3145 N. 76th Way

Page 1

HOME BOOK

PREPARED FOR:

LIMITATION OF LIABILITY FOR INFORMATIONAL REPORTS

IMPORTANT -- PLEASE READ CAREFULLY:

This report is not an insured product or service or a representation of the condition of title to real property. It is not an abst ract, legal opinion, opinion of title, title insurance commitment or preliminary report, or any form of Title Insurance or Guaranty. This report is issued exclusively for the benefit of the Applicant therefor and may not be used or relied upon by any other person. This report may not be reproduced in any manner without First American or Title Security's prior written consent. First American or Title Security does not represent or warrant that the information herein is complete or free from error, and the information herein is provided without any warranties of any kind, as-is, and with all faults. As a material part of the consideration given in exchange for the issuance of this report, recipient agrees that First American or Title Security's sole liability for any loss or damage caused by an error or omission due to inaccurate information or negligence in preparing this report shall be limited to the fee charged for the report. Recipient accepts this report with this limitation and agrees that First American or Title Security would not have issued this report but for the limitation of liability described above. First American or Title Security makes no representation or warranty as to the legality or propriety of recipient's use of the information herein.

Data Provided By:

First American Title Ins Co

3145 N 76th Way Mesa AZ 85207 APN: 219-22-045
Subject Property
© 2023 CoreLogic. All rights reserved

Disclaimer

This REiSource report is provided "as is" without warranty of any kind, either express or implied, including without limitations any warrantees of merchantability or fitness for a particular purpose. There is no representation of warranty that this information is complete or free from error, and the provider does not assume, and expressly disclaims, any liability to any person or entity for loss or damage caused by errors or omissions in this REiSource report without a title insurance policy.

The information contained in the REiSource report is delivered from your Title Company, who reminds you that you have the right as a consumer to compare fees and serviced levels for Title, Escrow, and all other services associated with property ownership, and to select providers accordingly. Your home is the largest investment you will make in your lifetime and you should demand the very best.

Data Provided By: First American Title Ins Co
© 2023 CoreLogic. All rights reserved

