here are some tips to present your home in a positive manner:

Remove clutter throughout the house. Organize and clean out closets.

Rearrange furniture to make rooms appear larger. If possible, remove and/or store excess furniture, and avoid extension cords in plain view.

Paint or replace the mailbox, if needed.

Remove any oil and rust stains from the driveway and garage.

Shampoo carpeting or replace if worn. Clean tile floors, particularly the caulking.

If screens or windows are damaged, replace or repair them.

Repair or replace worn shutters and other exterior trim.

Repair leaky faucets and caulking in bathtubs and showers.

Repair or replace loose knobs on doors and cabinets. If doors stick or squeak, fix them.

Check the pool and/or spa equipment and pumps. Make sure all are working properly and that the pool and/or spa are kept clean.

Make sure toilet seats look new and are firmly attached.

cans and put them out of sight.

If you must be present while your home is shown, keep noise down. Turn off the TV and radio. Soft, instrumental music is fine, but avoid vocals.

Staging your home for Show

Close the windows to eliminate street noise.

Keep everything clean. A messy or dirty home will cause prospective buyers to notice every flaw.

Get rid of odors such as tobacco, pets, cooking, etc., but don’t overdo air fresheners or potpourri. Fresh baked bread and cinnamon can make a positive impact.

Send pets away or secure them away from the house, and be sure to clean up after them.

To make the best impression, keep your home clean, neat, uncluttered and in good repair. Please review this list prior to each showing:

Keep the garage door closed and the driveway clear. Park autos and campers away from your home during showings

Stash or throw out newspapers, magazines, junk mail.

Clear all clutter from counter tops.

AZ Sellers Guide | 7

Let the light in. Raise shades, open blinds, pull back the curtains and turn on the lights.

If possible you, your pets, and your children should be gone while your home is being Cleanshown.trash

Make beds with attractive spreads.

Hang clean attractive guest towels in the bathrooms.

Check that sink and tub are scrubbed and unstained.

AZ Sellers Guide | 8

Beneficiary

A right, privilege or interest limited to a specific purpose that one party has in the land of another.

The borrower’s costs of the loan term expressed as a rate. This is not their interest rate.

The recipient of benefits, often from a deed of trust; usually the lender.

Endorsement

Deed Restrictions

As to a title insurance policy, a rider or attachment forming a part of the insurance policy expanding or limiting coverage.

Earnest Money Deposit

Close of Escrow

Occurs when the borrower becomes contractually obligated to the creditor on the loan, not, for example, when the borrower becomes contractually obligated to a seller on a real estate transaction. The point in time when a borrower becomes contractually obligated to the creditor on the loan depends on applicable State law. Consummation is not the same as close of escrow or settlement.

Appraisal

Disbursement Date

The date the amounts are to be disbursed to a buyer and seller in a purchase transaction or the date funds are to be paid to the borrower or a third party in a transaction that is not a purchase transaction.

Lien

Sales that have similar characteristics as the subject real property, used for analysis in the appraisal. Commonly called “comps.”

Loan Estimate (LE)

The instrument by which real property is pledged as security for repayment of a loan.

Power of Attorney

Recording

TILA-RESPA Integrated Disclosures

A payment that includes Principal, Interest, Taxes, and Insurance.

TRID

Settlement statement

A description of land recognized by law, based on government surveys, spelling out the exact boundaries of the entire parcel of land. It should so thoroughly identify a parcel of land that it cannot be confused with any other.

PITI

Deed of Trust

Annual Percentage Rate (APR)

Easement

Limitations in the deed to a parcel of real property that dictate certain uses that may or may not be made of the real property.

Closing Disclosure form designed to provide disclosures that will be helpful to borrowers in understanding all of the costs of the transaction. This form will be given to the consumer three (3) business days before closing.

Comparable Sales

Consummation

AZ Sellers Guide | 9

A form of encumbrance that usually makes a specific parcel of real property the security for the payment of a debt or discharge of an obligation. For example, judgments, taxes, mortgages, deeds of trust.

Terms You Should Know

Down payment made by a purchaser of real property as evidence of good faith; a deposit or partial payment.

An estimate of value of property resulting from analysis of facts about the property; an opinion of value.

Hazard Insurance

Closing Disclosure (CD)

Impounds

Mortgage

A written instrument whereby a principal gives authority to an agent. The agent acting under such a grant is sometimes called an “Attorney-in-Fact.”

Generally the date the buyer becomes the legal owner and title insurance becomes effective.

Real estate insurance protecting against fire, some natural causes, vandalism, etc., depending upon the policy. Buyer often adds liability insurance and extended coverage for personal property.

Filing documents affecting real property with the appropriate government agency as a matter of public record.

An instrument used in many states in place of a mortgage.

Provides a complete breakdown of costs involved in a real estate transaction.

