Digital CCRS 36978 S Ridgeview Blvd

Page 1

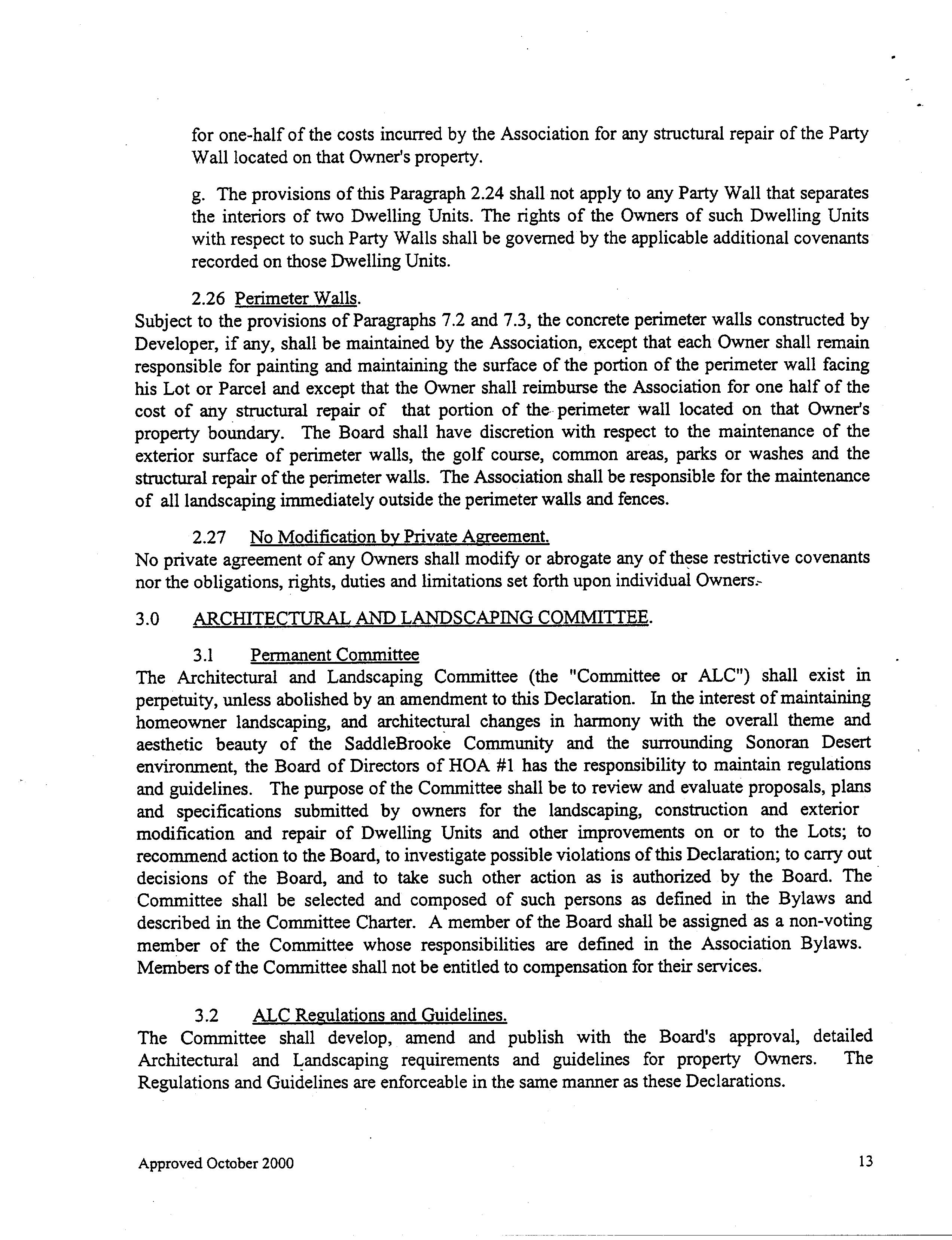