Subject Property :   3145 N 76th Way Mesa AZ 85207

Owner Information

Owner Name : Schwager Scot

Mailing Address : 3145 N 76th Way, Mesa AZ 85207-1294 R055

Owner Occupied Indicator : O

Location Information

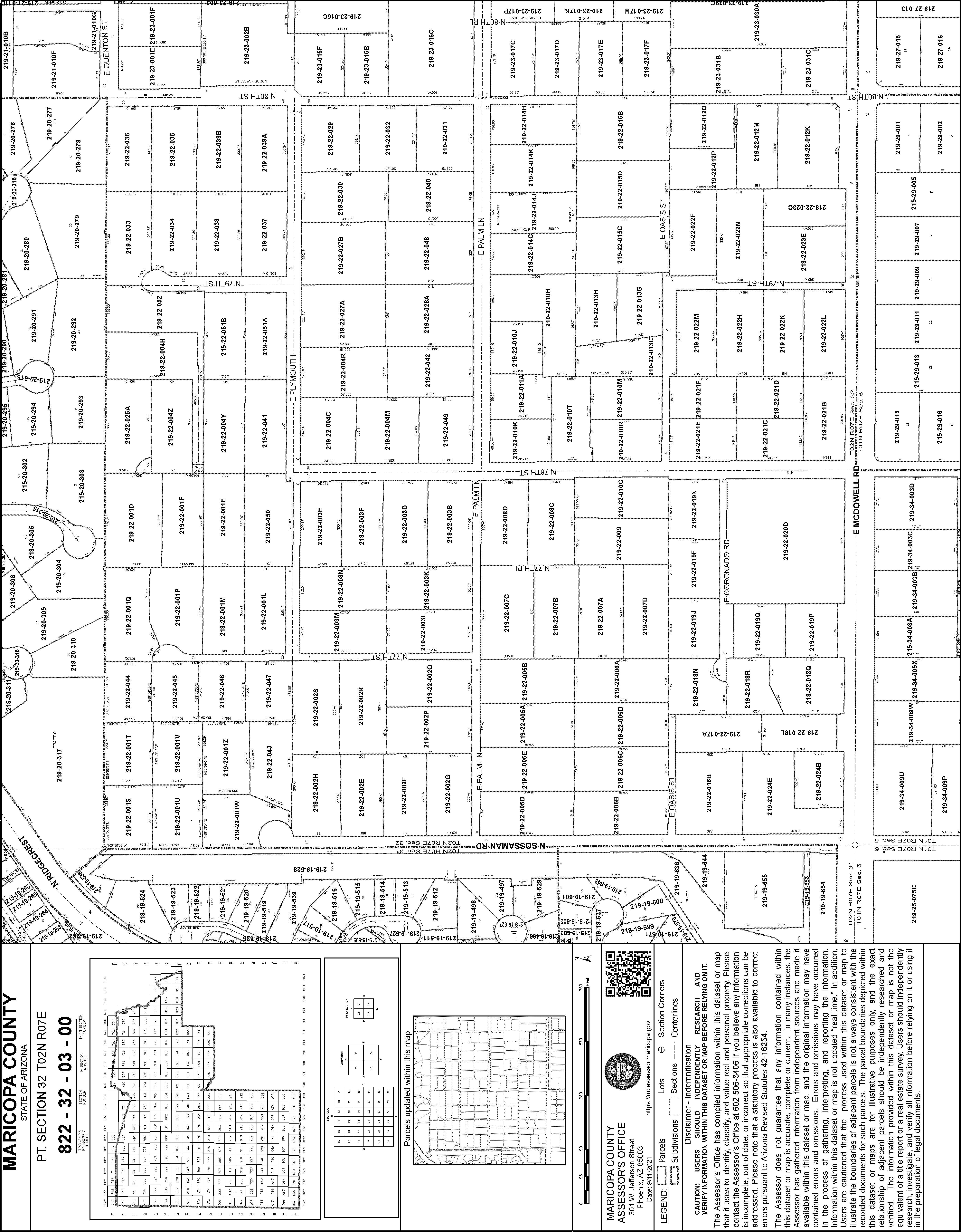
Legal Description : Th Pt Sec 32 Daf Com W4 Cor Sd Sec 32 Th E 447.94f Th S 165.13f To Tpob Th E 212.50f Th S 165.13f Th W 212.50f Th N 165.14f To Tpob

County : Maricopa, Az

Census Tract / Block : 4201.08 / 1

Township-Range- Sect : 02N-07E-32

Owner Transfer Information

Recording/Sale Date : 09/08/2020 / 08/10/2020

Document # : 832727

Last Market Sale Information

Recording/Sale Date : 02/09/2017 / 01/27/2017

Sale Price : $613,000

Document # : 99581

APN : 219-22-045

School District : Mesa 4

Neighbor Code : 24-012

Deed Type : Warranty Deed

1st Mtg Document # : 832728

1st Mtg Int. Rate/Type : 6.62% / Adjustable Int Rate Loan

1st Mtg Document # : 99582

1st Mtg Term : 30

Deed Type : Warranty Deed Price Per SqFt : $139.48

1st Mtg Amount/Type : $490,400 / Cnv

Title Company : Greystone Title Agency

Seller Name : Purney Mark & Dawn

Prior Sale Information

Prior Rec/Sale Date : 07/24/2009 / 07/02/2009

Prior Sale Price : $541,000

Prior Doc Number : 687289

Prior Deed Type : Special Warranty Deed

Prior Lender : Us Bk National Assn

Prior 1st Mtg Amt/Type : $417,000 / Conv

Customer Name : Kariann Keomaka Customer Company Name : First American Title Insurance Company Prepared On : 07/08/2023 © 2023 CoreLogic. All rights reserved

Property Characteristics

Gross Area : 4,395 Garage Capacity : 4 Pool : Pool

Living Area : 4,395 Roof Material : Concrete Tile Air Cond : Refrigeration

Total Rooms : 8 Heat Type : Forced Air Quality : Good

Year Built / Eff : 2005 Cooling Type : Forced Air Condition : Average

# of Stories : 2 Exterior wall : Frame Wood Bath Fixtures : 13

Parking Type : Garage Patio Type : Covered Concrete Masonry Patio

Property Information

Pool Size : 400

Land Use : Sfr Lot Size : 35,090 Sewer Type : Public Service

Zoning : R1-35 Water Type : Type Unknown State Use : Single Fam Resurban Non Subd ( 5 )