Legal Description

A trust type of account established by lenders for the accumulation of borrower’s funds to meet periodic payments of taxes, mortgage insurance premiums and/or future insurance policy premiums, required to protect their security.

Form designed to provide disclosures that will be helpful to borrowers in understanding the key features, costs and risks of the mortgage loan for which they are applying. Initial disclosure to be given to the borrower three (3) business days after application.

Chooses a Real Estate Agent

Accepts Buyer’s offer to openingCompletespurchase.andreturnspackagefromFirstAmericanTitle,includinginformationsuchasforwardingaddress,payofflendercontactinformationandloannumbers.Ordersanyworkforinspectionsand/orrepairstobedoneasrequiredbythepurchaseagreement.Escrowofficerorrealestateagentcontactsthesellertoschedulesigningappointment.Documentsarerecordedandallproceedsfromsalearereceived.

Upon receipt of opening packages, orders demands for payoffs. Contacts buyer or seller when additional information is required for the title preliminarycommitment/report.

Schedules signing appointment and informs buyer of funds due at settlement.

Once loan is consummated, sends funding package to lender for review.

The Life Of An Escrow

THE BUYER

Completes and returns opening package from First American Title.

Makes offer to purchase. Upon acceptance, opens escrow and deposits earnest money.

AZ Sellers Guide | 10

Underwritingapproval.reviews loan package for approval.

Coordinates with Escrow Officer on the preparation of the Closing Disclosure, which is delivered to Buyer at least 3 days prior to loan documents,UponDeliversconsummation.loandocumentstoescrow.reviewofsignedloanauthorizesloanfunding.

All demands, invoices, and fees must be collected and sent to lender at least 10 days prior to loan

THE SELLER

Accepts Buyer’s application and begins the qualification process. Provides Buyer with Loan Estimate.

Collects information such as title commitment / preliminary report, appraisal, credit report, employment and funds verification. Reviews and requests additional information for final loan

Chooses a Real Estate Agent

Reviews all documents, demands, and instructions and prepares settlement statements and any other required documents.

Prepares recording instructions and submits docs for recording.

Gets pre-approval letter from Lender and provides to Real Estate Agent.

Reviews title commitment / preliminary report.

Documents are recorded and funds are disbursed. Issues final settlement statement.

Upon receipt of order and earnest money deposit, orders title examination.

Finalizes loan application with Lender. Receives a Loan Estimate from Lender.

Schedules inspections and evaluates findings. Reviews title BuyerpriorlenderpaperworkProvidespreliminarycommitment/report.allrequestedtoLender(bankstatements,taxreturns,etc.)Allinvoicesandfinalapprovalsshouldbetothenolaterthan10daystoloanconsummation.Lender(orEscrowOfficer)preparesCDanddeliverstoatleast3dayspriortoloanconsummation.Escrowofficerorrealestateagentcontactsthebuyertoschedulesigningappointment.Buyerconsummatesloan,executessettlementdocuments,&depositsfundsviawiretransfer.Documentsarerecordedandthekeysaredelivered!

Requests necessary information from buyers and sellers via opening packages.

THE ESCROW OFFICER

Orders and reviews title commitment / preliminary report, property appraisal, credit report, employment and funds verification.

THE LENDER

Coordinatesconsummation.withlender on the preparation of the CD.

AZ Sellers Guide | 11 CASH FHA VA CONV 1. Downpayment BUYER BUYER BUYER BUYER 2. Termite (Wood Infestation) Inspection (negotiable except on VA) SELLER 3. Property Inspection (if requested by buyer) BUYER BUYER BUYER BUYER 4. Property Repairs, if any (negotiable) SELLER SELLER SELLER SELLER 5. New Loan Origination Fee (negotiable) BUYER BUYER BUYER 6. Discount Points (negotiable) BUYER BUYER BUYER 7. Credit Report BUYER BUYER BUYER 8. Appraisal or Extension Fee (negotiable) BUYER BUYER BUYER 9. Existing Loan Payoff SELLER SELLER SELLER SELLER 10. Existing Loan Payoff Demand SELLER SELLER SELLER SELLER 11. Loan Prepayment Penalty (if any) SELLER SELLER SELLER SELLER 12. Next Month’s PITI Payment BUYER BUYER BUYER 13. Prepaid Interest (approx. 30 days) BUYER BUYER BUYER 14. Reserve Account Balance (Credit seller / Charge buyer) PRORATE PRORATE PRORATE 15. FHA MIP, VA Funding Fee, PMI Premium BUYER BUYER BUYER 16. Assessments payoff or proration (sewer, paving, etc.) SELLER 17. Taxes PRORATE PRORATE PRORATE PRORATE 18. Tax Impounds BUYER BUYER BUYER 19. Tax Service Contract SELLER SELLER BUYER 20. Fire/Hazard Insurance BUYER BUYER BUYER BUYER 21 Flood Insurance BUYER BUYER BUYER 22. Homeowners Association (HOA) Transfer Fee BUYER or SELLER BUYER or SELLER BUYER or SELLER BUYER or SELLER 23. HOA/Disclosure Fee SELLER SELLER SELLER SELLER 24 Current HOA Payment PRORATE PRORATE PRORATE PRORATE 25. Next Month’s HOA Payment BUYER BUYER BUYER BUYER 26. Home Warranty Premium (negotiable) BUYER or SELLER BUYER or SELLER BUYER or SELLER BUYER or SELLER 27. REALTORS®’ Commissions SELLER SELLER SELLER SELLER 28. EAGLE Homeowners Title Policy SELLER SELLER SELLER SELLER 29. Lenders Title Policy and Endorsements BUYER BUYER BUYER 30. Escrow Fee (NOTE: Charge seller on VA Loan) SPLIT SPLIT SELLER SPLIT 31. Recording Fees (Flat rate) SPLIT SPLIT SPLIT SPLIT 32. Reconveyance/Satisfaction Fee SELLER SELLER SELLER SPLIT 33. Courier/Express Mail Fees SPLIT SPLIT SELLER SPLIT THIS CHART INDICATES WHO CUSTOMARILY PAYS WHAT COSTS Note: Prorated items will appear on Closing Statement as charges for one and credits for the other. Closing Costs: Who Pays What