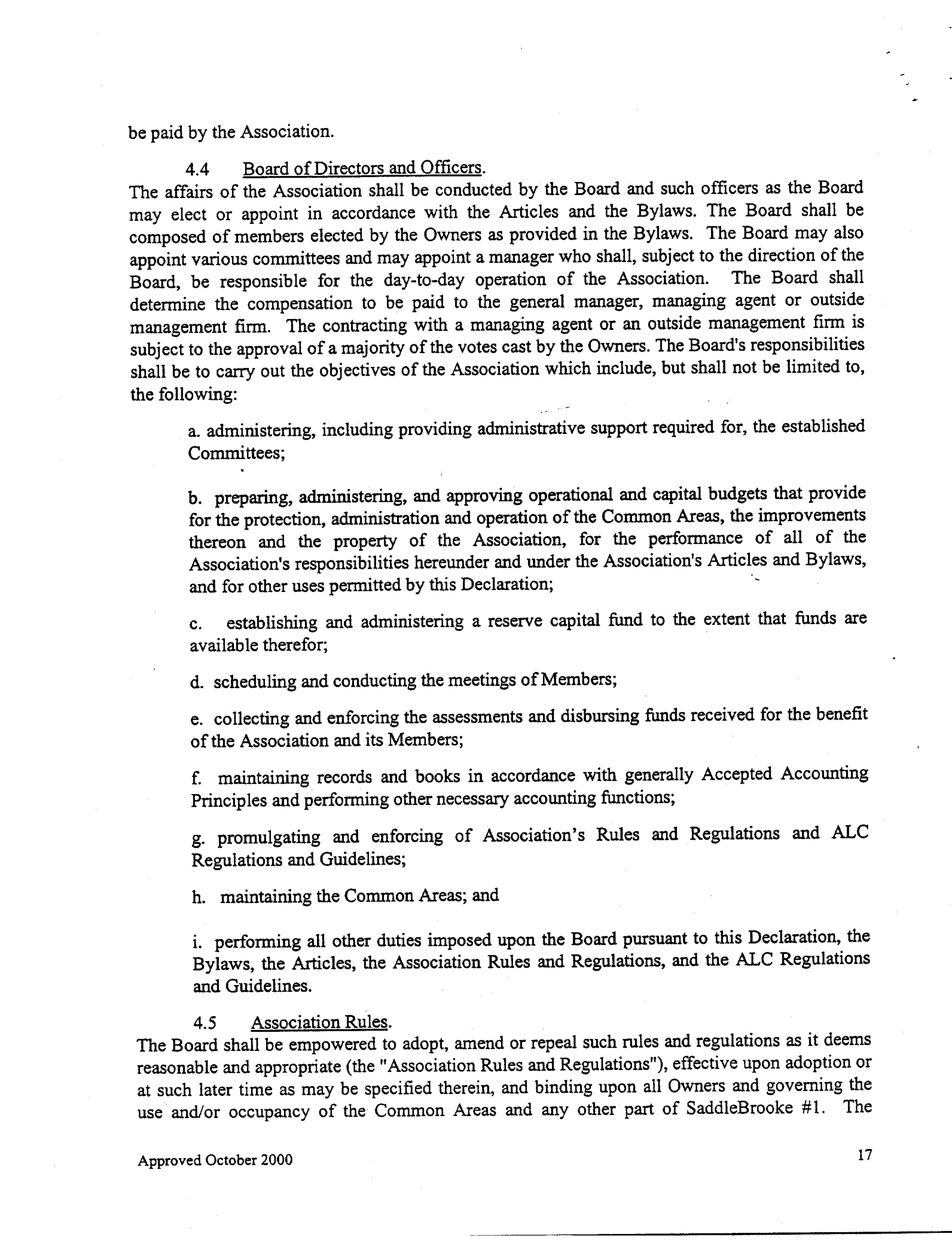
CONDITIONS