Lot Acres : 0.81

Tax Information

Total Value : $695,300 Assessed Year : 2022 Tax Rate Area : 040000

Land Value : $139,000 Improve % : 80% Market Value : $695,300

Improvement Value : $556,300 Tax Year : 2022

Assessed Year : 2024

©
CoreLogic. All rights reserved
Current
Total Taxable Value : $54,526 Property Tax : $5,017.94 Current Year Total Value : $164,484 Customer Name : Kariann Keomaka Customer Company Name : First American Title Insurance Company Prepared On : 07/08/2023
2023
Criteria Subject Property Low High Average Sale Price $613,000 $1,400,000 $1,899,000 $1,641,750 Bldg/Living Area 4395 3988 5027 4531 Price Per Square Foot $139.48 $310 $414 $363.69 Year Built 2005 2004 2020 2011 Lot Size 35,090 24,021 57,917 37,641 Bedrooms Bathrooms 5 5 7 6 Stories 2 1 2 1 Total Assessed Value $695,300 $612,800 $1,026,800 $851,463 Distance From Subject 0 0.15 0.81 0.44 Summary of Comparables # Address Sale Price Total Assessed Value Sale Date Bed Bath Living Area Lot Size Year Built Dist (Miles) Zoning S 3145 N 76th Way 613,000 695,300 02/09/2017 5 4,395 35,090 2005 R1-35 1 3211 N Canyon Wash Cir 1,650,000 1,026,800 09/13/2022 6 3,988 57,917 2005 0.15 RS-35 2 3236 N Canyon Wash Cir 1,500,000 956,300 12/08/2022 5 4,457 31,380 2005 0.18 RS-35 3 3248 N Ladera Cir 1,660,000 835,500 06/01/2023 5 4,251 24,021 2004 0.31 RS-35 4 3255 N Ladera Cir # X 1,675,000 840,100 05/30/2023 5 4,375 25,990 2012 0.36 RS-35 5 3223 N Ladera Cir 1,899,000 932,800 04/20/2023 6 4,747 27,510 2018 0.37 RS-35 6 8109 E Presidio St 1,400,000 945,800 02/28/2023 7 4,523 48,161 2007 0.54 R1-35 7 2918 N 82nd Way 1,600,000 612,800 03/30/2023 6 4,876 34,999 2020 0.79 R1-35 8 2923 N 82nd Way 1,750,000 661,600 03/15/2023 5 5,027 51,150 2020 0.81 R1-35 Distressed Sales = Customer Name : Kariann Keomaka Customer Company Name : First American Title Insurance Company Prepared On : 07/08/2023 © 2023 CoreLogic. All rights reserved
Sales Analysis