WHAT IS AN ESCROW?

Once a purchase agreement is signed by all necessary parties, the agent representing the party who will pay the fee selects an escrow holder and the buyer's earnest money deposit and contract are submitted to the escrow holder. From this point, the escrow holder will follow the mutual written instructions of the buyer and seller, maintaining a neutral stance to ensure that neither party has an unfair advantage over the other. The escrow holder also follows the instructions of the Buyer's new lender, the seller's existing lender, and both parties' agents. The escrow holder ensures the transparency of the transaction, while carefully maintaining the privacy of the consumers.

HOW IS AN ESCROW OPENED?

The Escrow Process

The escrow is the process of having a neutral party manage the exchange of money for real property. The escrow holder is known as an escrow or settlement officer or agent. The buyer deposits funds and the seller deposits a deed with the escrow holder along with all of the other documents required to remove all "contingencies" (conditions and approvals) in the purchase agreement prior to closing.

AZ Sellers Guide | 12

Prepare and send final documents to all parties

Review documents and ensure all conditions are fulfilled and certain legal requirements are met

Coordinate with the buyer’s lender on the preparation of the Closing Disclosure (CD)

Conduct a title search to determine the ownership and title status of the real Reviewpropertythetitle

Your Escrow Professional May:

commitment and begin the process of working with you and the title officer to eliminate the title exceptions the buyer and the buyer’s new lender are not willing to take subject to. This includes ordering a payoff demand from your existing lender.

After recording is confirmed, close escrow and disburse funds, including proceeds, loan payoffs, tax payments, and more

When all funds are deposited and conditions met, record documents with the County Recorder to transfer the real property to the buyer

AZ Sellers Guide | 13

Open escrow and deposit good faith funds into an escrow account

Request funds from buyer and buyer’s new lender

Set separate appointments allowing the buyer and seller to sign documents and deposit funds

Prorate fees, such as real property taxes, per the contract and prepare the settlement statement

WHEN IS THE PREMIUM DUE?

Prior to the development of the title industry in the late 1800s, a home-buyer received a grantor’s warranty, attorney’s title opinion, or abstractor’s certificate as assurance of home ownership. The buyer relied on the financial integrity of the grantor, attorney, or abstractor for protection. Today, home-buyers look primarily to title insurance to provide this protection. Title insurance companies are regulated by state statute. They are required to post financial guarantees to ensure that any claims will be paid in a timely fashion. They also must maintain their own “title plants” which house duplicates of recorded deeds, mortgages, plats, and other pertinent county property Understandingrecords.

Title insurance insures buyers against the risk that they did not acquire marketable title from the seller. It is primarily designed to reduce risk or loss caused by defects in title from the past. A loan policy of title insurance protects the interest of the mortgage lender, while an owner’s policy protects the equity of you, the buyer, for as long as you or your heirs (in certain policies) own the real property.

You pay for your owner’s title insurance policy only once, at the close of escrow. Who pays for the owner’s policy and loan policy varies depending on local customs.

The Title Industry & Title Insurance in Brief

WHY IS TITLE INSURANCE NEEDED?

Title insurance provides coverage for certain losses due to defects in the title that, for the most part, occurred prior to your ownership. Title insurance protects against defects such as prior fraud or forgery that might go undetected until after closing and possibly jeopardize your ownership and investment.

AZ Sellers Guide | 14

WHAT IS TITLE INSURANCE?