©2021 First American Financial Corporation and/or its affiliates. All rights reserved. | NYSE: FAF 05252610821
First American Title Insurance Company, and the operating divisions thereof, make no express or implied warranty respecting the information presented and assume no responsibility for errors or omissions. First American, the eagle logo, First American Title, and firstam.com are registered trademarks or trademarks of First American Financial Corporation and/or its affiliates.
COVENANTS,
& RESTRICTIONS prepared for :

Title Security Agency is officially becoming First American Title. Despite the name change, you can expect the same excellent service and familiar faces at your closings.

Our partnership with First American Title brings you the best of both worlds: LOCAL EXPERTISE AND FORTUNE 500 RESOURCES.

Same great team

Same local knowledge

Same convenient locations

Same great service

Fortune® 500 company

Multicultural materials

Economic team, market data, and trends

Leading technology in a changing market

Our industry is navigating a challenging market. Our alignment with a seasoned industry leader, with over 130 years of experience, provides valuable resources and expert guidance as we adapt.

Thank you for your continued trust in us!

We truly appreciate your business and look forward to seeing you at the closing table soon.

THE BEST OF BOTH WORLDS

24-DID-0071-F1_CP-AZL_01
FIRST AMERICAN - SOUTHERN ARIZONA ADMIN OFFICE 520.885.1600 tsa-administration@firstam.com First American Title Insurance Company, and the operating divisions thereof, make no express or implied warranty respecting the information presented and assume no responsibility for errors or omissions. First American, the eagle logo, First American Title, and firstam.com are registered trademarks or trademarks of First American Financial Corporation and/or its affiliates. ©2024 First American Financial Corporation and/or its affiliates. All rights reserved. NYSE: FAF
EXCITING NEWS!

WIRE FRAUD ALERT THINK DIFFERENTLY

Email-based, real estate fraud schemes are on the rise. One common scenario is altering wiring instructions with the intention of rerouting funds.

Keeping this in mind, First American Title is changing the way we receive payment information. It is imperative that we are familiar with the people in our transactions.

RELYING ON EMAIL ALONE IS NO LONGER AN OPTION.

DO NOT TRUST EMAILED INSTRUCTIONS

Fraudsters often use email to send falsified wire instructions to unsuspecting victims. Please warn your buyers and sellers to only follow wire instructions they receive personally from First American Title.

Additionally, we will not accept disbursement instructions for seller or buyer funds via email OR from any third party (attorney, real estate agent, etc).

ALTERNATIVE INSTRUCTIONS?

If your buyer or seller receives alternative wiring instructions that appear to be from First American Title, make sure they contact their escrow officer at a trusted phone number for confirmation.

Know that our wiring instructions do not change so any communication is suspect. Our banking institution is First American Trust.

IN SHORT – wire instructions will not be accepted by email. New wire instructions must be hand-carried or uploaded to the First American Secure Portal.

Thank you for joining First American Title in fostering a secure real estate transaction process. Have questions or concerns? Please contact our office or your escrow officer.

For more information please contact your First American representative.

www.firstam.com

01100180621
YOU SHOULD BE AWARE OF PRECAUTIONS IN THE REAL ESTATE CLOSING PROCESS
First American Title Insurance Company, and the operating divisions thereof, make no express or implied warranty respecting the information presented and assume no responsibility for errors or omissions. First American, the eagle logo, First American Title, and firstam.com are registered trademarks or trademarks of First American Financial Corporation and/or its affiliates. ©2023 First American Financial Corporation and/or its affiliates. All rights reserved. NYSE: FAF

LIMITATION OF LIABILITY FOR INFORMATIONAL REPORTS

IMPORTANT -- PLEASE READ CAREFULLY:

This report is not an insured product or service or a representation of the condition of title to real property. It is not an abstract, legal opinion, opinion of title, title insurance commitment or preliminary report, or any form of Title Insurance or Guaranty. This report is issued exclusively for the benefit of the Applicant therefor and may not be used or relied upon by any other person. This report may not be reproduced in any manner without First Americans prior written consent. First American does not represent or warrant that the information herein is complete or free from error, and the information herein is provided without any warranties of any kind, as-is, and with all faults. As a material part of the consideration given in exchange for the issuance of this report, recipient agrees that First Americans sole liability for any loss or damage caused by an error or omission due to inaccurate information or negligence in preparing this report shall be limited to the fee charged for the report. Recipient accepts this report with this limitation and agrees that First American would not have issued this report but for the limitation of liability described above. First American makes no representation or warranty as to the legality or propriety of recipient's use of the information herein.