Customer Name : Kariann Keomaka

Customer Company Name : First American Title Insurance Company

Prepared On : 07/08/2023

© 2023 CoreLogic. All rights reserved

Map

Details of Comparables

N 76th Way Mesa Az 85207
Name: Schwager Scot / APN / Alternate APN: 219-22-045 / Deed Type: Warranty Deed Land Use: Sfr Subdivision / Tract: / Lot Size: 35,090 Year Built / Eff: 2005 / Rec. Date / Price: 02/09/2017 / $613,000 Living Area: 4,395 # of units: Document #: 99581 Bedrooms: Pool: Pool Total Tax Value: $695,300 Bath(F/H): /
3211 N Canyon Wash Cir Mesa Az 85207
Name: 3211 N Canyon Llc / APN / Alternate APN: 219-20-303 / Deed Type: Warranty Deed Land Use: Sfr Subdivision / Tract: Rock Canyon At Las Sendas / Lot Size: 57,917 Year Built / Eff: 2005 / Rec. Date / Price: 09/13/2022 / $1,650,000 Living Area: 3,988 # of units: Document #: 707170 Bedrooms: Pool: Pool Total Tax Value: $1,026,800 Bath(F/H): / #2   3236 N Canyon Wash Cir Mesa Az 85207
Name: Northrop Family Trust / APN / Alternate APN: 219-20-306 / Deed Type: Warranty Deed Land Use: Sfr Subdivision / Tract: Rock Canyon At Las Sendas / Lot Size: 31,380 Year Built / Eff: 2005 / Rec. Date / Price: 12/08/2022 / $1,500,000 Living Area: 4,457 # of units: Document #: 880115 Bedrooms: Pool: Pool Total Tax Value: $956,300 Bath(F/H): /
APN
Alternate
Warranty Deed Land Use: Sfr Subdivision / Tract: Rock Canyon At Las Sendas / Lot Size: 24,021 Year Built / Eff: 2004 / Rec. Date / Price: 06/01/2023 / $1,660,000 Living Area: 4,251 # of units: Document #: 284518 Bedrooms: Pool: Pool Total Tax Value: $835,500 Bath(F/H): /
APN
Deed
Land Use: Sfr Subdivision / Tract: Rock Canyon At Las Sendas / Lot Size: 25,990 Year Built / Eff: 2012 / Rec. Date / Price: 05/30/2023 / $1,675,000 Living Area: 4,375 # of units: Document #: 277484 Bedrooms: Pool: Pool Total Tax Value: $840,100 Bath(F/H): /
Keomaka Customer Company Name : First American Title Insurance Company Prepared
07/08/2023 © 2023 CoreLogic. All rights reserved
Subject Property: 3145
Owner
#1
Owner
Owner
#3   3248 N Ladera Cir Mesa Az 85207 Owner Name: Whitmarsh Dale E & Reb /
/
APN: 219-20-283 / Deed Type:
#4   3255 N Ladera Cir # X Mesa Az 85207 Owner Name: 1997 Daniel & Arlene R /
/ Alternate APN: 219-20-271 /
Type: Warranty Deed
Customer Name : Kariann
On :

#5   3223 N Ladera Cir Mesa Az 85207 Owner Name: Shinault Stephen Trust /Lommel Leah L Living Trust

#8   2923 N 82nd Way Mesa Az 85207

APN / Alternate APN: 219-20-275 / Deed Type: Warranty Deed Land Use: Sfr Subdivision / Tract: Rock Canyon At Las Sendas / Lot Size: 27,510 Year Built / Eff: 2018 / Rec. Date / Price: 04/20/2023 / $1,899,000 Living Area: 4,747 # of units: Document #: 203181 Bedrooms: Pool: Pool Total Tax Value: $932,800 Bath(F/H): /
Owner Name:
Family
APN / Alternate APN: 219-23-004-P / Deed Type: Warranty Deed Land Use: Sfr Subdivision / Tract: / Lot Size: 48,161 Year Built / Eff: 2007 / Rec. Date / Price: 02/28/2023 / $1,400,000 Living Area: 4,523 # of units: Document #: 98518 Bedrooms: Pool: Pool Total Tax Value: $945,800 Bath(F/H): /
#6   8109 E Presidio St Mesa Az 85207
St
Trust /
Name:
APN / Alternate APN: 219-23-021-K / Deed Type: Warranty Deed Land Use: Sfr Subdivision / Tract: / Lot Size: 34,999 Year Built / Eff: 2020 / Rec. Date / Price: 03/30/2023 / $1,600,000 Living Area: 4,876 # of units: Document #: 161172 Bedrooms: Pool: Total Tax Value: $612,800 Bath(F/H): /
#7   2918 N 82nd Way Mesa Az 85207 Owner
Rooney James G /Rooney Emily K
APN / Alternate APN: 219-23-021-L / Deed Type: Warranty Deed Land Use: Sfr Subdivision / Tract: / Lot Size: 51,150 Year Built / Eff: 2020 / Rec. Date / Price: 03/15/2023 / $1,750,000 Living Area: 5,027 # of units: Document #: 130915 Bedrooms: Pool: Total Tax Value: $661,600 Bath(F/H): / Customer Name
Keomaka Customer Company Name : First American Title Insurance Company Prepared On : 07/08/2023 © 2023 CoreLogic. All rights reserved
Owner Name: Dayton Jared L /Dayton Patricia L
: Kariann