Title Insurance

c) a charge by a homeowner’s association

AZ Sellers Guide | 15

11 Unrecorded lien by a homeowners association

c) violates an existing zoning law*

13 Building permit violations*

18 Lack of vehicular and pedestrian access

7 Title is unmarketable

20 Post-policy adverse possession

23 Violation of building setback regulations

24 Discriminatory covenants

31 Insurance coverage for a lifetime

15 Post-policy forgery

12 Unrecorded easements

29

33 Post-policy Living Trust coverage

8 Mechanics lien

Compare First American’s Eagle Policy® for Owners EAGLE StandardALTAorCLTA

5 There are restrictive covenants

a) extends on another property and/or easement

b) violates a restriction in Schedule B

19 Map not consistent with legal description

16 Post-policy encroachment

25 Pays rent for substitute land or facilities

As with any insurance contract, the insuring provisions express the coverage afforded by the title insurance policy and there are exceptions, exclusions and conditions to coverage that limit or narrow the coverage afforded by the policy. Also, some cov erage may not be available in a particular area or transaction due to legal, regulatory, or underwriting considerations. Please contact a First American representative for further information. The services described above are typical basic services. The services provided to you may be different due to the specifics of your transaction or the location of the real property involved.

14 Restrictive covenant violations

10 Cannot use the land for a Single-Family Residence because the use violates a restriction in Schedule B or a zoning ordinance

6 There is a lien on your title because there is:

3 Forgery, fraud, duress in the chain of title

b) a judgement, tax, or special assessment

26 Rights under unrecorded leases Plain language statements of policy coverage and restrictions

9 Forced removal of a structure because it:

1 Someone else owns an interest in your title

27

32 Post-policy inflation coverage with automatic increase in value up to 150% over five years

Protection from:

* Deductible and maximum limits apply. Not available to investors on 1- to 4-unit residential properties. Coverage may vary based on an individual policy.

28 Compliance with Subdivision Map Act Coverage for boundary wall or fence encroachment*

4 Defective recording of any document

2 A document is not properly signed

a) a deed of trust

EAGLE

22 Covenant violation resulting in your title reverting to a previous owner

Other benefits:

17 Post-policy damage from extraction of minerals or water

21 Post-policy prescriptive easement

30 Added ownership coverage leads to enhanced marketability

StandardALTAorCLTA

Compare First American’s Eagle Policy® for Owners

One escrow transaction could involve more than 20 individuals, including real estate agents, buyers, sellers, attorneys, escrow officer, escrow technician, title officer, loan officer, loan processor, loan underwriter, home inspector, termite inspector, insurance agent, home warranty representative, contractor, roofer, plumber, pool service, and so on. And often, one transaction depends on another.

Consider This

AZ Sellers Guide | 16

When you consider the number of people involved, you can imagine the opportunities for delays and mishaps. Your experienced escrow team can’t prevent unforeseen problems from arising; however, they can help smooth out the process.

THE CLOSING OR SIGNING APPOINTMENT

THE CLOSING DISCLOSURE

*For purposes of the Closing Disclosure“business day” is defined as every day except Sundays and Federal legal holidays.

You will have a chance to review the settlement statement and supporting documentation. This is your opportunity to ask questions and clarify terms. You should review the settlement statement carefully and report discrepancies to the escrow officer. This includes any payments that may have been missed. You are responsible for all charges incurred even if overlooked by the escrow holder, so it's better to bring these to their attention before closing.

DON'T FORGET YOUR IDENTIFICATION

Once the loan is approved and all invoices and paperwork have been provided, the lender and escrow officer will collaborate on the preparation of the Closing Disclosure (CD). In order to close on time, all paperwork and invoices should be submitted at least 10 days prior to the expected close of escrow date. The borrower must receive the CD at least three days* prior to consummation of the loan (typically the signing date). The escrow officer will also prepare an estimated settlement statement and inform the buyer of the balance of the down payment and closing costs needed to close escrow.

WHAT HAPPENS NEXT?

You will need valid identification with your photo I.D. on it when you sign documents that need to be notarized (such as a deed). A driver's license is preferred. You will also be asked to provide your social security number for tax reporting purposes, and a forwarding address.

AZ Sellers Guide | 17

Closing Your Escrow

If the buyer is obtaining a new loan, the buyer’s signed loan documents will be returned to the lender for review. The escrow holder will ensure that all contract conditions have been met and will ask the lender to "fund the loan."

The escrow holder will contact you or your agent to schedule a closing or signing appointment. In some states, this is the "close of escrow." In some others, the close of escrow is either the day the documents record or that funds are disbursed. Ask your escrow holder if you would like clarification about your state's laws.

If the loan documents are satisfactory, the lender will send funds directly to the escrow holder. When the loan funds are received, the escrow holder will verify that all necessary funds are in. Escrow funds will be disbursed to the seller and other appropriate payees. Then, the REALTOR® will present the keys to the property to the buyer.