PINAL (PL), AZ Document:PLAT_MAP B.78 Page:1 of 4 Printed on:4/16/2024 1:36 PM Branch :FC0 User :JSTI
PINAL (PL), AZ Document:PLAT_MAP B.78 Page:2 of 4 Printed on:4/16/2024 1:36 PM Branch :FC0 User :JSTI
PINAL (PL), AZ Document:PLAT_MAP B.78 Page:3 of 4 Printed on:4/16/2024 1:36 PM Branch :FC0 User :JSTI
PINAL (PL), AZ Document:PLAT_MAP B.78 Page:4 of 4 Printed on:4/16/2024 1:36 PM Branch :FC0 User :JSTI
PINAL (PL), AZ Document:RES 1942.699 Page:1 of 4 Printed on:4/16/2024 1:36 PM Branch :FC0 User :JSTI
PINAL (PL), AZ Document:RES 1942.699 Page:2 of 4 Printed on:4/16/2024 1:36 PM Branch :FC0 User :JSTI
PINAL (PL), AZ Document:RES 1942.699 Page:3 of 4 Printed on:4/16/2024 1:36 PM Branch :FC0 User :JSTI
PINAL (PL), AZ Document:RES 1942.699 Page:4 of 4 Printed on:4/16/2024 1:36 PM Branch :FC0 User :JSTI
PINAL (PL), AZ Document:RES 2001.8147 Page:1 of 11 Printed on:4/16/2024 1:36 PM Branch :FC0 User :JSTI
PINAL (PL), AZ Document:RES 2001.8147 Page:2 of 11 Printed on:4/16/2024 1:36 PM Branch :FC0 User :JSTI
PINAL (PL), AZ Document:RES 2001.8147 Page:3 of 11 Printed on:4/16/2024 1:36 PM Branch :FC0 User :JSTI
PINAL (PL), AZ Document:RES 2001.8147 Page:4 of 11 Printed on:4/16/2024 1:36 PM Branch :FC0 User :JSTI
PINAL (PL), AZ Document:RES 2001.8147 Page:5 of 11 Printed on:4/16/2024 1:36 PM Branch :FC0 User :JSTI
PINAL (PL), AZ Document:RES 2001.8147 Page:6 of 11 Printed on:4/16/2024 1:36 PM Branch :FC0 User :JSTI
PINAL (PL), AZ Document:RES 2001.8147 Page:7 of 11 Printed on:4/16/2024 1:36 PM Branch :FC0 User :JSTI
PINAL (PL), AZ Document:RES 2001.8147 Page:8 of 11 Printed on:4/16/2024 1:36 PM Branch :FC0 User :JSTI
PINAL (PL), AZ Document:RES 2001.8147 Page:9 of 11 Printed on:4/16/2024 1:36 PM Branch :FC0 User :JSTI
PINAL (PL), AZ Document:RES 2001.8147 Page:10 of 11 Printed on:4/16/2024 1:36 PM Branch :FC0 User :JSTI
PINAL (PL), AZ Document:RES 2001.8147 Page:11 of 11 Printed on:4/16/2024 1:36 PM Branch :FC0 User :JSTI
PINAL (PL), AZ Document:RES AMD 2000.47132 Page:1 of 48 Printed on:4/16/2024 1:36 PM Branch :FC0 User :JSTI
PINAL (PL), AZ Document:RES AMD 2000.47132 Page:2 of 48 Printed on:4/16/2024 1:36 PM Branch :FC0 User :JSTI
PINAL (PL), AZ Document:RES AMD 2000.47132 Page:3 of 48 Printed on:4/16/2024 1:36 PM Branch :FC0 User :JSTI
PINAL (PL), AZ Document:RES AMD 2000.47132 Page:4 of 48 Printed on:4/16/2024 1:36 PM Branch :FC0 User :JSTI
PINAL (PL), AZ Document:RES AMD 2000.47132 Page:5 of 48 Printed on:4/16/2024 1:36 PM Branch :FC0 User :JSTI