Subject Property :   3145 N 76th Way Mesa AZ 85207

Customer Name : Kariann Keomaka

Customer Company Name : First American Title Insurance Company Prepared On : 07/08/2023

© 2023 CoreLogic. All rights reserved

Customer Name : Kariann Keomaka

Customer Company Name : First American Title Insurance Company Prepared On : 07/08/2023

© 2023 CoreLogic. All rights reserved

3137 N 76TH WAY

Owner Name : Perkins Gary D

Recording Date : 01/19/2011

Sale Date : 11/19/2010 Sale Price  : $429,900

Total Value : $660,700 Property Tax : $5,495.64

Bed / Bath : / 5 Lot Acres : 0.81

Land Use : Sfr Living Area : 3,517

Stories : 1 APN : 219-22-046

Yr Blt / Eff Yr Blt  : 2007 / 3151 N 76TH WAY Distance 0.03 Miles

Owner Name : Haddon Recording Date : 10/02/2009

Sale Date : 10/01/2009 Sale Price  : $530,000

Total Value : $734,700 Property Tax : $5,550.40

Bed / Bath : / 5 Lot Acres : 0.81

Land Use : Sfr Living Area : 4,324

Stories : 1

Yr Blt / Eff Yr Blt  : 2005 /

APN : 219-22-044

3146 N 76TH WAY Distance 0.04 Miles

Owner Name : Ebony Wilbert Recording Date : 11/19/2018

Sale Date : 10/15/2018 Sale Price  : $665,000

Total Value : $524,700 Property Tax : $3,842.42

Bed / Bath : / 4 Lot Acres : 0.89

Land Use : Sfr

Stories : 1

Yr Blt / Eff Yr Blt  : 2004 /

Living Area : 3,223

APN : 219-22-001-V

3152 N 76TH WAY Distance 0.05 Miles

Owner Name : Lodge Eric & Kerri

Sale Date : 06/02/2021

Total Value : $633,100

Bed / Bath : / 5

Land Use : Sfr

Stories : 1

Yr Blt / Eff Yr Blt  : 2004 /

Recording Date : 06/23/2021

Sale Price  : $1,200,000

Property Tax : $4,992.82

Lot Acres : 0.89

Living Area : 4,233

APN : 219-22-001-T

© 2023 CoreLogic. All rights reserved

Distance 0.03 Miles
Customer Name : Kariann Keomaka Customer Company Name : First American Title Insurance Company Prepared On : 07/08/2023

7631 E PRESIDIO ST Distance 0.06 Miles

Owner Name : Turcott Trevor Recording Date : 11/20/2020

Sale Date : 11/03/2020 Sale Price  : $759,900

Total Value : $539,000 Property Tax : $4,259.28

Bed / Bath : / 5 Lot Acres : 1.00

Land Use : Sfr Living Area : 3,350

Stories : 1 APN : 219-22-001-Z

Yr Blt / Eff Yr Blt  : 2004 /

3125 N 77TH ST Distance 0.06 Miles

Owner Name : Buehrle Recording Date : 11/25/2003

Sale Date : 11/18/2003 Sale Price  : $117,500

Total Value : $638,100 Property Tax : $4,905.72

Bed / Bath : / 4 Lot Acres : 1.23

Land Use : Sfr Living Area : 3,464

Stories : 1 APN : 219-22-001-P

Yr Blt / Eff Yr Blt  : 2006 /

3143 N 77TH ST Distance 0.06 Miles

Owner Name : Taylor Tribe Recording Date : 08/23/2002

Sale Date : 04/00/2002 Sale Price  : $106,000

Total Value : $713,100 Property Tax : $6,128.58

Bed / Bath : / 5

Lot Acres : 1.27

Land Use : Sfr Living Area : 4,650

Stories : 2

Yr Blt / Eff Yr Blt  : 2003 /

APN : 219-22-001-Q

3123 N 76TH WAY Distance 0.06 Miles

Owner Name : Allinder Recording Date : 08/17/2011

Sale Date : 08/01/2011

Total Value : $526,300

Bed / Bath : / 4

Sale Price  : $365,000

Property Tax : $3,673.24

Lot Acres : 0.81

Land Use : Sfr Living Area : 3,131

Stories : 1

Yr Blt / Eff Yr Blt  : 2005 /

APN : 219-22-047

Customer
First
Prepared
Customer Name : Kariann Keomaka
Company Name :
American Title Insurance Company
On : 07/08/2023 © 2023 CoreLogic. All rights reserved