The escrow holder is obligated by law to have the designated amount of money before releasing any funds. If you have questions or foresee a problem, let your escrow holder know immediately.

Contact insurance companies. (Life, Health, Fire, Auto) You’ll need to contact your insurance agent to cancel/transfer your insurance policy. Do not cancel your insurance policy until you have and closed escrow on the sale.

Protect jewelry and valuables. Transfer jewelry and valuables to safety deposit box so they can not be lost or stolen during your move.

AZ Sellers Guide | 18

Research moving options You’ll need to decide if yours is a do-it-yourself move or if you’ll be using a moving company.

Start packing. Begin packing for your new location.

. Once the house is empty, check the entire house (closets, the attic, basement, etc) to ensure no items are left or no home issues exist.

Service automobiles If automobiles will be driven long distances, you’ll want to have them serviced for a trouble-free drive.

SIX WEEKS BEFORE:

Scan your furniture. Check furniture for scratches and dents before so you can compare notes with your mover on moving day.

Request moving quotes Solicit moving quotes from as many moving companies and movers as possible. There can be a large difference between rates and services within moving companies.

Packing materials. Gather moving boxes and packing materials for your move.

Seek employer benefits. If your move is work-related, your employer may provide funding for moving expenses. Your human resources rep should have information on this policy.

Changing Schools. If changing schools, contact new school for registration process.

Change of address. Visit USPS for change of address form.

Sign the bill of lading. Once your satisfied with the mover’s packing your items into the truck, sign the bill of lading. If possible, accompany your mover while the moving truck is being weighed.

Obtain your medical records. Contact your doctors, physicians, dentists and other medical specialists who may currently be retaining any of your family’s medical records. obtain these records or make plans for them to be delivered to your new medical facilities.

Contact utility companies Set utility turnoff date, seek refunds and deposits and notify them of your new address.

Bank accounts Notify bank of address change. Make sure to have a money order for paying the moving company if you are transferring or closing accounts.

Travel items. Set aside items you’ll need while traveling and those needed until your new home is established. Make sure these are not packed in the moving truck!

Note food inventory levels Check your cupboards, refrigerator and freezer to use up as much of your perishable food as possible.

Double check with your mover. Make sure your mover has the new address and your contact information should they have any questions during your move.

ONE WEEK BEFORE:

Service small engines for your move by extracting gas and oil from the machines. This will reduce the chance to catch fire during your move.

Prepare Floor Plan. Prepare floor plan for your new home. This will help avoid confusion for you and your movers.

Create an inventory sheet of items to move.

Planning your move

ReviewDAY:thehouse

Plan your itinerary. Make plans to spend the entire day at the house or at least until the movers are on their way. Someone will need to be around to make decisions. Make plans for kids and pets to be at the sitters for the day.

Borrowed and rented items. Return items which you may have borrowed or rented. Collect items borrowed to others.

Cancel services. Notify any remaining service providers (newspapers, lawn services, etc) of your move.

Discard unnecessary items Moving is a great time for ridding yourself of unnecessary items. Have a yard sale or donate unnecessary items to charity.

Vacate your home. Make sure utilities are off, doors and windows are locked and notify your real estate agent you’ve left the property.

MOVING

FOUR WEEKS BEFORE:

AZ Sellers Guide | 19

Your Notes:

AZ Sellers Guide | 20

Your Notes:

AZ Sellers Guide | 21

Your Notes:

15 MESA 1630480.401.3738S.Stapley Dr., #123 Mesa, AZ 85204

SE corner of Recker & Brown

NW corner of Williams Field Rd./ Val Vista Rd.

10 SCOTTSDALE FORUM 6263480.551.0480N.Scottsdale Rd., #110 Scottsdale, AZ 85250

AZ Sellers Guide | 22

1 SUN CITY WES T

8 CAREFREE 7202480.575.6609E.Carefree Dr , Bldg 1, #1 Carefree, AZ 85377

E Side Scottsdale/S of Lincoln

3 ARROWHEAD

2 GOODYEAR

Sun City West, AZ 85375

E side 67th Ave/N of 101

5 ANTHEM 39508623.551.3265N.Daisy Mountain Dr., #128 Anthem, AZ 85086

1626623.936.8001N.Litchfield Rd. Ste. #170 Goodyear, AZ 85395

NE Corner of Camelback/32nd Street

NW corner of Tatum/Loop 101

12 AHWATUKEE 4435480.753.4424E.Chandler Blvd , #100 Phoenix, AZ 85048

17 GOLD CANYON 6877480.288.0883SouthKings Ranch Rd., #5 Gold Canyon, AZ 85118 E of South60/Side Kings Ranch Rd.

13 CHANDLER PORTICO 2121480.777.0051W.Chandler Blvd., #215 Chandler, AZ 85224

13940623.299.3644W.Meeker Blvd., #119

SW Corner Chandler Blvd./ Dobson Rd.