PINAL (PL), AZ Document:RES AMD 2000.47132 Page:6 of 48 Printed on:4/16/2024 1:36 PM Branch :FC0 User :JSTI
PINAL (PL), AZ Document:RES AMD 2000.47132 Page:7 of 48 Printed on:4/16/2024 1:36 PM Branch :FC0 User :JSTI
PINAL (PL), AZ Document:RES AMD 2000.47132 Page:8 of 48 Printed on:4/16/2024 1:36 PM Branch :FC0 User :JSTI
PINAL (PL), AZ Document:RES AMD 2000.47132 Page:9 of 48 Printed on:4/16/2024 1:36 PM Branch :FC0 User :JSTI
PINAL (PL), AZ Document:RES AMD 2000.47132 Page:10 of 48 Printed on:4/16/2024 1:36 PM Branch :FC0 User :JSTI
PINAL (PL), AZ Document:RES AMD 2000.47132 Page:11 of 48 Printed on:4/16/2024 1:36 PM Branch :FC0 User :JSTI
PINAL (PL), AZ Document:RES AMD 2000.47132 Page:12 of 48 Printed on:4/16/2024 1:36 PM Branch :FC0 User :JSTI
PINAL (PL), AZ Document:RES AMD 2000.47132 Page:13 of 48 Printed on:4/16/2024 1:36 PM Branch :FC0 User :JSTI
PINAL (PL), AZ Document:RES AMD 2000.47132 Page:14 of 48 Printed on:4/16/2024 1:36 PM Branch :FC0 User :JSTI
PINAL (PL), AZ Document:RES AMD 2000.47132 Page:15 of 48 Printed on:4/16/2024 1:36 PM Branch :FC0 User :JSTI
PINAL (PL), AZ Document:RES AMD 2000.47132 Page:16 of 48 Printed on:4/16/2024 1:36 PM Branch :FC0 User :JSTI
PINAL (PL), AZ Document:RES AMD 2000.47132 Page:17 of 48 Printed on:4/16/2024 1:36 PM Branch :FC0 User :JSTI
PINAL (PL), AZ Document:RES AMD 2000.47132 Page:18 of 48 Printed on:4/16/2024 1:36 PM Branch :FC0 User :JSTI
PINAL (PL), AZ Document:RES AMD 2000.47132 Page:19 of 48 Printed on:4/16/2024 1:36 PM Branch :FC0 User :JSTI
PINAL (PL), AZ Document:RES AMD 2000.47132 Page:20 of 48 Printed on:4/16/2024 1:36 PM Branch :FC0 User :JSTI
PINAL (PL), AZ Document:RES AMD 2000.47132 Page:21 of 48 Printed on:4/16/2024 1:36 PM Branch :FC0 User :JSTI
PINAL (PL), AZ Document:RES AMD 2000.47132 Page:22 of 48 Printed on:4/16/2024 1:36 PM Branch :FC0 User :JSTI
PINAL (PL), AZ Document:RES AMD 2000.47132 Page:23 of 48 Printed on:4/16/2024 1:36 PM Branch :FC0 User :JSTI
PINAL (PL), AZ Document:RES AMD 2000.47132 Page:24 of 48 Printed on:4/16/2024 1:36 PM Branch :FC0 User :JSTI
PINAL (PL), AZ Document:RES AMD 2000.47132 Page:25 of 48 Printed on:4/16/2024 1:36 PM Branch :FC0 User :JSTI
PINAL (PL), AZ Document:RES AMD 2000.47132 Page:26 of 48 Printed on:4/16/2024 1:36 PM Branch :FC0 User :JSTI
PINAL (PL), AZ Document:RES AMD 2000.47132 Page:27 of 48 Printed on:4/16/2024 1:36 PM Branch :FC0 User :JSTI