3117 N 77TH ST Distance 0.06 Miles

Owner Name : Runglawan Michael

Sale Date : 05/05/2021

Total Value : $620,300

Bed / Bath : / 4

Land Use : Sfr

Recording Date : 06/17/2021

Sale Price  : $825,136

Property Tax : $4,281.98

Lot Acres : 1.02

Living Area : 3,147

Yr Blt / Eff Yr Blt : 2021 / APN : 219-22-001-M

7805 E RIVERDALE CIR Distance 0.07 Miles

Owner Name : Goodyear Subdivision : Rock Canyon At Las Sendas

Sale Date : 12/29/2003

Total Value : $849,300

Bed / Bath : / 4

Land Use : Sfr

Stories : 1

Recording Date : 01/09/2004

Sale Price  : $198,417

Property Tax : $6,804.36

Lot Acres : 0.89

Living Area : 3,766

Yr Blt / Eff Yr Blt : 2004 / APN : 219-20-310

Customer
Prepared On
07/08/2023 © 2023 CoreLogic. All rights reserved
Customer Name : Kariann Keomaka
Company Name : First American Title Insurance Company
:
Census Tract / block: 4201.08 / 1     Year: 2020 Household Population Population by Age Count: 1,804 0 - 11 Estimate Current Year: 1,851 12 - 17 Estimate in 5 Years: 2,053 18 - 24 4.66% Growth Last 5 Years: 16.35% 25 - 64 57.21% Growth Last 10 Years: -120.63% 65 - 74 7.82% 75+ Household Size Household Income Current Year: 635 0 - $25,000 3.78% Average Current Year: 2.84 $25,000 - $35,000 2.2% Estimate in 5 Years: 933 $35,000 - $50,000 0% Growth Last 5 Years: 16.22% $50,000 - $75,000 15.12% Growth Last 10 Years: 22.34% $75,000 - $100,000 14.17% Male Population: 53.82% Above $100,000 64.72% Female Population: 46.18% Average Household Income: $169,063 Married People: 76.91% Unmarried People: 23.09% Housing Median Mortgage Payments Home Values Under $300: 0.97% Below $100,000: 1.29% $300 - $799: 19.81% $100,000 - $150,000: 1.61% $800 - $1,999: 17.71% $150,000 - $200,000: 0.64% Over $2,000: 61.51% $200,000 - $300,000: 2.25% Median Home Value: $729,700 $300,000 - $500,000: 12.24% Unit Occupied Owner: 97.8% Above $500,000: 81.96% Median Mortgage: $2,325
07/08/2023 © 2023 CoreLogic. All rights reserved
Customer Name : Kariann Keomaka Customer Company Name : First American Title Insurance Company Prepared On :
Rent Payments Year Built Unit Occupied Renter: 2.2% 1999 - 2000 Median Gross Rent: 1995 - 1998 Less Than $499 0% 1990 - 1994 $500 - $749 0% 1980 - 1989 15.13% $750 - $999 100% 1970 - 1979 2.06% $1000 and Over 0% 1900 - 1969 4.4% Education Enrollment Public Pre-Primary School: 0.41% Not Enrolled in School: 81.53% Private Pre-Primary School: 0% Not A High School Graduate: 0.87% Public School: 17.23% Graduate Of High School: 21.32% Private School: 1.24% Attended Some College: 23.45% Public College: 2.19% College Graduate: 39.7% Private College: 1.01% Graduate Degree: 14.66% Workforce Occupation: Manager/Prof: 43.46% Private Worker: 55.17% Technical: Government Worker: 5.7% Sales: 17.3% Self Employed Worker: 13.08% Administrative: Unpaid Family Worker: 23.21% Private House Hold: Farming: 6.54% Service: 29.01% Skilled: Protective Services: Blue-Collar: 10.23% Commute Time Less Than 15 Min: 18.18% 15 min - 28 min: 36.72% 30 min - 57 min: 40.64% Over 60 min: 4.46% Customer Name : Kariann Keomaka Customer Company Name : First American Title Insurance Company Prepared On : 07/08/2023 © 2023 CoreLogic. All rights reserved