11 DC CROSSING 18291480.563.9034N.Pima Rd , #145 Scottsdale, AZ 85255

14 GILBERT SAN TAN 1528480.777.0614E.Williams Field Rd., #101 Gilbert, AZ 85295

16 RED MOUNTAIN 1135480.534.3599N.Recker Rd , #103 Mesa, AZ 85205

1 4 3 2 6 12 10 5 8 7 11 9 CRISMON BUTTESIGNAL GOLDFIELD OLDWESTHWY SKINGSRANCH 14 17 15 13 16 ArizonaCentral First American Title Branch Locator

6 BILTMORE 3200602.954.3644ECamelback Rd., #123 Phoenix, AZ 85018

W of R.H. Johnson

NE corner of Tom Darlington/ Carefree Dr.

NW corner of McDowell & Litchfield

NE corner Daisy Mtn Dr/ Gavilan Peak Pkwy

SE corner of Pima/Legacy

N of Meeker Blvd

S of Bell/E side of 83rd Ave

SW corner Chandler/45th St.

N of Baseline / W of Stapley

16165623.487.0404N.83rd Ave , #100 Peoria, AZ 85382

4 THE LEGENDS

7 DESERT RIDGE 480.515 4369 20860 N. Tatum Blvd , #100 Phoenix, AZ 85050

9 KIERLAND COMMONS 14648480.948.6488NScottsdale Rd., Ste. #100 Scottsdale, AZ 85254

20241623.537.1608N.67th Ave , #A-2 Glendale, AZ 85308

W of Scottsdale Road, S side of Greenway

W Fort Lowe Rd dSPNumptationR E Nona Rd Ch efButteRd LovettaRd E Hanna Rd

dRhRiGWarcaanc

EDesertDove

10 ORO CANADAVALLEY/LA 520.877.9200 | Fax 520.202.6348 11165 N. La Canada Dr., Ste. 143 Oro Valley, AZ 85737

dRhRiGWarcaanc

BNearCanyonRd

3777 E. Broadway Blvd., Ste. 102 Tucson, AZ 85716

SFREEMANRDE 22ND ST E 22ND ST W IRVINGTON RD SNOGALESHWY W VALENCIA RDSMISSIONRDWSPEEDWAY BLVD SOLDSPANISHTRL W NARANJA DR W TWIN PEAKS RD W PICTURE ROCKS RD W MANVILLE RD SKINNEYRD W MILE WIDE RD E SAHUARITA RD NTRICORD OSSANDARIRD SOLDNOGALESHWY GUOSHHTONRD ADCSLAANADRW HELMET PEAK RD WAJOHWY RNASNWD RDKOLBS SHOUGHTONRD W TANGERINE RD E GRANT RD SHOUGHTONRD 95 WAJOHWY E VALENCIA RD NORACLERD I-10 I-19 77 77 86 86 286 19 10 10 Corona de Tucson AdobesCasas Catalina Green Valley Picture Rocks Three Points VailSummit TanqueVerde SahuaritaTucson Red Rock Saddlebrooke Marana Oro Valley Rillito SummerhavenWillow Canyon Oracle Junction Cortaro Continental Littletown 2 3 5 6 7910 11 12 13 15 14 8 1 SouthernArizona First American Title Branch Locator AIRPORTINT'LTUCSON Air Force FreemanRd WSilverbellRd NMtLemmon Hwy ESascoRd NF38 W Avra Val ey Rd WSCurryRdHanna Rd E Grand Va ey D W Houser Rd W Ph ps Rd E Co nman Rd NAguirreRd dRkLNucet dRWNenzNWatermanMountainRd RdAnwayN W El Tiro Rd NTricoRd W Tucke Rd W Rudas Rd W Manv e Rd SSanJoaquinRdWBopp Rd W Snyde H RddRSMarstear W Pa k Rd W He mans RdW Hermans Rd W Guy St W Bush Rd dRearvy eaCNRinco SWmoRd ShawRd SSierrita W Woodru Rd ONverfedRd W Rando ph Rd W BartlettNRdLaPamaRdNTweedyRd E Randolph Rd W Kleck Rd E K eck Rd W Se ma Hwy STrekellRd SHennessRd E Selma Hwy W Co nman Rd W Pretzer Rd SLambRd SLaPalmaRd E M gan Rd E M gan Rd W A es Dr E Curtis Rd ESstancaDr

11 ORO VALLEY/ORACLE 520.229.9194 | 520.297.2576 Fax 520.229.9210 | 520.742.5866 8500 N. Oracle Rd., Ste 100 Oro Valley, AZ 85704