PINAL (PL), AZ Document:RES AMD 2000.47132 Page:28 of 48 Printed on:4/16/2024 1:36 PM Branch :FC0 User :JSTI
PINAL (PL), AZ Document:RES AMD 2000.47132 Page:29 of 48 Printed on:4/16/2024 1:36 PM Branch :FC0 User :JSTI
PINAL (PL), AZ Document:RES AMD 2000.47132 Page:30 of 48 Printed on:4/16/2024 1:36 PM Branch :FC0 User :JSTI
PINAL (PL), AZ Document:RES AMD 2000.47132 Page:31 of 48 Printed on:4/16/2024 1:36 PM Branch :FC0 User :JSTI
PINAL (PL), AZ Document:RES AMD 2000.47132 Page:32 of 48 Printed on:4/16/2024 1:36 PM Branch :FC0 User :JSTI
PINAL (PL), AZ Document:RES AMD 2000.47132 Page:33 of 48 Printed on:4/16/2024 1:36 PM Branch :FC0 User :JSTI
PINAL (PL), AZ Document:RES AMD 2000.47132 Page:34 of 48 Printed on:4/16/2024 1:36 PM Branch :FC0 User :JSTI
PINAL (PL), AZ Document:RES AMD 2000.47132 Page:35 of 48 Printed on:4/16/2024 1:36 PM Branch :FC0 User :JSTI
PINAL (PL), AZ Document:RES AMD 2000.47132 Page:36 of 48 Printed on:4/16/2024 1:36 PM Branch :FC0 User :JSTI
PINAL (PL), AZ Document:RES AMD 2000.47132 Page:37 of 48 Printed on:4/16/2024 1:36 PM Branch :FC0 User :JSTI
PINAL (PL), AZ Document:RES AMD 2000.47132 Page:38 of 48 Printed on:4/16/2024 1:36 PM Branch :FC0 User :JSTI
PINAL (PL), AZ Document:RES AMD 2000.47132 Page:39 of 48 Printed on:4/16/2024 1:36 PM Branch :FC0 User :JSTI
PINAL (PL), AZ Document:RES AMD 2000.47132 Page:40 of 48 Printed on:4/16/2024 1:36 PM Branch :FC0 User :JSTI
PINAL (PL), AZ Document:RES AMD 2000.47132 Page:41 of 48 Printed on:4/16/2024 1:36 PM Branch :FC0 User :JSTI
PINAL (PL), AZ Document:RES AMD 2000.47132 Page:42 of 48 Printed on:4/16/2024 1:36 PM Branch :FC0 User :JSTI
PINAL (PL), AZ Document:RES AMD 2000.47132 Page:43 of 48 Printed on:4/16/2024 1:36 PM Branch :FC0 User :JSTI
PINAL (PL), AZ Document:RES AMD 2000.47132 Page:44 of 48 Printed on:4/16/2024 1:36 PM Branch :FC0 User :JSTI
PINAL (PL), AZ Document:RES AMD 2000.47132 Page:45 of 48 Printed on:4/16/2024 1:36 PM Branch :FC0 User :JSTI
PINAL (PL), AZ Document:RES AMD 2000.47132 Page:46 of 48 Printed on:4/16/2024 1:36 PM Branch :FC0 User :JSTI
PINAL (PL), AZ Document:RES AMD 2000.47132 Page:47 of 48 Printed on:4/16/2024 1:36 PM Branch :FC0 User :JSTI
PINAL (PL), AZ Document:RES AMD 2000.47132 Page:48 of 48 Printed on:4/16/2024 1:36 PM Branch :FC0 User :JSTI

Turn static files into dynamic content formats.

Create a flipbook
Issuu converts static files into: digital portfolios, online yearbooks, online catalogs, digital photo albums and more. Sign up and create your flipbook.