Customer Name : Kariann Keomaka

Customer Company Name : First American Title Insurance Company

Prepared On : 07/08/2023

© 2023 CoreLogic. All rights reserved

Customer Name : Kariann Keomaka

Customer Company Name : First American Title Insurance Company

Prepared On : 07/08/2023

© 2023 CoreLogic. All rights reserved

Customer Name : Kariann Keomaka

Customer Company Name : First American Title Insurance Company

Prepared On : 07/08/2023

© 2023 CoreLogic. All rights reserved

Arizona Schools For detailed information and statistics on Arizona schools please go to https://azreportcards.azed.gov/ First American Title Insurance Company, and the operating divisions thereof, make no express or implied warranty respecting the information presented and assume no responsibility for errors or omissions. First American, the eagle logo, First American Title, and firstam.com are registered trademarks or trademarks of First American Financial Corporation and/or its affiliates. ©2021 First American Financial Corporation and/or its affiliates. All rights reserved. NYSE: FAF 05117910421

SEARCH PARAMETERS

PARCEL:  219-22-045

PARCEL: 219-22-045 7

OWNER: SCHWAGER SCOT

SITUS: 3145 N 76TH WAY MESA

MAIL: 3145 N 76TH WY  MESA, AZ 85207

SECTION: 32 TWP 2N RNG 7E

LEGAL: TH PT SEC 32 DAF COM W4 COR SD SEC 32 TH E 447.94F TH S 165.13F TO TPOB TH E 212.50F TH S 165.13F TH W 212.50F TH N 165.14F TO TPOB

CURRENT TAXES

ADDITIONAL PROPERTY INFORMATION

MARICOPA, AZ 07/08/2023  11:36AM  TCI1  INVESTIGATIVE SEARCH RESULTS PAGE 1 OF 1
+ FIRST AMERICAN TITLE, FC0, KWAL
INSTRUMENT REC DATE
2020 832727 09/08/2020
INFORMATION THROUGH 06/30/2023 LAND IMPR EXEMPT RATE AREA SPECIAL DISTRICTS PRIMARY  54,526  0  0  6.2781  040000  30001  SECONDARY  13,900  55,630  0  4.0251  2022 TOTAL TAX BILLED 5,017.94 2022  TAX AMT TAX DUE INTEREST DATE PAID TOTAL DUE FIRST HALF  2,508.97  0.00  0.00  10/25/2022  0.00  SECOND HALF  2,508.97  0.00  0.00  04/24/2023  0.00  TOTAL CURRENT TAXES DUE 07/23 0.00 08/23 0.00
BLDG SQFT  4,395 COOLING  REFRIGERATION YEAR BUILT  2005 EXTERIOR WALLS  FRAME WOOD NUMBER OF STORIES ROOF  OTHER NUMBER OF ROOMS CONSTRUCTION CLASS  R5 NUMBER OF BATH FIXTURES  13 PHYSICAL CONDITION  OTHER PATIO (TYPE AND NUMBER)  UNCOVERED_AND_COVERED 6 LAND USE  01 52 GARAGE (TYPE AND NUMBER)  GARAGE 4 LOT SIZE  35,090 SQ FT POOL SQ FT  400 SCHOOL DISTRICT  040000 HEATING LAND FULL CASH VALUE  139,000 IMPR FULL CASH VALUE 556,300 SALES SALE DATE SALE AMOUNT INSTRUMENT TYPE SELLER NAME VALIDITY 02/09/2017 613,000    2017 99581 WD PURNEY MARK/DAWN 07/24/2009 541,000    2009 687289 SD CITIBANK NA TRUST 2007-AR3 02/02/2007 959,000    2007 139240 WD STODDARD SCOTT
RESIDENTIAL IMPROVEMENTS
STANDARD LAND USE: SFR END SEARCH

Turn static files into dynamic content formats.

Create a flipbook
Issuu converts static files into: digital portfolios, online yearbooks, online catalogs, digital photo albums and more. Sign up and create your flipbook.