W

5 CASAS ADOBES

3 CAMBRIC 520.577.8707 | Fax 520.529.5034

1840 E. River Rd., Ste. 200 Tucson, AZ 85718

6390 E. Tanque Verde Rd. Tucson, AZ 85715

8 FOOTHILLS 520.299.4606 | Fax 520.577.6993 4051 E Sunrise Dr., Ste. 155 Tucson, AZ 85718

WAnamax Mine Rd Road424

W

S

W MOORE RD INA RD

E

AIRPORTINT'LTUCSON Ranch

6 CENTRAL 520.319.9207 | Fax 520.319.1468

Baya d Rd dRSSandaro N Dove Mountain Blvd

W

NFrontageRd Mountain Blvd

W Emigh Rd W Fort Lowe Rd dSPNumptationR Cont nental Ave NTricoRd SCattle SOwlHeadRanchRdGasLineRd NTrcoRd W Bayard Rd dRSSandario N Dove

NKINNEYRD NANWAYRD

520.885.1600 | Fax 520.885.2309

W Emigh Rd W Fort Lowel Rd dSPNumpationR NTricoRd SOwGas NTrcoRd

E SPEEDWAY BLVD

NBarkervilleRd

SHelvetiaRd

M ne Rd

ellRdS Mcgee RanchRd

Rd ESstanciaDr E Hemlock Dr BNearCanyonRd

1 MAIN OFFICE

Road424 ed Top Rd W Ruby S ar D

520.575.1900 | Fax 520.432.0168 6760 N. Oracle Rd., Ste. 100B Tucson, AZ 85704

WBritten RanchRd RanchRd

E Edw n Rd 80

NKINNEYRD

E

SNOGALESHWY

W TW N PEAKS RD P CTURE ROCKS

9 GREEN VALLEY 520.625.1095 | Fax 520.958.9663 190 W. Continental Rd., Ste. 226 Green Valley, AZ 85622

12 RITA ROAD 520.618.7790 | Fax 520.901.1720 10222 East Rita Rd., Ste. 190 Tucson, AZ 85747

W VALENC A RD

W IRV NGTON RD

E 80

Rd W

NFrontageRd

W

SNANDARORDNANWAYRD

WAnamax

SMISSIONRDWSPEEDWAY

SOLDSPANISHTRL

RD W MANVILLE RD SKINNEYRD W MILE WIDE RD E SAHUARITA RD NTRICORD OSSANDARRD SOLDNOGALESHWY GUOSHHTONRD ADCSLAANADRW HELMET PEAK RD WAJOHWY RNASNWD RDKOLBS SHOUGHTONRD W TANGERINE RD E GRANT RD SHOUGHTONRD 95 WAJOHWY E VALENCIA RD NORACLERD I-10 I-19 77 77 86 86 286 19 10 10 Corona de Tucson AdobesCasas Catalina Green Valley Picture Rocks Three Points VailSummit TanqueVerde SahuaritaTucson Saddlebrooke Marana Oro Valley Rillito SummerhavenWillow Canyon Cortaro Continental Littletown 2 3 5 6 7910 11 12 13 15 14 8 1 AZ Sellers Guide | 23

Edw n Rd SGu

W

Air Force WSilverbellRd SSantaRitaRd NMtLemmon Hwy ESascoRd NF-38 W Avra Valley Rd E G and Va ey DrNAguirreRd dRkLNucett dRWNentzNWatermanMountainRd RdAnwayN W El Tiro Rd NTricoRd W Tucke Rd W Rudasi Rd W Manv l e Rd SSanJoaquinRdWBopp Rd W Snyder H RddRllSMarstear W Park Rd W Hermans RdW He mans Rd W Guy St W Bush Rd SGarveyRd eaCNRinconado SWmotRd SShawRd SSierritaMountainRd SKolbRdW Tw nButtes Rd W Mcgee

14 SKYLINE 520.529.0506 | Fax 520.529.8998 2890 E. Skyline Dr., Ste. 200 Tucson, AZ 85718

SHelvetiaRd

TecoloteRanchRd RomeroRd

NSILVERBELLRD

Con nenta Ave BIA 30 NTricoRd SSunandGinRd SCattleTankRd E E s Rd E Hotts Rd E Nutt Rd Evalyn Rd SOwlHeadRanchRdGasLineRd PSecanRd I on Va ey RdEDeepWellRanchRd SNghtSkySt SBradyPumpRdE Houser Rd E Ar ca Rd W Ea ey Rd NTrcoRd W Baya d Rd dRSSandaro WillowSpringsRd EHelmwheel Ranch Rd N Dove Mounta n Blvd BIA-35 dRhRiGWarcaanc E Dese H s Rd WRagged Top Rd W Pima Mine Rd WSilverbellRdS E Edw n Rd BIA34 SGuildRd 80 NKINNEYRD SPICACHOHWYE GREENE RESERVOIR RD SSUNLANDGINRD W BATTAGLIA DR AZ-84 E BAUMGARTNER RD SSUNSHINEBLVD SNANDARORDNANWAYRD E HARMON RD W VALENCIA RD E RODEO RD W MOORE RD W INA RD ESN1TAV E SUNRISE DR E SNYDER RDNSILVERBELLRD TRSNOLDIERLE RIVER RDE PRINCE RD E SPEEDWAY BLVD SFREEMANRDE 22ND ST E 22ND ST W IRV NGTON RD SNOGALESHWY W VALENC A RDSMISSIONRDWSPEEDWAY BLVD SOLDSPANISHTRL W NARANJA DR W TW N PEAKS RD W P CTURE ROCKS RD W MANVILLE RD SKINNEYRD W MILE WIDE RD W HARMON RD W MCCARTNEY RD NTRICORD OSSANDARIRD PARK LINK DR GUOSHHTONRD E MART N RD STHORNTONRD SCHUICHURD WAJOHWY RNASNWD RDKOLBS SHOUGHTONRD W TANGER NE RD E GRANT RD SHOUGHTONRD NPNALAVE 95 WAJOHWY E VALENCIA RD NORACLERD I10 I-19 I-8 77 77 79 77 77 87 86 86 387 287 86 10 19 8 10 10 10 La Palma Chuichu Arizona City AdobesCasas Catalina OracleDudleyvilleGrandeCasa Picture Rocks Three Points VailSummit TanqueVerde Eloy Tucson Cactus Forest Picacho Red Rock Saddlebrooke Marana Oro Valley HaivanaNakya Rillito SummerhavenWillow Canyon Randolph Toltec Oracle Junction Cortaro Schuchk Littletown 2 4 3 5 6 7 10 11 12 13 15 14 8 1 AIRPORTINT'LTUCSON Air Force WSilverbellRd SSantaRitaRd NMtLemmon Hwy ESas W Avra Valley Rd E G and Va ey DNAguirreRd dRkLNucet dRWNentzNWatermanMountanRd RdAnwayN W El Tiro Rd NTricoRd W Tucke Rd W Rudas Rd W Manv e Rd SSanJoaquinRdWBopp Rd W Snyder H RddRSMarstear W Park Rd W Hermans RdW He mans Rd W Guy St W Bush Rd SGaveyRd eaCNRinconado SWlmotRd SShawRd SSierritaMountainRd SKobRdW TwinButtes Rd W Mcgee Ranch Rd ESs BNearCanyonRdW E Cam no De Cerro E Fairmount St SSwanRd

W NARANJA DR

W

4 CASA GRANDE 520.426.4600 | Fax 520.426.4699

7 DOWNTOWN 520.740.0424 | Fax 520.740.0436

3777 E. Broadway Blvd., Ste. 220 Tucson, AZ 85716

W Pima Mine Rd S Mcgee

E Cam no De Cerro E Fairmount St SSwanRd

TRSNOLDIERLE RIVER RDE PRINCE RD

15 TANQUE VERDE 520.202.2626 | Fax 520.495.6151 7479 E. Tanque Verde Tucson, AZ 85715

TRSNOLDERL

W E Cam no De Cerro E Fairmount St SSwanRd NFrontageRd W Emigh Rd

SFREEMANRD

E SPEEDWAY BLVD E 22ND ST E 22ND ST

1 S. Church Ave., Ste. 1610 Tucson, AZ 85701

HearthRd E Hemlock Dr

ESN1TAV SUNRISE DR E SNYDER RD

GoffRanchRd

WRagged Top Ruby S a Dr WBritten RanchRd Pima Mine Rd

FlorenceRd

W MOORE RD INA RD ESN1TAV SUNR SE DR E SNYDER RD

W VALENCIA RD BLVD

2 BROADWAY 520.747.1644 | Fax 520.747.1403

W VALENCIA RD

421 E. Cottonwood Ln Casa Grande, AZ 85122

13 RIVER 520.529.1944 | Fax 520.615.2945 1650 E. River Rd., Ste. 105 Tucson, AZ 85718

SNANDARIORD

NSILVERBELLRD E RIVER RDE PRINCE RD

For more information please contact your First American representative. www.firstam.com

05110281121

©2021 First American Financial Corporation and/or its affiliates. All rights reserved. NYSE: FAF

First American Title Insurance Company, and the operating divisions thereof, make no express or implied warranty respecting the information presented and assume no responsibility for errors or omissions. First American, the eagle logo, First American Title, and firstam.com are registered trademarks or trademarks of First American Financial Corporation and/or its affiliates.

Turn static files into dynamic content formats.

Create a flipbook
Issuu converts static files into: digital portfolios, online yearbooks, online catalogs, digital photo albums and more. Sign up and create your flipbook.